umwelt-online: Archivdatei 2005 Richtlinie für Windenergieanlagen; Einwirkungen und Standsicherheitsnachweise für Turm und Gründung (Nds) (3)
![]() |
zurück | ![]() |
11.2.3 Flachgründungen
11.2.3.1 Grenzzustand der Tragfähigkeit
Infolge der aus den Einwirkungen der Lastfälle 1 und 2 nach Tabelle 5 resultierenden charakteristischen Beanspruchung in der Sohlfläche darf ein Klaffen der Sohlfuge höchstens bis zum Schwerpunkt der Sohlfläche auftreten.
Der Nachweis der Grundbruchsicherheit ist für die Einwirkungen der Lastfälle 1, 2 und 3 nach Tabelle 5 nach DIN 1054: 2003-01, 7.5.2 zu führen. Dabei ist der Bemessungswert des Grundbruchwiderstandes nach DIN 1054: 2003-01, 7.4.2 mit den Teilsicherheitsbeiwerten nach DIN 1054: 2003-01, Tabelle 3 zu ermitteln. Der Bemessungswert der Beanspruchung senkrecht zur Sohlfläche ergibt sich nach DIN 1054: 2003-01, 7.3.2 (1), wobei abweichend von DIN 1054 die Teilsicherheitsbeiwerte nach Tabelle 3 dieser Richtlinie anzusetzen sind, d.h. für die ungünstig wirkenden Windlasten darf unter Beachtung der Fußnote in Tabelle 3 ein Teilsicherheitsbeiwert γF= 1,35 angesetzt werden.
Bei aufgelösten Fundamenten, z.B. unter Gittertürmen ist zusätzlich zum Nachweis der Grundbruchsicherheit nachzuweisen, dass bei Gegenüberstellung der günstig und ungünstig wirkenden charakteristischen Einwirkungen der Lastfälle 1, 2 und 3 nach Tabelle 5 eine Kippsicherheit von 1,5, bezogen auf die Verbindungslinie der äußersten Fundamentkanten, gegeben ist.
11.2.3.2 Grenzzustand der Gebrauchstauglichkeit
Infolge der aus der Einwirkungskombination DLC 1.0 nach Tabelle 1 resultierenden charakteristischen Beanspruchung darf in der Sohlfläche keine klaffende Fuge auftreten.
11.2.4 Pfahlgründungen (äußere Tragfähigkeit)
Der Nachweis der äußeren Pfahltragfähigkeit ist für die Einwirkungen der Lastfälle 1, 2 und 3 nach Tabelle 5 nach DIN 1054 zu führen. Der Bemessungswert der Beanspruchung ergibt sich nach DIN 1054: 2003-01, 8.3.4, wobei abweichend von DIN 1054 die Teilsicherheitsbeiwerte nach Tabelle 3 dieser Richtlinie anzusetzen sind.
Anstelle eines Nachweises gegen Ermüdung hinsichtlich der äußeren Tragfähigkeit darf ersatzweise der Nachweis geführt werden, dass unter den charakteristischen Werten der Einwirkungskombination DLC 1.0 nach Tabelle 1 keine Zugbeanspruchungen in den Pfählen auftreten.
12 Konstruktionsdetails
12.1 Ringflanschverbindungen bei stählernen Türmen
Ringflanschverbindungen müssen nach DIN 18800-7 planmäßig vorgespannt werden.
Beim Tragsicherheitsnachweis der Flanschverbindungen braucht die Vorspannkraft der Schrauben nicht berücksichtigt zu werden, d.h. der Tragsicherheitsnachweis darf wie für eine nicht vorgespannte Schraubenverbindung geführt werden. Lokale Plastizierungen (Fließgelenke im Flansch und/oder im Turmmantel) dürfen dabei berücksichtigt werden.
Beim Ermüdungssicherheitsnachweis der Flanschverbindung darf die Ermüdungsbeanspruchung der Schrauben unter Berücksichtigung der Druckvorspannung der Flansche ermittelt werden, sofern die nachfolgenden Bedingungen eingehalten werden.
Bild 4 Ringflanschverbindungen in stählernen Türmen:
Beim Ermüdungssicherheitsnachweis darf die Vorspannkraft der Schrauben höchstens mit 70 % der planmäßigen Schraubenvorspannkraft angesetzt werden. 90% der planmäßigen Schraubenvorspannkraft dürfen angesetzt werden, wenn innerhalb des 1. Halbjahres nach der Montage, jedoch nicht unmittelbar nach Inbetriebnahme, die planmäßige Vorspannung in den Schrauben durch Nachspannen sichergestellt wird.
Dem Ermüdungssicherheitsnachweis ist die nichtlineare Schraubenkraftfunktion Fs = f(Z) zugrunde zu legen, aus der für vorgegebene Schwingbreiten ΔZ der Turmmantelkraft die ermüdungsrelevante Schwingbreite ΔFsder Schraubenkraft abgelesen wird (siehe Bild 5) 17. Bei der Ermittlung der Schraubenkraftfunktion sind die bei der Ausführung tolerierten Flanschklaffungen als Imperfektionen zu berücksichtigen.
Der Ermüdungssicherheitsnachweis ist mit den Schwingbreiten der Summe aus Schraubennormalkraft- und Schraubenbiegespannungen im Spannungsquerschnitt gegen Kerbfallklasse 50 19zu führen. Wird ein vereinfachtes Berechnungsmodell verwendet, das nur Schraubenkräfte liefert, so ist der Nachweis gegen Kerbfallklasse 36* 19 zu führen.
Bild 5: Schraubenkraftfunktionen vorgespannter Ringflanschverbindungen.

12.2 Öffnungen in der Wand von Stahlrohrtürmen
Soll die Beulsicherheit der Turmwand im Öffnungsbereich mit Hilfe von Finite-Elemente-Analysen nachgewiesen werden, so ist ein "Numerisch gestützter Beulsicherheitsnachweis mittels globaler linearer elastischer Berechnung (LA) oder geometrisch nichtlinearer elastischer Berechnung (GNA)" nach DINV ENV 1993-1-6, 8.6, zu führen. Dabei ist der ideale Beulwiderstand Rcraus einer geometrisch nichtlinearen elastischen Berechnung (GNA) zu ermitteln. Bei der Festlegung der maßgebenden Stelle für die Ermittlung des plastischen Referenzwiderstandes RPl darf der engere Bereich um die Öffnung herum unberücksichtigt bleiben; dieser engere Bereich darf nicht breiter als 2 (r × t)0,5 angesetzt werden.
Im Bereich randversteifter Öffnungen mit vorgebundenen Längssteifen (siehe Bild 6a) darf der Beulsicherheitsnachweis vereinfacht nach DASt-Richtlinie 017, Entwurf Oktober 1992, Abschnitt 5 geführt werden. Die dafür genannten konstruktiven Randbedingungen und Gültigkeitsgrenzen sind zu beachten.
Im Bereich umlaufend randversteifter Öffnungen ohne vorgebundene Längssteifen ("Kragensteifen", siehe Bild 6b) darf der Beulsicherheitsnachweis vereinfacht wie für eine ungeschwächte Turmwand geführt werden, wenn anstelle der Grenz-Axialbeulspannung nach DIN 18800-4 die reduzierte Grenz-Axialbeulspannung nach Gleichung (9) verwendet wird:
| σxS,R,d = C1 × σxS,R,dDIN | (9) |
Dabei ist:
| σxS,R,dDIN | Grenz-Axialbeulspannung nach DIN 18800-4. Dabei darf Gleichung (7) in Anspruch genommen werden, sofern ihre Gültigkeitsgrenzen eingehalten sind. |
| C1 | Reduktionsfaktor gemäß Gleichung (10) zur Erfassung des Öffnungseinflusses. |
| C1= A1 - B1- (r / t) | (10) |
mit A1 und B1 nach Tabelle 6
Tabelle 6: Beiwerte für Gleichung (10)
| S 235 | S 355 | |||
| A1 | B1 | A1 | B1 | |
| δ = 20° | 1,00 | 0,0019 | 0,95 | 0,0021 |
| δ = 30° | 0,90 | 0.0019 | 0,85 | 0,0021 |
| δ = 60° | 0,75 | 0,0022 | 0,70 | 0,0024 |
| δ ist der Öffnungswinkel in Umfangsrichtung Für Zwischenwerte von 8 dürfen A1und B1linear interpoliert werden. |
||||
Die vorstehenden Regeln sind gültig für
Turmwände mit (r/t)< 160,Öffnungswinkel δ< 60°,
Öffnungsmaße h1 / b1< 3
sowie für Öffnungsrandsteifen,
die mit konstantem Querschnitt um die ganze Öffnung laufen,deren Querschnittsfläche mindestens einem Drittel der Öffnungsfehlfläche entspricht,
deren Querschnitt an den Öffnungslängsrändern mittig zur Wandmittelfläche angeordnet ist (siehe Bild 6c) und
deren Querschnittsteile die grenz (b/t)-Werte nach DIN 18800-1:1990-11, Tabelle 15, einhalten.
Bild 6: Öffnungen in der Wand von Stahlrohrtürmen

12.3 Scherbeanspruchte Schraubenverbindungen
Schraubenverbindungen bei Anschlüssen und Stößen von Bauteilen des Haupttragwerkes müssen als Scher-Lochleibungs-Passverbindungen (SLP, SLVP) oder als gleitfest planmäßig vorgespannte Verbindungen (GV, GVP) ausgeführt werden.
Bei SLP- und SLVP-Verbindungen sind für die gelochten Bauteile und die Schrauben die Nachweise nach den Abschnitten 10.1.2 und 10.1.4 zu führen. Bei Passverbindungen mit feuerverzinkten Bauteilen sind spezielle Korrosionsschutzmaßnahmen zu treffen.
Bei GV- und GVP-Verbindungen ist nachzuweisen, dass im Grenzzustand der Tragsicherheit die maximale auf eine Schraube in einer Scherfuge entfallene Kraft die Grenzgleitkraft nach Gleichung (11) nicht überschreitet:
|
(11) |
Dabei ist:
| Fv | Regel-Vorspannkraft nach DIN 18800-7:2002-09, Tabellen 5 und 6. Diese Vorspannkraft ist durch Überprüfung und ggf. Nachspannen innerhalb des 1. Halbjahres nach der Montage, jedoch nicht unmittelbar nach Inbetriebnahme, sicherzustellen. |
| µ< 0,5 | Reibungszahl für die Ausführung der Kontaktflächen nach DIN 18800-7: 2002-09, Elemente (825) und (826). Für andere Ausführungen ist gemäß Element (826) die Reibungszahl durch eine Verfahrensprüfung nachzuweisen. |
| γM,3 = 1,25 | Sicherheitsbeiwert bei Einwirkungskombinationen der Gruppe N und den Betriebsbedingungen 1 bis 4 nach Tabelle 1 |
| γM,3= 1,1 | Sicherheitsbeiwert bei Einwirkungskombinationen der Gruppen N, a und T und den Betriebsbedingungen 5 bis 8 nach Tabelle 1 |
Außerdem sind die Nachweise der Tragsicherheit für die gelochten Bauteile und die Schrauben hinsichtlich Abscheren und Lochleibung zu führen.
13 Wiederkehrende Prüfungen
13.1 Allgemeines
Wiederkehrende Prüfungen sind in regelmäßigen Intervallen durch Sachverständige an Maschine und Rotorblättern und auch an der Turmkonstruktion durchzuführen. Die Prüfintervalle hierfür ergeben sich aus den gutachterlichen Stellungnahmen zur Maschine (siehe Abschnitt 3 ). Sie betragen höchstens 2 Jahre, dürfen jedoch auf vier Jahre verlängert werden, wenn durch von der Herstellerfirma autorisierte Sachkundige eine laufende (mindestens jährliche) Überwachung und Wartung der Windenergieanlage durchgeführt wird.
13.2 Umfang der Wiederkehrenden Prüfung
Die Maschine einschließlich der elektrotechnischen Einrichtungen des Betriebsführungs- und Sicherheitssystems sowie der Rotorblätter ist im Hinblick auf einen mängelfreien Zustand zu untersuchen. Dabei müssen die Prüfungen nach den Vorgaben in dem begutachteten Wartungspflichtenbuch und ggf. weiteren Auflagen in den übrigen Gutachten durchgeführt werden (siehe Abschnitt 3 ).
Es ist sicherzustellen, dass die sicherheitsrelevanten Grenzwerte entsprechend den begutachteten Ausführungsunterlagen eingehalten werden.
Für den Turm ist mindestens eine Sichtprüfung durchzuführen, wobei die einzelnen Bauteile aus unmittelbarer Nähe zu untersuchen und die zu untersuchenden Stellen nach Erfordernis zu reinigen bzw. freizulegen sind.
Es ist zu prüfen, ob die Turmkonstruktion im Hinblick auf die Standsicherheit Schäden (z.B. Korrosion, Risse in den tragenden Stahl- bzw. Betonkonstruktionen) und unzulässige Veränderungen gegenüber der genehmigten Ausführung (z.B. bezüglich der Vorspannung der Schrauben, der zulässigen Schiefstellung, der erforderlichen Erdauflast auf dem Fundament) aufweist.
Bei planmäßig vorgespannten Schrauben ist mindestens eine Sicht- und Lockerheitskontrolle durchzuführen.
13.3 Unterlagen der zu prüfenden Windenergieanlage
Für die Wiederkehrende Prüfung sind mindestens die folgenden Unterlagen einzusehen:
13.4 Maßnahmen
13.4.1 Reparaturen
Für die vom Sachverständigen festgestellten Mängel ist ein Zeitrahmen für eine fachgerechte Reparatur vorzugeben.
Die Reparatur muss vom Hersteller der Windenergieanlage, von einer vom Hersteller autorisierten oder von einer auf diesem Gebiet spezialisierten Fachfirma, die über alle notwendigen Kenntnisse, Unterlagen und Hilfsmittel verfügt, durchgeführt werden.
13.4.2 Außerbetriebnahme und Wiederinbetriebnahme
Bei Mängeln, die die Standsicherheit der Windenergieanlage ganz oder teilweise gefährden oder durch die unmittelbare Gefahren von der Maschine und den Rotorblättern ausgehen können, ist die Anlage unverzüglich außer Betrieb zu setzen.
Die Wiederinbetriebnahme nach Beseitigung der Mängel setzt die Freigabe durch den Sachverständigen voraus.
13.5 Dokumentation
Das Ergebnis der Wiederkehrenden Prüfung ist in einem Bericht festzuhalten, der mindestens die folgenden Informationen enthalten muss:
Über durchgeführte Reparaturen aufgrund von standsicherheitsrelevanten Auflagen ist ein Bericht anzufertigen.
Diese Dokumentation ist vom Betreiber über die gesamte Nutzungsdauer der Windenergieanlage aufzubewahren.
| Turbulenzerhöhungen in der Nachlaufströmung benachbarter Windenergieanlagen | Anhang A: |
Der Einfluss erhöhter Turbulenzen in der Nachlaufströmung während des Betriebes benachbarter, im Abstand a; von der betrachteten Anlage stehender Windenergieanlagen i, darf beim Nachweis der Ermüdungssicherheit durch eine effektive Turbulenzintensität leff berücksichtigt werden.
Mit si = ai/ D, wobei für D der jeweils größere Rotordurchmesser einzusetzen ist, gilt für den Fall, dass min si> 10 :
| leff = σ1 / vhub | (A.1) |
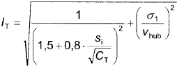
für den Fall, dass min si < 10 :
![]() |
(A.2) |
Dabei ist:
| Pw | die Wahrscheinlichkeit der Nachlaufsituation; sie darf mit pw = 0,06 angenommen werden |
| IT | die maximale Turbulenzintensität in Nabenhöhe der jeweiligen Anlage |
![]() |
(A.3) |
| Si | der auf den größten Rotordurchmesser bezogene dimensionslose Abstand von der Turmachse der betrachteten Windenergieanlage zur Turmachse der benachbarten Windenergieanlage i |
| n | die Anzahl der benachbarten Windenergieanlagen |
| m | der Exponent der Wöhler-Kurve für den Werkstoff des betrachteten Bauteiles, für Stahl m = 3 |
| σ1 | die Standardabweichung der örtlichen Umgebungsturbulenz in Meter pro Sekunde |
| vhub | die Windgeschwindigkeit in Nabenhöhe in Meter pro Sekunde |
| CT | Schubbeiwert des Rotors, bezogen auf die umschriebene Rotorfläche |
Einflüsse durch die Nachlaufströmung von Windenergieanlagen, die durch weitere Anlagen verdeckt sind, brauchen nicht berücksichtigt zu werden. So sind z. B von den in einer Reihe angeordneten Anlagen nur die beiden unmittelbar benachbarten Anlagen zu berücksichtigen.
Bei einer Windparkanordnung ist die Anzahl n der bei der Ermittlung von leff zu berücksichtigenden benachbarten Windenergieanlagen Tabelle A.1 zu entnehmen (siehe auch Bild A.1).
Tabelle A.1: Anzahl der zu berücksichtigenden Anlagen bei Windparkanordnung
| Windparkanordnung | n |
| 2 Windenergieanlagen | 1 |
| Anordnung in einer Reihe | 2 |
| Anordnung in 2 Reihen | 5 |
| Innerhalb eines Windparks mit mehr als 2 Reihen | 8 |
Bild A.1: Zu berücksichtigende benachbarte Anlagen bei Windparkanordnung mit mehr als 2 Reihen
Innerhalb größerer Windparks können Windenergieanlagen Turbulenzen erzeugen, die zu einer Erhöhung der Grundturbulenz führen. Daher ist, wenn
![]() |
(A.4) |
Dabei ist:
|
(A.5) | |
| sr, sf | die auf den größten Rotordurchmesser bezogenen dimensionslosen Abstände innerhalb einer Reihe bzw. zwischen den Reihen | |
| CT | Schubbeiwert des Rotors, bezogen auf die umschriebene Rotorfläche | |
In den oben angegebenen Gleichungen wird von einer gleichmäßigen Windrichtungsverteilung ausgegangen. Für andere Verteilungen können die Gleichungen entsprechend angepasst werden.
| Anhang B | Windlasten |
Dieser Anhang entfällt mit der Herausgabe der Folgeausgabe von DIN 1055-4, Fassung August 1986.
B.1 Allgemeines
Die resultierende Windlast Wi Abschnitt i der vom Wind getroffenen Fläche ermittelt sich zu
| Wi = cfi × qi × Ai | (B.1) |
Dabei ist
| cfi | auf den Abschnitt i bezogener aerodynamischer Kraftbeiwert |
| qi | Staudruck in Höhe zi über Gelände |
| Ai | Bezugsfläche im Abschnitt i |
Der aerodynamische Kraftbeiwert cfi und die zugehörige Bezugsfläche Ai sind DIN 1055-4:1986-08 zu entnehmen. Für Bauteilformen, die in dieser Norm nicht enthalten sind, dürfen die Werte dem anerkannten, auf Windkanalversuchen beruhenden Schrifttum entnommen oder durch Versuche im Windkanal ermittelt werden.
Der Staudruck q(z) in der Höhe z über Gelände ergibt sich wie folgt aus der maßgebenden Windgeschwindigkeit
| q(z) = ρ/2 v2(z) | (B.2) |
Dabei ist
| ρ | Luftdichte; sie darf mit p = 1,225 kg/m3angenommen werden |
| v(z) | Windgeschwindigkeit in der Höhe z über Gelände |
Die Windgeschwindigkeit in der Höhe z über Gelände ist wie folgt zu ermitteln:
| v(z) = v(10) × (Z / 10)α | (B.3) |
Dabei ist
| v(10) | Bezugswert der Windgeschwindigkeit in 10 m Höhe über Gelände |
| α | Geländerauigkeitsexponent |
| z | Höhe über Gelände in m |
B.2 Windbedingungen
Die Referenzgeschwindigkeit vref, das ist die Windgeschwindigkeit des 50-Jahres Windes in 10 m Höhe, ist für die vier Windzonen (Staudruckzonen) nach DIN 4131:1991-11, Anhang A, in Tabelle B.1, Spalte 2 angegeben.
Der Geländerauigkeitsexponent ist hierfür mit α = 0,16 anzunehmen.
Der Bezugswert der 50-Jahres-Bö in 10 m Höhe, ve50(10), ist für die vier Windzonen (Staudruckzonen) nach DIN 4131:1991-11, Anhang A, in Tabelle B.1, Spalte 3 angegeben.
Der Geländerauigkeitsexponent ist hierfür mit Α = 0,11 anzunehmen.
Tabelle B.1: Referenzgeschwindigkeit vref = vm50(10) und Bezugswert der 50-Jahres-Bö Ve50(10) in m/s
| 1 | 2 | 3 |
| Zone | vref= vm50(10) | ve50(10) |
| I | 24,3 | 35,5 |
| II | 27,6 | 39,6 |
| III | 32,0 | 45,8 |
| IV | 36,8 | 51,2 |
Die Werte der Tabelle B.1 für Zone I gelten nur für Standorte mit Geländehöhen bis zu 800 m über NN.
In exponierten Lagen, z.B. auf Erhebungen, kann sich die Windgeschwindigkeit erhöhen. Sofern keine genaueren Untersuchungen durchgeführt werden,
Bezeichnungen siehe Bild B.1.
Für die Untersuchung der Montagezustände darf der Staudruck, der sich aus den Windgeschwindigkeiten des 50-Jahres-Windes oder der 50-Jahres-Bö ergibt, in Abhängigkeit von der Dauer dieses Zustandes nach Tabelle B.2 reduziert werden.
Tabelle B.2: Reduzierte Staudrücke für die Untersuchung der Montagezustände
| Dauer des Montagezustandes | Staudruck |
| 1 Tag | 0,2 q |
| 2 Tage bis 24 Monate | 0,7 q |
Bild B.1: Erläuterungen zum Einfluss exponierter Lagen auf die Windgeschwindigkeit
B.3 Böreaktionsfaktor zur Berücksichtigung der Schwingungswirkung infolge Erregung durch Windböen
Das im Folgenden angegebene Verfahren zur Ermittlung des Böreaktionsfaktors G gilt für vertikale Kragsysteme unter Berücksichtigung der Grundschwingung. Der Böreaktionsfaktor ist auf die der mittleren Windgeschwindigkeit (10-Min-Mittelwert) zugehörige Windlast bezogen. Er berücksichtigt sowohl die Turbulenz des Windes (Böigkeit) als auch die dynamische Bauwerksreaktion.
Das hier angegebene Berechnungsverfahren basiert auf dem Verfahren nach E DIN 1055-4. Es wurde für die Türme von Windenergieanlagen unter Berücksichtigung folgender Annahmen vereinfacht:
Sind diese Vorgaben nicht erfüllt, ist der Böreaktionsfaktor nach (Norm-Entwurf) DIN 1055-4, Ausgabe März 2001 zu berechnen.
Das Integrallängenmaß der Turbulenz wird mit Li = 200m angenommen. Der Böreaktionsfaktor G kann anhand Gleichung (B.4) berechnet werden.
![]() |
(B.4) |
Dabei ist
| g | Spitzenfaktor nach Gleichung (B.6) |
| lv(Zeff) | Turbulenzintesität in der effektiven Höhe nach Gleichung (B.5) |
| Q02 | quasi-statischer Anteil (Böengrundanteil) der Böenreaktion nach Gleichung (B.8) |
| Rx2 | Resonanzanteil der Antwort infolge der Böenreaktion nach Gleichung (B.9) |
Die Turbulenzintensität berechnet sich nach Gleichung (B.5) folgendermaßen:
| Iv(Zeff) = 0,19 × (Zeff / 10)-0,16 | (B.5) |
Dabei ist
| Zeff | effektive Höhe des Turms, Zeff= 0,6 × h |
| h | Höhe des Turmes |
Der Spitzenfaktor g ist nach Gleichung (B.6) wie folgt definiert:
![]() |
(B.6) |
Dabei ist
| t | Mittelungszeitraum (t = 600 s = 10 min) für die Referenzgeschwingdigkeit vref |
| νE | Erwartungswert der Frequenz der Böenreaktion nach Gleichung (B.7) |
Der Erwartungswert der Frequenz der Böenreaktion berechnet sich nach Gleichung (B.7) wie folgt:
![]() |
(B.7) |
Dabei ist
| f0,1 | erste Eigenfrequenz des Turms |
| Rx2 | Resonanzanteil der Antwort infolge der Böenreaktion nach Gleichung (B.9) |
| Q02 | quasi-statischer Anteil (Böengrundanteil) der Böenreaktion nach Gleichung (B.8) |
Der Böengrundanteil der Böenreaktion, Q02, ist nach Gleichung (B.8) wie folgt definiert:
| Q02 = 1 / [1 + 0,09 × (1,1 × h / 200)0,63] | (B.8) |
Der Resonanzanteil der Antwort infolge der Böenreaktion, Rx2, ist nach Gleichung (B.9) wie folgt definiert:
| Rx2 = (π2 / 2) × δ × RN × Rh | (B.9) |
Dabei ist
| δ | logarithmisches Dämpfungsdekrement (siehe Abschnitt 8.5) |
| RN | dimensionslose spektrale Dichtefunktion der Windgeschwindigkeit nach Gleichung (B.10) |
| Rh | aerodynamische Übertragungsfunktion nach Gleichung (B.12) |
Die dimensionslose spektrale Dichtefunktion der Windgeschwindigkeit berechnet sich nach Gleichung (B.10) wie folgt:
| RN = 6,8 × N1,x / (1 + 10,2 × N1,x)5/3 | (B10) |
Dabei ist
| N1,x = f0,1 × 200 / vm50(Zeff) | (B11) |
Die aerodynamische Übertragungsfunktion Rh für die Grundschwingungsform mit gleichsinnigem Vorzeichen (gleichgerichtete Verformung) wird wie folgt berechnet:
| Rh = 1/η - 1/2 × η2 × (1- e- 2 × η) | für η > 0 | (B.12) |
| Rh = 1 | für η = 0 | |
| η = 4,6 × N1,x × h / 200 | (B.13) | |
B.4 Wirbelerregte Querschwingungen
Die durch wirbelerregte Schwingungen rechtwinklig zur Windrichtung hervorgerufenen Beanspruchungen bei Türmen mit kreisförmigen oder annähernd kreisförmigen Querschnitten sind nach dem in DIN 4131:1991-11 oder in DIN 4133:1991-11 jeweils im Anhang a angegebenen Verfahren zu ermitteln.
________________
1) In der Regel wird die tatsächliche Lebensdauer größer als die Entwurfslebensdauer sein.
2) In DIN EN 61400-1 wird hierfür der Begriff "Bemessungsleistung" verwendet.
3) In DIN EN 61400-1 bezeichnet vref(Großbuchstabe V) die für die Auslegung der Maschine maßgebende Windgeschwindigkeit des 50-Jahres-Windes in Nabenhöhe
4) In DIN EN 61400-1 wird hierfür der Begriff "Bemessungswindgeschwindigkeit" verwendet.
5) Sofern in dieser Richtlinie nicht anderes bestimmt ist, gelten bis zur Herausgabe einer Folgeausgabe der zur Zeit gültigen Fassung August 1986 von DIN 1055-4 die entsprechenden Regelungen des Anhangs B.
6) Bis zur Herausgabe einer Folgeausgabe der zur Zeit gültigen Fassung August 1986 von DIN 1055-4 gelten die entsprechenden Regelungen des Anhangs B.
7) Bis zur Herausgabe einer Folgeausgabe der zur Zeit gültigen Fassung August 1986 von DIN 1055-4 gelten die entsprechenden Regelungen des Anhangs B.
8) Für typenberechnungen kann als sinnvoller Wert für diese Einwirkung eine Setzungsdifferenz zwischen den Außenkanten des Fundamentes von 40 mm oder eine Schiefstellung des Turmes von 3 mm/m angenommen werden. Im Einzelfall ist die Richtigkeit dieser Annahme durch ein Bodengutachten zu bestätigen.
9) Bis zur Herausgabe einer Folgeausgabe der zur Zeit gültigen Fassung August 1986 von DIN 1055-4 gilt hierfür DIN 1055-4: 1986-08, 2.1
10) Der jeweils angegebene Abschnitt von DIN EN 61400-1 gilt auch für die zusätzlichen Einwirkungskombinationen der entsprechenden Betriebsbedingung
11) Zusätzlich zu DIN EN 61400-1 zu berücksichtigende Einwirkungskombinationen
12) Windbedingungen nach DIN 1055-4. Bis zur Herausgabe einer Folgeausgabe der zur Zeit gültigen Fassung August 1986 von DIN 1055-4 gelten die entsprechenden Regelungen des Anhangs B.
13) Ausnahme siehe z.B. Abschnitt 12.1
14) Bis zur Herausgabe einer Folgeausgabe der zur Zeit gültigen Fassung August 1986 von DIN 1055-4 gilt hierfür die entsprechende Regelung des Anhangs B.
15) Bis zur Herausgabe einer Folgeausgabe der zur Zeit gültigen Fassung August 1986 von DIN 1055-4 gilt hierfür DIN 1055-4: 1986-08, 2.1
16) Bis zur Herausgabe einer Folgeausgabe der zur Zeit gültigen Fassung August 1986 von DIN 1055-4 können die Berechnungen nach Angaben in der einschlägigen Fachliteratur durchgeführt werden.
17) Hierfür wird anstelle der Beanspruchungskollektive ggf. die vollständige Markow- oder Rainflow-Matrix benötigt.
18) Petersen, Christian: "Stahlbau - Grundlagen der Berechnung und baulichen Ausbildung von Stahlbauten", Verlag Vieweg & Sohn, Braunschweig, Wiesbaden,1993
19) Kerbfallklassen nach DIN V ENV 1993-1-1
__________________
Alle Zitate von DIN EN 61400-1 beziehen sich auf folgende Version: DIN EN 61400-1: 2004.
![]() |
ENDE | ![]() |
(Stand: 25.07.2018)
Alle vollständigen Texte in der aktuellen Fassung im Jahresabonnement
Nutzungsgebühr: ab 105.- € netto
(derzeit ca. 7200 Titel s.Übersicht - keine Unterteilung in Fachbereiche)
Die Zugangskennung wird kurzfristig übermittelt
? Fragen ?
Abonnentenzugang/Volltextversion