Für einen individuellen Ausdruck passen Sie bitte die
Einstellungen in der Druckvorschau Ihres Browsers an.
Regelwerk, Arbeitsschutz, ArbeitsstättenRl

ASR A3.7 "Lärm"
Technische Regeln für Arbeitsstätten

Vom 2. Mai 2018
(GMBl. Nr. 24 vom 18.05.2018 S. 456aufgehoben 21)
- IIIb4-34602-20 -



zur aktuellen Fassung

Die Technischen Regeln für Arbeitsstätten (ASR) geben den Stand der Technik, Arbeitsmedizin und Hygiene sowie sonstige gesicherte arbeitswissenschaftliche Erkenntnisse für das Einrichten und Betreiben von Arbeitsstätten wieder.

Sie werden vom Ausschuss für Arbeitsstätten ermittelt bzw. angepasst und vom Bundesministerium für Arbeit und Soziales im Gemeinsamen Ministerialblatt bekannt gemacht.

Diese ASR A3.7 konkretisiert im Rahmen des Anwendungsbereiches die Anforderungen der Verordnung über Arbeitsstätten. Bei Einhaltung der Technischen Regeln kann der Arbeitgeber insoweit davon ausgehen, dass die entsprechenden Anforderungen der Verordnung erfüllt sind. Wählt der Arbeitgeber eine andere Lösung, muss er damit mindestens die gleiche Sicherheit und den gleichen Gesundheitsschutz für die Beschäftigten erreichen.

1 Zielstellung

Diese ASR konkretisiert die in § 3a Absatz 1 und Punkt 3.7 des Anhangs der Arbeitsstättenverordnung genannten Anforderungen an die Reduzierung der Schalldruckpegel in Arbeitsstätten und an Arbeitsplätzen in Arbeitsräumen.

2 Anwendungsbereich

(1) Diese ASR gilt für das Einrichten und Betreiben von Arbeitsstätten und Arbeitsplätzen in Arbeitsräumen, um Gefährdungen und Beeinträchtigungen für Sicherheit und Gesundheit von Beschäftigten durch Lärmeinwirkungen zu vermeiden.

(2) Nicht Gegenstand dieser ASR sind Gefährdungen von Gesundheit und Sicherheit der Beschäftigten durch Lärmeinwirkungen einschließlich extra-auraler Wirkungen im Hörschallbereich mit Frequenzen zwischen 16 Hz und 16 kHz ab einem A-bewerteten äquivalenten Dauerschallpegel von 80 dB(A). Hierfür ist die Verordnung zum Schutz der Beschäftigten vor Gefährdungen durch Lärm und Vibrationen (Lärm- und Vibrations-Arbeitsschutzverordnung - LärmVibrationsArbSchV) einschließlich der sie konkretisierenden Technischen Regel ( TRLV Lärm) anzuwenden.

Erforderliche Schallereignisse, die der gezielten akustischen Information der Beschäftigten dienen, werden von dieser ASR nicht erfasst.

Hinweis:
Schall dient der gezielten akustischen Information, wenn über das Gehör der Beschäftigten Schallereignisse erkannt oder überprüft werden müssen (z.B. Feueralarm, Statusmeldungen von Produktionsanlagen, Strömungsgeräusche an Ventilen, musikalische Übungen).

(3) Regelungen zu Ultraschall werden zu einem späteren Zeitpunkt eingefügt.

(4) Für Schalldruckpegel in Pausenräumen und Bereitschaftsräumen gilt die ASR A4.2 "Pausen- und Bereitschaftsräume".

Für Lärm in Erste-Hilfe-Räumen gelten die baulichen Anforderungen gemäß ASR A4.3 "Erste-Hilfe-Räume, Mittel und Einrichtungen zur Ersten Hilfe".

Für Unterkünfte gilt die ASR A4.4 "Unterkünfte".

Hinweise:

  1. Zusätzliche Anforderungen an die barrierefreie Gestaltung werden zu einem späteren Zeitpunkt als Anhang in die ASR V3a.2 "Barrierefreie Gestaltung von Arbeitsstätten" eingefügt.
  2. Abweichende/ergänzende Anforderungen für Baustellen werden zu einem späteren Zeitpunkt in diese Regel eingefügt.

3 Begriffsbestimmungen

3.1 Der A-bewertete äquivalente Dauerschallpegel LpAeq ist der zeitlich energetisch gemittelte, mit der Frequenzbewertung a aufgenommene Schalldruckpegel LpA.

3.2 Ein a kustisches Gefahrensignal signalisiert eine Gefahrensituation. Man unterscheidet entsprechend dem Dringlichkeitsgrad und den möglichen Auswirkungen der Gefahr auf Personen zwischen 3 Arten von Gefahrensignalen: dringliche Rettungs- und Schutzmaßnahmen (Notsignal), sofortiges Verlassen des Gefahrbereiches (Evakuierungssignal) und vorbeugende Handlungen (Warnsignal).

3.3 Der Beurteilungspegel Lr im Sinne dieser ASR ist eine Größe zur Kennzeichnung der typischen Schallimmission für eine Tätigkeit, bestimmt aus dem A-bewerteten äquivalenten Dauerschallpegel LpAeq während der Tätigkeit unter Berücksichtigung von Zuschlägen für die Impulshaltigkeit (KI = Impulszuschlag) sowie Ton- und Informationshaltigkeit (KT = Zuschlag für Ton- und Informationshaltigkeit):

Lr = LpAeq + KI + KT

Durch den Impulszuschlag KI wird der erhöhten Störwirkung impulshaltiger Geräusche Rechnung getragen.

Der Zuschlag für Ton- und Informationshaltigkeit KT berücksichtigt, dass Geräusche eine erhöhte Störwirkung haben, wenn sie einen Ton oder mehrere Töne enthalten oder informationshaltig sind und dadurch eine Person zum von ihr nicht gewünschten Mithören (z.B. von Gesprächen) anregen.

3.4 Extra-aurale Lärmwirkungen im Sinne dieser ASR sind physiologische, psychische und soziale Wirkungen von Schall auf den Menschen, mit Ausnahme der Wirkungen, die das Hörorgan betreffen.

3.5 Eigengeräusche sind Geräusche, die an dem betreffenden Arbeitsplatz durch eigene Gespräche mit anderen Personen sowie dem Arbeitsplatz zugeordnete Kommunikationssignale (z.B. Telefon, Rufanlage, Rückmeldung von Rechnertastatur oder Computer) entstehen.

3.6 Ein Geräusch charakterisiert ein Schallereignis, das nicht ausschließlich als Ton oder Klang bezeichnet werden kann (aperiodisches Schallereignis). Meistens sind Geräusche nicht zweckgebunden (z.B. Straßenverkehrslärm).

3.7 Hintergrundgeräusche sind von außen einwirkende Geräusche (z.B. durch Verkehr oder Produktion) und Geräusche, die durch fest eingebaute technische Anlagen verursacht werden (z.B. Lüftungstechnik).

3.8 Lärm im Sinne dieser ASR ist jeder Schall, der zu einer Beeinträchtigung des Hörvermögens oder zu einer sonstigen mittelbaren oder unmittelbaren Gefährdung von Sicherheit und Gesundheit der Beschäftigten führen kann.

3.9 Der mittlere Schallabsorptionsgrad α' ist ein Maß für das durchschnittliche Schallabsorptionsvermögen aller Oberflächen in einem Raum. Mit seiner Hilfe kann die Schallabsorption eines Raumes beschrieben werden.

3.10 Die Nachhallzeit T ist die Zeitspanne, während der der Schalldruckpegel in einem Raum nach Beenden der Schallfeldanregung um 60 dB abfällt.

3.11 Reversible aurale Lärmwirkungen sind Wirkungen von Schall auf das Hörorgan, die zu zeitlich begrenzten Beeinträchtigungen des Hörvermögens führen.

3.12 Der Schallabsorptionsgrad α ist ein Maß für die absorbierende Wirkung einer Fläche. α, entspricht dem nicht reflektierten Anteil der auf die Fläche einfallenden Schallenergie. Der Wert von α', liegt zwischen 0 (vollständige Reflexion) und 1 (vollständige Absorption).

3.13 Die Sprachverständlichkeit drückt aus, wie gut Sprache verstanden werden kann. Die Sprachverständlichkeit ist physikalisch unter anderem abhängig vom Schalldruckpegel der Sprache und der Hintergrundgeräusche, von der Nachhallzeit, der Raumform, den reflektierenden Flächen im Raum und der Raumgröße.

3.14 Ein Störgeräusch ist ein Geräusch, das die Wahrnehmbarkeit eines Nutzsignals beeinträchtigt.

3.15 Tätigkeit im Sinne dieser ASR ist eine zielgerichtet mit einer Aufgabenerfüllung verbundene Arbeit, die ein bestimmtes Maß an Konzentration oder eine bestimmte Qualität der Sprachverständlichkeit erfordert. An einem Arbeitsplatz können eine oder mehrere Tätigkeiten zu betrachten sein. Die Notwendigkeit für eine Differenzierung ergibt sich, wenn an dem Arbeitsplatz verschiedene Tätigkeiten ausgeübt werden, die unterschiedlich hohe Anforderungen an die Konzentration oder Sprachverständlichkeit stellen (unterschiedliche Tätigkeitskategorien nach Punkt 3.16). Für eine Einbeziehung in die Bewertung muss die Tätigkeit in einer Tätigkeitskategorie arbeitstäglich zusammenhängend oder summiert aus Teilabschnitten eine Zeitdauer von mindestens einer Stunde umfassen.

3.16 Tätigkeitskategorie ist die Einteilung der Tätigkeiten nach dem Maß der für die Erfüllung der Arbeitsaufgabe erforderlichen Konzentration oder Sprachverständlichkeit:

Tätigkeitskategorie I - hohe Konzentration oder hohe Sprachverständlichkeit:

Tätigkeiten, die eine andauernd hohe Konzentration erfordern, weil für die Erbringung der Arbeitsleistung z.B. schöpferisches Denken, eine kreative Entfaltung von Gedankenabläufen, exaktes sprachliches Formulieren, das Verstehen von komplexen Texten mit komplizierten Satzkonstruktionen, eine starke Zuwendung zu einem Arbeitsgegenstand oder -ablauf verbunden mit hohem Entscheidungsdruck, das Treffen von Entscheidungen mit großer Tragweite oder eine hohe Sprachverständlichkeit kennzeichnend sind.

(Beispiele für Tätigkeiten und Handlungen - allgemein überwiegend geistige Tätigkeiten, die eine hohe Konzentration verlangen: Besprechungen und Verhandlungen in Konferenzräumen; Arbeiten in Bibliothekslesesälen; Wissensvermittlung durch Vorlesung oder Seminare sowie Prüfungen im akademischen oder schulischen Bereich; wissenschaftliches und kreatives Arbeiten; Entwickeln von Software; Treffen von Entscheidungen mit hoher Tragweite gegebenenfalls unter Zeitdruck; ärztliche Untersuchungen, Behandlungen und Operationen; Entwerfen, Übersetzen, Diktieren, Aufnehmen und Korrigieren von schwierigen Texten, Optimieren von Software und Prozessschritten komplexer Transferstraßen, Teachen von Robotern in verketteten Roboter-Linien)

Tätigkeitskategorie II - mittlere Konzentration oder mittlere Sprachverständlichkeit:

Tätigkeiten, die eine mittlere bzw. nicht andauernd hohe Konzentration oder gutes Verstehen gesprochener Sprache bedingen, weil für die Erbringung der Arbeitsleistung z.B. üblicherweise Routineanteile, das heißt wiederkehrende ähnliche und leicht zu bearbeitende Aufgaben, das Treffen von Entscheidungen geringerer Tragweite (in der Regel ohne Zeitdruck) oder eine für Kommunikationszwecke erforderliche Sprachverständlichkeit kennzeichnend sind.

(Beispiele für Tätigkeiten und Handlungen - allgemeine Bürotätigkeiten und vergleichbare Tätigkeiten in der Produktion und Überwachung: informations- und kommunikationsgeprägte Tätigkeiten, wie Disponieren; Daten erfassen; Texte verarbeiten; Sachbearbeitung im Büro; psychomotorisch geprägte (feinmotorische) Tätigkeiten (Auge-Hand-Koordination); Arbeiten in Betriebsbüros und Laboratorien; Bedienen von Beobachtungs-, Steuerungs- und Überwachungsanlagen in geschlossenen Messwarten und Prozessleitwarten; Verkaufen, Bedienen von Kunden; Tätigkeiten mit Publikumsverkehr).

Tätigkeitskategorie III - geringere Konzentration oder geringere Sprachverständlichkeit:

Tätigkeiten, die eine geringere Konzentration infolge überwiegend vorgegebener Arbeitsabläufe mit hohen Routineanteilen erfordern sowie geringere Anforderungen an die Sprachverständlichkeit stellen.

(Beispiele für Tätigkeiten und Handlungen - allgemein industrielle und gewerbliche Tätigkeiten: einfache Montagearbeiten; handwerkliche Tätigkeiten (Fertigung, Installation); Tätigkeiten an Fertigungsmaschinen, Vorrichtungen, Geräten; Warten, Instandsetzen und Reinigen technischer Einrichtungen und deren unmittelbare Beaufsichtigung; Bedienen von Bearbeitungsmaschinen für Metall, Holz und dergleichen; Reinigungsarbeiten; Lagerarbeiten; Einräumen von Ware).

3.17 Tieffrequenter Schall ist Schall mit dominierenden Energieanteilen im Frequenzbereich unter 100 Hz.

4 Extra-aurale und reversible aurale Lärmwirkungen

(1) Hinsichtlich der Gesundheitsgefährdung durch Lärm wird zwischen auralen (auf das Gehör bezogenen) und extra-auralen Lärmwirkungen unterschieden.

(2) Ab einem A-bewerteten äquivalenten Dauerschallpegel von 70 dB(A) kann als aurale Lärmwirkung eine reversible Hörminderung (Vertäubung) auftreten.

(3) Extra-aurale Lärmwirkungen zeigen sich unter anderem in verschiedenen physiologischen und psychischen Reaktionen, die über das zentrale und das vegetative Nervensystem des Menschen vermittelt werden. Diese Wirkungen entsprechen einer Stressreaktion. Sie haben keinen strengen Pegelbezug, entstehen in unmittelbarem zeitlichem Zusammenhang zur Schallexposition und klingen nach der Exposition schnell wieder ab (akute Wirkung). Andauernde Stressreaktionen können negative gesundheitliche Auswirkungen haben (chronische Wirkung).

(4) Extra-aurale Lärmwirkungen können je nach betrieblicher Situation und Arbeitsaufgabe folgende Bereiche betreffen (siehe Abbildung 1):

Abb. 1: Vereinfachte Darstellung akuter extra-auraler Lärmwirkungen

(5) Unfälle und arbeitsbedingte Gesundheitsgefährdungen können entstehen, wenn Fehlentscheidungen oder -leistungen zu einer Gefährdung des Beschäftigten oder anderer Personen führen. Lärm kann z.B.:

5 Pegelwerte für Tätigkeiten an Arbeitsplätzen in Arbeitsräumen sowie raumakustische Anforderungen an Arbeitsräume

In Arbeitsstätten ist der Schalldruckpegel so niedrig zu halten, wie es nach der Art des Betriebes möglich ist.

5.1 Maximal zulässige Beurteilungspegel

(1) Während der Ausübung von Tätigkeiten der Tätigkeitskategorie I darf ein Beurteilungspegel von 55 dB(A) nicht überschritten werden.

(2) Während der Ausübung von Tätigkeiten der Tätigkeitskategorie II darf ein Beurteilungspegel von 70 dB(A) nicht überschritten werden.

(3) Während der Ausübung von Tätigkeiten der Tätigkeitskategorie III ist der Beurteilungspegel unter Berücksichtigung betrieblicher Lärmminderungsmaßnahmen soweit wie möglich zu reduzieren.

(4) Für Tätigkeiten, bei denen überwiegend sprachabhängige kognitive Aufgabenstellungen zu lösen sind (z.B. Korrektur und Bewertung von Prüfungsergebnissen, Übersetzungen, Verfassen und Redigieren von Texten und Dokumenten, Beratung zu komplexen Produkten und Dienstleistungen im Callcenter oder Beratungsbüro), sollen Arbeitsplätze ohne Belastung durch Hintergrundsprache zur Verfügung gestellt werden. Das Einspielen von Hintergrundrauschen als Maskierer für die Hintergrundsprache soll vermieden werden.

(5) Müssen zeitweilig Tätigkeiten der Tätigkeitskategorien I oder II (z.B. Arbeiten an einem Prüfstand in der Produktionshalle, Vor-Ort-Roboterprogrammierung, Optimieren von Software und Prozessschritten komplexer Transferstraßen, Teachen von Robotern in komplexen Roboterlinien) in einer Arbeitsumgebung verrichtet werden, in der die zulässigen Beurteilungspegel gemäß Punkt 5.1 Absätze 1 und 2 aus betriebstechnischen Gründen (z.B. keine Möglichkeit der Abschaltung von Maschinen oder der Nutzung von Produktionspausen) nicht eingehalten werden, sind die entsprechenden Arbeitsplätze - soweit möglich - durch Kapselung (Schallschutzkabinen) oder veränderte Arbeitsverfahren oder Arbeitsabläufe (z.B. Fernwartung und -programmierung, Einsatz mobiler Schallschutzkabinen) so zu gestalten, dass die Anforderungen eingehalten werden. Im Ausnahmefall ist das Tragen persönlicher Schutzausrüstung gegen Lärm eine ergänzende Maßnahme. Die Anwendung von persönlicher Schutzausrüstung darf keine dauerhafte Maßnahme sein.

(6) Ist in bestehenden Arbeitsstätten die Einhaltung der maximal zulässigen Beurteilungspegel für Tätigkeiten nach Punkt 5.1 Absätze 1 bis 4 mit Aufwendungen verbunden, die offensichtlich unverhältnismäßig sind, so hat der Arbeitgeber zu prüfen, wie durch andere oder ergänzende Maßnahmen die Sicherheit und der Gesundheitsschutz der Beschäftigten in vergleichbarer Weise gesichert werden kann; die erforderlichen Maßnahmen hat er durchzuführen. Eine mögliche Maßnahme kann z.B. die Gestaltung der Arbeitsorganisation sein. Diese Maßnahmen können solange herangezogen werden, bis die bestehenden Arbeitsstätten wesentlich umgebaut oder die Arbeitsverfahren oder Arbeitsabläufe wesentlich umgestaltet werden. Wird persönliche Schutzausrüstung gegen Lärm zur Verfügung gestellt, darf dies keine dauerhafte Maßnahme sein.

5.2 Raumakustische Anforderungen

5.2.1 Raumakustische Anforderungen an Büroräume

In Büroräumen sollen in Abhängigkeit der Nutzungsart im unbesetzten Raum folgende Nachhallzeiten T in den Oktavbändern von 250 Hz bis 2000 Hz nicht überschritten werden:

Callcenter (Büro für kommunikationsbasierte Dienstleistungen): T = 0,5 s,

Mehrpersonen- und Großraumbüro: T = 0,6 s,

Ein- und Zweipersonenbüro: T = 0,8 s.

Hinweis:
In der Regel besteht in Büroräumen der Bedarf einer guten Sprachverständlichkeit über geringe Entfernungen, bei der andere, nicht beteiligte Personen nicht gestört werden.

5.2.2 Akustische Anforderungen an Räume in Bildungsstätten

In Bildungsstätten, z.B. Kindertageseinrichtungen, Schulen, Hochschulen, darf in besetztem Zustand des Raumes für die Anforderung "Unterricht mit Personen ohne Bedürfnis nach erhöhter Sprachverständlichkeit" die Nachhallzeit Tsoll die mit nachfolgender Formel errechneten Werte in den Oktavbändern von 250 Hz bis 2000 Hz nicht überschreiten. Dabei ist in den Oktavbändern von 250 Hz bis 2000 Hz jeweils eine Toleranz von +/-20 % zulässig.

Tsoll = (0,32 · lg V/m3 - 0,17) s

mit V = Raumvolumen in m3

Beispiel: Für einen Unterrichtsraum mit einem Raumvolumen von 210 m3 errechnet sich demnach für den besetzten Zustand ein Sollwert für die Nachhallzeit von etwa 0,6 s.

Hinweis:
Gemäß Bundesgleichstellungsgesetz und vergleichbarer Landesregelungen sind öffentlich zugängliche Neubauten inklusiv zu errichten. Bei erhöhten Anforderungen an die Sprachverständlichkeit, z.B. bei Personen mit Hörminderung oder Fremdsprachenunterricht, kann es erforderlich sein, die Nachhallzeit weiter zu verringern.

5.2.3 Akustische Anforderungen an sonstige Räume mit Sprachkommunikation

(1) Alle sonstigen Arbeitsräume, in denen Sprachkommunikation erforderlich ist und die nicht in den Punkten 5.2.1 und 5.2.2 geregelt sind, sollen durch raumakustische Maßnahmen so gestaltet werden, dass ein mittlerer Schallabsorptionsgrad von mindestens α' = 0,3 beim eingerichteten Raum erreicht wird.

(2) Als anzusetzender Schallabsorptionsgrad α des jeweiligen Oberflächenmaterials ist der arithmetische Mittelwert der Absorptionsgrade in den Oktavbändern mit den Mittenfrequenzen von 250 Hz, 500 Hz, 1000 Hz und 2000 Hz zu nehmen.

Alternativ ist in größeren Räumen (> 1000 m3) im Abstandsbereich von 0,75 m bis 6 m eine mittlere Schalldruckpegelabnahme in den Oktavbändern mit den Mittenfrequenzen von 500 Hz bis 4000 Hz je Abstandsverdopplung von mindestens 4 dB ausreichend.

6 Beurteilung von Gefährdungen durch Lärm beim Einrichten von Arbeitsstätten

Wenn Arbeitsstätten eingerichtet oder wesentlich erweitert oder umgebaut oder die Arbeitsverfahren oder Arbeitsabläufe wesentlich umgestaltet werden, ist bereits bei der Planung zu berücksichtigen, dass die Beurteilungspegel für Tätigkeiten an Arbeitsplätzen in Arbeitsräumen sowie die raumakustischen Anforderungen an Arbeitsräume gemäß Punkt 5 eingehalten werden.

Hierbei sind insbesondere zu beachten:

Hinweis:
Niedrige Schalldruckpegel der Hintergrundgeräusche in Arbeitsräumen erleichtern in der Regel das Einhalten von Beurteilungspegeln und ermöglichen in Räumen in Bildungsstätten in der Regel eine gute Kommunikation zwischen Sprecher und Hörer.

Die nachfolgende tabellarische Aufstellung enthält für verschiedene Raumarten die empfohlenen Höchstwerte für Hintergrundgeräusche, beschrieben durch den A-bewerteten äquivalenten Dauerschallpegel LpAeq.

Raumart empfohlene Höchstwerte für A-bewertete äquivalente
Dauerschallpegel LpAeq durch Hintergrundgeräusche
LpAeq in dB(A)
Konferenzraum, Klassenraum, Schulungsraum, Gruppenraum, Kindertagesstätte, Hörsaal, Seminarraum 35 *
Zweipersonenbüros 40 *
Großraumbüros 45 *
industrielle Laboratorien 35 * / 52 **
Kontroll-/Steuerräume in der Industrie 35 * / 55 **
industrielle Arbeitsstätten 65 ** / 70 ***
*) für maximalen Beurteilungspegel von 55 dB(A) nach Punkt 5.1
**) für maximalen Beurteilungspegel von 70 dB(A) nach Punkt 5.1
***) kein Beurteilungspegel

7 Beurteilung von Gefährdungen durch Lärm beim Betreiben von Arbeitsstätten

(1) Beim Betreiben einer Arbeitsstätte können Halligkeit, schlechte Sprachverständlichkeit, störende Sprachgeräusche, tonhaltige Geräusche, deutlich wahrnehmbare Hintergrundgeräusche sowie Beschwerden von Beschäftigten über Lärm am Arbeitsplatz Hinweise auf unzureichende raumakustische Bedingungen, zu hohe Beurteilungspegel für Tätigkeiten an Arbeitsplätzen in Arbeitsräumen oder tieffrequente Schallbelastungen sein, die zu einer Gefährdung der Gesundheit der Beschäftigten führen können und im Rahmen der Gefährdungsbeurteilung weitere Ermittlungen und eine Beurteilung der akustischen Situation erfordern.

(2) Für die Beurteilung der Gefährdung durch Lärm sind typische und längerfristig stabile Betriebsabläufe in einer Arbeitsstätte oder an einem Arbeitsplatz zu betrachten. Einzelne, zufällige oder zeitweilige, vorübergehende Schalleinwirkungen durch Dritte, z.B. Lärm durch Einsatz- oder Abfallsammelfahrzeuge, Gartengeräte oder benachbarte Baustellen, sind nicht zu berücksichtigen.

(3) Die Beurteilung der akustischen Situation während des Betreibens der Arbeitsstätte kann mit einem vereinfachten Verfahren durch lärmbezogene Arbeitsplatzbegehung erfolgen (Punkt 7.1).

(4) Alternativ können auch weitergehende Ermittlungsverfahren zur differenzierten Beurteilung von Raumakustik, Lärmpegeln und tieffrequentem Schall angewendet werden (Punkte 7.2 bis 7.6):

Hinweis zu Absatz 2
Um die Belastung der Beschäftigten in Arbeitsstätten bei von Dritten verursachtem Baulärm zu reduzieren, ist mittels lärmbezogener Arbeitsplatzbegehung nach Absatz 3 oder orientierender Messung nach Punkt 7.4 Absatz 4 zu prüfen, ob organisatorische Regelungen (z.B. zeitweilige Verlagerung von Arbeitsplätzen in lärmärmere Bereiche, Anpassung der Arbeitsabläufe, der Pausen- oder Arbeitszeiten) oder im Ausnahmefall das Bereitstellen von persönlicher Schutzausrüstung (Gehörschutz) je nach Baufortschritt der Baustelle möglich und sinnvoll sind. Der Arbeitgeber kann außerdem bei der dafür zuständigen Stelle gegebenenfalls darauf hinwirken, dass Baustellen nach dem Stand der Lärmminderungstechnik betrieben werden.

Hinweis zu Absätzen 3 und 4:
Sind nach der ASR A3.6 "Lüftung" Lüftungszeiten erforderlich, sind diese beim Messen und Beurteilen zu berücksichtigen.

7.1 Vereinfachtes Verfahren durch lärmbezogene Arbeitsplatzbegehung

(1) Die lärmbezogene Arbeitsplatzbegehung dient zur Feststellung, ob am Arbeitsplatz unter Betriebsbedingungen störender oder belästigender Schall (Lärm) auftritt. Sie ist von mindestens 2 Personen unabhängig voneinander zu Zeiten des längerfristig typischen Betriebsablaufs am zu beurteilenden Arbeitsplatz vorzunehmen.

(2) Bei der lärmbezogenen Arbeitsplatzbegehung ist insbesondere auf Folgendes zu achten:

  1. Arbeitsplatz-/Raumgestaltung/Arbeitsorganisation:
    1. Wirkt der Raum hallig? Gibt es schallharte und glatte Materialien an Wänden, Decken, Fußböden sowie bei Einrichtungen, Einbauten usw. oder große Fensterflächen?
    2. Wie wird der Raum genutzt? Welche akustischen Anforderungen bestehen? Treten informationshaltige Geräusche, Sprachgeräusche oder andere störende Geräusche auf?
    3. Gibt es Besonderheiten in der Raumnutzung? Werden Tätigkeiten mit unterschiedlichen akustischen Anforderungen an Arbeitsplätze zur gleichen Zeit im gleichen Raum durchgeführt? Gibt es akustisch dominante Schallquellen am oder in der Nähe des Arbeitsplatzes ?
  2. Entsteht Lärm im Raum? Sind schallemittierende Geräte/Arbeitsmittel am Arbeitsplatz oder im Umfeld des Arbeitsplatzes angeordnet (Büro: z.B. Drucker; Produktion: z.B. Fördertechnik)?
  3. Wird Lärm von außen eingetragen? Wirken Schallquellen außerhalb des Raumes (z.B. Maschinen, Verkehrslärm, Aufzugsanlagen) auf den Arbeitsplatz ein?

(3) Nur wenn sich durch die lärmbezogene Arbeitsplatzbegehung störender oder belästigender Schall (Lärm) eindeutig ausschließen lässt, sind keine weiteren Ermittlungen oder Maßnahmen erforderlich.

(4) Wird bei der lärmbezogenen Arbeitsplatzbegehung störender oder belästigender Schall (Lärm) festgestellt, hat der Arbeitgeber entweder Maßnahmen festzulegen, umzusetzen und eine Wirksamkeitskontrolle durchzuführen oder er hat geeignete weitergehende Ermittlungsverfahren gemäß Punkt 7 Absatz 4 auszuwählen und anzuwenden. Liegt nach einer Wirksamkeitskontrolle kein störender oder belästigender Schall (Lärm) mehr vor, sind keine weiteren Ermittlungen oder Maßnahmen erforderlich.

Den Ablauf des vereinfachten Verfahrens durch lärmbezogene Arbeitsplatzbegehung stellt Abbildung 2 dar.

Abb. 2: Ablauf des vereinfachten Verfahrens durch lärmbezogene Arbeitsplatzbegehung

7.2 Ermittlung der raumakustischen Kennwerte durch Abschätzung

(1) Die Abschätzung der raumakustischen Kennwerte (Nachhallzeit, mittlerer Schallabsorptionsgrad) von Räumen in bestehenden Arbeitsstätten kann mit Kenntnis der Raumabmessungen und der Schallabsorptionsgrade der raumbegrenzenden Oberflächen und der weiteren Oberflächen (z.B. Einrichtung, Trennwände) entsprechend des Anhangs 2 erfolgen.

(2) Lässt sich durch die Abschätzung der raumakustischen Kennwerte feststellen, dass die Anforderungen entsprechend Punkt 5.2 eingehalten werden, sind keine weiteren Ermittlungen oder raumakustische Maßnahmen erforderlich.

(3) Wird durch die Abschätzung der raumakustischen Kennwerte festgestellt, dass diese nicht eingehalten werden, hat der Arbeitgeber Maßnahmen festzulegen, umzusetzen und eine Wirksamkeitskontrolle durchzuführen. Werden danach die Anforderungen entsprechend Punkt 5.2 eingehalten, sind keine weiteren Ermittlungen oder raumakustische Maßnahmen erforderlich.

7.3 Ermittlung der raumakustischen Kennwerte durch Messung

(1) Alternativ zu Punkt 7.2 lassen sich die raumakustischen Kennwerte unter bestimmten Bedingungen (Raumdimensionen, Diffusität usw.) durch Messung der Nachhallzeit oder der mittleren Schalldruckpegelabnahme je Abstandsverdopplung ermitteln.

(2) Personen, die raumakustische Kennwerte ermitteln, müssen aufgrund ihrer fachlichen Ausbildung oder ihrer Erfahrungen entsprechende Kenntnisse über die Beurteilung der Raumakustik haben, z.B. unter der Anwendung der DIN EN ISO 3382-2:2008-09 oder der Anwendung des Verfahrens zur Ermittlung der mittleren Schalldruckpegelabnahme je Abstandsverdopplung gemäß TRLV Lärm Teil 3, Ausgabe Januar 2010, Punkt 4.3.2.

Hinweis:
Eine frequenzabhängige Ermittlung der Nachhallzeit ist notwendig für die Planung geeigneter Maßnahmen, z.B. den gezielten Einsatz frequenzadaptierter Absorber.

(3) Wenn für Räume entsprechend Punkt 5.2.1 und Punkt 5.2.2 die vorgegebenen Nachhallzeiten eingehalten werden, sind keine weiteren Ermittlungen oder raumakustische Maßnahmen erforderlich. Gleiches gilt für einen sonstigen Arbeitsraum mit Sprachkommunikation, wenn der aus der Nachhallzeit ermittelte mittlere Schallabsorptionsgrad oder die gemessene Schalldruckpegelabnahme je Abstandsverdopplung entsprechend Punkt 5.2.3 eingehalten wird.

(4) Wird durch die messtechnische Ermittlung der raumakustischen Kennwerte festgestellt, dass die Anforderungen entsprechend Punkt 5.2 nicht eingehalten werden, hat der Arbeitgeber Maßnahmen festzulegen, umzusetzen und eine Wirksamkeitskontrolle durchzuführen. Werden die Anforderungen danach eingehalten, sind keine weiteren Ermittlungen oder raumakustische Maßnahmen erforderlich.

7.4 Ermittlung von Lärmpegeln für Tätigkeiten durch orientierende Messung

(1) Bei der orientierenden Messung ist der A-bewertete äquivalente Dauerschallpegel während der Tätigkeit zu ermitteln. Die Messung hat die während der Tätigkeit längerfristig typisch auftretenden Geräusche zu erfassen. Eigengeräusche sind bei der Messung nicht mit zu erfassen.

Hinweis:
Die orientierende Messung ist ein verkürztes und vereinfachtes Verfahren, das auf den Grundzügen des in der DIN 45645-2:2012-09 genormten Mess- und Beurteilungsverfahrens zur Ermittlung des Beurteilungspegels am Arbeitsplatz basiert.

(2) Für orientierende Messungen zur Ermittlung des Lärmpegels bei Tätigkeiten am Arbeitsplatz sind integrierende Schallpegelmesser der Klasse 1 oder 2 (Genauigkeit des Messgerätes) einzusetzen.

Hinweis:
Die Anforderungen an die Schallpegelmesser sind in DIN EN 61672-1:2014-07 genormt.

(3) Die Schallimmission wird mit dem Schallpegelmesser an dem Ort erfasst, an dem die Tätigkeit ausgeübt wird. Grundsätzlich wird diese Messung aus technischen Gründen so durchgeführt, dass die beschäftigte Person ihren Arbeitsplatz nicht einnimmt (Schallreflexionen, Abschattungseffekte). Das Mikrofon wird dabei an der üblichen Position des Kopfes in Höhe der Augen gehalten. Sollte die Anwesenheit der beschäftigten Person am Arbeitsplatz während der Messung erforderlich sein, ist das Mikrofon in Ohrnähe der beschäftigten Person so zu positionieren, dass die Geräuscheinwirkung auf das Mikrofon nicht durch den Körper der beschäftigten Person behindert wird.

(4) Die Messzeit muss nach Art, Ausmaß und Dauer (Abbildung 3) jeweils lang genug sein, um den mittleren Schalldruckpegel der betrachteten Schalleinwirkung zu erfassen, das heißt die Messung muss sich nicht über die gesamte Zeitdauer der betrachteten Schalleinwirkung erstrecken:

Abb. 3: Art, Ausmaß und Dauer der Lärmeinwirkung, nach TRLV Lärm Teil 2 "Messung von Lärm". Technische Regel zur Lärm- und Vibrations-Arbeitsschutzverordnung, August 2017

(5) Die Messung kann jeweils beendet werden, wenn erkennbar ist, dass sich der angezeigte A-bewertete äquivalente Dauerschallpegel LpAeq durch alle zu erwartenden weiteren Geräuschbeiträge nicht mehr nennenswert ändert.

(6) Weitere Ermittlungen oder Maßnahmen sind nicht erforderlich, wenn

  1. bei Tätigkeiten der Tätigkeitskategorie I durch orientierende Messung festgestellt wird, dass der A-bewertete äquivalente Dauerschallpegel während der Tätigkeit weniger als 46 dB(A) beträgt,
  2. bei Tätigkeiten der Tätigkeitskategorie II durch orientierende Messung festgestellt wird, dass der A-bewertete äquivalente Dauerschallpegel während der Tätigkeit weniger als 61 dB(A) beträgt.

(7) Wird durch die orientierende Messung festgestellt, dass die Werte nach Absatz 6 a) oder b) überschritten werden, kann der Arbeitgeber Maßnahmen festlegen, umsetzen und eine Wirksamkeitskontrolle durchführen. Werden danach die Werte nach Absatz 6 a) oder b) eingehalten, sind keine weiteren Ermittlungen zu Pegelwerten bei Tätigkeiten in Arbeitsräumen erforderlich.

Alternativ kann er auch durch das Verfahren zur Ermittlung von Beurteilungspegeln für Tätigkeiten an Arbeitsplätzen in Arbeitsräumen überprüfen, ob die Anforderungen nach Punkt 5.1 eingehalten werden.

7.5 Ermittlung von Beurteilungspegeln für Tätigkeiten an Arbeitsplätzen in Arbeitsräumen

(1) Die Ermittlung des Beurteilungspegels am Arbeitsplatz umfasst mindestens folgende Arbeitsschritte:

Hinweis:
Ein geeignetes Verfahren ist das in DIN 45645-2:2012-09 dargestellte Mess- und Beurteilungsverfahren.

(2) Die Ermittlung des Beurteilungspegels verlangt von der durchführenden Person mindestens Kenntnisse:

(3) Zur Ermittlung des Beurteilungspegels ist es gegebenenfalls erforderlich, dass die für den Arbeitgeber tätig werdenden Personen Einsicht in alle für die Ermittlung erforderlichen Unterlagen nehmen können und alle notwendigen Informationen über Arbeitsprozesse und Organisation der Arbeiten erhalten, z.B. die Art der Tätigkeit der Beschäftigten, die Dauer der Lärmeinwirkung.

(4) Am zu beurteilenden Arbeitsplatz ist durch eine Arbeitsplatzanalyse zu ermitteln, welche Schallimmissionen auf die beschäftigte Person über welche Zeiträume einwirken, ob impuls- oder ton- und informationshaltige Geräusche vorliegen und ob die angetroffenen Schallsituationen für eine festzulegende Nutzungsphase repräsentativ sind. Jede charakteristische Schallsituation ist eigenständig zu betrachten, wenn sie eine Stunde oder länger anhält. Für diese Zeiträume sind die Beurteilungspegel jeweils separat zu ermitteln.

(5) Für die Messung gelten die Ausführungen unter Punkt 7.4 Absätze 2 bis 5. Es sind jedoch geprüfte Messgeräte zu verwenden. Zusätzlich wird die Impulshaltigkeit der Schallimmission ermittelt.

(6) Zur Bestimmung der Zuschläge KI und KT gelten folgende Regeln:

  1. Kein Zuschlag KT für impulshaltigen Schall, wenn die Differenz aus LpAIeq und LpAeq kleiner als 3 dB(A) ist. Bei einer Differenz von mindestens 3 dB entspricht der Impulszuschlag KI der gemessenen Differenz, jedoch maximal einem Wert von 6 dB(A).
  2. Der Zuschlag KT für ton- und informationshaltigen Schall ist je nach Auffälligkeit und Störwirkung mit 0 dB(A), 3 dB(A) oder 6 dB(A) anzusetzen.
  3. Die Summe beider Zuschläge ist auf 6 dB(A) begrenzt.

(7) Der Beurteilungspegel Lr für die zu beurteilende Tätigkeit ergibt sich als Summe aus dem A-bewerteten äquivalenten Dauerschallpegel LpAeq während der Tätigkeit und den bestimmten Zuschlägen für Impulshaltigkeit (KI) sowie Ton- und Informationshaltigkeit (KT):

Lr = LpAeq + KI + KT

(8) Liegen die ermittelten Beurteilungspegel für die Tätigkeit am zu beurteilenden Arbeitsplatz oberhalb der in Punkt 5.1 vorgegebenen Werte, hat der Arbeitgeber Maßnahmen festzulegen, umzusetzen und eine Wirksamkeitskontrolle durchzuführen.

(9) Liegen die ermittelten Beurteilungspegel für die Tätigkeit am zu beurteilenden Arbeitsplatz unterhalb der in Punkt 5.1 vorgegebenen Werte, sind keine weiteren Maßnahmen zur Pegelminderung erforderlich.

7.6 Bewertung von tieffrequentem Lärm

(1) Zur Bewertung tieffrequenter Geräusche können ergänzende Messungen erforderlich sein. Besteht eine begründete Möglichkeit der Einwirkung tieffrequenter Lärmanteile, sind gesonderte messtechnische Überprüfungen erforderlich. Weitere Erkenntnisse kann dazu eine Terzanalyse z.B. entsprechend DIN 45680:1997-03 ergeben.

(2) Eine begründete Möglichkeit ergibt sich z.B. daraus, dass die Wahrnehmungsschwelle für tieffrequenten Schall überschritten wird und sich Symptome der Beschäftigten (siehe Anhang 1) beim Verlassen des Arbeitsplatzes verringern.

(3) Wird die Einwirkung tieffrequenter Lärmanteile festgestellt, die die Sicherheit und Gesundheit der Beschäftigten beeinträchtigen, hat der Arbeitgeber Maßnahmen festzulegen, umzusetzen und eine Wirksamkeitskontrolle durchzuführen.

8 Maßnahmen zum Lärmschutz

(1) Bei Maßnahmen zum Lärmschutz ist folgende Rangfolge zu beachten: technische Maßnahmen stehen vor organisatorischen und persönlichen.

(2) Die Gestaltung lärmarmer Arbeitsstätten ist schon bei der Planung zu berücksichtigen.

(3) Beim Einrichten und Betreiben der Arbeitsstätte ist auf die Auswahl lärmarmer Arbeitsmittel zu achten. Dabei sind bei Maschinen die vom Hersteller nach der Neunten Verordnung zum Produktsicherheitsgesetz ( 9. ProdSV) in der Betriebsanleitung anzugebenden Geräuschemissionswerte zu berücksichtigen.

(4) Die raumakustischen Maßnahmen sind auf den Arbeitsplatz und die jeweilige Tätigkeit abzustimmen.

(5) Maßnahmen zum Lärmschutz sind erforderlich, wenn dies als Ergebnis von Punkt 6 oder Punkt 7 festgestellt wurde.

(6) Zusätzlich können im Rahmen der Gefährdungsbeurteilung weitere Maßnahmen zum Lärmschutz erforderlich werden, die sich aufgrund identifizierbarer und vermeidbarer akustischer Störquellen ergeben (z.B. pfeifende oder schleifende Lüfter, akustische Rückkopplungen in Telefonanlagen, tieffrequente Geräusche).

(7) Ist in bestehenden Arbeitsstätten die Verbesserung des Schallschutzes baulicher Anlagen, die zum Zeitpunkt ihrer Errichtung oder der Änderung oder des Austausches wesentlicher Bauteile den gültigen bauordnungsrechtlichen Vorgaben zum Schallschutz entsprachen, mit Aufwendungen verbunden, die offensichtlich unverhältnismäßig sind, hat der Arbeitgeber zu prüfen, wie durch andere oder ergänzende Maßnahmen die Sicherheit und der Gesundheitsschutz der Beschäftigten in vergleichbarer Weise gesichert werden kann. Die erforderlichen Maßnahmen hat er durchzuführen. Eine solche Maßnahme kann z.B. das Einbringen weiterer raumakustisch wirksamer Elemente in Arbeitsräumen sein. Die ergänzenden Maßnahmen können solange herangezogen werden, bis die bestehenden Arbeitsstätten wesentlich umgebaut oder die baulichen Anlagen erheblich umgestaltet werden.

8.1 Technische Schutzmaßnahmen

Bei den technischen Maßnahmen hat die Lärmminderung an der Quelle (primäre Schutzmaßnahme) Vorrang vor der Lärmminderung auf dem Ausbreitungsweg und raumakustischen Maßnahmen (sekundäre Schutzmaßnahme).

8.1.1 Lärmminderung an der Quelle
(primäre Schutzmaßnahme)

(1) Quellen für Lärm können sich sowohl in der Arbeitsstätte befinden als auch außerhalb liegen.

(2) Möglichkeiten zur Lärmminderung an der Quelle innerhalb der Arbeitsstätte bestehen z.B. an folgenden Schallquellen:

  1. Gebäudeeinrichtungen und -ausstattungen
  2. Arbeitsmittel und Einrichtungen

Hinweis:
Lärmarme Arbeitsmittel sind nach Beschaffung durch Instandhaltung möglichst im ursprünglichen Emissionszustand zu erhalten, z.B. ausgeschlagene Rechnerlüfter austauschen. In Kindertagesstätten z.B. Geschirrwagen und Spielzeuge mit Gummibereifung ausstatten, häufig bewegte Tische und Stühle mit Gleitern versehen und lärmarmes Geschirr sowie schalldämpfende Geschirrunterlagen verwenden.

8.1.2 Lärmminderung auf dem Übertragungsweg und raumakustische Maßnahmen (sekundäre Schutzmaßnahme)

(1) Von außerhalb des Raumes kommende Geräusche, z.B. Schallübertragungen von Raum zu Raum und lärmerzeugende Vibrationen in Arbeitsstätten können durch Dämpfung, Entkopplung oder Dämmung verringert werden. Zur Minderung von Lärm, der außerhalb der Arbeitsstätte entsteht (z.B. Verkehrslärm, Nachbarschaftslärm) können Wände, Fenster, Türen und Dächer akustisch wirksam gestaltet werden.

(2) Innerhalb des Raumes entstehende Geräusche können durch raumakustische Maßnahmen z.B. mit Stellwänden, Abschirmungen und Möbeln bereichsweise abgeschirmt werden. Zur Verringerung der Schallreflexionen können raumakustisch wirksame Absorptionsflächen vorgesehen werden. Auch Möbel, Dekorationen, Warenregale auf Verkaufsflächen des Einzelhandels, Raumtextilien und Bodenbeläge können raumakustisch wirksam sein.

8.1.3 Lärmminderung durch Raum-in-Raum-Lösungen

Lärm, der in einem Arbeitsraum entsteht und der nicht in einen weiteren Arbeitsbereich in diesem Arbeitsraum übertragen werden soll, kann wirksam durch eine Raum-in-Raum-Lösung (z.B. stationäre oder mobile Schallschutzkabinen, Meisterräume, Wartungs- und Steuerungsräume) verringert werden.

8.1.4 Schutzmaßnahmen gegen tieffrequenten Lärm

(1) Die Entkopplung tieffrequenter Schallquellen (z.B. haustechnische Anlagen und Geräte) vom Gebäude kann die Weiterleitung tieffrequenten Schalls vermindern.

(2) Zur Schalldämmung von tieffrequentem Lärm sind in der Regel massive Wände und spezielle Schallschutzfenster erforderlich. Freistehende Mauern oder Wände zur Raumteilung sind zur Schalldämmung gegen tieffrequenten Lärm in der Regel nicht wirksam. Besser ist die Einbindung in weitere Bauelemente (Decke, Boden, Seitenwände).

(3) Liegt der tieffrequente Lärm nur mit einer bestimmten Frequenz vor, sind Resonanzabsorber geeignet.

(4) In Einzelfällen kann durch die Technik der aktiven Lärmunterdrückung (Gegenschall oder Active Noise Control = ANC) eine Verbesserung der Lärmsituation herbeigeführt werden.

Hinweis:
Persönlicher Gehörschutz ist bei tieffrequentem Schall geringer wirksam als im Hörfrequenzbereich und als Maßnahme zum Schutz gegen tieffrequenten Lärm nur beschränkt geeignet.

8.2 Organisatorische Maßnahmen

(1) Unter organisatorischen Lärmminderungsmaßnahmen sind Änderungen zu verstehen, die zu einer räumlichen oder zeitlichen Trennung von der Lärmquelle und damit geringeren Lärmexposition der Beschäftigten führen.

(2) Sprache oder andere Arbeitsgeräusche können eine Lärmquelle darstellen, wenn sie mit der eigenen Tätigkeit nicht im Zusammenhang stehen. Zur Lärmminderung kann eine räumliche oder zeitliche Trennung von Beschäftigten mit unterschiedlichen Tätigkeiten oder wenig Interaktionsbedarf untereinander beitragen.

(3) Beispiele für mögliche organisatorische Maßnahmen sind:

  1. generell:
  2. Büro:
  3. Bildungsbereich:
  4. Produktionsbereich:

8.3 Verhaltenspräventive und persönliche Maßnahmen

(1) Verhaltenspräventive Maßnahmen können durch Unterweisung oder Information z.B. zu lärmarmen Arbeiten, Vermeiden unnötiger Lärmerzeugung und tätigkeitsfremder Geräuschquellen (Radio usw.) vermittelt werden.

Hinweis:
Die Beschäftigten haben entsprechend § 15 ArbSchG die Verpflichtung, durch eigenes Handeln zur Lärmminderung beizutragen.

(2) Zum persönlichen Lärmschutz kann der Arbeitgeber Hilfsmittel, z.B. Gehörschutz, zur Verfügung stellen, die die Beschäftigten anwenden können. Dabei ist zu beachten, dass Sprachverständlichkeit und akustische Orientierung beeinträchtigt werden können.

Ausgewählte Literaturhinweise

.

Erläuterungen zu Punkt 4 - Extra-aurale und reversible aurale Lärmwirkungen Anhang 1

1 Vertäubung

Länger anhaltende höhere Schalldruckpegel können bereits zu einer leichten, reversiblen Hörminderung (Vertäubung) führen, die auch nach der akustischen Belastung die Sprachverständlichkeit und die akustische Signalerkennung beeinträchtigt.

Höhere Expositionen im Minutenbereich führen weniger zur Vertäubung als energieäquivalente niedrigere, aber längerdauernde Expositionen.

2 Beeinträchtigung der Sprachverständlichkeit und der akustischen Orientierung

(1) Das Verstehen von Sprache oder das Wahrnehmen akustischer Informationen kann durch Lärm erschwert oder gänzlich verhindert werden.

(2) Bei einer Pegeldifferenz des Schalldruckpegels der Sprache von weniger als 10 dB(A) über dem des Störgeräusches ist sprachliche Kommunikation nur eingeschränkt möglich.

Hinweis:
In 1 m Abstand vom Sprecher erzeugt Umgangssprache einen Schalldruckpegel von 55 dB(A) bis 65 dB(A), Vortragssprache von etwa 70 dB(A).

(3) Akustische Nutzsignale sollen nicht, akustische Gefahrensignale dürfen nicht durch Störgeräusche verdeckt werden.

Hinweis:
Die Pegeldifferenz zwischen Gefahrensignal und Störgeräusch sollte A-bewertet mindestens 15 dB(A) betragen, um die Hörbarkeit zu gewährleisten.

3 Störung der Arbeitsleistung (kognitive Leistung)

(1) Geistige Leistungen, die eine hohe Konzentration oder Aufmerksamkeit erfordern, können durch Lärm gestört werden, insbesondere durch sprach- und informationshaltigen Lärm oder hohe Schalldruckpegel. Gleiches gilt auch für tieffrequenten Lärm schon bei Schalldruckpegeln ab 20 dB(A).

(2) Die Störung der Arbeitsleistung durch Lärm kann dadurch verursacht sein, dass betriebliche Rahmenbedingungen für ein konzentriertes, fehlerfreies und zügiges Arbeiten nicht im für die jeweilige Tätigkeit erforderlichen Maß gegeben sind.

4 Psychische Wirkung

(1) Lärm kann psychische Reaktionen auslösen, z.B.:

(2) Die psychische Wirkung, die ein Geräusch verursacht, ist nicht direkt aus der physikalischen Beschaffenheit, dem Schalldruckpegel, dem zeitlichen Verlauf oder der Dauer des Geräusches ableitbar. Impulshaltige, tonhaltige oder informationshaltige Geräuschanteile erhöhen das Belästigungspotential.

(3) Das Ausmaß der Belästigung durch Schallereignisse ist von individuellen Faktoren abhängig. Wenn fremdverursachte Geräusche aus der Sicht der Beschäftigten als vermeidbar und für eigene Zwecke nicht erforderlich angesehen werden, werden diese in der Regel als belästigend empfunden.

(4) Tieffrequenter Lärm kann bei Beschäftigten z.B. zu Gefühlen der Angst und Niedergeschlagenheit oder zu Kopfschmerzen führen. Auch das Erinnerungsvermögen und die Konzentrationsfähigkeit können gemindert werden. Beschwerden, die auf eine mögliche Belastung durch tieffrequenten Schall hinweisen, sind durch Dröhngeräusche oder Schwingungen verursachter Ohrendruck oder Druckgefühle im Kopf, die auf Dauer unerträglich werden können.

5 Physiologische Wirkung (Aktivierung des zentralen und vegetativen Nervensystems)

(1) Schall führt, ob bewusst wahrgenommen oder unbewusst, zu einer Aktivierung des zentralen und vegetativen Nervensystems.

(2) Die mit der Aktivierung des zentralen und vegetativen Nervensystems verbundenen physiologischen Reaktionen können, je nach Intensität, zeitlichem Verlauf und Frequenzzusammensetzung der Lärmexposition sowie individueller Disposition, zu Lärm-Stress-Reaktionen führen, z.B. zur:

(3) Eine dauerhafte Aktivierung des Nervensystems durch Lärm kann langfristig negative Auswirkungen auf die Gesundheit und die Erholungsfähigkeit haben, in deren Folge insbesondere Herz-Kreislauf- und Blutgefäßerkrankungen häufiger in Erscheinung treten können (chronische Wirkung).

.

Abschätzung der raumakustischen Kennwerte in Ergänzung zu Punkt 7.2 Anhang 2

1 Ermittlung des mittleren Schallabsorptionsgrades

(1) Der mittlere Schallabsorptionsgrad α' eines Raumes kann bei Kenntnis der Schallabsorptionsgrade α aller Raumbegrenzungsflächen (Wände, Decke, Boden) und weiterer Oberflächen (Einrichtungen, Trennwände, ...) abgeschätzt werden. Dazu müssen die Schallabsorptionsgrade der vorhandenen Einzelflächen bekannt sein bzw. vorgegeben werden. Schallabsorptionsgrade α typischer Baustoffe und raumakustisch wirksamer Einbauten sind in der Tabelle 1 aufgeführt. Die Schallabsorptionsgrade α sind hier für die Oktavbänder von 250 Hz bis 2000 Hz als arithmetischer Mittelwert angegeben.

Tabelle 1: Schallabsorptionsgrade α von Baumaterialien und raumakustisch wirksamen Einbauten für die Oktavbänder von 250 Hz bis 2000 Hz als arithmetischer Mittelwert
(Quelle: Industrieverband Büro und Arbeitswelt e.V. (IBA)/Akustikbüro Oldenburg)

Lfd.
Nr.
Absorbertyp Schallabsorptionsgrade für Mittelwert
250 - 2000 Hz
1 Mauerziegelwand, unverputzt, Fugen ausgestrichen 0,04
2 Mauerwerk, Hohllochziegel, Löcher sichtbar, 6 cm vor Massivwand 0,36
3 Glattputz 0,03
4 Tapete auf Kalkzementputz 0,05
5 Spiegel, vor der Wand 0,05
6 Tür, Holz, lackiert 0,06
7 Stuckgips, unverputzter Beton 0,04
8 Marmor, Fliesen, Klinker 0,02
9 Fenster (Isolierverglasung) 0,10
10 Glastrennwand, 10 mm dick, 2-Scheiben-Verbundglas Hersteller anfragen
11 Parkettfußboden, aufgeklebt 0,05
12 Parkettfußboden, auf Blindboden 0,10
13 Parkettfußboden, hohlliegend 0,07
14 Teppichboden, bis 6 mm Florhöhe 0,15
15 Teppichboden, 7 mm bis 10 mm Florhöhe 0,26
16 PVC-Fußbodenbelag (2,5 mm) auf Betonboden 0,03
17 Linoleum auf Beton 0,03
18 Kork 0,03
19 Gipskartonplatten 9,5 mm, 60 mm Wandabstand, Hohlraum kassettiert 0,08
20 Furnierte Holz- oder Spanplatte dicht vor festem Untergrund 0,05
21 4 mm Hartfaserplatte, kassettiert ohne Dämmstoff, Wandabstand 60 mm 0,11
22 4 mm Hartfaserplatte, kassettiert mit 40 mm Mineralwollplatte, Wandabstand 60 mm 0,13
23 4 mm Hartfaserplatte, kassettiert ohne Dämmstoff, Wandabstand 120 mm 0,08
24 Gipskartonplatte, 9,5 mm, 25 mm Wandabstand 0,12
25 Bücherregal in Bibliotheken 0,35
26 Vollziegel Mauerwerk 0,12
27 Lochsteine - vorsichtige Annahme 0,41
28 3,5 mm Hartfaserplatte, 40 mm Mineralwolle, 30 mm Holzleisten 750 mm x 500 mm 0,15
29 4 mm Sperrholzplatte, 40 mm Mineralwolle, 120 mm Wandabstand 0,16
30 Nadelfilz 7 mm 0,18
31 5 mm Teppich mit 5 mm Filzunterlage 0,57
32 PVC-Belag, Linoleum 0,04
33 Holzfußboden auf Leisten 0,09
34 Spanndecke mikroperforiert, 100 mm, kein Vlies 0,58
35 Spanndecke mikroperforiert, 100 mm, 40 mm Akustikvlies 0,84
36 Rasterdecke 8/18 Rundloch 15,5 %, 200 mm, Akustikvlies, ohne Mineralwolle 0,61
37 Rasterdecke 8/18 Rundloch 15,5 %, 200 mm, Akustikvlies, 20 mm Mineralwolle 0,65
38 Rasterdecke 12/25 Quadratloch 7,8 %, 200 mm, Akustikvlies, 20 mm Mineralwolle 0,44
39 Rasterdecke 12/25 Quadratloch 7,8 %, 65 mm, Akustikvlies, 20 mm Mineralwolle 0,45
40 Holzwolle-Leichtbauplatten 35 mm, direkt auf Wand 0,56
41 Holzwolle-Leichtbauplatten 25 mm, Hohlraum leer, Wandabstand 50 mm 0,53
42 Melaminharz-Schaumstoff, Rohdichte 8 kg/m3 bis 10kg/m3, 30 mm 0,68
43 Melaminharz-Schaumstoff, Rohdichte 8 kg/m3 bis 10kg/m3, 50 mm 0,84
44 40 mm Mineralwollmatte (20 kg/m3), ohne Lochblechabdeckung 0,70
45 40 mm Mineralwollmatte (20 kg/m3), mit Lochblechabdeckung (18 %) 0,70
46 gelochter Gipskarton 9,5 mm, 8/18, 15 %, mit Faservlies hinterlegt, Wandabstand 100 mm 0,48
47 Gipskarton-Schlitzplatte, 8,8 % mit Faservlies, Wandabstand 100 mm 0,40
48 gelochte Langfeld-Metallkassette, 20 %, 3 mm Loch, Akustikfilz, 300 mm 0,69
49 senkrecht stehende Lamellen, gelochtes Stahlblech, Mineralfaserplatte, Glasfaservlies 0,62
50 20 mm grobkörniger Spritzputz auf Stegzementdiele 0,53
51 Spritzputz auf 12,5 mm Gipskartonplatte, Spritzstruktur 0,41
52 20 mm Mineralwollplatte mit 200 mm Deckenhohlraum, Schallabsorberklasse A 0,90 - 1,0
53 20 mm Mineralwollplatte mit 200 mm Deckenhohlraum, Schallabsorberklasse C 0,60 - 0,75
54 15 mm Mineralwollplatte mit 200 mm Deckenhohlraum, Schallabsorberklasse A 0,90 - 1,0

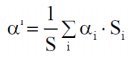
(2) Der mittlere Schallabsorptionsgrad α' eines Raumes lässt sich nach der Formel

berechnen mit

S = Summe aller Raumbegrenzungsflächen in m2
αi = Schallabsorptionsgrade der Einzelflächen
Si = Einzelflächen in m2

(3) Näherungsweise * kann für bestehende Räume der mittlere Schallabsorptionsgrad α' nach der Tabelle 2 abgeschätzt werden.

Tabelle 2: Beispiele des mittleren Schallabsorptionsgrades α' verschiedener Räume *

Beschreibung des Raums
0,1 Raum ohne schallschluckende Einbauten mit wenigen Einrichtungen (Maschinen, Möbel, Regale, ...)
0,15 Raum ohne schallschluckende Einbauten mit vielen Einrichtungen
0,2 Raum ohne schallschluckende Einbauten mit vielen Einrichtungen und besonders leichten Begrenzungsflächen oder zahlreichen Öffnungen oder hoher Raum (h ≥ 10 m) mit mäßiger Akustikdecke (α ≥ 0,5)
0,25 Raum (h = 3 m bis 5 m) mit mäßiger Akustikdecke (α ≥ 0,5) oder hoher Raum (h ≥ 10 m) mit guter Akustikdecke (α ≥ 0,9)
0,3 Raum wie für α' = 0,25 beschrieben, jedoch mit zusätzlicher absorbierender Wand- oder Stellwandfläche ≥1/2 Deckenfläche
0,4 Niedriger Raum (h = 3 m bis 5 m) mit guter Akustikdecke (α ≥ 0,9)
*) Quelle: TRLV Lärm, Teil 3: Lärmschutzmaßnahmen, Anhang 5: Nachhallzeit und mittlerer Schallabsorptionsgrad. Der mittlere Schallabsorptionsgrad α' gilt hier in den Oktavbändern mit den Mittenfrequenzen von 500 Hz bis 4000 Hz. Er ist somit leicht erhöht gegenüber den mit Tabelle 1 ermittelten Werten.

2 Ermittlung der Nachhallzeit für den unbesetzten Raum mit Hilfe des mittleren Schallabsorptionsgrades

(1) Die Nachhallzeit T ist abhängig vom Raumvolumen und vom Schallabsorptionsvermögen des Raumes. So ergibt sich die Nachhallzeit T zu

T ≈ 0,163 · V/ (α' · S) in s

mit

T = Nachhallzeit in s
V = Raumvolumen in m3
S = Summe aller Raumbegrenzungsflächen in m2
α' = mittlerer Schallabsorptionsgrad

Hinweis:
Die Anwendung der Formel ist beschränkt auf Räume, deren längste Seite maximal das Fünffache der kürzesten Seite beträgt. Bei anderen Räumen können die Nachhallzeiten länger als rechnerisch ermittelt sein.

(2) Die in Punkt 5.2.1 Absatz 2 geforderten Nachhallzeiten T für Büroräume und Callcenter werden in Abhängigkeit von den Raumgrundflächen und zugehörigen Mindestraumhöhen gemäß ASR A1.2 "Raumabmessungen und Bewegungsflächen" eingehalten, wenn die in Tabelle 3 aufgeführten mittleren Schallabsorptionsgradeα' ermittelt wurden.

Tabelle 3: Erforderliche mittlere Schallabsorptionsgrade α', um Nachhallzeiten T für verschiedene Büroraumtypen und Raumgrößen zu erfüllen

Grundfläche 1 - 2
Personenbüro
Mehrpersonen-/Großraumbüro Callcenter
bis 20 m2 α' = 0,15 - α' = 0,2
20 m2 bis 50 m2 - α' = 0,2 α' = 0,25
50 m2 bis 200 m2 - α' = 0,3 α' = 0,35
200 m2 bis 1000 m2 - α' = 0,35 α' = 0,4

(3) Die in Punkt 5.2.2 geforderte Nachhallzeit T für einen besetzten Klassenraum von 210 m3 wird eingehalten, wenn für den unbesetzten Raum ein mittlerer Schallabsorptionsgrad α' von 0,25 ermittelt wurde.

ENDE

umwelt-online - Demo-Version


(Stand: 21.08.2023)

Alle vollständigen Texte in der aktuellen Fassung im Jahresabonnement
Nutzungsgebühr: ab 105.- € netto

(derzeit ca. 7200 Titel s.Übersicht - keine Unterteilung in Fachbereiche)

Preise & Bestellung

Die Zugangskennung wird kurzfristig übermittelt

? Fragen ?
Abonnentenzugang/Volltextversion