Für einen individuellen Ausdruck passen Sie bitte dieEinstellungen in der Druckvorschau Ihres Browsers an. Regelwerk; BGI/GUV-I / DGUV-I |
![]() |
BGI 5031 / DGUV Information 203-039 - Umgang mit Lichtwellenleiter-Kommunikations-Systemen (LWKS)
Deutsche Gesetzliche Unfallversicherung (DGUV) Information
(Ausgabe 04/2007aufgehoben)
| Redaktioneller Hinweis: Berufsgenossenschaften sind gemäß § 210 SGB VII Behörden; ihre amtlichen Veröffentlichungen nach § 15 SGB VII unterliegen gemäß § 5 Abs. 2 UrhG keinem Urheberrechtsschutz. |
Berufsgenossenschaftliche Informationen (BG-Informationen) enthalten Hinweise und Empfehlungen, die die praktische Anwendung von Regelungen zu einem bestimmten Sachgebiet oder Sachverhalt erleichtern sollen.
Diese BG-Information wurde im Sachgebiet "Laserstrahlung" des Fachausschusses "Elektrotechnik" (Fa ET) der Berufsgenossenschaftlichen Zentrale für Sicherheit und Gesundheit - BGZ unter Mitwirkung des Bundesverbandes der Unfallkassen (BUK) erstellt und wird von der Berufsgenossenschaft der Feinmechanik und Elektrotechnik herausgegeben.
1 Anwendungsbereich
1.1 Diese BG-Information findet Anwendung auf den Umgang mit Lichtwellenleiter-Kommunikations-Systemen (LWLKS). Sie behandelt die Gefährdungen durch optische Strahlung, die beim Umgang mit Lichtwellenleiter-Kommunikations-Systemen, im Folgenden LWLKS genannt, entstehen können und erläutert die entsprechenden Schutzmaßnahmen.
Diese BG-Information schließt sowohl den Betrieb, die Wartung, die Instandsetzung, die Entwicklung und die Herstellung von kompletten LWLKS als auch einzelner System-Komponenten und Module, wie Lasersender, optische Verstärker und Pumplaser, mit ein. Sie dient ferner als Hilfestellung zur Gefährdungsermittlung und zur Erfüllung des § 17 der Unfallverhütungsvorschrift "Laserstrahlung" (BGV B2 / GUV-V B2) hinsichtlich des Umgangs mit LWLKS.
1.2 Diese BG-Information findet keine Anwendung auf Lichtwellenleiter-Systeme, die vorwiegend zum Zweck der Laser-Leistungs-Übertragung gebaut und betrieben werden, z.B. in Materialbearbeitungslasern mit Faser-Übertragung, in medizinischen Lasern oder für Beleuchtungszwecke.
Anmerkung:
Im Gegensatz zu den üblichen Definitionen von "Licht" wird der Begriff "Lichtwellenleiter" (LWL) bei allen übertragenen Wellenlängen optischer Strahlung verwendet.
2 Laserspezifische Regelungen
Laserspezifische Regelungen sind in den folgenden Vorschriften, Normen und BG-Informationen enthalten:
Weitere Regelungen, die nützlichen Informationen der International Telecommunications Union (ITU) zu den Systemen und Bauteilen enthalten:
Erläuterung zur Anwendung der Normen und Regeln:
Entsprechend dem Geräte- und Produktsicherheitsgesetz ( GPSG) ist die mögliche Gefährdung von Personen durch Laserstrahlung generell - also auch durch LWLKS - nach der Lasersicherheitsnorm DIN EN 60825-1 zu bewerten und zu klassifizieren. Nach den dortigen Maßgaben gilt ein LWLKS unter den üblichen Betriebsbedingungen als sicher (Klasse 1), da im bestimmungsgemäßen Betrieb die Strahlung vollkommen umschlossen ist.
Die Sicherheitsphilosophie und die Sicherheitsvorkehrungen dieser Norm beziehen sich aber auf Lasergeräte, die sich unter lokaler Kontrolle befinden. Bei räumlich ausgedehnten LWLKS kann die optische Strahlung jedoch unter Umständen (kilometer-)weit vom Entstehungsort zugänglich werden. Ausschlaggebend für eine Gefährdung ist dann neben der Strahlungsleistung, die Zugänglichkeit und die Wahrscheinlichkeit mit der z.B. das unbeabsichtigte Öffnen eines LWLKS-Steckverbinders möglich wird. Daher gibt es einen zweiten anwendungsbezogenen Teil der Lasernorm für die optische Kommunikationstechnik mit Lichtwellenleitern die DIN EN 60825-2.
Hersteller von gebrauchsfertigen LWLKS müssen die Maßgaben dieses Normenteils einhalten, der wie die Grundnorm in der "Niederspannungsrichtlinie" als harmonisierte Norm gelistet ist. Sämtliche Stellen eines LWLKS, bei denen unter vernünftigerweise vorhersehbaren Umständen Strahlung zugänglich werden kann, sind bezüglich ihres Gefährdungspotenzials zu bewerten. Derartige "Standorte" sind in erster Linie Schalt-, Mess-, Anschluss- und Verteilerstellen mit lösbaren Lichtwellenleiter-Verbindern. Dort ist je nach Zutrittsmöglichkeit die entsprechende "Art des Standortes" (uneingeschränkt, eingeschränkt oder kontrolliert) festzulegen. "Standorte mit kontrolliertem und eingeschränktem Zugang" sind z.B. der Allgemeinheit aufgrund administrativer oder technischer Maßnahmen unzugänglich. Dort darf grundsätzlich nur autorisiertes Personal arbeiten, das im Falle kontrollierten Zugangs zusätzlich über eine Lasersicherheitsausbildung verfügt. Nur "Standorte mit uneingeschränktem Zugang" sind allgemein zugänglich.
Entsprechend der an den jeweiligen Standorten unter Umständen zugänglichen Strahlungsleistungen ergibt sich der jeweilige "Gefährdungsgrad" (die Nummerierung entspricht den Laserklassen, siehe Abschnitt 4). Standorttyp und Gefährdungsgrad bestimmen zusammen die im Einzelfall zu ergreifenden Sicherheitsmaßnahmen.
Eigenständige Sende- oder Messgeräte, die auch ohne angeschlossenes LWLKS betrieben werden können, sind wie jedes andere Lasergerät zu klassifizieren.
Eine Klassifizierung ist nicht notwendig, wenn z.B. das Sendegerät ausschließlich mit angeschlossenem LWLKS betrieben und sichergestellt werden kann, dass keine Strahlung einer höheren Klasse als derjenigen von Klasse 1 zugänglich werden kann.
3 Einleitung
Lichtwellenleiter-Kommunikations-Systeme (LWLKS) sind heutzutage in Weitverkehrs- und Zugangsnetzen weit verbreitet und kommen vermehrt auch im LAN-Bereich zum Einsatz. Es werden Laser und LED als Sender benutzt, die schnell moduliert werden können und hohe Leistungen ausstrahlen. Als Empfänger stehen schnelle, empfindliche Fotodetektoren zur Verfügung.
Die Laserleistung wird durch flexible Lichtwellenleiter (LWL) übertragen. Der Begriff "Lichtwellenleiter" wird für alle Glasfasern und Kunststofffasern verwendet, die zur optischen Informationsübertragung eingesetzt werden. Dagegen bezeichnet der Begriff "Lichtleiter" Fasern, die zur Beleuchtung dienen, z.B. bei Mikroskopen oder zur Dekoration.
Die in LWLKS verwendeten Lichtwellenleiter sind ein Übertragungsmedium, das die Signalübertragung ohne äußere Störeinflüsse gewährleistet und sich durch geringes Gewicht und Volumen auszeichnet. Die besten so genannten Übertragungsfenster (Bereiche geringer Dämpfung) der Quarzglasfaser liegen im infraroten Spektralbereich, so dass die Strahlung nicht direkt mit dem Auge wahrnehmbar ist.
Eine ausführliche Darstellung findet sich unter anderem in Anhang 3 "Beispiele für Lichtwellenleiter-Kommunikationssysteme und deren Sendeelemente in verschiedenen Wellenlängenbereichen".
Vor diesem Hintergrund sind folgende Aspekte wichtig für die Arbeitssicherheit:
4 Begriffsbestimmungen
Im Sinne dieser BG-Information werden folgende Begriffe definiert:
Neben der Laserklasse, die ein Maß für die potenzielle Schädigungsmöglichkeit durch "freie" Laserstrahlung ist, werden speziell für die besonderen Bedingungen bei LWLKS Gefährdungsgrade zur Risikoermittlung eingeführt, da die im LWL geführte Laserstrahlung nur unter bestimmten Umständen austritt.
Der Gefährdungsgrad beruht auf dem optischen Strahlungspegel, der unter vernünftigerweise vorhersehbaren Umständen, z.B. bei einem Lichtwellenleiterbruch oder beim Öffnen eines Steckverbinders, zugänglich werden könnte. Er steht in engem Zusammenhang mit der Laser-Klassifikation nach DIN EN 60825-1.
Die Schutzmaßnahmen ergeben sich jedoch nicht "automatisch" - wie bei den Laserklassen - aus dem Gefährdungsgrad, sondern erst im Zusammenhang mit der kategorisierten Zugänglichkeit (siehe Nummern 3 bis 12) des jeweiligen "Standorts".
Ebenfalls anders als bei der Klassifizierung von Lasereinrichtungen, basiert die Zuordnung der Gefährdungsgrade auf derjenigen Laserleistung, die nach einer gewissen Zeitspanne - z.B. nach dem Öffnen eines Steckverbinders - zugänglich wird. Vorhandene automatische Leistungsverringerungen werden also berücksichtigt.
5 Gefährdungsermittlung
Liegen keine Informationen über den Gefährdungsgrad bzw. über die Laserklasse des Systems vor, oder soll das System im Labor bei der Montage oder Herstellung nicht mit allen Sicherheitseinrichtungen, z.B. Automatische Leistungsverringerung, betrieben werden, müssen der Gefährdungsbereich ermittelt und angepasste Schutzmaßnahmen nach Abschnitt 6 umgesetzt werden.
Die Gefährdungsermittlung ist nach § 3 der Unfallverhütungsvorschrift "Grundsätze der Prävention" (BGV A1 / GUV-V A1) zu dokumentieren.
5.1 Spezifische Gefährdungen beim Umgang mit LWLKS
5.2 Wichtige Eigenschaften von Lichtwellenleitern für die Gefährdungsermittlung
Das folgende Bild stellt schematisch für verschiedene Fasertypen die Strahlprofile nach Austritt aus der Faser dar.
Bild 1: Strahlprofile nach Austritt aus verschiedenen Fasertypen
Die nachfolgende Tabelle 1 gibt den Kerndurchmesser ØKern, die typische numerische Apertur NA, den Strahldurchmesser Ø100 im Abstand von 100 mm und den maximalen in das Auge gelangenden Leistungsanteil η in % für die folgenden Fasertypen an:
Tabelle 1: Kerndurchmesser, numerische Apertur, Strahldurchmesser und in das Auge gelangender Leistungsanteil
| ØKern in µm | typ. NA | Ø100 in mm | η in % | |
| SM 1: | 8 | 0,1 | 11/13 | 33/25 |
| MM Grad. index: | 50 | 0,2 | 24 | 8,2 |
| MM Grad. index: | 62,5 | 0,28 | 34 | 4,2 |
| MM Grad. index: | 100 | 0,3 | 37 | 3,5 |
| PCS: | 200 | 0,35 | 44 | 2,5 |
| PMMA-POF: | 1000 | 0,47 | 63 | 1,2 |
Die Kennzahlen in Tabelle 1 sind wie folgt definiert:
Die jeweils berechneten Strahldurchmesser (mit je 63 % der Gesamtstrahlungsleistung) im minimalen Akkommodationsabstand von 100 mm zeigen die starke Abhängigkeit der Gefährdung vom Fasertyp. Strahlung im Wellenlängenbereich von 400 bis 1400 nm aus den am häufigsten verwendeten Lichtwellenleitern mit einem Kerndurchmesser von bis zu 100 µm wird auf einen Punkt auf der Netzhaut abgebildet (Punktlichtquelle).
Anmerkung:
Bei Abständen von weniger als 100 mm kann das Auge nicht mehr fokussieren. Deshalb heißt es in Abschnitt A2.5.1 des Anhangs 2 der BG-Information "Betrieb von Lasereinrichtungen" (BGI 832):
"Für Bestrahlung der Augen im Wellenlängenbereich von 302,5 nm bis 4000 nm ist ein minimaler Messabstand von 100 mm zu verwenden".
Für den optischen Strahlenschutz muss natürlich nur der Strahlungsanteil berücksichtigt und mit den MZB-Werten verglichen werden, der in das Auge gelangen kann.
In der Lichtwellenleitertechnik ist allgemein die Angabe der geführten Gesamtstrahlungsleistung in dBm (siehe Anhang 2) üblich.
5.3 Ermittlung des Sicherheitsabstandes und des Gefährdungsbereiches
Für die üblichen Faser-Grundtypen kann ein Zusammenhang zwischen der geführten Strahlungsleistung in der Faser P0 und der Leistungsdichte (Bestrahlungsstärke) E0 hinter dem Strahlungsaustritt in Abhängigkeit vom Abstand z und der numerischen Apertur (NA) der Faser angegeben werden.
Tabelle 2: Zusammenhang zwischen Gesamtleistung P0 und Leistungsdichte E0 bei verschiedenen Fasertypen
| Fasertypen: | Formel: |
| MM Stufenindexfaser: | P0 = π z2 NA2 E0 |
| MM Gradientenindexfaser | P0 = π/2 z2 NA2 E0 |
| Einmodenfaser: | P0 = 1,05 z2 NA2 E0 |
Damit kann die im Abstand z auftretende Leistungsdichte berechnet und z.B. mit den auf Bestrahlungsstärke umgerechneten MZB-Werten verglichen werden. Setzt man die Leistungsdichte E0 gleich dem Bestrahlungsstärkewert, so kann man aus den obigen Formeln auch den Sicherheits-Abstand NOHD (siehe Anhang 2) berechnen. Zum Beispiel ergibt sich der NOHD für Einmodenfasern aus:
Für die wichtigsten Wellenlängen für Bestrahlungsdauern ≥ 10 s gilt:
MZB = 36 W/m2 bei 980 nm,
MZB = 404 W/m2 bei 1300 nm,
MZB = 1000 W/m2 größer gleich 1400 nm
Das folgende Bild 2 zeigt für die wichtigsten Wellenlängen die Sicherheitsabstände (NOHD) bei verschiedenen im LWL geführten Strahlungsleistungen.
Bild 2: Beispiele für Sicherheitsabstände (NOHD)
Umgekehrt können diese Zusammenhänge dafür benutzt werden, aus den klassenspezifischen GZS und den zugeordneten Messverfahren (Blende mit bestimmtem Durchmesser in vorgegebenem Abstand) einen entsprechenden Grenzwert für die Strahlungsleistung P0 in der Faser zu berechnen.
Anmerkung:
Wegen der begrenzten Zahl von Lichtwellenleitern und Übertragungswellenlängen können diese Werte auch bequem in Tabellenform angegeben werden (siehe Anhang 5, Tabelle A5.1). Die dort angegebenen Maximalwerte basieren auf der Annahme des ungünstigsten Falls. Bei anderen Faserparametern können sich aus den gleichen GZS-Werten andere zulässige Maximalleistungen in der Faser ergeben.
Die Leistungsgrenzwerte gelten prinzipiell für einen einzelnen LWL. Bei Faserbändchen oder Multifasersteckverbindern müssen sich mehrere Fasern den angegebenen Grenzwert "teilen", entsprechend geringer ist die zulässige Strahlungsleistung in der einzelnen Faser.
Beispiel zur Ermittlung des Sicherheitsabstands:
Gegeben seien:
Na = 0,1 (siehe Tabelle 1 in Abschnitt 5.2)
und
P0 = 1,05 z2 NA2 E0 (siehe Abschnitt 5.3),
1. Ermittlung des MZB-Wertes:
Aus Tabelle 6b (Anhang 3 der BG-Information "Betrieb von Laser-Einrichtungen" [BGI 832]) lässt sich ein MZB-Wert von 1000 W * m-2 ermitteln.
2. Ermittlung des Sicherheitsabstands NOHD:
Der NOHD-Wert entspricht dem Abstand r, an dem die Bestrahlungsstärke E auf den MZB-Wert gefallen ist (hier 1000 W/m2)
Aus P = 1,05 z2 NA2 E
folgt mit z = NOHD und E = MZB = 1000 W/m2 also:
3. Ermittlung des Gefährdungsbereichs:
Der maximale Durchmesser des Gefährdungsbereichs kann abgeschätzt werden zu:
Wie bei jeder Strahlkeule wächst der Durchmesser des Gefährdungsbereichs mit der Entfernung von der Quelle und erreicht in einer bestimmten Entfernung z = zmax seinen Maximalwert. Dieser Maximaldurchmesser wird bei MM-Stufenindexfasern in der Entfernung zmax = NOHD (Sicherheitsabstand) erreicht. Bei anderen Fasertypen ist zmax etwas kleiner als NOHD.
Die Formel ergibt sich unter der Annahme, dass die Quelle die Leistung P abstrahlt und die entstehende Leistungsdichte auf einer Kreisfläche mit dem Durchmesser dmax konstant gleich dem MZB-Wert gesetzt wird. Eine solche Gleichverteilung (von der man nur bei Stufenindexfasern ausgehen kann) stellt bezüglich dmax den schlimmsten Fall dar. Bei gaußförmigen Verteilungen (wie bei Einmodenfasern) ist dmax auf jeden Fall kleiner.
Für obige Berechnungen wurde mit der numerischen Apertur Na gerechnet. Alternativ kann bei Einmoden-Fasern auch mit dem Modenfelddurchmesser (siehe Anhang 2) gerechnet werden, wie im folgenden Abschnitt durchgeführt.
5.3.1 Gefährdungsbereiche bei Einmoden-Fasern (engl. Single Mode Fibre, SMF)
Die von Einmodenfasern abgestrahlte Leistung kann meist in guter Näherung durch eine gaußförmige Verteilung beschrieben werden. Zur Zuführung der Pumpleistung bei 980 nm werden Fasern mit einem Modenfelddurchmesser von 7 µm verwendet im Weitverkehr werden fast ausschließlich Fasern nach ITU-T G.652, ITU-T G.653 und ITU-T G.654 eingesetzt, die alle einen Modenfelddurchmesser von 11 µm oder darunter haben. Für diese Fasern kann der Gefährdungsbereich, in Abhängigkeit der unterschiedlichen Leistungen und Wellenlängen, wie in den Bildern 3, 4, 5 und 6 dargestellt werden.
Anzumerken ist, dass normalerweise erst ab 100 mm mit einer Gefährdung zu rechnen ist (angedeutet durch gestrichelte Kreise). Zum Zwecke der Darstellung wurden aber auch Abstände von weniger als 100 mm berechnet und dargestellt. Außerdem wurde bei der Berechnung der jeweils gültige Detektordurchmesser simuliert (7 mm bei 980 nm und 1280 nm, bzw. 3,5 mm bei 1420 nm und 1550 nm), wobei dieser Detektor so ausgerichtet wird, dass seine Achse auf das Faserende zeigt. Die Quellenleistungen sind nach Laserklassen gestaffelt.
Wie zu erwarten, haben die Gefährdungsbereiche in den Bildern für Laser der Klasse 1 M in allen Fällen eine Länge von 100 mm. Dies ist der vorgeschriebene Messabstand für die Klasse 1 M. Die Klasse 1 M ist gerade so definiert, dass für 100 s die MZB-Werte im Messabstand eingehalten sind.
In den Bildern 4 und 5 ist als höchste Leistung die Leistung gewählt, die als Maximalleistung in Systemen mit verteilter Raman-Verstärkung zurzeit (Stand 2005) von Herstellern angeboten wird.
Bild 3: Gefährdungsbereiche in r-z-Richtung einer Einmodenfaser für drei verschiedene Leistungen bei 980 nm. In den jeweiligen farbigen Bereichen sind die MZB-Werte überschritten. Es wurde ein Modenfelddurchmesser von 7 µm zugrunde gelegt
Bild 4: Gefährdungsbereiche in r-z-Richtung einer Einmodenfaser für drei verschiedene Leistungen bei 1280 nm. In den jeweiligen farbigen Bereichen sind die MZB-Werte überschritten. Es wurde ein Modenfelddurchmesser von 11 µm zugrunde gelegt
Bild 5: Gefährdungsbereiche in r-z-Richtung einer Einmodenfaser für drei verschiedene Leistungen bei 1420 nm. In den jeweiligen farbigen Bereichen sind die MZB-Werte überschritten. Es wurde ein Modenfelddurchmesser von 11 µm zugrunde gelegt. Die Klasse 3R ist für Wellenlängen ab 1400 nm nicht relevant, weil die zulässige Leistung kleiner als diejenige der Klasse 1M ist
Bild 6: Gefährdungsbereiche in r-z-Richtung einer Einmodenfaser für drei verschiedene Leistungen bei 1550 nm. In den jeweiligen farbigen Bereichen sind die MZB-Werte überschritten. Es wurde ein Modenfelddurchmesser von 11 µm zugrunde gelegt. Die Klasse 3R ist für Wellenlängen ab 1400 nm nicht relevant, weil die zulässige Leistung kleiner als diejenige der Klasse 1M ist
Bild 7: Gefährdungsbereiche in r-z-Richtung einer Einmodenfaser für drei verschiedene Leistungen bei 1550 nm. In den jeweiligen farbigen Bereichen sind die MZB-Werte überschritten. Es wurde ein größerer Modenfelddurchmesser von 44 µm angenommen (Modenfeldaufweitung)
Hohe Laserleistungen bis in die Größenordnung von einigen Watt, die der Laser-Klasse 4 entsprechen würden, treten zurzeit nur bei der Weitstreckenübertragung mit Wellenlängenmultiplextechnik und faseroptischer Verstärkung bei Übertragungs-Wellenlängen um 1550 nm auf.
Wie aus den Bildern 4 bis 6 ersichtlich, kann in diesen Fällen ein Abstand, der größer als 40 cm ist, als sicher angesehen werden.
Eine Ausnahme stellt die Pumpwellenlänge 980 nm für EDFa dar, die bei 500 mW abgestrahlter Leistung auch im Abstand von über 1 m noch gefährlich sein kann (siehe Bild 3). Der hier erforderliche Sicherheitsabstand von 100 cm ist für Weitverkehrsfasern nicht anzuwenden, da für diese Wellenlänge besondere Fasern benötigt werden, die nur im Gestell (meist nur auf einer Platine) verlegt werden. Fasern nach G.652 bis G.655 wären in diesem Wellenlängenbereich mehrwellig und sind deshalb für diesen Zweck ungeeignet.
Auch wenn im Einzelfall, z.B. bei Wartungsarbeiten, keine Angaben vorliegen, kann man außer bei 980 nm oder bei Hochleistungssteckern mit Modenfeldaufweitung (nach Bild 6) davon ausgehen, dass ab ca. 40 cm ("Armlänge") keine Gefährdung mehr besteht. In jedem Fall ist aber eine Betrachtung aus einem Winkel von 45° zur Faserachse sicher (dieser Fall ist in den Bildern 3 bis 7 ebenfalls durch gestrichelte Linien dargestellt).
Bei Steckern mit Schrägschliff (z.B. SC-APC mit 8° oder 9°) verkippt der Strahl aus dem Stecker um etwa 4° gegen die Faserachse.
Hochleistungs-Stecker mit Modenfeldaufweitung für Einmoden-Faser
Bei der Übertragung hoher Leistungen über Einmoden-Faser kann es sinnvoll sein, in der Steckfläche einen größeren Modenfelddurchmesser (MFD) zu haben. Ein Beispiel hierfür sind Stecker, bei denen durch Einbau einer Gradientenlinse in jedes Steckteil eine Modenfeldaufweitung und damit eine geringere Divergenz erreicht wird. Durch diese Linse wird der MFD von z.B. 11 µm auf 44 µm aufgeweitet. Ferner ist der Strahl wegen des Schrägschliffs etwa 2° gegen die Faserachse verkippt. Wird ein solcher Stecker offen betrieben, hat er einen größeren Gefährdungsbereich als ein Stecker mit unverändert durchgeführter Einmoden-Faser. Für den Strahl aus diesem Stecker beträgt der Grenzwert für Laserklasse 1 M bei 1550 nm nur 14 mW (verglichen mit 136 mW für den Strahl direkt aus der Faser) und alle Leistungen > 50 mW sind in Klasse 3B (< 500 mW) oder Klasse 4 (> 500 mW) einzustufen (siehe Bild 7).
5.3.2 Gefährdungsbereiche bei Mehrmoden-Fasern (engl. multimode fibre, MMF)
Bei Mehrmodenfasern ist der Sicherheitsabstand NOHD (und damit der Gefährdungsgrad) von der Modenverteilung abhängig, die wiederum die numerische Apertur bzw. die Divergenz beeinflusst (siehe Abschnitt 5.2). In diesem Zusammenhang basieren die entsprechenden Leistungsgrenzwerte im Anhang 5 auf der Annahme des ungünstigsten Falls. Im Einzelfall sind unter Umständen folgende Punkte zu beachten:
5.3.3 Gefährdungsbereiche bei Polymeroptischen Fasern (engl. Polymer optical fibre, POF)
Eine Besonderheit stellen LWLKS mit POF dar. Für diese kostengünstigen hochbitratigen Kurzstreckenübertragungssysteme (z.B. im Heimbereich oder Kraftfahrzeug) werden als Sendeelemente verschiedenfarbige (meist "grüne" und "rote") LEDs eingesetzt. Diese liegen im Bereich der Laserklasse 1M bzw. 2.
Die "Systemphilosophie" bedingt andererseits den Einsatz von leicht zu öffnenden und selbst konfektionierbaren optischen Steckverbindungen. Die Streckendämpfung in der Faser ist aber allgemein so groß, dass meist schon kurz nach der Strahleinkopplung keine Gefährdung mehr besteht.
5.4 Gefährdungen im Normalbetrieb
Wird das LWLKS bestimmungsgemäß betrieben und finden keine Wartungsarbeiten oder Systemprüfungen statt, so bestehen keine Strahlungsgefährdungen, weil die Laserleistung im LWL-Kabel vollständig eingeschlossen ist. Auch nicht unterwiesene Personen (Laien) sind nicht gefährdet.
5.5 Gefährdungen bei Wartungs- und Servicearbeiten an vermieteten oder unbekannten und normalerweise unzugänglichen LWLKS ("Dark Fibre")
Hohe Laserleistungen (bis in die Größenordnung von einigen Watt, die Laserklasse 4 entsprechen würden) treten zurzeit nur bei der Weitstreckenübertragung mit Wellenlängenmultiplextechnik und faseroptischer Verstärkung bei Übertragungswellenlängen um 1550 nm auf. Solche Laserleistungen können allerdings nur im Fehlerfall zugänglich werden.
5.6 Sekundäre Gefährdungen
5.6.1 Brandgefahr
Im Laserbereich, besonders in Nähe von offenen Faserendflächen, dürfen keine brennbaren und keine leicht entzündlichen Stoffe gelagert werden.
5.6.2 Explosionsgefahr
Laserstrahlung kann - insbesondere bei Fokussierung und am Faserausgang - durch Absorption in explosionsfähiger Atmosphäre oder an festen Oberflächen zur Zündquelle werden (siehe auch Abschnitt 6.4.3).
5.6.3 Verletzungen durch Faserreste
Bei Steckerkonfektionierung oder Spleißarbeiten entstehende Faserreste sollten in gesonderten Behältnissen gesammelt und entsorgt werden. Feine Fasern können in die Haut oder ins Auge eindringen und zu Entzündungen führen.
6 Schutzmaßnahmen beim Umgang mit LWLKS
6.1 Allgemeine Regeln zum sicheren Arbeiten an und mit LWLKS
Unter Beachtung der folgenden Regeln darf bei Gefährdungsgraden 1 bis 3R im laufenden Betrieb gearbeitet werden.
Tabelle 3: Regeln zum sicheren Arbeiten an LWLKS
| Betrachten der Faser | Nicht mit ungeschütztem Auge oder einem nicht anerkannten optischen Gerät auf Faserenden oder Steckerstirnflächen blicken. |
| Faserende nicht auf andere Personen richten. | |
| Optische Instrumente | Nur speziell ausgewählte oder angefertigte optische Instrumente mit Filter oder Dämpfung benutzen, bei Gefährdungsgraden größer oder gleich 1 M oder 2M möglichst indirekte Sehhilfen (Kamera und Monitor, Schattenbildspleißgeräte) benutzen. |
| Faserenden | Offene Faserenden abdecken (Spleißschutz, Klebeband), wenn nicht daran gearbeitet wird; offene Stecker mit Staubschutzkappen versehen. |
| Faserbändchen | Nur vom Sender abgekoppelte Fasern brechen. |
| Spezielles Bandspleißgerät verwenden. | |
| Messleitungen | Die optische Quelle als letzte anschließen und als erste trennen. |
| Wartung | Nur nach spezieller Arbeitsanweisung durchführen. |
| Reinigung | Nur geeignete Methoden benutzen. |
| Änderungen am LWLKS | Nur mit besonderer Befugnis. |
| "board extenders" | Leiterplatten-Adapter für das Arbeiten außerhalb der Gestelle nicht bei Karten mit optischen Sendern benutzen. |
| beschädigte Schilder | Beschädigte oder fehlende Schilder melden. |
| Schlüsselschalter | Schlüssel nur in Obhut autorisierter Personen aufbewahren. |
| Testeinrichtungen | Die Laserklasse der Testeinrichtung muss dem Gefährdungsgrad des Standortes entsprechen. |
| Warnzeichen | Standorte mit Gefährdungsgraden oberhalb 1 M sind immer mit dem Laserwarnzeichen und dem Gefährdungsgrad zu versehen. |
6.2 Festlegung von Schutzmaßnahmen
Der Betreiber eines kompletten LWLKS hat die Verantwortung für die Lasersicherheit.
Das beinhaltet unter anderem die Festlegung der Standorttypen und des Gefährdungsgrades mit den entsprechenden Schutzmaßnahmen.
Dies bedeutet z.B. an jeder zugänglichen Stelle des gesamten Systems ist sicherzustellen, dass die dort zugewiesenen Gefährdungsgrade nicht überschritten werden und für Installations- und Wartungsarbeiten nur entsprechend unterwiesenes Personal eingesetzt wird.
Bei Gefährdungsgraden 2, 2M, 3R, 3B oder 4 muss der Zugang zum Laserbereich mit dem (dreieckigen) Laserwarnschild und der Angabe des jeweiligen Gefährdungsgrades gekennzeichnet sein.
Die Funktion einer automatischen Leistungsverringerung ist vor bzw. bei Inbetriebnahme des LWLKS zu prüfen.
Anmerkung 1:
Die Bedingungen, unter denen im Wartungsfall eine automatische Leistungsverringerung außer Kraft gesetzt werden darf, sind klar zu definieren. In diesem Fall können die austretenden Leistungen größer sein, als für den entsprechenden Gefährdungsgrad zulässig. Beim Überschreiten der Grenzwerte der Klasse 1, sind die Gefährdungen und Schutzmaßnahmen zu bestimmen und ggf. in Arbeitsanweisungen niederzulegen (siehe Abschnitt 6.3.2).Anmerkung 2:
Bei Arbeiten mit sichtbarer Laser- oder LED-Strahlung der Gefährdungsgrade 2, 2M, 3R im Wellenlängenbereich von 400 nm bis 700 nm, bei denen bisher von einem Schutz durch Abwendungsreaktionen einschließlich des Lidschlussreflexes ausgegangen wurde, sind die Mitarbeiter dahingehend zu unterweisen, dass von diesem Schutz nicht ausgegangen werden darf und stattdessen aktive Schutzreaktionen (sofortiges Schließen der Augen, Abwendung des Kopfes aus dem Strahl) auszuführen sind.
6.3 Rangfolge von Schutzmaßnahmen
Drei Gruppen von Schutzmaßnahmen werden generell unterschieden:
An erster Stelle stehen grundsätzlich die technischen Maßnahmen, dann die organisatorischen. Persönliche Schutzausrüstungen kommen an letzter Stelle erst dann in Betracht, wenn es nicht möglich ist, mit technischen und organisatorischen Mitteln ein ausreichendes Schutzniveau zu gewährleisten.
Bezüglich der Laserschutzmaßnahmen können folgende Anwendungsbereiche mit Lichtwellenleitersystemen oder -komponenten grob unterschieden werden:
6.3.1 Schutzmaßnamen für Anwender (A) und Personen, die sich in uneingeschränkten Bereichen aufhalten
Der Hersteller oder Betreiber ist nach dem Geräte- und Produktsicherheitsgesetz ( GPSG) verpflichtet, je nach Standort und dortigem Gefährdungsgrad die zugeordneten Sicherheitsmassnahmen festzulegen.
Alle Systeme müssen so gebaut sein, dass sie für den Anwender sicher sind und keine Schutzmaßnahmen erfordern.
Mechanische Verriegelungen oder automatische Leistungsverringerungen verhindern unter anderem eine Gefährdung für den Anwender.
Falls keine Gefährdung vorliegt, sind (nach DIN EN 60825-2) auch keinerlei Warn- oder Hinweiszeichen am Gerät notwendig. Nach dieser Norm ist es dem Hersteller für die Gefährdungsgrade 1 und 1 M freigestellt, ein Hinweisschild anzubringen oder diese Information nur in die Benutzerinformation aufzunehmen.
6.3.2 Schutzmaßnahmen bei Wartung, Montage und Prüffeld (WP)
Der Umgang mit LWLKS-Komponenten bei diesen Arbeiten erfordert grundsätzlich eine besondere Sorgfalt bezüglich Sauberkeit, Reinigung, mechanischer Belastungen und Biegeradien und speziell dafür ausgebildetes Personal.
Kann bei Arbeiten an einem System Strahlungsleistung oberhalb der Grenzwerte der Klasse 1 zugänglich werden, so sind die betreffenden Mitarbeiter mindestens einmal jährlich im Laserschutz zu unterweisen. Die Unterweisung ist nach § 4 der Unfallverhütungsvorschrift "Grundsätze der Prävention" (BGV A1) zu dokumentieren.
Bei LWLKS mit hohen Strahlungsleistungen wird der Laserschutz häufig mit einer automatischen Leistungsverringerung sichergestellt. Ist diese defekt oder abgeschaltet, so sind die Schutzmaßnahmen für die höhere Laserleistung nach der Unfallverhütungsvorschrift "Laserstrahlung" (BGV B2) und der BG-Information "Betrieb von Laser-Einrichtungen" (BGI 832) anzuwenden.
Anmerkung:
Falls z.B. bei Installationsarbeiten die endgültigen Gefährdungsgrade durch den Betreiber noch nicht festgelegt wurden, sind die Klassifizierungen der optischen Sendekomponenten oder Testeinrichtungen zur Festlegung der Schutzmaßnahmen zu verwenden.
6.3.3 Schutzmaßnahmen in Forschung und Entwicklung (FE)
Solche Arbeiten werden im Allgemeinen an noch nicht umschlossenen LWLKS durchgeführt. Gefährdungsgrade und Standorttypen sind noch nicht definiert. Daher sind die Laserklassen der einzelnen verwendeten Sendekomponenten oder Messgeräte zu ermitteln. Gleiches gilt für Verbindungsstellen, an denen Strahlung z.B. beim Öffnen von Steckverbindern zugänglich werden kann.
Anmerkung:
Es wird empfohlen, den Arbeitsplatz zu kennzeichnen und die Schutzmaßnahm n entsprechend der maximal möglichen Laserklasse festzulegen.
Der Mitarbeiterschutz im Laborbereich muss vor allem durch organisatorische und persönliche Schutzmaßnahmen wie: Arbeitsanweisungen, Unterweisungen, Betriebsanweisungen, Zugangsbeschränkungen, Verwendung von Laser-Schutzbrillen usw. sichergestellt werden.
6.4 Besondere Schutzmaßnahmen
6.4.1 Empfehlungen zur Kennzeichnung der Arbeitsbereiche
Laserbereiche sind grundsätzlich entsprechend der Unfallverhütungsvorschrift "Laserstrahlung" (BGV B2) und der BG-Information "Betrieb von Laser-Einrichtungen" (BGI 832) zu kennzeichnen. Zusätzlich kann es empfehlenswert sein, die Arbeitsbereiche am Zugang mit den Hinweisen auf die entsprechenden Gefährdungsgrade zu kennzeichnen.
Beispiel für Gefährdungsgrad 1 M:

Anmerkung:
Bei der Kennzeichnung von Bereichen mit Gefährdungsgrad 1 M darf zusätzlich das Laserwarnzeichen angebracht sein.
Beispiel für Gefährdungsgrad 3B:
Bild 8: Sicherheitskennzeichnung der Arbeitsbereiche je nach Gefährdungsgrad und Zugang
6.4.2 Schutzmaßnahmen bei Brandgefahr
Im Laserbereich, besonders in Nähe der Faserendfläche, dürfen keine brennbaren und keine entzündlichen Stoffe gelagert werden.
6.4.3 Schutzmaßnahmen bei Explosionsgefahr
Auf Grund der extremen Leistungsdichte am Strahlaustritt von LWLKS muss oberhalb der Werte der Tabelle 4 in entsprechenden Umgebungen unter Umständen mit Explosionsgefährdungen gerechnet werden.
Bei Einsatz in derartigen Umgebungen ist die Leistung und Leistungsdichte so zu begrenzen, dass sie die explosionsfähige Atmosphäre nicht entzünden kann. Genauere Informationen für den Explosionsschutz in Gas- oder Dampf-Luft-Atmosphären sind in der IEC 60.079-28 und in den "Explosionsschutz-Regeln EX-RL" (BGR 104) zu finden.
Beispielsweise sind die folgenden Strahlungsleistungen nicht als Zündquelle anzusehen, wenn angenommen wird, dass die Strahlung an einem Festkörper vollkommen absorbiert und in eine Erwärmung umgesetzt wird und so eine heiße Oberfläche erzeugt wird. Die in nachstehender Tabelle genannten Werte sind grobe Vereinfachungen mit großem Sicherheitsabstand. Bei geringerer Absorption oder guter Wärmeableitung an die Umgebung oder aber auch bei fehlendem Absorber sind auch höhere Leistungen ohne Entzündungen möglich.
Tabelle 4: Strahlungsleistungen, die keine Zündquelle darstellen
| Explosionsgruppe | I und IIA | IIA | IIB | IIC | IIC |
| Temperaturklasse | T1 - T3 | T4 | T1 - T4 | T1 - T4 | T5 - T6 |
| Leistung [m W] | 150 | 35 | 35 | 35 | 15 |
| Bestrahlungsstärke [mW/mm2] (bei Flächen < 400 mm2) |
20 2 | 5 | 5 | 5 | 5 |
Anmerkung:
Vorstellbar in diesem Zusammenhang ist auch die Bildung eines explosionsfähigen Gemisches bei Benutzung alkoholischer Reinigungsmittel z.B. für das Säubern von Steckerstirnflächen. Das Gemisch selbst ist zwar für die LWLKS-Strahlung transparent, kann aber möglicherweise durch ein absorbierendes Staubkorn zur Explosion gebracht werden.
6.4.4 Betrachten und Prüfen von Strahlaustrittsstellen
Das Betrachten der Steckerendflächen bei Arbeiten an LWLKS ist nur dann erlaubt, wenn die folgenden Bedingungen alle eingehalten werden:
Falls optische Instrumente (z.B. zur Begutachtung von Spleißen oder Stecker-Stirnflächen) für Faserenden unter Last verwendet werden sollen, müssen diese speziell ausgewählt (d.h. mit geeigneten Schutzfiltern versehen) werden.
Beispielsweise können zur Beobachtung indirekte Video-Mikroskope verwendet werden.
6.4.5 Messungen an Lichtwellenleiterverteilern und technischen Einrichtungen
Von angeschlossenen Messgeräten geht bei bestimmungsgemäßer Verwendung keine Gefährdung aus. Besondere Schutzmaßnahmen sind nicht vorzusehen. Auch hier ist aus Sicherheitsgründen ein direktes Blicken in den Strahl (Stecker mit Kupplung am Ende der Messleitung) zu unterlassen.
Wird das Messgerät nicht bestimmungsgemäß, zum Beispiel offen verwendet, dann sind eventuell zusätzliche Schutzmaßnahmen (z.B. Tragen von Laser-Schutzbrillen) vorzusehen.
Beim Messen des optischen Leistungssignals an Lichtwellenleiterverteilern (z.B. Gf-KEG, Gf-HVt) oder an den übertragungstechnischen Einrichtungen wird durch Auftrennen von Verbindungen des Lichtwellenleiterübertragungssystems die Laserleistungsverringerung aktiviert, sofern das geschlossene LWLKS Laser der Laserklasse 3R, 3B oder 4 enthält. Um sicherzustellen, dass auch im ungünstigsten Fall keine Personengefährdung auftritt, ist sofort nach dem Auftrennen der optische Leistungsmesser an der zu messenden Stelle anzuschließen und das andere offene Ende mit der Staubschutzkappe zu versehen.
Ein Betrachten der Steckerendflächen (direkter Blick in den Strahl) ist zu unterlassen. Danach kann die manuelle Lasereinschaltung aktiviert werden. Während der bewussten manuellen Lasereinschaltung darf der optische Leistungspegelmesser nicht entfernt werden. Nach Beendigung der Messungen muss die manuelle Lasereinschaltung deaktiviert werden und die Steckverbindungen sind wieder ordnungsgemäß zu schließen.
6.4.6 Spleißarbeiten am Kabel
Für die Spleißgeräte an sich sind keine besonderen Sicherheitsbestimmungen zu beachten, da diese Geräte ohne oder nur mit geringer Strahlungsleistung der Klasse 1 oder 2 arbeiten.
Bei Spleißarbeiten am Kabel sind die Fasern am Spleißtisch so zu positionieren, dass von einem evtl. austretenden Strahl keine Gefährdung ausgehen kann (Personengefährdung, Brandgefahr). Eine ausreichende Beleuchtung des Arbeitsplatzes ist sicher zu stellen.
Bei planbaren Spleißarbeiten an Kabelanlagen sind grundsätzlich die Übertragungssysteme beidseitig an den Lichtwellenleiter-Verteilern bzw. Lichtwellenleiter-Hauptverteilern aufzutrennen.
6.4.7 Servicearbeiten an vermieteten oder unbekannten LWLKS ("Dark Fibre")
Werden Arbeiten an unbekannten Fasern mit unbekanntem Gefährdungsgrad durchgeführt, so ist von der höchsten anzutreffenden Leistung auszugehen und die Schutzmaßnahmen sind für den Gefährdungsgrad 4 auszuwählen und anzuwenden.
Anmerkung:
In der Regel muss im oben beschriebenen Fall im abgeschalteten Zustand gearbeitet werden.
6.4.8 Verwendung von Laser-Schutzbrillen
Grundsätzlich kommen persönliche Schutzmaßnahmen erst dann in Betracht, wenn weder durch technische noch durch organisatorische Maßnahmen die MZB-Werte eingehalten werden können.
Beim Arbeiten mit unbekannten, mit Laserenergie beaufschlagten LWLKS mit Verbindungsstücken und optischen Schnittstellen sind dafür geeignete Laser-Schutzbrillen zu tragen:
Im Telekommunikationsbereich beispielsweise sind in der Regel Brillen der Schutzstufe L3 für Wellenlängen zwischen 700 nm und 2000 nm ausreichend. Bei Laserschutzbrillen ist der Einsatzzweck zu berücksichtigen: Laser-Schutzbrillen sind nur für die kurzzeitige bzw. unbeabsichtigte Bestrahlung mit einer bestimmten Wellenlänge gedacht. Eine solche Brille darf maximal 10 s zur direkten Beobachtung des Laserstrahls verwendet werden, für den Sie ausgelegt wurde.
Weiteres zur Auswahl und Benutzung von Laserschutz- und Justierbrillen ist in der BG-Information "Auswahl und Benutzung von Laser-Schutzbrillen und Laser-Justierbrillen", die zurzeit (Stand 2006) vom FAET erarbeitet wird, zu finden.
6.4.9 Sonstige Hinweise zu Schutzmassnahmen
| Abkürzungen | Anhang 1 |
| α: | Abstrahlwinkel des Lichtwellenleiters |
| ALS: | Automatic Laser Shutdown (Englisch) |
| ALV: | Automatische Leistungsverringerung |
| APR: | Automatic Power Reduction |
| APSD: | Automatic Power Shutdown |
| Baud: | Einheit der Schrittgeschwindigkeit (1 Schritt ist z.B. 1 Bit oder 1 Zeichen), Abkürzung: Bd. |
| CWDM: | Coarse Wavelength Division Multiplex |
| dBm: | Pegel in Dezibel bezogen auf 1 mW |
| DFB: | Distributed Feedback Laser Diode |
| DWDM: | Dense Wavelength Division Multiplexing (Wellenlängenmultiplex mit hoher Dichte) |
| EDFA: | Erbium Doped Fibre Amplifier, Erbiumdotierte Faser-Verstärker |
| η: | Teil der Laserleistung, die durch eine festgelegte Messblende in einem Abstand z von der scheinbaren Quelle auftrifft in [%] |
| f: | Frequenz, [ Hz] |
| FIT: | Failure in Time, Fehler pro 109 Stunden (114.155 Jahre) |
| FP: | Fabry-Perot (Laserdiode) |
| Gf-HVT | Glasfaser-Hauptverteiler |
| GZS: | Grenzwert zugänglicher Strahlung, englisch AEL: accessible emission limit |
| HPCS: | Hard Polymer Clad Silica (Hartmantel Silica Faser) |
| IR | Infrarot |
| LAN: | Local Area Network (Lokales Übertragungsnetz) |
| LED: | Light Emitting Diode (Licht emittierende Diode, Leuchtdiode) |
| LSB: | Laserschutzbeauftragter |
| LWL: | Lichtwellenleiter |
| LWLKS: | Lichtwellenleiter-Kommunikationssystem |
| λ: | griechisches Lambda, Wellenlänge, [nm] |
| MFD: | Modenfeld-Durchmesser |
| MMF: | Multi-Mode Fibre (Mehrmoden-Faser) |
| MZB-Wert: | Maximal zulässiger Bestrahlungs-Wert auf der Hornhaut des Auges oder auf der Haut |
| NA: | Numerische Apertur |
| NOHD: | Nominal Ocular Hazard Distance (Laser-Sicherheitsabstand) |
| OFCS: | optical fibre communication system |
| OTDR: | Optical Time Domain Reflectometer (Rückstreumessgerät) |
| Φ: | Divergenz des austretenden Strahls |
| PCS: | Polymer Clad Silica (Plastikmanetl Silica Faser |
| PMMA-POF: | Polymethylmethacrylat-Plastic Optical Fibre |
| POF: | Plastic Optical Fibre (Polymeroptische Faser) |
| PONs: | Passive Optical Networks (Passives optisches Übertragungsnetz) |
| SDH: | Synchronous Digital Hierarchy Systems |
| SMF: | Singlemode fibre (Einmoden-Faser, Monomode-Faser) |
| SONET: | Synchronous optical network (transport systems) |
| VCSEL: | Vertical cavity surface emitting laser |
| WDM: | Wavelengthdivision multiplexing (Wellenlängenmultiplex) |
| Weitere Begriffe und Erläuterungen im Zusammenhang mit LWLKS | Anhang 2 |
Für die Zwecke dieser BG-Information gelten die Begriffe und Definitionen der Unfallverhütungsvorschrift "Laserstrahlung" (BGV B2 / GUV-V B2) und der BG-Information "Betrieb von Laser-Einrichtungen" (BGI 832 / GUV-I 832) genauso wie die nachfolgenden Definitionen.
A2.1 Automatische Leistungsverringerung (ALV; engl. APR)
Eine Einrichtung eines LWLKS, durch die z.B. bei einem Bruch des Lichtwellenleiters, die zugängliche Leistung innerhalb einer vorgegebenen Zeit (1 s bzw. 3 s) auf einen vorgegebenen Wert verringert wird.
Anmerkung:
Der in dieser Norm verwendete Begriff "automatische Leistungsverringerung" (ALV) umfasst die folgenden Begriffe, die in den Empfehlungen der Internationalen Fernmeldeunion verwendet werden:
- automatische Laserabschaltung (ALA);
- automatische Leistungsverringerung (ALV);
- automatische Energieabschaltung (AEA).
A2.2 Baugruppe
Jede einzelne Einheit, Untergruppe oder Modul eines LWLKS, das einen optischen Sender oder einen optischen Verstärker enthält.
A2.3 Betreibendes Unternehmen
Ein Unternehmer bzw. Einzelperson, die für den Betrieb eines LWLKS verantwortlich ist.
A.2.4 dBm
Logarithmisches Maß für optische Leistung.
P' in dBm = 10 * log(P/P0), mit P in mW und P0 = 1 mW (siehe Bild A2.1)
Bild A2.1: Grafische Darstellung der Umrechnung von dBm in mW
A2.5 Endnutzer oder Anwender
Die Person oder Organisation, die das LWLKS in der vorgesehenen Weise nutzt.
Anmerkung 1:
Normalerweise besitzt der Endbenutzer keine Möglichkeit, die in einem LWLKS erzeugte und übertragene Leistung zu beeinflussen.Anmerkung 2:
Falls eine Person oder Organisation das LWLKS anders nutzt als vom Hersteller entwickelt, dann übernimmt diese Person/ Organisation die Verantwortung eines Herstellers oder einer installierenden Organisation.
A2.6 Gauß'scher Strahl
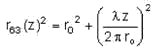
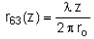
Die Abstrahlung einer Einmodenfaser ist in den meisten Fällen einem Gauß'schen Strahl ähnlich, der im folgenden Bild A2.2 dargestellt ist. Charakteristika des Gauß'schen Strahls sind die nahezu parallel verlaufende Strahltaille (Strahltaillenradius r0) und die nachfolgende Aufweitung zu einem Strahl mit konstanter Divergenz (Halbwinkel Φ).
Die Leistungsdichte E(z, r) im Strahl hat die Form einer Glockenkurve und wird in jeder Entfernung z durch folgende Gleichung beschrieben:
Bild A2.2: Gauß'schen Strahl im Querschnitt
Dabei ist z die Entfernung von der Strahltaille (auf der optischen Achse), r der radiale Abstand von der optischen Achse (im Abstand z), r63 der Strahlradius, an dem die Leistungsdichte E um 63 % (auf 37 %) vom Maximalwert E0(z) abgefallen ist (ebenfalls im Abstand z) und r0 der Strahlradius an der Strahltaille, ebenfalls definiert durch den Abfall um 63 %.
Anmerkung:
r63 ist gleichzeitig der Strahlradius, der die Fläche definiert, die 63 % die Gesamtleistung umschließt.
Beim Gauß'schen Strahl hängt der Strahlradius wie folgt von der Entfernung von der Strahltaille ab:
Für die hier in Frage kommenden Messabstände kann die Formel für den Strahlradius wie folgt vereinfacht werden:
Man beachte, dass die numerische Apertur generell auf der Basis der 5 %-Leistungsdichte definiert ist. Beim Gauß'schen Strahl ist der Zusammenhang zwischen dem 5 %-Radius und dem 63 %- Radius gegeben durch:
Außerdem ist noch wichtig, dass bei einem Gauß'schen Strahl die maximale Leistungsdichte (auf der optischen Achse, im Abstand z) aus der insgesamt abgestrahlten Leistung berechnet werden kann:
Anmerkung:
Den Strahltaillenradius r0 kann man aus dem Modenfeldradius (MFR) wie folgt berechnen:
Siehe auch -> Modenfeldradius.
A2.7 GZS
GZS (Grenzwertezugänglicher Strahlung, engl. AEL: accessible emission limit) sind Maximalwerte zugänglicher Strahlung, die innerhalb bestimmter Laserklassen zugelassen sind. Sie können je nach Laserklasse aus den Tabellen der DIN EN 60825-1 in Abhängigkeit von u.a. der Emissionsdauer und der Wellenlänge ermittelt werden und sind in Watt oder Joule angegeben. Anders als bei den MZB-Werten, die der situationsbezogenen Gefährdungsanalyse dienen, basiert die Ermittlung und die Messung dieser GZS auf einer Reihe von ungünstigen Randbedingungen (bzgl. Zeitbasis, Pupillenöffnung, Benutzung optischer Instrumente, minimaler Akkommodationsabstand), um die Gefährdung durch eine Laser-Klasse beschreiben zu können.
A2.8 Hersteller
Eine Organisation oder Einzelperson, die optische Geräte und andere Komponenten zusammenfügt, um ein LWLKS zu bauen oder zu verändern.
A2.9 Installierendes Unternehmen
Ein Unternehmen oder eine Einzelperson, die für die Installation eines LWLKS verantwortlich ist.
A2.10 Instand setzendes Unternehmen
Ein Unternehmen oder eine Person, die für die Instandsetzung eines LWLKS verantwortlich ist.
A2.11 LAN
Englisch: Local area network; Kommunikationsnetzwerk, bestehend aus Sendern, Verstärkern, Empfängern und Datenleitungen mit begrenzter Ausdehnung meist innerhalb eines Gebäudes oder eines Unternehmens.
Anmerkung:
Auch bei komplexen LAN-Systemen mit kurzer Reichweite (Größenordnung einige 100 m) wird meist nur mit (kostengünstigen) MM-LWLKS und infrarot-LED gearbeitet. Im Vergleich zu Lasern gleicher Mitten-Wellenlänge besitzen diese eine wesentlich größere spektrale Bandbreite - mit Ausläufern bis in den sichtbaren Spektralbereich. Aus geöffneten LWLKS-Steckverbindern ist dann unter Umständen ein schwaches rotes Leuchten wahrnehmbar, das zwar eine gewisse Aufmerksamkeit erregt, aber keinerlei Gefährdung darstellt.
A2.12 Laserbereich
Räumlicher Bereich, innerhalb dessen die maximal zulässige Bestrahlung (MZB) überschritten werden kann. Er wird auf Basis des Sicherheitsabstandes, und zwar auch unter Berücksichtigung, dass ein LWLKS-Ende unter Umständen bewegt werden kann, und der Nutzungsumstände festgelegt.
Der Laserbereich eines geraden, glatt geschliffenen LWLKS-Endes, das in den freien Raum strahlt, wird im Rahmen dieser BGI als Gefährdungsbereich bezeichnet.
A2.13 Lichtwellenleiter
Der Begriff Lichtwellenleiter ist in der DIN 47002 und VDE 0888-2 genormt und definiert einen Leiter, in dem moduliertes Licht übertragen wird. Der Lichtwellenleiter kann aus Glasfaser oder Kunststoff bestehen.
A2.14 Lichtwellenleiter-Kommunikationssystem (LWLKS)
Ein fertig konstruiertes, durchgehendes System zur Erzeugung, Übertragung und zum Empfang von optischer Strahlung aus Lasern, LED oder optischen Verstärkern, in der die Übertragung durch Lichtwellenleiter für Kommunikations- oder Steuerungszwecke geschieht.
A2.15 Modenfeldradius und Modenfelddurchmesser
Für Sicherheitsbetrachtungen darf man bei Einmodenfasern davon ausgehen, dass die Abstrahlung am Faserende einem Gauß'schen Strahl sehr ähnlich ist. Das Faserende entspricht der Strahltaille des Gauß'schen Strahls. Der Strahlquerschnitt an dieser Stelle wird üblicherweise durch den Modenfeldradius MFR charakterisiert, wobei der Modenfelddurchmesser MFD gleich 2 x MFR ist. Der Modenfeldradius wird üblicherweise dadurch definiert, dass beim Radius r = MFR die Leistungsdichte auf 1/e2 vom Maximum abgefallen ist.
Eine Definition des Modenfelddurchmessers, die die Annahme einer Gaußverteilung nicht benötigt, ist in ITU-T G.650.2 angegeben.
A2.16 MZB-Werte
MZB-Werte sind diemaximalzulässigen Bestrahlungswerte für die Hornhaut des Auges oder für die Haut. Sie sind Grenzwerte für eine ungefährliche Bestrahlung.
In der Unfallverhütungsvorschrift "Laserstrahlung" (BGV B2 / GUV-V B2) und der BG-Information "Betrieb von Laser-Einrichtungen" (BGI 832 / GUV-I 832) werden die Verfahren zur Ermittlung der MZB-Werte in Abhängigkeit unter anderem von der Einwirkungsdauer und von der Wellenlänge λ beschrieben. MZB-Werte werden als Bestrahlungsstärke in W/m2 oder als Energie pro Fläche, d.h. Bestrahlung, in J/m2 angegeben. Die MZB-Werte sind Grundlage für arbeitsplatzbezogene Gefährdungsbeurteilungen sowie für die Festlegung von Laserbereichen.
A2.17 Numerische Apertur (NA)
Nach dem Brechungsgesetz ergibt sich an der Stirnfläche und dem Grenzwinkel der Totalreflexion in der Faser ein maximaler Einstrahlwinkel Φmax, bei dem die Lichtstrahlen im Kern geführt werden können. Dieser Winkel wird als Akzeptanzwinkel θ bezeichnet.
Bild A2.3: Ausbreitung von Lichtstrahlen durch Totalreflexion in einer Lichtwellenleiter
Unter der numerischen Apertur Na versteht man den Sinus des maximalen Akzeptanzwinkels θ. Je größer die NA, desto mehr Leistung kann in einen Lichtwellenleiter eingekoppelt werden. Für MM-Stufenindexfasern gilt:
wobei:
| nK | = Brechzahl des Lichtwellenleiterkerns (bei Gradientenfasern die Brechzahl in der Mitte des Lichtwellenleiterkerns) |
| nM | = Brechzahl des Lichtwellenleitermantels |
| n0 | = Brechzahl der Luft (außerhalb der Faser) |
| θmax | = maximaler Akzeptanzwinkel Φmax |
Typische Werte liegen im Bereich von 0,1 bis 0,5.
Für diese BG-Information wichtiger als der Akzeptanzwinkel eines Lichtwellenleiters ist der maximale Austrittswinkel der Strahlung. Dieser ist theoretisch gleich dem eingangsseitigen Akzeptanzwinkel. Ausgangsseitig ist die Na definiert als der Sinus des halben Winkels, bei dem bei voller eingangsseitiger Anregung und relativ kurzer Faserlänge die Leistungsdichte der Abstrahlung auf 5 % des Maximums abgefallen ist.
Ein Sonderfall ist die Einmodenfaser, bei der die Abstrahlung durch die Beugung am Faseraustritt dominiert wird. In guter Näherung entsteht ein Gauß'scher Strahl.
Die numerische Apertur von Einmodenfasern, d.h. der Sinus des 5 % Winkels der Abstrahlung, ergibt sich aus dem Modenfeldradius (MFR) mittels:
Bei Einmodenfasern kann man die maximale Leistungsdichte (auf der Strahlachse) wie folgt aus der insgesamt abgestrahlten Leistung P berechnen:
Dabei ist z der Abstand vom Faserende (auf der Strahlachse gemessen). Bei der Standard Einmodenfaser (nach ITU-T G.652) gilt Na = 0,1 als typischer Wert.
A2.18 Polymer Optical Fibre (POF)
Die optische Polymerfaser ist eine reine Plastikfaser, die aus einem transparenten Kern und einem Mantel besteht, der einen geringeren Brechungsindex aufweist als das Kernmaterial. Als Kernmaterial werden Polymere wie Polymethylmethacrylat (PMMA) oder Polycarbonat eingesetzt. Gegenüber der Glaserfaser hat die POF wesentlich höhere Dämpfungswerte. Die Polymerfaser arbeitet mit sichtbarem Licht bei Wellenlängen von 520 nm (grün), 560 nm (gelb) und 650 nm (rot), wobei meistens das optische Fenster bei der obersten Wellenlänge benutzt wird.
A2.19 Sicherheitsabstand (NOHD)
Der Sicherheitsabstand (NOHD - nominal ocular hazard distance) ist die Entfernung, in der die Bestrahlungsstärke oder die Bestrahlung gleich dem MZB-Wert für die Hornhaut des Auges ist.
Wird die Betrachtung mit optisch sammelnden Instrumenten mitberücksichtigt, so wird von einem "erweiterten Sicherheitsabstand" gesprochen.
Anmerkung:
Der Sicherheitsabstand ist die maximale Ausdehnung des Laserbereiches und des Gefährdungsbereiches.
A2.20 Standort
Bei der Übersetzung des englischen Originals "location" wurde in der deutschen Norm der Begriff "Standort" gewählt. Dies und die folgenden Beispiele legen nahe, dass mit den einzelnen Standorttypen lediglich unterschiedlich zugängliche (begehbare) Räume gemeint sein könnten. Dies ist nicht der Fall.
Der Typ eines Standorts wird ausschließlich durch den Grad der lokal realisierten technischen und organisatorischen Maßnahmen oder vorgefundenen Gegebenheiten bestimmt. Die Zugänglichkeit ist entsprechend den drei Kategorien, wie sie in den Abschnitten 4.3 bis 4.5 definiert sind, festzulegen.
Im Einzelfall kann sich also der Standorttyp z.B. auch innerhalb eines Raumes oder auch eines Systemschranks ändern. Im Folgenden sind Beispiele für diese Standorttypen aufgeführt (siehe Abschnitte 20.1 bis 20.3).
A2.20.1 Standorte mit kontrolliertem Zugang (Beispiele)
Typische Standorte mit kontrolliertem Zugang sind:
Anmerkung:
Wo der Zugang zu Kabelkanälen und Kabelverzweigergehäuse auf Straßen bei Instandsetzungsarbeiten dazu führen könnte, dass die Öffentlichkeit einer Strahlung oberhalb der Grenzwerte zugänglicher Strahlung der Klasse 1 ausgesetzt wird, müssen geeignete Einhausungen (z.B. Baracke, Bauzelt) bereitgestellt werden.
A2.20.2 Standorte mit eingeschränktem Zugang (Beispiele)
Typische Standorte mit eingeschränktem Zugang sind:
A2.20.3 Standorte mit uneingeschränktem Zugang (Beispiele)
Typische Standorte mit uneingeschränktem Zugang sind:
Privatgelände (uneingeschränkter Zugang durch Laien möglich),
Lichtwellenleiternetze können sowohl durch öffentlich zugängliche Bereiche führen (zum Beispiel durch Wohnungen), durch Bereiche mit eingeschränktem Zugang innerhalb von Industriegeländen, als auch durch kontrollierte Bereiche wie Kabelkanäle und Kabelverzweigergehäuse auf Straßen.
A2.21 Vernünftigerweise vorhersehbares Ereignis
Ein Ereignis, dessen Auftreten unter bestimmten Voraussetzungen ziemlich sicher vorhergesagt werden kann und dessen Eintrittswahrscheinlichkeit nicht klein ist.
Anmerkung:
Beispiele für vernünftigerweise vorhersehbare Ereignisse könnten sein:
Bruch des Lichtwellenleiters, Öffnen des Steckverbinders, Irrtum oder Nichtbeachten der Sicherheitsrichtlinien durch den Betreiber.
Rücksichtsloser Umgang oder Verwendung für völlig ungeeignete Zwecke gehören nicht zu den vernünftigerweise vorhersehbaren Ereignissen.
A2.22 Zugängliche Stelle
Jeder Teil oder Bereich eines LWLKS, zu dem unter vernünftigerweise vorhersehbaren Umständen Zugang zu Laserstrahlung ohne Benutzung eines Werkzeugs möglich ist.
| Beispiele für Lichtwellenleiter-Kommunikationssysteme und deren Sendeelemente in verschiedenen Wellenlängenbereichen | Anhang 3 |
A3.1 Wellenlängenbereiche
520 nm bis 670 nm:
Sendeelemente für Polymeroptische Fasern sind hauptsächlich LEDs im sichtbaren Wellenlängenbereich, da die kleinsten Dämpfungen bei 520 nm (grün), 560 nm (gelb) und 650 nm (rot) erreicht werden. Meistens wird das optische Fenster im roten Wellenlängenbereich benutzt.
Beispiele für Systeme mit POF in der Datenkommunikation sind:
Die hier verwendeten Sender fallen meistens in die Laserklasse 1, 2 oder 2M.
770 nm bis 910 nm:
In diesem Wellenlängenbereich wird üblicherweise auf Multimode-Fasern übertragen. Die verwendeten Laser sind meist mehrmodige Laser vom Typ VCSEL (vertical cavity surface emitting laser) oder FP (Fabry-Perot). Es können auch LEDs zum Einsatz kommen.
Beispiele für Übertragungsprotokolle und Datenraten sind:
Ethernet bei 1,25 GBaud,
Fibre Channel bei 1,06 GBaud,
FDDI bei 125 MBaud.
980 nm:
Pumplaser für optische Faserverstärker (EDFA, Erbium doped fibre amplifier) oder Faser-Laser emittieren bei 980 nm im Gleichlichtbetrieb. Diese werden nur im Zusammenhang mit einer Datenübertragung bei 1550 nm verwendet.
Pumplaser bei 980 nm emittieren meistens Leistungen, die in die Laserklasse 3B fallen.
1260 nm bis 1380 nm:
In diesem Wellenlängenbereich gibt es sowohl Systeme auf Mulitmode-Fasern als auch auf Einmoden-Fasern. Es kommen sowohl mehrmodige Laser (FP-Laser) als auch einmodige Laser (DFB-Laser, distributed feedback laser) als Sender zum Einsatz.
Beispiele für Übertragungssysteme für kurze Strecken sind:
Die Sender für diese Übertragungssysteme fallen meistens in Laserklasse 1 oder 1 M.
1440 nm bis 1530 nm (S-Band):
Pumplaser für Raman-Verstärker werden im Bereich von 1440 nm bis 1510 nm eingesetzt. Diese fallen meist in die Laserklasse 3B oder 4.
Optische Überwachungskanäle, die bei einer Wellenlänge unterhalb des Übertragungsbereichs von 1550 nm Systemen liegen, fallen ebenfalls in diesen Wellenlängenbereich. Die verwendeten Sender werden im Allgemeinen mit einer Leistung der Laserklasse 1 M betrieben.
CWDM-Systeme (coarse wavelength division multiplex) mit bis zu 16 Wellenlängen im Abstand von 20 nm reichen vom üblichen Wellenlängenbereich um 1550 nm bis in dieses Wellenlängenfenster hinein. Die Sender für CWDM-Systeme fallen einzeln meist in die Laserklasse 1, aber alle Kanäle zusammen können in die Laserklasse 1 M fallen.
1480 nm:
Eine zweite Variante von Pumplasern für optische Faserverstärker (EDFA) liegt bei einer Wellenlänge von 1480 nm. Diese werden ebenso wie die Pumplaser bei 980 nm nur im Zusammenhang mit einer Datenübertragung bei 1550 nm verwendet. Diese Pumplaser fallen meist in die Laserklasse 3B.
1530 nm bis 1565 nm (C-Band):
Im Wellenlängenbereich um 1550 nm wird nur auf Einmoden-Fasern übertragen. Es kommen einmodige Laser (DFB-Laser) oder extern modulierte Laser (EML: elektroabsorption modulated laser, MZM: Mach-Zehnder-Modulator) zum Einsatz für hochbitratige Übertragungssysteme und lange Strecken.
Bei den Systemen kann man zwischen Ein-Kanal-Systemen und Wellenlängen-Multiplex-Systemen (WDM-Systeme: CWDM, DWDM) unterscheiden. Für lange Strecken (mehr als 100 km) werden optische Verstärker eingesetzt, so dass hier Leistungen in der Faser auftreten können, die in die Laserklasse 3B oder 4 fallen.
Beispiele für Datenübertragungssysteme über lange Strecken sind:
1565 nm bis 1625 nm (L-Band):
Im Bereich von 1565 nm bis 1625 nm arbeiten Wellenlängen-Multiplex-Systeme (WDM-Systeme) für sehr lange Strecken (mehrere hundert Kilometer), die optische Verstärker verwenden. Es kommen sowohl EDFA-Verstärker als auch Raman-Verstärker zum Einsatz. Wie auch bei Systemen, die im so genannten "C-Band" arbeiten, treten hier Leistungen in der Faser auf, die in Laserklasse 3B oder 4 fallen. Es können auch beide Arten optischer Verstärker in derselben Übertragungsstrecke vorkommen. Die höchsten Leistungen werden derzeit mit Raman-Verstärkern erzielt.
A3.2 Optische Verstärker
A3.2.1 EDFA-Verstärker (Erbium doped fibre amplifier)
Ein EDFA-Verstärker ist eine Komponente zur Verstärkung von Lichtsignalen. Das Kernelement des Verstärkers ist eine mit dem Element Erbium dotierte Glasfaser, die sich wie ein Laser verhält. Sie wird durch Pumplicht bei 980 nm oder 1480 nm angeregt und verstärkt dann Signale im 1550 nm Band. EDFAs sind breitbandige optische Verstärker, die im Wellenlängenbereich von 1530 nm bis 1565 nm oder 1565 nm bis 1625 nm arbeiten. Sie finden weite Verbreitung in WDM-Systemen, werden aber auch eingesetzt um in einem Ein-Kanal-Systemen die zu überbrückende Lichtwellenleiterstreckenlänge zu vergrößern.
Bei einem kompletten EDFA-Verstärker ist die Pumpwellenlänge normalerweise nicht zugänglich, sondern am Ausgang nur die im Bereich um 1550 nm oder 1600 nm verstärkte Signalleistung, die am Eingang eingespeist wurde. Diese verstärkte Signalleistung fällt meist in die Laserklasse 1 M oder 3B.
A3.2.2 Raman-Verstärker
Ein Raman-Verstärker ist ein optischer Verstärker, der den so genannten Raman-Effekt ausnutzt, einen nichtlinearen Effekt in optischen Glasfasern. Es wird Pumplicht mit sehr hoher Leistung (bis zu 1,5 W) in die Faser eingekoppelt und damit das optische Signal bei einer Wellenlänge, die etwa 100 nm oberhalb des Pumplichtes liegt, verstärkt. Raman-Verstärker arbeiten sowohl im "C-Band" als auch im "L-Band". Einen breitbandigen Verstärker erzielt man, indem man Pumpquellen bei verschiedenen Wellenlängen unterhalb des Signalbandes überlagert.
Typischerweise wird als Verstärkungsmedium die Übertragungsfaser verwendet, sodass ein verteilter Raman-Verstärker entsteht. Benutzt man eine eigene Faserspule für die Raman-Verstärkung im Endgerät oder Regenerator, erhält man einen "konzentrierten" Raman-Verstärker.
Die Ausgangsleistung eines Raman-Verstärkers und auch die verstärkte Signalleistung fallen meist in die Laserklasse 3B oder 4.
A3.3 Lichtwellenleiter
Lichtwellenleiter (LWL) sind meistens Glasfasern (außer POF) und ähnlich wie Koaxialkabel aufgebaut. Die Glasfaser besteht aus einem Kern und einem Mantel mit anderen optischen Eigenschaften (einem kleineren Brechungsindex im Mantel), vgl. auch Anhang 1, numerische Apertur. Die in den Lichtwellenleiter eingekoppelten Lichtstrahlen werden beim Auftreffen auf die Grenzschicht zwischen Kern und Mantel in den Kern total reflektiert. Bei stumpferen Auftreffwinkeln auf die Grenzschicht kann es auch zu einer Brechung des Strahls in den Mantel hinein kommen. Dies ist z.B. bei sehr kleinen Biegeradien der Faser der Fall und führt zu höheren Transportverlusten (Dämpfung) bis hin zum Strahlaustritt.
Bild A3.1: Lichtstrahlführung in einem Lichtwellenleiter
Die Glasfaser wird von einer Primärbeschichtung umgeben, die zum Schutz vor mechanischen und optischen Einflüssen dient und meist aus einem Kunststoffmaterial besteht. Insbesondere für die Verlegung als Kabel werden die Lichtwellenleiter mit weiteren Schutzhüllen umgeben, von denen jede eine spezielle Funktion ausübt.
Bild A3.2: Aufbau eines Glasfaserkabels
Die übertragbaren Bandbreiten und überbrückbaren Streckenlängen werden wesentlich durch die Dämpfung und die Dispersion des Lichtwellenleiters mitbestimmt. Ursache für die Dämpfung sind vorwiegend Streuung, Absorption im LWL und Verluste in Steck- und Spleißverbindungen. Die Dämpfung ist vom Fasertyp und von der Wellenlänge abhängig und wird in Dezibel [dB] angegeben: Eine Dämpfung von 3 dB entspricht einer Halbierung der Lichtleistung.
Die chromatische Dispersion ist eine Eigenschaft des Lichtwellenleiters, die zu einer Laufzeitstreuung führt. Sie entsteht dadurch, dass die Sendeelemente eine endliche spektrale Bandbreite aufweisen und die Brechzahl des Lichtwellenleiters wellenlängenabhängig ist. Dieser Effekt führt zu einer Pulsverbreiterung, die die Bandbreite und die Bitrate der Übertragung je nach Fasertyp begrenzt.
A3.3.1 Einmoden-Faser (Singlemode fibre, SMF)
Einmoden-Fasern haben einen sehr kleinen Kerndurchmesser (im Bereich von 10 µm), der bewirkt, dass nur eine Mode (der Grundmode) geführt wird. Es gibt verschiedene typen von Einmoden-Fasern, die sich in ihren Eigenschaften bzgl. der Dispersion unterscheiden. Einmoden-Fasern haben typischerweise eine Dämpfung von 0,5 dB/km bei 1310 nm bzw. 0,3 dB/km bei 1550 nm.
Bild A3.3: Brechzahlprofil der Einmoden-Faser
A3.3.2 Mehrmoden-Faser (Multimode fibre, MMF)
In Mehrmoden-Fasern sind mehrere Moden ausbreitungsfähig, was zu einer Modendispersion mit entsprechender Pulsverbreiterung und damit zu einer Bandbreitenbegrenzung führt.
A3.3.2.1 Gradientenindex-Faser
Die Gradientenindex-Faser (siehe auch ITU-T G.651) hat einen gradientenförmigen Verlauf des Kern-Brechungsindex, wodurch Laufzeitunterschiede der einzelnen Moden weitgehend kompensiert werden. Verglichen mit der Einmoden-Faser ist die Bandbreite jedoch geringer und die Dämpfung höher. Der Kerndurchmesser beträgt 50 µm oder 62,5 µm. Die Dämpfung liegt typischerweise bei 3,5 dB/km bei 850 nm und 0,6 dB/km bei 1300 nm.
Bild A3.4: Brechzahlprofil der Gradientenindex-Faser
A3.3.2.2 Stufenindex-Faser
Die Stufenindex-Faser hat ein stufenförmiges Brechzahl-Profil. Der Kerndurchmesser ist wesentlich größer als bei der Einmoden-Faser (im Bereich von 50 µm bis 200 µm). Die Übertragung wird begrenzt durch die hohe Dispersion (geringe Basisbandbreite und Bitrate) und hohe Dämpfung auf kurzen Strecken. Die Stufenindex-Faser hat eine Dämpfung von 5 bis 12 dB/km bei 850 nm.
Bild A3.5: Brechzahlprofil der Stufenindex-Faser
A3.3.3 Polymer-Optische Faser (POF)
Ein Kern aus PMMa (Polymethylmethacrylat) mit einem Durchmesser von 1 mm ist von einem dünnen Mantel (10 µm) aus floriertem Polymer umgeben. Durch Totalreflexion wird das Licht im Kern geführt. Die POF ist eine Mehrmoden-Faser, die mit verschiedenen Brechzahlprofilen hergestellt wird (Stufenindex-Profil, Doppel-Stufenindex-Profil, Multi-Stufenindex-Profil, Multi-Kern-Profil, Gradienten Index-Profil). Wie bei anderen Mehrmoden-Fasern auch kommt es durch die Modendispersion (unterschiedliche Laufzeit verschiedener Lichtstrahlen) zu einer Pulsverbreiterung, so dass die möglichen Bitraten auf etwa 100 Mbit/s über 100 m beschränkt sind. Gegenüber der Glasfaser hat die POF wesentlich höhere Dämpfungswerte.
Bild A3.6: Brechzahl der Polymer-Optischen-Faser (Quelle: POF-AC)
Bei den polymeren optischen Fasern gibt es neben den rein polymeren Fasern hybride Fasern, die eine Kombination aus Glasfaser und Plastikummantelung enthalten, wie die Plastic Cladding Silica Fibre (PCF).
Polymerfasern werden für Kurzstreckenübertragungen z.B. in Kraftfahrzeugen und Flugzeugen, der Unterhaltungselektronik, auf Rechnerplatinen oder in Gebäudenetzen eingesetzt.
Bild A3.7: Dämpfungsverlauf der Polymer-Optischen-Faser (Quelle: POF-AC)
A3.3.4 Verbindung von Lichtwellenleitern
Lichtwellenleiter können mittels lösbarer Steckverbindungen (siehe Tabelle A3.1) oder dauerhaft durch Spleiße miteinander verbunden werden. Spleiße werden bevorzugt beim Aufbau von LWLKS-Netzen verwendet, Steckverbindungen kommen beim Anschluss so genannter Leitungsendgeräte (optische Sender/Empfänger) und Zwischenregeneratoren zum Einsatz. Zwischenregeneratoren regenerieren die optischen Signale auf längeren Übertragungsstrecken.
A3.3.4.1 Optische Steckverbinder
Bei einer optischen Steckverbindung kommt es darauf an, dass die Steckerstirnflächen senkrecht zur Faserachse verlaufen und sauber sind, damit die Steckerstirnflächen beim Verbinden ohne störenden Luftspalt aufeinander gepresst werden können. Daneben ist für eine verlustarme Verbindung eine exakte Justierung der beiden Faserkerne erforderlich, was mit Hilfe einer Präzisionshülse im Steckeradapter geschieht. Optische Steckverbinder sind empfindlich gegenüber äußeren Einflüssen, wie Verschmutzung oder mechanischer Belastung. Die Dämpfung einer Steckverbindung beträgt typischerweise 0,5 dB.
Eine Verschmutzung der Steckerstirnfläche kann bei hoher Laserleistung dazu führen, dass die Glasfaser zerstört wird. Der Staub wird durch die hohe Leistung verdampft, wobei eine so hohe Temperatur entsteht, dass auch die Glasfaser an der Stirnfläche schmilzt.
In der folgenden Tabelle sind einige Beispiele für optische Steckverbinder und die zugehörigen Kupplungen (Adapter) aufgeführt:
Tabelle A3.1: Beispiele für optische Steckverbinder und Kupplungen
A3.3.4.2 Spleißverbindung
Ein Spleiß ist eine nicht lösbare Verbindung zwischen zwei Lichtwellenleitern, die sich durch geringste Dämpfungswerte auszeichnet. Spleißverbindungen können mechanisch (z.B. in einer V-Nut oder in einem eng tolerierten Röhrchen, Crimp-Spleiß), durch Kleben oder durch Schmelzen mittels eines Lichtbogens (Fusions-Spleiß) hergestellt werden. Ziel ist es dabei, die Stirnflächen beider Faserkerne möglichst präzise und dauerhaft voreinander zu fixieren.
Generell werden bei der Schmelz-Spleißtechnik (Fusions-Spleiß) zwei Faserenden mittels eines Lichtbogens miteinander verschweißt. Bevor ein Spleiß ausgeführt werden kann, muss die Beschichtung, die aus Primär- und Sekundärbeschichtung besteht, vom Lichtwellenleiter entfernt werden. Anschließend werden die Faserenden planparallel geschnitten und für den Spleiß axial justiert. Das eigentliche Verschmelzen der beiden Fasern erfolgt durch einen Lichtbogen, der zwischen zwei Elektroden erzeugt wird. Der Fusions-Spleiß zeichnet sich durch niedrige Dämpfungswerte von 0,05 dB (SMF) bzw. 0,1 dB (MMF) aus und hat eine hohe Langzeitstabilität.
A3.3.4.3 Steckbuchsen, "Receptacles"
Neuere optische Sende- und Empfangsbauteile (Transceiver) sind in einem Gehäuse mit Steckbuchsen ("receptacle") integriert, sodass diese Bauteile keine Glasfasern mit Stecker mehr als Anschluss enthalten. Stattdessen werden die Verbindungskabel des LWLKS zur bzw. von der Übertragungsstrecke oder zum bzw. vom Lichtwellenleiterverteiler direkt in die Steckbuchsen des sog. Transceivers gesteckt. Diese kann man sich wie ein halbe Stecker-Kupplung vorstellen.
Die Dämpfung vom Sender zur Glasfaser oder von der Glasfaser zum Empfänger kann dabei höher sein als bei einer Steckverbindung mit zwei optischen Steckern und einer Kupplung, da oft der freie Strahl aus dem Sender in den Stecker der Glasfaser eingekoppelt wird.
Bild A3.8: Fusions-Spleißgerät von Sicor
Bild A3.9: Vorrichtung zur Herstellung eines mechanischen Spleißes
| Biologische Wirkungen von Laserstrahlung aus LWLKS | Anhang 4 |
Die Wirkungen der Laserstrahlung auf den Menschen werden in primäre (unmittelbare, direkte) und sekundäre (mittelbare, indirekte) Wirkungen unterschieden.
Eine primäre Wirkung tritt ein, wenn ein Laserstrahl direkt, gespiegelt oder bei hohen Leistungsdichten auch gestreut auf menschliches Gewebe trifft. Die Wirkung ist sowohl abhängig
als auch
Dies kann zu starken Temperaturerhöhungen, die mit Gewebe-Koagulationen (biochemische Umwandlung von Körpereiweißen) bis hin zum Auftreten von Mikroplasmen verbunden sind, führen. In Tabelle A4.1 werden die Wirkungen bei den unterschiedlichen Wellenlängenbereichen grob dargestellt. In der Telekommunikation wird hauptsächlich der Bereich zwischen 700 und 1650 nm genutzt.
Dabei tritt der Strahl in der Haut allenfalls wenige Millimeter tief in das Gewebe ein und wird gut absorbiert.
Das Auge ist gegenüber der Strahlung besonders empfindlich, da es optische Strahlung im Wellenlängenbereich von 400 nm bis 1400 nm auf die Netzhaut fokussieren kann.
Durch die Augenlinse kann parallel einfallende Strahlung auf der Netzhaut zu einem Brennpunkt mit einem Durchmesser von etwa 10 µm gebündelt werden. Dadurch kann die vorhandene Bestrahlungsstärke bis auf das 500.000fache vergrößert werden. Bei unsichtbarer Infrarotstrahlung (λ > 700 nm) werden keinerlei optische Warnreize wahrgenommen, und beim Erkennen einer Gefährdung kann es bereits zu spät sein.
Unter einer sekundären Gefährdung wird das Gefahrenpotential verstanden, das erst durch Einwirkung des Laserstrahls entsteht, wenn beispielsweise ein Laserstrahl zur Zündquelle für explosionsfähige Atmosphären oder brennbare Stoffe wird oder durch die entstehenden hohen Temperaturen toxische Stoffe freigesetzt werden.
Tabelle A4.1: Wirkungen der Laserstrahlung auf Augen und Haut sowie typische Laser
| Beispiele von zulässigen Leistungen | Anhang 5 |
Vereinfachte Angabe von zulässigen Leistungen.
Eine begrenzte Zahl von Lichtwellenleitern und Übertragungswellenlängen sind in Tabelle A5.1 angegeben (siehe auch DIN EN 60825-2). Die dort angegebenen Grenzwerte basieren auf der Annahme des ungünstigsten Falls und gelten jeweils für einen einzelnen LWL. Bei Faserbändchen oder Multifasersteckverbindern müssen sich mehrere Fasern den angegebenen Grenzwert "teilen", entsprechend geringer ist die zulässige Strahlungsleistung in der einzelnen Faser.
Maximale Ausgangsleistung während der Abschaltung
Tabelle A5.1 zeigt die maximalen Ausgangsleistungen (in mW) während der Abschaltzeit für LWLKS mit Einmodenfasern, die auf die Grenzen eines niedrigeren Gefährdungsgrads in 1 s an uneingeschränkten Standorten und in 3 s an eingeschränkten und kontrollierten Standorten abschalten. Entsprechend dem niedrigeren Gefährdungsgrad sollten die Konstruktionsanforderungen nach Anhang B der DIN EN 60825-2, umgesetzt werden.
Die Gleichung, aus der die Tabellenwerte der maximalen Ausgangsleistungen abgeleitet wurden, wurde aus der Bedingung berechnet, dass die MZB-Werte während der Abschaltung eingehalten werden müssen und lautet:
| MFD | Modenfeld-Durchmesser bei 1/e2 Bestrahlungsstärke (m); |
| P | gesamte Leistung in der Faser (W); |
| d | Durchmesser der Messblende (m); |
| MZB | maximal zulässige Bestrahlung (Jm-2); |
| zmess | vorgeschriebener Messabstand; |
| t | Abschaltdauer (s); |
| λ | Wellenlänge (m). |
Für die hier in Betracht kommenden Abstände darf man davon ausgehen, dass die Leistungsdichte über der Blende nahezu konstant ist. Unter dieser Voraussetzung kann die obige Formel vereinfacht werden zu:
wobei außerdem der Modenfelddurchmesser durch die numerische Apertur Na ersetzt wurde.
Tabelle A5.1: Der Leistungsgrenzwerte für 11-µm-Einmodenfasern (SM) und Mehrmodenfasern (MM) mit numerischer Apertur von 0,18 (Kerndurchmesser < 150 µm) gemäß DIN EN 60825-2
| Wellenlänge und Fasertyp | Gefährdungsgrad | |||||
| 1 | 1M | 2 | 2M | 3R | 3B | |
| 633 nm (MM) | 0,39 mW (-4,1 dBm) |
3,9 mW (+5,9 dBm) |
1 mW (0 dBm) |
10 mW (+10 dBm) |
- | 500 mW (+27 dBm) |
| 780 nm (MM) | 0,57 mW (-2,5 dBm) |
5,6 mW (+7,5 dBm) |
- | - | siehe Anmerkung | 500 mW (+27 dBm) |
| 850 nm (MM) | 0,78 mW (-1,1 dBm) |
7,8 mW (+8,9 dBm) |
- | - | siehe Anmerkung | 500 mW (+27 dBm) |
| 980 nm (MM) | 1,42 mW (+1,53 dBm) |
14,1 mW (+11,5 dBm) |
- | - | siehe Anmerkung | 500 mW (+27 dBm) |
| 980 nm (SM) | 1,42 mW (+1,53 dBm) |
2,66 mW (+4,2 dBm) |
- | - | 7,26 mW (+8,6 dBm) |
500 mW (+27 dBm) |
| 1310 nm (MM) | 15,6 mW (+12 dBm) |
156 mW (+21,9 dBm) |
- | - | siehe Anmerkung | 500 mW (+27 dBm) |
| 1310 nm (SM) | 15,6 mW (+12 dBm) |
42,8 mW (+16,3 dBm) |
- | - | 88 mW (+19 dBm) |
500 mW (+27 dBm) |
| 1400 bis 1600 nm (MM) | 10 mW (+10 dBm) |
384 mW (+25,8 dBm) |
- | - | siehe Anmerkung |
500 mW (+27 dBm) |
| 1420 nm (SM) | 10 mW (+10 dBm) |
115 mW (+20,6 dBm) |
- | - | siehe Anmerkung |
500 mW (+27 dBm) |
| 1500 nm (SM) | 10 mW (+10 dBm) |
136 mW (+21,3 dBm) |
- | - | siehe Anmerkung |
500 mW (+27 dBm) |
ANMERKUNG 1 Gefährdungsgrade 1M und 2M
Die maximale Leistung, die in der Tabelle für 11-µm-Einmodenfasern aufgeführt ist, ist durch die Bestrahlungsstärke begrenzt. Der genaue Leistungsgrenzwert für Glasfasern wird deshalb durch die kleinste zu erwartende Strahldivergenz bestimmt, die wiederum vom Modenfelddurchmesser (MFD) der Einmodenfaser abhängig ist. Dies kann sich bei unterschiedlichen Werten des MFD ändern und zu bedeutenden Unterschieden bei den Grenzwerten der Klassen bei sich änderndem Modenfelddurchmesser führen. In manchen Hochleistungs-Steckverbindern werden vergrößerte MFD verwendet, wobei die Fernfeld-Divergenz geringer ist. Diese Steckverbinder können einen höheren Gefährdungsgrad zur Folge haben. Bei Benutzung solcher Steckverbinder wird die Bestimmung des Gefährdungsgrads dringend empfohlen.
ANMERKUNG 2 1300-nm-Werte
Die 1310-nm-Werte sind für 1270 nm berechnet, dies ist die kürzeste Wellenlänge im 1310 nm-Übertragungsfenster.
ANMERKUNG 3 Faserparameter
Die verwendeten Faserparameter decken den jeweils schlimmsten Fall ab. Die Werte für die Einmodenfaser sind für eine Faser mit 11 µm Modenfelddurchmesser berechnet und die Werte für die Mehrmodenfaser für eine Faser mit einer numerischen Apertur von 0,18. Viele Systeme, die bei 980 nm und 1550 nm arbeiten, benutzen Fasern mit kleinerem Modenfelddurchmesser. Zum Beispiel gilt ein Grenzwert von 197 mW für den Gefährdungsgrad 1 M, wenn eine dispersionsverschobene Glasfaserkabel bei 1550 nm betrieben wird, die einen oberen Grenzwert für den Modenfelddurchmesser von 9,1 µm aufweist. Für andere Werte des Modenfelddurchmessers und der Wellenlänge benutzen Sie bitte die IEC 60825-1, Beispiel A.6.3 (siehe DIN EN 60825-2:2004).
ANMERKUNG 4 Grenzwerte für den Gefährdungsgrad 1M für < 1310 nm
Für 900 nm und kürzere Wellenlängen und Einmodenfasern werden hier keine Grenzwerte für den Gefährdungsgrad 1 M angegeben, weil die bei diesen Wellenlängen auftretende Divergenz ziemlich variiert. Der Grund dafür ist, dass sich diese Wellenlängen in Wirklichkeit in mehreren Moden in einer Standard-1310-nm Einmodenfaser ausbreiten und die genau Divergenz vom eher unvorhersehbaren Grad der Modenmischung abhängig ist. Die veränderliche Modenmischung ist ebenfalls ein großes Problem, wenn man versucht, diese Wellenlängen in einer echten Mehrmodenfaser zu bewerten. Wenn notwendig, kann man in diesen Fällen einen Wert mit der Annahme berechnen, dass die gesamte Leistung in der Faser im Grundmodus geführt wird. Mit den Gleichungen für Einmodenfasern erhält man einen konservativen Wert.
ANMERKUNG 5 Mehrmodenfasern mit Kerndurchmessern von mehr als 150 µm
Diese Lichtwellenleiter (z.B. Hartmanntel-Silicafasern (HCS) mit 200 µm Kerndurchmesser oder Plastikfasern mit 1000 µm Kerndurchmesser) müssen als mittelgroße ausgedehnte Quellen angesehen werden. Die anwendbare Quellengröße kann vom Grad der Modenfüllung abhängen und sollte genau bestimmt werden, bevor man die Grenzwerte berechnet.
ANMERKUNG 6 Grenzwerte für den Gefährdungsgrad 2
Man kann zeigen, dass für scheinbare Quellengrößen von weniger als 33 µm (das gilt in der Lichtwellenleiter-Übertragungstechnik in den meisten Fällen) die Grenzwerte für den Gefährdungsgrad 2 immer niedriger sind als die entsprechenden Grenzwerte des Gefährdungsgrads 1 M: sicher für das unbewaffnete Auge, aber möglicherweise unsicher bei Benutzung optischer Instrumente.
ANMKERUNG 7 Bündeladerfasern und Flachbandkabel
Die Grenzwerte in der Tabelle wurden nur für Einzelfasern berechnet. Wenn Bündeladerfasern oder Flachbandkabel mit Einzelfasern in dichter Nachbarschaft beurteilt werden müssen, dann muss jede Einzelfaser und jede mögliche Gruppe dieser Fasern untersucht werden.
ANMERKUNG 8 1420-nm-Wert
Die 1420-nm-Werte wurden für den Raman-Bereich von 1420 bis 1500 nm berechnet.
| Zusammenfassung der Anforderungen an Standorttypen eines LWLKS nach DIN EN 60825-2 | Anhang 6 |
| Gefährdungsgrad | Standorttyp | ||
| Uneingeschränkt | Eingeschränkt | Kontrolliert | |
| 1 | Keine Anforderungen | Keine Anforderungen | Keine Anforderungen |
| 1M | Gefährdungsgrad 1 aus Steckverbindern, die vom Endnutzer geöffnet werden können.
Keine Anforderungen bezüglich Aufklebern oder Kennzeichnungen |
Aufkleber oder Kennzeichnung nicht erforderlich, wenn Steckverbinder, die vom Endnutzer geöffnet werden können, Gefährdungsgrad 1 abstrahlen. Wenn Gefährdungsgrad 1 M abgestrahlt wird, sind Aufkleber oder Kennzeichnung erforderlich | Keine Anforderungen |
| 2 | Aufkleber oder Kennzeichnungen | Aufkleber oder Kennzeichnungen | Aufkleber oder Kennzeichnungen |
| 2M |
|
Aufkleber oder Kennzeichnungen | Aufkleber oder Kennzeichnungen |
| 3B | Nicht zulässig | Nicht zulässig |
|
| 4 | Nicht zulässig | Nicht zulässig | Nicht zulässig |
| Anleitungen für Instandsetzung und Wartung | Anhang 7 |
A7.1 Prüfungen und Messungen
Prüfungen, Messungen und sonstige Arbeiten in Kabelschächten und Schaltzentralen sollten als Instandsetzungs- und Wartungsarbeiten angesehen werden. Wo immer möglich, sollten diagnostische Prüfungen so durchgeführt werden, dass der Gefährdungsgrad am jeweiligen Standort nicht erhöht wird. Organisatorische Einschränkungen können notwendig sein, die in manchen Fällen Arbeitserlaubnisse beinhalten können. Wenn Prüfeinrichtungen angeschlossen werden, sollte darauf geachtet werden, dass die tatsächlichen Leistungspegel eingestellt werden, die bei der Feststellung des Gefährdungsgrad benutzt wurden.
Die Betreiberorganisation sollte klar definierte Bedingungen entwickeln, unter denen die automatische Leistungsverringerung außer Kraft gesetzt werden kann.
Falls die automatische Leistungsverringerung außer Kraft gesetzt wurde, sollte der Betreiber den Gefährdungsgrad neu bestimmen. Die dem neu bestimmten Gefährdungsgrad entsprechenden Schutzmaßnahmen nach Abschnitt 6 sollten angewendet werden.
Alle Betrachtungsoptiken für die Untersuchung von Fasern und Spleißen sollten so ausgesucht werden, dass sie die Bestrahlung unter die entsprechende maximal zulässige Bestrahlung (MZB) senken, und sie sollten von der Betreiberorganisation zugelassen werden.
Anmerkung:
Eine brauchbare Lösung könnte sein, dass die Betreiberorganisation die Betrachtungsoptik mit einem Klebeschild kennzeichnet.
Wo immer vernünftigerweise möglich, sollten Instandsetzung, Wartung und Reparatur so durchgeführt werden, dass keine Leistung in der Faser geführt wird. Wo das nicht machbar ist, sollte das System mit der niedrigsten Leistung betrieben werden, die für die Funktionstüchtigkeit benötigt wird.
Die Betreiberorganisation sollte Arbeitsverfahren festlegen, die menschlichen Zugang zu Strahlung oberhalb der maßgeblichen MZB-Werte verhindert.
An Standorten, wo während der Instandsetzung oder Wartung optische oder Laserstrahlung oberhalb der MZB-Werte entstehen kann (z.B. beim Schalten oder an kontrollierten Standorten), sollte geeigneter Augenschutz zur Verfügung gestellt werden.
Vor der Arbeit an irgendeinem faseroptischen Kabel oder System sollte der Endbenutzer den Gefährdungsgrad an den zugänglichen Stellen prüfen. Im Fall von installierten und aktivierten Systemen sollte der Gefährdungsgrad an zugänglichen Stellen mit Hilfe der Warnhinweise identifiziert werden. Entsprechend dem Gefährdungsgrad sollten Vorsichtsmaßnahmen bei Systemen ergriffen werden, die bekannterweise in Betrieb sind oder in Betrieb gehen könnten. Während der Installation sind Warnaufkleber möglicherweise noch nicht angebracht. In diesem Fall sollten Vorsichtsmaßnahmen entsprechend der Klassifizierung der Sender oder Prüfeinrichtungen mit an die Faser angeschlossenen optischen Quellen ergriffen werden.
Es wird empfohlen, während der Installation oder Prüfung eines faseroptischen Kabels oder Netzwerks nur Prüfeinrichtungen zu verwenden, für deren Ausgang der Gefährdungsgrad 1, 1 M, 2 oder 2M entsprechend DIN EN 60825-2 oder Klasse 1, 1 M, 2 oder 2M entsprechend DIN EN 60825- 1 festgestellt wurde.
An LWLKS an eingeschränkten oder kontrollierten Standorten dürfen Prüfeinrichtungen mit höherer Ausgangsleistung benutzt werden, vorausgesetzt, dass die zugänglichen Faserenden und Steckverbinder an allen Standorten gesichert und mit Schildern mit dem zutreffenden Gefährdungsgrad versehen sind, bevor die Prüfung beginnt.
Eingänge zu kontrollierten Bereichen mit dem Gefährdungsgrad 3B sollten ausgestattet sein mit:
Jede Person, die mit dem Betrieb, der Installation oder der Wartung eines LWLKS betraut ist, sollte
In den regelmäßigen Unterweisungen der Personen sollten diese Themen angesprochen werden.
A7.3 Vorsichtsmaßnahmen an Standorten mit Gefährdungsgraden 1 M, 2M, 3R und 3B
Wo möglich, sollten optische Übertragungsanlagen oder Prüfmittel abgeschaltet, auf einen Zustand niedriger Leistung geschaltet oder abgetrennt werden, bevor an offenen Fasern gearbeitet wird, und das Einschalten durch eine Fernbedienung oder eines anderes passendes Verfahren verhindert werden. Der Leitungszustand (Leistung ein oder aus) sollte klar erkennbar sein.
Personen, die Zugang zu einem strahlenden Faserende oder Steckverbinderende haben, sollten unterrichtet sein, nicht direkt auf solche Punkte zu blicken. Unter allen Umständen sollten nur solche Sehhilfen benutzt werden, die mit einer angemessenen Dämpfung ausgestattet sind.
Nur Mitarbeitern, die an einer zeitnahen Unterweisung für faseroptische Sicherheit teilgenommen haben, sollte es erlaubt sein, an LWLKS an einem Standort mit dem Gefährdungsgrad 3B, 3R, oder 4 zu arbeiten.
Mitarbeiter, die LWLKS und zugehörige Prüfeinrichtungen an Standorten mit dem Gefährdungsgrad 3B installieren, betreiben und warten, sollten sicherstellen, dass nicht unterwiesene Personen hinreichend geschützt sind.
Es ist möglich, dass an Systemstellen mit hoher Dämpfung eine hohe Temperatur durch die absorbierte Leistung entsteht. Dadurch kann es zu Schäden kommen, wenn extrem hohe Leistungen (hunderte von mW bis mehrere W) in die Faser eingekoppelt werden.
Anmerkung:
Ein Beispiel dafür ist ein System, das verteilte Raman-Verstärkung benutzt.
Deshalb wird für Systeme, die normalerweise extrem hohe Leistungen übertragen, folgendes empfohlen:
Steckverbinder sollten sehr sorgfältig gereinigt werden. Die Reinigung darf nur bei deutlich verringerter oder abgeschalteter Leistung erfolgen, da bereits durch Verdampfen des Reinigungsmittels oder von Staub die Glasfaser beschädigt werden kann. Die Dämpfung durch Spleiße oder Biegungen sollten an allen Punkten soweit wie möglich verringert werden.
| Beispiel für eine Betriebsanweisung |
Anhang 8 |
Anmerkung
Die Betriebsanweisung ist nach der BG-Information "Sicherheit durch Betriebsanweisungen" (BGI 578) zu gestalten.
| Muster für eine Laseranzeige gemäß Unfallverhütungsvorschrift "Laserstrahlung" (BGV B2 / GUV-V B2) | Anhang 9 |
Anmerkung:
Eine Laseranzeige ist für LWLKS der Laserklasse 1 oder 1 M, die intern einen Lasersender höherer Laserklasse enthalten und sofern keine Arbeiten am geöffneten System unter Laserleistung durchgeführt werden, nicht notwendig (siehe auch § 9 der Unfallverhütungsvorschrift "Laserstrahlung" (BGV B2 / GUV-V B2).
| Stichwortverzeichnis | Anhang 10 |
(hier nicht wiedergegeben)
| Vorschriften und Regeln | Anhang 11 |
Nachstehend sind die insbesondere zu beachtenden einschlägigen Vorschriften und Regeln zusammengestellt.
1. Gesetze, Verordnungen
Bezugsquelle:
Buchhandel
oder
Carl Heymanns Verlag GmbH,
Luxemburger Straße 449, 50939 Köln
E-Mail: verkauf@heymanns.com
Internet: http://www.heymanns.com
2. Berufsgenossenschaftliche Vorschriften, Regeln und Informationen für Sicherheit und Gesundheit bei der Arbeit sowie Berufsgenossenschaftliche Grundsätze
Bezugsquelle:
zuständige Berufsgenossenschaft
oder
Carl Heymanns Verlag GmbH,
Luxemburger Straße 449, 50939 Köln
E-Mail: verkauf@heymanns.com
Internet: http://www.heymanns.com
Unfallverhütungsvorschrift "Grundsätze der Prävention" (BGV A1),
Unfallverhütungsvorschrift "Laserstrahlung" (BGV B2),
Unfallverhütungsvorschrift "Sicherheits- und Gesundheitsschutzkennzeichnung am Arbeitsplatz" (BGV A8),
BG-Regel "Grundsätze der Prävention" (BGR A1),
"Explosionsschutz-Regeln EX-RL" (BGR 104),
BG-Information "Sicherheit durch Betriebsanweisungen" (BGI 578),
BG-Information "Betrieb von Laser-Einrichtungen" (BGI 832),
BG-Information "Auswahl und Benutzung von Laser-Schutzbrillen und Laser-Justierbrillen" (In Vorbereitung).
3. Berufsgenossenschaftliche Grundsätze für arbeitsmedizinische Vorsorgeuntersuchungen
Bezugsquelle:
A.W. Gentner Verlag,
Postfach 10 17 42, 70015 Stuttgart.
4. Normen
Bezugsquelle:
Beuth Verlag GmbH,
Burggrafenstraße 6, 10787 Berlin.
DIN EN 207 "Persönlicher Augenschutz, Filter und Augenschutz gegen Laserstrahlung (Laser-Schutzbrillen)",
DIN EN 208 "Persönlicher Augenschutz, Brillen für Justierarbeiten an Lasern und Laseraufbauten (Laser-Justierbrillen),
DIN EN 12254 "Abschirmungen an Laserarbeitsplätzen; Sicherheitstechnische Anforderungen und Prüfung",
DIN EN 60825-1 (VDE 0837 Teil1) "Sicherheit von Lasereinrichtungen; Teil 1: Klassifizierung von Anlagen, Anforderungen und Benutzer-Richtlinien",
DIN EN 60825-2 (VDE 0837 Teil 2) "Sicherheit von Laser-Einrichtungen; Teil 2: Sicherheit von Lichtwellenleiter-Kommunikationssystemen".
5. ITU-Empfehlungen
Bezugsquelle:
ITU
Place des Nations
CH-1211 Geneva 20
Switzerland
http://www.itu.int/ITU-T/
________
| 1 | Für eine geführte Wellenlänge 1,3 µm oder 1,55 µm |
| 2 | Bei Flächen > 30 mm2 gilt der 5 mW/mm2-Grenzwert, wenn sich brennbares Material (z.B. Kohlenstaub) im Strahl befinden kann. |
![]() |
ENDE | ![]() |
(Stand: 11.08.2025)
Alle vollständigen Texte in der aktuellen Fassung im Jahresabonnement
Nutzungsgebühr: ab 105.- € netto (Grundlizenz)
(derzeit ca. 7200 Titel s.Übersicht - keine Unterteilung in Fachbereiche)
Die Zugangskennung wird kurzfristig übermittelt
? Fragen ?
Abonnentenzugang/Volltextversion