Für einen individuellen Ausdruck passen Sie bitte die
Einstellungen in der Druckvorschau Ihres Browsers an.
Regelwerk; BGI/GUV-I / DGUV-I

BGI 5006 / DGUV Information 203-035 - Expositionsgrenzwerte für künstliche optische Strahlung
Berufsgenossenschaftliche Informationen für Sicherheit und Gesundheit bei der Arbeit (BGI)

(Ausgabe 10/2004)


Redaktioneller Hinweis: Berufsgenossenschaften sind gemäß § 210 SGB VII Behörden; ihre amtlichen Veröffentlichungen nach § 15 SGB VII unterliegen gemäß § 5 Abs. 2 UrhG keinem Urheberrechtsschutz.


zurückgezogen -Redakt. Hinweis:

Mit der Veröffentlichung der Technischen Regeln zur Inkohärenten Optischen Strahlung ( TROS IOS) zur Verordnung zum Schutz der Beschäftigten vor Gefährdungen durch künstliche optische Strahlung (Arbeitsschutzverordnung zu künstlicher optischer Strahlung - OStrV) ist die BGI 5006 "Expositionsgrenzwerte für künstliche optische Strahlung" nicht mehr aktuell.
Die wesentlichen Inhalte, insbesondere der Anhang zu den Messungen, wurde in den Technischen Regeln TROS IOS berücksichtigt. Der FB ETEM hat deshalb beschlossen diese DGUV Information zurückzuziehen und an entsprechender Stelle auf die TROS IOS zu verweisen.


Vorbemerkung

Die in dieser BG-Information enthaltenen Expositionsgrenzwerte entsprechen den Werten des derzeit dem Bundesministerium für Wirtschaft und Arbeit zugeleiteten Abgestimmten Fachausschussentwurfs der Unfallverhütungsvorschrift "Künstliche optische Strahlung" (BGV B9) und zugehöriger BG-Regel.

Die Expositionsgrenzwerte entsprechen weitgehend den internationalen Empfehlungen der WHO, ICNIRP.

Diese BG-Information soll eine Gefährdungsermittlung bei Einwirkung von künstlicher inkohärenter optischer Strahlung ermöglichen; wenn diese durchgeführt werden muss. Bei Schweißarbeitsplätzen z.B. muss diese Gefährdungsermittlung nicht durchgeführt werden, da in der Regel eine Gefährdung besteht und Schutzmaßnahmen entsprechend des Kapitels 2.26 "Schweißen, Schneiden und verwandte Verfahren" der BG-Regel "Betreiben von Arbeitsmitteln" (BGR 500) zu treffen sind.

Ferner sollten diese Grenzwerte nur bis zur Inkraftsetzung einer entsprechenden Arbeitsschutzvorschrift (Verordnung, Unfallverhütungsvorschrift) Anwendung finden.

In diese BG-Information wurde zusätzlich ein Anhang 8 "Empfehlung zur Auswahl von Schutzbrillen bei Einwirkung sichtbarer Strahlung" aufgenommen.

1 Anwendungsbereich

1.1 Diese BG-Information findet Anwendung auf die Gefährdungsermittlung künstlicher inkohärenter optischer Strahlung (100 nm bis 1 mm).

Behandelt werden in dieser BG-Information die unmittelbaren Gefährdungen.

1.2 Diese BG-Information findet keine Anwendung auf Laserstrahlung.

2 Begriffsbestimmungen

Im Sinne dieser BG-Information werden folgende Begriffe bestimmt:

  1. Optische Strahlung ist die elektromagnetische Strahlung im Wellenlängenbereich zwischen 100 nm und 1 mm. Zur optischen Strahlung zählen ultraviolette, sichtbare und infrarote Strahlung.

  2. Sichtbare Strahlung (VIS-Strahlung) ist die optische Strahlung, die unmittelbar einen visuellen Eindruck hervorrufen kann. Dies ist Strahlung im Wellenlängenbereich von 380 nm bis 780 nm.

  3. Ultraviolette Strahlung (UV-Strahlung) ist die optische Strahlung im Wellenlängenbereich von 100 nm bis 400 nm.

  4. Infrarote Strahlung (IR-Strahlung) ist die optische Strahlung im Wellenlängenbereich von 780 nm bis 1 mm.

  5. Künstliche optische Strahlung ist die optische Strahlung von künstlichen Quellen.

  6. Expositionsgrenzwert ist der maximal zulässige Wert für die Einwirkung optischer Strahlung auf die Augen oder die Haut.

3 Expositionsgrenzwerte

3.1 Anwendung der Expositionsgrenzwerte für künstliche optische Strahlung

Es ist zu prüfen, ob eine Einwirkung auf die Augen oder die Haut vorliegt. Liegt eine Einwirkung nur auf die Haut vor (Augen sind geschützt), so sind nur diese Expositionsgrenzwerte zu berücksichtigen.

In der Regel müssen alle Expositionsgrenzwerte (bzw. abgeleiteten Größen) der Abschnitte 3.5 bis 3.8 auf ihre Einhaltung überprüft werden.

Bei der Beurteilung der künstlichen optischen Strahlung hinsichtlich der Einhaltung der Expositionsgrenzwerte muss geprüft werden, ob die Einwirkung der optischen Strahlung dauernd (wiederkehrend über das Jahr) vorliegt oder nicht. Liegt eine wiederkehrende Strahlung über das Jahr vor, so müssen im Wellenlängenbereich (180 nm bis 400 nm) zusätzlich die Jahresgrenzwerte berücksichtigt werden.

Bei gepulster Strahlung liegen zurzeit keine ausreichenden Kenntnisse international vor. Zur Berechnung der Expositionsgrenzwerte ist Anhang 7 dieser BG-Information zu beachten. Bei LEDs, die gepulst sind, sollte die Bestimmung des Expositionsgrenzwertes nach der BG-Information "Betrieb von Lasereinrichtungen" (BGI 832) erfolgen.

3.2 Bezeichnungen der Basis-Berechnungsformeln

Bezeichnungen:

Zeichen Bedeutung Einheit
B (λ) relative spektrale Wirksamkeit für Blaulichtgefährdung -
C5 Impulsreduktionsfaktor -
Cα Korrekturfaktor rad
E Bestrahlungsstärke W * m-2
EB Effektive Blaulicht-Bestrahlungsstärke W * m-2
Em mittlere Bestrahlungsstärke W * m-2
Eeff Effektive Bestrahlungsstärke W * m-2
EIR Bestrahlungsstärke für infrarote Strahlung W * m-2
EIR(GW) Expositionsgrenzwert der Bestrahlungsstärke für infrarote Strahlung W * m-2
Eλ(λ) spektrale Bestrahlungsstärke W * m-2
H Bestrahlung J * m-2
Heff Effektive Bestrahlung J * m-2
Heff(GW) Tagesexpositionsgrenzwert für die effektive Bestrahlung J * m-2
Heff(JGW) Jahresexpositionsgrenzwert der Bestrahlung J * m-2
HEI Bestrahlung eines Einzelimpulses J * m-2
H(GW) Tagesexpositionsgrenzwert der Bestrahlung J * m-2
HIR(GW) Expositionsgrenzwert der Bestrahlung für infrarote Strahlung J * m-2
L Strahldichte W * m-2* sr-1
LB Effektive Strahldichte für Blaulichtgefährdung W * m-2* sr-1
LEI Strahldichte eines Einzelimpulses W * m-2* sr-1
Leff Effektive Strahldichte W * m-2* sr-1
Lm mittlere Strahldichte W * m-2* sr-1
LR Effektive Strahldichte für die thermische Netzhautgefährdung W * m-2* sr-1
LB(GW) Expositionsgrenzwert für die effektive Strahldichte für die Blaulichtgefährdung W * m-2* sr-1
LR(GW) Expositionsgrenzwert für die effektive Strahldichte zum Schutz der Augen vor der thermischen Netzhautgefährdung W * m-2* sr-1
Lλ(λ) spektrale Strahldichte W * m-2* sr-1
N Zahl der Impulse -
R (λ) relative spektrale Wirksamkeit für die thermische Netzhautgefährdung -
S (λ) relative spektrale Wirksamkeit -
T Einwirkungsdauer s
TEI Einzelimpulsdauer s
T,F Dauer der Impulsfolge s
X(GW) Index für den jeweiligen Expositionsgrenzwert, d.h. mit dem Index "GW" werden die jeweiligen Grenzwerte gekennzeichnet -
α Winkelausdehnung der Quelle rad
αmin Kleinster Grenzwinkel rad
αmax größter Grenzwinkel rad
λ Wellenlänge nm

3.3 Basis-Berechnungsformeln

Im Folgenden werden die Basis-Berechnungsformeln angegeben:

Die effektive Bestrahlungsstärke Eeffergibt sich im Wellenlängenbereich von λ1bis λ2aus den spektralen Bestrahlungsstärken Eλ (λ) und der relativen spektralen Wirksamkeiten S (λ) durch:

(1)

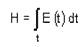
Die Bestrahlung H ergibt sich aus der Bestrahlungsstärke E und der Einwirkungsdauer t zu:

(2)

Die effektive Bestrahlung Heffergibt sich aus der effektiven Bestrahlungsstärke Eeff und der Einwirkungsdauer t zu:

(3)

Die effektive Bestrahlung Heff kann auch aus der spektralen Bestrahlung Hλ(λ) bestimmt werden:

(4)

Die Bestrahlung H lässt sich aus der spektralen Bestrahlung Hλ (λ) berechnen:

(5)

Die effektive Strahldichte LRfür die thermische Netzhautgefährdung berechnet sich aus der spektralen Strahldichte Lλ(λ) und der relativen spektralen Wirksamkeit für thermische Netzhautgefährdung R (λ) zu:

(6)

Die effektive Strahldichte für Blaulichtgefährdung LBberechnet sich aus der spektralen Strahldichte Lλ(λ) undder relativen spektralen Wirksamkeit für Blaulichtgefährdung B (λ) zu:

(7)

Die effektive Blaulicht-Bestrahlungsstärke EB ergibt sich im Wellenlängenbereich von 380 nm bis 600 nm aus den spektralen Bestrahlungsstärken Eλ (λ) und der relativen spektralen Wirksamkeit für Blaulichtgefährdung B (λ) durch:

(8)

Die Bestrahlungsstärke für infrarote Strahlung EIRergibt sich im Wellenlängenbereich von 780 nm bis 3000 nm durch:

(9)

3.4 Winkelausdehnung der Quelle

Im Wellenlängenbereich zwischen 380 nm und 1400 nm kann die Strahlung auf die Netzhaut fokussiert werden. Die zulässige Bestrahlungsstärke auf der Netzhaut hängt von der Größe des erzeugten Netzhautbildes ab. Die Winkelausdehnung α der scheinbaren Quelle ist der Winkel, unter dem eine optische Quelle gesehen wird. Bei der Verwendung von Linsen oder Spiegeln ist die durch die optische Abbildung bedingte Winkelausdehnungsveränderung zu beachten und bei der Bestimmung der Grenzwerte zu verwenden (scheinbare Quellengröße).

Die Expositionsgrenzwerte für den thermischen Netzhautschaden hängen von der Bildgröße der Quelle auf der Netzhaut (Retina) und damit von der Winkelausdehnung ab. Der kleinste bei der Berechnung anwendbare Winkel ist der minimale Grenzwinkel. Er wird mit αminbezeichnet. Sein Wert beträgt 1,5 mrad. Der größte Winkel wird als maximaler Grenzwinkel αmaxbezeichnet. Sein Wert beträgt 100 mrad = 0,1 rad.

Die Abhängigkeit des Expositionsgrenzwertes von der Winkelausdehnung der Quelle wird durch den Korrekturfaktor Cαbeschrieben, der wie folgt bestimmt wird:

Cα= αminfür α = αmin (10)
Cα= α für αmin< α ≤ αmax (11)
Cα= αmaxfür α > αmax (12)

Hierbei sind die Werte von α in rad einzusetzen.

Die Winkelausdehnung von rechteckigen Quellen ist durch den arithmetischen Mittelwert der größten und der kleinsten Winkelausdehnung bestimmt. Winkelausdehnungen über αmax oder unter αminsind vor der Berechnung auf 100 mrad bzw. 1,5 mrad zu begrenzen.

Die Winkelausdehnung einer Quelle ist für den Ort der auf Grund der zugänglichen Arbeitsbedingung zu erwartenden Einwirkung zu bestimmen. Der kleinste Abstand, bei dem das Auge den Strahl noch fokussieren kann, ist mit ≥ 100 mm (d.h. r ≥ 100 mm) anzunehmen.

3.5 Expositionsgrenzwerte für ultraviolette Strahlung (100 nm bis 400 nm)

Der ultraviolette Bereich des elektromagnetischen Strahlungsspektrums umfasst den Wellenlängenbereich von 100 nm bis 400 nm. Das obere Ende des Bereichs wird in verschiedenen Publikationen, Normen und Wirkungskurven zwischen 380 nm und 400 nm unterschiedlich angegeben. Die Festlegung von 400 nm in diesem Dokument erfolgt aus praktischen Gründen.

3.5.1 Tagesexpositionsgrenzwerte für Einwirkungen auf die Augen - Bedingungen zu den Abschnitten 3.5.2 und 3.5.3:

Die Tagesexpositionsgrenzwerte für Augeneinwirkungen gelten:

  1. für Einwirkungen durch künstliche UV-Strahlenquellen am Arbeitsplatz,
  2. für einmalige oder wiederholte UV-Einwirkungen während einer täglichen Arbeitszeit von 8 h. Dauert die tägliche Arbeitszeit länger als 8 h, dann ist die Gesamt-Dosis zu bestimmen, und es dürfen pro Arbeitstag dennoch die festgelegten 8-h-Tagesexpositionsgrenzwerte nicht überschritten werden,
  3. zum Schutz vor akuten Schädigungen des Auges (z.B. Fotokeratitis, Fotokonjunktivitis).

Für UV-Strahleneinwirkungen auf die Augen gelten die folgenden Tagesexpositionsgrenzwerte der Abschnitte 3.5.2 und 3.5.3 gleichzeitig.

3.5.2 Tagesexpositionsgrenzwert der effektiven Bestrahlung Heff(GW)im Bereich 180 nm bis 400 nm

Aus den Expositionswerten ist nach den Gleichungen (1) und (3) oder (4) die effektive Bestrahlung Heffim Wellenlängenbereich von λ1= 180 nm bis λ2= 400 nm zu ermitteln.

Hierbei sind die Werte für die relative spektrale Wirksamkeit S (λ) der Tabelle 1 zu entnehmen. Der Tagesexpositionsgrenzwert für die effektive Bestrahlung Heff(GW)durch UV-Strahleneinwirkungen auf die Augen im Wellenlängenbereich von 180 nm bis 400 nm beträgt:

Heff(GW)= 30 J * m-2 (13)

Tabelle 1 : Relative spektrale Wirksamkeit S (λ) für Einwirkungen auf die Augen im Wellenlängenbereich zwischen 180 nm und 400 nm

λ in nm S (λ) λ in nm S (λ) λ in nm S (λ) λ in nm S (λ) λ in nm S (λ)
180 0,0120 228 0,1740 276 0,9440 324 0,000520 372 0,0000866
181 0,0127 229 0,1820 277 0,9280 325 0,000500 373 0,0000834
182 0,0134 230 0,1900 278 0,9120 326 0,000480 374 0,0000802
183 0,0141 231 0,2000 279 0,8960 327 0,000460 375 0,0000770
184 0,0148 232 0,2100 280 0,8800 328 0,000440 376 0,0000744
185 0,0155 233 0,2200 281 0,8580 329 0,000425 377 0,0000718
186 0,0162 234 0,2300 282 0,8360 330 0,000410 378 0,0000692
187 0,0169 235 0,2400 283 0,8140 331 0,000397 379 0,0000666
188 0,0176 236 0,2520 284 0,7920 332 0,000383 380 0,0000640
189 0,0183 237 0,2640 285 0,7700 333 0,000370 381 0,0000618
190 0,0190 238 0,2760 286 0,7440 334 0,000355 382 0,0000596
191 0,0201 239 0,2880 287 0,7180 335 0,000340 383 0,0000574
192 0,0212 240 0,3000 288 0,6920 336 0,000328 384 0,0000552
193 0,0223 241 0,3120 289 0,6660 337 0,000316 385 0,0000530
194 0,0234 242 0,3240 290 0,6400 338 0,000304 386 0,0000512
195 0,0245 243 0,3360 291 0,6200 339 0,000292 387 0,0000494
196 0,0256 244 0,3480 292 0,6000 340 0,000280 388 0,0000476
197 0,0267 245 0,3600 293 0,5800 341 0,000272 389 0,0000458
198 0,0278 246 0,3740 294 0,5600 342 0,000264 390 0,0000440
199 0,0289 247 0,3880 295 0,5400 343 0,000256 391 0,0000424
200 0,0300 248 0,4020 296 0,5000 344 0,000248 392 0,0000408
201 0,0342 249 0,4160 297 0,4600 345 0,000240 393 0,0000392
202 0,0384 250 0,4300 298 0,4067 346 0,000232 394 0,0000376
203 0,0426 251 0,4475 299 0,3533 347 0,000224 395 0,0000360
204 0,0468 252 0,4650 300 0,3000 348 0,000216 396 0,0000348
205 0,0510 253 0,4825 301 0,2400 349 0,000208 397 0,0000336
206 0,0558 254 0,5000 302 0,1800 350 0,000200 398 0,0000324
207 0,0606 255 0,5200 303 0,1200 351 0,000192 399 0,0000312
208 0,0654 256 0,5460 304 0,0900 352 0,000184 400 0,0000300
209 0,0702 257 0,5720 305 0,0600 353 0,000176    
210 0,0750 258 0,5980 306 0,0487 354 0,000168    
211 0,0790 259 0,6240 307 0,0373 355 0,000160    
212 0,0830 260 0,6500 308 0,0260 356 0,000154    
213 0,0870 261 0,6820 309 0,0205 357 0,000148    
214 0,0910 262 0,7140 310 0,0150 358 0,000142    
215 0,0950 263 0,7460 311 0,0120 359 0,000136    
216 0,1000 264 0,7780 312 0,0090 360 0,000130    
217 0,1050 265 0,8100 313 0,0060 361 0,000126    
218 0,1100 266 0,8480 314 0,0045 362 0,000122    
219 0,1150 267 0,8860 315 0,0030 363 0,000118    
220 0,1200 268 0,9240 316 0,0024 364 0,000114    
221 0,1260 269 0,9620 317 0,0020 365 0,000110    
222 0,1320 270 1,0000 318 0,0016 366 0,000107    
223 0,1380 271 0,9920 319 0,00120 367 0,000103    
224 0,1440 272 0,9840 320 0,00100 368 0,000100    
225 0,1500 273 0,9760 321 0,000819 369 0,000096    
226 0,1580 274 0,9680 322 0,000670 370 0,0000930    
227 0,1660 275 0,9600 323 0,000540 371 0,0000898    


Erläuterungen zur Tabelle 1:

Für UV-Strahlung, deren Wellenlänge nicht in Tabelle 1 angegeben ist, kann der Wert der relativen spektralen Wirksamkeit durch Interpolation (aus den Werten für die nächst kleinere und für die nächst größere Wellenlänge) berechnet werden.

Im folgenden Diagramm ist die Funktion S (λ) grafisch dargestellt:

3.5.3 Tagesexpositionsgrenzwert der Bestrahlung H(GW) im Bereich 315 nm bis 400 nm

Die Bestrahlung H ist nach den Gleichungen (2) oder (5) im Bereich von λ1= 315 nm bis λ2= 400 nm zu ermitteln. Der Tagesexpositionsgrenzwert für die Bestrahlung H(GW)durch UV-Strahleneinwirkungen auf die Augen im Wellenlängenbereich von 315 nm bis 400 nm beträgt:

H(GW)= 10000 J / m2 (14)

3.5.4 Tagesexpositionsgrenzwerte für Einwirkungen auf die Haut (180 nm bis 400 nm)

Der Tagesexpositionsgrenzwert für Hauteinwirkungen gilt:

  1. für Einwirkungen durch künstliche UV-Strahlenquellen am Arbeitsplatz
  2. für einmalige oder wiederholte UV-Einwirkungen während einer täglichen Arbeitszeit von 8 Stunden. Dauert die tägliche Arbeitszeit länger als 8 h, dann ist dafür die Gesamt-Dosis zu bestimmen, und es dürfen pro Arbeitstag dennoch die festgelegten 8-Stunden-Tagesexpositionsgrenzwerte nicht überschritten werden
  3. zum Schutz vor akuten Schädigungen der Haut (z.B. UV-Erythem).

Die effektive Bestrahlung Heff für den Wellenlängenbereich von λ1 = 180 nm bis λ2= 400 nm ist nach den Gleichungen (3) oder (4) zu ermitteln. Hierbei sind die Werte für die relative spektrale Wirksamkeit S (λ) der Tabelle 1 zu entnehmen.

Der Tagesexpositionsgrenzwert für die effektive Bestrahlung Heff(GW) durch Strahleinwirkung auf die Haut im Wellenlängenbereich von 180 nm bis 400 nm beträgt:

Heff(GW)= 30 J * m-2 (15)

3.5.5 Jahresexpositionsgrenzwert für Einwirkungen auf die Haut und die Augen (180 nm bis 400 nm)

Der Jahresexpositionsgrenzwert für Haut- und Augeneinwirkungen gilt:

  1. für die Exposition durch künstliche UV-Strahlenquellen am Arbeitsplatz,
  2. für UV-Einwirkungen an allen Arbeitstagen im Zeitraum eines Jahres,
  3. zur Begrenzung des Risikos von langfristigen Schädigungen der Haut (z.B. Hautalterung, Hautkrebs) und der Augen (z.B. Katarakt).
  4. Die effektive Bestrahlung Hefffür den Wellenlängenbereich von 180 nm bis 400 nm ist nach den Gleichungen (1) und (3) oder (4) zu bestimmen.

Hierbei sind die Werte für die relative spektrale Wirksamkeit S (λ) der Tabelle 1 zu entnehmen. Der Grenzwert für die effektive Bestrahlung für die Dauer eines Jahres (Jahresexpositionsgrenzwert der Bestrahlung) Heff(JGW)durch UV-Strahleneinwirkungen im Wellenlängenbereich von λ1= 180 nm bis λ2= 400 nm beträgt:

Heff(JGW)= 4000 J * m-2 (16)

3.5.6 Expositionsgrenzwerte für den Wellenlängenbereich zwischen 100 nm und 180 nm

Soll außer der Strahlung im Wellenlängenbereich von 180 nm bis 400 nm auch Strahlung von 100 nm bis 180 nm bewertet werden, so ist die Berechnung von Heff nach Gleichung 4 des Abschnittes 5 über den Wellenlängenbereich zwischen λ1= 100 nm bis λ2= 400 nm durchzuführen. Zwischen 100 nm und 180 nm kann für S (λ) der Wert für 180 nm konstant über alle Wellenlängen verwendet werden.

Anmerkung:

Strahlung unterhalb von 180 nm wird in Luft sehr stark absorbiert und kommt nur an wenigen Arbeitsplätzen vor. Bewertungen von Strahlungsexpositionen unterhalb von 180 nm sind daher nur sehr selten notwendig. Über die Bewertungsfunktion S (λ) liegen unterhalb von 180 nm noch keine gesicherten Erkenntnisse vor.

3.6 Expositionsgrenzwerte für sichtbare und infrarote Strahlung (380 nm bis 1 mm)

3.6.1 Expositionsgrenzwerte zum Schutz vor der thermischen Netzhautgefährdung (380 nm bis 1400 nm)

Um die effektive Strahldichte einer Quelle im Wellenlängenbereich zwischen 380 nm und 1400 nm zu bestimmen, ist die folgende Wichtungsformel für die effektive Strahldichte für die thermische Netzhautgefährdung LRanzuwenden:

(17)

R (λ) siehe Tabelle 2

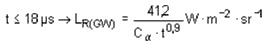
Um das Auge vor einer thermischen Netzhautgefährdung zu schützen, gilt für den Expositionsgrenzwert der effektiven Strahldichte LR(GW) für eine Einwirkungsdauer t in s:

(18)
(19)
(20)

Dabei ist Cαder Korrekturfaktor nach Abschnitt 3.4 in rad.

3.6.2 Expositionsgrenzwerte zum Schutz vor der fotochemischen Netzhautgefährdung durch Blaulicht (Blaulichtgefährdung) des Auges (international: bluelight-hazard) im Wellenlängenbereich zwischen λ1= 380 nm und λ2= 600 nm

3.6.2.1 Winkelausdehnung der Quelle α ≥ 0,011 rad

Zunächst muss zur Expositionsgrenzwertbestimmung die effektive Strahldichte LBfür die Blaulichtgefährdung mittels der folgenden Formel bestimmt werden:

(21)

B (λ) siehe Tabelle 2

Hierbei ist Lλ(λ) die spektrale Strahldichte und B (λ) die relative spektrale Wirksamkeit für Blaulichtgefährdung. Um das Auge vor dieser Schädigung zu schützen, gilt folgender Expositionswert für die maximal erlaubte effektive Strahldichte LB[GW] bei einer Einwirkungsdauer von t in s und einer Winkelausdehnung α ≥ 0,011 rad:

(22)
(23)

3.6.2.2 Winkelausdehnung der Quelle α < 0,011 rad

Um die effektive Blaulicht-Bestrahlungsstärke EBder Quelle zu bestimmen, muss die folgende Gleichung angewandt werden:

(24)

Um das menschliche Auge bei Quellen mit α < 0,011 rad (11 mrad) vor einem Blaulichtschaden zu schÌtzen, sind die folgenden expositionszeitabhängigen Grenzwerte einzuhalten:

(25)
(26)

3.6.3 Expositionsgrenzwerte zum Schutz der Augen vor Infrarot-Strahlung im Wellenlängenbereich zwischen 780 nm und 3000 nm

Für IR-Strahleneinwirkung auf die Augen gelten folgende Expositionsgrenzwerte der Abschnitte 3.6.3.1 und 3.6.3.2 gleichzeitig:

3.6.3.1 Expositionsgrenzwerte zum Schutz der Augen vor thermischen Schäden (780 nm bis 3000 nm)

Der Expositionsgrenzwert gilt:

  1. für Einwirkungen durch künstliche IR-Strahlenquellen am Arbeitsplatz,
  2. für IR-Strahleneinwirkungen mit Einwirkungsdauern bis 1000 s, bei variierender Bestrahlungsstärke für den Maximalwert der Bestrahlungsstärke,
  3. für einmalige (bis zu 1000 s) oder wiederholte IR-Einwirkungen während einer täglichen Arbeitszeit von 8 h. Bei wiederholten IR-Einwirkungen muss zwischen den Einzelwirkungen eine ausreichend lange Abkühlungspause eingelegt werden. Die Abkühlpause soll mindestens 5 Minuten betragen, wenn der Expositionsgrenzwert 25 % des Grenzwertes übersteigt,
  4. für den Schutz vor akuten thermischen Schäden des Auges.

Die Bestrahlungsstärke EIRist nach Gleichung (9) des Abschnittes 3.3 im Bereich von λ1= 780 nm bis λ2= 3000 nm zu bestimmen. Für Einwirkungsdauern t bis zu 1000 s beträgt der Expositionsgrenzwert für die Bestrahlungsstärke EIR(GW)durch Strahleneinwirkungen auf die Augen im Wellenlängenbereich von λ1= 780 nm bis λ2= 3000 nm:

EIR(GW)= 18000 * t-0,75 W * m-2 (27)

3.6.3.2 Expositionsgrenzwert zum Schutz des Auges vor Linsentrübungen (780 nm bis 3000 nm)

Der Expositionsgrenzwert gilt:

  1. für Einwirkungen durch künstliche IR-Strahlenquellen am Arbeitsplatz,
  2. für einmalige oder wiederholte IR-Einwirkungen während einer täglichen Arbeitszeit von 8 h. Dauert die tägliche Arbeitszeit länger als 8 h, dann darf dennoch der festgelegte 8-Stunden-Expositionsgrenzwert nicht überschritten werden,
  3. zum Schutz vor langfristigen Schädigungen der Augenlinse (Linsentrübungen, Katarakte auf Grund von Kumulationswirkungen mit Latenzzeiten von 10 bis 30 Jahren).

Die Bestrahlung H während einer täglichen Arbeitszeit von 8 h im Bereich von λ1= 780 nm bis λ2= 3000 nm ist nach der Gleichung (5) des Abschnittes 3.3 zu bestimmen. Der Grenzwert für die Bestrahlung H während einer täglichen Arbeitszeit von 8 h durch IR-Strahleneinwirkungen der Augen im Wellenlängenbereich von 780 nm bis 3000 nm beträgt:

HIR(GW)= 3 * 106 J- m-2 (28)

3.6.4 Expositionsgrenzwerte im sichtbaren und IR-Spektralbereich für Einwirkungen auf die Haut (380 nm bis 106 nm)

Der Expositionsgrenzwert gilt:

  1. für Einwirkungen durch künstliche IR-Strahlenquellen am Arbeitsplatz,
  2. für IR-Strahleneinwirkungen mit Einwirkungsdauern bis 10 s bei variierender Bestrahlungsstärke für den Maximalwert der Bestrahlungsstärke,
  3. für einmalige oder wiederholte IR-Einwirkungen während einer täglichen Arbeitszeit von (8 h). Bei wiederholten IR-Einwirkungen muss zwischen den Einzeleinwirkungen eine ausreichend lange Abkühlungspause eingelegt werden. Die Abkühlpause soll mindestens 5 Minuten betragen, wenn der Expositionswert 25 % des Grenzwertes übersteigt,
  4. zum Schutz vor akuten Verbrennungen der Haut.

Die Bestrahlung H im Bereich von λ1= 380 nm bis λ2= 106 nm ist nach den Gleichungen (2) oder (5) zu bestimmen. Für Einwirkungsdauern bis zu 10 s beträgt der Expositionsgrenzwert der Bestrahlung HIR(GW) durch Strahleneinwirkungen auf die Haut im Wellenlängenbereich von 380 nm bis 106 nm:

HIR(GW) = 18000 t0,25 J * m-2 (29)
weiter .

umwelt-online - Demo-Version


(Stand: 05.08.2025)

Alle vollständigen Texte in der aktuellen Fassung im Jahresabonnement
Nutzungsgebühr: ab 105.- € netto (Grundlizenz)

(derzeit ca. 7200 Titel s.Übersicht - keine Unterteilung in Fachbereiche)

Preise & Bestellung

Die Zugangskennung wird kurzfristig übermittelt

? Fragen ?
Abonnentenzugang/Volltextversion