Für einen individuellen Ausdruck passen Sie bitte dieEinstellungen in der Druckvorschau Ihres Browsers an. Regelwerk; BGI/GUV-I / DGUV-I |
![]() |
BGI 5092 / DGUV Information 203-042 - Auswahl und Benutzung von Laser-Schutz- und Justierbrillen
Deutsche Gesetzliche Unfallversicherung (DGUV) Information
(Ausgabe 10/2007aufgehoben)
| Redaktioneller Hinweis: Berufsgenossenschaften sind gemäß § 210 SGB VII Behörden; ihre amtlichen Veröffentlichungen nach § 15 SGB VII unterliegen gemäß § 5 Abs. 2 UrhG keinem Urheberrechtsschutz. |
Berufsgenossenschaftliche Informationen (BG-Informationen) enthalten Hinweise und Empfehlungen, die die praktische Anwendung von Regelungen zu einem bestimmten Sachgebiet oder Sachverhalt erleichtern sollen.
Diese BG-Information wurde erarbeitet vom Sachgebiet "Laserstrahlung" im Fachausschuss Elektrotechnik, der Berufsgenossenschaftlichen Zentrale für Sicherheit und Gesundheit - BGZ des Hauptverbandes der gewerblichen Berufsgenossenschaften in Zusammenarbeit mit dem DIN AA-Augenschutz und Fachausschuss-Persönliche Schutzausrüstungen (PSA) - Sachgebiet: Augen- und Gesichtsschutz.
Die vorliegende BG-Information beschreibt Aspekte der Auswahl von Laser-Schutzbrillen und Laser-Justierbrillen, welche zum Schutz des menschlichen Auges vor Verletzungen und Beeinträchtigungen durch Laserstrahlung eingesetzt werden. Die richtige Benutzung und Auswahl von Laser-Schutz- und Laser-Justierbrillen setzt im Allgemeinen einen hohen Wissensstand, sowie eine gründliche Unterrichtung der Betroffenen voraus. Ferner hat der Unternehmer dafür zu sorgen, dass in den Bereichen, in denen eine Gefährdung vorliegt, die persönliche Schutzausrüstung getragen wird.
Kann durch einfache Überlegung oder Wissen die richtige Schutzstufe ermittelt werden, oder hat der Hersteller bereits eine genaue Risikobewertung durchgeführt, so kann diese verwendet werden!
Die ausführliche Ermittlung in dieser BG-Information dient in aller Regel dazu, durch eine genauere Berechnung und Bewertung, die nach der DIN EN 207 und DIN EN 208 (bzw. gemäß DA zur BGV B2), Stand: 2006 bestimmte Schutzstufe reduzieren zu können.
Einen Überblick über die normativen Zusammenhänge und die BGI zeigt die folgende Abbildung
Abbildung 1: Verfahren zur Auswahl von Laser-Schutz- und Laser-Justierbrillen (Bezug DIN EN 60825-1:2003)
1 Anwendungsbereich
Diese BG-Information soll dem Laserschutzbeauftragten und dem Unternehmer eine Hilfestellung zur Ermittlung und Benutzung einer geeigneten Laser-Schutzbrille, einer Laser-Justierbrille oder einer Kombination von beidem geben, und zwar auf Grund der Gefährdungsermittlung beim Umgang mit Laserstrahlung.
Grundsätzlich gilt:
Zunächst ist die Umsetzung technischer und organisatorischer Schutzmaßnahmen gefordert, wie sie beispielsweise in der BGV B2, der DIN EN 60825-1 und DIN EN 12626/ DIN ISO 11553-1 genannt sind.
Beispiele:
Anmerkung 1:
Maßnahmen zur Verhütung von Gefahren für Leben und Gesundheit bei der Arbeit
Vor dem Einsatz von Augen- und Gesichtsschutz hat der Unternehmer gemäß § 5 Arbeitsschutzgesetz eine Gefährdungsbeurteilung durchzuführen. Dabei sind Art und Umfang der Gefährdungen zu ermitteln, um zu klären, ob nicht die Gefährdungen gemäß § 4 Arbeitsschutzgesetz durch allgemein schützende technische Einrichtungen (kollektive technische Schutz-Einrichtungen) oder durch organisatorische Maßnahmen vermieden oder ausreichend begrenzt werden können. Dabei sind die Arbeitsbedingungen und die persönliche Konstitution der Versicherten zu berücksichtigen.BGV B2 § 8 Abs. 1 und 2:
(1) Der Unternehmer hat durch technische oder organisatorische Maßnahmen dafür zu sorgen, dass eine Bestrahlung oberhalb der maximal zulässigen Bestrahlung, auch durch reflektierte oder gestreute Strahlung verhindert wird.
(2) Ist dies in Laserbereichen von Lasereinrichtungen der Klassen 3B (nach DA BGV B2 ab Klasse 3R) oder 4 nicht möglich, so hat der Unternehmer zum Schutz der Augen oder der Haut geeignete Augenschutzgeräte, Schutzkleidung oder Schutzhandschuhe zur Verfügung zu stellen.
Anmerkung 2:
Diese BG-Information dient auch der Umsetzung der Anforderungen der BG-Regel 192 "Benutzung von Augen- und Gesichtsschutz".Anmerkung 3:
Die EU-Richtlinie "Künstliche optische Strahlung 2006/25" wurde von der EU im Amtsblatt am 27.04.2006 veröffentlicht.Titel: Richtlinie 2006/25/EG des Europäischen Parlaments und des Rates vom 05. April 2006 über Mindestvorschriften zum Schutz von Sicherheit und Gesundheit der Arbeitnehmer vor der Gefährdung durch physikalische Einwirkungen (künstliche optische Strahlung) (19. Einzelrichtlinie im Sinne des Artikels 16 Absatz 1 der Richtlinie 89/391/EWG).
Insbesondere in Artikel 5 unter Punkt g) "g) die Verfügbarkeit geeigneter persönlicher Schutzausrüstung" wird auf die Verwendung von PSa hingewiesen. Zum Zeitpunkt der Drucklegung wurde diese Richtlinie national noch nicht umgesetzt. Sofern dies erfolgt, muss diese Verordnung vorrangig angewendet werden.
2 Definitionen
2.1 Laser-Schutzbrillen
Diese Brillen dienen dem Schutz der Augen gegen Laserstrahlung für die jeweils betreffenden Wellenlänge(n) im ultravioletten, sichtbaren und infraroten Spektralbereich für mindestens 10 s.
2.2 Laser-Justierbrillen
Laser-Justierbrillen sind auf den Wellenlängenbereich der sichtbaren Strahlung zwischen 400 nm und 700 nm beschränkt.
Sie schwächen die Laserstrahlung auf den Wert der Klasse 2-Laser ab, d. h. maximal 1 mW (mit C6 = 1) bzw. auf 0,6 * Klasse 2 (siehe Empfehlung Tabelle 6 unter 6.1). Sie dienen dazu, diffuse Reflexionen dieser Laserstrahlung sicher zu beobachten.
2.3 Hinweis zu Laser-Schutzbrillen und Laser-Justierbrillen
Die Schutzwirkung der Brillen bleibt bei einem direkten Auftreffen des Strahles für den die Brille berechnet wurde mindestens 10 Sekunden und 100 Pulse lang erhalten, sofern die Laser-Schutzbrille oder Laser-Justierbrille nach DIN EN 207 bzw. DIN EN 208 hergestellt wurden.
Die Laser-Schutzbrillen und Laser-Justierbrillen sind nicht für den dauernden Blick in einen Laserstrahl geeignet.
3 Laserspezifische Regelungen
Laserspezifische Regelungen sind unter anderem in den folgenden Normen, BG-Regeln, BG-Information und Merkblättern enthalten:
| 1 | GPSG | Gesetz über technische Arbeitsmittel und Verbraucherprodukte (Geräte- und Produktsicherheitsgesetz - GPSG) |
| 2 | PSA-Benutzerverordnung ( PSA-BV) | Verordnung über Sicherheit und Gesundheitsschutz bei der Benutzung persönlicher Schutzausrüstungen bei der Arbeit (PSA-Benutzerverordnung - PSA-BV) |
| 3 | ArbSchG | Arbeitsschutzgesetz |
| 4 | BetrSichV | Betriebssicherheitsverordnung |
| 5 | BGV B2 | Unfallverhütungsvorschrift "Laserstrahlung" |
| 6 | BGR 192 | Auswahl von Augen- und Gesichtsschutz |
| 7 | BG-Information 5007 | Laser-Einrichtungen für Show- und Projektionszwecke |
| 8 | DIN EN 207 | Persönlicher Augenschutz, Filter und Augenschutz gegen Laserstrahlung (Laser-Schutzbrillen) |
| 9 | DIN EN 208 | Justierarbeiten an Lasern und Laseraufbauten (Laser-Justier-Brillen) |
| 10 | DIN EN 12254 | Abschirmungen an Laserarbeitsplätzen; Sicherheitstechnische Anforderungen und Prüfung |
| 11 | DIN 56912 | Sicherheitstechnische Anforderungen für Show- und Projektions-Laser und Showlaseranlagen und Prüfung |
| 12 | DIN EN 60825-1 (VDE 0837 Teil 1) |
Sicherheit von Laser-Einrichtungen; Teil 1: Klassifizierungen von Anlagen, Anforderungen und Benutzer-Richtlinien |
| 13 | DIN EN 60825-2 (VDE 0837 Teil 2) |
Sicherheit von Laser-Einrichtungen; Teil 2: Sicherheit von Lichtwellenleiter-Kommunikationssystem en |
| 14 | DIN EN 60825-4 (VDE 0837 Teil 4) |
Sicherheit von Laser-Einrichtungen; Teil 4: Abschirmungen an Laserarbeitsplätzen |
| 15 | DIN EN 61040 (VDE 0835) |
Empfänger, Messgeräte und Anlagen zur Messung von Leistung und Energie von Laserstrahlen |
| 16 | DIN ISO 11553-1 | Sicherheit von Maschinen - Laserbearbeitungsmaschinen - Teil 1: Allgemeine Sicherheitsanforderungen |
| 17 | DIN Norm-Entwurf ISO/ DIS 11553-2 |
Sicherheit von Maschinen - Laserberarbeitungsmaschinen - Teil 2: Sicherheitsanforderungen an handgeführte und handbediente Maschinen |
| 18 | DIN EN ISO 13694 | Optik und optische Instrumente - Laser und Laseranlagen - Prüfverfahren für die Leistungs-(Energie-) dichteverteilung von Laserstrahlen |
| 19 | DIN EN ISO 11146-1 | Laser und Laseranlagen - Prüfverfahren für Laserstrahlabmessungen, Divergenzwinkel und Beugungsmaßzahlen - Teil 1: Stigmatische und einfach astigmatische Strahlen |
| 20 | DIN EN ISO 11146-2 | Laser und Laseranlagen - Prüfverfahren für Laserstrahlabmessungen, Divergenzwinkel und Beugungsmaßzahlen - Teil 2: Allgemein astigmatische Strahlen |
4 Gefährdungsanalyse bzw. Gefährdungsermittlung
4.1 Allgemeines
Zu beachten ist in jedem Fall, dass eine Laser-Schutzbrille nur ein Restrisiko abdecken soll. Zuerst sind daher immer alle anderen Schutzmaßnahmen anzuwenden.
4.2 Gefährdungsanalyse
4.2.1 Gefahrenquellen:
Die Gefährdung durch eine Laser-Einrichtung hängt von der Strahlungsquelle, dem Strahlführungssystem und den Gegebenheiten am Wirkungsort der Laserstrahlung ab.
Zuerst muss die Frage geklärt werden, von welchen Stellen der Laser-Einrichtung eine Gefährdung der Augen oder anderer Körperteile ausgehen kann und in welcher Form.
Bei der Gefährdungsanalyse sind unter anderem folgenden Punkte zu beachten:
Das Strahlführungssystem besteht meist aus optischen Bauelementen, zwischen denen der Laserstrahl frei geführt wird, oder aus einer optischen Faser, in die der Laserstrahl eingekoppelt wird. Es muss überprüft werden, ob entlang dieses Weges eine Freisetzung von Strahlung möglich ist. Bei fasergeführten Systemen muss unter Umständen mit einem Faserbruch gerechnet werden. Dann tritt die Strahlung etwa mit der gleichen Charakteristik aus, mit der sie aus dem intakten Faserende austritt. Die Strahldivergenz wird dabei von der numerischen Apertur der Faser bestimmt.
Am Ende des Strahlführungssystems befindet sich meist eine Optik, durch die der Laserstrahl auf den Wirkungsort gerichtet wird. In diesem Bereich ist eine unkontrollierte Freisetzung von Strahlung möglich.
Die Strahlung kann fokussiert oder kollimiert auf den Wirkungsort treffen. Viele Werkstoffe reflektieren stark. Hierdurch kann der Gefahrenbereich (Laserbereich) erheblich vergrößert werden.
In der ersten Anlaufphase typischer Materialbearbeitung kann die Strahlung nahezu vollständig reflektiert werden.
Anmerkung:
- Im Service und bei der Wartung treten in der Regel höhere Gefährdungen auf.
- Im Servicefall und Normalbetrieb einschließlich Wartung muss meist mit unterschiedlichen Gefährdungen gerechnet werden. Im Servicefall ist häufig eine Verringerung der Gefahr möglich, indem die Laseranlage nicht mit voller Leistung gefahren wird.
4.2.2 Quantitative Ermittlung der Gefährdung durch die zugängliche Strahlung
Zur Ermittlung der Gefährdung sind folgende Parameter am Ort der Exposition zu erfassen:
Anmerkung:
Es muss beachtet werden, dass die von vielen Herstellern angegebene mittlere Leistung darauf hindeutet, dass es sich nicht um einen Dauerstrichbetrieb handelt, sondern um einen Impulsbetrieb.
Für die quantitative Ermittlung der Gefährdung muss die höchste Leistung verwendet werden, die am Ort der Exposition vorliegen kann.
Anmerkung:
Die mittlere Leistung eines Impulslasers lässt sich aus dem Produkt aus Impulsenergie und Impulswiederholrate bestimmen. Ein Mischbetrieb ist in Sonderfällen auch möglich.
Eine mögliche Überhöhung der Strahlungsleistung beim Einschalten der Laserstrahlung (spiking) sollte bei der Risikoermittlung beachtet werden (siehe Herstellerinformation).
Vom Laserhersteller werden oft andere Strahldurchmesser angegeben z.B. D86,5. In diesem Fall ist für den reinen Gaußstrahl der Durchmesser mit folgender Formel umzurechnen:
Detaillierte Informationen zur Messung bzw. zur Ermittlung von Strahldurchmessern findet man in der DIN EN ISO 13694 und DIN EN ISO 11146.
Zur Ermittlung des Laserstrahldurchmessers (Siehe auch Anhang 11: Glossar, Strahldurchmesser) mit 63 % der Strahlungsleistung am Ort einer möglichen Exposition hat man je nach Strahlführung zwei Möglichkeiten.
Bei divergenter Strahlung ermittelt man diesen Durchmesser in einer Entfernung von mindestens 100 mm (bezieht sich nur auf den Wellenlängenbereich 400 nm bis 1400 nm) vom kleinsten zugänglichen Strahldurchmesser. Bei Freisetzung aus optischen Fasern ist das die Entfernung vom Faserende.
Bei fokussierenden Systemen ermittelt man die Parameter in mindestens 100 mm Entfernung von der Strahltaille (Fokus).
In diesem Fall kann man den Strahldurchmesser wie folgt berechnen:
Dabei ist d der Strahldurchmesser am Objektiv, x die Entfernung vom Fokus und f die Brennweite des Objektivs.
Bild 2: Strahldurchmesserbeziehungen
| d | Strahldurchmesser der Strahlungsquelle |
| d0 | Strahldurchmesser im Fokus bzw. in der Strahltaille |
| dx | Strahldurchmesser am Ort der Exposition |
| f | Brennweite des Objektivs |
| x | Abstand zwischen dem Fokus und den Ort dem Exposition |
| Θ0 | Öffnungswinkel (ganzer Öffnungswinkel) |
| ω0 | Strahlradius im Fokus bzw. in der Strahltaille |
Formeln:
Für den ganzen Öffnungswinkel gilt:
Bei kreisförmigem Strahlquerschnitt ergibt sich der Strahldurchmesser aus
der Beziehung:
.
Dabei istA die Strahlquerschnittsfläche.
Bei LWL-Systemen zeigt das folgende Bild 3 und die Tabelle 1 näherungsweise den Strahldurchmesser in 100 mm Entfernung vom Faserende in Abhängigkeit von der numerischen Apertur der Faser.
Tabelle 1: Modenfelddurchmesser in 100 mm Entfernung in Abhängigkeit vom Öffnungswinkel (Na Seite A11.17)
Bild 3: Modenfelddurchmesser in 100 mm Entfernung in Abhängigkeit von der Numerischen Apertur NA
Ein Einmoden-LWL hat folgende typische Abmessungen:
Ein typischer Einmoden-LWL hat folgende numerische Apertur (siehe Glossar):
Der Akzeptanzwinkel Θ berechnet sich dann aus:
Für die Brechzahl der Luft von n0 = 1 ergibt sich:
ΘΑ = arcsin NA.
Tabelle 2: Typische Modenfelddurchmesser von verschiedenen Wellenlängen
| Wellenlänge in nm | Modenfelddurchmesser in μm |
| 1550 | 11,3 |
| 1300 | 9,5 |
| 1060 | 6,5 |
| 850 | 5,2 |
| 630 | 3,9 |
Der Modenfeldradius ω0 wird bei einem Lichtwellenleiter definiert als der Bereich, in dem die Leistungsdichte bis auf 1/e2 (13,6 %) vom Maximalwert abgefallen ist.
Beim Austritt aus der Stirnfläche des LWL weitet sich der Modenfeldradius mit wachsender z - Richtung nach folgender Gleichung aus:
Bild 4 Beispiel: Monomodefaser
![]() |
Verlauf eines Lichtstrahls im Bereich des Akzeptanzwinkels |
| ω | Ortsabhänger Modenfeldradius (größer als Kerndurchmesser) |
| ω0 | Modenfeldradius im LWL |
| d0 | Modenfelddurchmesser im LWL |
| a | Kernradius |
| z | Ausbreitungsrichtung |
| λ | Wellenlänge |
| n | Brechzahl des umgebenden Mediums, üblicherweise Luft mit n0 = 1 |
| nK | Kernbrechzahl |
| nM | Mantelbrechzahl |
Bild 5: Aufweitung des Modenfeldradius nach Austritt aus der Faserstirnfläche eines Einmoden-LWL
Mit diesen Parametern kann dann die Berechnung der erforderlichen Schutzstufe nach Abschnitt 5 durchgeführt werden.
Anmerkung:
Der direkte Blick in den Strahl, insbesondere in der Nähe der Fokus-Position, sollte immer vermieden werden!Falls man diesen Fall trotzdem berücksichtigen muss, können sich sehr hohe erforderliche Schutzstufen ergeben, die eventuell nicht realisiert werden können. Die Norm DIN EN 207 sieht z.B. keine höheren Schutzstufen als L10 vor.
Man beachte, dass bei kollimierter Strahlung oder sehr kleiner Strahldivergenz der Strahldurchmesser nicht oder nur wenig mit der Entfernung zunimmt!
Ferner kann es "hotspots" im Strahlprofil geben, die ebenfalls beachtet werden sollten.
5 Bestimmung der notwendigen Schutzstufe für Laser-Schutzbrillen
5.1 Konzept, Definition der Schutzstufen
Laser-Schutzbrillen nach DIN EN 207 müssen die Laserstrahlung auf ein unschädliches Maß (Einhaltung der MZB-Werte) herabsetzen. Dies wird durch Absorption und / oder Reflexion der Laserstrahlung erreicht (siehe Bild 5).
Dabei muss der spektrale Transmissionsgrad τ(λ) des Filters die Bedingung
τ(λ) ≤ EMZB /E bzw. τ(λ) ≤ HMZB /H
erfüllen, je nachdem ob die Grenzwerte und die Laserstrahlung durch Leistungsdichten (EMZB, E) oder Energiedichten (HMZB, H) beschrieben werden. Im Wellenlängenbereich über 315 nm finden dabei die Grenzwerte für eine Einwirkungsdauer von 10 s, unterhalb 315 nm die Grenzwerte für 30.000 s Anwendung.
Eine vereinfachte Tabelle zur Ermittlung der MZB-Werte findet sich im Anhang 5. Die vollständige Tabelle der MZB-Werte ist in der BGI 832 zu finden.
Zusätzlich fordert DIN EN 207, dass der spektrale Transmissionsgrad der Laserschutzbrille auch bei Belastung durch den Laserstrahl stabil bleibt. Diese Beständigkeit gegen Laserstrahlung, die sowohl für die Filter als auch für die Tragkörper gewährleistet sein muss und auf eine Bestrahlungsdauer von mindestens 10 s ausgelegt ist, soll dem Benutzer des Augenschutzes ermöglichen, eine Unfallsituation zu erkennen und den Gefahrenbereich (Laserbereich) zu verlassen. Als Unfallsituation wird das Auftreffen des Laserstrahls auf dem Augenschutzgerät betrachtet. Laser-Schutzbrillen nach DIN EN 207 schützen daher nur vor der nicht beabsichtigten Einwirkung von Laserstrahlung und sind nicht für einen länger andauernden Blick in den direkten Laserstrahl geeignet.
In DIN EN 207 werden aus dem spektralen Transmissionsgrad τ(λ) über den dekadischen Logarithmus Schutzstufennummern N gemäß
N = int [-log (τ (λ))]
abgeleitet, d.h. die Schutzstufennummer N entspricht der auf ganze Zahlen abgerundeten optischen Dichte OD (λ) = -log (τ (λ)) an der entsprechenden Laserwellenlänge.
Die Schutzstufen nach DIN EN 207 sind aber erst über die Schutzstufennummer und die Angabe einer Leistungs- oder Energiedichte definiert, gegen die der Laserschutz für die erwähnte Zeit von 10 s standhalten muss.
Bild 6: Funktionsprinzip eines Laser-Schutzfilters
Tabelle 3 gibt die Schutzstufen L1 bis L10 wieder. Dabei wird der Wellenlängenbereich von 180 nm bis 1 mm in drei Gruppen eingeteilt. Jede der drei Gruppen besteht aus drei Spalten, die für unter schiedliche Laserarten die Angaben der Leistungs- bzw. Energiedichte enthalten. Es werden die Laserarten Dauerstrichlaser (Abkürzung D), Impuls- (I) und Riesenimpulslaser (R) sowie modengekoppelte Impulslaser (M) unterschieden. Die Abgrenzung bezüglich der Einwirkungsdauer der Laserstrahlung zeigt Tabelle 4. Die obigen Abkürzungen für die Laserarten treten auch in der Kennzeichnung von Laser-Schutzbrillen (Anhang 7) auf und sind der dritte Bestandteil bei der Angabe einer Schutzstufe.
Tabelle 3: Spektraler Transmissionsgrad der Laser-Schutzbrillen sowie zugeordnete Energie bzw. Leistungsdichte
Tabelle 4: Zeitliche Abgrenzung der Laserarten für die Auswahl der Laser-Schutzfilter nach DIN EN 207 (Die Tabelle basiert auf dem vereinfachten Grenzwertsatz nach Anhang 5)
Zur Bestimmung der erforderlichen Schutzstufe muss die Wellenlänge des Lasers, die Laserart nach Tabelle 4 und die entsprechende Leistungs- bzw. Energie dichte der Laserstrahlung bekannt sein. Bei gepulsten Lasern muss neben der speziellen Schutzstufe für den Impulsbetrieb (Laserart I, R oder M) immer auch gemäß der mittleren Leistungsdichte des Lasers eine Schutzstufe bezüglich der Laserart D bestimmt werden. Dabei soll zur Berechnung der in Abschnitt 4 bestimmte Strahldurchmesser verwendet werden.
Die Schutzstufen können entsprechend der Betriebsweise und Art der Laserstrahlung nach dem zutreffenden, unten aufgeführten Verfahren ermittelt werden.
5.2 Schutzstufenermittlung für Dauerstrichlaser (Kennbuchstabe der Laserart: D)
Die Leistungsdichte E des Laserstrahls errechnet sich aus der Laserleistung P und dem Strahlquerschnitt (bzw. der Strahlquerschnittsfläche) a wie folgt:
(1) E = P/A
Die erforderliche Schutzstufe wird aus der Spalte "D" von der Tabelle 3 entnommen, die der Wellenlänge des Lasers entspricht.
5.3 Schutzstufenermittlung für gepulste Laser
(Kennbuchstaben der Laserarten: I und R), Impulsdauer ≥ 10-9 s
Zur Bestimmung der Schutzstufe sind grundsätzlich 2 Kriterien - Impulsbetrachtung und Betrachtung der mittleren Leistung -, wie nachfolgend gezeigt, anzuwenden.
Dabei führt das erste Kriterium zu einer Schutzstufe bezüglich der Laserart I oder R (je nach Impulsdauer des Lasers) und das zweite zu einer Schutzstufe bezüglich der Laserart D, obwohl es sich um die Betrachtung eines gepulsten Lasers handelt.
5.3.1 Impulsbetrachtung
Die Energiedichte H des Laserstrahls errechnet sich aus der Impulsenergie Q des Einzelimpulses und dem Strahlquerschnitt (bzw. der Strahlquerschnittsfläche) a wie folgt:
(2) H = Q/A
Für Laser im Wellenlängenbereich zwischen 400 nm und 106 nm, Impulsdauern < 0,25 s und Impulswiederholfrequenzen ν > 1 Hz ist dieser Wert der Energiedichte mit dem Faktor k zu multiplizieren.
(3) H´ = H * k
k wird dabei wie folgt aus der Anzahl der Laserimpulse N, die in der Bestrahlungsdauer T = 10 s emittiert werden, berechnet:
(4) k = N1/4
Für H bzw. H´ kann die erforderliche Schutzstufe für die Wellenlänge und die Laserart aus der entsprechenden Spalte "I, R" (siehe Tabelle 3) entnommen werden. Der Kennbuchstabe für die Laserart ist "R" bei Impulsdauern kleiner als 10-7 s, sonst ist der Kennbuchstabe "I". Ist die Impulsdauer des Lasers größer als die im Tabellenkopf angegebene Einwirkungsdauer, dann entfällt die Schutzstufe für "I" und die Anforderung an die Schutzbrillen enthält nur eine Anforderung zur Schutzstufe nach "D" entsprechend Punkt 5.3.2.
Bemerkung zur Bestimmung des Faktors k
Besitzt ein Laser die Impulswiederholfrequenz ν, dann ist die Gesamtzahl der Impulse innerhalb der zugrunde zu legenden Bestrahlungsdauer gegeben durch
(5) N = ν * 10s
k ist dann durch Gleichung (4) gegeben.
Die Beziehung (5) darf jedoch nur so lange angewendet werden, wie die Abstände der Einzelimpulse δT = 1/ν länger sind als die wellenlängen abhängigen Zeiten Ti, die in Tabelle 5 wiedergegeben sind. Bei kürzeren Impulsabständen als es den Zeiten Ti entspricht, sind die Energien der in Ti mehrfach auftretenden Impulse zusammenzufassen. Die maximal anzuwendende Frequenz νmax ist dann der Kehrwert von Ti.
In diesem Fall ergibt sich ein Korrekturfaktor für die Einzelimpulsenergiedichte H, der aus dem Produkt von k und einem Faktor kTIbesteht, welcher die Zahl der Einzelimpulse in der Zeitdauer Ti beschreibt.
Anmerkung:
Diese Erweiterung bzw. Einführung des Korrekturfaktors kTI ist notwendig, um die Zusammenfassung der Impulsgruppen wie in der Da der BGV B2 zu ermöglichen. Die bisherigen Berechnungen gemäß Anhang 4a bzw. 4b der BGV B2 führen unter Umständen zu einer höheren Schutzstufe. Deshalb dürfen die Berechnungen zur Vereinfachung auch ohne die Einführung der zusammengefassten Impulsgruppen durchgeführt werden.
Ist ein Laser unregelmäßig gepulst, (besitzt er keine kontinuierliche Impulswiederholfrequenz ν), dann ist bei der Impulsbestimmung der energiereichste Impuls und der Impuls mit der maximalen Spitzenleistung zusätzlich zu bewerten (siehe auch IGED- Verfahren nach DIN EN 60825-1:2003-10).
Tabelle 5: Zeiten Ti, unterhalb deren Impulsgruppen aufsummiert werden müssen und maximal anzuwendende Frequenz ν max = 1/Ti
| Wellenlänge | Ti / [s] | νmax / [ Hz] |
| 400 ≤ λ/nm < 1050 | 18 * 10-6 | 55,56 * 103 |
| 1050 ≤ λ /nm < 1400 | 50 * 10-6 | 20 * 103 |
| 1400 ≤ λ /nm < 1500 | 10-3 | 103 |
| 1500 ≤ λ /nm < 1800 | 10 | 0,1 |
| 1800 ≤ λ /nm < 2600 | 10-3 | 103 |
| 2600 ≤ λ /nm < 106 | 10-7 | 107 |
5.3.2 Betrachtung der mittleren Leistung
Die mittlere Leistungsdichte Em des Laserstrahls errechnet sich aus der mittleren Laserleistung Pm und dem Strahlquerschnitt (bzw. Strahlquerschnittsfläche) a wie folgt:
| (6) | ![]() |
oder, falls die mittlere Leistung nicht angegeben ist, zu
| (7) | ![]() |
N ist die Anzahl der Impulse innerhalb von 10 s, Q ist die Energie des Einzelimpulses. (Bei regelmäßiger Impulsfolge stellt (N / 10 s) nach (5) die Impulswiederholfrequenz des Lasers dar).
Die erforderliche Schutzstufe kann aus der Spalte "D" von Tabelle 3, die der Wellenlänge des Lasers entspricht, entnommen werden. Der Kennbuchstabe für die Laserart ist "D".
Beispiele zur Berechnung
Beispiel 1 (regelmäßige Impulsfolge):
Ein Laser, Wellenlänge 1064 nm, sendet mit einer Frequenz von ν = 40 kHz Impulse von 5 ¼s Dauer aus.
Der zeitliche Abstand der Einzelimpulse beträgt δT = 1 / ν = 1/40 kHz = 25 * 10-6 s.
Damit fallen zwei Einzelimpulse in die Zeit Ti = 50 * 10-6 s.
Die Impulsenergie Q bzw. die Impulsenergiedichte H des 5μs-Impulses sind deshalb mit dem Faktor 2 zu multiplizieren, da die neue Impulsgruppe jeweils zwei 5μs-Impulse enthält. Dies entspricht dem Korrekturfaktor kTi = 2, welcher mit folgender Gleichung ermittelt werden kann:
kTi = Ti * ν = 50 * 10-6 * 40 * 103 = 2
Die nach (5) ermittelte Impulszahl N für 10 s beträgt:
Faktor k = (200000)1/4 = 21,15
H = H * k * kTi = H * 21,15 * 2
Beispiel 2 (Impulsgruppe):
Ein Laser, Wellenlänge 800 nm, sendet eine Impulsfolge von 3 Impulsen mit 3 ¼s Dauer und mit einer Energie von 30 ¼J innerhalb einer Zeitspanne von 18 ¼s aus. Diese Impulsfolge wiederholt sich innerhalb von 1 s 10 mal.
Zunächst sind die Einzelimpulsenergien innerhalb der Zeit Ti = 18 * 10-6 s zu summieren.
Die Impulsenergie Q bzw. die Impulsenergiedichte H des 3μs-Impulses sind deshalb mit dem Faktor 3 zu multiplizieren, da die neue Impulsgruppe jeweils drei 3μs-Impulse enthält.
Bild 7: Zusammenfassen von Einzelimpulsen
Der zeitliche Abstand der Einzelimpulse beträgt δT = 6 * 10-6 s (= 1/ν = 1/166,7 kHz)
Damit fallen drei Einzelimpulse in die Zeit Ti = 18 * 10-6 s.
Die Impulsenergie Q bzw. die Impulsenergiedichte H des 3μs-Impulses sind deshalb mit dem Faktor 3 zu multiplizieren, da die neue Impulsgruppe jeweils drei 3μs-Impulse enthält. Dies entspricht dem Korrekturfaktor kTi = 3, welcher mit folgender Gleichung ermittelt werden kann:
kTi = Ti * ν = 18 * 10-6 * 166,7 * 103 = 3
Die nach (5) ermittelte Impulszahl N für 10 s beträgt:
N(10s) = 10 1/T = 100
Faktor k = (100)1/4 = 3,16
H' = H * k * kTi = H * 3,16 * 3
5.4 Schutzstufenermittlung für modengekoppelte Laser
(Kennbuchstabe der Laserart: M) Impulsdauer < 10-9 s:
Zur Bestimmung der Schutzstufe sind grundsätzlich 2 Kriterien - Impulsbetrachtung und Dauerstrichbetrachtung -, wie nachfolgend gezeigt, anzuwenden. Dabei führt das erste Kriterium zu einer Schutzstufe bezüglich der Laserart M und das zweite zu einer Schutzstufe bezüglich der Laserart D, obwohl es sich um die Betrachtung eines gepulsten Lasers handelt.
Anmerkung:
Bei Unterscheidung nach der Laserart darf jede der ermittelten Schutzstufen in Verbindung mit der Laserart angegeben werden. (siehe auch Anmerkung zu 5.3.1)
5.4.1 Impulsbetrachtung
5.4.1.1 Wellenlängenbereich 400 nm bis 1400 nm
Die Vorgehensweise entspricht derjenigen aus Abschnitt 5.3.1.
Für H bzw. für H' kann die erforderliche Schutzstufe über die Spalte "M" für diesen Wellenlängenbereich aus Tabelle 3 entnommen werden. Der Kennbuchstabe für die Laserart ist "M".
5.4.1.2 Wellenlängenbereiche < 400 nm und > 1400 nm
Die Spitzen leistungsdichte ist unter Verwendung der Spitzenleistung PS der Einzelimpulse zu berechnen:
| (8) | ES = PS/A |
Die erforderliche Schutzstufe kann aus der Spalte "M" aus Tabelle 3, die der Wellenlänge des Lasers entspricht, entnommen werden. Der Kennbuchstabe für die Laserart ist "M".
5.4.2 Dauerstrichbetrachtung
Die Berechnung erfolgt gemäß Abschnitt 5.3.2.
Die erforderliche Schutzstufe kann aus der Spalte "D" von Tabelle 3, die der Wellenlänge des Lasers entspricht, entnommen werden. Der Kennbuchstabe für die Laserart ist "D".
6 Bestimmung der notwendigen Schutzstufe für Laser-Justierbrillen
6.1 Konzept, Definition der Schutzstufen
Laser-Justierbrillen nach DIN EN 208 dienen zur Justierung mit sichtbaren Lasern (Wellenlängenbereich 400 nm bis 700 nm). Insbesondere sollen diffuse Reflexionen der Laserstrahlung beobachtet werden können. Laser-Justierbrillen sind so ausgelegt, dass sie im Falle von Dauerstrichlasern die Strahlungsleistung auf Werte unter 1 mW reduzieren (Grenzwert der Laser Klasse 2). Die spektralen Transmissionsgrade der Justierbrillen sind deshalb höher als die entsprechender Laser-Schutzbrillen (DIN EN 207) und der spektrale Transmissionsgrad der Justierbrille allein bietet in einer Unfallsituation (direkte Einwirkung der Laserstrahlung auf die Schutzbrille) keinen ausreichenden Schutz des Auges. Es müssen unbedingt aktive Schutz-, d.h. bewusste Abwendungsreaktionen, hinzutreten, die dann ausgeführt werden müssen, wenn eine Blendung durch die Laserstrahlung wahrgenommen wird.
Aktive, d.h. bewusste Schutzreaktionen bedeuten, dass eine von einem Laserstrahl getroffene Person sofort die Augen schließt und den Kopf abwendet. Dies ist besonders deshalb erforderlich, da der Lidschlussreflex, auf dessen Vorhandensein die Auslegung von Laser-Justierbrillen ursprünglich basiert hat, keine verlässliche physiologische Reaktion darstellt.
Durch Wahl eines erhöhten Schutzes kann auch z.B. eine Auslegung auf eine Zeitdauer (Beobachtungszeit) von 2 s (siehe Tabelle 6) erfolgen. Diese im Vergleich zur Zeitbasis von 0,25 s für Laser der Klasse 2 größere Zeitdauer ermöglicht die Ausführung aktiver Schutzreaktionen, d.h. bewusster Abwendungsreaktionen einschließlich des Lidschlusses.
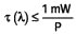
Der maximal zulässige spektrale Transmissionsgrad τ(λ) beträgt demnach bei vorgegebener Laserleistung P
| (9) | ![]() |
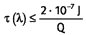
Bei gepulsten Lasern ergibt sich der maximale spektrale Transmissionsgrad an der Laserwellenlänge aus der Impulsenergie Q des Lasers zu
| (10) | ![]() |
DIN EN 208 definiert die Schutzstufen R1 bis R5 (Tabelle 6) für Laser-Justierbrillen.
Tabelle 6: Anwendungsbereich und spektraler Transmissionsgrad der Laser-Justierbrillen
| Schutzstufe | Maximale Laserleistung für Dauerstrichlaser Zeitbasis 0,25 s | Maximale Laserleistung für Dauerstrichlaser Beobachtung bis 2 s | Maximale Energie des Einzelimpulses für Impulslaser-Zeitbasis 0,25 s | Maximale Energie des Einzelimpulses für Impulslaser Beobachtung bis 2 s | Bereich des spektralen Transmissionsgrades |
| R1 | 10 mW | 0,6 bis 6 mW | 2 * 10-6 J | 1,2 * 10-6 J | 10-1 bis 10-2 |
| R2 | 100 mW | 60 mW | 2 * 10-5 J | 1,2 * 10-5 J | 10-2 bis 10-3 |
| R3 | 1 W | 600 mW | 2 * 10-4 J | 1,2 * 10-4 J | 10-3 bis 10-4 |
| R4 | 10 W | 6 W | 2 * 10-3 J | 1,2 * 10-3 J | 10-4 bis 10-5 |
| R5 | 100 W | 60 W | 2 * 10-2 J | 1,2 * 10-2 J | 10-5 bis 10-6 |
Die obere Grenze des spektralen Transmissionsgrades in Tabelle 6 ergibt sich aus der Sicherheitsanforderung gemäß Gleichungen (9) und (10), die untere Grenze aus der Forderung, dass diffus reflektierte Strahlung noch durch die Justierbrille sichtbar sein soll.
Die Auswahl des Augenschutzes richtet sich dabei im Wesentlichen nach der vom Laser abgegebenen Leistung bzw. Energie.
Die Anwendung der Beobachtungszeit von 2 s (Spalte 3 und 5) sollte immer dann angewendet werden, wenn absichtlich oder bewusst in den Strahl oder in den reflektierten Strahl geblickt werden muss.
Diffuse Reflexionen:
Wie in Bild 8 angedeutet, soll bei der Verwendung von Laser-Justierbrillen die durch eine diffus reflektierende Oberfläche gestreute Laserstrahlung durch das Justierfilter betrachtet werden. Insbesondere bei höheren Schutzstufen muss der diffuse Reflektor für die Leistungsdichte bzw. Energiedichte ausgelegt sein. Bei Bestrahlung durch den Laser sollte die Oberfläche weder zerstört noch modifiziert werden. Oberflächen mit merklichem Glanzanteil sollten keine Verwendung finden.
Da aber reale Diffusoren dennoch oft eine Überhöhung der Reflexionscharakteristik in Richtung des Spiegelwinkels aufweisen, sollte vermieden werden, in dieser Richtung auf die Oberfläche zu blicken.
Bild 8 Prinzipielle Verwendungsweisen von Laser-Justierbrillen
Anmerkung 1:
Es gibt oftmals Laser die auch im Wellenlängenbereich bis 780 nm justiert werden sollen. Hierbei muss im Gegensatz zum Konzept der 0,25 s die Zeitbasis von 10 s angewendet werden.Anmerkung 2:
Die Verwendung einer Laser-Justierbrille mit einer höheren Schutzstufe als derartig nach Tabelle 6 bestimmt, würde die Helligkeit der diffusen Streubilder insbesondere im blauen oder roten Wellenlängenbereich, wie sie bei Justierarbeiten verwendet werden sollen, verringern. Deshalb sollten die Laser-Justierbrillen sorgfältig nach dieser Tabelle ausgewählt werden.
6.2 Auswahl von Laser-Justierbrillen
a) Dauerstrichlaser
Die bestimmungsgemäße Verwendung der Laser-Justierbrillen bei Dauerstrichlasern fasst die 2. Spalte (Zeitbasis 0,25 s) und 3. Spalte (Beobachtung 2 s) von Tabelle 6 zusammen. Die angegebene Leistung bezieht sich dabei auf Laserstrahldurchmesser von maximal 7 mm. Ist der Querschnitt des Laserstrahls wesentlich größer, so kann bei der Auswahl der Bruchteil der Leistung zugrunde gelegt werden, der durch eine 7-mm-Blende fallen würde.
Die Angabe der maximalen Laserleistung für Dauerstrichlaser für eine Beobachtungszeit von 2 s berücksichtigt das häufige Ausbleiben des Lidschlussreflexes.
Es ist diejenige Schutzstufe auszuwählen, deren zugeordnete Leistung die Leistung des jeweiligen Lasers abdeckt.
b) Gepulste Laser
Die bestimmungsgemäße Verwendung der Laser-Justierbrillen für gepulste und quasikontinuierliche Laser fasst die 4. Spalte (Zeitbasis 0,25 s) und 5. Spalte (Beobachtung 2 s) von Tabelle 6 zusammen. Die angegebene Energie bezieht sich dabei auf Laserstrahldurchmesser von maximal 7 mm. Ist der Querschnitt des Laserstrahls wesentlich größer, so kann bei der Auswahl der Bruchteil der Energie zugrunde gelegt werden, der durch eine 7-mm-Blende fallen würde.
Die Angabe der maximalen Laserenergie für Impulslaser für eine Beobachtungszeit von 2 s berücksichtigt das häufige Ausbleiben des Lidschlussreflexes.
b1) Langsame Impulsfolgen (Frequenz ≤ 0,1 s-1)
Für langsame Impulsfolgen und Impulslängen zwischen 10-9 s und 2 * 10-4 s können die Laser-Justierfilter nach Spalte 4 von Tabelle 6 ausgewählt werden.
Es ist diejenige Schutzstufe auszuwählen, deren zugeordnete Energie die Energie des jeweiligen Lasers abdeckt.
b2) Schnelle Impulsfolgen (Frequenz > 0,1 s-1)
Die Impulsenergie Q des Lasers ist mit dem Faktor k zu multiplizieren:
(11) Q' = Q * k
Für Q' wird dann die erforderliche Schutzstufe aus Spalte 4 der Tabelle 6 entnommen.
Für eine Beobachtungszeit von 2 s muss Spalte 5 von Tabelle 6 ausgewählt werden.
k wird dabei wie folgt aus der Anzahl der Laserimpulse N, die in der maximalen Bestrahlungsdauer vonT = 10 s emittiert werden, berechnet.
(12) k = N1/4
Bemerkung zur Bestimmung des Faktors k:
Besitzt ein Laser die Impulswiederholfrequenz v, dann ist die Gesamtzahl der Impulse innerhalb der zugrunde zu legenden Bestrahlungsdauer gegeben durch
(13) N = υ * 10 s
k ist dann durch Gleichung (12) gegeben.
Die Beziehung (13) darf jedoch nur so lange angewendet werden, wie die Abstände der Einzelimpulse δT = 1 / ν länger sind als die wellenlängen abhängige Zeit Ti, die in Tabelle 7 wiedergegeben ist. Bei kürzeren Impulsabständen als es der Zeit Ti entspricht, sind die Energien der in Ti mehrfach auftretenden Impulse zusammenzufassen. Die maximal anzuwendende Frequenz νmax ist dann als Kehrwert von Ti anzusetzen.
In diesem Fall ergibt sich ein Korrekturfaktor für die Einzelimpulsenergiedichte H, der aus dem Produkt von k und einem Faktor kTi besteht, welcher die Zahl der Einzelimpulse in der Zeitdauer Ti beschreibt.
Tabelle 7: Zeit Ti, unterhalb deren Impulsgruppen aufsummiert werden müssen und maximal anzuwendende Frequenz ν max = 1 / Ti
| Wellenlänge in nm |
Ti / [s] | νmax / [ Hz] |
| 400 ≤ λ < 700 | 18 * 10-6 | 55,56 * 103 |
Beispiel 3 (regelmäßige Impulsfolge):
Ein Laser, Wellenlänge 670 nm, ist mit einer Frequenz vom 100 kHz gepulst, die Impulslänge beträgt 5 μs.
Zunächst sind die Einzelimpulsenergien innerhalb der Zeit Ti = 18 * 10-6 s zu summieren.
Der zeitliche Abstand der Einzelimpulse beträgt δT = 1 / ν = 1 / 100 kHz = 10 * 10-6 s.
kTi = Ti * ν = 18 * 10-6 * 100 * 103 = 1,8
Damit fallen im Mittel 1,8 Impulse in die Zeit T = 18 * 10-6 s und die Impulsenergie Q der fiktiven Impulse ist um den Faktor 1,8 zu erhöhen.
Die in (13) maximal anzuwendende Frequenz beträgt 55,56 * 103 Hz, so dass sich ein Faktor k = (10 s * 55,56 * 103 Hz)1/4 = 555.6001/4 = 27,3 ergibt.
Insgesamt muss deshalb die Impulsenergie um den Faktor 27,3 und den Faktor 1,8 erhöht werden:
Q = Q * k * kTi = Q * 27,3 * 1,8
7 Modellauswahl von Laser-Schutzbrillen und Laser-Justierbrillen
Laser werden heute in vielen Bereichen der Industrie und Medizin eingesetzt.
In vielen Fällen sind die potenziell gefährlichen bzw. gefährlichen Laser der Klassen 3R, 3B oder 4 gekapselt, so dass im Normalbetrieb ein Laser der Klasse 1 vorliegt. Hierbei braucht dann keine Laser-Schutzbrille getragen zu werden. Bei Wartungsarbeiten oder im Labor muss aber in aller Regel die persönliche Laser-Schutzbrille oder Laser-Justierbrille zum Einsatz kommen.
Wurde die notwendige Schutzstufe bestimmt, muss als nächstes je nach Einsatz ein entsprechendes Gestell ausgewählt werden. Da für die Berechnung der Schutzstufen meist komplexe Berechnungen notwendig sind existieren deshalb am Markt komfortable Berechnungsprogramme.
Je nach Einsatzzeit und Anforderung an die Sehaufgabe sollen unterschiedliche Gestell formen ausgewählt werden. Muss zum Beispiel die Laser-Schutzbrille im Laufe des Jahres nur kurz (weniger als 50 Stunden im Jahr) getragen werden und müssen keine Arbeiten mit hohen Sehanforderungen durchgeführt werden, so kann in der Regel ein Korbgestell gewählt werden.
Müssen häufiger Arbeiten mit der Brille durchgeführt werden, so erhöht sich bei schweren, hermetisch abgeschlossenen Fassungen die Gefahr, dass die Brillen beschlagen und die Möglichkeit von Sekundärunfällen erhöht wird. Deshalb sollten dann, sofern möglich, leichte Bügelgestelle gewählt werden.
Wird jedoch an Hochleistungslasern von mehreren kW gearbeitet, so müssen in der Regel hermetisch abgeschlossene und daher oft schwere Fassungen verwendet werden, da andere Fassungsformen dieser Laserstrahlung nicht standhalten können.
Wenn verschiedene Laser-Schutzbrillen oder -Justierbrillen mit ausreichender Schutzwirkung zur Verfügung stehen (vorheriger Vergleich der angegebenen Wellenlängen sowie angegebenen Schutzstufen notwendig), sollten folgende Punkte (siehe auch BGR 192) berücksichtigt werden:
8 Persönliche Schutzausrüstung (Anwendung und Pflege)
8.1 Allgemeine Hinweise zum Arbeiten mit Laser-Schutzbrillen
Alle Personen, die sich im Laserbereich auf alten, müssen geeigneten Augenschutz benutzen (siehe auch BGV B2). Durch zufällige Reflexion von Laserstrahlung, z.B. durch Reflexe an spiegelnden Teilen (auch an Brillen), durch Kippen oder Dejustieren optischer Bauteile kann eine Gefährdung entstehen. Alle, die sich in diesen Gefahrenbereichen (Laserbereichen) auf alten, müssen Laser-Schutzbrillen tragen.
Anmerkung 1:
Die Unterweisung der Mitarbeiter muss vor Aufnahme der Tätigkeit erfolgen. Allgemein ist eine Unterweisung regelmäßig und mindestens jährlich durchzuführen. Sie ist zu dokumentieren.Anmerkung 2:
Dort, wo das Personal Strahlungswerten ausgesetzt sein kann, die die MZB-Werte für die Haut übertreffen, sollte geeignete Schutzkleidung zur Verfügung gestellt werden. Insbesondere sind Laser der Klasse 4 potenziell brandgefährlich. Deshalb sollte die Schutzkleidung aus geeignetem flammen- und hitzebeständigem Material bestehen.
Besondere Aufmerksamkeit ist der Widerstandsfähigkeit und Beständigkeit gegen Laserstrahlung zu widmen, wenn Kleidung zum Schutz gegen Laser der Klasse 4 ausgewählt wird.
Wichtige Punkte sind z.B.:
Anmerkung:
Jede vom Benutzer vorgenommene Veränderung an einer Brille oder einem Filter, die nicht in der Benutzerinformation vorgesehen ist, kann dazu führen, dass der Benutzer zum Hersteller dieser geänderten Schutzbrille wird. Er ist dann verantwortlich, die Anforderungen des GPSG zu erfüllen. So kann z.B. Lackieren der Brille die vom Hersteller angegebene Schutzstufe verringern.
8.2 Behandlungs- und Gebrauchshinweise:
Eine Laser-Schutzbrille ist ein hochwertiges optisches Produkt. Sie bedarf der Pflege und Reinigung. Deshalb ist es unbedingt notwendig, folgende Hinweise zu beachten, damit die Laser-Schutzbrillen und die Laser-Justierbrillen den erforderlichen Schutz leisten.
Die Schutzbrillen sollen:
Außerdem ist:
8.3 Reinigung und Pflege
In der Regel dürfen die Laser-Schutzbrillen und Laser-Justierbrillen nur mit klarem Wasser und neutralem Reinigungsmittel (z.B. einem milden, haushaltsüblichen Glasreiniger) gesäubert und mit weichem Tuch sanft abgetrocknet werden.
Folgende Punkte sollten beachtet werden:
Instandsetzungen dürfen in der Regel nur vom Hersteller durchgeführt werden.
8.4 Besonderheiten bei Laserschutzprodukten mit Reflexionsschichten:
Bei diesen Produkten besteht der Schutz größtenteils aus einer zwar sehr harten mechanisch stabilen aber auch sehr dünnen Schicht.
Diese Schicht darf nicht beschädigt werden, da sonst die Brille teilweise den Schutz verliert. Selbst kleinste Kratzer können den Schutz beeinträchtigen.
Auch hier gilt: Brillen, die einen sichtbaren Fehler zeigen, sind vom LB bzw. Hersteller zu kontrollieren. In der Regel sind diese auszutauschen.
Hohe Biege- und Torsionsspannung (z.B. beim Reinigen) sind grundsätzlich zu vermeiden.
8.5 Haltbarkeit von Laser-Schutzbrillen
Der Hersteller macht in seiner Betriebsanleitung Angaben zur Haltbarkeitsdauer. Ggf. ist ergänzend die Rücksprache mit dem Hersteller erforderlich.
Die häufig gestellte Frage nach der Haltbarkeit kann nicht so ohne weiteres beantwortet werden, da die Haltbarkeit maßgeblich durch die Einsatzbedingungen/Umwelteinflüsse/ Handhabung/ Pflege etc. mit beeinflusst wird. Deshalb ist es unbedingt notwendig sich vorher genauestens vom Hersteller beraten zu lassen welche Laser-Schutzbrille für welche Einsatzbedingungen am besten geeignet ist.
Weiterhin wird empfohlen, Laser-Schutzbrillen in regelmäßigem Turnus vom Hersteller überprüfen zu lassen, auch Brillen, die selten verwendet wurden, können nach 10 bis 15 Jahren ihren Schutz verlieren. Brillen mit einem beschädigten oder verkratzten Filter oder Farbveränderungen dürfen nicht mehr ohne Überprüfung verwendet werden. Bei Fassungen mit Innenkaschierung kann durch die Beschädigung dieser Kaschierung der Schutz beeinträchtigt sein.
Falls Beschädigungen an der Schutzbrille auftreten oder Unsicherheit bezüglich der Schutzfunktion besteht, sollte der Hersteller befragt werden und ggf. die Schutzbrille überprüft werden. Die Überprüfung sollte folgende Kriterien beinhalten:
| Checkliste zur Auswahl von Laserschutz- und Laser-Justierbrillen | Anhang 1 |
Bei der Auswahl und der Benutzung von Laserschutz- und Laser-Justierbrillen sind folgende Punkte bzw. Fragen mit ja zu beantworten:
| Checkliste | ||
| 1 | Prüfen, ob der Einsatz der Schutzbrillen notwendig ist oder ob nicht der Laser sicher (auch für die Wartung) gekapselt werden kann? | [ ] |
| 2 | Wird der Laserschutzbeauftragte (für die Klassen 3R, 3B und 4 notwendig) einbezogen? | [ ] |
| 3 | Wurde geprüft, welche Tätigkeit an dem Laser ausgeführt werden soll? a) Normalbetrieb b) Justierung c) Wartung d) Service e) Offener dauernder Betrieb (z.B. Entwicklungslabor) |
[ ] |
| 4 | Wurde die notwendige Schutzstufe der Laser-Schutzbrille oder Laser-Justierbrille (bei sichtbaren Lasern im Wellenlängenbereich von 400 nm bis 700 nm, sofern diffuse Strahlung beobachtet werden soll) bestimmt? | [ ] |
| 5 | Wurden betroffene Mitarbeiter bei der Auswahl der geeigneten persönlichen Laser-Schutzbrillen oder Laser-Justierbrillen beteiligt? | [ ] |
| 6 | Ist eine Unterweisung der Mitarbeiter erfolgt und dokumentiert? | [ ] |
| 7 | Wurde eine eventuell vorhandene Fehlsichtigkeit (Korrektionsschutzbrille) bei der Auswahl berücksichtigt? | [ ] |
| 8 | Bei der Beschaffung der Schutzbrille muss diese mit dem CE-Zeichen gekennzeichnet sein. Die Nummer der notifizierten Stelle (siehe PSA-Benutzerverordnung) muss in der Benutzerinformation angegeben werden. | [ ] |
| 9 | Sind die Arbeitsplätze, an denen die Laser-Schutzbrille und Laser-Justierbrille getragen werden muss, mit dem Gebotszeichen M 01 "Augenschutz benutzen" (siehe BGV A8) gekennzeichnet? | [ ] |
| 10 | Wurde bei der Anwendung von Excimer-Lasern zusätzlich geprüft, ob ein Gesichtsschutzschirm gegen die UV-Streustrahlung getragen werden muss? | [ ] |
| 11 | Wurden bei der Beschaffung der Laser-Schutzbrillen oder Laser-Justierbrillen weitere Aspekte wie Design und Tragekomfort berücksichtigt? Hierdurch kann eine hohe Trageakzeptanz erreicht werden! | [ ] |
| Flussdiagramm zur Berechnung der Schutzstufe von Laser-Schutzbrillen |
Anhang 2 |
| Schutzstufenbestimmung für Laser-Justierbrillen |
Anhang 3 |
| Beispiel für die Berechnung von Laser-Schutzbrillen | Anhang 4 |
Für einen Laser mit einer Wellenlänge von 940 nm wird eine Laser-Schutzbrille benötigt. Der Laser wird mit Einzelimpulsen der Dauer von 10 μs und einer Impulswiederholfrequenz von 25 kHz gepulst. Die Einzelimpulsenergie beträgt 4 μJ. Der Laserhersteller gibt einen Durchmesser direkt am Strahlaustritt von d63 = 20 mm und einen Divergenzwinkel Φ von 220 mrad an.
Anmerkung: Der Divergenzwinkel Φ entspricht dem Öffnungswinkel θ in 4.2.2.
Gegebene Größen:
| λ | = 940 nm | |
| d63 | = 20 mm | = 0,02 m |
| Φ | = 220 mrad | = 0,22 rad |
| t | = 10 μs | = 10 * 10-6 s |
| ν | = 25 kHz | = 25 * 103 Hz |
| Q | = 4 μJ | = 4 * 10-6 J |
A4.1 Bestimmung der Laserart nach Tabelle 3
Gemäß der Impulsdauer von 10 * 10-6 s und der Wellenlänge λ = 940 nm wird ein Impulslaser (I) als Laserart bestimmt.
A4.2 Bestimmung der Energiedichte des Einzelimpulses
A4.2.1 Bestimmung der Korrekturfaktoren
A4.2.1.1 Bestimmung des Korrekturfaktors kTi
Zur Bestimmung des Korrekturfaktors kTi wird bezüglich der Tabelle 3 der Zeitabstand zwischen zwei Impulsen δT und die Wellenlänge λ benötigt.
δT = 1/υ = 1/(25 * 103 Hz) = 4 * 10-5 s
λ = 940 nm
Gemäß der Tabelle 3 sowie des Zeitabstands zwischen zwei Impulsen δT= 4 * 10-5 s und der Wellenlänge λ = 940 nm ergibt sich folgender Zusammenhang:
δT = 4 * 10-5 s > Ti = 18 * 10-6 s
Deshalb kann der Korrekturfaktor kTi vernachlässigt werden kTi = 1.
A4.2.1.2 Bestimmung des Korrekturfaktors k
k = N1/4 = (ν * 10 s)1/4 = (25 * 103 Hz * 10 s)1/4 = 22,36
A4.2.2 Bestimmung des Strahldurchmessers in einem Abstand von 10 cm
(üblicher Beobachtungsabstand vom Auge zum Beachtungsobjekt):
r = 10 cm = 0,1 m
Für die Bestimmung des Strahldurchmessers kann folgende Formel herangezogen werden:
d63-10 = tan (Φ/2) * 2 * r + d63-0 = tan (0,22rad/2) * 2 * 0,1 m + 0,02 m = 0,0421 m
Bild A4.1: Übersicht Strahlausbreitung
A4.2.3 Bestimmung der Energiedichte des Einzelimpulses
Die Strahlquerschnittsfläche entspricht einer Kreisfläche. Somit kann die Energiedichte des Einzelimpulses mittels der Formel für Kreisflächen bestimmt werden:
a = (d63-10/2)2 * π = (0,0421 m/2)2 * π = 1,39 * 10-3 m2
Somit ergibt sich für die Energiedichte des Einzelimpulses:
H = Q/a = 4 * 10-6 J/1,39 * 10-3 m2 = 2,87 * 10-3 J/m2
A4.2.4 Bestimmung der korrigierten Energiedichte des Einzelimpulses
Die korrigierte Energiedichte des Einzelimpulses ergibt sich aus:
H = H * kTi * k = 2,87 * 10-3 J/m2 * 1 * 22,36 = 0,064 J/m2
A4.3 Bestimmung der Schutzstufe für den Impulsbetrieb
Gemäß der Tabelle 3 sowie der Wellenlänge λ = 940 nm, der Betriebsart I und der korrigierten Energiedichte des Einzelimpulses H' = 0,064 J/m2 ergibt sich die Schutzstufe:
| I L2 |
A4.4 Bestimmung der Leistungsdichte für den Dauerstrichbetrieb
Die mittlere Leistung P errechnet sich aus:
P = Q * υ = 4 * 10-6 J * 25 * 103 Hz = 4 * 10-6 Ws * 25 * 103 s = 0,1 W
Somit ergibt sich für die Leistungsdichte:
E = P/a = 100 * 103 W / 1,39 * 10-3 m2 = 71,9 W / m2
A4.5 Bestimmung der Schutzstufe für den Dauerstrichbetrieb (D)
Gemäß der Tabelle 3 sowie der Wellenlänge λ = 940 nm, der Betriebsart D und der Leistungsdichte E = 71,9 W/m2 ergibt sich die Schutzstufe:
| D L1 |
Ergebnis:
Die Laserschutzbrille muss für die Wellenlänge λ = 940 nm die Schutzstufen I: L2 und D: L1 aufweisen.
| Vereinfachte MZB-Werte | Anhang 5 |
Um die Laser-Schutz- und Laser-Justierbrillen berechnen zu können, muss oftmals überprüft werden, ob der MZB-Wert eingehalten wird.
Die folgende Tabelle A5.1 ermöglicht eine schnellere Überprüfung zur sicheren Seite.
Tabelle A5.1: Vereinfachte maximal zulässige Bestrahlungswerte auf der Hornhaut des Auges (MZB-Werte)
| Wellen- | Bestrahlungsstärke E | Bestrahlung H | ||||||
| Längen- Bereich |
D | M | M | I, R | ||||
| nm | Impuls- dauer s |
W/m2 | Impuls- dauer s |
W/m2 | Impuls- dauer s |
J/m2 | Impuls- dauer s |
J/m2 |
| 180 bis 315 | bis 30.000 | 0,001 | < 10-9 | 3 * 1010 | - | - | > 10-9 bis 3 * 104 | 30 |
| > 315 bis 1400 | > 5 * 10-4 bis 10 |
10 | - | - | < 10-9 | 1,5 * 10-4 | > 10-9 bis 5 * 10-4 |
0,005 |
| > 1400 bis 106 | > 0,1 bis 10 | 1000 | < 10-9 | 1011 | - | - | > 10-9 bis 0,1 | 100 |
| Beispiele von Laser-Schutzbrillen-Modellen | Anhang 6 |
Bild A6.1: Beispiele für eine Bügelbrille
Quelle: LASERVISION GmbH Fürth
Bild A6.2: Beispiele für eine Korbbrille
Quelle: GPT- Glendale
Bild A6.3: Beispiele für eine Bügelbrille
Quelle: Offenhäuser und Berger
Bild A6.4: Beispiel für eine Bügelbrille
Quelle: GPT-Glendale
Bild A6.5: Beispiele für eine Bügelbrille
Quelle: LASERVISION GmbH, Fürth
Bild A6.6: Beispiele für eine Bügel- oder Korbbrille
Quelle: LASERVISION GmbH, Fürth
Bild A6.7: Beispiele für leichte Kunststoffmodelle, die auch über normale Korrektionsschutzbrillen getragen werden können:
Quelle: Firma UVEX und LASERVISION GmbH, Fürth

PROTECTOR-Brille
Bild A6.8: Beispiele für eine Bügelbrille/Überbrille
Quelle: LASERVISION GmbH Fürth
Bild A6.9: Beispiele für eine Bügelbrille (Diode 2 Lambda one) mit der Möglichkeit, einen Korrektions-Einsatz hinzuzufügen
Quelle: LASERVISION GmbH Fürth
Bild A6.10: Beispiele für eine Bügelbrille mit Korrektionseinsatz/ Modell LO4
Quelle: GPT-Glendale
6.2 Einsatz von Binokularlupen bei Laseranwendungen
Bei der Beobachtung kleiner Bearbeitungsfelder ist oft eine vergrößerte Darstellung wünschenswert. Aus Sicht des Laserschutzes ist dies jedoch nicht unkritisch: Lupen erhöhen die Leistungs-/Energiedichte des Lasers und sind daher bei der Auswahl des geeigneten Laseraugenschutzes unbedingt mit zu berücksichtigen.
Die Verwendung von Lupenbrillen, die zusätzlich mit Laserschutzfiltern ausgestattet sind, um so die Laserstrahlung abzublocken, bevor sie überhaupt in die Lupenoptik einfallen und somit zum Auge hin gebündelt werden kann, sollte deshalb überprüft werden.
Binokular-Lupe HR 2.5 x /420 inklusive Laserschutzfilter
| Kennzeichnung | Anhang 7 |
A7.1 Allgemeines
Laserschutzfilter zum Einbau in Anlagen werden (obwohl es sich streng nach der PSA-Richtlinie nicht um eine persönliche Schutzausrüstung handelt) wie Laserschutzfilter gekennzeichnet. Laserabschirmungen werden jedoch nach der DIN EN 12254 geprüft; dort beträgt die Standzeit gegen Laserstrahlung 100 s, im Gegensatz zu 10 s, wie in der DIN EN 207 gefordert.
Die gesetzlichen Vorschriften fordern als Minimum bei der Einführung eines Laserschutz-Produktes eine einmalige Baumusterprüfung zur Erlangung des CE-Kennzeichens. Überdies gibt es Hersteller und Lieferanten, die sich freiwillig weitaus komplizierteren und aufwändigeren Verfahren einer freiwilligen Widerholungsprüfung, z.B. dem einer DIN TÜV-GS-Prüfung, BG GS-Prüfung unterziehen.
A7.2 Kennzeichnung von Laser-Schutzbrillen
Bild A7.1 zeigt ein Beispiel für die Kennzeichnung von Laser-Schutzbrillen gemäß DIN EN 207. Laser-Schutzfilter zum Einbau in Anlagen werden ebenso gekennzeichnet.
Bild A7.1: Beispiel für die Kennzeichnung von Laser-Schutzbrillen
Die Kennzeichnung kann sehr ausgedehnt werden, wenn ein Filter oder ein Tragkörper gegen mehrere Wellenlängen schützt. In diesen Fällen kann die Kennzeichnung wie im folgenden Beispiel zusammengefasst werden:
10600 D L3 + IR L4
1064 DI L8 + R L9
633 D L4 + IR L5
X S
Dabei haben die Symbole die gleiche Bedeutung wie im vorhergehenden Beispiel.
Kennzeichnung von Laser-Justierbrillen
Bild A7.2 zeigt ein Beispiel für die Kennzeichnung von Laser-Justierbrillen nach DIN EN 208. Erfüllt der Augenschutz eine erhöhte Anforderung bezüglich mechanischer Festigkeit, so kann dies ebenfalls gekennzeichnet werden.
Der Tragkörper muss das Wort "Justierbrille" tragen, die Kennzeichnung der Laser-Justierbrille selbst kann auf den Sichtscheiben oder dem Tragkörper angebracht sein.
Bild A7.2: Beispiel für die Kennzeichnung einer Laser-Justierbrille
| Besondere Maßnahmen bei Einsatz von Ultrakurzpulslasern mit Pulslängen unter 1 ps | Anhang 8 |
Eine weniger bekannte Tatsache ist, dass ein Laser seine Energie auch zeitlich stark konzentriert in Form von extrem kurzen Impulsen, sozusagen scheibchenweise, abgeben kann. Mittels modengekoppelter Laser lassen sich die heutzutage kürzesten von Menschenhand erzeugten Lichtblitze herstellen. Solche Blitze dauern oft nur wenige Femtosekunden (1 Femtosekunde = 1fs = 10-15 s). In einer Femtosekunde legt das Licht im Vakuum eine Strecke von 0,3 Mikrometern zurück. Den Lichtimpuls kann man sich daher als eine fliegende Scheibe mit einem Durchmesser von einigen Millimetern bis Zentimetern und einer Dicke von wenigen Mikrometern vorstellen. Diese Eigenschaft des Lasers kommt vor allem in zeitaufgelösten Untersuchungen zur Anwendung, in denen, ähnlich wie bei einem Stroboskop, Momentaufnahmen atomarer Vorgänge gemacht werden können. Die erzielbare zeitliche Auflösung hängt dabei von der Dauer des Lichtimpulses ab. Laserimpulse sind nicht nur ultrakurz, sondern zeichnen sich auch durch eine hohe Spitzenleistung aus. Das ist eine Folge ihrer kurzen Dauer, da die Energie in einem sehr kurzen Zeitintervall abgestrahlt wird.
So lässt sich in einem optischen Labor auf einer Fläche von wenigen Quadratmetern ein Laser aufbauen, der in der Lage ist, Impulse mit einer Spitzenleistung von bis zu 1000 Terawatt zu liefern (1 TW = 1012 Watt). Um eine Vorstellung der Größe dieser Leistung zu vermitteln, sei nur erwähnt, dass die elektrische Leistung, die weltweit im elektrischen Netz erzeugt werden kann, ungefähr 1 TW beträgt - hier allerdings als Dauerleistung.
(Bild A8.1 zeigt einen abgeschirmten Teil eines Femtosekunden-Lasers).
Bild A8.1: Abgeschirmter Teil eines Ultrakurzpulslasers
Bei der Wechselwirkung solch intensiver Laserimpulse mit Materie wird diese sofort zerstört; entscheidend ist dabei die Intensität, die Leistung pro Fläche. Die erzielbaren Intensitäten sind dabei so hoch, dass Elektronen durch das Laserfeld von ihren Atomrümpfen getrennt werden und ein Plasma entstehen kann. Bei der Wahl eines geeigneten Lasers lassen sich Plasmen herstellen, die den Bedingungen für eine Kernfusion genügen.
Femtosekundenlaser unterscheiden sich noch in ihrem Spektren grundlegend von den meisten anderen Lasern. Aufgrund der Konzentration der Energie im Zeitbereich ergibt sich nach der Heisenbergschen Unbestimmtheitsrelation eine Linienverbreiterung. So können die Wellenabhängigen Emissionscharacteristiken von Femtosekundenlaser bei einer Mittenwellenlänge von 800 nm eine Breite von einigen 100 nm haben, wie schematisch in Bild A8.2 dargestellt.
Bild A8.3: Bandbreite ultrakurzer Impulse
| Filter für Mikroskope und Teleskope | Anhang 9 |
A9.1 Auswahl von Laser-Schutz-Filtern für Mikroskope (optisch vergrößernde Geräte)
Zur Kontrolle der Qualität und Sauberkeit von Faserenden sowie der Ferrule bei Glasfasersteckverbindern kommen Betrachtungsmikroskope sowie Augenlupen zum Einsatz. Diese optischen Instrumente sind entsprechend der geltenden Normen in den Laserschutz einzubeziehen.
Die im Rahmen der optischen Übertragungssysteme zur Kontrolle der Steckerendflächen eingesetzten handelsüblichen Betrachtungsmikroskope realisieren Vergrößerungen von 200 X bis 400 X, um die Güte der Steckerendfläche beurteilen zu können. Augenlupen gibt es mit Vergrößerungen von 8 X, 10 X, 12 X und 14 X.
Diese oben genannten Instrumente werden in der Regel vom Hersteller ohne Laserschutzkomponenten (z.B. Filter) geliefert, da der Laserschutz den entsprechend der am Einsatzort befindlichen Laserquelle bezogen auf die höchste vorkommende Exposition genau angepasst werden muss. Augenlupen plus Laserschutzfilter können nur in Kombination mit einer Laserschutzbrille eingesetzt werden.
Beim Betrachten der Endflächen von Glasfasersteckern mit dem Mikroskop ist besondere Vorsicht geboten. Vor der Betrachtung von Steckerendflächen mit dem Mikroskop muss durch Messung mit dem optischen Leistungspegelmesser festgestellt werden, dass keine Laserstrahlung in der Faser vorhanden ist. Außerdem ist sicherzustellen, dass während der Betrachtung der Steckerendfläche mit dem Mikroskop kein Laser eingeschaltet werden kann.
A9.2 Auswahl von Laserschutz für Teleskope
Teleskope zur Justierung von Richtfunkantennenanlagen sind durch den Einsatz von so genannten "Freespace" Lasern in den Laserschutz einzubeziehen. Dies gilt ebenso für Ferngläser für bestimmte Einsätze bei Verwendung von Lasern.
Ferngläser und Teleskope können bei einem Blick in den Strahl durch die sammelnde Wirkung die Gefährdung erhöhen. Es gibt folgende Schutzmöglichkeiten:
A9.2.1 Tragen einer Laserschutzbrille
In Gefahrenbereichen von Lasern der Klassen 1M können Laser-Schutzbrillen verwendet werden. Beträgt z.B. die Vergrößerung des optischen Gerätes nicht mehr als 10-fach, genügt die Schutzstufe L2.
Bei Lasern höherer Klassen muss die Schutzstufe der Laserschutzbrille gegenüber normaler Verwendung um einen, den Vergrößerungsfaktor des optischen Gerätes berücksichtigenden Betrag erhöht werden, z.B. bei einem Vergrößerungsfaktor von 10 muss die Anforderung an die Schutzstufe von L2 auf L4 erhöht werden.
Hinweis: Bei Laser-Schutzbrillen mit außen liegenden Reflexionsschichten sollte diese Methode wegen der Beanspruchung und nicht auszuschließenden Beschädigung der Filterschicht nicht angewandt werden.
A9.2.2 Verwendung eines Fernrohres oder Fernglases mit eingebautem Laser-Schutzfilter
In Lasergefahrenbereichen von Lasern der Klassen 1M können Ferngläser mit eingebautem Laser-Schutzfilter benutzt werden. Es ist auf die Herstellerangabe zu achten, von welcher Art das Schutzfilter ist, welche Schutzstufe das eingebaute Filter besitzt und an welcher Stelle das Filter verbaut ist bzw. welcher minimale Strahldurchmesser an der Stelle des Filters zu erwarten ist.
a) Filter im Bereich des Objektivs, wo der Strahldurchmesser noch nicht verkleinert ist:
Sie können ausgeführt sein als Reflexionsschicht z.B. auf der Objektivlinse und sind zu bevorzugen. Es ist die Schutzstufe, unter Berücksichtigung der Vergrößerung des optischen Gerätes zu verwenden. Bis zu 10-facher Vergrößerung ist bei Filtern im Objektivbereich die Schutzstufe L2 geeignet.
b) Filter, als Reflexionsschicht z.B. im Okularbereich:
Es ist, wegen der mit zunehmendem Einfallswinkel nachlassenden Schutzwirkung, Vorsicht geboten. In diesem Fall eignen sich besser absorbierende Filter.
c) Filter, die im Strahlengang zwischen Objektivlinse und Okular eingebaut sind:
Es ist zu beachten, an welcher Stelle im Strahlengang sie eingebaut wurden. An Stellen im Strahlverlauf im optischen Gerät mit kleinem Strahldurchmesser kann die Energie-/Leistungsdichte wesentlich höher sein, als z.B. nach Austritt aus dem Okular. Der Beständigkeit des Filters gegen die einwirkende Laserstrahlung kommt in diesem Fall besondere Bedeutung zu. Es sind daher vom Hersteller die erforderlichen Informationen anzufordern.
Bild A9.1: Laserschutz in Fernrohren
Beispiel (Fall c):
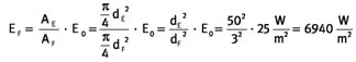
Ein Dauerstrich-Laser mit der Wellenlänge 900 nm hat an der Stelle, an der ein Fernglas 10 x 50 zur Beobachtung verwendet wird, einen Strahldurchmesser > 50 mm und eine Leistungsdichte E0 von maximal 25 W/m2. Die maximal zulässige Bestrahlungsstärke beträgt ebenfalls 25 W/m2 Das Laser-Schutzfilter ist so im Strahlengang des Fernglases eingebaut, dass der Strahl mit einem Durchmesser dF von 3 mm auf das Filter auftrifft.
Die Leistungsdichte EF am Filter erhöht sich mit dem Verhältnis der Strahleintrittsfläche (ins Fernglas) AE zur bestrahlten Filterfläche AF, also
Anhand dieses Wertes lässt sich aus Tabelle 3 für Dauerstrichlaser der angegebenen Wellenlänge die Schutzstufe L3 entnehmen.
Die Mindestanforderungen an die spektrale Transmission τ(λ), bedingt durch die Vergrößerung des Fernglases, errechnen sich aus dem Verhältnis des Quadrates des wirksamen Strahldurchmessers nach Austritt aus dem optischen Gerät zum Quadrat des Objektivdurchmessers dE. Der wirksame Strahldurchmesser ist der größere der beiden Werte aus relevantem Messblendendurchmesser dM (in diesem Fall 7 mm) und dem am Okular austretenden Durchmesser des Strahles dA, der sich aus dem Quotienten Objektivdurchmesser dE zur Vergrößerung V errechnet.
deff ist größter Wert aus dM = 7mm und
Die sich aus der Leistungsdichte des Laserstrahls nach Tabelle 3 bestimmte Schutzstufe L3 erfüllt auch die hinsichtlich der Mindestanforderung an die spektrale Transmission gestellten Anforderungen.
Sollte ein Filter mit der Schutzstufen L3 im sichtbaren Bereich zu einer zu starken Einschränkung (Helligkeit und Farbsehen) führen, so ist auch ein Filter mit der Schutzstufe L2, resultierend aus der Mindestanforderung an die spektrale Transmission, möglich, wenn nachgewiesen wird, dass bei einer Laser-Belastungsprüfung mit der Leistungsdichte EF die spektrale Transmission 0,01 nicht überschritten wird.
Hinweis: Herstellerangaben über die Schutzwirkung in Laser-Schutzfiltern in optischen Beobachtungsgeräten beziehen sich teilweise nur auf die Schutzwirkung der Filterscheibe. Diese Angabe darf nicht verwechselt werden mit der Schutzstufe einer Laserschutzbrille, weil die verstärkende Wirkung des optischen Gerätes dabei nicht berücksichtigt ist.
A9.2.3 Verwendung aufsteckbarer Laser-Schutzfilter
Für auf das Okular aufsteckbare Filter gelten dieselben Betrachtungen wie für eingebaute Laser-Schutzfilter. Beispielsweise ist die Schutzstufe L2 in Gefahrenbereichen von Lasern der Klassen 1M entsprechend dem Durchmesser des austretenden Strahles bis zu 10-facher Vergrößerung geeignet.
Abbildung A9.2 Lupenbrille - Stirnlupe
| Aspekte für die Auswahl und Anwendung von Laser-Schutzbrillen und Laser-Justierbrillen im Freien | Anhang 10 |
A10.1 Erläuterungen zum Temperaturverhalten von Filtern
Laserfilter sollen gezielt bestimmte Wellenlängen oder Wellenlängenbereiche sperren. Speziell bei Filtern für Laser im sichtbaren Spektralbereich ist es wünschenswert, nicht zu große Bereiche neben der eigentlichen Laserwellenlänge abzuschwächen, damit die Sichtbarkeit der Umgebung für den Benutzer nicht durch einen zu kleinen Lichttransmissionsgrad des Filters beeinträchtigt wird. In spektralen Charakteristiken von Laserfiltern treten auch deshalb häufig Absorptionsbereiche auf, die durch abfallende oder ansteigende Kanten oder im Fall von Absorptionsbanden durch beide Kanten formen gekennzeichnet sind, wie z.B. in Abbildung A10.1 für ein Rubin-Laserfilter dargestellt.
Abbildung A10.1: Spektrale Charakteristik eines Rubin-Laserfilters, bestimmt für eine Filtertemperatur von 23 °C
Da die Lage derartiger spektraler Kanten für absorbierende aber auch für verspiegelte Laserfilter temperaturabhängig sein kann, ist nicht ausgeschlossen, dass sich die spektrale Charakteristik unter Temperatureinfluss relativ zur Laseremission verschiebt. Bei ungünstigen Verhältnissen könnten sich dann höhere spektrale Transmissionsgrade an der Laserwellenlänge ergeben, als für Raumtemperatur festgestellt. Dieser Effekt kann umso eher auftreten, je schmaler die Absorptionsbande ist und widerspricht damit dem oben dargestellten Wunsch nach möglichst selektiver Absorption.
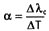
Die Kantenwellenlänge λc ist üblicherweise als die Wellenlänge definiert, bei der der spektrale Transmissionsgrad auf den halben Wert abgesunken ist, den das Filter im Durchlassbereich maximal erreichen kann. Die Stärke der temperaturabhängigen Verschiebung dieser Kantenwellenlänge wird durch den materialabhängigen Temperaturkoeffizienten
| (1) | ![]() |
in Einheiten von nm/K beschrieben, wobei Δλc die Wellenlängenverschiebung der Kante zur Temperaturdifferenz Δ T ist. Der Temperaturkoeffizient α ist für Temperaturen, für die Augenschutz üblicherweise eingesetzt wird, als konstant anzusehen.
Ein positiver Temperaturkoeffizient ± bedeutet eine Verschiebung der Kante zu langen Wellenlängen bei Temperaturerhöhung. Bei einem negativen Temperaturkoeffizienten werden Absorptionskanten bei Temperaturerhöhung zu kürzeren Wellenlängen verschoben. Besitzt die ansteigende Kante einen positiven und die abfallende einen negativen Temperaturkoeffizienten, so vergrößert sich der Sperrbereich des Filters mit wachsender Filtertemperatur.
Wird Augenschutz im Freien eingesetzt, so ist auch mit niedrigeren Temperaturen zu rechnen. Diese könnten sich eher nachteilig auswirken als höhere Filtertemperaturen. Zu beachten ist allerdings, dass nicht direkt die Außentemperatur maßgeblich ist, sondern die Temperatur des Filters, die sich durch das Zusammenspiel zwischen Umgebungs- und Körperwärme einstellt. Dieses ist z.B. noch beeinflusst durch Effekte wie die Kühlung durch Luftströmungen, durch Parameter wie die Wärmeleitfähigkeit der Werkstoffe oder durch die Konstruktion des Augenschutzes selbst. Eine Messung der wirklichen Filtertemperatur ist i. a. nicht einfach auszuführen.
Welcher Temperaturbereich wird in den Augenschutznormen zugrunde gelegt?
Die Norm für Laser-Schutzfilter DIN EN 207 enthält selbst keine direkte Anforderung an die für Prüfungen zu verwendende Temperatur, so dass man unterstellen kann, dass insbesondere die spektralen Eigenschaften nur für den Temperaturbereich (23 ± 5) °C sichergestellt sind. Nur bei der Prüfung der mechanischen Festigkeit nach DIN EN 166, der auch Laser-Schutzbrillen unterliegen, sind Temperaturen von -5 °C und +55 °C vorgesehen.
Andere Normen, die speziell tiefe Temperaturen fordern, sind z.B. DIN EN 174, Skibrillen für alpinen Skilauf, mit einer Konditionierung der Proben bei -10 °C für eine Stunde und Messung der mechanischen Festigkeit innerhalb von 30 s bei Raumtemperatur und DIN EN 13178, Augenschutzgeräte für Benutzer von Motorschlitten, mit einer einstündigen Konditionierung bei -40 °C. Die letztere Norm stellt ein Extrem dar, allerdings werden auch hier die spektralen Eigenschaften nur bei Raumtemperatur überprüft.
Will man Laser-Schutzfilter bei extremen Temperaturbedingungen einsetzen, so kann man unter Zuhilfenahme der spektralen Charakteristik versuchen, mögliche Effekte abzuschätzen.
In Abbildung A10.2 werden beispielhaft die Auswirkungen des Temperatureffekts dargestellt. Das Diagramm zeigt die Wellenlängenverschiebung für den Bereich 25 °C bis 80 °C. Anhand der gemessenen Daten konnte der Verlauf Absorptionskante bei -5 °C berechnet werden.
Abbildung A10.2: Relative Transmission in Abhängigkeit von der Temperatur und Wellenlänge
Beispiel für die temperaturbedingte Verschiebung der Absorptionskante. Die Kante für -5°C wurde anhand der gemessenen Daten berechnet.
Die obigen Ausführungen betreffen zunächst den linearen spektralen Trans missionsgrad von Laser-Schutzfiltern. Bei einer geringen Anzahl von Laserfiltern für Impulslaser der Betriebsart R, die von dem so genannten Effekt der induzierten Transmission (auch Durchschalten genannt) betroffen sind, wurde ebenfalls eine
Temperaturabhängigkeit der nun nichtlinearen Transmission beobachtet. Auch dieser Effekt kann zu einer Reduzierung der Schutzfunktion führen, wenn das Laserfilter bei tieferen Temperaturen benutzt wird. Derartige Filter sind nur für kleinere Schutzstufen geeignet, die sich durch Anwendung bestimmter Bewertungskriterien ermitteln lassen. Aber selbst diese Vorgehensweise kann je nach den vorherrschenden Umgebungsbedingungen ein Risiko nicht völlig ausschließen.
Deshalb sollten Laser-Schutzfilter, die im Freien bei extremen Temperaturen eingesetzt werden, eine hinreichend breite Absorption um die Laserwellenlänge besitzen. Speziell bei Schutzfiltern gegen die Laserart R und M ist der Einsatz von solchen Filtern ratsam, die keine induzierte Transmission aufweisen.
Oft können jedoch Benutzer aufgrund fehlender Information nicht selbst abschätzen, ob ein bestimmtes Laser-Schutzfilter für den Einsatz bei extremen Temperaturen tauglich ist. Deshalb ist es anzuraten, in derartigen Fällen eine entsprechende Abschätzung bei dem Hersteller des Augenschutzes einzuholen. Ebenfalls ist zu beachten, dass bei Arbeiten im Freien in der Regel eine erhöhte mechanische Beanspruchung der Laser-Schutzbrillen existiert. Auch sollten Angaben zur Beständigkeit gegen UV-Strahlung erfragt werden.
A10.3 Reflexion an spiegelnden Flächen der Laser-Schutzbrillen
Bei Einsatz von Laser-Schutzbrillen im Freien zum Schutz gegen Laserstrahlen, die die MZB-Werte überschreiten, ist zu bedenken, dass Reflexionen an der Laserschutzbrille, sowohl an der Filterscheibe als auch am Tragkörper den Laserbereich erheblich erweitern können.
Abbildung A10.3: Laserbereich bei Vorhandensein von spiegelnden Reflexionen
Die Laserstrahlen können, je nach Lage der reflektierenden Fläche zum Zeitpunkt des Auftreffens, in unterschiedliche Richtungen abgelenkt werden.
Der Abstand von der reflektierenden Stelle, z.B. der Laser-Schutzbrille, bis zum Unterschreiten der MZB-Werte hängt unter anderem ab von:
Als Anhaltswert für sphärisch gekrümmte spiegelnde Flächen mit einem Krümmungsradius von 0,5 m gilt: Ist am Arbeitsplatz eine Schutzstufe des Laser-Schutzfilters von L3 erforderlich, so beträgt der Sicherheitsabstand von der spiegelnd reflektierenden Fläche 10 m. Bei Schutzstufe L4 ist dieser Abstand 30 m und bei L5 dann 100 m.
Kann nicht ausgeschlossen werden, dass Personen mit Ferngläsern oder Fernrohren, auch aus größeren Entfernungen in den Strahl blicken können, so vergrößern sich die Gefahrenbereiche durch Reflexion an der Laserschutzbrille erheblich und zwar bei üblichen Ferngläsern um bis zum Faktor 7 (Vergrößerungsfaktor 7) bei Lasern im Sichtbaren und nahen Infrarot (bis 1400 nm). Ist anzunehmen, dass Teleskope mit mehr als 50 mm Objektivdurchmesser zur Anwendung kommen, so sind diese zusätzlich zu berücksichtigen.
| Glossar | Anhang 11 |
Die folgenden Begriffe erweitern die Begriffsbestimmungen des § 2 der Unfallverhütungsvorschrift "Laserstrahlung" (BGV B2). Sie sind inhaltlich unter anderem der DIN EN 60825-1:2003-10, der BG-Information 832 und der Unfallverhütungsvorschrift BGV B2 entnommen worden.
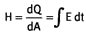
A11.1 Bestrahlungsstärke:
Quotient der Strahlungsleistung dP, die auf ein Flächenelement einfällt, geteilt durch die Fläche da dieses Elements.
Symbol: E = dP / dA
SI-Einheit: Watt je Quadratmeter, W * m-2
A11.2 Bereitstellung:
Nach § 29 und 30 der Unfallverhütungsvorschrift "Grundsätze der Prävention" BGV A1 muss der Unternehmer den Versicherten Augen- und Gesichtsschutz zur Verfügung stellen, wenn die Gefährdungen nicht anders verhindert beziehungsweise ausreichend gemindert werden können (siehe auch PSA-Benutzerverordnung - PSA-BV § 2 Bereitstellung und Benutzung).
A11.3 Brechzahldifferenz (relative Brechzahldifferenz):
Verhältnis der Brechzahl im Kern zur Brechzahl im Mantel in einem Lichtwellenleiter.
| Brechzahldifferenz Δ: | ![]() |
A11.4 Dauerstrich-Laser (kontinuierlich strahlender Laser):
Die Ausgangsstrahlung eines Lasers, der fortlaufend, d. h. nicht gepulst, betrieben wird. In dieser BG-Information wird ein Laser, der über einen längeren Zeitraum als 0,25 s andauernd strahlt, als Dauerstrich-Laser betrachtet.
A11.5 Diffuse Reflexion:
Veränderung der räumlichen Verteilung eines Strahlenbündels nach der Streuung durch eine Oberfläche oder eine Substanz in viele Richtungen. Ein vollkommen diffus streuendes Material zerstört jede Korrelation zwischen den Richtungen der einfallenden und der reflektierten Strahlung.
Anmerkung:
In der Regel tritt diffus und gerichtet reflektierte Strahlung nur zusammen auf.
A11.6 Direkter Blick in den Strahl:
Alle Sehbedingungen, bei denen das Auge einem direkten oder einem spiegelnd reflektierten Laserstrahl ausgesetzt ist, im Gegensatz zur Betrachtung von z.B. diffusen Reflexionen.
A11.7 Einwirkungsdauer:
Die Zeitdauer eines Impulses, einer Impulsfolge oder einer Daueremission von Laserstrahlung, welche auf den menschlichen Körper einwirkt.
A11.8 Emissionsdauer:
Die zeitliche Dauer eines Impulses, einer Impulsfolge oder des Dauerbetriebes, in welcher der Zugang zu Laserstrahlung möglich ist, wenn die Lasereinrichtung betrieben, gewartet oder in Stand gesetzt wird.
Für eine Impulsfolge ist dies die Dauer zwischen dem ersten halben Spitzenwert des führenden Impulses und dem letzten halben Spitzenwert des abschließenden Impulses.
A11.9 Energiedichte:
An einem Punkt der Oberfläche der Quotient aus der Strahlungsenergie dQ, die auf ein Oberflächenelement trifft, das diesen Punkt enthält und der Fläche da dieses Elementes.
| Symbol: H; | ![]() |
SI-Einheit: Joule je Quadratmeter, J * m2
A11.10 Gebündelter Strahl:
Ein "paralleles" Strahlenbündel mit sehr geringer Winkeldivergenz oder -konvergenz.
A11.11 Impulsdauer:
Zeitintervall zwischen den Halbwerten der Spitzenleistung in der ansteigenden und abfallenden Flanke eines Impulses.
A11.12 Impulslaser:
Laser, der seine Energie in Form eines Einzelimpulses oder einer Impulsfolge abgibt. Dabei ist die Zeitdauer eines Impulses kleiner als 0,25 s.
A11.13 Maximale Ausgangsstrahlung:
Die maximale Strahlungsleistung bzw. die maximale Strahlungsenergie pro Impuls der gesamten zugänglichen Strahlung, die eine Lasereinrichtung in irgendeine Richtung bei Nutzung aller apparativen Möglichkeiten zu einer beliebigen Zeit nach der Herstellung abgeben kann.
A11.14 Messblende:
Die kreisförmige Fläche, über die Bestrahlungsstärke und Bestrahlung gemittelt werden müssen.
A11.15 Modenkopplung:
Mechanismus oder eine Erscheinung innerhalb eines Laserresonators, welcher zur Erzeugung eines Zuges sehr kurzer Impulse führt. Diese Erscheinung kann absichtlich herbeigeführt werden oder auch spontan als "selbstständige Modenkopplung" vorkommen. Die dabei auftretenden Spitzenleistungen können beträchtlich höher sein als die mittlere Leistung.
A11.16 NOHD: Nominal Ocular Hazard Distance (Laser-Sicherheitsabstand)
A11.17 Numerische Apertur NA
Die Numerische Apertur ist definiert als Sinus der halben Strahldivergenz Ø des Ausgangsstrahls, gemessen bei den Punkten mit 5 % der Spitzenbestrahlungsstärke.
![]() |
(wenn Luft als Umgebungsmedium, dann n0 = 1) |
Mit dem Brechungsgesetz an der Stirnfläche und dem Grenzwinkel der Totalreflexion in der Faser ergibt sich ein maximaler Einstrahlwinkel
, bei dem die Lichtstrahlen im Kern geführt werden können. Dieser Winkel wird als Akzeptanzwinkel
bezeichnet.
Abbildung A11. 17: Akzeptanzwinkel ΘA
Die numerische Apertur NA ergibt sich aus folgenden Gesetzmäßigkeiten: Grenzwinkel der Totalreflexion im Lichtwellenleiter ØG:
Brechungsgesetz an der Faserendfläche:
Berechnung von cosØG:
Pythagoras:
Ergebnis:
| Numerische Apertur: | ![]() |
| Akzeptanzwinkel: |
mit nk = Brechzahl opt. Kern nM = Brechzahl opt. Mantel n0 = Brechzahl außerhalb der Faser (üblicherweise Luft mit n0 =1) |
Unter dem Sinus des Akzeptanzwinkels ΘA versteht man die numerische Apertur NA. Je größer dieser Wert ist, desto mehr Leistung kann in einem Lichtwellenleiter eingekoppelt werden.
Typische Werte der Numerischen Apertur sind 0,2 bis 0,3.
A11.18 Optische Dichte:
Eigenschaft eines optischen Mediums. Logarithmus zur Basis 10 (Briggscher Logarithmus) des reziproken Wertes des Transmissionsgrades τ.
Symbol: OD; OD = - log10 τ
A11.19 Reflexionsgrad:
Verhältnis der reflektierten Strahlungsleistung zur einfallenden Strahlungsleistung unter gegebenen Bedingungen.
Symbol: ρ
SI-Einheit: 1
A11.20 Richtungsveränderliche Laserstrahlung (scanning):
Laserstrahlung, die bezüglich eines festen Bezugssystems eine mit der Zeit variierende Richtung, einen zeitlich veränderlichen Ursprungsort oder zeitlich veränderliche Ausbreitungsparameter hat.
A11.21 Sichtbare Strahlung (Licht):
Jede optische Strahlung, die unmittelbar eine direkte Lichtempfindung im Auge hervorrufen kann.
Anmerkung:
In dieser BG-Information bedeutet dies die elektromagnetische Strahlung, deren Komponenten im Wellenlängenbereich zwischen 400 nm und 700 nm liegen.
A11.22 Laserart bzw. Strahlungsart:
| Abkürzung | Bezeichnung | Definition |
| D | Dauerstrich | Konstante Leistung über mindestens 0,25 s |
| I | Impuls | Emissionen die < als 0,25 s sind und länger als 10-7 s |
| R | Riesenimpuls | Emission in Impulsen, die kleiner als 10-7 s sind und länger als 1 ns |
| M | Modengekoppelt | Emission in Impulsen, die zwischen 1 ns und 1 ps liegen |
| F | Femtosekunden (in der derzeitigen Norm nichtdefiniert) |
Emission in Impulsen, die kleiner als 1 ps sind (in der derzeitigen Norm nicht definiert) |
A11.23 Spiegelnde Reflexion:
Reflexion an einer Fläche, bei der die Korrelation zwischen den einfallenden und reflektierten Strahlenbündeln aufrechterhalten wird, wie bei der Reflexion an einem Spiegel.
A11.24 Strahl:
Laserstrahlung, die durch Richtung, Strahldivergenz, Strahldurchmesser oder Ablenkeigenschaften charakterisiert werden kann. Gestreute Strahlung von einer nicht spiegelnden Reflexion wird nicht als Strahl angesehen.
A11.25 Strahlaufweiter:
Eine Kombination optischer Elemente, die den Durchmesser eines Laserstrahlenbündels vergrößert.
A11.26 Strahldivergenz:
Die Strahldivergenz ist der ebene Winkel im Fernfeld, der durch den Kegel des Strahldurchmessers festgelegt ist. Wenn die Strahldurchmesser an zwei im Abstand r voneinander liegenden Punkten d63 und d'63 betragen, ist die Divergenz:
SI-Einheit: rad
A11.27 Strahldurchmesser (Strahlbreite):
Der Strahldurchmesser du an einem Punkt im Raum ist der Durchmesser des kleinsten Kreises, der u % der gesamten Strahlungsleistung (oder Energie) umfasst. In dieser BG-Information wirdd63 benutzt.
Anmerkung:
Für ein Gaußsches Strahlbündel entspricht d63 den Punkten, an denen die Bestrahlungsstärke auf 1/e des Maximalwertes in der Strahlmitte (optische Achse) fällt.
A11.28 Strahlungsenergie:
Zeitintegral der Strahlungsleistung über eine bestimmte Zeitdauer Δt.
Symbol:
SI-Einheit: Joule (J)
A11.29 Strahlungsleistung:
In Form von Strahlung ausgesandte, durchgelassene oder empfangene Leistung.
Symbol: P oder φ = dQ/dt
SI-Einheit: Watt (W)
A11.30 Traghilfen:
Sind Teile des Tragkörpers, die zum Befestigen am Ohr des Trägers oder z.B. am Schutzhelm dienen.
Dies sind z.B. Ohrbügel, Kopfband oder Kopfhalterung, Helmhalterung.
A11.31 Tragkörper:
Sind Teile des Augenschutzes. Sie bestehen aus Fassung, Traghilfen, Verbindungselementen und gegebenenfalls zusätzlichen Erweiterungsteilen.
A11.32 Transmissionsgrad:
Eigenschaft eines optischen Mediums. Verhältnis der durchgelassenen Strahlungsleistung zur auffallenden Strahlungsleistung.
Symbol: τ
SI-Einheit: 1
A11.33 Wellenlänge:
Abstand zwischen auf einander folgenden Punkten gleicher Phase einer periodischen Welle, gemessen in Richtung der Wellenausbreitung
Einheit : m
A11.34 Korbbrillen:
Sind Schutzbrillen, bei denen der Tragkörper korbartig ausgebildet ist und aus weichem, elastischem Material besteht, so dass der Brillenkorb den Augenraum umschließt und sich am Gesicht anschmiegt.
A11.35 Korrektions-Schutzbrillen:
Sind Schutzbrillen - in der Regel Gestellbrillen - die mit Sicherheitssichtscheiben mit optisch korrigierender Wirkung ausgestattet sind.
Handelsübliche Korrektionsbrillen haben keine Schutzwirkung gegen Laserstrahlung. Deshalb muss der Unternehmer auch fehlsichtigen Versicherten geeigneten Augenschutz zur Verfügung stellen.
Für kurzfristige Arbeiten über wenige Minuten können z.B. Korb-, Überbrillen oder Visiere getragen werden.
Kombinationen mit Korb- oder Überbrillen neigen allerdings zum Beschlagen, können dadurch zu zusätzlichen Gefährdungen führen und werden deshalb erfahrungsgemäß oft abgelehnt. Außerdem verursachen derartige Kombinationen oft Doppelbilder oder Spiegelungen.
Daher wird der Einsatz von Korrektionsschutz-Brillen empfohlen, da sie Schutzfunktion und korrigierende Wirkung vereinen.
| Bezugsquellenverzeichnis | Anhang 12 |
Nachstehend sind die Bezugsquellen der in dieser BG-Information aufgeführten Vorschriften und Regeln zusammengestellt:
1. Gesetze, Verordnungen
Bezugsquelle: Buchhandel
oder Carl Heymanns Verlag GmbH,
Luxemburger Straße 449, 50939 Köln.
E-Mail: verkauf@heymanns.com
Internet: http://www.heymanns.com
2. Berufsgenossenschaftliche Vorschriften, Regeln und Informationen für Sicherheit und Gesundheit bei der Arbeit sowie Berufsgenossenschaftliche Grundsätze
Bezugsquelle: zuständige Berufsgenossenschaft
oder Carl Heymanns Verlag GmbH,
Luxemburger Straße 449, 50939 Köln.
E-Mail: verkauf@heymanns.com
Internet: http://www.heymanns.com
3. Normen
Bezugsquelle: Beuth Verlag GmbH
Burggrafenstraße 6, 10787 Berlin
E-Mail: postmaster@beuth.de
Internet: http://www.beuth.de
bzw.
VDE-Verlag GmbH,
Bismarckstraße 33, 10625 Berlin
E-Mail: vertrieb@vdeverlag.de
Internet: http://www.vdeverlag.de
![]() |
ENDE | ![]() |
(Stand: 11.08.2025)
Alle vollständigen Texte in der aktuellen Fassung im Jahresabonnement
Nutzungsgebühr: ab 105.- € netto (Grundlizenz)
(derzeit ca. 7200 Titel s.Übersicht - keine Unterteilung in Fachbereiche)
Die Zugangskennung wird kurzfristig übermittelt
? Fragen ?
Abonnentenzugang/Volltextversion