Für einen individuellen Ausdruck passen Sie bitte die
Einstellungen in der Druckvorschau Ihres Browsers an.
Regelwerk

BGV A6 - Fachkräfte für Arbeitssicherheit
Berufsgenossenschaftliche Vorschriften (BGV)
Nr. 5 - Hütten- und Walzwerks-Berufgenossenschaft

(03/1996)



§ 1 Geltungsbereich

Diese Unfallverhütungsvorschrift gilt für Unternehmer, die nach § 2 Fachkräfte für Arbeitssicherheit zu bestellen haben.

§ 2 Bestellung

(1) Der Unternehmer hat Fachkräfte für Arbeitssicherheit zur Wahrnehmung der in § 6 des Gesetzes über Betriebsärzte, Sicherheitsingenieure und andere Fachkräfte für Arbeitssicherheit (Arbeitssicherheitsgesetz) bezeichneten Aufgaben für die sich aus den Merkmalen der nachstehenden Tabelle ergebenden erforderlichen Mindesteinsatzzeiten, jedoch betriebsbezogen nicht weniger als 10 Stunden pro Jahr, schriftlich zu bestellen oder zu verpflichten:

Gruppe Betriebsart Bei einer Zahl der durchschnittlich im Betrieb beschäftigten Arbeitnehmer Erforderliche Einsatzzeit der Fachkräfte für Arbeitssicherheit (Std./Jahr je Arbeitnehmer)
A Bei einer Gefahrklasse über 3, 4 1 bis 1000 3,0
darüber hinaus zusätzlich für 1001 bis 5000 2,5
darüber hinaus zusätzlich für 5001 und mehr 2,1
B Bei einer Gefahrklasse bis 3,4 - soweit nicht in Gruppe C genannt - 1 bis 1000 2,1
darüber hinaus zusätzlich für 1001 bis 5000 1,6
darüber hinaus zusätzlich für 5001 und mehr 1,2
C Kaufmännischer und verwaltender Teil*) 1 und mehr 0,2
*) zusammenhängende Verwaltungen

(2) Die Berufsgenossenschaft kann im Einzelfall im Einvernehmen mit der nach § 12 des Arbeitssicherheitsgesetzes zuständigen Behörde eine Ausnahme von Absatz 1 bewilligen und geringere Einsatzzeiten festsetzen, soweit im Betrieb, verglichen mit Betrieben der gleichen Art, die Unfall- und Gesundheitsgefahren unterdurchschnittlich gering sind. Die Berufsgenossenschaft kann ferner im Einzelfall im Einvernehmen mit der nach § 12 des Arbeitssicherheitsgesetzes zuständigen Behörde abweichend von Absatz 1 höhere Einsatzzeiten festsetzen, soweit im Betrieb, verglichen mit Betrieben der gleichen Art, überdurchschnittliche Unfall- und Gesundheitsgefahren bestehen, und die Bestellung eines Sicherheitsingenieurs verlangen, soweit die Tätigkeit der Fachkraft im Betrieb eine ingenieurmäßige Ausbildung erfordert.

(3) Einsatzzeiten, die im abgelaufenen Jahr nicht erbracht worden sind, müssen im laufenden Jahr zusätzlich erbracht werden. Einsatzzeiten, die im abgelaufenen Jahr zusätzlich erbracht worden sind, können auf das laufende Jahr angerechnet werden.

(4) Der Unternehmer kann nach Maßgabe der Anlage von der in Absatz 1 festgelegten Verpflichtung abweichen, wenn

  1. die Zahl der durchschnittlich beschäftigten Arbeitnehmer weniger als 31 beträgt,
  2. der Unternehmer an von der Berufsgenossenschaft festgelegten Informations- und Motivationsmaßnahmen teilgenommen hat,
  3. er in regelmäßigen Zeitabständen Fortbildungsmaßnahmen der Berufsgenossenschaft besucht
    und
  4. er eine qualifizierte, bedarfsgerechte Beratung in Fragen der Arbeitssicherheit und des Gesundheitsschutzes nachweist. Mindestens einmal im Jahr erfolgt eine mehrstündige Beratung.

§ 3 Fachkunde

(1) Der Unternehmer darf als Fachkräfte für Arbeitssicherheit nur Personen bestellen, die hinsichtlich der Fachkunde die Anforderungen eines der nachfolgenden Absätze 2 bis 5 sowie des Absatzes 6 erfüllen. Bestellt der Unternehmer Fachkräfte für Arbeitssicherheit, die diesen Anforderungen nicht genügen, muß er auf Verlangen der Berufsgenossenschaft den Nachweis der Fachkunde auf andere Art und Weise erbringen.

(2) Ingenieure der Fachrichtung Sicherheitstechnik, die eine einjährige praktische Tätigkeit als Ingenieur ausgeübt haben, erfüllen die Fachkundevoraussetzungen.

(3) Sicherheitsingenieure erfüllen die Anforderungen, wenn sie

  1. berechtigt sind, die Berufsbezeichnung Ingenieur zu führen,
  2. danach eine praktische Tätigkeit als Ingenieur mindestens zwei Jahre lang ausgeübt haben und
  3. einen staatlichen oder berufsgenossenschaftlichen Ausbildungslehrgang oder
    einen staatlich oder berufsgenossenschaftlich anerkannten Ausbildungslehrgang eines anderen Veranstaltungsträgers mit Erfolg abgeschlossen haben.

(4) Sicherheitsmeister erfüllen die Anforderungen, wenn sie

  1. die Meisterprüfung erfolgreich abgelegt haben,
  2. danach eine praktische Tätigkeit als Meister mindestens 2 Jahre lang ausgeübt haben
    und
  3. einen staatlichen oder berufsgenossenschaftlichen Ausbildungslehrgang
    oder
    einen staatlich oder berufsgenossenschaftlich anerkannten Ausbildungslehrgang eines anderen Veranstaltungsträgers mit Erfolg abgeschlossen haben.

(5) Sicherheitstechniker erfüllen die Anforderungen, wenn sie

  1. eine Prüfung als staatlich anerkannter Techniker erfolgreich abgelegt haben,
  2. danach eine praktische Tätigkeit als Techniker mindestens 2 Jahre lang ausgeübt haben
    und
  3. einen staatlichen oder berufsgenossenschaftlichen Ausbildungslehrgang oder
    einen staatlich oder berufsgenossenschaftlich anerkannten Ausbildungslehrgang eines anderen Veranstaltungsträgers mit Erfolg abgeschlossen haben.

(6) Fachkräfte für Arbeitssicherheit müssen jährlich mindestens 160 Arbeitsstunden als solche tätig sein.

§ 4 Fortbildung

Der Unternehmer hat den Fachkräften für Arbeitssicherheit die Teilnahme an Fortbildungsmaßnahmen der Berufsgenossenschaft, zu denen diese einlädt, zu ermöglichen, soweit die Fortbildungsmaßnahme den betrieblichen Belangen entspricht.

§ 5 Bericht

(1) Der Unternehmer hat Fachkräfte für Arbeitssicherheit nach § 2 Absatz 1 dieser Unfallverhütungsvorschrift zu verpflichten, über die Erfüllung der übertragenen Aufgaben regelmäßig einen Bericht zu erstatten.

(2) In Fällen des § 2 Absatz 4 hat der Unternehmer folgende Nachweise vorzuhalten

§ 6 Übergangs- und Ausführungsbestimmungen

(1) Abhängig von der Zahl der durchschnittlich im Betrieb beschäftigten Arbeitnehmer gelten folgende Übergangsfristen:

(2) Der Unternehmer hat mit den Informations- und Motivationsmaßnahmen gemäß § 2 Absatz 4 Nr. 2 in der Regel innerhalb eines Jahres nach seiner Entscheidung hierfür zu beginnen.

Die Maßnahmen müssen innerhalb von drei Jahren abgeschlossen sein.

(3) Für die jährliche Mindesteinsatzzeit nach § 3 Absatz 6 gilt eine Übergangsfrist von zwei Jahren nach Inkrafttreten dieser Unfallverhütungsvorschrift.

(4) Der Nachweis der Fachkunde nach § 3 Absatz 1 gilt als erbracht, wenn eine Fachkraft für Arbeitssicherheit im Zeitpunkt des Inkrafttretens dieser Unfallverhütungsvorschrift als solche tätig ist und die Fachkundevoraussetzungen der Unfallverhütungsvorschrift "Sicherheitsingenieure und andere Fachkräfte für Arbeitssicherheit" (VBG 122) vom 1. Dezember 1974 in der Fassung vom 1. Oktober 1 982 vorliegen.

§ 7 Inkrafttreten

Diese Unfallverhütungsvorschrift tritt am ersten Tag des Monats in Kraft, der als erster der Bekanntmachung folgt. Gleichzeitig tritt die Unfallverhütungsvorschrift "Sicherheitsingenieure und andere Fachkräfte für Arbeitssicherheit" (VBG 122) vom 1. Dezember 1974 in der Fassung vom 1. Oktober 1982 außer Kraft.

.

Ausgestaltung des Unternehmermodells  Anlage
zu § 2 Abs. 4
  1. Der Unternehmer soll aufgrund der Informations- und Motivationsmaßnahmen
  2. Art, Umfang und Inhalte der Informations- und Motivationsmaßnahmen werden von der Berufsgenossenschaft nach den Rahmenbedingungen des Bundesministeriums für Arbeit und Sozialordnung vom 23. Juni 1992 branchenbezogen festgelegt.

    Die Durchführung der Maßnahmen erfolgt durch die Berufsgenossenschaft, gegebenenfalls im Zusammenwirken mit Kammern, Innungen und sonstigen Ausbildungsträgern, im Rahmen anerkannter Ausbildungsmethoden und nach festgelegten Ausbildungsplänen.

    In Frage kommen insbesondere Blockseminare (4 x 2 Tage).

    Auf die erforderlichen Informations- und Motivationsmaßnahmen können Abschnitte aus vorangegangenen Bildungsmaßnahmen (z.B. Meisterausbildungen), soweit der Arbeitsschutz einbezogen wurde, prüfungsrelevant war und der Abschluß der Maßnahmen nicht länger als fünf Jahre zurückliegt, angerechnet werden.

    Der erste Teil der Maßnahmen dient vor allem dem Ziel, Unternehmer zu motivieren, Arbeitssicherheit und Gesundheitsschutz als Bestandteile ihrer Führungsaufgabe zu akzeptieren und auf der Grundlage von Gefährdungsanalysen zu realisieren.

    Im zweiten Teil der Maßnahmen steht die Motivation der Mitarbeiter zu sicherem und gesundheitsgerechtem Arbeiten im Vordergrund. Behandelt werden hier Fragen der Verhaltensbeeinflussung bis hin zum Einsatz von Sicherheitszirkeln, um aus Betroffenen Beteiligte zu machen.

    Der dritte Teil der Maßnahmen beschäftigt sich mit der Arbeitsplatzgestaltung, und zwar aus sicherheitstechnischer, ergonomischer und arbeitsmedizinischer Sicht. Abgeschlossen werden die Maßnahmen im vierten Teil mit dem Themenschwerpunkt "Gesundheitsgefahren durch chemische, physikalische und biologische Einwirkungen".

  3. Grundlage für Art und Umfang der bedarfsgerechten Beratung und des daraus abgeleiteten Handlungsbedarfs ist die Ermittlung der betriebsbezogenen Gefährdungen und Belastungen.

    Diese kann erfolgen aufgrund einer Gefährdungsanalyse mit Hilfe der Technischen

    Aufsichtsbeamten der Berufsgenossenschaft, eines Beamten der nach § 12 des Arbeitssicherheitsgesetzes zuständigen Behörde oder eines überbetrieblichen Beratungsdienstes.

    Die Berufsgenossenschaft und die nach § 12 des Arbeitssicherheitsgesetzes zuständige Behörde überprüft die sicherheitstechnische Beratung im Rahmen der Betriebsbesichtigung.

  4. Nach Abschluß der Informations- und Motivationsmaßnahmen hat der Unternehmer regelmäßig, mindestens alle drei Jahre, an Fortbildungslehrgängen teilzunehmen.

    Die Fortbildung wird bedarfsorientiert durchgeführt. Sie besteht in der Regel aus halbwöchigen Seminaren oder mehrmaligen Einzelveranstaltungen.

  5. Erfüllt ein Unternehmer, der sich für das Unternehmermodell entschieden hat, die sich aus § 2 Absatz 4 dieser Unfallverhütungsvorschrift und aus dieser Anlage ergebenden Pflichten nicht, kann die Berufsgenossenschaft für seinen Betrieb eine Betreuung nach § 2 Absatz 1 dieser Unfallverhütungsvorschrift anordnen.

   

.

  Gesetz über Betriebsärzte, Sicherheitsingenieure und andere Fachkräfte für Arbeitssicherheit Anhang 1

Durchführungsanweisungen

DA zu § 1:

Nach § 708 Abs. 1 Nr. 4 der Reichsversicherungsordnung ( RVO) in der Fassung des § 21 Nr. 1 des Gesetzes über Betriebsärzte, Sicherheitsingenieure und andere Fachkräfte für Arbeitssicherheit vom 12. Dezember 1973 (BGBl. I S. 1885) erlassen die Berufsgenossenschaften Vorschriften über die Maßnahmen, die der Unternehmer zur Erfüllung der sich aus diesem Gesetz ergebenden Pflichten zu treffen hat. Diese Unfallverhütungsvorschrift regelt Maßnahmen, die der Unternehmer zur Erfüllung der sich aus § 5 Absatz 1 in Verbindung mit § 7 und aus § 5 Absatz 3 des Arbeitssicherheitsgesetzes ergebenden Pflichten zu treffen hat.

Fachkräfte für Arbeitssicherheit sind Sicherheitsingenieure, -techniker und -meister.

DA zu § 2 Abs. 1:

1. Fachkräfte für Arbeitssicherheit können als ständig oder zeitweise tätige Kräfte bestellt werden. Sie können vom Unternehmer eingestellt oder freiberuflich tätig sein oder auch einem überbetrieblichen Dienst angehören, den der Unternehmer nach § 19 des Arbeitssicherheitsgesetzes verpflichtet hat. Eine qualitativ hochwertige sicherheitstechnische Betreuung ist unabhängig von der Betreuungsform zu gewährleisten.

Die erforderliche Mindesteinsatzzeit ist die Arbeitszeit, die den Fachkräften für Arbeitssicherheit zur Erfüllung ihrer Aufgaben im Betrieb je Jahr und Arbeitnehmer wenigstens zur Verfügung stehen muß. So können z.B. Wegzeiten einer nicht im Betrieb eingestellten Fachkraft für Arbeitssicherheit nicht als Einsatzzeit angerechnet werden.

Liegt die nach der Tabelle errechnete Zeit unter 10 Stunden, so beträgt die Mindesteinsatzzeit 10 Stunden.

Mit einer Übertragung der Aufgaben nach § 6 des Arbeitssicherheitsgesetzes in Verbindung mit dieser Unfallverhütungsvorschrift an einen überbetrieblichen sicherheitstechnischen Dienst erfüllt der Unternehmer seine gesetzliche Verpflichtung, wenn dieser überbetriebliche Dienst mindestens die Forderungen erfüllt, die eine Fachkraft für Arbeitssicherheit aufgrund des Arbeitssicherheitsgesetzes zu erfüllen hätte.

2. Die Zuordnung der Unternehmen oder Unternehmenszweige zu den Gruppen A, B und C ist aus Anhang 2 ersichtlich.

3. Den berechneten Mindesteinsatzzeiten liegen die Gefährdungspotentiale sowie die Organisations- und Arbeitnehmerstruktur typischer den Gruppen A, B und C zugeordneter Unternehmenszweige bei Beachtung der Arbeitsschutz- und Unfallverhütungsvorschriften zugrunde. Diese Einsatzzeiten werden benötigt, wenn an den Arbeitsplätzen die Unfallverhütungsvorschriften und sonstigen Vorschriften zum Arbeitsschutz eingehalten sind. Entsprechend ist der Unternehmer verpflichtet, der Fachkraft für Arbeitssicherheit darüber hinausgehende Einsatzzeiten zur Verfügung zu stellen, wenn die besonderen Umstände dies erfordern (z.B. Störfall, Reparaturfall).

Die Aufgaben der Fachkraft für Arbeitssicherheit sind, unabhängig von der Betriebsgröße, aus einer Gefährdungsanalyse regelmäßig zu ermitteln, zu überprüfen und zu erfüllen. Deshalb darf bei Kleinbetrieben eine betriebsbezogene Mindesteinsatzzeit von 10 Stunden jährlich nicht unterschritten werden. Die Fachkraft für Arbeitssicherheit muß auch in einem Kleinbetrieb ihrer Beratungsaufgabe organisatorisch und inhaltlich so nachkommen, daß der Unternehmer die der Arbeitssicherheit und dem Gesundheitsschutz dienenden Vorschriften den besonderen Betriebsverhältnissen entsprechend anwenden kann und in die Lage versetzt wird, gesicherte Erkenntnisse zur Verbesserung der Arbeitssicherheit und des Gesundheitsschutzes umzusetzen.

4. Die sich nach § 2 Absatz 1 ergebende Mindesteinsatzzeit soll nicht auf mehrere Personen aufgeteilt werden.

Sind im Betrieb mehrere Fachkräfte für Arbeitssicherheit bestellt, so ist eine zur leitenden Fachkraft für Arbeitssicherheit zu bestellen; siehe § 8 Absatz 2 Arbeitssicherheitsgesetz.

Unter Betrieb ist eine räumlich und technisch abgegrenzte, nach Aufgabenbereich und Organisation eigenständige, wenn auch nicht vollständig selbständige Unternehmenseinheit zu verstehen.

Entsprechend der Regelung des § 4 Betriebsverfassungsgesetz gelten Betriebsteile als selbständige Betriebe bei Anwendung der Tabelle, wenn sie

  1. räumlich weit entfernt vom Hauptbetrieb oder
  2. durch Aufgabenbereich und Organisation eigenständig sind.

.

Zuordnung der Unternehmen oder Unternehmenszweige zu den Gruppen A, B und C der Tabelle in § 2 Abs. 1.  Anhang 2

Aufgrund des Gefahrtarifs vom 1. Januar 1995 ergibt sich derzeit folgende Gruppenzuordnung (Auszug):

Gruppe A

Hochofenbetriebe;

Metallhütten und Umschmelzwerke;

Stahlwerke;

Gießereien;

Walz- und Preßwerke;

Ziehereien;

Hammerwerke, Gesenkschmieden und Schmiedepreßwerke;

Stahlbau außerhalb der Werkstätten;

Herstellung von Kesselschüssen, schweren Rohren;

Herstellung von Blechwaren, Verzinkereien und Lackierereien und Eloxieranlagen; Mechanische, elektrische und sonstige Instandsetzungswerkstätten, Walzendrehereien;

Baubetriebe;

Modellschreinereien und sonstige Holzbearbeitungswerkstätten;

Mechanische Werkstätten, Bearbeitung von Guß- und Schmiedestücken, Ausbildungswerkstätten;

Verarbeitung von gezogenem Draht;

Zentrale Anlagen zur Erzeugung und Verteilung von Dampf, elektrischem Strom und anderem mehr;

Wasseraufbereitung;

Eisenbahn- und Hafenbetriebe.

Gruppe B

Betriebe zur Herstellung von Schrauben, Nieten, Nägeln, Ketten, Sintermetallen, Magneten;

Feinmechanische Werkstätten, chemische, physikalische und metallurgische Prüf-, Untersuchungs- und Versuchsanstalten;

Stahlbau Werkstattbetriebe;


Platz-, Fallwerks- und Schrottbetriebe;

Herstellen von Rohren, Platten und dergleichen aus Kunststoff; Zentrale gleislose Fahrbetriebe;

Feuerwehr, Werksaufsicht, betriebsärztliche Dienststellen, Arbeitssicherheitsabteilungen, Datenverarbeitung, Arbeitsvorbereitung, Druck- und Vervielfältigungsabteilungen, Bürobedienung und -reinigung, Behindertenwerkstätten, Wäschereien, Gärtnereien; Technisches Betriebspersonal, Ingenieure, technische Angestellte in Büros, Lehrkräfte, freigestellte Betriebsratsmitglieder.

Gruppe C

Kaufmännischer und verwaltender Teil der Unternehmen.

DA zu § 2 Abs. 3:

Grundsätzlich ist die Mindesteinsatzzeit im laufenden Jahr zu erbringen. Abweichend hierzu kann in begründeten und nach § 5 dokumentierten Fällen ein Teil der Mindesteinsatzzeit übertragen werden. Auf eine Dokumentation kann verzichtet werden, wenn weniger als 20 v.H. der Mindesteinsatzzeiten übertragen werden.

DA zu § 2 Abs. 4:

Die in § 6 des Arbeitssicherheitsgesetzes bezeichneten Aufgaben können alternativ zur Regelbetreuung nach § 2 Absatz 1 auch durch das Modell der Unternehmerausbildung und -beratung nach § 2 Absatz 4 unter den dort genannten Bedingungen erfüllt werden.

Ein Themenplan für die Informations- und Motivationsmaßnahmen ist als Anhang 3 beigefügt. Soweit bei Zertifizierungen im Rahmen der Qualitätssicherung Arbeitsschutz nachweisbar und ausreichend einbezogen wurde, kann dies im Einzelfall auf entsprechende Abschnitte der Informations- und Motivationsmaßnahmen angerechnet werden.

Der Unternehmer kann davon ausgehen, daß er eine qualifizierte und bedarfsgerechte Beratung nachgewiesen hat, wenn er den Bedarf für die mehrstündige Beratung ermittelt und bei wesentlichen Änderungen überprüft, den Berater beauftragt und ein Protokoll über die entsprechend in Anspruch genommene Beratung führt; siehe auch § 5 Absatz 2.

Basis für die bedarfsgerechte mehrstündige Beratung ist eine im Betrieb durch geführte Gefährdungsanalyse; siehe Anhang 4.

Die mehrstündige Beratung beträgt mindestens 30 % der Regeleinsatzzeit.

Hinsichtlich der Anforderungen an überbetriebliche sicherheitstechnische Dienste wird auf die gemeinsame Empfehlung zu "Qualitätsmerkmalen und Anforderungen an Fachkräfte für Arbeitssicherheit für deren Aufgabenwahrnehmung" (Bundesarbeitsblatt 2/1994 S. 70) verwiesen.

  .

  Themenplan für die Informations- und Motivationsmaßnahmen Anhang 3

Die Informations- und Motivationsmaßnahmen werden wie folgt gegliedert:

  1. Block Grundseminar
  2. Block Aufbauseminar I
  3. Block Aufbauseminar II
  4. Block Aufbauseminar III

.

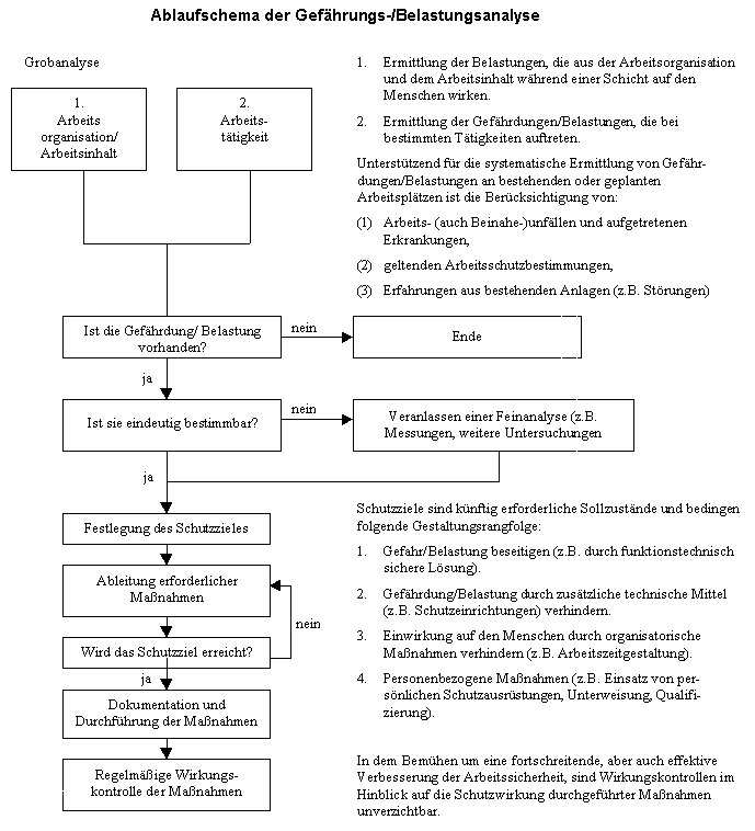
Hinweise zur Gefährdungs-/Belastungsanalyse im Rahmen des Unternehmermodells  Anhang 4

Die durchzuführenden Schritte der Gefährdungs-/Belastungsanalyse sind im Ablaufschema dargestellt.

Begriffe

Gefährdungen sind dadurch gekennzeichnet, daß schädigende Energien bzw. Stoffe mit dem Menschen räumlich und zeitlich zusammentreffen und damit die Möglichkeit des Eintrittes eines Gesundheitsschadens gegeben ist.

Die Belastung ist die Gesamtheit der äußeren Bedingungen und Anforderungen im Arbeitssystem, die den physischen und/oder psychischen Zustand einer Person ändern kann.

Bei der Grobanalyse können die Gefährdungen/Belastungen von der ermittelnden Person selbst bestimmt werden.

Die Feinanalyse ist durch das Hinzuziehen eines Spezialisten gekennzeichnet.

Im Gefährdungs- und Belastungskatalog sind Tätigkeitsblätter zusammengestellt, welche die Gefährdungen/Belastungen der im Unternehmen auftretenden Tätigkeiten systematisch aufzeigen.

Beispielhaft wurden folgende Tätigkeiten in diesen Anhang aufgenommen:

  1. Schleifen mit Handschleifmaschine
  2. Bohren mit Ständerbohrmaschine
  3. Handtransport und manuelles Aus- und Einlagern

Aufbau der Tätigkeitsblätter

Jedes Tätigkeitsblatt enthält neben Angaben zur Betriebsart, den Arbeitsbereichen und zur Arbeitstätigkeit eine Tabelle mit folgenden Spalten:

Gefährdungs-/Belastungsfaktoren:

In dieser Spalte werden systematisch bei der Tätigkeit auftretende Gefährdungen, wie mechanische und elektrische Gefährdungen sowie Belastungen, z.B. physische und psychische Belastungen, aufgeführt.

Erläuterungen und Hinweise zu den Faktoren:

Unter dieser Rubrik werden Methoden zur Erfassung sowie geeignete Kriterien zur Bewertung der Gefährdungs-/Belastungsfaktoren angegeben.

Handlungsbedarf:

Es ist anzugeben, ob sich Handlungsbedarf aufgrund der beiden ersten Spalten ergibt.

Schutzziel mit Quellenangabe:

Hier erfolgt die Angabe des Soll-Zustandes und der zugehörigen Vorschrift.

Maßnahmen:

In dieser Spalte sind Beispiellösungen als Entscheidungshilfe zur Auswahl der Maßnahmen aufgeführt.

Bedarfsgerechte Beratung:

Hier dokumentiert der Unternehmer seine Entscheidung, ob er eine externe Beratung benötigt. Ist eine Beratung vorgeschrieben (z.B. gemäß einer Unfallverhütungsvorschrift), befindet sich in der Spalte ein Vermerk.

Gefährdungs-/Belastungskatalog für Betriebe des Metallgewerbes
Betriebsart Arbeitsbereich Tätigkeit
Metallbe- und -verarbeitung Reparatur und Wartung Schleifen mit Handschleifmaschine
Metallbe- und -verarbeitung Reparatur und Wartung Bohren mit Ständerbohrmaschine
Metallbe- und -verarbeitung Lagern, Fördern, Transport Handtransport und manuelles Aus- und Einlagern

   

DA zu § 3 Abs. 3 bis 5:

Die Ausbildungslehrgänge werden bis zur Neuregelung nach Grundsätzen gestaltet, die das Bundesministerium für Arbeit und Sozialordnung mit Schreiben vom 2. Juli 1979 an die Träger der gesetzlichen Unfallversicherung im Rahmen der Fachaufsicht festgelegt hat.

DA zu § 3 Abs. 6:

Die Zeit von 160 Stunden jährlich ist mindestens erforderlich, damit die Fachkraft für Arbeitssicherheit ausreichend ihren persönlichen Praxisbezug behält, branchenspezifisch auf dem neuesten Stand von Arbeitssicherheit und Gesundheitsschutz bleibt und ihren Erfahrungsschatz erweitert. Diese Anforderung kann z.B. auch durch Tätigkeit als Fachkraft für Arbeitssicherheit in mehreren Betrieben erbracht werden.

DA zu § 4:

Die Verpflichtung zu regelmäßiger Fortbildung ist erfüllt, wenn innerhalb von jeweils drei Jahren eine Fortbildung von insgesamt mindestens zwei Wochen nachgewiesen ist.

DA zu § 5 Abs. 1:

Die Berichtspflicht besteht für jede Fachkraft für Arbeitssicherheit oder für den bestellten überbetrieblichen sicherheitstechnischen Dienst. Hauptamtlich tätige Fachkräfte für Arbeitssicherheit sollten mindestens einmal im Jahr die Ergebnisse ihres Einsatzes im Betrieb in einem Bericht zusammenfassen. Für nebenamtlich tätige Fachkräfte für Arbeitssicherheit oder für überbetriebliche sicherheitstechnische Dienste richtet sich die Berichtsabgabe nach der Häufigkeit, mit der sie für den Betrieb im Einsatz sind, das heißt erfolgt der Einsatz in Abständen von mehr als einem Jahr, so ist mindestens nach jeder Betriebsbegehung ein Bericht zu erstatten.

DA zu § 6 Abs. 1:

Nach Ablauf der Übergangsfrist muß der Unternehmer eine Fachkraft für Arbeitssicherheit schriftlich bestellt oder verpflichtet haben. Abweichend hiervon siehe § 6 Absatz 2 in Verbindung mit § 2 Absatz 4.

DA zu § 6 Abs. 2:

Sofern sich ein Unternehmer für die Betreuung gemäß § 2 Absatz 4 entscheidet, hat die erste Beratung bereits innerhalb des ersten Jahres nach der Entscheidung stattzufinden (siehe § 2 Absatz 4 Nr. 4).


weiter .

umwelt-online - Demo-Version


(Stand: 16.06.2018)

Alle vollständigen Texte in der aktuellen Fassung im Jahresabonnement
Nutzungsgebühr: ab 105.- € netto

(derzeit ca. 7200 Titel s.Übersicht - keine Unterteilung in Fachbereiche)

Preise & Bestellung

Die Zugangskennung wird kurzfristig übermittelt

? Fragen ?
Abonnentenzugang/Volltextversion