umwelt-online: DIN 4102 Teil 4/A1 Brandverhalten von Baustoffen und Bauteilen (2)
![]() |
zurück | ![]() |
3.3 Änderungen zum Leichtbeton mit haufwerksporigem Gefüge und bewehrtem Porenbeton
Anm.: Angaben zu unbewehrtem Porenbeton nach DIN 4102-4:1994-03, 4.6, finden sich in 3.2 "Änderungen zum Mauerwerksbau" in dieser Norm.
Die im Folgenden im eingerückten Teil angegebenen Abschnittsnummern und Verweise beziehen sich auf DIN 4102-4:1994-03, sofern in diesem eingerückten Teil nicht anderweitig festgelegt. Es werden dort lediglich die geänderten bzw. neu aufgenommenen Abschnitte bzw. Unterabschnitte einschließlich etwaiger Tabellen und Bilder vollständig aufgeführt. Bei teilweiser Änderung wird dies dort in kursiver Schrift angegeben. Dort nicht aufgeführte Abschnitte bzw. Unterabschnitte, Tabellen und Bilder, die in DIN 4102-4:1994-03 aufgeführt sind, verbleiben unverändert unter Beachtung der in 3.6 und 3.7 dieser Änderung A1 angegebenen Aussagen. Zu:
4.7 Feuerwiderstandsklassen von Wänden aus bewehrtem PorenbetonZu Tabelle 44: Tragende und nichttragende Wände aus bewehrtem Porenbeton
Die Fußnote 2) entfällt, da tragende, unbewehrte Porenbeton-Wandtafeln, die derzeitig noch einer allgemeinen bauaufsichtlichen Zulassung bedürfen, wie Mauerwerk aus Porenbeton-Plansteinen nach DIN V 4165 behandelt werden (siehe Zulassungsbescheid).
4.8 Brandwände
Zu Tabelle 45: Zulässige Schlankheit, Mindestwanddicke und Mindestachsabstand von 1- und 2-schaligen Brandwänden (1-seitige Brandbeanspruchung)
Anm.: Angaben zu 1- und 2-schaligen Brandwänden aus bewehrtem Porenbeton finden sich in 3.2 "Änderungen zum Mauerwerksbau", Tabelle 45, Zeile 3, in dieser Norm.
4.8.8 Ausbildung der Fugen zwischen Wandplatten
4.8.8.1 Es gilt zusätzlich:
Wenn das Maß X, das gleich dem Abstand des äußersten Längsstabes der Bewehrung vom Plattenlängsrand in der Bewehrungsanordnung nach Bild 32 entspricht, den Wert 35 mm nicht überschreitet, gilt in Abweichung von Bild 31, Ausführung 1, Folgendes:
Nuttiefe ≥ 10 mm
Federhöhe ≥ 8 mm
4.8.9 Bewehrung von Wandplatten aus Porenbeton
Bild 32 wird wie folgt ersetzt:
Bild 32 - Bewehrung von Wandplatten aus Porenbeton für Brandwände
Maße in mm
| Bewehrungsgehalt in Abhängigkeit von der Plattendicke/Plattenlänge für | |||
| Brandwände F 90 | |||
| Plattenlänge L | Plattendicke d | ||
| 175 mm1 | 200 mm2 | 225 mm2 | |
| mm | Fe = Fe´ (mm2/m) | Fe = Fe´ (mm2/m) | Fe = Fe´ (mm2/m) |
| ≤ 4000 | ≥ 102 | ≥ 102 | ≥ 102 |
| > 4000 - 5000 | ≥ 131 | ≥ 112 | ≥ 102 |
| > 5000 - 6000 | ≥ 190 | ≥ 162 | ≥ 146 |
| > 6000 - 7000 | ≥ 258 | ≥ 220 | ≥ 195 |
| > 7000 - 7600 | - | ≥ 252 | ≥ 222 |
| > 7600 - 8000 | - | - | ≥ 245 |
| 1) Bei d = 175 mm: L/d ≤ 40 2) Bei d ≥ 200 mm: L/d ≤ 38 |
|||
Legende1 Betonstahlmatten mit Bügeln, S-Haken bzw. angeschweißten Verbindungsstäben oder zu einem Korb geschweißten Matten
X Abstand des äußersten Längsstabes der Bewehrung vom oberen bzw. unteren Plattenlängsrand (siehe 4.8.8.1)
3.4 Holzbau
3.4.1 Allgemeines
Es sind die Anpassungen der normativen Verweisungen nach 3.6 und die Korrekturen nach 3.7 zu beachten. Weiterhin ist grundsätzlich DIN V 20000-1 für werkmäßig hergestellte Holzwerkstoffe zu beachten.
Sofern nachfolgend nichts anderes geregelt ist, ist Balkenschichtholz oder Brettschichtholz mindestens wie Vollholz aus Nadelholz zu betrachten und sind OSB-Platten nach DIN EN 300 der technischen Klassen OSB/2, OSB/3 und OSB/4 wie Spanplatten zu betrachten.
Anm. 1: Als wesentliche Änderung entfallen die Tabellen 74 bis 83 sowie 85 zur Ermittlung der Mindestbreiten unbekleideter Holzbauteile. Sie werden durch ein Bemessungsverfahren ersetzt.Anm. 2: Der Abschnitt 3.4 dieser Norm ist erforderlich, da die Änderungen DIN 1052-1/A1:1996-10, DIN 1052-2/A1:1996-10, DIN 1052-3/A1:1996-10 erst nach dem Erscheinen von DIN 4102-4:1994-03 erfolgten.
3.4.2 Kaltbemessung nach der Normenreihe DIN 1052:1988-04 einschließlich DIN 1052/A1:1996-10
Die im Folgenden im eingerückten Teil angegebenen Abschnittsnummern und Verweise beziehen sich auf DIN 4102-4:1994-03, sofern in diesem eingerückten Teil nicht anderweitig festgelegt. Es werden dort lediglich die geänderten bzw. neu aufgenommenen Abschnitte bzw. Unterabschnitte einschließlich etwaiger Tabellen und Bilder vollständig aufgeführt. Bei teilweiser Änderung wird dies dort in kursiver Schrift angegeben. Dort nicht aufgeführte Abschnitte bzw. Unterabschnitte, Tabellen und Bilder, die in DIN 4102-4:1994-03 aufgeführt sind, verbleiben unverändert unter Beachtung der in 3.4.1, 3.6 und 3.7 dieser Änderung A1 angegebenen Aussagen. Zu:
4 Klassifizierte Wände4.12 Feuerwiderstandsklassen von Wänden in Holztafelbauart
4.12.2 Holzrippen
4.12.2.1 Die Rippen müssen aus Nadelschnittholz mindestens der Sortierklasse S 10/C 24M nach DIN 4074-1, Laubschnittholz mindestens der Sortierklasse LS 10/D 30M nach DIN 4074-5 oder aus Brettschichtholz mindestens der Festigkeitsklasse BS 11 bestehen.
Anm.: Wegen Zuordnung von Sortier- und Festigkeitsklassen, siehe Anhang B.
Bei nichttragenden Wänden dürfen die Rippen auch aus Spanplatten nach DIN EN 312:2003-11 einschließlich DIN EN 13986:2002-09 mit einer Rohdichte ≥ 600 kg/m3 bestehen, wenn die Beplankungen ebenfalls aus Spanplatten bestehen und mit den Rippen nach DIN 1052-1:1988-04, 11.1.3, verleimt sind.
4.12.7 Dampfsperren und hinterlüftete Fassaden
In den Tabellen 50 bis 53 ist "zul σD" zu ersetzen durch "zul σD/_.
4.12.8 Gebäudeabschlusswände (F30-B) + (F90-B)
In 4.12.8.2 ist "zul σD" zu ersetzen durch "zul σD/_.
5 Klassifizierte Holzbauteile mit Ausnahme von Wänden
5.2 Feuerwiderstandsklassen von Decken in Holztafelbauart
5.2.1 Anwendungsbereich, Brandbeanspruchung
5.2.1.3 "ähnlichem" ist zu ersetzen durch "einem ähnlich brandschutztechnisch wirksamen Material.
5.2.2 Holzrippen
5.2.2.1 Die Rippen müssen aus Nadelschnittholz mindestens der Sortierklasse S 10/C 24M nach DIN 4074-1, Laubschnittholz mindestens der Sortierklasse LS 10/D 30M nach DIN 4074-5 oder aus Brettschichtholz mindestens der Festigkeitsklasse BS 11 bestehen.
Anm.: Wegen Zuordnung von Sortier- und Festigkeitsklassen, siehe Anhang B.
5.3 Feuerwiderstandsklassen von Holzbalkendecken
5.3.1 Anwendungsbereich, Brandbeanspruchung
5.3.1.1 "Holzbalken mindestens der Sortierklasse S 10 bzw. MS 10 nach DIN 4074 Teil 1" ist zu ersetzen durch "aus Nadelschnittholz mindestens der Sortierklasse S 10/C 24M nach DIN 4074-1, Laubschnittholz mindestens der Sortierklasse LS 10/D 30M nach DIN 4074-5 oder aus Brettschichtholz mindestens der Festigkeitsklasse BS 11".
5.4 Feuerwiderstandsklassen von Dächern aus Holz und Holzwerkstoffen
5.4.3 Dächer mit Dach-Trägern, -Bindern oder ähnlichem mit beliebigen Abmessungen
5.4.3.4 Es ist zu ersetzen: "DIN 18165 Teil 1/07.91, Abschnitt 2.2" durch "DIN V 18165-1:2002-01".
5.5 Feuerwiderstandsklassen von Holzbauteilen
Es ist in 5.5 der Begriff "Holzbalken" durch "Holzbauteil(e)" zu ersetzen.
Anm.: Die Titel des Abschnittes 5.5 wurden falls erforderlich angepasst, da dieser Abschnitt nunmehr allgemein für Holzbauteile und nicht nur für Holzbalken anwendbar ist.
5.5.1 Anwendungsbereich, Brandbeanspruchung
5.5.1.1 Die Angaben von 5.5 gelten für statisch bestimmt oder unbestimmt gelagerte, freiliegende, auf Biegung oder Biegung mit Längskraft beanspruchte Holzbauteile mit Rechteckquerschnitt nach DIN 1052-1:1988-04 und DIN 1052-1/A1:1996-10 aus Nadelschnittholz mindestens der Sortierklasse S 10/C 24M nach DIN 4074-1, Laubschnittholz mindestens der Sortierklasse LS 10/ D 30M nach DIN 4074-5 oder aus Brettschichtholz mindestens der Festigkeitsklasse BS 11. Es wird unterschieden zwischen maximal 3-seitiger und 4-seitiger Brandbeanspruchung.
5.5.1.3 Die Angaben gelten außerdem nur für Holzbauteile ohne Aussparungen; Zapfen- und Bolzenlöcher gelten nicht als Aussparungen. Wegen Aussparungen (÷ffnungen) siehe 5.5.2.5.
5.5.1.4 entfällt
Die Tabellen 74 bis 83 entfallen.
5.5.2 Unbekleidete Holzbauteile
5.5.2.1 Tragende unbekleidete Holzbauteile sind entsprechend den Anwendungsregeln von DIN 1052-1:1988-04 einschließlich DIN 1052-1/A1:1996-10 zu bemessen. Dabei müssen die Materialeigenschaften, die Querschnittsgrößen und die Parameter, die das Tragsystem unter Normaltemperatur beschreiben, durch die entsprechenden Werte unter Brandbeanspruchung ersetzt werden.
Die Parameter, die das Tragsystem bei der Brandschutzbemessung beschreiben, beziehen sich auf modifizierte Auflager- und Randbedingungen für Bauteile/Teile von Tragwerken und, falls erforderlich, auf modifizierte Abstützungsabstände im Fall des vorzeitigen Versagens von Aussteifungen.
Der Einfluss eines Brandes auf Materialeigenschaften und Querschnittsabmessungen darf nach 5.5.2.1 a) durch das vereinfachte Verfahren der Bemessung mit ideellen Restquerschnitten oder nach 5.5.2.1 b) durch das genauere Verfahren der Bemessung mit reduzierter Festigkeit und Steifigkeit berücksichtigt werden.
a) Vereinfachte Verfahren der Bemessung mit ideellen Restquerschnitten
Bei der Bemessung mit ideellen Restquerschnitten wird die Tragfähigkeit des ideellen Restquerschnitts unter der Annahme berechnet, dass Festigkeits- und Steifigkeitseigenschaften nicht durch den Brand beeinflusst werden. Der Verlust an Festigkeit und Steifigkeit unter Brandbeanspruchung wird durch eine erhöhte Abbrandtiefe berücksichtigt.
Der ideelle Restquerschnitt wird durch die Reduzierung des Ausgangsquerschnitts um die ideelle Abbrandtiefe def ermittelt.
def =d (tf) +d0
mit(9) d (tf) - βn x tf (9.1) Dabei ist
d0 = 7 mm;
βn Abbrandrate nach Tabelle 74;
tf geforderte Feuerwiderstandsdauer in min.
Für den Nachweis der Tragfähigkeit sind die Festigkeiten und Steifigkeiten des ideellen Restquerschnitts (siehe Bild 48.1) entsprechend den Gleichungen (10) bis (10.3) unter Verwendung von kmod,fi = 1,0 zu ermitteln.
Bild 48.1 - Definition von verbleibendem und ideellem Restquerschnitt am Beispiel dreiseitiger Brandbeanspruchung
Legende
1 Ausgangsoberßäche des Stabes
2 Grenze des verbleibenden Restquerschnitts
3 Grenze des ideellen Rechteckquerschnitts
Tabelle 74 - Abbrandraten βn für Bauholz
Produkt βn mm/min a) Nadelholz Vollholz mit einer charakteristischen Rohdichte ≥ 290 kg/m³ und einer Mindestabmessung von 35 mm 0,8 Brettschichtholz mit einer charakteristischen Rohdichte ≥ 290 kg/m³ 0,7 b) Laubholz Massives Vollholz mit einer charakteristischen Rohdichte von 290 ≤ ρk < 450 kg/m³ 0,7 Massives Vollholz mit einer charakteristischen Rohdichte ≥ 450 kg/m³ und Eiche 0,5 c) Buche ist wie Nadelholz zu behandeln d) Furnierschichtholz 0,7 e) Platten1 Massivholzplatten 0,9 Sperrholz 1,0 andere Holzwerkstoffplatten nach DIN EN 13986 0,9 1) Die angegebenen Werte beziehen sich auf eine charakteristische Rohdichte von 450 kg/m³ und eine Dicke von 20 mm. Für andere Rohdichten und Dicken ≥ 20 mm ist die Abbrandrate wie folgt zu ermitteln:
βn, p, h = βn x kp x kh (9.2) Dabei ist
(9.3) (9.4) Dabei ist
ρk charakteristischer Wert der Rohdichte entsprechend den jeweiligen Angaben der Holzwerkstoffnormen in kg/m3;
hp Plattendicke in mm.
b) Genaueres Verfahren der Bemessung mit reduzierter Festigkeit und Steifigkeit
Bei der Bemessung mit reduzierter Festigkeit und Steifigkeit wird die Tragfähigkeit des Restquerschnitts unter Berücksichtigung der Abnahme der Festigkeits- und Steifigkeitseigenschaften unter Temperaturerhöhung berücksichtigt.
Die Tragfähigkeiten für Biegung, Druck und Zug sind unter Verwendung des verbleibenden Restquerschnitts und einer Reduzierung der Festigkeits- und Steifigkeitsparameter zu ermitteln.
Der verbleibende Restquerschnitt des Bauteils ist durch eine Reduzierung des Ausgangsquerschnitts durch die Abbrandtiefe d(tf) nach Gleichung (9.1) zu berechnen.
Für den Nachweis der Tragfähigkeit sind die Festigkeiten und Steifigkeiten des verbleibenden Restquerschnitts entsprechend den Gleichungen (10) bis (10.3) zu ermitteln.
(10) (10.1) für Vollholz (10.2) für Brettschichtholz (10.3) Dabei ist
fk charakteristischer Wert der Festigkeit unter Normaltemperatur für Nadelschnittholz nach Tabelle 76, für Laubschnittholz nach Tabelle 77 und für Brettschichtholz nach Tabelle 78;
E0,05 charakteristischer Wert des E-Moduls unter Normaltemperatur für Nadelschnittholz nach Tabelle 76, für Laubschnittholz nach Tabelle 77 und für Brettschichtholz nach Tabelle 78;
G05 charakteristischer Wert des Schubmoduls unter Normaltemperatur für Nadelschnittholz nach Tabelle 76, für Laubschnittholz nach Tabelle 77 und für Brettschichtholz nach Tabelle 78;
yM,fi= 1,0;
kmod,fi Modifikationsfaktor, der die Auswirkungen von Temperatur auf die Festigkeit und Steifigkeit berücksichtigt
-für die Biegefestigkeit: kmod,fi = 1 - 1/225 x ur/Ar (10.4) - für die Druckfestigkeit parallel zur Faser: kmod,fi = 1 - 1/125 x ur/Ar (10.5) - für die Zugfestigkeit parallel zur Faser, den E-Modul und den Schubmodul: kmod,fi = 1 - 1/333 x ur/Ar (10.6) Dabei ist
ur der Restquerschnittsumfang der beflammten Seiten in m
Ar die Fläche des verbleibenden Restquerschnitts in m2
kmod,fi siehe Bild 48.2
Bild 48.2 - kmod,fi in Abhängigkeit vom Verhältnis ur/Ar
Legende
1 Zug, E-Modul und Schubmodul
2 Biegung
3 Druck
kfi Faktor zur Ermittlung des 20%-Fraktilwertes der Festigkeit und Steifigkeit aus dem 5%-Fraktilwert
Die Werte für kfi sind entsprechend Tabelle 75 anzusetzen.
Tabelle 75 - Werte für kfi
Produkt kfi Vollholz 1,25 Brettschichtholz 1,15 Furnierschichtholz 1,1 Holzwerkstoffplatten 1,15 auf Abscheren beanspruchte Holz- Holz- bzw. Holzwerkstoff-Holz- Verbindungen 1,15 auf Abscheren beanspruchte Stahl- Holz-Verbindungen 1,05 auf Herausziehen beanspruchte Verbindungen 1,05 Tabelle 76 - Rechenwerte für die charakteristischen Festigkeits- und Steifigkeitskennwerte für Nadelholz
1 2 3 4 5 6 1 Sortierklasse S 7/C 16M S 10/C 24M S 13/C 30M C 35M C 40M Festigkeitskennwerte in N/mm2 2 Biegung fm,k 16 24 30 35 40 3 Zug parallel ft,0,k 10 14 18 21 24 4 Druck parallel fc,0,k 17 21 23 25 26 Steifigkeitskennwerte in N/mm2 5 Elastizitätsmodul parallel E0,05 5.300 7.300 8.000 8.600 9.300 6 Schubmodul G05 330 460 500 540 580 Tabelle 77 - Rechenwerte für die charakteristischen Festigkeits- und Steifigkeitskennwerte für Laubholz
1 2 3 4 5 6 1 Sortierklasse LS 10/D 30M LS 10/D 35M LS 13/D 40M LS 10/D 40M LS 10/D 60M 2 Holzart Eiche, Teak, Keruing Buche Buche Afzelia,
Merbau,
AngeliqueAzobé Festigkeitskennwerte in N/mm2 3 Biegung fm,k 30 35 40 40 60 4 Zug parallel ft,0,k 18 21 24 24 36 5 Druck parallel fc,0,k 23 25 26 26 32 Steifigkeitskennwerte in N/mm2 6 Elastizitätsmodul parallel E0,05 8 300 8 300 9 100 9 100 14 100 7 Schubmodul G05 500 540 580 580 880 Tabelle 78 - Rechenwerte für die charakteristischen Festigkeits- und Steifigkeitskennwerte für Brettschichtholz
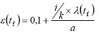
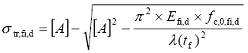
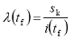
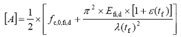
1 2 3 4 5 1 Festigkeitsklasse BS 11 BS 14 BS 16 BS 18 Festigkeitskennwerte in N/mm2 2 Biegung fm,k 24 28 32 36 3 Zug parallel ft,0,k 16,5 19,5 22,5 26 4 Druck parallel fc,0,k 24 26,5 29 31 Steifigkeitskennwerte in N/mm2 5 Elastizitätsmodul parallel E0,05 9.600 10.500 11.400 12.200 6 Schubmodul G05 600 650 700 750 Für den Stabilitätsnachweis druckbeanspruchter Bauteile nach DIN 1052-1:1988-04, 9.3.2 und 9.4, ist die Traglastspannung σtr,fi,d des verbleibenden Restquerschnitts entsprechend Gleichung (10.7) anzusetzen. Wenn die Aussteifung während der maßgebenden Brandbeanspruchung versagt, ist der Knicknachweis wie für einen unausgesteiften Stab zu führen. Ist das Versagen der Aussteifung mit einem gleichzeitigen oder vorherigen Versagen der lasteinleitenden Konstruktion verbunden, kann ein Stabilitätsnachweis druckbeanspruchter Bauteile entfallen.
- Traglastspannung druckbeanspruchter Bauteile:
(10.7) mit
(10.8) λ(tf) Knickschlankheit
(10.9) und
ε(tf) ungewollte Ausmitte
(10.10) Dabei ist
i/k Trägheitsradius/Kernweite;
i/k =1,73 für Rechteckquerschnitte;
i/k = 2,00 für Kreisquerschnitte;
und
α Krümmungswert;
α = 250 für Nadelholz;
α = 500 für Brettschichtholz.
5.5.2.2 Für den Nachweis der Stabilisierung biegebeanspruchter Bauteile nach DIN 1052-1:1988-04, 8.6, ist γ · zul σB durch fm,fi,d zu ersetzen. Die Material- und Querschnittswerte sind für den verbleibenden Restquerschnitt anzunehmen. Wenn die Aussteifung während der maßgebenden Brandbeanspruchung versagt, ist der Kippnachweis wie für einen unausgesteiften Stab zu führen. Ist das Versagen der Aussteifung mit einem gleichzeitigen oder vorherigen Versagen der lasteinleitenden Konstruktion verbunden, kann ein Stabilitätsnachweis biegebeanspruchter Bauteile entfallen.
Es darf angenommen werden, dass die Aussteifung nicht versagt, wenn der verbleibende Restquerschnitt der Aussteifung 60 % der für die Bemessung unter Normaltemperatur erforderlichen Querschnittsfläche beträgt. Mechanische Verbindungsmittel müssen die Anforderungen nach 5.8 erfüllen.
5.5.2.4 Die Gleichungen (9) bis (12) sind zu ersetzen durch die folgenden Gleichungen (11) bis (11.3):
αQ x b x h / 1,5 x b(tf) x h(tf) ≤ 1,0 (11) Dabei ist
αQ Ausnutzungsgrad der Schub- bzw. Scherspannung unter Normaltemperatur nach DIN 1052-1:1988-04;
b(tf) Breite des Restquerschnitts in Abhängigkeit von der Abbrandgeschwindigkeit βn (siehe Tabelle 74) und der Feuerwiderstandsdauer tf
b(tf)=b -2 βn x tf (11.1) h(tf) Höhe des Restquerschnitts in Abhängigkeit von der Abbrandgeschwindigkeit Rn (siehe Tabelle 74) und der Feuerwiderstandsdauer tf
bei 4-seitiger Brandbeanspruchung7:
h (tf)=h - 2 βn x tf (11.2) bei 3-seitiger Brandbeanspruchung7:
h (tf)=h -βn x tf (11.3) _______
7) Siehe DIN 4102-4:1994-03, Seite 72.
5.5.2.5 Verstärkungen von Durchbrüchen müssen nicht gesondert nachgewiesen werden, wenn folgende Voraussetzung erfüllt ist:
Außenliegende Verstärkungen weisen unter Berücksichtigung des rechnerischen Abbrandes nach Tabelle 74 nach der geforderten Zeitdauer des Feuerwiderstandes noch eine Restdicke t nach Gleichung (12) auf.
t ≥ 0,6 x tr (12) Dabei ist
tr erforderliche Mindestdicke der Verstärkung bei Normaltemperatur.
Bild 48 entfällt
5.5.2.6 Für den Nachweis verdübelter Rechteckquerschnitte aus Vollholz oder Brettschichtholz gelten die Angaben von Verfahren 5.5.2.1 a) und Verfahren 5.5.2.1 b). Hinsichtlich der Dübelverbindungen ist 5.8 zu beachten.
5.5.2.7 Für den Nachweis von Balken mit Gerbergelenken gelten die Angaben von Verfahren 5.5.2.1 a) und Verfahren 5.5.2.1 b). Hinsichtlich der Gerbergelenke sind die Randbedingungen von 5.8.10.2 zu beachten.
5.5.3 Bekleidete Holzbauteile
5.5.3.1 Bekleidete Holzbauteile müssen unabhängig von der Spannungsausnutzung und der Holzart die in Tabelle 84, Zeile 1.1, angegebenen Bekleidungsdicken besitzen.
In Tabelle 84 ist zu ersetzen:
In der Tabellenbezeichnung: "Balken, Stützen und Zugglieder" durch "Holzbauteile"
5.6 Feuerwiderstandsklassen von Holzstützen
entfällt
Bild 49 entfällt
Tabelle 85 entfällt
5.7 Feuerwiderstandsklassen von Holz-Zuggliedern
entfällt
5.8 Feuerwiderstandsklassen von Verbindungen nach DIN 1052-2:1988-047 einschließlich DIN 1052-2/A1:1996-10
5.8.4 Stabdübel- und Passbolzenverbindungen nach DIN 1052-2:1988-04, Abschnitt 5
5.8.4.1 "ν" ist im Text und in Gleichung (17) zu ersetzen durch "βn".
5.8.4.2 "ν" ist und in Gleichung (20) zu ersetzen durch "βn".
5.8.9 Holz-Holz-Verbindungen
"ν" ist in Bild 57 und in Gleichung (25) zu ersetzen durch "βn"
3.5 Sonderbauteile
Die im Folgenden im eingerückten Teil angegebenen Abschnittsnummern und Verweise beziehen sich auf DIN 4102-4:1994-03, sofern in diesem eingerückten Teil nicht anderweitig festgelegt. Es werden dort lediglich die geänderten bzw. neu aufgenommenen Abschnitte bzw. Unterabschnitte einschließlich etwaiger Tabellen und Bilder vollständig aufgeführt. Bei teilweiser Änderung wird dies dort in kursiver Schrift angegeben. Dort nicht aufgeführte Abschnitte bzw. Unterabschnitte, Tabellen und Bilder, die in DIN 4102-4:1994-03 aufgeführt sind, verbleiben unverändert unter Beachtung der in 3.6 und 3.7 dieser Änderung A1 angegebenen Aussagen. Zu:
8 Klassifizierte Sonderbauteile mit Ausnahme von Brandwänden8.2 Feuerwiderstandsklassen von Feuerschutzabschlüssen
Entfällt, da sowohl DIN 18082-1 als auch DIN 18082-3 ersatzlos zurückgezogen wurden.
8.7 Gegen Flugfeuer und strahlende Wärme widerstandsfähige Bedachungen
8.7.2 Zusammenstellung widerstandsfähiger Bedachungen
Der Absatz unter 2) ("Bedachungen mit oberster Lage ... kunststoffbeschichtet sein.") wird wie folgt ersetzt:
2) Die im Folgenden aufgeführten Bauprodukte müssen mindestens der Baustoffklasse DIN 4102-B2 entsprechen.
Für alle Metalldachdeckungen nach a) bis d) gilt:
sichtseitige Beschichtungen müssen anorganisch sein oder müssen:
- bei Metalldachdeckungen aus Aluminium, Aluminiumlegierungen, verzinktem Stahl, Kupfer, Kupferlegierung, Zink, Zinklegierungen einen Brennwert PCS ≤ 4,0 MJ/m2 oder eine Masse ≤ 200 g/m2 haben;
- bei großformatigen, profilierten, selbsttragenden Metalldachdeckungen aus verzinktem Stahl einen Brennwert PCS ≤ 6,0 MJ/m2 oder eine Masse ≤ 250 g/m2 haben.
- Großformatige selbsttragende und nicht selbsttragende Metalldachdeckungen aus Aluminium, Aluminiumlegierungen, verzinktem Stahl, Kupfer, Kupferlegierungen mit einer Dicke ≥ 0,5 mm, nichtrostendem Stahl mit einer Dicke ≥ 0,4 mm auf
- Unterkonstruktionen aus nichtbrennbaren Baustoffen oder
- Schalung aus Holz und Holzwerkstoffen mit oder ohne beliebiger Trennlage oder
- Holzlattung mindestens 40/60 mm oder
- Wärmedämmstoffen aus Mineralwolle der Baustoffklasse a oder Schaumglas der Baustoffklasse A, PUR- oder PIR-Hartschaum mit oder ohne beliebiger Trennlage.
- Kernverbundelemente mit beidseitiger Deckschicht aus Blech, wobei das obere Blech und der Wärmedämmstoff nach a) auszuführen sind.
- Metalldachdeckungen mit Pfannenblechen, Metallschindeln oder Paneelblechen aus Aluminium, Aluminiumlegierungen, verzinktem Stahl, Kupfer, Kupferlegierungen mit einer Dicke ≥ 0,5 mm, nichtrostendem Stahl mit einer Dicke ≥ 0,4 mm auf
- nichtbrennbaren Halteprofilen oder auf
- Schalung aus Holz und Holzwerkstoffen mit oder ohne beliebiger Trennlage oder
- Holzlattung mindestens 40/60 mm und Schalung aus Holz oder Holzwerkstoffen oder
- Holzlattung mindestens 40/60 mm und Wärmedämmstoffen aus Mineralwolle oder Schaumglas, Baustoffklasse A, PUR- oder PIR-Hartschaum, jeweils mit oder ohne beliebiger Trennlage.
- Großformatige profilierte und nicht selbsttragende Metalldachdeckungen in handwerklicher Falztechnik aus Zink, Zinklegierungen mit einer Dicke ≥ 0,7 mm auf
- geschlossener Unterkonstruktion aus nichtbrennbaren Baustoffen oder
- nicht hinterlüfteter Schalung aus Holz und Holzwerkstoffen ohne Trennlage oder
- Schalung aus Holz und Holzwerkstoffen mit Trennlage aus Bitumenbahn mit Glasvlies- oder Glasgewebeeinlage nach DIN 52143, DIN 52130 oder DIN 52131 auch in Kombination mit einer strukturierten Trennlage mit Dicke ≤ 8 mm oder
- Wärmedämmung aus Mineralwolle der Baustoffklasse a ohne Trennlage oder
- Wärmedämmung aus Schaumglas der Baustoffklasse A, PUR- oder PIR-Hartschaum mit oder ohne beliebiger Trennlage.
3.6 Anpassung der normativen Verweisungen in DIN 4102-4:1994-03
In Tabelle 110 sind die dort in der ersten Spalte aufgeführten und in DIN 4102-4:1994-03 angegebenen "zitierten Normen und anderen Unterlagen" (siehe ab Seite 144 in DIN 4102-4:1994-03) entsprechend der jeweils zweiten Spalte zu ersetzen. Der Abschnitt " zitierte Normen und andere Unterlagen" in DIN 4102-4:1994-03 ist wie folgt zu ersetzen (eingerückter Teil sowie Tabelle 110):
Normative VerweisungenDie folgenden zitierten Dokumente sind für die Anwendung dieses Dokuments erforderlich. Bei datierten Verweisungen gilt nur die in Bezug genommene Ausgabe. Bei undatierten Verweisungen gilt die letzte Ausgabe des in Bezug genommenen Dokuments (einschließlich aller Änderungen).
Tabelle 110 - Anpassung der normativen Verweisungen in DIN 4102-4:1994-03
Normative Verweisung nach DIN 4102-4:1994-03 neue normative Verweisung ersetzen durch Titel der neuen normativen Verweisung
DIN 105 Teil 1 DIN V 105-1:2002-06 Mauerziegel - Teil 1: Vollziegel und Hochlochziegel der Rohdichteklassen größer gleich 1,2 DIN 105 Teil 2 DIN V 105-2:2002-06 Mauerziegel - Teil 2: Wärmedämmziegel und Hochlochziegel der Rohdichteklassen kleiner gleich 1,0 DIN 105 Teil 3 DIN 105-3:1984-05 Mauerziegel - Hochfeste Ziegel und hochfeste Klinker DIN 105 Teil 4 DIN 105-4:1984-05 Mauerziegel - Keramikklinker DIN 105 Teil 5 DIN 105-5:1984-05 Mauerziegel - Leichtlanglochziegel und Leichtlangloch-Ziegelplatten DIN 106 Teil 1
DIN 106 Teil 1 A1DIN V 106-1:2003-02 Kalksandsteine - Teil 1: Voll-, Loch-, Block-, Hohlblock-, Plansteine, Planelemente, Fasensteine, Bauplatten, Formsteine DIN 106 Teil 2 DIN V 106-2: 2003-02 Kalksandsteine - Teil 2: Vormauersteine und Verblender DIN 278 DIN 278:1978-09 Tonhohlplatten (Hourdis) und Hohlziegel, statisch beansprucht DIN 280 Teil 1 DIN 280-1:1990-04 Parkett; Parkettstäbe, Parkettriemen und Tafeln für Tafelparkett DIN 280 Teil 2 DIN 280-2:1990-04 Parkett - Mosaikparkettlamellen DIN 1016 DIN 1016:1987-06 Flacherzeugnisse aus Stahl; Warmgewalztes Band, warmgewalztes Feinblech; Grenzabmaße, Form- und Gewichtstoleranzen DIN 1028 DIN 1028:1994-03 Warmgewalzter, gleichschenkliger, rund-kantiger Winkelstahl; Maße, Masse, statische Werte DIN 1045 DIN 1045:1988-07 Beton und Stahlbeton; Bemessung und Ausführung DIN 1052 Teil 1 DIN 1052-1:1988-04 Holzbauwerke - Teil 1: Berechnung und Ausführung DIN 1052-1/A1:1996-10 Holzbauwerke - Teil 1: Berechnung und Ausführung;
Änderung 1DIN 1052 Teil 2 DIN 1052-2:1988-04 Holzbauwerke - Teil 2: Mechanische Verbindungen DIN 1052-2/A1:1996-10 Holzbauwerke - Teil 2: Mechanische Verbindungen;
Änderung 1DIN 1052 Teil 3 DIN 1052-3:1988-04 Holzbauwerke - Holzhäuser in Tafelbauart -
Berechnung und AusführungDIN 1052-3/A1:1996-10 Holzbauwerke - Teil 3: Holzhäuser in Tafelbauart -
Berechnung und Ausführung; Änderung 1DIN 1053 Teil 1 DIN 1053-1:1996-11 Mauerwerk - Teil 1: Berechnung und Ausführung DIN 1053 Teil 2 DIN 1053-2:1996-11 Mauerwerk - Teil 2: Mauerwerksfestigkeitsklassen aufgrund von Eignungsprüfungen DIN 1053 Teil 3 DIN 1053-3:1990-02 Mauerwerk - Teil 3: Bewehrtes Mauerwerk; Berechnung und Ausführung DIN 1053 Teil 4 DIN 1053-4:2004-02 Mauerwerk - Teil 4: Fertigbauteile DIN 1101 DIN 1101:2000-06 Holzwolle-Leichtbauplatten und Mehrschicht-Leichtbauplatten als Dämmstoffe für das Bauwesen - Anforderungen, Prüfung DIN 1102 DIN 1102:1989-11 Holzwolle-Leichtbauplatten und Mehrschicht-Leichtbauplatten nach DIN 1101 als Dämmstoffe für das Bauwesen; Verwendung, Verarbeitung DIN 1164 Teil 1 DIN 1164-1:1994-10
DIN 1164-1/A1:1999-01Zement - Teil 1: Zusammensetzung, Anforderungen
Zement - Teil 1: Zusammensetzung, Anforderungen;
Änderung A1DIN 1168 Teil 1 DIN 1168-1:1986-01 Baugipse - Begriff, Sorten und Verwendung - Lieferung und Kennzeichnung DIN 1168 Teil 2 DIN 1168-2:1975-07 Baugipse - Anforderungen, Prüfung, Überwachung DIN 1200 DIN 1200:1981-08 Drahtgeßecht mit sechseckigen Maschen DIN 1249 Teil 4 DIN 1249-4:1981-08 ßachglas im Bauwesen; Gußglas; Begriff, Maße DIN 2440 DIN 2440:1978-06 Stahlrohre - Mittelschwere Gewinderohre DIN 4028 DIN 4028:1982-01 Stahlbetondielen aus Leichtbeton mit haufwerksporigem Gefüge - Anforderungen, Prüfung, Bemessung, Ausführung, Einbau DIN 4072 DIN 4072:1977-08 Gespundete Bretter aus Nadelholz DIN 4074 Teil 1 DIN 4074-1:2003-06 Sortierung von Holz nach der Tragfähigkeit - Teil 1: Nadelschnittholz DIN 4099 DIN 4099-1:2003-08
DIN 4099-2:2003-08Schweißen von Betonstahl - Teil 1: Ausführung
Schweißen von Betonstahl - Teil 2: QualitätssicherungDIN 4102 Teil 1 DIN 4102-1:1998-05 Brandverhalten von Baustoffen und Bauteilen - Teil 1: Baustoffe; Begriffe, Anforderungen und Prüfungen DIN 4102-1 Berichtigung 1:1998-08 Berichtigung zu DIN 4102-1:1998-05 DIN 4102 Teil 2 DIN 4102-2:1977-09 Brandverhalten von Baustoffen und Bauteilen; Bauteile, Begriffe, Anforderungen und Prüfungen DIN 4102 Teil 3 DIN 4102-3:1977-09 Brandverhalten von Baustoffen und Bauteilen; Brandwände und nichttragende Außenwände, Begriffe, Anforderungen und Prüfungen DIN 4102 Teil 5 DIN 4102-5:1977-09 Brandverhalten von Baustoffen und Bauteilen; Feuerschutzabschlüsse, Abschlüsse in Fahrschachtwänden und gegen Feuer widerstandsfähige Verglasungen, Begriffe, Anforderungen und Prüfungen DIN 4102 Teil 6 DIN 4102-6:1977-09 Brandverhalten von Baustoffen und Bauteilen; Lüftungsleitungen, Begriffe, Anforderungen und Prüfungen DIN 4102 Teil 7 DIN 4102-7:1998-07 Brandverhalten von Baustoffen und Bauteilen - Teil 7: Bedachungen; Begriffe, Anforderungen und Prüfungen DIN 4102 Teil 8 DIN 4102-8:2003-10 Brandverhalten von Baustoffen und Bauteilen - Teil 8: Kleinprüfstand DIN 4102 Teil 9 DIN 4102-9:1990-05 Brandverhalten von Baustoffen und Bauteilen; Kabelabschottungen; Begriffe, Anforderungen und Prüfungen DIN 4102 Teil 11 DIN 4102-11:1985-12 Brandverhalten von Baustoffen und Bauteilen; Rohrummantelungen, Rohrabschottungen, Installationsschächte und -kanäle sowie Abschlüsse ihrer Revisionsöffnungen; Begriffe, Anforderungen und Prüfungen
weiter .
(Stand: 03.04.2019)
Alle vollständigen Texte in der aktuellen Fassung im Jahresabonnement
Nutzungsgebühr: ab 105.- € netto
(derzeit ca. 7200 Titel s.Übersicht - keine Unterteilung in Fachbereiche)
Die Zugangskennung wird kurzfristig übermittelt
? Fragen ?
Abonnentenzugang/Volltextversion