umwelt-online: DIN 1045-3 Tragwerke aus Beton, Stahlbeton und Spannbeton; Bauausführung (2)
![]() |
zurück | ![]() |
8.5 Einbringen und Verdichten
(1) Beim Einbringen in die Schalung, insbesondere in Stützen- und Wandschalungen, darf sich der Beton nicht entmischen. Er ist z.B. durch Fallrohre zusammenzuhalten.
(2) Die Betoniergeschwindigkeit ist auf den aufnehmbaren Schalungsdruck abzustimmen.
(3) Der Beton ist so einzubringen und zu verdichten, dass die Bewehrung dicht mit Beton umhüllt wird. Die Verdichtung muss möglichst vollständig und besonders sorgfältig in den Ecken, längs der Schalung, in engen Bereichen, bei Einbauteilen, Fugeneinlagen und Bewehrungsanschlüssen erfolgen. Unter Umständen empfiehlt sich ein Nachverdichten des Betons.
(4) Wird keine Arbeitsfuge vorgesehen, darf beim Einbau in Lagen das Betonieren nur so lange unterbrochen werden, bis die zuletzt eingebrachte Betonschicht noch nicht erstarrt ist, so dass noch eine gute und gleichmäßige Verbindung zwischen beiden Betonschichten möglich ist. Bei Verwendung von Innenrüttlern muss die Rüttelflasche noch in die untere, bereits verdichtete Schicht eindringen.
(5) Beim Verdichten von hochfestem Beton ist zu beachten, dass gegenüber Normalbeton gleicher Konsistenz ein erhöhter Verdichtungsaufwand erforderlich ist.
(6) Beim Einbringen und Verdichten des Betons in der Nähe von Spanngliedern ist besonders darauf zu achten, dass diese nicht beschädigt oder in ihrer Lage verschoben werden.
8.6 Oberflächenbearbeitung
Wird ein bestimmter Oberflächenabschluss gefordert, ist das gewählte Bearbeitungsverfahren zum jeweils notwendigen Zeitpunkt durchzuführen.
8.7 Nachbehandlung und Schutz
8.7.1 Allgemeines
Während der ersten Tage der Hydratation ist der Beton, falls nachfolgend nichts anderes festgelegt ist, nachzubehandeln und gegebenenfalls zu schützen, um
8.7.2 Nachbehandlungsverfahren
(1) Die Nachbehandlungsverfahren müssen sicherstellen, dass ein übermäßiges Verdunsten von Wasser über die Betonoberfläche verhindert wird.
(2) Eine ausreichende Nachbehandlung ist ohne Anwendung der in 8.7.2, Absatz (3), genannten Maßnahmen gegeben, wenn infolge natürlicher Bedingungen während der ersten Tage der Hydratation die Verdunstung über die Betonoberfläche nur gering ist (z.B. bei feuchtem, regnerischem oder nebligem Wetter). Dies ist der Fall, wenn die relative Luftfeuchte 85 % nicht unterschreitet.
(3) Folgende Verfahren sind sowohl allein als auch in Kombination für die Nachbehandlung geeignet:
(4) Andere Nachbehandlungsverfahren können angewendet werden, wenn sie die Anforderungen von 8.7.2, Absatz (1), erfüllen.
8.7.3 Beginn der Nachbehandlung
Nach Abschluss des Verdichtens oder der Oberflächenbearbeitung des Betons ist die Oberfläche unmittelbar nachzubehandeln.
8.7.4 Nachbehandlungsdauer
(1) Die Nachbehandlungsdauer hängt von der Entwicklung der Betoneigenschaften in der Randzone ab.
(2) Bei Umweltbedingungen, die den Expositionsklassen nach DIN 1045-2 außer X0, XC1 und XM entsprechen, muss der Beton so lange nachbehandelt werden, bis die Festigkeit des oberflächennahen Betons 50 % der charakteristischen Festigkeit des verwendeten Betons erreicht hat. Diese Anforderung ist in Tabelle 2 in eine entsprechende Mindestdauer der Nachbehandlung umgesetzt. Ein genauer Nachweis ist möglich.
(3) Bei Umweltbedingungen, die den Expositionsklassen XO und XC1 nach DIN 1045-2:2001-07 entsprechen (z.B. Bauteile ohne Bewehrung, Innenbauteile), muss der Beton mindestens einen halben Tag nachbehandelt werden. Bei mehr als 5 h Verarbeitbarkeitszeit ist die Nachbehandlungsdauer angemessen zu verlängern. Bei Temperaturen der Betonoberfläche unter 5°C ist die Nachbehandlungsdauer um die Zeit zu verlängern, während deren die Temperatur unter 5°C lag.
Tabelle 2 - Mindestdauer der Nachbehandlung von Beton bei den Expositionsklassen nach DIN 1045-2 außer X0, XC1 und XM
| Nr. | 1 | 2 | 3 | 4 | 5 |
| Oberflächentemperatur
υ in °Ce |
Mindestdauer der Nachbehandlung in Tagena | ||||
| Festigkeitsentwicklung des Betonsc
r =fcm2/fcm28d |
|||||
| r> 0,50 | r> 0,30 | r> 0,15 | r < 0,15 | ||
| 1 | υ> 25 | 1 | 2 | 2 | 3 |
| 2 | 25 >υ> 15 | 1 | 2 | 4 | 5 |
| 3 | 15 >υ> 10 | 2 | 4 | 7 | 10 |
| 4 | 10 >υ> 5b | 3 | 6 | 10 | 15 |
| a | Bei mehr als 5 h Verarbeitbarkeitszeit ist die Nachbehandlungsdauer angemessen zu verlängern. |
| b | Bei Temperaturen unter 5 °C ist die Nachbehandlungsdauer um die Zeit zu verlängern, während deren die Temperatur unter 5 °C lag. |
| c | Die Festigkeitsentwicklung des Betons wird durch das Verhältnis der Mittelwerte der Druckfestigkeiten nach 2 Tagen und nach 28 Tagen (ermittelt nach DIN 1048-5) beschrieben, das bei der Eignungsprüfung oder auf der Grundlage eines bekannten Verhältnisses von Beton vergleichbarer Zusammensetzung (d. h. gleicher Zement, gleicher w/z-Wert) ermittelt wurde. |
| d | Zwischenwerte dürfen eingeschaltet werden. |
| e | Anstelle der Oberflächentemperatur des Betons darf rf die Lufttemperatur angesetzt werden. |
(4) Für Betonoberflächen, die einem Verschleiß entsprechend den Expositionsklassen XM nach DIN 1045-2:2001-07 ausgesetzt sind, muss der Beton so lange nachbehandelt werden, bis die Festigkeit des oberflächennahen Betons 70 % der charakteristischen Festigkeit des verwendeten Betons erreicht hat. Ohne genaueren Nachweis sind die Werte für die Mindestdauer der Nachbehandlung der Tabelle 2 zu verdoppeln.
8.7.5 Nachbehandlungsmittel
Nachbehandlungsmittel sind in der Regel nicht zulässig in Arbeitsfugen und bei Oberflächen, die beschichtet werden sollen. In diesen Fällen ist entweder nachzuweisen, dass keine nachteilige Auswirkung auf die nachfolgenden Arbeiten besteht, oder die Nachbehandlungsmittel sind von der Betonoberfläche zu entfernen.
9 Bauen mit Betonfertigteilen
(1) Für das Bauen mit Betonfertigteilen ist eine Montageanweisung erforderlich, welche die nachfolgenden Angaben für Handhabung, Lagerung, Versetzen und Einbau von Betonfertigteilen enthalten muss. Sie muss auf der Baustelle verfügbar sein.
(2) Für die Handhabung sind folgende Angaben notwendig:
(3) Für die Lagerung sind die Anordnung der Auflagerpunkte und die größte Höhe des Lagerstapels mit den zur Sicherstellung der Standsicherheit erforderlichen Maßnahmen anzugeben.
(4) Für das Versetzen sind die Anordnung der Lager und Unterstützungen sowie vorübergehende Sicherungsmaßnahmen festzulegen.
(5) Für die Durchführung der Montage sind in den bautechnischen Unterlagen detaillierte Angaben zum Anheben, Versetzen und Einbau der Betonfertigteile einschließlich der Angaben zum Herstellen der Verbindungen, zum Einbau zusätzlicher Bewehrung sowie zum Einbau von Beton erforderlich.
(6) Fertigteile mit Beschädigungen, welche die Standsicherheit und Gebrauchstauglichkeit gefährden, dürfen nicht eingebaut werden.
10 Maßtoleranzen
10.1 Allgemeines
(1) Um das funktionsgerechte Zusammenfügen von Bauwerken und Bauteilen des Roh- und Ausbaus ohne Anpass- und Nacharbeiten (Passgenauigkeit) sicherzustellen, sind die Grenzabmaße nach 10.2 einzuhalten.
(2) Im Hinblick auf Korrosionsschutz, Verbundsicherung und Brandschutz muss die nach DIN 1045-1:2001-07, 6.3, geforderte Mindestbetondeckungcmin unabhängig von den in 10.3 festgelegten Grenzabmaßen (Vorhaltemaße Δc) mit ausreichender Zuverlässigkeit eingehalten werden.
(3) Aufgrund der in DIN 1045-1:2001-07, 5.3.3 und 5.3.4, angegebenen Teilsicherheitsbeiwerte bzw. Kombinationen für die Einwirkungen und den Tragwerkswiderstand bei der Bemessung und beim Nachweis der Lagesicherheit sind die in 10.4 festgelegten Grenzabmaße Δl und Δh einzuhalten, damit die Nachweise in den Grenzzuständen der Tragfähigkeit nach DIN 1045-1:2001-07, Abschnitt 10, gültig sind. Andere Grenzabmaße als nach 10.4 dürfen festgelegt werden, sofern nachgewiesen wird, dass diese das geforderte Sicherheitsniveau nach DIN 1045-1 nicht verringern.
10.2 Grenzabmaße für die Passgenauigkeit
Es gelten die Festlegungen von DIN 18201, DIN 18202 und DIN 18203-1.
10.3 Grenzabmaße für die Betondeckung
Für die Grenzabmaße der Betondeckung (Vorhaltemaße Δc) gelten die Festlegungen nach DIN 1045-1:2001-07, 6.3.
10.4 Grenzabmaße für die Tragsicherheit
(1) In Abhängigkeit vom Nennmaß der Abmessungl des Betonquerschnitts gilt für die Querschnittsabmessungen (Gesamtdicke eines Balkens oder einer Platte, Breite eines Balkens oder Steges, seitliche Abmessung einer Stütze) als Grenzabmaß Δl:
| fürl< 150 mm: | Δl = ±10 mm | (1) |
| für 150 <l< 400 mm: | Δl = ±15 mm | (2) |
| für 400 <l< 2500 mm: | Δl = ±30 mm | (3) |
Zwischenwerte dürfen linear interpoliert werden. Die Grenzabmaße Δl werden in der Regel eingehalten, wenn die Grenzabmaße nach 10.2 zu Grunde gelegt werden.
(2) In Abhängigkeit von der Höheh des Betonquerschnitts gilt für die Lage der Spannglieder, bezogen auf die planmäßige Lage, als Grenzabmaß Δh:
(3) fürh< 200 mm:
| - | für jedes Einzelspannglied: | |
| Δh = ±0,025h | (4) | |
| fürh > 200 mm: | ||
| - | für die Summe aller Spannglieder: | |
| Δh = ±0,025h, jedoch nicht größer als Δh = ±20 mm | (5) | |
| - | für jedes Einzelspannglied: | |
| Δh = ±0,04h, jedoch nicht größer als Δh = ±30 mm | (6) | |
11 Überwachung durch das Bauunternehmen
11.1 Allgemeines
(1) Die Überwachung durch das Bauunternehmen muss sicherstellen, dass die Bauausführung in Übereinstimmung mit dieser Norm und der Projektbeschreibung erfolgt.
(2) Durch das Bauunternehmen ist nach jeder Anlieferung von Baustoffen und Bauteilen die Übereinstimmung des Lieferscheins oder des Beipackzettels mit den bautechnischen Unterlagen zu überprüfen. Nicht ausreichend gekennzeichnete Baustoffe und Bauteile dürfen nicht eingebaut werden.
(3) Aufzeichnungen zur Überwachung sind nur erforderlich, wenn diese in 11.2 bis 11.5 gefordert werden.
(4) Zusätzlich zur Überwachung durch das Bauunternehmen ist eine Überwachung des Einbaus von Beton der Überwachungsklassen 2 und 3 sowie des Einpressens von Zementmörtel in Spannkanäle durch dafür anerkannte Überwachungsstellen (siehe Anhang C und Anhang D) vorzunehmen.
11.2 Überwachung von Gerüsten und Schalungen
(1) Für die Überwachung von Traggerüsten gelten die Festlegungen nach DIN 4421.
(2) Durch die Bauleitung ist zu überprüfen, ob der Beton eine für das Ausrüsten und Ausschalen ausreichende Festigkeit erreicht hat; erst dann darf diese das Ausrüsten und Ausschalen anordnen.
(3) Die Zeitabschnitte des Ausrüstens und Ausschalens sowie die Lufttemperatur und Witterungsverhältnisse sind aufzuzeichnen (z.B. im Bautagebuch).
11.3 Überwachung des Bewehrens
(1) Vor dem Betonieren ist zu überprüfen, ob
(2) Es ist zu überprüfen, ob für das Unternehmen, das die Schweißarbeiten an Betonstahl ausführt, ein Eignungsnachweis nach DIN 4099 vorliegt.
11.4 Überwachung des Vorspannens
(1) Bei Bauteilen mit Spanngliedern mit sofortigem oder nachträglichem Verbund oder mit internen Spanngliedern ohne Verbund ist, sofern zutreffend, vor dem Betonieren zu überprüfen, ob
(2) Bei Spannbetonbauteilen mit externen Spanngliedern ist zusätzlich zu 11.4, Absatz (1), zu überprüfen, ob die Umlenkelemente und Durchführungen den Vorgaben der bautechnischen Unterlagen entsprechen.
(3) Vor dem Vorspannen ist zu überprüfen, ob
(4) Vor dem Vorspannen ist bei Bauteilen mit Spanngliedern mit nachträglichem Verbund zusätzlich zu überprüfen, ob die bei Betontemperaturen unter 5°C zu treffenden Vorkehrungen zum Korrosionsschutz der nicht verpressten Spannglieder erfüllt sind.
(5) Beim Vorspannen ist zu überprüfen und aufzuzeichnen, ob
(6) Für das Einpressen von Zementmörtel in Spannkanäle ist zusätzlich eine Überwachung durch eine dafür anerkannte Überwachungsstelle nach Anhang D erforderlich. Unabhängig davon ist zu überprüfen und aufzuzeichnen, ob
(7) Für das Einpressen von Korrosionsschutzmassen bei Spanngliedern ohne Verbund sind die Anforderungen an die Überwachung der allgemeinen bauaufsichtlichen Zulassung des Spannverfahrens zu entnehmen.
11.5 Überwachung des Betonierens
(1) Neben den maßgebenden Frisch- und Festbetoneigenschaften sind für das Betonieren zu überprüfen und aufzuzeichnen (z.B. im Bautagebuch):
(2) Für die Überprüfung der maßgebenden Frisch- und Festbetoneigenschaften wird der Beton in drei Überwachungsklassen nach Tabelle 3 eingeteilt, wobei für die Einordnung eines Betons bei mehreren zutreffenden Überwachungsklassen die höchste maßgebend ist. Umfang und Häufigkeit der durchzuführenden Prüfungen sind im Anhang a festgelegt.
Tabelle 3 - Überwachungsklassen für den Beton
| Spalte | 1 | 2 | 3 | 4 |
| Zeile | Gegenstand | Überwachungsklasse 1 | Überwachungsklasse 2 | Überwachungsklasse 3 |
| 1 | Druckfestigkeitsklasse für Normal- und Schwerbeton nach DIN EN 206-1 und DIN 1045-2 | < C25/30a | > C30/37 und< C50/60 | > C55/67 |
| 2 | Druckfestigkeitsklasse für Leichtbeton nach DIN EN 206-1 und DIN 1045-2 der Rohdichteklassen | |||
| D1,0 bis D1,4 | - nicht anwendbar | < LC25/28 | > LC30/33 | |
| 3 | D1,6 bis D2,0 | < LC25/28 | LC 30/33 und LC35/38 | > LC40/44 |
| 4 | Expositionsklasse nach DIN 1045-2 | X0, XC XF1 | XS, XD, XA, XMb> XF2 | - |
| 5 | Besondere Betoneigenschaften d |
|
| a | Wird Beton der Überwachungsklassen 2 und 3 eingebaut, muss die Überwachung durch das Bauunternehmen zusätzlich die Anforderung von Anhang B erfüllen und eine Überwachung durch eine dafür anerkannte Überwachungsstelle nach Anhang C durchgeführt werden. |
| b | Spannbeton der Festigkeitsklasse C25/30 ist stets in Überwachungsklasse 2 einzuordnen. |
| c | Gilt nicht für übliche Industrieböden |
| d | Beton mit hohem Wassereindringwiderstand darf in die Überwachungsklasse 1 eingeordnet werden, wenn der Baukörper nur zeitweilig aufstauendem Sickerwasser ausgesetzt ist und wenn in der Projektbeschreibung nichts anderes festgelegt ist. |
| Prüfungen für die maßgebenden Frisch- und Festbetoneigenschaften | Anhang A |
(normativ)
A.1 Allgemeines
(1) Die Proben für die Prüfungen müssen auf der Baustelle und, sofern maßgebend, nach Einstellen der festgelegten Konsistenz zufällig ausgewählt und nach DIN EN 12350-1 entnommen werden.
(2) Für Beton nach Eigenschaften sind bei Verwendung von Transportbeton die Prüfungen nach Tabelle A.1 durchzuführen. Bei Verwendung von Baustellenbeton sind zusätzlich zu den Prüfungen nach DIN EN 206-1 und DIN 1045-2 Prüfungen nach Tabelle A.1, Zeile 8, durchzuführen.
(3) Für Standardbeton sind die Prüfungen nach Tabelle A.1, Zeilen 1, 2, 4 und 8, durchzuführen.
(4) Für Beton nach Zusammensetzung sind die Prüfungen nach Tabelle A.2 durchzuführen.
Das Bauunternehmen hat sich dabei für alle Überwachungsklassen einer ständigen Betonprüfstelle nach Anhang B zu bedienen. Sofern nichts anderes vereinbart ist, kann das Prinzip der Betonfamilien unter den in DIN EN 206-1:2001-07, 8.2.1.1, und DIN 1045-2:2001-07, 8.2.1.1, genannten Voraussetzungen angewendet werden.
Tabelle A.1 - Umfang und Häufigkeit der Prüfungen bei Beton nach Eigenschaften
| Spalte | 1 | 2 | 3 | 4 | 5 | 6 |
| Zeile | Gegenstand | Prüfverfahren | Anforderung | Häufigkeit für Überwachungsklasse | ||
| 1 | 2 | 3 | ||||
| Frisch- und Festbetoneigenschaften | ||||||
| 1 | Lieferschein | Augenscheinprüfung | Übereinstimmung mit der Festlegung | Jedes Lieferfahrzeug | ||
| 2 | Konsistenza | Augenscheinprüfung | Normales Aussehen, wie festgelegt | Stichprobe | Jedes Lieferfahrzeug | |
| DIN EN 12350-2, DIN EN 12350-3 oder DIN EN 12350-4 |
Wie festgelegt | Nur in Zweifelsfällen | Beim ersten Einbringen jeder Betonzusammensetzung;
bei Herstellung von Probekörpern für die Festigkeitsprüfung; in Zweifelsfällen |
|||
| 3 | Frischbetonrohdichte von Leichtbeton und Schwerbeton | DIN EN 12350-6 DIN EN 12350-5 |
Wie festgelegt | Bei Herstellung von Probekörpern für die Festigkeitsprüfung;
in Zweifelsfällen |
||
| 4 | Gleichmäßigkeit des Betons | Augenscheinprüfung | Homogenes Erscheinungsbild | Stichprobe | Jedes Lieferfahrzeug | |
| Vergleich von Eigenschaften | Stichproben müssen die gleichen Eigenschaften aufweisen | In Zweifelsfällen | ||||
| 5 | Druckfestigkeit | Nach A.2 | Wie festgelegt, mit den Annahmekriterien nach Anhang A.2 | Nur in Zweifelsfällen | Nach Anhang A.2 | |
| 6 | Luftgehalt von Luftporenbeton | DIN 12350-7 für Normal- und Schwerbeton sowie ASTM C 173 für Leichtbeton | Wie festgelegt | Nicht zutreffend | Zu Beginn jedes Betonierabschnitts;
in Zweifelsfällen |
|
| 7 | Andere Eigenschaften | In Übereinstimmung mit Normen, Richtlinien oder wie vorab vereinbart | - | - | - | - |
| Technische Einrichtungen | ||||||
| 8 | Verdichtungsgeräte | Funktionskontrolle | Einwandfreies Arbeiten | In angemessenen Zeitabständen | Bei Beginn der Betonierarbeiten, dann mindestens monatlich | Je Betoniertag |
| 9 | Mess- und Laborgeräte | Funktionskontrolle | Ausreichende Messgenauigkeit | Bei Inbetriebnahme, dann in angemessenen Zeitabständen | Je Betoniertag | |
| a | In Abhängigkeit vom gewählten Prüfverfahren |
Tabelle A.2 - Umfang und Häufigkeit der Prüfungen bei Beton nach Zusammensetzung
| Spalte | 1 | 2 | 3 | 4 | 5 | 6 |
| Zeile | Gegenstand | Prüfverfahren | Anforderung | Häufigkeit für Überwachungsklasse | ||
| 1 | 2 | 3 | ||||
| Frisch- und Festbetoneigenschaften | ||||||
| 1 | Lieferschein, falls zutreffend | Augenscheinprüfung | Übereinstimmung mit den Vorgaben | Jedes Lieferfahrzeug | ||
| 2 | Konsistenza | Augenscheinprüfung | Normales Aussehen, wie vorgegeben | Stichprobe | Jede Mischung bzw. jedes Lieferfahrzeug | |
| DIN EN 12350-2, DIN EN 12350-3 oder DIN EN 12350-4 |
Wie vorgegeben, mit den Konformitätskriterien nach DIN EN 206-1:2001-07, 8.2.3.2 und Tabelle 24 | Beim ersten Einbringen jeder Betonzusammensetzung;
bei Herstellung von Probekörpern für die Festigkeitsprüfung; bei Prüfung des Luftgehaltes; in Zweifelsfällen |
||||
| 3 | Frischbetonrohdichte von Leichtbeton und Schwerbeton | DIN 12350-6 DIN EN 12350-5 |
Wie vorgegeben | Bei Herstellung von Probekörpern für die Festigkeitsprüfung | ||
| 4 | Rohdichte von erhärtetem Leichtbeton oder Schwerbeton | DIN 1048-5 | Wie vorgegeben, mit den Konformitätskriterien nach DIN EN 206-1:2001-07, 8.2.3.2 und Tabelle 24 | An jedem Probekörper für die Festigkeitsprüfung;
in Zweifelsfällen |
||
| 5 | Druckfestigkeit | DIN 1048-5 | Wie vorgegeben, mit den Konformitätskriterien nach DIN EN 206-1:2001-07, 8.2.1.3 und Tabelle 24 | Nach DIN EN 206-1:2001-07, 8.2.1.2 und Tabelle 19b;
in Zweifelsfällen |
||
| 6 | Luftgehalt von Luftporenbeton | DIN EN 12350-7 für Normal- und Schwerbeton sowie ASTM C 173 für Leichtbeton | Wie vorgegeben, mit den Konformitätskriterien nach DIN EN 206-1:2001-07, 8.2.3.2 und Tabelle 24 | Nicht zutreffend | Zu Beginn jedes Betonierabschnitts;
in Zweifelsfällen |
|
| 7 | Andere Eigenschaften | In Übereinstimmung mit Normen, Richtlinien oder wie vorab vereinbart | ||||
| Technische Einrichtungen | ||||||
| 8 | Verdichtungsgeräte | Funktionskontrolle | Einwandfreies Arbeiten | In angemessenen Zeitabständen | Bei Beginn der Betonierarbeiten, dann mindestens monatlich | Betoniertag |
| 9 | Mess- und Laborgeräte | Funktionskontrolle | Ausreichende Messgenauigkeit | Bei Inbetriebnahme, dann in angemessenen Zeitabständen | Je Betoniertag | |
| a | In Abhängigkeit vom gewählten Prüfverfahren |
| b | Für die Herstellung, Lagerung und Prüfung der Probekörper gilt DIN EN 206-1, 5.5.1.2, und DIN 1045-2, 5.5.1.2. |
A.2 Prüfung der Druckfestigkeit für Beton nach Eigenschaften bei Verwendung von Transportbeton
(1) Für jeden verwendeten Beton der Überwachungsklassen 2 und 3 sind mindestens 3 Proben zu entnehmen und zwar:
wobei diejenige Anforderung, welche die größte Anzahl von Proben ergibt, maßgebend ist.
Anmerkung: Die Prüfung muss für jeden verwendeten Beton (bisher als Betonsorte bezeichnet) erfolgen. Betone mit gleichen Ausgangsstoffen, gleichem w/z-Wert (gegebenenfalls unter Anrechnung von Flugasche und Silika nach DIN 1045-2:2001-07, 5.2.5), aber anderem Größtkorn gelten als ein Beton.
(2) Die Betonproben müssen etwa gleichmäßig über die Betonierzeit verteilt und aus verschiedenen Lieferfahrzeugen entnommen werden, wobei aus jeder Probe ein Probekörper herzustellen ist.
(3) Wenn nichts anderes vereinbart ist, ist die Druckfestigkeit an Probekörpern nach DIN EN 206-1:2001-07, 5.5.1.2, und DIN 1045-2:2001-07, 5.5.1.2, zu bestimmen.
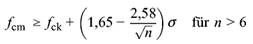
(4) Die Beurteilung der Ergebnisse der Druckfestigkeitsprüfung erfolgt nach den Kriterien der Tabelle A.3 für jeden Einzelwert (Kriterium 2) und für den Mittelwert von "n" nicht überlappenden Einzelwerten (Kriterium 1). Wurden mehr als 6 Einzelwerte ermittelt, ist der Mittelwert aller Einzelwerte nach Gleichung (A.1) zu bewerten.
Tabelle A.3 - Annahmekriterien für Ergebnisse der Druckfestigkeitsprüfung
| Kriterium 1 | Kriterium 2 | |
| Anzahl "n" der Einzelwerte | Mittelwert von "n" Einzelwerten fcm N/mm2 |
Jeder Einzelwertfci N/mm2 |
| 3 bis 4 | >fck + 1 | >fck - 4 |
| 5 bis 6 | >fck + 2 | >fck - 4 |
![]() |
(A.1) |
Dabei ist
| fck | die charakteristische Druckfestigkeit des verwendeten Betons; |
| σ | die Standardabweichung der Stichprobe fürn> 35, wobei
σ> 3N/mm2 für Überwachungsklasse 2, σ> 5N/mm2 für Überwachungsklasse 3. |
Für 6 <n < 35 gilt unabhängig von der Überwachungsklasse:σ = 4N/mm2.
(5) Der Beton ist anzunehmen, wenn die Identität des Betons mit der Grundgesamtheit, für die nach DIN 1045-2 eine Übereinstimmungsbescheinigung erteilt wurde, nachgewiesen wird. Der Nachweis gilt als erbracht, wenn entweder beide Kriterien nach Tabelle A.3 oder das Kriterium in Gleichung (A.1) und das Kriterium 2 nach Tabelle A.3 erfüllt werden.
(6) Wenn der Nachweis nach A.2, Absatz (5), nicht erbracht werden kann, muss das Bauunternehmen geeignete Maßnahmen nach DIN EN 206-1:2001-07, 8.4, Anmerkung, und DIN 1045-2:2001-07, 8.4, ergreifen (siehe DIN EN 206-1:2001-07, 8.4, Anmerkung, und DIN 1045-2:2001-07, 8.4).
| Überwachung des Einbaus von Beton der Überwachungsklassen 2 und 3 durch das Bauunternehmen | Anhang B |
(normativ)
B.1 Ständige Betonprüfstelle
(1) Wird Beton der Überwachungsklassen 2 und 3 eingebaut, muss das Bauunternehmen über eine ständige Betonprüfstelle verfügen, die
(2) Das Bauunternehmen oder der Leiter der zuständigen Betonprüfstelle hat für eine Schulung seiner Fachkräfte in Abständen von höchstens drei Jahren zu sorgen und diese Schulung in Aufzeichnungen festzuhalten.
(3) Bedient sich das Bauunternehmen einer nicht unternehmenseigenen Prüfstelle, so sind die Prüfungsaufgaben der Prüfstelle durch schriftliche Vereinbarung zu übertragen. Diese Vereinbarung muss mindestens eine Laufzeit von einem Jahr haben. Dabei darf das Bauunternehmen keine Prüfstelle beauftragen, die auch den Hersteller des Betons überwacht oder von diesem wirtschaftlich abhängig ist.
(4) Die ständige Betonprüfstelle hat insbesondere folgende Aufgaben:
B.2 Aufzeichnungen
(1) Beim Einbau von Beton der Überwachungsklassen 2 und 3 sind folgende Angaben aufzuzeichnen und nach Abschluss der Arbeiten mindestens fünf Jahre aufzubewahren:
(2) Nach Beendigung der Bauarbeiten sind die Ergebnisse aller Prüfungen für Beton der Überwachungsklassen 2 und 3 nach Anhang A der bauüberwachenden Behörde und der Überwachungsstelle nach Anhang C zu übergeben.
B.3 Kennzeichnung der Baustelle
Baustellen, auf denen Beton der Überwachungsklassen 2 und 3 eingebaut wird, sind an deutlich sichtbarer Stelle unter Angabe von "DIN 1045-3" und der Überwachungsstelle nach Anhang C zu kennzeichnen.
| Überwachung des Einbaus von Beton der Überwachungsklassen 2 und 3 durch eine dafür anerkannte Überwachungsstelle | Anhang C |
(normativ)
C.1 Allgemeines
(1) Der Einbau von Beton der Überwachungsklassen 2 und 3 ist durch eine Überwachungsstelle zu prüfen.
(2) Vor Aufnahme dieser Überwachung ist zunächst zu prüfen, ob das Bauunternehmen den Nachweis erbracht hat, dass es über Fachkräfte mit besonderer Sachkunde und Erfahrung sowie über die gerätemäßige Ausstattung für einen ordnungsgemäßen Einbau des Betons verfügt.
(3) Das Bauunternehmen hat der Überwachungsstelle schriftlich mitzuteilen:
C.2 Art und Häufigkeit
(1) Die Aufzeichnungen der Überwachung durch das Bauunternehmen nach B.2 sind von der Überwachungsstelle mindestens zweimal im Jahr zu überprüfen. Dabei ist auch festzustellen, ob die ständige Betonprüfstelle die Anforderungen von B.1 noch erfüllt.
(2) Jede Baustelle, auf der Beton der Überwachungsklassen 2 und 3 eingebaut wird, ist mindestens einmal zu überprüfen. Bei länger andauernden Baustellen sind weitere Überprüfungen in angemessenen Zeitabständen durchzuführen. Die Häufigkeit dieser Überprüfungen liegt im pflichtgemäßen Ermessen der Überwachungsstelle und richtet sich nach deren Feststellungen und den Ergebnissen der Überwachung durch das Bauunternehmen und der Überwachung durch die Überwachungsstelle; dabei sind die Zuverlässigkeit der Überprüfung durch das Bauunternehmen und die Feststellungen bei der jeweiligen Überwachung durch die Überwachungsstelle sowie die besonderen Anforderungen an den Einbau des Betons zu berücksichtigen.
(3) Nach wesentlichen Beanstandungen oder unzureichenden Prüfergebnissen ist unverzüglich eine Wiederholungsprüfung durchzuführen. Mängel, die im Rahmen der Überwachung durch das Bauunternehmen festgestellt und unverzüglich - wenn nötig auch im Bauwerk - abgestellt worden sind, können unbeanstandet bleiben.
C.3 Umfang
(1) Der mit der Überwachung Beauftragte hat Einblick zu nehmen insbesondere in
(2) Der mit der Überwachung Beauftragte kann Überprüfungen durchführen; insbesondere kommen folgende Überprüfungen in Betracht:
(3) In Zweifelsfällen hat der mit der Überwachung Beauftragte weitere Überprüfungen durchzuführen.
C.4 Probenahme
(1) Über die Entnahme der Proben ist von dem mit den Überwachungen Beauftragten ein Protokoll anzufertigen und von der Bauleitung des Bauunternehmens gegenzuzeichnen.
(2) Das Protokoll muss mindestens folgende Angaben enthalten:
C.5 Überwachungsbericht
(1) Die Ergebnisse der Überwachung durch die Überwachungsstelle sind in einem Überwachungsbericht festzuhalten. Der Bericht muss mindestens enthalten:
(2) Der Bericht ist an der Baustelle und bei der Überwachungsstelle aufzubewahren und den Beauftragten der zuständigen Behörde auf Verlangen vorzulegen.
| Überwachung des Einpressens von Zementmörtel in Spannkanäle durch eine dafür anerkannte Überwachungsstelle3) | Anhang D |
(normativ)
(1) Das Einpressen von Zementmörtel in Spannkanäle nach DIN EN 446 ist durch eine dafür anerkannte Überwachungsstelle zu überwachen.
(2) Beginn und Abschluss von Einpressarbeiten sind der Überwachungsstelle schriftlich mitzuteilen.
(3) Art, Umfang und Häufigkeit der von der Überwachungsstelle durchzuführenden Überprüfungen liegen in ihrem pflichtgemäßen Ermessen in Abhängigkeit von den Ergebnissen der Überwachung durch das Bauunternehmen.
| Literaturhinweise |
[l] DBV-Merkblatt Abstandhalter 4).
[2] DBV-Merkblatt Betondeckung und Bewehrung 4).
[3] DBV-Merkblatt Rückbiegen von Betonstahl und Anforderungen an Verwahrkästen 4).
[4] DBV-Merkblatt Sichtbeton 4).
[5] DBV-Merkblatt Unterstützungen 4).
[6] ISB-Merkblatt Nr. 1: Betonstahl - Kennzeichnung 5).
_______________
1) Siehe DAfStb-Heft 422 "Prüfung von Beton - Empfehlungen und Hinweise als Ergänzung zu DIN 1048".
2) Zu beziehen über: Beuth Verlag GmbH, 10772 Berlin.
3) Die dafür anerkannten Überwachungsstellen sind dem beim Deutschen Institut für Bautechnik geführten "Verzeichnis der Prüf-, Überwachungs- und Zertifizierungsstellen nach den Landesbauordnungen", Teil V oder Teil 1, lfd. Nr. 1.5.15, zu entnehmen.
4) Zu beziehen über: Deutscher Beton- und Bautechnik-Verein E.V., Postfach 11 05 12, 10835 Berlin.
5) Zu beziehen über Institut für Stahlbetonbewehrung e. V., Landsberger Str. 408, 81241 München.
![]() |
ENDE | ![]() |
(Stand: 11.03.2019)
Alle vollständigen Texte in der aktuellen Fassung im Jahresabonnement
Nutzungsgebühr: ab 105.- € netto
(derzeit ca. 7200 Titel s.Übersicht - keine Unterteilung in Fachbereiche)
Die Zugangskennung wird kurzfristig übermittelt
? Fragen ?
Abonnentenzugang/Volltextversion