umwelt-online: Verordnung (EU) Nr. 1299/2014 über die technische Spezifikation für die Interoperabilität des Teilsystems "Infrastruktur" des Eisenbahnsystems in der Europäischen Union (2)

zurück

7.7. Sonderfälle

Die folgenden Sonderfälle dürfen für bestimmte Schienennetze angewendet werden. Die Sonderfälle gehören den folgenden Kategorien an:

  1. "P-Fälle": permanente Fälle;
  2. "T-Fälle": temporäre Fälle, bei denen empfohlen wird, das Zielsystem bis 2020 zu erreichen (gemäß der Entscheidung Nr. 1692/96/EG des Europäischen Parlaments und des Rates 5).

7.7.1. Besonderheiten des österreichischen Netzes

7.7.1.1. Bahnsteighöhe ( 4.2.9.2)

P-Fälle

Für andere Teile des Eisenbahnnetzes der Union gemäß Abschnitt 1.2 Buchstabe c dieser TSI ist für die Erneuerung und Umrüstung die nominelle Bahnsteighöhe von 380 mm über Schienenoberkante zulässig.

7.7.2. Besonderheiten des belgischen Netzes

7.7.2.1. Bahnsteigabstand ( 4.2.9.3)

P-Fälle

Für Bahnsteighöhen von 550 mm und 760 mm wird der konventionelle Wert bq0 für den Bahnsteigabstand nach folgenden Formeln berechnet:

bq0 = 1.650 + (5.000 / R) In Gleisbogen mit Bogenhalbmesser 1.000 ≤ R ≤  (m)
bq0 = 1.650 + (26.470 / R) - 21,5 In Gleisbogen mit Bogenhalbmesser R ≤ 1.000 (m)

7.7.3. Besonderheiten des bulgarischen Netzes

7.7.3.1. Bahnsteighöhe ( 4.2.9.2)

P-Fälle

Für umgerüstete oder erneuerte Bahnsteige ist die nominelle Bahnsteighöhe von 300 mm und 1.100 mm über Schienenoberkante zulässig.

7.7.3.2. Bahnsteigabstand ( 4.2.9.3)

P-Fälle

Abweichend von den Abschnitten 4.2.9.3(1) und 4.2.9.3(2) ist der Bahnsteigabstand:

  1. 1.650 mm bei Bahnsteigen mit einer Höhe von 300 mm und
  2. 1 750 mm bei Bahnsteigen mit einer Höhe von 1.100 mm.

7.7.4. Besonderheiten des dänischen Netzes

7.7.4.1. Bahnsteighöhe ( 4.2.9.2)

P-Fälle

Für S-Bahn-Dienste ist die nominelle Bahnsteighöhe von 920 mm über Schienenoberkante zulässig.

7.7.5. Besonderheiten des estnischen Netzes

7.7.5.1. Nennspurweite ( 4.2.4.1)

P-Fälle

Abweichend von Abschnitt 4.2.4.1(2) beträgt die Nennspurweite für das 1.520-mm-Bahnsystem entweder 1.520 mm oder 1.524 mm.

7.7.5.2 Stabilität neuer Brücken gegenüber Verkehrslasten ( 4.2.7.1)

P-Fälle

Für das 1.520-mm-Bahnsystem ist es für Strecken mit einer Radsatzlast von 30 t zulässig, Strukturen für vertikale Lasten gemäß dem Lastmodell in Anlage M dieser TSI auszulegen.

7.7.5.3. Die Soforteingriffsschwelle für Weichen und Kreuzungen ( 4.2.8.6)

P-Fälle

Abweichend von Abschnitt 4.2.8.6(3)(a) beträgt für das 1.520-mm-Bahnsystem der Mindestwert des Zwischenraums an der engsten Stelle zwischen offener Weichenzunge und Schiene (Bypass) 54 mm.

7.7.6. Besonderheiten des finnischen Netzes

7.7.6.1. TSI-Streckenklassen ( 4.2.1)

P-Fälle

Anstelle der in den Spalten "Begrenzungslinie" in Tabelle 2 und Tabelle 3 von Abschnitt 4.2.1 (6) angegebenen Begrenzungslinien ist für die Nennspurweite von 1.524 mm die Verwendung der Begrenzungslinie FIN1 zulässig.

7.7.6.2. Lichtraumprofil ( 4.2.3.1)

P-Fälle

(1) Abweichend von den Nummern 4.2.3.1(1) und 4.2.3.1(2) wird für die Nennspurweite von 1.524 mm sowohl der oberen als auch der untere Teil des Lichtraumprofils auf der Grundlage der Begrenzungslinie FIN1 festgelegt. Diese Begrenzungslinien sind in Anhang D Abschnitt D4.4 der Norm EN 15273-3:2013 definiert.

(2) Abweichend von Nummer 4.2.3.1(3) ist für die Nennspurweite von 1.524 mm das Lichtraumprofil nach dem statischen Verfahren gemäß den Anforderungen in den Abschnitten 5, 6, 10 und Anhang D Abschnitt D.4.4 der Norm EN 15273-3:2013 zu berechnen.

7.7.6.3. Gleisabstand ( 4.2.3.2)

P-Fälle

(1) Abweichend von Nummer 4.2.3.2 (1) wird für die Nennspurweite von 1.524 mm der Gleisabstand auf der Grundlage der Begrenzungslinie FIN1 festgelegt.

(2) Abweichend von Nummer 4.2.3.2 (2) wird für die Nennspurweite von 1.524 mm der horizontale Regelgleisabstand für neue Strecken für die Auslegung vorgegeben, wobei die in Tabelle 21 angegebenen Werte nicht unterschritten werden dürfen. Darin sind Toleranzen für aerodynamische Wirkungen berücksichtigt.

Tabelle 21: Mindestwerte für den horizontalen Regelgleisabstand

Zulässige Höchstgeschwindigkeit [km/h] Mindestwerte für den horizontalen Regelgleisabstand
[m]
v ≤ 120 4,10
120 < v ≤ 160 4,30
160 < v ≤ 200 4,50
200 < v ≤ 250 4,70
v > 250 5,00

(3) Abweichend von Nummer 4.2.3.2 (3) muss für die Nennspurweite von 1.524 mm der Gleisabstand mindestens die Anforderungen für den Mindestgleisabstand gemäß Anhang D, Abschnitt D.4.4.5 der Norm EN 15273-3:2013 erfüllen.

7.7.6.4. Mindestbogenhalbmesser ( 4.2.3.4)

P-Fälle

Abweichend von Nummer 4.2.3.4 (3) sind für die Nennspurweite von 1.524 mm Gegenbögen (außer solchen in Rangierbahnhöfen, in denen die Wagen einzeln rangiert werden) mit Halbmessern zwischen 150 m und 275 m für neue Strecken gemäß Tabelle 22 auszulegen, um ein Verkeilen der Puffer zu verhindern.

Tabelle 22: Grenzwerte für die Länge einer Zwischengeraden zwischen zwei langen kreisförmigen Kurven in entgegengesetzter Richtung [m] *

Abfolge der Gleiselemente * Grenzwerte für Gleise für den gemischten Verkehr [m]
R = 150 m - Zwischengerade - R = 150 m 16,9
R = 160 m - Zwischengerade - R = 160 m 15,0
R = 170 m - Zwischengerade - R = 170 m 13,5
R = 180 m - Zwischengerade - R = 180 m 12,2
R = 190 m - Zwischengerade - R = 190 m 11,1
R = 200 m - Zwischengerade - R = 200 m 10,00
R = 210 m - Zwischengerade - R = 210 m 9,1
R = 220 m - Zwischengerade - R = 220 m 8,2
R = 230 m - Zwischengerade - R = 230 m 7,3
R = 240 m - Zwischengerade - R = 240 m 6,4
R = 250 m - Zwischengerade - R = 250 m 5,4
R = 260 m - Zwischengerade - R = 260 m 4,1
R = 270 m - Zwischengerade - R = 270 m 2,0
R = 275 m - Zwischengerade - R = 275 m 0
*) Anmerkung: Bei Gegenbögen mit verschiedenen Bogenhalbmessern ist zur Auslegung des geraden Stücks zwischen den Kurven der Halbmesser der kleineren Kurve zugrunde zu legen.

7.7.6.5. Nennspurweite ( 4.2.4.1)

P-Fälle

Abweichend von Abschnitt 4.2.4.1(1) beträgt die Nennspurweite 1.524 mm.

7.7.6.6. Überhöhung ( 4.2.4.2)

P-Fälle

(1) Abweichend von Abschnitt 4.2.4.2(1) gilt bei der Nennspurweite von 1.524 mm eine Auslegungsobergrenze für die Überhöhung von 180 mm für Gleise mit Schotteroberbau oder fester Fahrbahn.

(2) Abweichend von Abschnitt 4.2.4.2(3) gilt bei der Nennspurweite von 1.524 mm für neue Strecken mit gemischtem Verkehr oder Güterverkehr in Kurven mit einem Bogenhalbmesser unter 320 m und einem Überhöhungsübergang von mehr als 1 mm/m ein Grenzwert für die Überhöhung, der nach der folgenden Formel festzulegen ist

D ≤ (R - 50) x 0,7

dabei bezeichnet D die Überhöhung in mm und R den Halbmesser in m.

7.7.6.7. Maximal zulässige Herzstücklücke von Weichen und Kreuzungen ( 4.2.5.3)

P-Fälle

In Absatz (1) der Anlage J gilt für die Nennspurweite von 1.524 mm:

  1. Abweichend von Absatz ( J.1)(b) beträgt der minimale Bogenhalbmesser durch das Kreuzungsstück 200 m; für einen Radius von 200-220 m ist der kleine Bogenhalbmesser durch eine breitere Spurweite auszugleichen.
  2. Abweichend von Absatz ( J.1)(c) beträgt die Radlenkerüberhöhung mindestens 39 mm.

7.7.6.8 Soforteingriffsschwelle für die Spurweite als Einzelfehler ( 4.2.8.4)

P-Fälle

Abweichend von Abschnitt 4.2.8.4(1) gelten für die Nennspurweite von 1.524 mm die Soforteingriffsschwellen für die Spurweite als Einzelfehler gemäß Tabelle 23.

Tabelle 23: Soforteingriffsschwellen für die Spurweite bei der Nennspurweite von 1.524 mm

Geschwindigkeit [km/h] Abmessungen [mm]
Mindestspurweite Höchstspurweite
v ≤ 60 1.515 1.554
60 < v ≤ 120 1.516 1.552
120 < v ≤ 160 1.517 1.547
160 < v ≤ 200 1.518 1.543
200 < v ≤ 250 1.519 1.539
v > 250 1.520 1.539

7.7.6.9. Soforteingriffsschwelle für die Überhöhung ( 4.2.8.5)

P-Fälle

Abweichend von Abschnitt 4.2.8.5(1) gilt bei der Nennspurweite von 1.524 mm eine im Betrieb zulässige maximale Überhöhung von 190 mm.

7.7.6.10. Soforteingriffsschwellen für Weichen und Kreuzungen ( 4.2.8.6)

P-Fälle

Abweichend von Abschnitt 4.2.8.6(1) gilt bei der Nennspurweite von 1.524 mm, dass die technischen Merkmale von Weichen und Kreuzungen den folgenden Betriebswerten entsprechen müssen:

  1. Höchstwert für den freien Durchgang im Zungenbereich: 1.469 mm.
    Dieser Wert kann erhöht werden, wenn der Infrastrukturbetreiber nachweisen kann, dass das Antriebs- und Verschlusssystem der Weiche in der Lage ist, den Querbeanspruchungen eines Radsatzes standzuhalten.
  2. Mindestwert für die Leitweite starrer Herzstücke: 1.476 mm.
    Die Messung erfolgt 14 mm unterhalb der Lauffläche und auf der theoretischen Bezugslinie in einem angemessenen Abstand hinter dem praktischen Herzpunkt (RP), wie in Abbildung 2 dargestellt.
    Bei Kreuzungen mit zurückverlegter Herzstückspitze kann ein geringerer Wert gewählt werden. In diesem Fall hat der Infrastrukturbetreiber nachzuweisen, dass die Zurückverlegung der Herzstückspitze ausreicht, so dass das Rad nicht am praktischen Herzpunkt (RP) anläuft.
  3. Höchstwert für den freien Durchgang im Zungenbereich: 1.440 mm.
  4. Höchstwert für den freien Raddurchlauf im Radlenker-Einlauf//Flügelschienen-Einlauf: 1.469 mm.
  5. Kleinste Rillenweite: 42 mm.
  6. Kleinste Rillentiefe: 40 mm.
  7. Höchstwert für die Überhöhung des Radlenkers: 55 mm.

7.7.6.11. Bahnsteigabstand ( 4.2.9.3)

P-Fälle

Abweichend von Abschnitt 4.2.9.3(1) ist bei der Nennspurweite von 1.524 mm der Abstand zwischen Gleismitte und Bahnsteigkante parallel zur Schienenoberkante des Mindestlichtraums festzulegen und ist in Kapitel 13 der Norm EN 15273-3:2013 definiert. Der Mindestlichtraum ist auf der Grundlage der Begrenzungslinie FIN1 festzulegen. Der gemäß Kapitel 13 der Norm EN 15273-3:2013 berechnete Mindestabstand bq wird im Folgenden als bqlim bezeichnet.

7.7.6.12. Außenreinigungsanlagen ( 4.2.12.3)

P-Fälle

Abweichend von Abschnitt 4.2.12.3(1) gilt bei der Nennspurweite von 1.524 mm, dass es beim Einsatz von Waschanlagen möglich sein muss, die Außenflächen von ein- oder zweistöckigen Zügen zu reinigen, deren Höhe in folgenden Bereichen liegt:

  1. 330 bis 4.367 mm bei einstöckigen Zügen,
  2. 330 bis 5.300 mm bei Doppelstockzügen.

7.7.6.13. Bewertung des Lichtraumprofils ( 6.2.4.1)

P-Fälle

Abweichend von Abschnitt 6.2.4.1(1) gilt bei der Nennspurweite von 1.524 mm, dass die Bewertung des Lichtraumprofils als Entwurfsprüfung anhand charakteristischer Querschnitte unter Verwendung der Ergebnisse von Berechnungen erfolgt, die vom Infrastrukturbetreiber oder von der unter Vertrag genommenen Stelle auf der Grundlage der Abschnitte 5, 6 und 10 und von Anhang D, Abschnitt D. 4.4 der Norm EN 15273-3:2013 vorgenommen wurden.

7.7.7. Besonderheiten des französischen Netzes

7.7.7.1. Bahnsteighöhe ( 4.2.9.2)

P-Fälle

Für das Schienennetz von Ile-de-France ist die nominelle Bahnsteighöhe von 920 mm über Schienenoberkante zulässig.

7.7.8. Besonderheiten des deutschen Netzes

7.7.8.1. Bahnsteighöhe ( 4.2.9.2)

P-Fälle

Für S-Bahn-Dienste ist die nominelle Bahnsteighöhe von 960 mm über Schienenoberkante zulässig.

7.7.9. Besonderheiten des griechischen Netzes

7.7.9.1. Bahnsteighöhe ( 4.2.9.2)

P-Fälle

Die nominelle Bahnsteighöhe von 300 mm über Schienenoberkante ist zulässig.

7.7.10. Besonderheiten des italienischen Netzes

7.7.10.1. Bahnsteigabstand ( 4.2.9.3)

P-Fälle

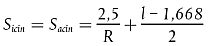
Abweichend von Abschnitt 4.2.9.3(1) wird für die Bahnsteige mit 550 mm Höhe der Abstand bqlim [mm] zwischen der Gleisachse und der Bahnsteigkante, parallel zur Schienenoberkante, nach folgender Formel berechnet:

  1. auf geradem Gleis und im Gleisbogen:

    bqlim = 1.650 + 3.750/R + (g - 1.435)/2 + 11,5

  2. außerhalb von Gleisbögen:

bqlim = 1.650 + 3.750/R + (g - 1.435)/2 + 11,5 + 220 *tanδ

dabei ist R der Radius des Gleisbogens in Metern, g die Spurweite, δ der Winkel der Überhöhung zur Horizontallinie.

7.7.10.2. Äquivalente Konizität ( 4.2.4.5)

P-Fälle

(1) Abweichend von Abschnitt 4.2.4.5.(3) sind die Auslegungswerte für Spurweite, Schienenkopfprofil und Schienenneigung auf freier Strecke so zu wählen, dass die Grenzwerte für die äquivalente Konizität in Tabelle 24 nicht überschritten werden.

Tabelle 24: Auslegungsgrenzwerte für die äquivalente Konizität

Radprofil
Geschwindigkeitsbereich [km/h] S1002, GV1/40 EPS
v ≤ 60 Keine Bewertung erforderlich
60 < v ≤ 200 0,25 0,30
200 < v ≤ 280 0,20 Nicht anwendbar
v > 280 0,10 Nicht anwendbar

(2) Abweichend von Abschnitt 4.2.4.5.(4) sind die folgenden Radsätze für die geplanten Gleisbedingungen zu modellieren (Simulation durch Berechnung gemäß der Norm EN 15302:2008+A1:2010):

  1. S 1002 gemäß Definition in Anhang C der Norm EN 13715:2006 +A1:2010 mit SR1.
  2. S 1002 gemäß Definition in Anhang C der Norm EN 13715:2006 +A1:2010 mit SR2.
  3. GV 1/40 gemäß Definition in Anhang B der Norm EN 13715:2006+A1:2010 mit SR1.
  4. GV 1/40 gemäß Definition in Anhang B der Norm EN 13715:2006+A1:2010 mit SR2.
  5. EPS gemäß Definition in Anhang D der Norm EN 13715:2006+A1:2010 mit SR1.

Für SR1 und SR2 gelten folgende Werte:

  1. Für das 1.435-mm-Bahnsystem SR 1 = 1.420 mm und SR2 = 1.426 mm.

7.7.10.3. Äquivalente Konizität im Betrieb ( 4.2.11.2)

P-Fälle

Abweichend von Abschnitt 4.2.11.2.(2) muss der Infrastrukturbetreiber die Spurweite und die Schienenkopfprofile am betreffenden Standort in einem Abstand von etwa 10 m messen. Die mittlere äquivalente Konizität über 100 m wird berechnet durch Modellierung mit den in Abschnitt 7.7.10.2 (2) dieser TSI genannten Radsätzen (a) - (e), um für die Zwecke der gemeinsamen Untersuchung zu überprüfen, dass der Grenzwert der äquivalenten Konizität für das Gleis gemäß Tabelle 14 eingehalten wird.

7.7.11. Besonderheiten des lettischen Netzes

7.7.11.1 Stabilität neuer Brücken gegenüber Verkehrslasten - vertikale Lasten ( 4.2.7.1.1)

P-Fälle

(1) In Abschnitt 4.2.7.1.1(1) (a) ist beim 1.520-mm-Bahnsystem das Lastmodell 71 mit einer verteilten Last qvk von 100 kN/m anzuwenden.

(2) Abweichend von Abschnitt 4.2.7.1.1(3) ist beim 1.520-mm-Bahnsystem für den Faktor Alpha (α) in jedem Fall der Wert 1,46 zu verwenden.

7.7.12. Besonderheiten des polnischen Netzes

7.7.12.1. TSI-Streckenklassen ( 4.2.1)

P-Fälle

In Abschnitt 4.2.1(6) Tabelle 2 Zeile P3 ist anstelle der Begrenzungslinie DE3 für umgerüstete oder erneuerte Strecken in Polen die Begrenzungslinie G2 zulässig.

7.7.12.2. Gleisabstand ( 4.2.3.2)

P-Fälle

Abweichend von Abschnitt 4.2.3.2(4) ist bei der Spurweite 1.520 mm für Bahnhofsgleise für den direkten Güterumschlag von Wagen auf Wagen ein horizontaler Regelmindestabstand von 3,60 m zulässig.

7.7.12.3. Mindestbogenhalbmesser ( 4.2.3.4)

P-Fälle

Abweichend von Abschnitt 4.2.3.4(4) sind bei der Spurweite 1.520 mm auf anderen Gleisen als Hauptgleisen Gegenbögen mit Halbmessern zwischen 150 m und 250 m mit einer Zwischengeraden von mindestens 10 m zwischen den Kurven auszulegen.

7.7.12.4. Mindestausrundungshalbmesser ( 4.2.3.5)

P-Fälle

Abweichend von Abschnitt 4.2.3.5(3) muss bei der Spurweite 1.520 mm der Ausrundungshalbmesser (außer in Rangierbahnhöfen) sowohl für eine Kuppe als auch eine Wanne 2.000 m betragen.

7.7.12.5. Überhöhungsfehlbetrag ( 4.2.4.3)

P-Fälle

Abweichend von Abschnitt 4.2.4.3(3) darf für alle Arten von Fahrzeugen für die Spurweite 1.520 mm der Überhöhungsfehlbetrag nicht größer als 130 mm sein.

7.7.12.6 Unvermittelte Änderung des Überhöhungsfehlbetrags ( 4.2.4.4)

P-Fälle

Abweichend von Abschnitt 4.2.4.4(3) sind bei der Spurweite 1.520 mm die Anforderungen der Abschnitte 4.2.4.4(1) und 4.2.4.4(2) anzuwenden.

7.7.12.7. Soforteingriffsschwelle für Gleisverwindungen ( 4.2.8.3)

P-Fälle

Anstelle der Abschnitte 4.2.8.3(4) und 4.2.8.3(5) sind bei der Spurweite 1.520 mm die Abschnitte 4.2.8.3(1) bis 4.2.8.3(3) anzuwenden.

7.7.12.8 Soforteingriffsschwelle für die Spurweite als Einzelfehler ( 4.2.8.4)

P-Fälle

Abweichend von den Anforderungen in Tabelle 13 unter Abschnitt 4.2.8.4(2) sind die Grenzwerte für 1.520 mm Spurweite in Polen in der folgenden Tabelle aufgeführt:

Tabelle 25: Soforteingriffsschwellen für die Spurweite bei der Nennspurweite von 1.520 mm in Polen

Geschwindigkeit [km/h] Abmessungen [mm]
Mindestspurweite Höchstspurweite
V < 50 1.511 1.548
50 ≤ V ≤ 140 1.512 1.548
V > 140 1.512 1.536

7.7.12.9. Soforteingriffsschwellen für Weichen und Kreuzungen ( 4.2.8.6)

P-Fälle

(1) Abweichend von Abschnitt 4.2.8.6(1)(d) ist für bestimmte Arten von Weichen mit R = 190 m und Kreuzungen mit einer Neigung von 1:9 und 1:4,444 der Höchstwert für den freien Durchgang im Bereich Radlenker/Flügelschiene von 1.385 mm zulässig.

(2) Abweichend von Abschnitt 4.2.8.6(3) gilt bei der Nennspurweite von 1.520 mm, dass die technischen Merkmale von Weichen und Kreuzungen den folgenden Betriebswerten entsprechen müssen:

  1. Höchstwert für den freien Durchgang im Zungenbereich: 1.460 mm.
    Dieser Wert kann erhöht werden, wenn der Infrastrukturbetreiber nachweisen kann, dass das Antriebs- und Verschlusssystem der Weiche in der Lage ist, den Querbeanspruchungen eines Radsatzes standzuhalten.
  2. Mindestwert für die Leitweite starrer Herzstücke: 1.472 mm.
    Die Messung erfolgt 14 mm unterhalb der Schienenoberkante und auf der theoretischen Bezugslinie in einem angemessenen Abstand hinter dem praktischen Herzpunkt (RP), wie in Abbildung 2 dargestellt.
    Bei Kreuzungen mit zurückverlegter Herzstückspitze kann ein geringerer Wert gewählt werden. In diesem Fall hat der Infrastrukturbetreiber nachzuweisen, dass die Zurückverlegung der Herzstückspitze ausreicht, so dass das Rad nicht am praktischen Herzpunkt (RP) anläuft.
  3. Höchstwert für den freien Durchgang im Zungenbereich: 1.436 mm.
  4. Kleinste Rillenweite: 38 mm.
  5. Kleinste Rillentiefe: 40 mm.
  6. Höchstwert für die Überhöhung des Radlenkers: 55 mm.

7.7.12.10. Bahnsteighöhe ( 4.2.9.2)

P-Fälle

(1) Für Bahnsteige im Stadt- oder Vorortverkehr ist die nominelle Bahnsteighöhe von 960 mm über Schienenoberkante zulässig.

(2) Für umgerüstete oder erneuerte Strecken mit einer Höchstgeschwindigkeit von nicht mehr als 160 km/h ist die nominelle Bahnsteighöhe von 220 mm bis 380 mm über Schienenoberkante zulässig.

7.7.12.11. Äquivalente Konizität im Betrieb ( 4.2.11.2)

T-Fälle

Bis zur Einführung von Geräten zur Messung der erforderlichen Elemente für die Berechnung der äquivalenten Konizität im Betrieb ist es in Polen zulässig, diesen Parameter nicht zu bewerten.

7.7.12.12. Gleisschwellen ( 5.3.3)

P-Fälle

Die Anforderung von Abschnitt 5.3.3(2) ist für Geschwindigkeiten über 250 km/h anzuwenden.

7.7.13. Besonderheiten des portugiesischen Netzes

7.7.13.1. Lichtraumprofil ( 4.2.3.1)

P-Fälle

(1) Abweichend von Abschnitt 4.2.3.1(1) ist für die Nennspurweite von 1.668 mm der obere Teil der Begrenzungslinie auf der Grundlage der Profile in Tabelle 26 und Tabelle 27 festzulegen, die in Anhang D Abschnitt D.4.3 der Norm EN 15273-3:2013 definiert sind.

Tabelle 26: Portugiesische Begrenzungslinien für den Personenverkehr

Verkehrscode Begrenzungslinie
P1 PTc
P2 PTb +
P3 PTc
P4 PTb +
P5 PTb
P6 PTb

Tabelle 27: Portugiesische Begrenzungslinien für den Güterverkehr

Verkehrscode Begrenzungslinie
F1 PTc
F2 PTb +
F3 PTb
F4 PTb

(2) Abweichend von Nummer 4.2.3.1(2) muss für die Nennspurweite von 1.668 mm der untere Teil der Begrenzungslinie dem Anhang D Abschnitt D.4.3.4 der Norm EN 15273-3:2013 entsprechen.

(3) Abweichend von Nummer 4.2.3.1(3) ist für die Nennspurweite von 1.668 mm die Begrenzungslinie nach dem kinematischen Verfahren gemäß den Anforderungen von Anhang D Abschnitt D.4.3. der Norm EN 15273-3:2013 zu berechnen.

7.7.13.2. Gleisabstand ( 4.2.3.2)

P-Fälle

Abweichend von Abschnitt 4.2.3.2(1) ist für die Nennspurweite von 1.668 mm ist der Gleisabstand auf der Grundlage der Referenzbegrenzungslinien PTb, PTb+ oder PTc festzulegen, die in Anhang D Abschnitt D.4.3 der Norm EN 15273-3:2013 definiert sind.

7.7.13.3 Soforteingriffsschwelle für die Spurweite als Einzelfehler ( 4.2.8.4)

P-Fälle

Abweichend von Abschnitt 4.2.8.4(1) gelten für die Nennspurweite von 1.668 mm die Soforteingriffsschwellen für die Spurweite als Einzelfehler gemäß Tabelle 28.

Tabelle 28: Soforteingriffsschwellen für die portugiesische Spurweite

Geschwindigkeit [km/h] Abmessungen [mm]
Mindestspurweite Höchstspurweite
V ≤ 120 1.657 1.703
120 < V ≤ 160 1.658 1.703
160 < V ≤ 230 1.661 1.696
V > 230 1.663 1.696

7.7.13.4. Soforteingriffsschwellen für Weichen und Kreuzungen ( 4.2.8.6)

P-Fälle

Abweichend von Abschnitt 4.2.8.6(1) gilt bei der Nennspurweite von 1.668 mm, dass die technischen Merkmale von Weichen und Kreuzungen den folgenden Betriebswerten entsprechen müssen:

  1. Höchstwert für den freien Durchgang im Zungenbereich: 1.618 mm.
    Dieser Wert kann erhöht werden, wenn der Infrastrukturbetreiber nachweisen kann, dass das Antriebs- und Verschlusssystem der Weiche in der Lage ist, den Querbeanspruchungen eines Radsatzes standzuhalten.
  2. Mindestwert für die Leitweite starrer Herzstücke: 1.625 mm.
    Die Messung erfolgt 14 mm unterhalb der Schienenoberkante und auf der theoretischen Bezugslinie in einem angemessenen Abstand hinter dem praktischen Herzpunkt (RP), wie in Abbildung 2 dargestellt.
    Bei Kreuzungen mit zurückverlegter Herzstückspitze kann ein geringerer Wert gewählt werden. In diesem Fall hat der Infrastrukturbetreiber nachzuweisen, dass die Zurückverlegung der Herzstückspitze ausreicht, so dass das Rad nicht am praktischen Herzpunkt (RP) anläuft.
  3. Höchstwert für den freien Durchgang im Zungenbereich: 1.590 mm.
  4. Höchstwert für den freien Durchgang im Bereich Radlenker/Flügelschiene: 1.618 mm.
  5. Kleinste Rillenweite: 38 mm.
  6. Kleinste Rillentiefe: 40 mm.
  7. Höchstwert für die Überhöhung des Radlenkers: 70 mm.

7.7.13.5. Bahnsteighöhe ( 4.2.9.2)

P-Fälle

Bei der Nennspurweite von 1.668 mm ist für umgerüstete oder erneuerte Bahnsteige die nominelle Bahnsteighöhe von 685 und 900 mm über Schienenoberkante für Halbmesser von mehr als 300 m zulässig.

7.7.13.6. Bahnsteigabstand ( 4.2.9.3)

P-Fälle

(1) Abweichend von Abschnitt 4.2.9.3(1) ist bei der Nennspurweite von 1.668 mm der Abstand zwischen Gleismitte und Bahnsteigkante parallel zur Schienenoberkante (bq) wie in Kapitel 13 der Norm EN 15273-3:2013 definiert auf der Grundlage des Mindestlichtraums (bqlim) festzulegen. Der Mindestlichtraum ist auf der Grundlage der Begrenzungslinie PTb+ gemäß Definition in Anhang D Abschnitt D.4.3 der Norm EN 15273-3:2013 zu berechnen.

(2) Bei einem Dreischienengleis ist der Mindestlichtraum die Hülllinie, die sich bei der Überlagerung des Lichtraums zentriert auf das Spurmaß 1.668 mm und des Lichtraums gemäß 4.2.9.3(1) zentriert auf das Spurmaß 1.435 mm ergibt.

7.7.13.7. Bewertung des Lichtraumprofils ( 6.2.4.1)

P-Fälle

Abweichend von Abschnitt 6.2.4.1(1) gilt bei der Nennspurweite von 1.668 mm, dass die Bewertung des Lichtraumprofils als Entwurfsprüfung anhand charakteristischer Querschnitte unter Verwendung der Ergebnisse von Berechnungen erfolgt, die vom Infrastrukturbetreiber oder von der unter Vertrag genommenen Stelle auf der Grundlage der Kapitel 5, 7 und 10 und Abschnitt D.4.3 der Norm EN 15273-3:2013 vorgenommen wurden.

7.7.13.8. Bewertung der maximalen Druckschwankungen in Tunneln ( 6.2.4.12)

P-Fälle

Abweichend von Abschnitt 6.2.4.12(3) ist bei der Nennspurweite von 1.668 mm für den zu berücksichtigenden Bezugsquerschnitt (konstant entlang eines Zuges) unabhängig für jedes Triebfahrzeug oder jeden nicht motorisierten Wagen folgender Wert zu verwenden:

  1. 12 m2 für Fahrzeuge, die für das kinematische Bezugsprofil PTc ausgelegt sind,
  2. 11 m2 für Fahrzeuge, die für das kinematische Bezugsprofil PTb und PTb+ ausgelegt sind.

Die Fahrzeugbegrenzungslinie ist anhand des gemäß Abschnitt 7.7.13.1. ausgewählten Profils festzulegen.

7.7.14. Besonderheiten des irischen Netzes

7.7.14.1. Lichtraumprofil ( 4.2.3.1)

P-Fälle

Abweichend von Abschnitt 4.2.3.1(5) ist bei der Nennspurweite von 1.600 mm die Anwendung der einheitlichen Begrenzungslinie IRL2 gemäß Anlage O dieser TSI zulässig.

7.7.14.2. Gleisabstand ( 4.2.3.2)

P-Fälle

Abweichend von Nummer 4.2.3.2(6) wird für die Nennspurweite von 1.600 mm der Gleisabstand auf der Grundlage der gemäß Abschnitt 7.7.14.1 gewählten Begrenzungslinien festgelegt. Der horizontale Regelgleisabstand ist für die Auslegung festzulegen und darf für die Begrenzungslinie IRL2 nicht weniger als 3,47 m betragen. Darin sind Toleranzen für aerodynamische Wirkungen berücksichtigt.

7.7.14.3. Bewertung des Lichtraumprofils ( 6.2.4.1)

P-Fälle

Abweichend von Abschnitt 6.2.4.1(5) gilt bei der Spurweite von 1.600 mm, dass die Bewertung des Lichtraumprofils als Entwurfsprüfung anhand charakteristischer Querschnitte unter Verwendung der Begrenzungslinie IRL2 gemäß der Definition in Anlage O dieser TSI erfolgt.

7.7.15. Besonderheiten des spanischen Netzes

7.7.15.1. Lichtraumprofil ( 4.2.3.1)

P-Fälle

(1) Abweichend von Abschnitt 4.2.3.1(1) ist für die Nennspurweite von 1.668 mm der obere Teil der Begrenzungslinie auf der Grundlage der Profile in Tabelle 29 und Tabelle 30 festzulegen, die in Anhang D Abschnitt D.4.11 der Norm EN 15273-3:2013 definiert sind.

Tabelle 29: Begrenzungslinien für den Personenverkehr im spanischen Schienennetz

Verkehrscode Begrenzungslinie obere Teile
P1 GEC16
P2 GEB16
P3 GEC16
P4 GEB16
P5 GEB16
P6 GHE16

Tabelle 30: Begrenzungslinien für den Güterverkehr im spanischen Schienennetz

Verkehrscode Begrenzungslinie obere Teile
F1 GEC16
F2 GEB16
F3 GEB16
F4 GHE16

Für erneuerte oder umgerüstete Strecken ist der obere Teil der Begrenzungslinie anhand des Profils GHE16 gemäß Definition in Anhang D, Abschnitt D.4.11 der Norm EN 15273-3:2013 festzulegen.

(2) Abweichend von Abschnitt 4.2.3.1(2) ist für die Nennspurweite von 1.668 mm der untere Teil der Begrenzungslinie das Profil GEI2 gemäß Anlage P dieser TSI. Sind Gleise mit Gleisbremsen ausgerüstet, ist die Begrenzungslinie GEI1 für den unteren Teil der Begrenzungslinie gemäß Anlage P dieser TSI anzuwenden.

(3) Abweichend von Abschnitt 4.2.3.1(3) ist für die Nennspurweite von 1.668 mm die Begrenzungslinie nach dem kinematischen Verfahren gemäß den Anforderungen von Anhang D Abschnitt D.4.11 der Norm EN 15273-3:2013 für die oberen Teile und von Anlage P dieser TSI für die unteren Teile zu berechnen.

7.7.15.2. Gleisabstand ( 4.2.3.2)

P-Fälle

Abweichend von Abschnitt 4.2.3.2(1) ist für die Nennspurweite von 1.668 mm der Gleisabstand auf der Grundlage der Begrenzungslinien für die oberen Teile GHE16, GEB16 oder GEC16 festzulegen, die in Anhang D Abschnitt D.4.11 der Norm EN 15273-3:2013 definiert sind.

7.7.15.3. Gleisverwindung durch Einflüsse des Schienenverkehrs ( 4.2.7.1.6)

P-Fälle

Abweichend von Abschnitt 4.2.7.1.6(1) darf bei der Nennspurweite von 1.668 mm die gemäß Auslegung höchstzulässige gesamte Gleisverwindung aufgrund der Einflüsse des Schienenverkehrs nicht mehr als 8 mm/3 m betragen.

7.7.15.4 Soforteingriffsschwelle für die Spurweite als Einzelfehler ( 4.2.8.4)

P-Fälle

Abweichend von Abschnitt 4.2.8.4(1) gelten für die Nennspurweite von 1.668 mm die Soforteingriffsschwellen für die Spurweite als Einzelfehler gemäß Tabelle 31.

Tabelle 31: Soforteingriffsschwellen für die Spurweite von 1.668 mm

Geschwindigkeit [km/h] Abmessungen [mm]
Mindestspurweite Höchstspurweite
V ≤ 80 1.659 1.698
80 < V ≤ 120 1.659 1.691
120 < V ≤ 160 1.660 1.688
160 < V ≤ 200 1.661 1.686
200 < V ≤ 240 1.663 1.684
240 < V ≤ 280 1.663 1.682
280 < V ≤ 320 1.664 1.680
320 < V ≤ 350 1.665 1.679

7.7.15.5. Soforteingriffsschwellen für Weichen und Kreuzungen ( 4.2.8.6)

P-Fälle

Abweichend von Abschnitt 4.2.8.6(1) gilt bei der Nennspurweite von 1.668 mm, dass die technischen Merkmale von Weichen und Kreuzungen den folgenden Betriebswerten entsprechen müssen:

  1. Höchstwert für den freien Durchgang im Zungenbereich: 1.618 mm.
    Dieser Wert kann erhöht werden, wenn der Infrastrukturbetreiber nachweisen kann, dass das Antriebs- und Verschlusssystem der Weiche in der Lage ist, den Querbeanspruchungen eines Radsatzes standzuhalten.
  2. Mindestwert für die Leitweite starrer Herzstücke: 1.626 mm.
    Die Messung erfolgt 14 mm unterhalb der Schienenoberkante und auf der theoretischen Bezugslinie in einem angemessenen Abstand hinter dem praktischen Herzpunkt (RP), wie in Abbildung 2 dargestellt.
    Bei Kreuzungen mit zurückverlegter Herzstückspitze kann ein geringerer Wert gewählt werden. In diesem Fall hat der Infrastrukturbetreiber nachzuweisen, dass die Zurückverlegung der Herzstückspitze ausreicht, so dass das Rad nicht am praktischen Herzpunkt (RP) anläuft.
  3. Höchstwert für den freien Durchgang im Zungenbereich: 1.590 mm.
  4. Höchstwert für den freien Raddurchlauf im Radlenker-Einlauf/Flügelschienen-Einlauf: 1.620 mm.
  5. Kleinste Rillenweite: 38 mm.
  6. Kleinste Rillentiefe: 40 mm.
  7. Höchstwert für die Radlenkerüberhöhung: 70 mm.

7.7.15.6. Bahnsteighöhe ( 4.2.9.2)

P-Fälle

Als nominelle Bahnsteighöhe für:

  1. Pendler- oder Regionalverkehr oder
  2. Pendler- und Fernverkehr
  3. Regional- und Fernverkehr

bei Halten im Regelbetrieb ist 680 mm über der Schienenoberkante für Bogenhalbmesser von 300 m und mehr zulässig.

7.7.15.7. Bahnsteigabstand ( 4.2.9.3)

P-Fälle

(1) Abweichend von Abschnitt 4.2.9.3(1) ist bei der Nennspurweite von 1.668 mm der Abstand zwischen Gleismitte und Bahnsteigkante parallel zur Schienenoberkante (bq) wie in Kapitel 13 der Norm EN 15273-3:2013 definiert auf der Grundlage des Mindestlichtraums (bqlim) festzulegen. Der Mindestlichtraum ist auf der Grundlage der Begrenzungslinien der oberen Teile GAE 16 oder GEC 16 gemäß Definition in Anhang D Abschnitt D.4.11 der Norm EN 15273-3:2013 zu berechnen.

(2) Bei einem Dreischienengleis ist der Mindestlichtraum die Hülllinie, die sich bei der Überlagerung des Lichtraums zentriert auf das Spurmaß 1.668 mm und des Lichtraums gemäß 4.2.9.3(1) zentriert auf das Spurmaß 1.435 mm ergibt.

7.7.15.8. Bewertung des Lichtraumprofils ( 6.2.4.1)

P-Fälle

Abweichend von Abschnitt 6.2.4.1(1) gilt bei der Nennspurweite von 1.668 mm, dass die Bewertung des Lichtraumprofils als Entwurfsprüfung anhand charakteristischer Querschnitte unter Verwendung der Ergebnisse von Berechnungen erfolgt, die vom Infrastrukturbetreiber oder von der unter Vertrag genommenen Stelle auf der Grundlage der Kapitel 5, 7 und 10 und von Anhang D Abschnitt D.4.11 der Norm EN 15273- 3:2013 für die oberen Teile und Anlage P dieser TSI für die unteren Teile vorgenommen wurden.

7.7.15.9. Bewertung der maximalen Druckschwankungen in Tunneln ( 6.2.4.12)

P-Fälle

Abweichend von Abschnitt 6.2.4.12(3) ist bei der Nennspurweite von 1.668 mm für den zu berücksichtigenden Bezugsquerschnitt unabhängig für jedes Triebfahrzeug oder jeden nicht motorisierten Wagen folgender Wert zu verwenden:

  1. 12 m2 für Fahrzeuge, die für das kinematische Bezugsprofil GEC16 ausgelegt sind,
  2. 11 m2 für Fahrzeuge, die für das kinematische Bezugsprofil GEB 16 und GHE 16 ausgelegt sind.

Die zu berücksichtigende Fahrzeugbegrenzungslinie ist anhand der gemäß Abschnitt 7.7.15.1 ausgewählten Begrenzungslinie festzulegen.

7.7.16. Besonderheiten des schwedischen Netzes

7.7.16.1. Allgemeines

P-Fälle

Bei Infrastruktur mit direkter Anbindung an das finnische Eisenbahnnetz sowie bei Infrastruktur in Häfen können die Besonderheiten des finnischen Schienennetzes, die in Abschnitt 7.7.6 dieser TSI angegeben sind, auf Gleise angewendet werden, die für Fahrzeuge für die Nennspurweite von 1.524 mm bestimmt sind.

7.7.16.2. Bahnsteigabstand ( 4.2.9.3)

P-Fälle

Wie in Abschnitt 4.2.9.3(1) ausgeführt, ist der Abstand zwischen Gleismitte und Bahnsteigkante parallel zur Schienenoberkante (bq) wie in Kapitel 13 der Norm EN 15273-3:2013 definiert mit den folgenden Werten für die zulässige zusätzliche Ausladung (Skin) zu berechnen:

  1. auf der Bogeninnenseite: Skin = 40,5/R,
  2. auf der Bogenaußenseite: Skin = 31,5/R.

7.7.17. Besonderheiten des Netzes des Vereinigten Königreichs in Großbritannien

7.7.17.1. TSI-Streckenklassen ( 4.2.1)

P-Fälle

(1) Werden in dieser TSI Streckengeschwindigkeiten in Kilometer pro Stunde [km/h] als Kategorien- oder Leistungskennwert angegeben, ist es zulässig, die Geschwindigkeit in den äquivalenten Wert in Meilen pro Stunde [mph] gemäß Anlage G für das nationale Netz des Vereinigten Königreich in Großbritannien umzurechnen.

(2) Anstelle der Spalte "Lichtraumprofil" in Tabelle 2 und Tabelle 3 von Abschnitt 4.2.1(7) ist für das Lichtraumprofil aller Strecken, ausgenommen neue, für den Hochgeschwindigkeitsverkehr bestimmte Strecken des Verkehrscodes P1, die Anwendung nationaler technischer Vorschriften gemäß Anlage Q zulässig.

7.7.17.2. Lichtraumprofil ( 4.2.3.1)

P-Fälle

Abweichend von Abschnitt 4.2.3.1 wird für nationale Begrenzungslinien, die gemäß Abschnitt 7.7.17.1(2) ausgewählt wurden, die Begrenzungslinie gemäß Anlage Q festgelegt.

7.7.17.3. Gleisabstand ( 4.2.3.2)

P-Fälle

(1) Abweichend von Abschnitt 4.2.3.2 muss der Regelgleisabstand 3.400 mm auf gerader Strecke sowie auf gebogenen Gleisabschnitten mit einem Halbmesser von mindestens 400 m betragen.

(2) Kann aufgrund topographischer Gegebenheiten ein nominaler Gleisabstand von 3.400 mm nicht eingehalten werden, so ist eine Verringerung dieses Abstands zulässig, sofern besondere Maßnahmen getroffen werden, um sichere Zugbegegnungen zu gewährleisten.

(3) Die Verringerung des Gleisabstands muss gemäß den nationalen technischen Vorschriften in Anlage Q erfolgen.

7.7.17.3.a Äquivalente Konizität ( 4.2.4.5)

P-Fälle

(1) Abweichend von Abschnitt 4.2.4.5.(3) sind die Auslegungswerte für Spurweite, Schienenkopfprofil und Schienenneigung auf freier Strecke so zu wählen, dass die Grenzwerte für die äquivalente Konizität in Tabelle 32 nicht überschritten werden.

Tabelle 32: Auslegungsgrenzwerte für die äquivalente Konizität

Radprofil
Geschwindigkeitsbereich [km/h] S1002, GV1/40 EPS
v ≤ 60 Keine Bewertung erforderlich
60 < v ≤ 200 0,25 0,30
200 < v ≤ 280 0,20 0,20
v > 280 0,10 0,15

(2) Abweichend von Abschnitt 4.2.4.5.(4) sind die folgenden Radsätze für die geplanten Gleisbedingungen zu modellieren (Simulation durch Berechnung gemäß der Norm EN 15302:2008+A1:2010):

  1. S 1002 gemäß Definition in Anhang C der Norm EN 13715:2006 +A1:2010 mit SR1.
  2. S 1002 gemäß Definition in Anhang C der Norm EN 13715:2006 +A1:2010 mit SR2.
  3. GV 1/40 gemäß Definition in Anhang B der Norm EN 13715:2006+A1:2010 mit SR1.
  4. GV 1/40 gemäß Definition in Anhang B der Norm EN 13715:2006+A1:2010 mit SR2.
  5. EPS gemäß Definition in Anhang D der Norm EN 13715:2006+A1:2010 mit SR1.

Für SR1 und SR2 gelten folgende Werte:

  1. Für das 1.435-mm-Bahnsystem SR1 = 1.420 mm und SR2 = 1.426 mm.

7.7.17.4. Maximal zulässige Herzstücklücke von Weichen und Kreuzungen ( 4.2.5.3)

P-Fälle

Abweichend von Abschnitt 4.2.5.3 muss der Planungswert der maximal zulässigen Herzstücklücke von Weichen und Kreuzungen den in Anlage Q aufgeführten nationalen technischen Vorschriften entsprechen.

7.7.17.5. Soforteingriffsschwellen für Weichen und Kreuzungen ( 4.2.8.6)

P-Fälle

Abweichend von Abschnitt 4.2.8.6(1)(b) ist für Weichen und Kreuzungen der Bauart "CEN 56 Vertikal" ein Mindestwert für die Leitweite von 1.388 mm zulässig (gemessen 14 mm unterhalb der Schienenoberkante und auf der theoretischen Bezugslinie in einem angemessenen Abstand hinter dem praktischen Herzpunkt (RP) gemäß Abbildung 2).

7.7.17.6. Bahnsteighöhe ( 4.2.9.2)

P-Fälle

Abweichend von Abschnitt 4.2.9.2 sind für die Bahnsteighöhe nationale technische Vorschriften gemäß Anlage Q zulässig.

7.7.17.7. Bahnsteigabstand ( 4.2.9.3)

P-Fälle

Abweichend von Abschnitt 4.2.9.3 sind für den Bahnsteigabstand nationale technische Vorschriften gemäß Anlage Q zulässig.

7.7.17.8. Äquivalente Konizität im Betrieb ( 4.2.11.2)

P-Fälle

Abweichend von Abschnitt 4.2.11.2.(2) muss der Infrastrukturbetreiber die Spurweite und die Schienenkopfprofile am betreffenden Standort in einem Abstand von etwa 10 m messen. Die mittlere äquivalente Konizität über 100 m wird berechnet durch Modellierung mit den in Abschnitt 7.7.17.3(2) dieser TSI genannten Radsätzen (a) - (e), um für die Zwecke der gemeinsamen Untersuchung zu überprüfen, dass der Grenzwert der äquivalenten Konizität für das Gleis gemäß Tabelle 14 eingehalten wird.

7.7.17.9. Bewertung des Lichtraumprofils ( 6.2.4.1)

P-Fälle

Abweichend von Abschnitt 6.2.4.1 ist die Bewertung des Lichtraumprofils in Übereinstimmung mit den nationalen technischen Vorschriften gemäß Anlage Q zulässig.

7.7.17.10. Bewertung des Gleisabstands ( 6.2.4.2)

P-Fälle

Abweichend von Abschnitt 6.2.4.2 ist die Bewertung des Gleisabstands in Übereinstimmung mit den nationalen technischen Vorschriften gemäß Anlage Q zulässig.

7.7.17.11. Bewertung des Bahnsteigabstandes ( 6.2.4.11)

P-Fälle

Abweichend von Abschnitt 6.2.4.11 ist die Bewertung des Bahnsteigabstandes in Übereinstimmung mit den nationalen technischen Vorschriften gemäß Anlage Q zulässig.

7.7.18. Besonderheiten des Netzes des Vereinigten Königreichs in Nordirland

7.7.18.1. Lichtraumprofil ( 4.2.3.1)

P-Fälle

Abweichend von Abschnitt 4.2.3.1(5) ist bei der Nennspurweite von 1.600 mm die Anwendung des einheitlichen Lichtraumprofils IRL2 gemäß Anhang O dieser TSI zulässig.

7.7.18.2. Gleisabstand ( 4.2.3.2)

P-Fälle

Abweichend von Nummer 4.2.3.2(6) wird für die Nennspurweite von 1.600 mm der Gleisabstand auf der Grundlage der gemäß Abschnitt 7.7.17.1 gewählten Begrenzungslinien festgelegt. Der horizontale Regelgleisabstand ist für die Auslegung festzulegen und hat Toleranzen für aerodynamische Wirkungen zu berücksichtigen. Der zulässige Mindestwert für das einheitliche Lichtraumprofil IRL3 ist ein offener Punkt.

7.7.18.3. Bewertung des Lichtraumprofils ( 6.2.4.1)

P-Fälle

Abweichend von Abschnitt 6.2.4.1(5) gilt bei der Spurweite von 1.600 mm, dass die Bewertung des Lichtraumprofils als Entwurfsprüfung anhand charakteristischer Querschnitte unter Verwendung des Lichtraumprofils IRL3 gemäß der Definition in Anhang O dieser TSI erfolgt.

7.7.19. Besonderheiten des slowakischen Netzes

7.7.19.1. TSI-Streckenklassen ( 4.2.1)

P-Fälle

Für den Verkehrscode F1520 gemäß der Definition in Tabelle 3 von Abschnitt 4.2.1(6) ist beim 1.520-mm- Bahnsystem die Verwendung einer Radsatzlast von 24,5 t und einer Zuglänge von 650 m bis 1.050 m zulässig.

7.7.19.2. Mindestbogenhalbmesser ( 4.2.3.4)

P-Fälle

(1) Abweichend von Nummer 4.2.3.4(3) sind Gegenbögen (außer solchen in Rangierbahnhöfen, in denen die Wagen einzeln rangiert werden) mit Halbmessern zwischen 150 m und 300 m für neue Strecken gemäß Tabelle 31 und Tabelle 32 auszulegen, um ein Verkeilen der Puffer zu verhindern.

(2) Abweichend von Abschnitt 4.2.3.4(4) sind bei der Spurweite 1.520 mm auf Hauptgleisen Gegenbögen mit Halbmessern zwischen 150 m und 250 m mit einer Zwischengeraden von mindestens 15 m zwischen den Kurven auszulegen.

(3) Abweichend von Abschnitt 4.2.3.4(4) sind bei der Spurweite 1.520 mm auf anderen Gleisen als Hauptgleisen Gegenbögen mit Halbmessern zwischen 150 m und 250 m gemäß Tabelle 33 und Tabelle 34 auszulegen.

Tabelle 33: Grenzwerte für die Länge eines geraden Zwischenstücks zwischen zwei langen kreisförmigen Kurven in entgegengesetzter Richtung (m)

R1/R2 150 160 170 180 190 200 220 230 250 280 300
150 11,0 10,7 10,4 10,0 9,8 9,5 9,0 8,7 8,1 7,6 6,7
160 10,7 10,4 10,0 9,8 9,5 9,0 8,6 8,1 7,6 6,7 6,4
170 10,4 10,0 9,8 9,5 9,0 8,5 8,1 7,6 6,7 6,4 6,0
180 10,0 9,8 9,5 9,0 8,5 8,0 7,5 6,6 6,4 6,0 5,5
190 9,8 9,5 9,0 8,5 8,0 7,5 6,5 6,3 6,0 5,4 4,5
200 9,5 9,0 8,5 8,0 7,5 6,5 6,2 6,0 5,3 4,0 3,0
220 9,0 8,6 8,1 7,5 6,5 6,2 6,0 5,3 4,0 3,0 0,0
230 8,7 8,1 7,6 6,6 6,3 6,0 5,3 4,0 3,0 0,0
250 8,1 7,6 6,7 6,4 6,0 5,3 4,0 3,0 0,0
280 7,6 6,7 6,4 6,0 5,4 4,0 3,0 0,0
300 6,7 6,4 6,0 5,5 4,5 3,0 0,0
325 6,4 6,0 5,7 5,0 4,0 0,0
350 6,3 5,8 5,2 4,0 3,0 0,0
400 6,0 5,2 4,0 3,0 0,0
450 5,5 4,5 3,0 0,0
500 5,0 3,0 0,0
600 3,0 0,0
700 0,0

Tabelle 34: Grenzwerte für die Länge eines geraden Zwischenstücks zwischen zwei langen kreisförmigen Kurven in entgegengesetzter Richtung (m) für Personenzüge mit Geschwindigkeiten bis zu 40 km/h auf anderen Gleisen als Hauptgleisen

R1/R2 150 160 170 180 190 200 220 230 250
150 11,0 10,7 10,4 10,0 9,8 9,5 9,0 8,7 8,1
160 10,7 10,4 10,0 9,8 9,5 9,0 8,6 8,1 7,6
170 10,4 10,0 9,8 9,5 9,0 8,5 8,1 7,6 6,7
180 10,0 9,8 9,5 9,0 8,5 8,0 7,5 6,6 6,4
190 9,8 9,5 9,0 8,5 8,0 7,5 6,5 6,3 6,0
200 9,5 9,0 8,5 8,0 7,5 6,7 6,2 6,0 5,3
220 9,0 8,6 8,1 7,5 6,5 6,2 6,0 5,3 4,0
230 8,7 8,1 7,6 6,6 6,3 6,0 5,3 4,0 4,0
250 8,1 7,6 6,7 6,4 6,0 5,3 4,0 4,0 4,0
280 7,6 6,7 6,4 6,0 5,4 4,0 4,0 4,0 4,0
300 6,7 6,4 6,0 5,5 4,5 4,0 4,0 4,0 4,0
325 6,4 6,0 5,7 5,0 4,0 4,0 4,0 4,0 4,0
350 6,3 5,8 5,2 4,0 4,0 4,0 4,0 4,0 4,0
400 6,0 5,2 4,0 4,0 4,0 4,0 4,0 4,0 4,0
450 5,5 4,5 4,0 4,0 4,0 4,0 4,0 4,0 4,0
500 5,0 4,0 4,0 4,0 4,0 4,0 4,0 4,0 4,0
600 4,0 4,0 4,0 4,0 4,0 4,0 4,0 4,0 4,0

7.7.19.3. Mindestausrundungshalbmesser ( 4.2.3.5)

P-Fälle

(1) Abweichend von Abschnitt 4.2.3.5(1) muss ausschließlich für Nebengleise mit einer Höchstgeschwindigkeit von bis zu 10 km/h der Ausrundungshalbmesser (außer bei Ablaufbergen in Rangierbahnhöfen) sowohl für eine Kuppe als auch eine Wanne mindestens 500 m betragen.

(2) Abweichend von Abschnitt 4.2.3.5(3) muss beim 1.520-mm-Bahnsystem der Ausrundungshalbmesser (außer in Rangierbahnhöfen) sowohl für eine Kuppe als auch eine Wanne mindestens 2.000 m, bei beengten Verhältnissen (z.B. nicht ausreichendem Platz) sowohl für eine Kuppe als auch eine Wanne mindestens 1.000 m betragen.

(3) Bei Nebengleisen mit einer Höchstgeschwindigkeit von bis zu 10 km/h ist die Verwendung eines Ausrundungshalbmessers von mindestens 500 m sowohl für eine Kuppe als auch eine Wanne zulässig.

(4) Abweichend von Abschnitt 4.2.3.5(4) muss bei der Spurweite 1.520 mm der Ausrundungshalbmesser bei Ablaufbergen in Rangierbahnhöfen mindestens 300 m für eine Kuppe und 250 m für eine Wanne betragen.

7.7.19.4. Überhöhungsfehlbetrag ( 4.2.4.3)

P-Fälle

Abweichend von Abschnitt 4.2.4.3(3) darf der Überhöhungsfehlbetrag für alle Arten von Fahrzeugen des 1.520-mm-Bahnsystems 137 mm nicht überschreiten. Im Personenverkehr gilt dieser Grenzwert für Geschwindigkeiten bis 230 km/h. Im gemischten Verkehr gilt dieser Grenzwert für Geschwindigkeiten bis 160 km/h.

7.7.19.5. Soforteingriffsschwelle für Gleisverwindungen ( 4.2.8.3)

P-Fälle

Anstelle der Abschnitte 4.2.8.3(4) und 4.2.8.3(5) sind beim 1.520 mm-Bahnsystem die Abschnitte 4.2.8.3(1) bis 4.2.8.3(3) anzuwenden.

7.7.19.6 Soforteingriffsschwelle für die Spurweite als Einzelfehler ( 4.2.8.4)

P-Fälle

Abweichend von Abschnitt 4.2.8.4(2) gelten im 1.520-mm-Bahnsystem die Soforteingriffsschwellen für die Spurweite als Einzelfehler gemäß Tabelle 35.

Tabelle 35: Soforteingriffsschwellen für die Spurweite im 1.520-mm-Bahnsystem in der Slowakischen Republik

Geschwindigkeit [km/h] Abmessungen [mm]
Mindestspurweite Höchstspurweite
V ≤ 80 1.511 1.555
80 < V ≤ 120 1.512 1.550
120 < V ≤ 160 1.513 1.545
160 < V ≤ 230 1.514 1.540

7.7.19.7. Soforteingriffsschwelle für die Überhöhung ( 4.2.8.5)

P-Fälle

Abweichend von Abschnitt 4.2.8.5(3) gilt im 1.520-mm-Bahnsystem eine im Betrieb zulässige maximale Überhöhung von 170 mm.

7.7.19.8. Soforteingriffsschwellen für Weichen und Kreuzungen ( 4.2.8.6)

P-Fälle

Abweichend von Abschnitt 4.2.8.6(3) gilt im 1.520-mm-Bahnsystem, dass die technischen Merkmale von Weichen und Kreuzungen den folgenden Werten im Betriebszustand entsprechen müssen:

  1. Der Mindestwert des Zwischenraums an der engsten Stelle zwischen offener Weichenzunge und Schiene (Bypass) beträgt 60 mm.
  2. Der Mindestwert für die Leitweite starrer Herzstücke beträgt 1.472 mm. Die Messung erfolgt 14 mm unterhalb der Schienenoberkante und auf der theoretischen Bezugslinie in einem angemessenen Abstand hinter dem praktischen Herzpunkt (RP), wie in Abbildung 2 dargestellt. Bei Kreuzungen mit zurückverlegter Herzstückspitze kann ein geringerer Wert gewählt werden. In diesem Fall hat der Infrastrukturbetreiber nachzuweisen, dass die Zurückverlegung der Herzstückspitze ausreicht, so dass das Rad nicht am praktischen Herzpunkt (RP) anläuft.
  3. Der Höchstwert für den freien Durchgang im Zungenbereich beträgt 1.436 mm.
  4. Die Mindestrillenbreite beträgt 40 mm.
  5. Die Mindestrillentiefe beträgt 40 mm.
  6. Der Höchstwert für die Überhöhung des Radlenkers beträgt 54 mm.

7.7.19.9. Bahnsteighöhe ( 4.2.9.2)

P-Fälle

Für erneuerte Strecken mit einer Höchstgeschwindigkeit von nicht mehr als 120 km/h ist eine nominelle Bahnsteighöhe von 200 mm bis 300 mm über der Schienenoberkante zulässig.

7.7.19.10. Äquivalente Konizität im Betrieb ( 4.2.11.2)

T-Fälle

Bis zur Einführung von Geräten zur Messung der erforderlichen Elemente für die Berechnung der äquivalenten Konizität im Betrieb ist es in der Slowakischen Republik zulässig, diesen Parameter nicht zu bewerten.

7.7.19.11. Gleisschwellen ( 5.3.3)

P-Fälle

Die Anforderung von Abschnitt 5.3.3(2) ist für Geschwindigkeiten über 250 km/h anzuwenden.

1) Entscheidung 2008/232/EG der Kommission vom 21. Februar 2008 über die technische Spezifikation für die Interoperabilität des Teilsystems Fahrzeuge des transeuropäischen Hochgeschwindigkeitsbahnsystems (ABl. Nr. L 84 vom 26.03.2008 S. 132).

2) Richtlinie 98/83/EG des Rates vom 3. November 1998 über die Qualität von Wasser für den menschlichen Gebrauch (ABl. Nr. L 330 vom 05.12.1998 S. 32).

3) Empfehlung 2014/881/EU der Kommission vom 18. November 2014 zum Verfahren für den Nachweis des Umfangs der Übereinstimmung bestehender Eisenbahnstrecken mit den Eckwerten der technischen Spezifikationen für die Interoperabilität (siehe Seite 520 dieses Amtsblatts).

4) Noch nicht im Amtsblatt veröffentlicht.

5) Entscheidung Nr. 1692/96/EG des Europäischen Parlaments und des Rates vom 23. Juli 1996 über gemeinschaftliche Leitlinien für den Aufbau eines transeuropäischen Verkehrsnetzes (ABl. Nr. L 228 vom 09.09.1996 S. 1).

.

Bewertung von Interoperabilitätskomponenten Anlage A


Die Merkmale der Interoperabilitätskomponenten, die von der benannten Stelle oder dem Hersteller nach Maßgabe des gewählten Moduls in den verschiedenen Entwurfs-, Entwicklungs- und Produktionsphasen zu bewerten sind, sind in der Tabelle 36 mit einem "X" gekennzeichnet. Ist keine Bewertung erforderlich, so wird dies durch "n.r." (nicht relevant) in der Tabelle gekennzeichnet.

Es sind keine spezifischen Bewertungsverfahren für Interoperabilitätskomponenten des Teilsystems "Infrastruktur" vorgeschrieben.

Tabelle 36: Bewertung von Interoperabilitätskomponenten für die EG-Konformitätserklärung

Zu bewertende Merkmale Bewertung in folgender Phase
Entwurfs- und Entwicklungsphase Produktionsphase Herstellungsprozess und Produktprüfung
Entwurfsprüfung Prüfung des Fertigungsverfahrens Baumusterprüfung Produktqualität
(Serie)
5.3.1 Schiene
5.3.1.1 Schienenkopfprofil X n.r. X X
5.3.1.2 Schienenhärte X X X X
5.3.2 Schienenbefestigungssysteme n.r. n.r. X X
5.3.3 Gleisschwellen X X n.r. X

.

Bewertung des Teilsystems "Infrastruktur" Anlage B


Die Merkmale des Teilsystems, die in den verschiedenen Entwurfs-, Herstellungs-/Bau- und Betriebsphasen bewertet werden müssen, sind in Tabelle 37 mit einem "X" gekennzeichnet.

Ist keine Bewertung durch eine benannte Stelle erforderlich, so wird dies in der Tabelle durch den Vermerk "n. r." (nicht relevant) gekennzeichnet. Dies schließt weitere Bewertungen im Rahmen anderer Phasen nicht aus.

Bestimmung der Bewertungsphasen:

(1) "Entwurfsprüfung": Beinhaltet die Überprüfung der Richtigkeit der Werte/Parameter anhand der maßgeblichen TSI-Anforderungen bezüglich des Endentwurfs.

(2) "Montage vor der Inbetriebnahme": Kontrolle vor Ort, ob das tatsächliche Produkt oder Teilsystem den einschlägigen Entwurfsparametern unmittelbar vor der Inbetriebnahme entspricht.

In Spalte 3 wird auf den Abschnitt 6.2.4 "Besondere Bewertungsverfahren für das Teilsystem" und Abschnitt 6.2.5 "Technische Lösungen, bei denen in der Entwurfsphase von der Konformität ausgegangen wird" verwiesen.

Tabelle 37: Bewertung des Teilsystems "Infrastruktur' für die EG-Konformitätsprüfung

Zu bewertende Merkmale Neue Strecke oder Umrüstungs-/
Erneuerungsprojekt
Besondere Bewertungsverfahren
Entwurfsprüfung Montage vor der Inbetriebnahme
1 2 3
Lichtraumprofil ( 4.2.3.1) X X 6.2.4.1
Gleisabstand ( 4.2.3.2) X X 6.2.4.2
Maximale Längsneigungen ( 4.2.3.3) X n.r.
Mindestbogenhalbmesser ( 4.2.3.4) X X 6.2.4.4
Mindestausrundungshalbmesser ( 4.2.3.5) X n.r. 6.2.4.4
Nennspurweite ( 4.2.4.1) X X 6.2.4.3
Überhöhung ( 4.2.4.2) X X 6.2.4.4
Überhöhungsfehlbetrag ( 4.2.4.3) X n.r. 6.2.4.4
6.2.4.5
Unvermittelte Änderung des Überhöhungsfehlbetrags ( 4.2.4.4) X n.r. 6.2.4.4
Bewertung der Planungswerte der äquivalenten Konizität ( 4.2.4.5) X n.r. 6.2.4.6
Schienenkopfprofil auf freier Strecke ( 4.2.4.6) X n.r. 6.2.4.7
Schienenneigung ( 4.2.4.7) X n.r.
Entwurfsgeometrie von Weichen und Kreuzungen ( 4.2.5.1) X n.r. 6.2.4.8
Verwendung von Weichen mit beweglichem Herz stück ( 4.2.5.2) X n.r. 6.2.4.8
Maximal zulässige Herzstücklücke (führungslose Strecke) ( 4.2.5.3) X n.r. 6.2.4.8
Gleislagestabilität gegenüber Vertikallasten ( 4.2.6.1) X n.r. 6.2.5.
Gleislagestabilität in Längsrichtung ( 4.2.6.2) X n.r. 6.2.5.
Gleislagestabilität in Querrichtung ( 4.2.6.3) X n.r. 6.2.5.
Stabilität neuer Brücken gegenüber Verkehrslasten ( 4.2.7.1) X n.r. 6.2.4.9
Äquivalente vertikale Belastung neuer Erdbauwerke und Erddruckwirkungen auf neue Tragwerke ( 4.2.7.2) X n.r. 6.2.4.9
Stabilität neuer Bauwerke über oder neben den Gleisen ( 4.2.7.3) X n.r. 6.2.4.9
Stabilität bestehender Brücken und Erdbauwerke gegenüber Verkehrslasten ( 4.2.7.4) X n.r. 6.2.4.10
Soforteingriffsschwelle für die Pfeilhöhe ( 4.2.8.1) n.r. n.r.
Soforteingriffsschwelle für die Längshöhe ( 4.2.8.2) n.r. n.r.
Soforteingriffsschwelle für die Gleisverwindung ( 4.2.8.3) n.r. n.r.
Soforteingriffsschwelle für die Spurweite als Einzelfehler ( 4.2.8.4) n.r. n.r.
Soforteingriffsschwelle für die Überhöhung ( 4.2.8.5) n.r. n.r.
Soforteingriffsschwellen für Weichen und Kreuzungen ( 4.2.8.6) n.r. n.r.
Bahnsteignutzlänge ( 4.2.9.1) X n.r.
Bahnsteighöhe ( 4.2.9.2) X X
Bahnsteigabstand ( 4.2.9.3) X X 6.2.4.11
Trassierung entlang von Bahnsteigen ( 4.2.9.4) X n.r.
Maximale Druckschwankungen in Tunneln ( 4.2.10.1) X n.r. 6.2.4.12
Einwirkungen durch Seitenwind ( 4.2.10.2) n.r. n.r. 6.2.4.13
Streckenkilometerzeichen ( 4.2.11.1) n.r. n.r.
Äquivalente Konizität im Betrieb ( 4.2.11.2) n.r. n.r.
Zugtoilettenentleerung ( 4.2.12.2) n.r. n.r. 6.2.4.14
Außenreinigungsanlagen ( 4.2.12.3) n.r. n.r. 6.2.4.14
Wasserbefüllung ( 4.2.12.4) n.r. n.r. 6.2.4.14
Kraftstoffbetankung ( 4.2.12.5) n.r. n.r. 6.2.4.14
Ortsfeste Stromversorgung ( 4.2.12.6) n.r. n.r. 6.2.4.14
Verwendung von Interoperabilitätskomponenten n.r. X

.

Technische Merkmale der Oberbaukonstruktion und der Konstruktion von Weichen und Kreuzungen Anlage C


Anlage C.1 Technische Merkmale der Oberbaukonstruktion

Die Oberbaukonstruktion muss anhand mindestens folgender technischer Merkmale festgelegt werden:

  1. Schiene
  2. Befestigungssystem
  3. Schwelle
  4. Schienenneigung
  5. Schotteroberbau-Querschnitte (Schotterkrone - Schotterschichtdicke)
  6. Schottertyp (Grad = Körnung)
  7. Schwellenabstand
  8. Besondere Vorrichtungen: z.B. Schwellenanker, dritte/vierte Schiene usw.

Anlage C.2 Technische Merkmale der Konstruktion von Weichen und Kreuzungen

Die Konstruktion von Weichen und Kreuzungen muss anhand mindestens folgender technischer Merkmale festgelegt werden:

  1. Schiene
  2. Befestigungssystem
  3. Schwelle
  4. Schienenneigung
  5. Schotteroberbau-Querschnitte (Schotterkrone - Schotterbettdicke)
  6. Schottertyp (Grad = Körnung)
  7. Art der Kreuzung (feste oder bewegliche Herzstückspitze)
  8. Art der Verriegelung (Weiche, bewegliche Herzstückspitze)
  9. Besondere Vorrichtungen: z.B. Schwellenanker, dritte/vierte Schiene usw.
  10. Regelzeichnung der Weichen und Kreuzungen mit Folgendem:

.

Bedingungen für die Verwendung von Oberbaukonstruktionen und Konstruktionen von Weichen und Kreuzungen Anlage D


Anlage D.1 Bedingungen für die Verwendung von Oberbaukonstruktionen

Die Bedingungen für die Verwendung von Oberbaukonstruktionen werden wie folgt festgelegt:

  1. maximale Radsatzlast [t]
  2. maximale Streckengeschwindigkeit [km/h]
  3. Mindestbogenhalbmesser [m]
  4. maximale Überhöhung [mm]
  5. maximaler Überhöhungsfehlbetrag [mm]

Anlage D.2 Bedingungen für die Verwendung von Konstruktionen von Weichen und Kreuzungen

Die Bedingungen für die Verwendung von Konstruktionen von Weichen und Kreuzungen werden wie folgt festgelegt:

  1. maximale Radsatzlast [t]
  2. maximale Streckengeschwindigkeit [km/h] auf Stamm- und Abzweiggleis
  3. Vorschriften für Weichenbögen auf der Grundlage generischer Auslegungen mit Angabe der Mindestbogenhalbmesser (für Stamm- und Abzweiggleis)

.

Verkehrscodespezifische Kapazitätsanforderungen an Bauwerke Anlage E


Die Mindestkapazitätsanforderungen an Bauwerke sind in Tabelle 38 und Tabelle 39 entsprechend den Verkehrscodes von Tabelle 2 und Tabelle 3 festgelegt. Die Kapazitätsanforderungen an Bauwerke sind in Tabelle 38 und Tabelle 39 anhand eines kombinierten Parameters festgelegt, der sich aus der EN-Streckenklasse und einer zugehörigen Höchstgeschwindigkeit zusammensetzt. Die EN-Streckenklasse und zugehörige Höchstgeschwindigkeit sind als ein einzelner kombinierter Parameter zu betrachten.

Die EN-Streckenklasse wird durch die maximale Radsatzlast und sich aus dem Radsatzabstand ergebende geometrische Aspekte bestimmt. EN-Streckenklassen sind in Anhang a der EN 15528:2008+A1:2012 aufgeführt.

Tabelle 38: EN-Streckenklasse - Zugehörige Geschwindigkeit 1, 6 [km/h] - Personenverkehr

Verkehrscode Personenwagen (einschl. Reisezugwagen, Gepäckwagen und Autotransportern) und leichte Güterwagen 2, 3 Lokomotiven und Triebköpfe 2, 4 Diesel- oder elektrisch betriebene Triebzüge, Triebfahrzeuge und Triebwagen 2, 3
P 1 Offener Punkt
P2
P3a (> 160 km/h) a - 200
B1 - 160
D2 - 200 11 Offener Punkt
P3b (d 160 km/h) B1 - 160 D2 - 160 C2 8 - 160
D2 9 - 120
P4a (> 160 km/h) a - 200
B1 - 160
D2 - 200 11 Offener Punkt
P4b (d 160 km/h) a - 160
B1 - 140
D2 - 160 B1 7 - 160
C2 8 - 140
D2 9 - 120
P5 B1 - 120 C2 - 120 5 B1 7 - 120
P6 a12 10
P1.520 Offener Punkt
P1.600 Offener Punkt

Tabelle 39: EN-Streckenklasse - Zugehörige Geschwindigkeit 1, 6 [km/h] - Güterverkehr

Verkehrscode Güterwagen und sonstige Fahrzeuge Lokomotiven 2
F1 D4 - 120 D2 - 120
F2 D2 - 120 D2 - 120
F3 C2 - 100 C2 - 100
F4 B2 - 100 B2 - 100
F1520 Offener Punkt
F1600 Offener Punkt

Anmerkungen:

1) Der in der Tabelle angegebene Geschwindigkeitswert stellt die Höchstanforderung für die Strecke dar und kann in Übereinstimmung mit den Anforderungen in Abschnitt 4.2.1(10) niedriger sein. Bei der Überprüfung einzelner Bauwerke auf der Strecke ist es zulässig, die Art des Fahrzeugs und die örtlich zulässige Geschwindigkeit zu berücksichtigen.

2) Personenfahrzeuge (einschl. Reisezugwagen, Gepäckwagen und Autotransporter), sonstige Fahrzeuge, Lokomotiven, Triebköpfe, diesel- und elektrisch betriebene Triebzüge, Triebfahrzeuge und Triebwagen sind in der TSI RST definiert. Leichte Güterwagen sind wie Gepäckwagen definiert, nur dass sie in Zugeinheiten gefahren werden dürfen, die nicht für die Personenbeförderung vorgesehen sind.

3) Die Anforderungen an Bauwerke stehen im Einklang mit Personenwagen, Gepäckwagen, Autotransportern, leichten Güterwagen, Fahrzeugen in diesel- und elektrisch betriebenen Triebzügen sowie Triebfahrzeugen mit einer Länge zwischen 18 m und 27,5 m (konventionelle und Gelenkfahrzeuge) bzw. zwischen 9 m und 14 m (normale Einzelachsen).

4) Die Anforderungen an Bauwerke stehen im Einklang mit bis zu zwei aneinander gekoppelten Lokomotiven und/oder Triebköpfen. Die Anforderungen an Bauwerke sind ausgelegt für eine Höchstgeschwindigkeit von 120 km/h für drei oder mehr gekoppelte Lokomotiven und/oder Triebköpfe (oder ein Zug aus Lokomotiven und/oder Triebköpfen), sofern diese die entsprechenden Grenzwerte für Güterwagen einhalten.

5) Für den Verkehrscode P5 kann der Mitgliedstaat selbst angeben, ob die Anforderungen an Lokomotiven und Triebköpfe gelten.

6) Bei der Überprüfung der Kompatibilität einzelner Züge und Bauwerke muss die Grundlage der Überprüfung der Anlage K dieser TSI entsprechen.

7) Die Anforderungen an Bauwerke stehen im Einklang mit einer über die Länge eines Reisezugwagens/Fahrzeugs gemittelten Durchschnittmasse von 2,75 t/m.

8) Die Anforderungen an Bauwerke stehen im Einklang mit einer über die Länge eines Reisezugwagens/Fahrzeugs gemittelten Durchschnittmasse von 3,1 t/m.

9) Die Anforderungen an Bauwerke stehen im Einklang mit einer über die Länge eines Reisezugwagens/Fahrzeugs gemittelten Durchschnittmasse von 3,5 t/m.

10) Siehe Anlage L dieser TSI

11) Es sind nur Fahrzeuge mit 4 Radsätzen zulässig. Der Abstand der Radsätze im Drehgestell muss mindestens 2,6 m betragen. Die über die Länge des Fahrzeugs gemittelte Durchschnittmasse darf 5,0 t/m nicht überschreiten.

.

Verkehrscodespezifische Kapazitätsanforderungen an Bauwerke im Vereinigten Königreich Großbritannien und Nordirland Anlage F


Die Mindestkapazitätsanforderungen an Bauwerke sind in Tabelle 40 und Tabelle 41 entsprechend den Verkehrscodes von Tabelle 2 und Tabelle 3 festgelegt. Die Kapazitätsanforderungen sind in Tabelle 41 anhand eines kombinierten Werts festgelegt, der sich aus der RA-Nummer ("Route Availability") und der zugehörigen Höchstgeschwindigkeit zusammensetzt. Die RA-Nummer und die zugehörige Geschwindigkeit sind als ein einzelner kombinierter Wert zu betrachten.

Die RA-Nummer wird durch die Radsatzlast und sich aus dem Radsatzabstand ergebende geometrische Aspekte bestimmt. Die RA-Nummern sind in den zu diesem Zweck notifizierten nationalen technischen Vorschriften festgelegt.

Tabelle 40: RA-Nummer - zugehörige Geschwindigkeit 1, 5 [Meilen pro Stunde] - Personenverkehr

Verkehrscode Personenwagen (einschl. Reisezugwagen, Gepäckwagen, und Autotransportern) und leichte Güterwagen 2, 3, 6 Lokomotiven und Triebköpfe 2, 4 Diesel- oder elektrisch betriebene Triebzüge, Triebfahrzeuge und Triebwagen 2, 3, 6
P1 Offener Punkt
P2
P3a (> 160 km/h) RA1-125
RA2-90
RA7-125 7
RA8-110 7
RA8-100 8
RA5-125 9
Offener Punkt
P3b (d 160 km/h) RA1-100
RA2-90
RA8-100 8
RA5-100 9
RA3-100
P4a (> 160 km/h) RA1-125
RA2-90
RA7-125 7
RA7-100 8
RA4-125 9
Offener Punkt
P4b (d 160 km/h) RA1-100
RA2-90
RA7-100 8
RA4-100 9
RA3-100
P5 RA1-75 RA5-75 8, 10
RA4-75 9, 10
RA3-75
P6 RA1
P1.600 Offener Punkt

Tabelle 41: RA-Nummer - zugehörige Geschwindigkeit 1, 5 [Meilen pro Stunde] - Güterverkehr

Verkehrscode Güterwagen und sonstige Fahrzeuge Lokomotiven 2, 4, 8
F1 RA8-75 RA7-75
F2 RA7-75 RA7-75
F3 RA5-60 RA7-60
F4 RA4-60 RA5-60
F1600 Offener Punkt

Anmerkungen:

1) Der in der Tabelle angegebene Geschwindigkeitswert stellt die Höchstanforderung für die Strecke dar und kann in Übereinstimmung mit den Anforderungen in Abschnitt 4.2.1(10) niedriger sein. Bei der Überprüfung einzelner Bauwerke einer Strecke ist es zulässig, die Art des Fahrzeugs und die örtlich zulässige Geschwindigkeit zu berücksichtigen.

2) Personenfahrzeuge (einschl. Reisezugwagen, Gepäckwagen, und Autotransporter), sonstige Fahrzeuge, Lokomotiven, Triebköpfe, diesel- und elektrisch betriebene Triebzüge, Triebfahrzeuge und Triebwagen sind in der TSI "Fahrzeuge" definiert. Leichte Güterwagen sind wie Gepäckwagen definiert, nur dass sie in Zugeinheiten gefahren werden dürfen, die nicht für die Personenbeförderung vorgesehen sind.

3) Die Anforderungen an Bauwerke stehen im Einklang mit Personenwagen, Gepäckwagen, Autotransportern, leichten Güterwagen, Fahrzeugen in diesel- und elektrisch betriebenen Triebzügen sowie Triebfahrzeugen mit einer Länge zwischen 18 m und 27,5 m (konventionelle und Gelenkfahrzeuge) bzw. zwischen 9 m und 14 m (normale Einzelachsen).

4) Die Anforderungen an Bauwerke stehen im Einklang mit bis zu zwei aneinander gekoppelten Lokomotiven und/oder Triebköpfen. Die Anforderungen an Bauwerke sind ausgelegt bis zu einer Höchstgeschwindigkeit von 75 mph für bis zu fünf gekoppelte Lokomotiven und/oder Triebköpfe (oder ein Zug aus Lokomotiven und/oder Triebköpfen), sofern diese die entsprechenden Grenzwerte für Güterwagen einhalten.

5) Bei der Überprüfung der Kompatibilität einzelner Züge und Bauwerke muss die Grundlage der Überprüfung der Anlage K dieser TSI entsprechen, außer in Fällen, in denen zu diesem Zweck notifizierte nationale technische Vorschriften Änderungen vorsehen.

6) Die Anforderungen an Bauwerke stehen im Einklang mit einer über die Länge eines Reisezugwagens/Fahrzeugs gemittelten Durchschnittmasse von 3,0 t/m.

7) Es sind nur Fahrzeuge mit 4 Achsen zulässig. Der Abstand der Achsen im Drehgestell muss mindestens 2,6 m betragen. Die über die Länge des Fahrzeugs gemittelte Masse darf 4,6 t/m nicht überschreiten.

8) Fahrzeuge mit 4 oder 6 Achsen sind zulässig.

9) Triebkopf, nur Fahrzeuge mit 4 Achsen sind zulässig. Schließt auch Lokomotiven ein, wenn der Längenunterschied zwischen Lokomotive und gezogenen Fahrzeugen weniger als 15 % der Länge der gezogenen Fahrzeuge für Geschwindigkeiten über 90 mph beträgt.

10) Für den Verkehrscode P5 kann der Mitgliedstaat selbst angeben, ob die Anforderungen an Lokomotiven und Triebköpfe gelten.

.

Geschwindigkeitsumrechnung in Meilen pro Stunde für die Republik Irland und das Vereinigte Königreich Großbritannien und Nordirland Anlage G

Tabelle 42: Geschwindigkeitsumrechnung von [km/h] in [mph]

Geschwindigkeit [km/h] Geschwindigkeit [mph]
2 1
3 1
5 3
10 5
15 10
20 10
30 20
40 25
50 30
60 40
80 50
100 60
120 75
140 90
150 95
160 100
170 105
180 110
190 120
200 125
220 135
225 140
230 145
250 155
280 175
300 190
320 200
350 220

.

Lichtraum für das Bahnsystem mit 1.520 mm Spurweite Anlage H


Abbildung 3 Lichtraumprofil S für das 1.520-mm-Bahnsystem [Abmessungen in mm]

Hinweise zu Abbildung 3:

Alle horizontalen Abmessungen sind ab der Gleismitte zu messen, alle vertikalen Abmessungen sind ab der Schienenoberkante zu messen.

Linke Seite des Umrisses - Anwendungen für Gleise im Bahnhof, an einem Halt und für Anschlussgleise/Werksgleise (ausgenommen Umriss Ia, Ib, IIa, IIIa),

Rechte Seite des Umrisses - Anwendungen für Gleise auf freier Strecke.

Anwendung bestimmter Teile des Umrisses:

1,I - 1, I - Lichtraumumriss für nichtelektrifizierte Gleise,

1,I - II - III - II - 1,I - Lichtraumumriss für elektrifizierte Gleise - für Gleise auf freier Strecke und für Gleise im Bahnhof und für Anschluss-/Werksgleise, wo nicht mit stehenden Fahrzeugen zu rechnen ist,

Ia - Ib - IIa - IIIa - Lichtraumumriss für elektrifizierte Gleise - für andere Gleise im Bahnhof und andere Anschluss-/Werksgleise

Anmerkung: Werte von 1.000 mm, 1.020 mm, 6.900 mm und 6.400 mm im Zähler gelten für Fahrleitungssysteme mit Tragseil.

Werte von 1.100 mm, 1.120 mm, 6.750 mm und 6.250 mm im Nenner gelten für Fahrleitungssysteme ohne Tragseil.

11-10-3 - Lichtraumumriss für Bauwerke und Ausrüstung (außer Tunneln, Brücken, Bahnsteigen, Rampen) an der Außenseite von "Kantengleisen";

9-4a - Lichtraumumriss für Tunnel, Brückengeländer, erhöhte Fahrbahn (Schotterprofil), Böschungsmauern und Geländer an anderen Bauwerken des Unterbaus,

12-12 - Umriss, bei dem (auf Gleisen zwischen Bahnhöfen oder in Bahnhöfen innerhalb der nutzbaren Gleislänge) keine Vorrichtung darüber (höher) liegen darf, mit Ausnahme von Überdachungen von Bahnübergängen, Induktionsspulen für Lokomotivsignale, Weichenstellmechanismen und deren in der Nähe befindlichen Signal- und Sicherheitseinrichtungen

14-14 - Umriss eines Gebäudes (oder des Fundaments), von Erdkabeln, Stahlseilen, Rohren und anderen Bauwerken als Eisenbahnbauwerken (mit Ausnahme von Signal- und Sicherheitseinrichtungen)

Für die Nennspurweite von 1.520 mm a1 = 670 mm und a2 = 760 mm.

Für die Nennspurweite von 1.524 mm a1 = 672 mm und a2 = 762 mm.

Abbildung 4 Bezugsprofil der unteren Teile auf Gleisen mit doppelten Kreuzungsweichen

Hinweise zu Abbildung 4:

Der Abstand von 760 mm gilt für die Spurweite 1.520 mm, der Abstand von 762 mm für die Spurweite 1.524 mm.

Abbildung 5 Bezugsprofil der unteren Teile auf Rangierbahnhöfen mit Gleisbremsen

.

Gegenbögen mit Halbmessern zwischen 150 m und 300 m Anlage I

Die Werte in Tabelle 43 beruhen auf einem Referenzfahrzeug (einfacher Reisezugwagen mit einem Abstand zwischen Drehgestellzapfen a = 19 m und Abstand zwischen Pufferstirnseite und Drehgestellzapfen nt = 3,7 m, Pufferbreite Δ = 635 mm und Querspiel des Fahrzeugs w = ± 60 mm) und einem Endausladungsunterschied von 395 mm für zwei benachbarte einfache Reisezugwagen.

Die Werte in Tabelle 44 beruhen auf einem Referenzfahrzeug (einfacher Güterwagen mit einem Abstand zwischen Endachsen oder Drehgestellzapfen von 12 m und einem Abstand zwischen Pufferstirnseite und der Endachse oder dem Drehgestellzapfen von 3 m) und einem Endausladungsunterschied von 225 mm für zwei benachbarte einfache Güterwagen.

Je nach örtlichen Gegebenheiten können eine größere Länge des Zwischenstücks oder besondere Betriebsbedingungen oder eine größere Pufferbreite erforderlich sein, um bei bestehenden Fahrzeugen, die diese Annahmen nicht erfüllen, ein Verkeilen der Puffer zu verhindern.

Tabelle 43: Mindestlänge eines geraden Zwischenstücks zwischen zwei langen kreisförmigen Kurven in entgegengesetzter Richtung [m]

R1
R2
150 155 160 165 170 175 180 185 190 195 200 205 210 215 220
150 10,78 10,53 10,29 10,06 9,83 9,6 9,38 9,16 8,94 8,73 8,52 8,31 8,11 7,91 7,71
160 10,29 9,86 9,48 9,22 8,97 8,73 8,49 8,25 8,02 7,79 7,56 7,34 7,12 6,91 6,69
170 9,83 9,37 8,97 8,62 8,3 8,04 7,78 7,53 7,28 7,04 6,8 6,55 6,31 6,06 5,81
180 9,38 8,91 8,49 8,12 7,78 7,48 7,2 6,93 6,65 6,37 6,08 5,79 5,49 5,18 4,86
190 8,94 8,45 8,02 7,63 7,28 6,96 6,65 6,33 6 5,67 5,33 4,97 4,59 4,19 3,76
200 8,52 8,01 7,56 7,16 6,8 6,44 6,08 5,71 5,33 4,93 4,5 4,04 3,54 2,97 2,28
210 8,11 7,59 7,12 6,7 6,31 5,91 5,49 5,06 4,59 4,09 3,54 2,91 2,11 0,73 0
220 7,71 7,17 6,69 6,25 5,81 5,35 4,86 4,34 3,76 3,1 2,28 0,95 0 0 0
230 7,32 6,77 6,27 5,79 5,29 4,76 4,18 3,52 2,74 1,67 0 0 0 0 0
240 6,95 6,38 5,85 5,32 4,74 4,11 3,38 2,5 1,07 0 0 0 0 0 0
250 6,58 5,99 5,42 4,81 4,14 3,36 2,39 0,51 0 0 0 0 0 0 0
260 6,22 5,6 4,97 4,26 3,46 2,44 0,36 0 0 0 0 0 0 0 0
270 5,86 5,2 4,48 3,66 2,64 0,86 0 0 0 0 0 0 0 0 0
280 5,51 4,78 3,96 2,96 1,45 0 0 0 0 0 0 0 0 0 0
290 5,15 4,33 3,37 2,06 0 0 0 0 0 0 0 0 0 0 0
300 4,77 3,85 2,68 0 0 0 0 0 0 0 0 0 0 0 0
310 4,37 3,31 1,75 0 0 0 0 0 0 0 0 0 0 0 0
320 3,95 2,67 0 0 0 0 0 0 0 0 0 0 0 0 0
330 3,47 1,85 0 0 0 0 0 0 0 0 0 0 0 0 0
340 2,94 0 0 0 0 0 0 0 0 0 0 0 0 0 0
350 2,3 0 0 0 0 0 0 0 0 0 0 0 0 0 0
360 1,41 0 0 0 0 0 0 0 0 0 0 0 0 0 0
370 0 0 0 0 0 0 0 0 0 0 0 0 0 0 0
380 0 0 0 0 0 0 0 0 0 0 0 0 0 0 0

Tabelle 44: Grenzwerte für die Länge eines geraden Zwischenstücks zwischen zwei langen kreisförmigen Kurven in entgegengesetzter Richtung [m] auf Strecken, die für den Güterverkehr bestimmt sind

R1
R2
150 155 160 165 170 175 180 185 190 195 200
150 6,79 6,61 6,43 6,25 6,09 5,92 5,76 5,60 5,44 5,28 5,13
160 6,43 6,20 6,01 5,82 5,63 5,45 5,26 5,07 4,89 4,70 4,51
170 6,09 5,85 5,63 5,42 5,20 4,98 4,76 4,54 4,31 4,08 3,84
180 5,76 5,51 5,26 5,01 4,76 4,51 4,25 3,98 3,70 3,40 3,09
190 5,44 5,16 4,89 4,60 4,31 4,01 3,70 3,36 3,01 2,61 2,15
200 5,13 4,82 4,51 4,18 3,84 3,48 3,09 2,65 2,15 1,51 0
210 4,82 4,47 4,11 3,73 3,32 2,88 2,37 1,73 0,68 0 0
220 4,50 4,11 3,69 3,25 2,75 2,15 1,35 0 0 0 0
230 4,17 3,73 3,24 2,70 2,04 1,07 0 0 0 0 0
240 3,83 3,32 2,74 2,04 0,96 0 0 0 0 0 0
250 3,47 2,87 2,15 1,07 0 0 0 0 0 0 0
260 3,08 2,36 1,35 0 0 0 0 0 0 0 0
270 2,65 1,73 0 0 0 0 0 0 0 0 0
280 2,16 0,68 0 0 0 0 0 0 0 0 0
290 1,51 0 0 0 0 0 0 0 0 0 0
300 0 0 0 0 0 0 0 0 0 0 0

.

Gewährleistung der Sicherheit bei starren stumpfen Kreuzungen Anlage J


(J.1) Starre stumpfe Kreuzungen sollten so entworfen sein, dass eine zu große führungslose Länge vermieden wird. Bei stumpfen Kreuzungen können Radlenker nicht so konstruiert werden, dass eine Führung über die gesamte Länge gewährleistet ist. Diese führungslose Länge kann bis zu einem gewissen Grenzwert akzeptiert werden, der auf einem Referenzfall mit folgenden Festlegungen beruht:

  1. Mindestkreuzungswinkel: Neigung 1 zu 9 (tg a=0,11, a=6°20')
  2. Mindestbogenhalbmesser durch die stumpfe Kreuzung: 450 m
  3. Mindestwert für die Radlenkerüberhöhung: 45 mm
  4. Form der Herzstückspitze gemäß der nachstehenden Abbildung

Abbildung 6 Stumpfe Kreuzung

Abbildung 7 Zurückverlegung der Herzstückspitze

X = 3 mm (über eine Länge von 150 mm).

Y = 8 mm (über eine Länge von etwa 200 bis 500 mm)

(J.2) Ist eine oder mehrere der oben genannten Anforderungen nicht erfüllt, ist der Entwurf daraufhin zu überprüfen, ob entweder die Gleichwertigkeit der Herzstücklücke gegeben ist oder die Interferenz von Rad und Herzstückspitze bei deren Berührung akzeptabel ist.

(J.3) Der Entwurf ist zu prüfen für Räder mit einem Durchmesser zwischen 630 mm und 840 mm. Bei Raddurchmessern zwischen 330 mm und 630 mm ist ein besonderer Nachweis erforderlich.

(J.4) Die folgenden Schaubilder erlauben die einfache Überprüfung der Herzstücklücke für spezifische Fälle mit unterschiedlichen Kreuzungswinkeln, Radlenkerüberhöhungen und unterschiedlicher Krümmung der Kreuzung.

Die Schaubilder berücksichtigen die folgenden Höchsttoleranzen für das Gleis:

  1. Spurweite zwischen 1.433 mm und einschließlich 1.439 mm
  2. Leitweite zwischen 1.393 mm und einschließlich 1.398 mm
  3. Freier Durchgang ≤ 1.356 mm

Abbildung 8 ermöglicht die Ermittlung des Mindestraddurchmessers bei gekrümmten stumpfen Kreuzungen mit einem Bogenhalbmesser von 450 m, Abbildung 9 bei geraden stumpfen Kreuzungen.

Für andere Fälle können spezifische Berechnungen durchgeführt werden.

(J.5) Für andere Spurweitensysteme als 1.435 mm sind spezifische Berechnungen durchzuführen.

Abbildung 8 Mindestraddurchmesser in Abhängigkeit vom Kreuzungswinkel bei stumpfer Kreuzung mit Bogenhalbmesser von 450 m

1 Mindestraddurchmesser [mm].

2 N für den Kreuzungswinkel mit Neigung 1 zu N.

3 Radlenkerüberhöhung [mm] (Z3).

Abbildung 9 Mindestraddurchmesser in Abhängigkeit vom Kreuzungswinkel bei gerader stumpfer Kreuzung

1 Mindestraddurchmesser [mm].

2 N für den Kreuzungswinkel mit Neigung 1 zu N.

3 Radlenkerüberhöhung [mm] (Z3).

.

Grundlage für die Mindestanforderungen an Bauwerke für Reisezugwagen und Triebzüge Anlage K


Die folgenden Definitionen für die Masse von Reisezugwagen und Triebzügen bilden die Grundlage für die Mindestanforderungen an Bauwerke und für die Prüfung der Kompatibilität von Bauwerken mit Reisezugwagen und Triebzügen.

Die EN-Streckenklassen in Anhang E beruhen auf der Entwurfsmasse mit außergewöhnlicher Last gemäß Abschnitt 2.1 der EN 15663:2009+AC:2010 unter Berücksichtigung der in Tabelle 45 aufgeführten Werte für Personenlasten auf Stehflächen.

Ist eine Überprüfung des Dynamikverhaltens von Eisenbahnbrücken erforderlich, um die Tragfähigkeit der Brücke festzulegen, sollte die Tragfähigkeit der Brücke anhand der Entwurfsmasse bei normaler Last gemäß Abschnitt 2.1 der EN 15663:2009+AC:2010 festgelegt und angegeben werden, wobei die in Tabelle 45 aufgeführten Werte für Personenlasten auf Stehflächen zu berücksichtigen sind.

Es ist zu erwarten, dass in der nächsten Überarbeitung der EN 15528+A1:2012 festgelegt wird, dass diese Massendefinitionen bei der Überprüfung der Kompatibilität von Infrastruktur und Fahrzeugen zu verwenden sind.

Tabelle 45: Personenlast auf Stehflächen in kg/m2

Zugart Normallast
zur Spezifizierung der dynamischen Kompatibilität
Außergewöhnliche Last
zur Spezifizierung der Streckenklasse
(statische Kompatibilität)
Hochgeschwindigkeits- und Fernverkehrszüge
Tabelle 3 der EN 15663:2009+AC:2010
160 1 320
Hochgeschwindigkeits- und Fernverkehrszüge
reservierungspflichtig
Tabelle 3 der EN 15663:2009+AC:2010
0 320
Sonstige
(Regional-, S-Bahn-, Vorortzüge)
Tabelle 4 der EN 15663:2009+AC:2010
280 500 2

Anmerkungen:

1) Normallast von Tabelle 3 der EN 15663:2009+AC:2010 zuzüglich 160 kg/m2 für Stehflächen

2) Für bestimmte Nahverkehrsarten (z.B. der RATP in Paris) beträgt die Personenlast auf Stehflächen 700 kg/m2

.

Definition der EN-Streckenklasse a12 für den Verkehrscode P6 Anlage L


Der Verkehrscode P6 wird durch die EN-Streckenklasse a12 bestimmt.

Die EN-Streckenklasse a12 wird durch ein Lastmodell mit einer unbegrenzten Zahl von Referenz-Güterwagen a12 gemäß Abbildung 11 bestimmt. Der Referenz-Güterwagen a12 wird durch die Radsatzlast, die geometrischen Merkmale des Radsatzabstands und der Masse je Längeneinheit bestimmt gemäß Abbildung 10.

Abbildung 10 Referenzwagen der EN-Streckenklasse a12

Referenzwagen Radsatzlast
P
(t)
Masse je Längeneinheit
p (t/m)
Geometrische Merkmale
a12 12,0 2,4

Abbildung 11 Lastmodell der EN-Streckenklasse a12

Streckenklasse Anordnung der Referenzwagen
n... unbegrenzte Anzahl
a12

Für die Infrastruktur-Klasseneinstufung ist die EN-Streckenklasse a12 gemäß Kapitel 5 der EN 15528:2008+A1:2012 zu verwenden.

Allgemeine Informationen zur Verwendung der EN-Streckenklasse a12 für die Einstufung von Fahrzeugen in EN-Streckenklassen enthält Kapitel 6.1 der EN 15528:2008+A1:2012, das in Verbindung mit Anlage K dieser TSI anzuwenden ist.

Es ist zu erwarten, dass die nächste Überarbeitung der EN15528+A1:2012 auch die Streckenklasse a12 umfassen wird.

.

Sonderfall des estnischen Netzes Anlage M


(1) Lokomotive

(2) Verteilte Last: 140 kN/m

(3) Wagen

.

Sonderfälle des griechischen Netzes Anlage N


- Gestrichen -

.

Sonderfall des Netzes der Republik Irland und des Netzes des Vereinigten Königreichs in Nordirland Anlage O


Vorschriften und Zeichnungen bezüglich der Begrenzungslinien IRL1, IRL2 und IRL3 sind ein offener Punkt.

.

Begrenzungslinie für die unteren Teile für die Spurweite 1.668 mm im spanischen Netz Anlage P


Die Begrenzungslinien sind auf der Grundlage der kinematischen Bezugsprofile und der zugehörigen Vorschriften zu bestimmen.

Die Berechnung der Begrenzungslinie hat nach dem kinematischen Verfahren gemäß den Anforderungen der Kapitel 5, 7 und 10 der Norm EN 15273-3:2013 mit den in dieser Anlage festgelegten kinematischen Bezugsprofilen und zugehörigen Vorschriften zu erfolgen.

P.1. Bezugsprofile

P.1.1. Kinematisches Bezugsprofil GEI1

Abbildung 12 zeigt das Bezugsprofil der kinematischen Begrenzungslinie GEI1 für Fahrzeuge, die Gleisbremsen in aktiver Stellung überfahren können.

Abmessungen in mm

Abbildung 12 Bezugsprofil der unteren Teile der kinematischen Begrenzungslinie GEI1 für Fahrzeuge, die Gleisbremsen in aktiver Stellung überfahren können (l = Spurweite)

(1) Schienenoberkante.

P.1.2. Kinematisches Bezugsprofil GE12

Abbildung 13 zeigt das Bezugsprofil der kinematischen Begrenzungslinie GEI2 für Fahrzeuge, die Gleisbremsen in nichtaktiver Stellung überfahren dürfen.

Abmessungen in mm

Abbildung 13 Bezugsprofil der unteren Teile der kinematischen Begrenzungslinie GEI2 für Fahrzeuge, die Gleisbremsen in nicht aktiver Stellung überfahren dürfen (l = Spurweite)

(1) Schienenoberkante.

P.2. Zugehörige Vorschriften

Tabelle 46 gibt die zusätzliche Ausladung für die Begrenzungslinien GEI1 und GEI2 an.

Tabelle 46: Vorschriften für die zusätzliche Ausladung S für die Begrenzungslinien GEl1 und GE12

Zusätzliche Ausladung für Spurweite "l" und Höhe "h" bezogen auf die Schienenoberkante
Bogenhalbmesser h ≤ 0,4 m
250 ≤ R < ∞
150 ≤ R < 250

P.3. Vertikale Absenkung

Die Höhen des unteren Bereichs müssen um den Wert 50/Rv (m) vermindert werden, wobei der Halbmesser in Metern anzugeben ist.

Der Ausrundungshalbmesser Rv ist auf 500 m begrenzt. Höhen nicht über 80 mm sind als Null anzunehmen innerhalb eines Halbmessers Rv zwischen 500 m und 625 m.

.

Nationale technische Vorschriften für Sonderfälle des Netzes des Vereinigten Königreichs Anlage Q

Die nationalen technischen Vorschriften für Besonderheiten des Netzes des Vereinigten Königreichs, auf die in Abschnitt 7.7.17 dieser TSI Bezug genommen wird, sind die in Tabelle 47 aufgeführten Unterlagen. Alle Unterlagen sind abrufbar unter www.rgsonline.co.uk.

Tabelle 47: Notifizierte nationale technische Vorschriften für Sonderfälle des Netzes des Vereinigten Königreichs

Sonderfall TSI-Abschnitt Anforderung Bezugsnummer
der nationalen
technischen Vorschrift
Titel der nationalen technischen Vorschrift
7.7.17.1 4.2.1:
Tabelle 2 und
Tabelle 3
Streckenklassen: Lichtraumprofil GC/RT5212 Requirements for Defining and Maintaining Clearances
GE/RT8073 Requirements for the Application of Standard Vehicle Gauges
GI/RT7016 Interface between Station Platforms, Track and Trains
7.7.17.2 &
7.7.17.8
4.2.3.1 &
6.2.4.1
Begrenzungslinien GC/RT5212 Requirements for Defining and Maintaining Clearances
GE/RT8073 Requirements for the Application of Standard Vehicle Gauges
GI/RT7016 Interface between Station Platforms, Track and Trains
7.7.17.3 &
7.7.17.9
4.2.3.2:
Tabelle 4: &
6.2.4.2
Gleisabstand GC/RT5212 Requirements for Defining and Maintaining Clearances
7.7.17.4 4.2.5.3 &
Anlage J
Maximal zulässige Herzstücklücke von Kreuzungen GC/RT5021 Track System Requirements
GM/RT2466 Railway Wheelsets
7.7.17.6 4.2.9.2 Bahnsteighöhe GI/RT7016 Interface between Station Platforms, Track and Trains
7.7.17.7 &
7.7.17.10
4.2.9.3 &
6.2.4.11
Bahnsteigabstand GI/RT7016 Interface between Station Platforms, Track and Trains
GC/RT5212 Requirements for Defining and Maintaining Clearances

.

Liste offener Punkte Anlage R


(1) Anforderungen an die Oberbaukonstruktion, einschließlich Weichen und Kreuzungen, die mit der Verwendung von Wirbelstrom-Bremssystemen vereinbar sind ( 4.2.6.2.2)

(2) Mindestfaktor alpha (a) für Verkehrscodes P1520 und F1520 ( 4.2.7.1.1)

(3) Soforteingriffsschwellen für Einzelfehler der Pfeilhöhe für Geschwindigkeiten von mehr als 300 km/h ( 4.2.8.1)

(4) Soforteingriffsschwellen für Einzelfehler der Längshöhe für Geschwindigkeiten von mehr als 300 km/h ( 4.2.8.2)

(5) Der zulässige Mindestwert des Gleisabstands für den Einheits-Lichtraum IRL3 ist ein offener Punkt ( 7.7.18.2).

(6) EN-Streckenklasse - Zugehörige Geschwindigkeit [km/h] für Verkehrscodes P1, P2, P3a, P4a, P1520, P1600, F1.520 und F1600 (Anlage E, Tabellen 38 und 39)

(7) EN-Streckenklasse - Zugehörige Geschwindigkeit [km/h] für Verkehrscodes P1, P2, P1600 und F1600 (Anlage F, Tabellen 40 und 41)

(8) Vorschriften und Zeichnungen bezüglich der Begrenzungslinien IRL1, IRL2 und IRL3 sind ein offener Punkt (Anlage O).

(9) Anforderungen zur Begrenzung der Risiken im Zusammenhang mit dem Phänomen "Schotterflug" (Abschnitt 4.2.10.3) (offener Punkt auch in der TSI LOC&PAS)

.

Glossar Anlage S


Tabelle 48: Begriffsbestimmungen

Begriff TSI-Abschnitt Begriffsbestimmung
Actual point (RP)/

Praktischer Herzpunkt/

Pointe de coeur

4.2.8.6 Physisches Ende der Herzstückspitze. Abb. 2 zeigt die Beziehung zwischen praktischer (RP) und theoretischer Herzstückspitze (IP).
Alert limit/

Auslösewert/

Limite d'alerte

4.5.2 Bezieht sich auf den Wert, bei dessen Überschreiten der Gleisgeometriezustand untersucht und in die regelmäßig geplanten Instandhaltungsarbeiten einbezogen werden muss.
Axle load/

Radsatzlast/

Charge à l'essieu

4.2.1,
4.2.6.1
Summe der statischen senkrechten Radkräfte, die über einen Radsatz oder ein Paar unabhängiger Räder auf das Gleis wirken, dividiert durch die Erdbeschleunigung.
Von Rad-Schiene-Haftungsbedingungen unabhängige Bremssysteme 4.2.6.2.2
Cant/

Überhöhung/

Dévers de la voie

4.2.4.2
4.2.8.5
Höhendifferenz der beiden Schienen eines Gleises relativ zur Waagerechten an einer bestimmten Stelle, gemessen an den Mittellinien der Schienenoberkanten.
Cant deficiency/

Überhöhungsfehlbetrag/

Insuffisance de devers

4.2.4.3 Differenz zwischen der angewandten Überhöhung und einer darüber liegenden ausgleichenden Überhöhung.
Common crossing/

Starres Herzstück/

Coeur de croisement

4.2.8.6 Bauelement, das die Durchkreuzung zweier gegenüberliegender Fahrkanten von Weichen oder geraden Kreuzungen ermöglicht, bestehend aus einem Herzstück und zwei Flügelschienen.
Crosswind/

Seitenwind/

Vents traversiers

4.2.10.2 Starker von der Seite kommender Wind, der den sicheren Zugbetrieb beeinträchtigen kann.
Design value/

Planungswert/

Valeur de conception

4.2.3.4,
4.2.4.2,
4.2.4.5,
4.2.5.1,
4.2.5.3
Theoretischer Wert ohne Fertigungs-, Konstruktions- oder Instandhaltungstoleranzen.
Design track gauge/

Konstruktionsspurweite/

Ecartement de conception de la voie

5.3.3 Ein einziger Wert, der sich ergibt, wenn alle Gleiskomponenten genau ihren geplanten Abmessungen, oder im Fall von Spannbreiten dem Median ihrer geplanten Abmessungen, entsprechen.
Distance between track centres/

Gleisabstand/

Entraxe de voies

4.2.3.2 Abstand zwischen den Mittelachsen zweier benachbarter Gleise, gemessen parallel zur Lauffläche des Referenzgleises, d. h. des Gleises mit der geringsten Überhöhung.
Dynamic lateral force/

Dynamische Querkraft/

Effort dynamique transversal

4.2.6.3 Die Summe der von einem Radsatz in Querrichtung auf das Gleis wirkenden dynamischen Kräfte.
Earthworks/

Erdbauwerke/

Ouvrages en terre

4.2.7.2,
4.2.7.4
Boden- und Bodenbefestigungsstrukturen, die Belastungen des Schienenverkehrs ausgesetzt sind.
EN Line Category/

EN-Streckenklasse/

EN Catégorie de ligne

4.2.7.4,
Anlage E
Klassifikation einer Strecke gemäß Anhang a der EN 15528:2008 +A1:2012, deren Ergebnis in dieser Norm als "Streckenklasse" bezeichnet wird. Sie bezeichnet den Widerstand der Infrastruktur gegenüber vertikalen Beanspruchungen durch Fahrzeuge, die die Strecke oder einzelne Streckenabschnitte im Regelbetrieb befahren.
Equivalent conicity/

Äquivalente Konizität/

Conicité équivalente

4.2.4.5,
4.2.11.2
Der Tangens des Kegelwinkels eines Radsatzes mit kegelförmigen Rädern, deren Querbewegung die gleiche kinematische Wellenlänge wie der betrachtete Radsatz auf einer Geraden und in Bögen mit großem Bogenhalbmesser aufweist.
Fixed nose protection/

Leitweite/

Cote de protection de pointe

4.2.5.3,
Anlage J
Abstand zwischen Herzstückspitze und Radlenker (Abmessung 2 in Abb. 14 unten).
Flangeway depth/

Rillentiefe/

Profondeur d'ornière

4.2.8.6. Abstand zwischen Lauffläche und dem Boden der Führungsrille (Abmessung 6 in Abb. 14 unten).
Flangeway width/

Rillenweite/

Largeur d'ornière

4.2.8.6. Abstand zwischen einer Fahrschiene und einem benachbarten Radlenker oder einer benachbarten Flügelschiene (Abmessung 5 in Abb. 14 unten).
Free wheel passage at check rail/ wing rail entry/

Freier Raddurchlauf im Radlenker-Einlauf/ Flügelschienen-Ein lauf/

Côte d'équilibrage du contre-rail

4.2.8.6. Abstand zwischen der Außenseite des Radlenkers oder der Flügelschiene und der Innenseite der gegenüberliegenden Fahrschiene, gemessen im Einfahrtbereich des Radlenkers bzw. der Flügelschiene. (Abmessung 4 in Abb. 14 unten). Der Einfahrtbereich ist der Punkt, an dem das Rad mit dem Radlenker bzw. der Flügelschiene in Kontakt gelangen darf.
Free wheel passage at crossing nose/

Freier Raddurchlauf im Bereich der Herzspitze/

Cote de libre passage dans le croisement

4.2.8.6. Abstand zwischen der Außenseite der Flügelschiene und dem gegenüberliegenden Radlenker (Abmessung 3 in Abb. 14 unten).
Free wheel passage in switches/

Freier Raddurchlauf im Bereich der Zungenvorrichtung/

Côte de libre passage de l'aiguillage

4.2.8.6. Abstand zwischen der Innenseite einer Weichenzunge und der Außenseite der gegenüberliegenden Weichenzunge (Abmessung 1 in Abb. 14 unten).
Gauge/

Begrenzungslinie/

Gabarit

4.2.1,
4.2.3.1
Eine Reihe von Vorschriften einschließlich eines Bezugsprofils und der zugehörigen Berechnungsregeln, die die Bestimmung der Außendimensionen des Fahrzeugs und des infrastrukturseitig vorzusehenden Freiraums ermöglichen.
HBW/HBW/HBW 5.3.1.2 Die Nicht-SI-Einheit der Stahlhärte, definiert in EN ISO 6506-1:2005 Metallische Werkstoffe - Härteprüfung nach Brinell - Prüfverfahren.
height of check rail/

Radlenkerüberhöhung/

Surélévation du contre rail

4.2.8.6,
Anlage J
Höhendifferenz zwischen Radlenker und Lauffläche (Abmessung 7 in Abb. 14 unten).
Immediate Action Limit/

Soforteingriffsschwelle/

Limite d'intervention immédiate

4.2.8,
4.5
Der Wert, bei dessen Überschreitung Maßnahmen ergriffen werden müssen, um das Entgleisungsrisiko auf ein annehmbares Maß zu reduzieren.
Infrastructure Manager/

Betreiber der Infrastruktur/

Gestionnaire de l'Infrastructure

4.2.5.1,
4.2.8.3,
4.2.8.6,
4.2.11.2 4.4, 4.5.2,
4.6,
4.7,
6.2.2.1,
6.2.4,
6.4
Gemäß Definition in Artikel 2 Buchstabe h der Richtlinie 2001/14/EG vom 26. Februar 2001 über die Zuweisung von Fahrwegkapazität der Eisenbahn, die Erhebung von Entgelten für die Nutzung von Eisenbahninfrastruktur und die Sicherheitsbescheinigung (ABl. Nr. L 75 vom 15.03.2001 S. 29).
In service value/

Wert im Betriebszustand/

Valeur en exploitation

4.2.8.5,
4.2.11.2
Zu einem beliebigen Zeitpunkt nach Inbetriebnahme der Infrastruktur gemessener Wert.
Intersection point (IP)/

Theoretischer Herzpunkt/

Point d'intersection théorique

4.2.8.6 Theoretischer Schnittpunkt der Fahrkanten in der Mitte der Weiche (Abb. 2).
Intervention Limit/

Eingriffs schwelle/

Valeur d'intervention

4.5.2 Der Wert, bei dessen Überschreitung korrektive Instandhaltungsmaßnahmen durchgeführt werden müssen, um zu verhindern, dass die Soforteingriffsschwelle vor der nächsten Inspektion erreicht wird.
Isolated defect/

Einzelfehler/

Défaut isolé

4.2.8 Ein einzelner Mangel der Gleisgeometrie.
Line speed/

Streckengeschwindigkeit/

Vitesse de la ligne

4.2.1 Höchstgeschwindigkeit, für die eine Strecke ausgelegt ist.
Maintenance file/

Instandhaltungsdossier/

Dossier de maintenance

4.5.1 Teile des technischen Dossiers, die sich auf Einsatzbedingungen und -beschränkungen beziehen und Instandhaltungsanweisungen enthalten.
Maintenance plan/

Instandhaltungsplan/

Plan de maintenance

4.5.2 Eine Reihe von Dokumenten, in denen die von einem Infrastrukturbetreiber festgelegten Verfahren zur Instandhaltung der Infrastruktur beschrieben sind.
Multi-rail track/

Mehrschienengleis/

Voie à multi écartement

4.2.2.2 Gleis mit mehr als zwei Schienen, bei denen mindestens zwei Schienenpaare so gestaltet sind, dass sie jeweils als separate Gleise mit derselben oder unterschiedlicher Spurweite genutzt werden können.
Nominal track gauge/

Nennspur weite/

Ecartement nominal de la voie

4.2.4.1 Ein einziger Wert zur Angabe der Spurweite, der jedoch von der Konstruktionsspurweite abweichen kann.
Normal service/

Regelbetrieb/

Service régulier

4.2.2.2
4.2.9
Geplanter fahrplanmäßiger Eisenbahnbetrieb.
Passive provision/

Vorsorge für künftige Erweiterungen/

Réservation pour extension future

4.2.9 Maßnahme, die eine künftige bauliche Erweiterung einer Infrastruktur (z.B. Bahnsteigverlängerung) zulässt.
Performance Parameter/

Leistungskennwert/

Paramètre de performance

4.2.1 Parameter zur Beschreibung einer TSI-Streckenklasse, der als Grundlage für die Planung der Elemente des Teilsystems "Infrastruktur" und zur Angabe der Leistungsmerkmale einer Strecke verwendet wird.
Plain line/

Freie Strecke/

Voie courante

4.2.4.5
4.2.4.6
4.2.4.7
Gleisabschnitt ohne Weichen und Kreuzungen.
Point retraction/

Spitzenbeihobelung/

Dénivelation de la pointe de cœur

4.2.8.6 Die Bezugslinie in einfachen starren Herzstücken kann von der theoretischen Bezugslinie abweichen. Ab einem bestimmten Abstand vom Herzstück kann die Bezugslinie der Kreuzung je nach Konstruktion von dieser theoretischen Linie zurückverlegt und vom Spurkranz entfernt werden, um eine Berührung beider Elemente zu vermeiden. Dieser Fall ist in Abb. 2 dargestellt.
Rail inclination/

Schienenneigung/

Inclinaison du rail

4.2.4.5
4.2.4.7
Die Neigung des Kopfes einer im Gleis verlegten Schiene gegenüber der Gleisebene (Lauffläche); sie entspricht dem Winkel zwischen der Symmetrieachse der Schiene (oder einer äquivalenten symmetrischen Schiene mit demselben Schienenkopfprofil) und der Senkrechten zur Gleisebene.
Rail pad/

Schienenzwischenlage/

Semelle sous rail

5.3.2 Elastische Schicht zwischen einer Schiene und den tragenden Schwellen oder Platten.
Reverse curve/

Gegenbogen/

Courbes et contre-courbes

4.2.3.4 Zwei direkt aufeinander folgende Kurven in unterschiedlicher Richtung.
Structure gauge/

Lichtraum/

Gabarit des obstacles

4.2.3.1 Der Raum um das Referenzgleis, in dem sich zur Gewährleistung eines sicheren Betriebs weder Gegenstände oder Bauwerke noch Züge der Nachbargleise befinden dürfen. Die Bestimmung erfolgt gemäß den einschlägigen Bestimmungen auf der Grundlage des Bezugsprofils.
Swing nose/

Bewegliche Herzstückspitze

4.2.5.2
Switch/

Zungenvorrichtung/

aiguillage

4.2.8.6 Gleisstück mit zwei feststehenden Schienen (Backenschienen) und zwei beweglichen Schienen (Weichenzungen) zur Führung von Fahrzeugen von einem Gleis auf ein anderes.
Switches and crossings/

Weichen und Kreuzungen/

Appareil de voie

4.2.4.5,
4.2.4.7,
4.2.5,
4.2.6,
4.2.8.6,
5.2,
6.2.4.4,
6.2.4.8,
6.2.5.2,
7.3.3,
Anlagen C und D,
Aus Weichenzungen und einzelnen Kreuzungen sowie den sie verbindenden Schienen bestehende Gleise.
Through route/

Stammgleis/

Voie directe

Anlage D Im Zusammenhang mit Weichen und Kreuzungen der Fahrweg, der der allgemeinen Richtung des Gleises folgt.
Track design/

Oberbaukonstruktion

4.2.6,
6.2.5,
Anlagen C
und D
Die Oberbaukonstruktion umfasst einen Querschnitt, der grundlegende Abmessungen und Gleiskomponenten (z.B. Schiene, Schienenbefestigungen, Schwellen, Schotter) festlegt zur Verwendung zusammen mit Betriebsbedingungen, die Auswirkungen auf die Kräfte in Bezug auf Absatz 4.2.6. haben, wie z.B. Radsatzlast, Geschwindigkeit und Bogenhalbmesser.
Track gauge/

Spurweite/

Ecartement de la voie

4.2.4.1,
4.2.4.5,
4.2.8.4,
5.3.3,
6.1.5.2,
6.2.4.3,
Anlage H
Kleinster Abstand zwischen den die beiden Schienenkopfprofile schneidenden Senkrechten zur Lauffläche, gemessen zwischen 0 und 14 mm unterhalb der Lauffläche.
Track twist/

Gleisverwindung/ Gauche

4.2.7.1.6
4.2.8.3,
6.2.4.9,
Die Gleisverwindung ist definiert als die algebraische Differenz zwischen zwei in einem festgelegten Abstand ermittelten gegenseitigen Höhenlagen und wird in der Regel als Neigung zwischen den beiden Stellen angegeben, an denen die gegenseitigen Höhenlagen gemessen werden.
Train length/

Zuglänge/

Longueur du train

4.2.1 Länge eines Zugs, der auf einer bestimmten Strecke im Normalbetrieb fahren kann.
Unguided length of an obtuse crossing/

Führungslose Strecke/

Lacune dans la traversée

4.2.5.3,
Anlage J
Der Abschnitt eines Kreuzungsstücks, in dem keine Führung für das Rad vorhanden ist, in EN 13232-3:2003 als "führungslose Strecke" bezeichnet.
Usable length of a platform/

Bahnsteignutzlänge/

Longueur utile de quai

4.2.1,
4.2.9.1
Die maximale durchgehende Länge desjenigen Bahnsteigabschnitts, an dem ein Zug unter normalen Betriebsbedingungen für das Ein- und Aussteigen der Fahrgäste halten soll, wobei angemessene Anhaltewegtoleranzen einkalkuliert werden.

"Normale Betriebsbedingungen" bedeutet, dass das Eisenbahnsystem störungsfrei arbeitet (u. a. normale Schienenhaftung, funktionsfähige Signaleinrichtungen und ordnungsgemäße Funktion aller Bestandteile).

Abbildung 14 Geometrie von Weichen und Kreuzungen

(1) Freier Durchgang im Zungenbereich.

(2) Leitweite.

(3) Leitkantenabstand im Bereich der Herzstückspitze.

(4) Freier Raddurchlauf im Radlenker-Einlauf/Flügelschienen-Einlauf.

(5) Rillenweite.

(6) Rillentiefe.

(7) Radlenkerüberhöhung.

.

Liste der Referenznormen Anlage T


Tabelle 49: Liste der Referenznormen

Nr. Referenz Titel Version
(Jahr)
Eckwerte
1 EN 13674-1 Bahnanwendungen - Oberbau - Schienen

Teil 1: Vignolschienen ab 46 kg/m

2011 Schienenkopfprofil auf freier Strecke ( 4.2.4.6), Bewertung von Schienen ( 6.1.5.1)
2 EN 13674-4 Bahnanwendungen - Oberbau - Schienen - Teil 4: Vignolschienen mit einer längenbezogenen Masse zwischen 27 kg/m und unter 46 kg/m (mit Änderung A1:2009) 2006 Schienenkopfprofil auf freier Strecke ( 4.2.4.6)
3 EN 13715 Bahnanwendungen - Radsätze und Drehgestelle - Räder - Radprofile (mit Änderung A1:2010) 2006
A1:2010
Äquivalente Konizität ( 4.2.4.5)
4 EN 13848-1 Gleislagequalität - Teil 1: Beschreibung der Gleisgeometrie (mit Änderung A1:2008) 2003 Soforteingriffsschwelle für die Gleisverwindung ( 4.2.8.3), Bewertung des Mindestwerts der mittleren Spurweite ( 6.2.4.5)
5 EN 13848-5 Bahnanwendungen - Oberbau - Qualität der Gleisgeometrie - Teil 5: Geometrische Qualitätsstufen - Gleise (mit Änderung A1:2010) 2008 Soforteingriffsschwelle für die Pfeilhöhe ( 4.2.8.1), Soforteingriffsschwelle für Längshöhe ( 4.2.8.2), Soforteingriffsschwelle für die Gleisverwindung ( 4.2.8.3)
6 EN 14067-5 Bahnanwendungen - Aerodynamik - Teil 5: Anforderungen und Prüfverfahren für Aerodynamik im Tunnel (mit Änderung A1:2010) 2006 Bewertung der maximalen Druckschwankungen in Tunneln ( 6.2.4.12)
7 EN 15273-3 Bahnanwendungen - Begrenzungslinien - Teil 3: Lichtraumprofile 2013 Lichtraumprofil ( 4.2.3.1), Gleisabstand ( 4.2.3.2) Bahnsteigabstand ( 4.2.9.3), Bewertung des Lichtraumprofils ( 6.2.4.1), Bewertung des Gleisabstands ( 6.2.4.2), Bewertung des Bahnsteigabstands ( 6.2.4.11)
8 EN 15302 Bahnanwendungen - Verfahren zur Bestimmung der äquivalenten Konizität (mit Änderung A1:2010) 2008 Äquivalente Konizität ( 4.2.4.5), Bewertung der Planungswerte der äquivalenten Konizität ( 6.2.4.6)
9 EN 15528 Bahnanwendungen - Streckenklassen zur Bewerkstelligung der Schnittstelle zwischen Lastgrenzen der Fahrzeuge und Infrastruktur (mit Änderung A1:2012) 2008 Sicherstellung der Kompatibilität zwischen Infrastruktur und Fahrzeugen nach Zulassung der Fahrzeuge ( 7.6), Kapazitätsanforderungen an Bauwerke nach Verkehrscode (Anlage E), Grundlage der Mindestanforderungen an Bauwerke für Reisezugwagen und Triebzüge (Anlage K), Definition der Streckenklasse a12 für den Verkehrscode P6 (Anlage L)
10 EN 15663 Bahnanwendungen - Definition der Fahrzeugreferenzmassen (mit Berichtigungen AC:2010) 2009 TSI-Streckenklassen ( 4.2.1), Grundlage der Mindestanforderungen an Bauwerke für Reisezugwagen und Triebzüge (Anlage K)
11 EN 1990 Eurocode - Grundlagen der Tragwerksplanung (mit Änderung A1:2005 und Berichtigung AC:2010) 2002 Stabilität von Tragwerken gegenüber Verkehrslasten ( 4.2.7), Stabilität neuer Brücken gegenüber Verkehrslasten ( 4.2.7.1)
12 EN 1991-2 Eurocode 1 - Einwirkungen auf Tragwerke - Teil 2: Verkehrslasten auf Brücken (mit Berichtigung AC:2010) 2003 Stabilität von Tragwerken gegenüber Verkehrslasten ( 4.2.7), Stabilität neuer Brücken gegenüber Verkehrslasten ( 4.2.7.1), Äquivalente vertikale Belastung neuer Erdbauwerke und sonstige Erddruckwirkungen ( 4.2.7.2), Stabilität neuer Tragwerke über oder neben den Gleisen ( 4.2.7.3)
13 EN
14363:2005
Bahnanwendungen - Fahrtechnische Prüfung für die fahrtechnische Zulassung von Eisenbahnfahrzeugen - Prüfung des Fahrverhaltens und stationäre Versuche 2005 Gleislagestabilität gegenüber Vertikallasten ( 4.2.6.1), Gleislagestabilität in Querrichtung ( 4.2.6.3)


ENDE

umwelt-online - Demo-Version


(Stand: 24.09.2019)

Alle vollständigen Texte in der aktuellen Fassung im Jahresabonnement
Nutzungsgebühr: 90.- € netto (Grundlizenz)

(derzeit ca. 7200 Titel s.Übersicht - keine Unterteilung in Fachbereiche)

Preise & Bestellung

Die Zugangskennung wird kurzfristig übermittelt

? Fragen ?
Abonnentenzugang/Volltextversion