![]() |
zurück | ![]() |
Nach den Bildern 10 und 11 beträgt im Grundwasser die Druckdifferenz
| Δp =h1 *γF -h2 *γw | (8) |
und das Druckgefälle
![]() |
(9) |
Oberhalb des Grundwasserspiegels erhält man wegenh2 = 0 die Druckdifferenz
| Δp =p1 =h1 *γF | (10) |
und das Druckgefälle
![]() |
(11) |
In der Literatur findet man weitere Begriffe für das dimensionslose Druckhöhengefälle: Bezieht man die Druckhöhe auf die WichteγF der stützenden Flüssigkeit (siehe Bild 10), so erhält man den miti0 bezeichneten Stagnationsgradienten.
![]() |
(12) |
Bezieht man die Druckhöhe auf die Wichteγw von Wasser (siehe Bild 11), so erhält man das Druckhöhengefälle
![]() |
(13) |
Der Vergleich der Gleichungen zeigt, dass man sie sowohl direkt aus den Bildern 10 und 11 ablesen wie auch eine aus der anderen algebraisch ableiten kann. Insbesondere ist der Zusammenhang
| fs0 =i0wγw =i0FγF | (14) |
zwischen den drei Größen offensichtlich.
Bild 10. Auf die Wichte der stützenden FlüssigkeitγF bezogenes Druckhöhengefälle im betrachteten Bodenelement

Bild 11. Auf die Wichte des Wassersγw bezogenes Druckhöhengefälle im betrachteten Bodenelement

Der Verlauf von Druck und Druckhöhe im betrachteten Bodenelement nach Bild 10 oder Bild 11 darf nicht verwechselt werden mit der in Bild 12 dargestellten Tiefenabhängigkeit des auf das betrachtete Bodenelement wirkenden Drucks bzw. seiner Druckhöhe.
Bild 12. Verlauf von Druck und Druckhöhe für die Bodenelemente in Abhängigkeit von deren Tiefe unter dem Spiegel der stützenden Flüssigkeit und unter dem Grundwasserspiegel
fs0 und damit auchs =p /fs0 hängen von Boden und stützender Flüssigkeit ab (siehe Erläuterungen zu Abschnitt 9.1.2 und Abschnitt 9.1.3).
Deshalb sind die in Bild 10 und Bild 11 gezeichneten, von der Eindringtiefe abhängigen Druckhöhenlinien und die in Bild 12 gezeichnete Linie der Eindringtiefe ebenfalls von Boden und stützender Flüssigkeit abhängig. Die in Bild 12 gezeichneten, von der Schlitztiefe abhängigen Druckhöhenlinien sind dagegen vom Boden und der stützenden Flüssigkeit (solangeγF = constant) unabhängig.
Ein aus Bild 10 bzw. Bild 11 abzuleitender Modellversuch gestattet die direkte Messung des Druckgefälles mit dem anstehenden Boden und der verwendeten stützenden Flüssigkeit. Er konnte wegen der festgestellten großen Versuchsstreuungen nicht als normative Festlegung in die Norm aufgenommen werden. Wegen der Anschaulichkeit dieses Versuchs wird die folgende Versuchsbeschreibung gegeben:
1. Gerät und Versuchsboden
Das Gerät besteht aus zwei verbundenen Plexiglaszylindem unterschiedlichen Durchmessers, die über einen Schlauch mit einem Überlaufgefäß kommunizieren (siehe Bild 13). Die zylindrischen Teströhren hängen in einem Stativ. Das Eindringen der durch einen Quirl bewegten Suspension in den Porenraum eines genormten Versuchsbodens wird bis zum Stillstand beobachtet. Es werdenh1,s undh2 gemessen (siehe Bild 13).
Für Vergleichsversuche mit verschiedenen stützenden Flüssigkeiten muss ein einheitlicher Versuchsboden verwendet werden. Hierfür ist rundkörniger Kies der Korndichte 2,6 bis 2,7 t/m3 üblich, der zu 10 % aus der Korngruppe 5/6,3 mm und zu 90 % aus der Korngruppe 6,3/8 mm (Siebe nach DIN 4187 Teil 2) zusammengesetzt wird. Die maßgebende Korngröße des Versuchsbodens beträgt alsod10= 6,3 mm.
2. Versuchsdurchführung
| Flügeldurchmesser | 80 mm |
| Höhenanordnung des Flügels | 100 mm über Bodenoberfläche, Marke (5) |
| Drehzahl zwischen | 100 und 200 min-1 |
![]() |
(15) |
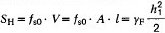
Bild 13. Gerät zur Messung des Druckgefällesfs0
Die hydrostatische Druckkraft ist
![]() |
(16) |
In dieser Gleichung ist:
| V | Volumen des von der stützenden Flüssigkeit benetzten Bodens |
| A | Fläche nach Bild 3 |
| l | die Länge des betrachteten Schlitzwand- und Bodenbereichs senkrecht zur Ebene des Bildes 3 |
In Bild 3b) ist der Grenzfall einer stabilen stützenden Flüssigkeit ohne jeden Einfluss von Filtration aufgezeichnet. In der Regel bildet sich im Lauf der Zeit auch bei grobkörnigem Boden, ein Filterkuchen aus, weil es keine vollkommen stabile stützende Flüssigkeit gibt und weil auch die in der Flüssigkeit schwebenden Bodenkörner von einem groben Korngerüst, in das die reine stützende Flüssigkeit einfließen würde, abfiltriert werden. Sie bilden dann eine feinkörnige Bodenschicht vor der Schlitzwandung mit gegenüber dem natürlichen Boden erhöhtem Druckgefälle, also wiederum eine besondere Art Filterkuchen.
Stützende Flüssigkeiten werden meist an der Baustelle aus pulverförmigem Schlitzwandton nach DIN 4127 und Leitungswasser hergestellt. Häufig sind aber auch stützende Flüssigkeiten aus Tonen bestimmter natürlicher Vorkommen oder Mischungen aus solchen Tonen und Schlitzwandtonen nach DIN 4127 geeignet; sie können vor allem dann vorteilhaft sein, wenn die stützende Flüssigkeit eine hohe Dichte erreichen soll.
Die Korngröße eines festen Stoffes von der Kornwichteγs, die in einer stützenden Flüssigkeit der WichteγF und der FließgrenzeτF gerade noch in Schwebe bleibt, ist
![]() |
(17) |
Die empfohlene Beschränkung des Größtkorns durch die Gleichung
![]() |
(18) |
bietet also eine rund 10fache Sicherheit gegen Sedimentation der Einzelkörner des Füllstoffs.
Diese hohe Sicherheit wurde gewählt, um die Stabilität der beschwerten stützenden Flüssigkeiten auch in Bewegung (Abfall der Fließgrenze bei thixotropen stützenden Flüssigkeiten) angemessen zu erhalten.
Der Vergrößerung der Dichte ist durch die Anforderung in Abschnitt 7.3 Aufzählung a) eine obere Grenze gesetzt. Es ist zu beachten, dass bei der Herstellung beschwerter stützender Flüssigkeiten gegen den dort geforderten Grenzwert ein für den Baubetrieb ausreichender Sicherheitsabstand eingehalten werden muss. Durch die Begrenzung der Dichte werden größere Änderungen in Fließ- und Stabilitätsverhalten der stützenden Flüssigkeit gegenüber der unbeschwerten Ausgangsflüssigkeit verhindert. Vor allem wird eine merkliche Kornreibung zwischen den Körnern des Füllstoffs unterbunden.
Beim Zusatz von Chemikalien (z.B. des Schutzkolloids Carboxymethylzellulose (CMC)) ist es empfehlenswert, Tonchemiker oder Spülungsfachleute für Tiefbohrungen hinzuzuziehen. Abschnitt 6.1.3 ist zu beachten.
Leitwände können aus Ortbeton, Betonfertigteilen, Stahl oder Holz bestehen. Auf die Möglichkeit leichten und gefahrlosen Entfernens beim Aushub der Baugrube ist zu achten. Standsichere Leitwände, wie Winkelprofile, brauchen nicht abgesteift zu werden, wenn ausreichende Sicherheit auch ohne Steifen nachgewiesen wird. Beim Verzicht auf Leitwände wird die Absteckung der einzelnen Schlitzwandelemente und die Orientierung des Geräteführers beim Aushub erschwert. Leitwände verringern also auch die Fehlerempfindlichkeit des Bauablaufs. Dies kann vor allem dann ein Grund für die Ausführung von Leitwänden auch bei unbewehrten Schlitzwänden sein, wenn der Wasserdurchlässigkeit der Wand und damit einer fehlerfreien Ausführung der Fugen besondere Bedeutung zukommt.
Falls der notwendige Flüssigkeitsspiegel anders nicht aufrecht erhalten werden kann, ist ein Bereitschaftsdienst einzurichten. Schwierigkeiten über die Nachtpause kann
meist schon durch eine höhere Stabilität der stützenden Flüssigkeit (niedrigere Filtratwasserabgabe) begegnet werden. Über Wochenende und Feiertage richtet man sich am besten betrieblich so ein, dass keine Schlitze offen stehen. Bei Schlitzwandarbeiten in Gebieten mit unterirdischen Hohlräumen, z.B. Kanälen, ist stets mit größter Aufmerksamkeit und Sorgfalt zu arbeiten. Aus Bestandsplänen ist die Lage der Kanäle zu entnehmen. Kanäle im Bereich der Schlitze sind umzulegen oder unterirdisch zu verschließen. Beim Anschneiden unbekannter Kanäle ist mit dem sofortigen Verlust der stützenden Flüssigkeit zu rechnen. Deshalb muss bei Schlitzwandarbeiten eine ausreichende Menge an Ersatzsuspension vorrätig gehalten werden, wo Sicherheitsgründe dies erfordern. Üblich ist der doppelte Wert des Schlitzvolumens bis zu der Tiefe, in der noch Hohlräume zu erwarten sind. Zum Schließen angeschnittener Hohlräume ist am Schlitz geeignetes Material (versandete Tonsuspension, Zement und Ton in Säcken, Sand, Kies, Aushubmaterial) vorrätig zu halten, das gegebenenfalls zum Abdichten in den Schlitz geworfen werden kann. Größere Hohlräume müssen meist durch Magerbeton endgültig verschlossen werden. Während dieser Maßnahmen muss der Schlitz aus dem Vorrat an Ersatzsuspension ständig nachgefüllt werden. Kann der statisch erforderliche Flüssigkeitsspiegel nicht aufrechterhalten werden, ist der Gefahrenbereich von allen Auflasten (z.B. Geräten) zu räumen und nur mit geeigneten Sicherheitsvorkehrungen zu betreten. Nach einem derartigen Fall dürfen die Arbeiten erst weitergeführt werden, wenn die geforderten Sicherheitsvorräte wieder bereitgestellt sind.
Die Prüftemperatur einer stützenden Flüssigkeit entspricht der Temperatur im Schlitz, wenn sie nicht mehr als 5 K von dieser abweicht. Da DIN 4127 stützende Flüssigkeiten mit hoher Temperaturempfindlichkeit ausschließt, ist beim Prüfen ein übergenaues Einhalten der Temperatur des Schlitzes nicht notwendig, zumal sich während des Aushubs die Temperatur im Schlitz selbst auch ändern kann.
Wasserzugaben in den Schlitz sind erlaubt, wenn ihr Einfluss durch Vorversuche - hierzu zählt auch die Eignungsprüfung - geklärt ist, danach die zum Erreichen der gewünschten Veränderung notwendige Wassermenge berechnet werden kann, die Zugabe durch Messung erfolgt, das sofortige Einmischen durch den Baubetrieb sichergestellt ist und der Erfolg nach dem Einmischen wiederum durch Messung kontrolliert wird. Nicht erlaubt ist es, Wasser ohne Aufsicht aus einem offenen Schlauch in den Schlitz zu leiten.
Die Anschlussflächen an bereits hergestellte Schlitzwandelemente können z.B. durch Meißel mit exzentrischer Aufhängung gereinigt werden. Dieser Maßnahme kommt im Hinblick auf die Dichtigkeit der Fugen besondere Bedeutung zu.
Füllstoffe ab einem Volumenanteil von etwa 140 l/m3 stützender Flüssigkeit beeinflussen durch ihre Reibung von Korn zu Korn Fließgrenze und Scherspannungτ500 nach DIN 4127, Ausgabe August 1986, Abschnitt 3.4 in unzulässiger Weise. Bestünde der Füllstoff aus Kugeln gleichen Durchmessers, so würde bei diesem Volumenanteil der lichte Abstand zwischen den Kugeln 53 % des Kugeldurchmessers betragen. Die Anforderung der Aufzählung a) sichert, dass dieser Grenzwert nicht überschritten wird.
Wenn bei organischen BödenρSρF wird, so kann der Volumenanteil an aufgenommenem Boden nicht mehr auf die beschriebene einfache Art begrenzt werden. Stattdessen sind dann geeignete andere Untersuchungsverfahren anzuwenden, durch die der Bodenanteil so beschränkt wird, dass nicht kleine Änderungen des aufgenommenen Bodenanteils das Fließverhalten der stützenden Flüssigkeit stark ändern.
Die stützende Flüssigkeit wird vom Beton nur dann einwandfrei verdrängt, wenn der Fließwiderstand des Betons deutlich größer als der der stützenden Flüssigkeit ist. Quantitative Untersuchungen über die Fließeigenschaften des Betons fehlen. Aus der Erfahrung ist bekannt, dass der Verdrägungsvorgang nur dann einwandfrei verläuft, wenn die lichte Durchflussweitee1 zur Sicherung der Betondeckung, siehe Abschnitt 8.2 und der lichte Abstand der Bewehrungsstäbe, siehe Abschnitt 8.3, auf die Fließgrenze der stützenden Flüssigkeit abgestimmt sind. Unbewehrte Betonwände können unbedenklich in stützenden Flüssigkeiten bis zu wirksamen FließgrenzenτF = 70 N/m2 betoniert werden. Stützende Flüssigkeiten mitτF > 70 N/m2 bereiten bereits erhebliche betriebliche Schwierigkeiten, vor allem beim Mischen und Pumpen. Will man solche Flüssigkeiten trotzdem anwenden, muss man außerdem auch noch genauere Untersuchungen über den Verdrängungsvorgang anstellen. Man begibt sich dann in Bereiche, in denen keinerlei Erfahrungen vorliegen. Wird der Fließwiderstand des Betons kleiner als der der stützenden Flüssigkeit, so findet keine Verdrängung mehr statt. Anstelle eines Betonelements erhält man dann eine Betonsäule an der Stelle des Betonierrohrs, eingebettet in zementverfestigten Bentonitschlamm.
Das Vorhaltemaß gegen die unter den Aufzählungen a) und b) genannten Werte muss um so größer sein, je instabiler die stützende Flüssigkeit ist. Bei Verwendung nicht ausgequollener stützender Flüssigkeiten muss auch beachtet werden, dass die Fließgrenze während der Arbeiten am Schlitz solange ansteigt, bis der Quellvorgang beendet ist. Die Prüfung der Probe, die gegen Ende des Betonierens zu entnehmen ist, gibt Aufschluss, ob das Vorhaltemaß ausreichend gewählt war. Sind die Anforderungen der Aufzählungen a) und b) an dieser Probe nicht eingehalten, so bedeutet dies nicht, dass das betreffende Schlitzwandelement schadhaft sein, sondern dass das Vorhaltemaß für die nächsten Schlitzwandelemente vergrößert oder das Bauverfahren geändert werden muss.
Wenn sich bei bereits festgelegtene1 unde2 zeigt, dass die Anforderung der Aufzählung b) nicht eingehalten werden kann, so besteht die Möglichkeit, die FließgrenzeτF den Wertene1 unde2 anzupassen. Sie darf nach Abschluss des Aushubs unter den für die Standsicherheit notwendigen Wert abgesenkt werden, wenn die im Boden bereits stagnierte stützende Flüssigkeit oder der Filterkuchen die Standsicherheit sicherstellt. Das ist stets dann der Fall, wenn stützende Flüssigkeiten mit einem Tongehaltg>g15 verwendet werden. Solche stützenden Flüssigkeiten können den Filterkuchen oder die stagnierte Flüssigkeit nicht erodieren, siehe DIN 4127, Ausgabe August 1986, Erläuterungen zu Abschnitt 3.5 und Abschnitt 3.6.
Die Körbe können durch Schweißen oder Binden hergestellt werden.
Ungeeignet sind handelsübliche Abstandhalter für geschalten Stahlbeton. Bewährt haben sich z.B. an den Leitwänden aufgehängte Rohre. Sie sind spätestens 1 Stunde nach - Betonierbeginn zu ziehen, damit der frische Beton noch in den entstehenden Hohlraum einfließen kann. Die Abstandhalter müssen im Korb einander gegenüberliegen. Bei großer Steiggeschwindigkeit des Betons und tief in den Beton tauchenden Betonierrohren muß die Bewehrung auch gegen Auftreiben gesichert werden.
Die Anforderungen an die Betontechnologie für Schlitzwand-Stahlbetonwände müssen gegenüber DIN 1045 erhöht werden, da DIN 1045, Ausgabe Dezember 1978, Abschnitt 10.4 Absatz 1, in der Regel Unterwasserbeton nur für unbewehrte Bauteile zulässt. Ausschlaggebend für die Betonqualität des erhärteten Schlitzwandelementes ist die einwandfreie Verdrängung der stützenden Flüssigkeit durch den Frischbeton, was nur im Kontraktorverfahren (siehe Abschnitt 3.2) möglich ist. Dazu ist eine ausreichende Fließfähigkeit erforderlich, die einen höheren Wassergehalt erfordert, als er für die Konsistenzbereiche nach DIN 1045 notwendig ist. Damit sind zur Einhaltung des Wasserzementfaktors auch höhere Zementgehalte verbunden. Ein dadurch bedingtes größeres Schwindmaß ist unbedenklich, weil die Schlitzwandelemente in der Regel nicht länger als 7 bis 10 m und zumindest einseitig in erdfeuchtem Boden eingebettet sind.
Durch die Anforderung, dass der Beton 5 bis 6 m über die Ausflussöffnung der Betonierrohre hochfließen muss, wird eine Mindestfließfähigkeit des Betons sichergestellt. Sie garantiert zusammen mit der Anforderung über die Eintauchtiefe der Betonierrohre einen annähernd waagerechten Betonspiegel im Schlitz unter der stützenden Flüssigkeit, der Voraussetzung für einen einwandfrei verlaufenden Verdrängungsvorgang ist. Das notwendige Ausbreitmaß des Betons richtet sich nur nach dieser Anforderung. Die angegebenen Zahlenwerte sind Erfahrungswerte; bei solchen Ausbreitmaßen ist sie im allgemeinen zu erfüllen.
Schlitzwandbeton verliert infolge Wasserabgabe an den Boden meist schnell seine Fließfähigkeit. Auch der Einsatz von Fließmitteln und Erstarrungsverzögerern beeinflusst diesen Vorgang nicht. Daher ist eine Begrenzung der Dauer von Betonierunterbrechungen notwendig.
Eine weitere Voraussetzung für einen einwandfrei verlaufenden Betoniervorgang ist ein höherer Fließwiderstand des Betons gegenüber dem der stützenden Flüssigkeit. Infolge der unterschiedlichen Fließfunktionen von Beton und stützender Flüssigkeit (siehe Bild 14) wächst die Differenz der Fließwiderstände mit zunehmender Geschwindigkeit des Verdrängungsvorgangs. Hierauf beruht die Erfahrung, dass die Oberflächenqualität der Schlitzwände durch schnelles Betonieren verbessert wird. Aus diesen Gründen wurde die Steiggeschwindigkeit des Betons nach unten begrenzt.
Schlitzwandbeton neigt wegen seiner Konsistenz während des Transports zum Entmischen. Daher darf er an der Baustelle nur dann verfahren werden, wenn er unmittelbar an der Einbaustelle nachgemischt wird. Während des Einbaues im Kontraktorverfahren besteht keine Entmischungsgefahr mehr, wenn die Anforderungen nach Abschnitt 6.2 eingehalten werden.
Die Gesamtheit der Anforderungen an Schlitzwandbeton legt den Einsatz von Mischfahrzeugen nahe.
Es darf kein Wasser zur Erleichterung des Abpumpens der stützenden Flüssigkeit eingeleitet werden, weil hierdurch örtlich konzentrierte Mengen von Feststoffen ausfallen und Fehlstellen im Beton bilden.
Betonminderverbrauch deutet auf Fehlstellen im Beton.
Der Mustervordruck Anhang a verlangt unter Nr. 4 Angaben über Unregelmäßigkeiten der Eintauchtiefe der Betonierrohre. Es wird empfohlen, das Ansteigen des Betons und das Abschlagen der Betonierrohre nicht nur qualitativ zu verfolgen, sondern Zahlenangaben zu protokollieren. Insbesondere sollen unregelmäßige Eintauchtiefen festgehalten werden. Kleine Eintauchtiefen deuten immer auf einen nicht zufriedenstellenden Verdrängungsvorgang hin. Kurzfristig kleine Eintauchtiefen, die anschließend wieder schnell ansteigen, können häufig später in Zusammenhang mit Schadstellen im Beton gebracht werden. Bekanntlich werden Betonierrohre immer erst abgeschlagen, wenn der Beton nicht mehr fließt. Daher deutet eine notwendige kleine Eintauchtiefe darauf hin, dass sich im Bereich der Betonoberfläche Material mit hohem Fließwiderstand (z.B. Sand) befindet, das (z.B. in einem Bereich enger Bewehrung) zum Stillstand des Verdrängungsvorgangs tendiert. Eine daraufhin schnell ansteigende Eindringtiefe ist dann dadurch zu erklären, dass der Beton an einer Stelle diese Schicht durchbrochen hat oder das Betonierrohr über diese Schicht angestiegen ist, dass der Beton sie nun einschließt und darum wieder leicht fließt!
Wird ein Schlitz mit gebrauchter Flüssigkeit aus einem benachbarten Schlitz versorgt, der gerade betoniert wird, so sind vor Beginn des Betonierens Vorrichtungen vorzubereiten, die das Zulaufen von zementverunreinigter Flüssigkeit, Zementbrühe oder Beton verhindern, da sonst die Gefahr besteht, dass die Grenzwerte des Abschnitts 7.3 nicht eingehalten werden können. Der Zulauf an gebrauchter Flüssigkeit ist rechtzeitig vor dem Auftreten verunreinigter Flüssigkeit, mit der spätestens ab 1 m über Betonoberfläche gerechnet werden muss, abzustellen.
Auch bei Aufbereitung der gebrauchten Flüssigkeit ist darauf zu achten, dass betonverunreinigte Tonsuspension nicht zur Aufbereitung kommt, sondern beseitigt wird. Betonverunreinigte Suspensionen lassen sich auch durch Chemikalien nur schwer wieder stabilisieren.
Zu hohe Dichte ist durch Entsanden zu beseitigen. Es ist üblich, die gröbere Körnung durch Sieben, die feinere Körnung mit Zyklonen zu entfernen. Nach Korrektur der Dichte wird die Fließgrenze entweder durch Wasserzugabe oder Tonzugabe auf den Sollwert gebracht.
Die Stabilität ist erforderlichenfalls durch Zusatzmittel zu erhöhen. Im allgemeinen reicht hierfür der Zusatz von Soda (Na2CO3) aus. Die Dosierung muss durch Vorversuche ermittelt werden; meistens liefert eine Dosierung im Bereich zwischen 50 und 2500 g kristallwasserfreier Soda (bei Anwesenheit von Kristallwasser ist ein entsprechender Zuschlag zu machen) je m3 Suspension eine optimale Stabilität. Es ist zu berücksichtigen, dass Zusatzmittel möglicherweise wiederum die Fließgrenze verändern. Die Stabilität kann auch durch Tonzusatz (vorzugsweise Natriumbentonit) verbessert werden. Soweit hierdurch die Fließgrenze unzulässig ansteigt, kann sie durch verflüssigende Zusatzmittel korrigiert werden. Auch hierzu sind stets Vorversuche erforderlich.
Bild 14. Fließverhalten von stützender Flüssigkeit und Beton

Zu Abschnitt 8.1 bis Abschnitt 8.3
Der Verdrängungsvorgang wurde bereits in den Erläuterungen zu Abschnitt 7.3 und zu Abschnitt 7.5 erklärt.
Statisch-konstruktive Überlegungen müssen die Forderungen der Schlitzwandtechnologie berücksichtigen. Es nützt nämlich nicht viel, wenn an sich richtige statische Überlegungen sich bis in letzte Feinheiten auf Plänen niederschlagen, im Bauwerk dann aber die Bewehrung in Tonschlämme liegt, Stützenfüße auf Hohlräumen stehen oder gar ganze Wandbereiche überhaupt keinen Beton enthalten. Deshalb muss z.B. der Fuß einer Stütze, die in der Schlitzwand endet, keilförmig ausgebildet werden, auch wenn das dem konstruktiven Bewusstsein widerspricht. Die Aufnahme der Kräfte muss den Möglichkeiten der Schlitzwandbauweise angepasst werden, da der umgekehrte Weg nur zu Schäden führt.
Einbauten sind im Bewehrungskorb so zu befestigen, dass außer dem Auftrieb auch die Strömungskraft aufgenommen werden kann.
Die Anforderungen der Abschnitte 8.2 und 8.3 gelten für die üblichen Bewehrungen. Sie sind ein konstruktiv sinnvoller Kompromiss. Möglichst große lichte Durchflussweiten (siehe Erläuterungen zu Abschnitt 7.2) sind nur mit großen Stabquerschnitten zu erzielen. Deshalb wird auf die Rissbreitenbeschränkung nach DIN 1045, Ausgabe Dezember 1978, Abschnitt 17.6.1 im Falle der Tabelle 10, Zeilen 2 und 3 verzichtet. Die damit verbundenen Nachteile werden ausgeglichen durch die nach Tabelle 1 gegenüber DIN 1045 wesentlich vergrößerte Betondeckung.
Die lichte Durchflussweitee1 ist nicht mit der Betondeckung identisch. An sich ist die Betondeckung nach DIN 1045 ausreichend, aber in dieser Bauweise nicht herstellbar.
e1 muss auch gegen die Fugen zwischen den Schlitzwandelementen eingehalten werden.
Das Betonieren wird durch die Bewehrung umso mehr behindert, je höher die (thixotrop angestiegene) Fließgrenze der stützenden Flüssigkeit, je steifer der Beton und je geringer der Dichteunterschied von Beton und stützender Flüssigkeit ist. Deshalb muss die Durchflussweitee1 und der lichte Mindestabstand der Bewehrungsstäbee2 mit zunehmender Fließgrenze der stützenden Flüssigkeit vergrößert werden (siehe Erläuterungen zu Abschnitt 7.3). Die maximale Fließgrenze, mit der in die Tabelle 1 einzugehen ist, ergibt sich aus Abschnitt 9.1.2 nach Zuschlag eines angemessenen Vorhaltemaßes für die unvermeidlichen Schwankungen der Fließgrenze im Baubetrieb. Solange keine genaueren Unterlagen für den Nachweis nach Abschnitt 9.1.2 vorliegen, empfiehlt es sich, die Werte der Tabelle 1, Zeile 2, zu wählen.
Aus statischen Gründen muss in den meisten Fällen die Vertikalbewehrung von Bügeln umschlossen werden (Schubbügel, Bügel in Druckgliedern oder Wänden), obwohl innenliegende Bügel und außenliegende Vertikalstäbe den Betoniervorgang begünstigen. Sollen die Vertikalstäbe ausnahmsweise außen liegen, so ist zu beachten, dass die unvermeidliche Durchbiegung der Bewehrungskörbe beim Einbau ein Ausbrechen von Vertikalstäben verursachen kann. Dies muss wegen der Unfallgefahr durch zusätzliche Maßnahmen verhindert werden.
Einspannungen mit zahlreichen langen und dicken Anschlussstäben oder zusammenfallende Kreuzungspunkte mehrerer Bewehrungslagen sind Bewehrungskonzentrationen, die konstruktiv vermieden werden sollten.
Bei Aussparungen für Verankerungen, Decken-, Wand- und sonstige Anschlüsse braucht kein Abstand zwischen Bewehrung und Aussparung vorgesehen zu werden, wenn eine nach DIN 1045 ausreichende Betondeckung durch nachträgliche Maßnahmen erreicht wird.
Die Abstellkonstruktionen garantieren die planmäßige Begrenzung der Wandabschnitte und bedingen den Unterschied zwischen Primär- und Sekundärschlitzen, gegebenenfalls auch kombinierten Schlitzen (je eine Primär- und Sekundärfuge (siehe Bild 1). Sie sind nicht als Schalung zu betrachten, da sie weder betondicht sind, noch den Schalungsdruck aufnehmen können. Ihre Form dient auch nicht einer querkraftübertragenden Verzahnung der Schlitzwandelemente. Der nach dem Ziehen der Konstruktion zurückbleibende Hohlraum, der mit stützender Flüssigkeit gefüllt bleiben muss, dient vielmehr der Führung der Aushubwerkzeuge beim Aushub des Sekundärschlitzes. Er erlaubt ein leichtes Entfernen erhärteten umläufigen Betons und sichert Wandflucht und Verlauf der Fuge entsprechend den Maßabweichungen des Primärschlitzes. Derart einwandfrei hergestellte Fugen bedürfen bei Bauhilfskonstruktionen auch im Grundwasser keiner besonderen Abdichtung. Wegen der Vorteile der gezogenen Konstruktionen verdienen diese den Vorzug gegenüber im Bauwerkverbleibenden Fertigteilen. Bei Fertigteilen wird die Anzahl der Fugen verdoppelt. Umläufiger Beton stört vor allem die Fugenausbildung im Sekundärschlitz. Es sind bis heute keine Verfahren bekannt, die die Umläufigkeit des Betons in den Bereich des Sekundärschlitzes sicher verhindern können.
Die Lage der Fugen wird vor dem Aushub festgelegt. Maßabweichungen beim Aushub machen Verschiebungen der Abstellkonstruktionen aus der planmäßigen Lage notwendig. Die Bewehrungskörbe müssen durch entsprechend kleinere Maße hierauf Rücksicht nehmen. Die Bewehrung kann also nie bis in die Fuge geführt werden. Schon deshalb verbietet sich auch eine Bewehrung der Fugenverzahnung. Sind statisch wirksame Verzahnungen nicht zu umgehen, so bedarf es besonderer Überlegungen, die die Eigenart der Schlitzwandtechnik berücksichtigen, und eines erheblichen Aufwands an besonderen Maßnahmen; Schäden sind in solchen Fällen trotzdem häufig, weil sich das Verhalten von Beton und stützender Flüssigkeit in Grenzfällen oft nur schwer abschätzen lässt. Das hat sich besonders an Abstellkonstruktionen gezeigt, die zu dem Zweck hinterfüllt wurden, Umläufigkeit des Betons, Verformungen der Abstellkonstruktionen oder nachträgliche Verschiebungen der Abstellkonstruktionen aus der planmäßigen Lage zu vermeiden. Hinterfüllte Abstellkonstruktionen sollen deshalb möglichst vermieden werden.
In den seltenen Fällen, wo das Größtkorn des Bodens die angegebenen Maßabweichungen übersteigt, muss außerdem mit Ausbauchungen der Betonwand bis zur Größe des Größtkorns gerechnet werden.
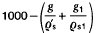
Die Nachweise der Abschnitte 9.1.2 bis 9.1.3 führen in der Regel zur Festlegung eines erforderlichen Tongehaltsg in kg/m3 (siehe DIN 4127, Ausgabe August 1986, Bild 2), mit dem die stützende Flüssigkeit herzustellen ist. Bei beschwerten stützenden Flüssigkeiten, die im Nachweis des Abschnitts 9.1.1 den Flüssigkeitsdruck oder im Nachweis des Abschnitts 9.1.4 die Stützkraft vergrößern, ist auch noch ein Füllstoffgehaltg1 in kg/m3 mit der Korndichteρs1 zu berücksichtigen. Die Berechnung der Mischrezeptur für 1 m3 = 1000 l stützende Flüssigkeit erfolgt dann nach Tabelle 3 (Beispiel siehe Tabelle 4).
Tabelle 3. Berechnung der Mischrezeptur für 1000 l stützende Flüssigkeit
| Stoff | Masse in kg | Korndichte in kg/l | Volumen in l |
| Ton | g | ρ's | g / ρ' |
| Füllstoff | g1 | ρs1 | g1 / ρs1 |
| Wasser | ![]() |
1,000 | ![]() |
| Stützende Flüssigkeit | ![]() |
![]() |
1000 |
Tabelle 4. Beispiel für die Berechnung der Mischrezeptur
| Stoff | Masse in kg | Korndichte in kg/l3 | Volumen in l |
| Schlitzwandton DIN 4127-42-115-37-60 |
45 **) | 2,58 ***) | 45 / 2,58 = 17 |
| Feinsand | 116 **) | 2,66 ***) | 116 / 2,66 = 44 |
| Wasser | 939 | 1,000 *) | 1000 - 17 - 44 = 939 |
| Stützende Flüssigkeit | 45 + 116 + 939 = 1100 | 1,100 / 1000 = 1100 | 1000*) |
| *) Diese Zahlenwerte liegen von vornherein fest
**) Diese Zahlenwerte haben sich aus den erforderlichen Nachweisen ergeben ***) Diese Zahlenwerte wurden bei der Eignungsprüfung der Baustoffe bestimmt |
|||
Beispiele für den möglichen Zutritt von Grundwasser in den Schlitz zeigen die Bilder 15 und 16
Bild 15. Gespanntes Grundwasser trotz Grundwasserabsenkung
P = Pegel

Bild 16. Möglicher Zutritt von Grundwasser in den Schlitz trotz Vakuumwasserhaltung
P = Pegel V = Vakuumlanze
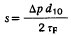
Das erforderliche Druckgefälle erhält man aus der Größengleichung
![]() |
(19) |
Das vorhandene Druckgefälle vorhfs0 erhält man aus der maßgebenden Korngrößed10 des Bodens und der FließgrenzeτF der stützenden Flüssigkeit nach der Größengleichung
![]() |
(20) |
In dieser Gleichung ist durch den Koeffizienten 2 bereits die Standardabweichung der Versuche berücksichtigt. Für die Mittelwerte der Versuche gilt
![]() |
(21) |
Für 2fache Sicherheit ist
| vorhfs0 = 2 erffs0 | (22) |
zusetzen. Aus dieser Gleichung folg tunmittelbar die Bedingung der Norm.
Diese Bedingung ist eingehalten, wenn die MindestfließgrenzenτF nach Tabelle 5 während der Aushubarbeiten nicht unterschritten werden.
Tabelle 5. MindestfließgrenzenτF in Abhängigkeit von der Bodenart
| Zeile | d10 in mm | minÄF in N/m2 während der Aushubarbeiten | Bodenart z.B. |
| 1 | < 0,6 | 10 | Mittelsand |
| 2 | < 2 | 30 | Kies mit mindestens 10 % Sand |
| 3 | < 5 | 70 | Kies mit weniger als 10 % Sand, aber mit mindestens 15 % Feinkies |
Folgende Merkmale und Eigenschaften des Bodens sind zu beachten, wenn beurteilt werden soll, ob er gleichartig oder günstiger ist als der Boden, in dem positive Erfahrungen vorliegen:
Der Verlust an stützender Flüssigkeit wird aus dem Volumen des Bodens, in den die Flüssigkeit eindringt, durch Multiplikation mit dessen Porenanteiln berechnet. Meist genügt es, eine Abschätzung mit einem geschätztenn = 0,25 vorzunehmen. Nur wenn eine kritische Größenordnung erreicht wird, ist es sinnvoll, mit einem genaueren Wert fürn zu rechnen (n kann je nach Boden zwischen 0,1 und 0,4 liegen). Die Eindringtiefe s der Flüssigkeit wird nach der Gleichung
![]() |
(23) |
sicher abgeschätzt, da im Mittel nur die Eindringtiefe
auftritt (siehe Erläuterungen zu Abschnitt 9.1.2).
Δp ist der Druck der stützenden Flüssigkeit abzüglich des Grundwasserdrucks.
Die absolute Größe des Sicherheitsbeiwertes nach den beiden Definitionen ist bei einem aktiven Erddruckfall nicht wesentlich unterschiedlich im für den Nachweis maßgebenden Bereich, so dass beide Sicherheitsdefinitionen im Hinblick auf die Unterschiede in den Rechenverfahren bei Vorgabe der gleichen Sicherheitsbeiwerte verwendet werden können.
Beim Nachweis ausreichender Sicherheit durch einen Probeschlitz kann der Sicherheitsbeiwert beim Versuch dadurch berücksichtigt werden, dass durch einen tieferen Spiegel der stützenden Flüssigkeit, durch eine größere Länge des Schlitzes oder durch zusätzliche seitliche Auflasten um den Sicherheitsbeiwertη ungünstigere Verhältnisse geschaffen werden als bei der späteren Ausführung der Schlitze. Der Vergleich zwischen Versuch und Ausführung und der Nachweis des Sicherheitsbeiwerts kann nur rechnerisch geführt werden. Der Versuch ersetzt also nur die Bestimmung der Dichte und der Scherparameter des Bodens und die Berechnung des Erddrucks.
Zu Abschnitt 9.1.4.2, Absatz 2
Die Gleichung (7) zur Berechnung des Druckgefälles gilt näherungsweise nur für die reine Bentonitsuspension. Der Nachweis der Verminderung der Eindringtiefe der stützenden Flüssigkeit in den Boden bei Zusatz von Füllstoffen oder Zusatzmitteln kann beispielsweise experimentell mit Hilfe des Geräts nach Bild 13 erfolgen.
Zu Abschnitt 9.1.4.2, Absatz 4 und Abschnitt 9.1.4.3, Absatz 2
Diese Abschnitte berücksichtigen, dass die Leitwand bei entsprechender Ausbildung die jeweiligen Erddrücke aufnimmt und nicht die stützende Flüssigkeit.
Zu Abschnitt 9.2.2
Durch den Verzicht auf Bemessung nach den Betonfestigkeitsklassen B 35 und höher soll vermieden werden, dass eine Entwicklung zu filigranen und stark bewehrten Schlitzwänden einsetzt, was in Widerspruch zu den Abschnitten 8.1 und 8.3 stünde. Die Norm untersagt nicht, Beton höherer Festigkeitsklassen als B 25 herzustellen.
Zu Abschnitt 9.2.3
In der Regel kann davon ausgegangen werden, dass die 30-Stunden-Frist eingehalten wird. Sollte dies wegen unvorhersehbarer Verzögerungen an einzelnen Elementen einer durchgehenden Schlitzwand ausnahmsweise nicht der Fall sein, so ist dies im allgemeinen unbedenklich. Die Norm regelt den Fall, dass bereits die Baugrundaufschlüsse erkennen lassen, dass mit Verzögerungen des Bauablaufes zu rechnen ist, z.B. durch Findlinge, Felsbänke oder andere Hindernisse. Gegebenenfalls ist ein neuer Standsicherheitsnachweis erforderlich, wenn sich erst bei Baubeginn herausstellt, dass mit Verzögerungen zu rechnen ist. Im übrigen gilt die Abminderung des Wandreibungswinkels nur für die Bereiche der Wand, in denen die 30-StundenFrist nicht eingehalten werden kann.
| Internationale Patentklassifikation |
E 02 D 5118
G 01 N 11110
![]() |
ENDE | ![]() |
(Stand: 11.03.2019)
Alle vollständigen Texte in der aktuellen Fassung im Jahresabonnement
Nutzungsgebühr: ab 105.- € netto
(derzeit ca. 7200 Titel s.Übersicht - keine Unterteilung in Fachbereiche)
Die Zugangskennung wird kurzfristig übermittelt
? Fragen ?
Abonnentenzugang/Volltextversion