Für einen individuellen Ausdruck passen Sie bitte dieEinstellungen in der Druckvorschau Ihres Browsers an. Regelwerk; BGI / DGUV-I |
![]() |
BGI/GUV-I 7006-2 / DGUV Information 209-078 - Absauganlagen einkaufen - aber richtig!
Gesund und fit im Kleinbetrieb - Tipps für Wirtschaft, Verwaltung und Dienstleistung
Berufsgenossenschaftliche Informationen für Sicherheit und Gesundheit bei der Arbeit (BGI/GUV-I)
(Ausgabe 05/2012aufgehoben)
| Redaktioneller Hinweis: Berufsgenossenschaften sind gemäß § 210 SGB VII Behörden; ihre amtlichen Veröffentlichungen nach § 15 SGB VII unterliegen gemäß § 5 Abs. 2 UrhG keinem Urheberrechtsschutz. |
1 Muss ich wirklich absaugen?
Wenn Sie diese Broschüre in die Hand nehmen, enthält die Luft in Ihrer Arbeitsstätte wahrscheinlich Gefahrstoffe in nicht akzeptabler Menge.
In der Regel gibt es mehrere Wege, diese Mengen zu reduzieren. Unter Umständen kann durch andere Maßnahmen eine Absauganlage überflüssig werden.
Die Reduzierung der Gefahrstoffmengen kann erfolgen durch
Vor dem Kauf einer Absauganlage sollte geprüft sein, ob nicht andere Maßnahmen einfacher, effizienter und wirtschaftlicher sind.
2 Was möchte ich mit der Absaugung erreichen?
Vor dem Kauf einer Absauganlage ist zu klären, welche Ziele mit dieser Anlage erreicht werden sollen. Solche Ziele könnten sein:
Die Einhaltung des Grenzwertes ist durch Einsatz einer Absauganlage alleine nicht immer garantiert! Vielmehr spielt der sachgerechte Einsatz der Anlage durch die Mitarbeiter (z.B. Nachführung eines Absaugarmes) oft die entscheidende Rolle.
Für eine Vielzahl von Gefahrstoffen gibt es Grenzwerte. Bei Gefahrstoffen für die aktuell keine Grenzwerte veröffentlicht sind (z.B. viele krebserzeugende Stoffe), liefert Ihnen Ihre Unfallkasse oder Berufsgenossenschaft weitere Informationen.
3 Woraus besteht eine Absauganlage?
Eine Absauganlage besteht prinzipiell aus folgenden Bauteilen:
| Erfassungselement | Erfasst die verunreinigte Luft möglichst nahe an der Entstehungsstelle, |
| Rohrleitung | Dient zum Transport der Luft, |
| Abscheider | Entfernt die luftfremden Stoffe aus dem Luftstrom, |
| Ventilator | Erzeugt den zur Absaugung erforderlichen Unterdruck und die Luftmenge, |
| Luftrückführung | Je nach Gefahrstoff als Fortluft ins Freie oder zurück in den Arbeitsbereich gegebenenfalls mit Wärmerückgewinnung. |
Prinzipieller Aufbau einer Absauganlage
4 Was bedeutet "Erfassung der Gefahrstoffe"?
"Erfassen" bedeutet das gezielte Abführen von Gefahrstoffen möglichst nahe an der Entstehungsstelle mit einem geeigneten Luftstrom.
Der Anteil der erfassten Emissionen (Erfassungsgrad) bestimmt wesentlich die Effektivität der Absauganlage. Daher müssen die Erfassungselemente auf die Arbeitsaufgabe abgestimmt sein.
Anlagen ohne gezielte Erfassung der Emissionen an der Entstehungsstelle sind keine Absauganlagen, sondern Raumlufttechnische Anlagen.
Die Erfassung der verunreinigten Luft muss erfolgen, bevor der Mitarbeiter diese einatmen kann. Damit wird auch vermieden, dass unnötig viel Raumluft verschmutzt wird.
Durch Absaugung unmittelbar an der Entstehungsstelle. können hohe Schadstoffkonzentrationen mit geringer Luftmenge kostengünstig beseitigt werden.
Die beste Erfassung erreicht man üblicherweise bei Integration in die Maschine (z.B. direkt abgesaugte Handmaschinen).
Es gibt prinzipiell drei Formen der Erfassung.
1. Geschlossene Bauart (z.B. Kapselung, Einhausung)
Stoffquelle vollständig eingehaust
2. Halboffene Bauart (z.B. Absaugstand, Abzugschrank, Werkzeugeinkleidung)
Stoffquelle innerhalb der Erfassungseinrichtung
3. Offene Bauart (z.B. Saugrohr mit Flansch, Absaughaube, Badabsaugung)
Stoffquelle außerhalb der Erfassungseinrichtung
![]() |
Nachströmende Luft | ![]() |
Stoffquelle | ![]() |
Abgesaugte Luft |
Bei der geschlossenen Bauart können annähernd 100 % der Emissionen erfasst werden. Bei den beiden anderen Erfassungsarten können die Erfassungsgrade deutlich niedriger liegen und somit weitere Schutzmaßnahmen notwendig machen. Solche Maßnahmen können sowohl Vermeidung und Verminderung von Gefahrstoffen als auch weitere lüftungstechnische Maßnahmen sein.
5 Was muss ich zu den Bauteilen der Absauganlage wissen?
Je nach abgesaugtem Stoff und Arbeitsverfahren muss die Anlage unterschiedlichen Anforderungen genügen.
Diese Anforderungen betreffen unter anderem:
| Anlagenteil: | Zu beachten: | |
| Erfassungselemente | angepasst an den Einsatzzweck, siehe BGI 5121 | |
| Rohrleitungen | Dimensionierung/ Konstruktion | Querschnitte, Luftgeschwindigkeit, Ablagerungen vermeiden, Reinigungsöffnungen, Druckverlust, Lärm,... |
| Verschleiß | abrasiv, korrosiv | |
| Ventilator | Leistung | Druck, Luftmenge, Arbeitspunkt |
| Abscheider | Auswahl | ggf. Explosionsschutz-Gerätekategorie einhalten |
| Typ | trocken, nass, elektrisch,... | |
| Filterfläche | Standzeit, Druckverlust | |
| Filtermaterial | Abscheidegrad, mechanische, chemische und thermische Beständigkeit, ggf. Eignung für brennbare Stäube | |
| Abreinigungsverfahren | Druckluftimpuls, Rütteln, manuell, Differenzdruckregelung | |
| Staubsammelbehälter | Entsorgung, Volumen, Brandschutz, Handhabung | |
| ... |
6 Wie bekomme ich die richtige Anlage?
Verschiedene Aspekte sind bei der Auswahl der Absauganlage zu berücksichtigen.
6.1 Technische Auslegung der Anlage
Hierzu muss dem Anbieter die Aufgabenstellung möglichst genau beschrieben werden. Dazu gehört u.a.:
Der Anbieter sollte
6.2 Betrachtung der betroffenen Arbeitsabläufe
Eine Absauganlage greift in der Regel in den Arbeitsprozess ein. Darum muss die Auswahl der Anlage sich nicht nur an den Stoffen orientieren, die abgesaugt werden sollen, sondern auch an der Tätigkeit, die an diesem Platz ausgeführt wird. Die betroffenen Mitarbeiter sollten deshalb frühzeitig in die Planung einbezogen werden, um die Akzeptanz sicherzustellen.
| ! | Eine nachführbare Absaugung muss vom Bediener regelmäßig neu positioniert werden. Dies bedeutet zusätzliche Handgriffe! |
| ! | Eine ins Werkzeug integrierte Absaugung bedeutet ggf. mehr Gewicht und schlechtere Handhabbarkeit und kann daher eventuell nicht immer verwendet werden. |
| ! | Reinigungsarbeiten, die nicht aus Sicherheitsgründen mehr auf dem Waschtisch, sondern z.B. in einer Waschmaschine ausgeführt werden, stellen eine komplette Umstellung des Arbeitsablaufes dar. |
6.3 Wartungsfreundlichkeit!
Es müssen ausreichend Wartungsöffnungen vorhanden sein, die es ermöglichen, alle Elemente der Absauganlage zu reinigen. Die Entsorgung der abgeschiedenen Stoffe muss einfach und ohne Belastung des Personals möglich sein. Der Wechsel der Filtermedien sollte einfach durchführbar sein.
7 Was sollte ich noch bedenken?
Die Auslegung der Absauganlage bestimmt in hohem Maße die Betriebskosten!
7.1 Energiekosten
| - | Welchen Stromverbrauch hat mein Ventilator?
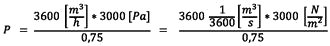
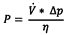
Die Leistungsaufnahme des Ventilators kann mit Hilfe der einfachen Formel errechnet werden. So ergibt sich für eine Entstaubungsanlage mit Filter eine typische Gesamtdruckdifferenz von 3000 Pa (Pa = N/m2). Bei einer Luftmenge von 3600 m3/h und einem Wirkungsgrad des Ventilators von 75 % errechnet sich die Leistungsaufnahme zu |
| - | Kann die Lüfterleistung an den Bedarf angepasst werden (z.B. Frequenzumrichter)? |
| - | Wie viel warme Luft wird durch die Absauganlage nach draußen geführt? Die zugeführte Außenluft muss zumindest während der Heizperiode erwärmt werden. Je näher die Erfassung an der Entstehungsstelle erfolgt, desto geringer kann der Volumenstrom sein. |
Den Lüftungswärmeverlust, also die erforderliche Wärmemenge, die einem Raum, aus dem abgesaugt wird, wieder zugeführt werden muss, kann man überschlägig recht einfach mit der Formel "Wärmemenge = Luftdichte * Volumenstrom * Temperaturdifferenz * Betriebszeit * spezifische Wärmekapazität der Luft (= 1 kJ/kgK)" errechnen.
Beispiel: Energieverbrauch für ein Jahr
| Q | Wärmemenge | [kWh] |
| p | Luftdichte | = 1,2 [kg/m3] |
| Taußen | Außentemperatur während der Heizperiode | Taußen = 4 [°C] |
| Tinnen | Innentemperatur im Arbeitsraum | Tinnen = 20 [°C] |
| ΔT | Temperaturdifferenz | ΔT =Tinnen - Taußen
ΔT = 20 [°C] - 4 [°C] =16 [°C] =16 [K] |
![]() |
Luftvolumenstrom | ![]() |
| t | Betriebszeit | = 26 Wochen * 5 Tage * 8h = 1040 [h] |
| CLuft | spezifische Wärmekapazität der Luft | =![]() |
| Umrechnung Wärmemenge | 3600 [kJ] = 1 [kWh] |

Dies zeigt, dass sich die Investition in eine Anlage zur Wärmerückgewinnung auch hinsichtlich der Betriebskosten lohnen kann. Gemäß Energieeinsparverordnung ( EnEV 2009) gehört diese Effizienzmaßnahme ausdrücklich zum Stand der Technik: In § 15 werden für sämtliche raumlufttechnische Anlagen ab einem Volumenstrom von 4000 m3/h Wärmerückgewinnungseinrichtungen zwingend gefordert.
7.2 Unterhaltskosten
7.3 Entsorgungskosten
8 Was muss bei Auftragsvergabe geklärt sein?
Um Unklarheiten zu vermeiden, sollten folgende Punkte bei Auftragsvergabe geklärt und festgelegt sein:
| Aufgabenstellung | Siehe auch Abschnitt 6 "Wie bekomme ich die richtige Anlage?" |
| Angewandtes Arbeitsverfahren | Wie wird an dem Arbeitsplatz gearbeitet? |
| Abzusaugende Gefahrstoffe | Art der Stoffe, Temperatur, Emissionsraten |
| Volumenstrom | Auslegung der Anlage, Maße des Filters, Filterklasse |
| Restkonzentration am Arbeitsplatz und/oder in der Reinluft | Gibt es gesetzlich vorgeschriebene Grenzwerte oder Gerätevorschriften? |
| Dichtheitsklasse von Luftleitungen | Ausströmen und Überströmen der abgesaugten Gefahrstoffe soll vermieden werden |
| Wärmerückgewinnung | Effektivität, Möglichkeit zur Reinigung muss gegeben sein (Lamellenabstand). |
| Reinigung der Anlage | Die Anlage muss so gestaltet sein, dass alle Teile zugänglich und zu reinigen sind. |
| Energieverbrauch | Möglichkeit zur Überwachung des Energieverbrauchs |
| Schall | Vorgaben zur Akustik, Welcher Schallpegel darf nicht überschritten werden? |
| Luftgeschwindigkeit | Die Luftgeschwindigkeit am Arbeitsplatz soll die vereinbarten Grenzen nicht überschreiten (Zugluft) |
| Anzahl der Arbeitsplätze | ggf. Gleichzeitigkeit |
| Umgebungsbedingungen | Höhenlage, Lüftungssituation im Raum, Witterungsbedingungen am Aufstellungsort der Anlage |
| Bauliche Randbedingungen | z.B. Brandabschnitte, Lage der Außenluftansaugungen |
| Dokumentation | Betriebs- und Wartungsanleitung (Festlegen von Reinigungsintervallen, Entsorgung der Filter), CE-Konformitätserklärung, ggf. Explosionsschutzdokument |
| besondere Zulassungen | z.B. für krebserzeugende Stoffe |
| Bestimmungsgemäße Verwendung | Stoffe, die nicht abgesaugt werden dürfen |
| Zuluft | Wo kommt sie her? |
| ggf. Wartungsvertrag | Wer macht Wartung und Funktionsprüfung? |
| Abnahmekriterien | Wann wird die Rechnung bezahlt? |
| Einweisung oder Schulung der Mitarbeiter | Unterstützung bei der Gefährdungsermittlung (Was ist bei der Reinigung/Entsorgung zu beachten?) |
Die Anlage soll bei Übergabe dem Stand der Technik entsprechen. Dies soll vom Lieferanten bestätigt werden.
Bei Übernahme einer gebrauchten Anlage (z.B. im Rahmen einer Betriebsübernahme) sollte darauf geachtet werden, dass die Dokumentation vollständig ist.
9 Wann ist meine Anlage in Ordnung?
Für die Abnahme ist die Einhaltung der vertraglich vereinbarten Anlagenparameter nachzuweisen.
Insbesondere die Wirksamkeit der Maßnahme muss nachgewiesen werden. Wie dies geschieht, sollte bei Auftragsvergabe vereinbart werden. Dies kann z.B. durch Messung der Gefahrstoffkonzentration in der Hallenluft und im Atembereich der betroffenen Mitarbeiter erfolgen.
10 Die Anlage ist abgenommen!
Was mache ich danach?
Der Anlagenhersteller hat schriftlich zu bestätigen, dass die Installationsarbeiten abgeschlossen sind und die Anlage gemäß der zuvor vereinbarten Kriterien funktioniert (Abnahmeprüfung). Damit sie dauerhaft funktioniert, sind folgende Punkte vom Anlagenbetreiber zu beachten.
10.1 Wartung der Anlage
Die Absauganlage muss jederzeit ihre Aufgabe erfüllen können. Zu diesem Zweck ist sie sachgerecht instand zu halten. Angaben hierzu sollte die Betriebsanleitung des Herstellers enthalten. Es wird empfohlen, ein Pflichtenheft für Betrieb, Wartung und Instandhaltung zu erstellen, das Zeitabstände und Zuständigkeiten für die notwendigen Arbeiten enthält.
10.2 Funktionsprüfung
Die Funktionsprüfung dient der Bestätigung des Anlagenzustandes. Sie sollte so oft durchgeführt werden, dass sichergestellt ist, dass die Anlage ihre Aufgabe erfüllen kann.
Anlagen zur Absaugung partikelförmiger Stoffe müssen mindestens jährlich geprüft werden. Alle anderen Anlagen mindestens alle drei Jahre. Bei erhöhter Belastung sind diese Zyklen zu reduzieren.
Die Prüfung muss durch eine befähigte Person durchgeführt werden. Diese Person muss den Sachverstand haben, den Anlagenzustand festzustellen, zu beurteilen und ggf. Instandsetzungsmaßnahmen durchzuführen oder zu veranlassen. Basis für die wiederkehrende Prüfung sind die bei der Abnahmeprüfung protokollierten Daten. Auch die Funktionsprüfung muss protokolliert (Ergebnis der Prüfung, Mängel, Wer stellt die Mängel ab?) und durch Unterschrift des Prüfers bestätigt werden.
10.3 Wirksamkeitsprüfung
Die Wirksamkeitsprüfung durch Gefahrstoffmessung muss nicht regelmäßig wiederholt werden. Sollten sich jedoch die Anlagenparameter oder das Arbeitsumfeld wesentlich ändern, muss sie selbstverständlich wiederholt werden.
11 Wenn ich mehr wissen will ...
1. Gesetze, Verordnungen
Bezugsquelle:
Buchhandel und Internet: z.B. www.gesetze-im-internet.de
Energieeinsparverordnung ( EnEV)
Bundesimmissionschutzgesetz ( BImSchG)/ Ta Luft
2.Vorschriften, Regeln und Informationen für Sicherheit und Gesundheit bei der Arbeit
Unfallverhütungsvorschriften:
"Grundsätze der Prävention" (BGV/GUV-V A1),
Regeln
"Arbeitsplatzlüftung - Lufttechnische Maßnahmen" (BGR 121)
Informationen
"Arbeitsplatzlüftung - Beispielsammlung" (BGI 5121)
"Holzstaub" (BGI 739)
"Lackieranlagen" (BGI 740)
"Schweißrauche - geeignete Lüftungsmaßnahmen" (BGI/GUV-I 7006-1)
3. Technische Regeln
"Tätigkeiten mit potenziell asbesthaltigen mineralischen Rohstoffen und daraus hergestellten Zubereitungen und Erzeugnissen" (TRGS 517)
"Asbest: Abbruch-, Sanierungs- oder Instandhaltungsarbeiten" (TRGS 519)
"Abbruch-, Sanierungs- und Instandhaltungsarbeiten mit alter Mineralwolle" (TRGS 521)
"Schweißtechnische Arbeiten" (TRGS 528)
"Holzstaub" (TRGS 553)
"Abgase von Dieselmotoren" (TRGS 554)
"Mineralischer Staub" (TRGS 559)
"Luftrückführung bei Tätigkeiten mit krebserzeugenden, erbgutverändernden und fruchtbarkeitsgefährdenden Stäuben." (TRGS 560)
"Arbeitsplatzgrenzwerte" (TRGS 900)
"Technische Anleitung zur Reinhaltung der Luft" ( TA-Luft)
Technische Regeln zur Biostoffverordnung ( TRBA)
![]() |
ENDE | ![]() |
(Stand: 05.08.2025)
Alle vollständigen Texte in der aktuellen Fassung im Jahresabonnement
Nutzungsgebühr: ab 105.- € netto (Grundlizenz)
(derzeit ca. 7200 Titel s.Übersicht - keine Unterteilung in Fachbereiche)
Die Zugangskennung wird kurzfristig übermittelt
? Fragen ?
Abonnentenzugang/Volltextversion