Für einen individuellen Ausdruck passen Sie bitte dieEinstellungen in der Druckvorschau Ihres Browsers an. Regelwerk; BGV / DGUV-V |
![]() |
BGV B3 - Lärm
Berufsgenossenschaftliche Vorschriften (BGV)
(bisher VBG 121)
(Ausgabe 01/1990; 01/1997; 01/2005)
(aufgehoben, nur zur Information)
(neu: Lärm- und Vibrations-Arbeitsschutzverordnung - LärmVibrationsArbSchV)
I. Geltungsbereich
§ 1 Geltungsbereich
Diese Unfallverhütungsvorschrift gilt für Unternehmen, soweit Versicherte unter Lärmgefährdung beschäftigt werden.
II. Begriffsbestimmungen
§ 2 Begriffsbestimmungen
(1) Lärmgefährdung im Sinne dieser Unfallverhütungsvorschrift ist die Einwirkung von Lärm auf Versicherte, die zur Beeinträchtigung der Gesundheit, insbesondere im Sinne einer Gehörgefährdung, führen kann oder zu einer erhöhten Unfallgefahr führt.
(2) Der Beurteilungspegel im Sinne dieser Unfallverhütungsvorschrift kennzeichnet die Wirkung eines Geräusches auf das Gehör. Er ist der Pegel eines achtstündigen konstanten Geräusches oder, bei zeitlich schwankendem Pegel, der diesem gleichgesetzte Pegel. Er wird entsprechend Anlage 1 ermittelt.
(3) Lärmbereiche im Sinne dieser Unfallverhütungsvorschrift sind Bereiche, in denen Lärm auftritt, bei dem der ortsbezogene Beurteilungspegel 85 dB(A) oder der Höchstwert des nicht bewerteten Schalldruckpegels 140 dB erreicht oder überschreitet.
III. Technische Lärmminderung
§ 3 Arbeitsmittel
(1) Der Unternehmer hat dafür zu sorgen, dass Arbeitsmittel, die zur Lärmgefährdung der Versicherten beitragen können, nach den fortschrittlichen, in der Praxis bewährten Regeln der Lärmminderungstechnik beschaffen sind und betrieben werden.
(2) Der Unternehmer hat bei der Beschaffung neuer Arbeitsmittel, die zur Lärmgefährdung beitragen können, dafür zu sorgen, dass ihm sachdienliche Informationen zur Verfügung stehen über
§ 4 Arbeitsverfahren
Der Unternehmer hat die Arbeitsverfahren nach den fortschrittlichen, in der Praxis bewährten Regeln der Lärmminderungstechnik so zu gestalten oder auszuwählen und anzuwenden, dass eine Lärmgefährdung der Versicherten soweit wie möglich verringert wird.
§ 5 Arbeitsräume
Der Unternehmer hat Arbeitsräume so zu gestalten, dass die Schallausbreitung nach den fortschrittlichen, in der Praxis bewährten Regeln der Lärmminderungstechnik vermindert wird, wenn eine Lärmgefährdung der Versicherten besteht oder zu erwarten ist.
§ 6 Lärmminderungsprogramm
Der Unternehmer hat nach den fortschrittlichen, in der Praxis bewährten Regeln der Lärmminderungstechnik ein Programm technischer Maßnahmen und Maßnahmen der Arbeitsgestaltung zur Lärmminderung für die nach § 7 Abs. 2 kennzeichnungspflichtigen Lärmbereiche aufzustellen und durchzuführen.
IV. Betrieb
§ 7 Lärmbereiche
(1) Der Unternehmer hat die im Betrieb vorhandenen Lärmbereiche fachkundig zu ermitteln und die Versicherten, für die die Gefahr des Entstehens lärmbedingter Gehörschäden besteht, festzustellen. Die Ermittlung ist in geeigneten Zeitabständen, insbesondere nach wesentlichen Änderungen, die Auswirkungen auf den Beurteilungspegel haben, zu wiederholen.
(2) Der Unternehmer hat Lärmbereiche zu kennzeichnen, wenn der ortsbezogene Beurteilungspegel 90 dB(A) oder der Höchstwert des nichtbewerteten Schalldruckpegels 140 dB erreicht oder überschreitet. Lärmbereiche sind auch zu kennzeichnen, wenn bei den in Anlage 2 bezeichneten Arbeitsverfahren und Arbeitsmitteln der Beurteilungspegel den Wert 90 dB(A) dadurch erreicht oder überschreitet, dass die Impulshaltigkeit des Lärmes berücksichtigt wird.
(3) Der Unternehmer hat die bei der Ermittlung der Lärmbereiche festgestellten Ergebnisse aufzuzeichnen und die Ergebnisse dem Technischen Aufsichtsbeamten auf Verlangen vorzulegen.
(4) Die bei der Ermittlung der Lärmbereiche festgestellten Ergebnisse sind vom Unternehmer mindestens 30 Jahre aufzubewahren. Der Unternehmer braucht diese Ergebnisse nicht aufzubewahren, sofern die Berufsgenossenschaft dies übernimmt. Stellt der Unternehmer seinen Betrieb ein und ist eine weitere Aufbewahrung nicht möglich, sind die Ergebnisse der Berufsgenossenschaft zu übergeben.
(5) Der Unternehmer hat den Zugang zu Lärmbereichen zu beschränken, wenn dies durch das Expositionsrisiko gerechtfertigt und diese Maßnahme in der Praxis vertretbar ist.
§ 8 Geräuschmessung
Ist ein begründeter Anlass zu der Annahme gegeben, dass eine Lärmgefährdung entsteht, kann der Technische Aufsichtsbeamte unbeschadet der Festlegungen in § 7 Abs. 2 und § 10 Abs. 2 im Einzelfall anordnen, dass der Unternehmer einen oder mehrere der nachfolgenden Schallpegel fachkundig messen läßt:
§ 9 Unterweisung
Der Unternehmer hat die Ergebnisse der Ermittlungen nach § 7 Abs. 1 und 2 den betroffenen Versicherten mitzuteilen und sie über die Bedeutung der Ergebnisse, die Gefahren durch Lärm sowie über Maßnahmen, die entsprechend dieser Unfallverhütungsvorschrift oder anderer einschlägiger Vorschriften vorgesehen sind, zu unterweisen.
§ 10 Persönlicher Schallschutz
(1) Der Unternehmer hat den Versicherten, die im Lärmbereich beschäftigt werden, unbeschadet der §§ 3 bis 5 geeignete Gehörschutzmittel zur Verfügung zu stellen. Dies gilt auch, wenn die Versicherten außerhalb von Lärmbereichen beschäftigt werden, aber der personenbezogene Beurteilungspegel 85 dB(A) erreichen oder überschreiten kann.
(2) Die Versicherten haben die zur Verfügung gestellten Gehörschutzmittel in den nach § 7 Abs. 2 gekennzeichneten Lärmbereichen zu benutzen. Dies gilt auch, wenn die Versicherten außerhalb von gekennzeichneten Lärmbereichen beschäftigt werden, aber der Unternehmer festgestellt hat, dass der personenbezogene Beurteilungspegel, gegebenenfalls unter Berücksichtigung der Anlage 2, 90 dB(A) erreichen oder überschreiten kann.
(3) Für Baustellenarbeitsplätze kann die Berufsgenossenschaft Arbeitsverfahren bestimmen, für die der Unternehmer Gehörschutzmittel zur Verfügung zu stellen hat und bei denen die Versicherten diese zu benutzen haben.
(4) Die Berufsgenossenschaft kann im Einzelfall für die Benutzung von Gehörschutzmitteln befristete Ausnahmen zulassen, wenn durch die Benutzung von Gehörschutzmitteln eine erhöhte Unfallgefahr entsteht und auf andere Weise diese Unfallgefahr nicht vermieden werden kann.
§ 11 Zusätzliche Schallquellen
Tonwiedergabegeräte mit Kopfhörer, die nicht Arbeitsmittel sind, dürfen von Versicherten nicht benutzt werden. Dies gilt nicht, wenn durch die Bauart des Gerätes sichergestellt ist, dass
§ 12 Signalerkennung
(1) Wird durch Lärm die Wahrnehmung akustischer Signale, Warnrufe oder gefahrankündigender Geräusche beeinträchtigt und entsteht hierdurch eine erhöhte Unfallgefahr, muss der Unternehmer den Lärm nach den fortschrittlichen in der Praxis bewährten Regeln der Lärmminderungstechnik so vermindern, dass Signale, Warnrufe oder gefahrankündigende Geräusche in ausreichendem Maße wahrgenommen werden können.
(2) Ist eine ausreichende Verminderung des Lärm nicht möglich, hat der Unternehmer dafür zu sorgen, dass die Signalgeber entsprechend verbessert werden.
V. Ordnungswidrigkeiten
§ 13 Ordnungswidrigkeiten
Ordnungswidrig im Sinne des § 209 Abs. 1 Nr. 1 Siebtes Buch Sozialgesetzbuch (SGB VII) handelt, wer vorsätzlich oder fahrlässig den Bestimmungen der
§ 3 Abs. 2,
§§ 6, 7 Abs. 1 bis 3, 4 Satz 1 oder 3,
§ 9,
§ 10 Abs. 1 oder 2 oder
§ 11 Satz 1
zuwiderhandelt.
VI. Übergangs- und Ausführungsbestimmungen
§ 14 Übergangs- und Ausführungsbestimmungen
(1) Die §§ 3 bis 5 gelten nicht für Arbeitsmittel, Arbeitsverfahren und Arbeitsräume, die am 1. Dezember 1974 betrieben oder angewendet wurden und eingerichtet waren.
(2) In §§ 3 bis 5 bezieht sich der Stand der fortschrittlichen, in der Praxis bewährten Regeln der Lärmminderungstechnik
(3) Der Technische Aufsichtsbeamte kann im Einzelfall anordnen, dass Arbeitsmittel, Arbeitsverfahren und Arbeitsräume den fortschrittlichen, in der Praxis bewährten Regeln der Lärmminderungstechnik angepaßt werden, soweit
VII. Inkrafttreten
§ 15 Inkrafttreten
Diese Unfallverhütungsvorschrift tritt am 1. Januar 1990 in Kraft. Gleichzeitig tritt die UVV "Lärm" (VBG 121) vom 1. Dezember 1974 in der Fassung vom 1. Oktober 1984 außer Kraft.
| Ermittlung des Beurteilungspegels | Anlage 1 |
Der Beurteilungspegel wird ortsbezogen oder personenbezogen ermittelt, als äquivalenter Dauerschallpegel zeitlich gemittelt und frequenzbewertet in dB(A) angegeben.
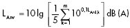
Der 8-Stunden-Beurteilungspegel LArd ist mit folgender Gleichung definiert:

Ti ist die Teilzeit in Stunden des jeweiligen äquivalenten Dauerschallpegels LAeq,i in dB(A); die Summe der Teilzeiten Ti beträgt 8 Stunden.
Bei erheblichen Schwankungen der täglichen Lärmexposition darf der Beurteilungspegel ausnahmsweise auch als wöchentlicher Mittelwert LArw der einzelnen Tageswerte LArd nach folgender Gleichung ermittelt werden:
Dabei sind die Werte LArd,k die Werte LArd für jeden der m Arbeitstage der betreffenden Woche.
Bei der Ermittlung des Beurteilungspegels wird die Wirkung eines gegebenenfalls benutzten Gehörschutzes nicht berücksichtigt.
| Berücksichtigung der Impulshaltigkeit | Anlage 2 |
Bei folgenden Arbeitsverfahren und Arbeitsmitteln ist im Sinne des § 7 Abs. 2 und § 10 Abs. 2 die Impulshaltigkeit bei der Ermittlung des Beurteilungspegels zu berücksichtigen:
Bei der Bergbau-Berufsgenossenschaft lautet die Liste wie folgt:
Bei der Steinbruchs-Berufsgenossenschaft lautet die Liste wie folgt:
Bei der Berufsgenossenschaft der keramischen und Glas-Industrie lautet die Liste wie folgt:
Bei der Berufsgenossenschaft der Gas-, Fernwärme- und Wasserwirtschaft lautet die Liste wie folgt:
Bei der Hütten- und Walzwerks-Berufsgenossenschaft und der Maschinenbau- und Metall-Berufsgenossenschaft lautet die Liste wie folgt:
Bei der Norddeutschen Metall-Berufsgenossenschaft lautet die Liste wie folgt:
Bei der Süddeutschen Metall-Berufsgenossenschaft lautet die Liste wie folgt:
Bei der Edel- und Unedelmetall-Berufsgenossenschaft lautet die Liste wie folgt:
Bei der Berufsgenossenschaft der Feinmechanik und Elektrotechnik lautet die Liste wie folgt:
Bei der Berufsgenossenschaft der chemischen Industrie lautet die Liste wie folgt:
Bei der Holz-Berufsgenossenschaft lautet die Liste wie folgt:
Bei der Papiermacher-Berufsgenossenschaft lautet die Liste wie folgt:
Bei der Berufsgenossenschaft Druck- und Papierverarbeitung ist die Liste ersetzt durch:
Bei der Lederindustrie-Berufsgenossenschaft lautet die Liste wie folgt:
Bei der Textil- und Bekleidungs-Berufsgenossenschaft lautet die Liste wie folgt:
Bei der Berufsgenossenschaft Nahrungsmittel und Gaststätten lautet die Liste wie folgt:
Getränkeabfüllanlagen:
Bei der Fleischerei-Berufsgenossenschaft lautet die Liste wie folgt:
Bei der Zucker-Berufsgenossenschaft lautet die Liste wie folgt:
Bei den Bau-Berufsgenossenschaften und der Tiefbau-Berufsgenossenschaft lautet die Liste wie folgt:
Bei der Großhandels- und Lagerei-Berufsgenossenschaft lautet die Liste wie folgt:
Bei der Berufsgenossenschaft für den Einzelhandel lautet die Liste wie folgt:
Bei der Verwaltungs-Berufsgenossenschaft lautet die Liste wie folgt:
Bei der Berufsgenossenschaft der Straßen-, U-Bahnen und Eisenbahnen lautet die Liste wie folgt:
Bei der Berufsgenossenschaft für Fahrzeughaltungen lautet die Liste wie folgt:
Bei der Binnenschifffahrts-Berufsgenossenschaft lautet die Liste wie folgt:
Bei der Berufsgenossenschaft für Gesundheitsdienst und Wohlfahrtspflege lautet die Liste wie folgt:
![]() |
weiter . | ![]() |
(Stand: 16.06.2018)
Alle vollständigen Texte in der aktuellen Fassung im Jahresabonnement
Nutzungsgebühr: ab 105.- € netto
(derzeit ca. 7200 Titel s.Übersicht - keine Unterteilung in Fachbereiche)
Die Zugangskennung wird kurzfristig übermittelt
? Fragen ?
Abonnentenzugang/Volltextversion