![]() |
zurück | ![]() |
10.3 Arbeitsfugen annähernd rechtwinklig zur Tragrichtung
(1) Arbeitsfugen, die annähernd rechtwinklig zur betrachteten Tragrichtung verlaufen, sind im Bereich von Zugspannungen nach Möglichkeit zu vermeiden. Es ist nachzuweisen, dass die größten Zugspannungen infolge von Längskraft und Biegemoment an der Stelle der Arbeitsfuge die Hälfte der nach den Abschnitten 10.1.1 oder 10.1.2, jeweils zulässigen Werte nicht überschreiten und dass infolge des Lastfalles Vorspannung plus ständige Last plus Kriechen und Schwinden keine Zugspannungen auftreten.
(2) Wird nicht nachgewiesen, dass die infolge Schwindens und Abfließens der Hydratationswärme im anbetonierten Teil auftretenden Zugkräfte durch Bewehrung aufgenommen werden können, so ist im anbetonierten Teil auf eine Länged0< 1,0 m die parallel zur Arbeitsfuge laufende Bewehrung auf die doppelten Werte der Mindestbewehrung nach Abschnitt 6.7 - mit Ausnahme von Abschnitt 6.7.6 - anzuheben. Diese Werte gelten auch als Mindestquerschnitt der obersten und untersten Lage der die Fuge kreuzenden Bewehrung, die beiderseits der Fuge auf einer Länged0 +l0< 4,0 m vorhanden sein muss (d0 Balkendicke bzw. Plattendicke;l0 Grundmaß der Verankerungslänge nach DIN 1045/ 07.88, Abschnitt 18.5.2.1). Bei Brücken und vergleichbaren Bauwerken ist außerdem die Regelung über die erhöhte Mindestbewehrung nach Abschnitt 6.7.1 (3) zu beachten.
Bild 3.1. Abgrenzung der Anwendungsbereiche vonM2 (Grenzlinie der Biegemomente einschließlich der 0,9- bzw. 1,1fachen statisch unbestimmten Wirkung der Vorspannungv und Ansatz von ΔM1

10.4 Arbeitsfugen mit Spanngliedkopplungen
(1) Werden in einer Arbeitsfuge mehr als 20 % der im Querschnitt vorhandenen Spannkraft mittels Spanngliedkopplungen oder auf andere Weise vorübergehend verankert, gelten für die die Fuge kreuzende Bewehrung über die Abschnitte 10.2, 10.3, 14 und 15.9, hinaus die nachfolgenden Absätze (2) bis (5); dabei sollen die Stababstände nicht größer als 15 cm sein.
(2) Bei Brücken und vergleichbaren Bauwerken ist die erhöhte Mindestbewehrung nach Tabelle 4 grundsätzlich einzulegen.
(3) Ist bei Bauwerken nach Tabelle 4, Spalten 2 und 4, in der Fuge am jeweils betrachteten Rand unter ungünstigster Überlagerung der Lastfälle nach Abschnitt 9 (unter Berücksichtigung auch der Bauzustände) eine Druckrandspannung nicht vorhanden, so sind für die die Fuge kreuzende Längsbewehrung folgende Mindestquerschnitte erforderlich:
(4) Bei Bauwerken nach Absatz (3) dürfen die vorstehenden Werte für die Mindestlängsbewehrung auf die doppelten Werte nach Tabelle 4 ermäßigt werden, wenn die Druckrandspannung am betrachteten Rand mindestens 2 N/mm2 beträgt. Bei Mindest-Druckrandspannungen zwischen 0 und 2 N/mm2 darf der Querschnitt der Mindestlängsbewehrung zwischen den jeweils maßgebenden Werten linear interpoliert werden.
(5) Bewehrungszulagen dürfen nach Bild 4 gestaffelt werden.
Bild 4. Staffelung der Bewehrungszulagen
11 Nachweis für den rechnerischen Bruchzustand bei Biegung, bei Biegung mit Längskraft und bei Längskraft
11.1 Rechnerischer Bruchzustand und Sicherheitsbeiwerte
(1) Für den rechnerischen Bruchzustand ist bei statisch bestimmt gelagerten Spannbetontragwerken die 1,75fache Summe der äußeren Lasten (nach den Abschnitten 9.2.2 und 9.2.3) in ungünstigster Stellung anzusetzen (γ = 1,75). Bei statisch unbestimmt gelagerten Tragwerken sind darüber hinaus - sofern diese ungünstig wirken - die 1,0fache Zwangbeanspruchung infolge von Schwinden, Wärmewirkungen und wahrscheinlicher Baugrundbewegung 8) und Anheben zum Auswechseln von Lagern sowie die 1,0fache Schnittgröße am Gesamtquerschnitt aus Vorspannung (unter Berücksichtigung von Kriechen und Schwinden) zu berücksichtigen. Bei Zwangbeanspruchung infolge Baugrundbewegung darf das Kriechen berücksichtigt werden. Die Schnittgrößen aus den einzelnen Lastfällen sind im allgemeinen wie im Gebrauchszustand anzusetzen.
(2) Die Sicherheit ist ausreichend, wenn die Schnittgrößen, die vom Querschnitt im Bruchzustand rechnerisch aufgenommen werden können, mindestens gleich den mit den in Absatz (1) angebenen Sicherheitsbeiwerten jeweils vervielfachten Schnittgrößen im Gebrauchszustand sind.
Bild 5. Rechenwerte für die Spannungsdehnungslinien der Betonstähle
(3) Bei gleichgerichteten Beanspruchungen aus mehreren Tragwirkungen (Hauptträgerwirkung und örtliche Plattenwirkung im Zugbereich) braucht nur der Dehnungszustand jeweils einer Tragwirkung berücksichtigt zu werden.
(4) Die Schnittgrößen im rechnerischen Bruchzustand dürfen auch unter Berücksichtigung der Steifigkeitsverhältnisse im Zustand II ermittelt werden. Dabei sind für Betonstahl und Spannstahl die Elastizitätsmoduln nach Abschnitt 7.2, für druckbeanspruchten Beton die Elastizitätsmoduln nach Abschnitt 7.3 zugrunde zu legen. Als Sicherheitsbeiwertγ ist hierbei für die Vorspannung (unter Berücksichtigung des Spannungsverlustes infolge Kriechens und Schwindens) sowie für Zwang aus planmäßiger Systemänderungγ =1,0, für alle übrigen Lastfälleγ = 1,75, anzusetzen. Wird hiervon Gebrauch gemacht, so ist die Schubdeckung zusätzlich im Gebrauchszustand nachzuweisen (siehe Abschnitt 12.4).
11.2 Grundlagen
11.2.1 Allgemeines
Die folgenden Bestimmungen gelten für Querschnitte, bei denen vorausgesetzt werden kann, dass sich die Dehnungen der einzelnen Fasern des Querschnitts wie ihre Abstände von der Nulllinie verhalten. Eine Mitwirkung des Betons auf Zug darf nicht in Rechnung gestellt werden.
11.2.2 Spannungsdehnungslinie des Stahles
(1) Die Spannungsdehnungslinie des Spannstahles ist der Zulassung zu entnehmen, wobei jedoch anzunehmen ist, dass die Spannung oberhalb der Streck- bzw. derβ0,2- Grenze nicht mehr ansteigt.
(2) Für Betonstahl gilt Bild 5.
(3) Bei druckbeanspruchtem Betonstahl tritt an die Stelle vonβS bzw.β0,2 der Rechenwert 1,75/2,1 *βS bzw. 1,75/2,1 *β0,2
11.2.3 Spannungsdehnungslinie des Betons
(1) Für die Bestimmung der Betondruckkraft gilt die Spannungsdehnungslinie nach Bild 6.
(2) Zur Vereinfachung darf auch Bild 7 angewendet werden.
Bild 6. Rechenwerte für die Spannungsdehnungslinie des Betons
Bild 7. Vereinfachte Rechenwerte für die Spannungsdehnungslinie des Betons
Bild 8. Dehnungsdiagramme (nach DIN 1045/07.88, Bild 13 oberer Teil)
11.2.4 Dehnungsdiagramm
(1) Bild 8 zeigt die im rechnerischen Bruchzustand je nach Beanspruchung möglichen Dehnungsdiagramme.
(2) Die Dehnungεs bzw.εv -εv(0) darf in der äußersten, zur Aufnahme der Beanspruchung im rechnerischen Bruchzustand herangezogenen Bewehrungslage 5 % nicht überschreiten. Im gleichen Querschnitt dürfen verschiedene Stahlsorten (z.B. Spannstahl und Betonstahl) entsprechend den jeweiligen Spannungsdehnungslinien gemeinsam in Rechnung gestellt werden.
(3) Eine geradlinige Dehnungsverteilung über den Gesamtquerschnitt darf nur angenommen werden, wenn der Verbund zwischen den Spanngliedern und dem Beton nach Abschnitt 13 gesichert ist. Die durch Vorspannung im Spannstahl erzeugte Vordehnung ergibt sich als Dehnungsunterschied zwischen Spannglied und umgebendem Beton im Gebrauchszustand nach Kriechen und Schwinden. In Sonderfällen, z.B. bei vorgespannten Druckgliedern, kann die Spannung vor Kriechen und Schwinden maßgebend sein.
11.3 Nachweis bei Lastfällen vor Herstellen des Verbundes
(1) Ein Nachweis ist erforderlich, sofern die Lastschnittgrößen, die vor Herstellung des Verbundes auftreten, 70 % der Werte nach Herstellung des Verbundes überschreiten.
(2) Vor dem Herstellen des Verbundes können sich die Spannglieder auf ihrer ganzen Länge frei dehnen. Das Verhalten im rechnerischen Bruchzustand hängt deshalb von dem Formänderungsverhalten des gesamten Tragwerks ab. Die in den Spanngliedern wirkende Spannung darf wie folgt angenommen werden, sofern kein genauerer Nachweis geführt wird:
| - | bei annähernd gleichmäßig belasteten Trägern auf 2 Stützen: | ||
| σvu =σv(0) + 110 N/mm2<βSv | (10a) | ||
| - | bei Kragträgern unabhängig vom Belastungsbild, falls die Spannglieder im anschließenden Feld zumindest jenseits des Momentennullpunktes im Verbund liegen: | ||
| σvu =σv(0) + 50 N/mm2<βSv | (10b) | ||
| - | bei Durchlaufträgern: | ||
| σvu =σv(0) | (10c) | ||
Hierin bedeuten:
| σv(0) | Spannung im Spannglied im Bauzustand |
| βSv | Streckgrenze bzw.β0,2-Grenze des Spannstahls |
(3) Bewehrung aus Betonstahl darf berücksichtigt werden.
12 Schiefe Hauptspannungen und Schubdeckung
12.1 Allgemeines
(1) Der Spannungsnachweis ist für den Gebrauchszustand nach Abschnitt 12.2 und für den rechnerischen Bruchzustand nach Abschnitt 12.3 zu führen. Hierbei brauchen Biegespannungen aus Quertragwirkung (aus Plattenwirkung einzelner Querschnittsteile) nicht berücksichtigt zu werden, sofern nachfolgend nichts anderes angegeben ist (Begrenzung der Biegezugspannung aus Quertragwirkung im Gebrauchszustand siehe Abschnitt 15.6).
(2) Es ist nachzuweisen, dass die jeweils zulässigen Werte der Tabelle 9 nicht überschritten werden. Der Nachweis darf bei unmittelbarer Stützung im Schnitt 0,5d0 vom Auflagerrand geführt werden.
(3) Bei Lastfallkombinationen unter Einschluss möglicher Baugrundbewegungen kann auf den Nachweis der schiefen Hauptzugspannungen im Gebrauchszustand verzichtet werden. Der Nachweis der Hauptdruckspannungen bzw. Schubspannungen im rechnerischen Bruchzustand 9) nach den Abschnitten 12.3.2 und 12.3.3 und der Schubbewehrung nach Abschnitt 12.4 ist jedoch zu führen.
(4) Bei Balkentragwerken mit gegliederten Querschnitten, z.B. bei Plattenbalken und Kastenträgern, sind die Schubspannungen aus Scheibenwirkung der einzelnen Querschnittsteile nicht mit den Schubspannungen aus Plattenwirkung zu überlagern.
(5) Als maßgebende Schnittkraftkombinationen kommen in Frage:
(6) Ungünstig wirkende Querkräfte, die sich aus einer Neigung der Spannglieder gegen die Querschnittsnormale ergeben, sind zu berücksichtigen; günstig wirkende Querkräfte infolge Spanngliedneigung dürfen berücksichtigt werden.
(7) Vor Herstellen des Verbundes sind bei den Spannungsnachweisen im Gebrauchszustand nach Abschnitt 12.2 die Spanngliedkräfte und gegebenenfalls die Umlenkkräfte als äußere Last mit ihrem 1,0fachen Wert, im rechnerischen Bruchzustand nach Abschnitt 12.3 mit der Spannungszunahme nach Abschnitt 11.3 einzusetzen. Die Hauptdruckspannungen sind unter Berücksichtigung der abzuziehenden Querschnittsflächen der nicht verpressten Spannkanäle nach Tabelle 9, Zeile 63, zu begrenzen. Dabei darf mit gleichmäßiger Spannungsverteilung über die verbleibende Querschnittsfläche gerechnet werden. Bei der Bemessung der Schubbewehrung kann die Spannungszunahme in den Längsspanngliedern ebenfalls nach Abschnitt 11.3 ermittelt werden. Eine zur Schubaufnahme notwendige, im Verbund liegende Längsbewehrung ist unter Zugrundelegung der Fachwerkanalogie zu ermitteln. Für Spannglieder als Schubbewehrung gilt Abschnitt 12.4.1, Absatz (3).
12.2 Spannungsnachweise im Gebrauchszustand
(1) Die nach Zustand I berechneten schiefen Hauptzugspannungen dürfen im Bereich von Längsdruckspannungen sowie in der Mittelfläche von Gurten und Stegen (soweit zugbeanspruchte Gurte anschließen) auch im Bereich von Längszugspannungen die Werte der Tabelle 9, Zeilen 46 bis 49, nicht überschreiten.
(2) Unter ständiger Last und Vorspannung dürfen auch unter Berücksichtigung der Querbiegespannungen die nach Zustand 1 berechneten schiefen Hauptzugspannungen die Werte der Tabelle 9, Zeilen 46 bis 49, nicht überschreiten.
12.3 Spannungsnachweise im rechnerischen Bruchzustand
12.3.1 Allgemeines
(1) Längs des Tragwerks sind zwei das Schubtragverhalten kennzeichnende Zonen zu unterscheiden:
(2) Ein Querschnitt liegt in Zone a, wenn in der jeweiligen Lastfallkombination die größte nach Zustand I im rechnerischen Bruchzustand ermittelte Randzugspannung die nachstehenden Werte nicht überschreitet:
| B 25 | B 35 | B 45 | B 55 |
| 2,5 N/mm2 | 2,8 N/mm2 | 3,2 N/mm2 | 3,5 N/mm2 |
(3) Werden diese Werte überschritten, liegt der Querschnitt in Zone b.
12.3.2 Nachweise der schiefen Hauptdruckspannungen in Zone a
(1) Sofern nicht in Zone a vereinfachend wie in Zone b verfahren wird, ist nachzuweisen, daß die nach Ausfall der schiefen Hauptzugspannungen des Betons auftretenden schiefen Hauptdruckspannungen die Werte der Tabelle 9, Zeilen 62 bzw. 63, nicht überschreiten.
(2) Auf diesen Nachweis darf bei druckbeanspruchten Gurten verzichtet werden, wenn die maximale Schubspannung im rechnerischen Bruchzustand kleiner als 0,1βWN ist.
(3) Die schiefen Hauptdruckspannungen sind nach der Fachwerkanalogie zu ermitteln. Die Neigung der Druckstreben ist nach Gleichung (11) anzunehmen.
(4) Für Zustände nach Herstellen des Verbundes darf im Steg der Nachweis vereinfachend in der Schwerlinie des Trägers geführt werden, wenn die Stegdicke über die Trägerhöhe konstant ist oder wenn die minimale Stegdicke eingesetzt wird. Ein von Spanngliedern als Schubbewehrung erzeugter Spannungszustand ist zu berücksichtigen.
(5) Eine Torsionsbeanspruchung ist bei der Ermittlung der schiefen Hauptdruckspannung zu berücksichtigen; dabei ist die Druckstrebenneigung nach Abschnitt 12.4.3 unter 45° anzunehmen. Bei Vollquerschnitten ist dabei ein Ersatzhohlquerschnitt nach Bild 9 anzunehmen, dessen Wanddicked1 =dm/6 des in die Mittellinie eingeschriebenen größten Kreises beträgt.
Bild 9. Ersatzhohlquerschnitt für Vollquerschnitte

12.3.3 Nachweis der Schub- und schiefen Hauptdruckspannungen in Zone b
(1) Als maßgebende Spannungsgröße in Zone b gilt der Rechenwert der Schubspannung τR
er darf die in Tabelle 9, Zeilen 56 bis 61, angegebenen Werte nicht überschreiten.
(2) Sofern die Größe des Hebelarmes der inneren Kräfte nicht genauer nachgewiesen wird, darf sie bei der Ermittlung vonÄR infolge Querkraft dem Wert gleichgesetzt werden, der beim Nachweis nach Abschnitt 11 im betrachteten Schnitt ermittelt wurde. Bei Trägern mit konstanter Nutzhöheh darf mit jenem Hebelarm gerechnet werden, der sich an der Stelle des maximalen Momentes im zugehörigen Querkraftbereich ergibt.
(3) Ein von Spanngliedern als Schubbewehrung erzeugter Spannungszustand bleibt beim Nachweis der Schubspannung unberücksichtigt. Bei zugbeanspruchten Gurten ist die Schubspannung aus Querkraft für Zustand II aus der Zugkraftänderung der vorhandenen Gurtlängsbewehrung zwischen zwei benachbarten Querschnitten zu ermitteln, falls sie nicht nach Zustand I berechnet wird.
(4) In druckbeanspruchten Gurten und bei Einschnürungen der Druckzone sind die schiefen Hauptdruckspannungen nachzuweisen und wie in Zone a zu begrenzen. Auf diesen Nachweis darf verzichtet werden, wenn die maximale Schubspannung im rechnerischen Bruchzustand kleiner als 0,1βWN ist (siehe Abschnitt 12.3.2).
12.4 Bemessung der Schubbewehrung
12.4.1 Allgemeines
(1) Die Schubdeckung durch Bewehrung ist für Querkraft und Torsion im rechnerischen Bruchzustand (siehe Abschnitt 12.1) in den Bereichen des Tragwerks und des Querschnitts nachzuweisen, in denen die HauptzugspannungσI (Zustand I) bzw. die SchubspannungτR (Zustand II) eine der Nachweisgrenzen der Tabelle 9, Zeilen 50 bis 55, überschreitet.
(2) Die erforderliche Schubbewehrung ist für die in den Zugstreben eines gedachten Fachwerks wirkenden Kräfte zu bemessen (Fachwerkanalogie). Bezüglich der Neigung der Fachwerkstreben siehe Abschnitte 12.4.2 (Querkraft) und 12.4.3 (Torsion); die Bewehrungen sind getrennt zu ermitteln und zu addieren. Auf die Mindestschubbewehrung nach den Abschnitten 6.7.3 und 6.7.5 wird hingewiesen. Für die Bemessung der Bewehrung aus Betonstahl gelten die in Tabelle 9, Zeile 69, angegebenen Spannungen.
(3) Spannglieder als Schubbewehrung dürfen mit den in Tabelle 9, Zeile 65, angegebenen Spannungen zuzüglichβS des Betonstahles, jedoch höchstens mit ihrer jeweiligen Streckgrenze bemessen werden.
(4) Bei unmittelbarer Stützung gilt:
Die Schubbewehrung am Auflager darf für einen Schnitt ermittelt werden, der 0,5 *d0 vom Auflagerrand entfernt ist.
(5) Der Querkraftanteil aus einer auflagernahen EinzellastF im Abstanda< 2 *d0 von der Auflagerachse darf auf den Werta *QF/2d0 abgemindert werden. Dabei istd0 die Querschnittsdicke.
(6) Bei Berücksichtigung von Abschnitt 11.1, Absatz (4), ist die Schubdeckung zusätzlich im Gebrauchszustand nach den Grundsätzen der Zone a nachzuweisen. Dabei ist die Neigung der Druckstreben gegen die Querschnittsnormale gleich der Neigung der Hauptdruckspannungen im Zustand I anzunehmen. Für die Bemessung der Schubbewehrung aus Betonstahl gelten die in Tabelle 9, Zeile 68, angegebenen zulässigen Spannungen.
(7) Bei dicken Platten sind die in Tabelle 9, Zeile 51, angegebenen Werte nach der in DIN 1045/07.88, Abschnitt 17.5.5, getroffenen Regelung zu verringern. Diese Abminderung gilt jedoch nicht, wenn die rechnerische Schubspannung vorwiegend aus Einzellasten resultiert (z.B. Fahrbahnplatten von Brücken).
(8) Überschreiten die Hauptzugspannungen aus Querkraft und Querkraft plus Torsion die 0,6fachen Werte der Tabelle 9, Zeile 56, so dürfen für die Schubbewehrung nur Betonrippenstahl oder Spannglieder mit Endverankerung verwendet werden. Für die Abstände von Schrägstäben und Schrägbügeln gilt DIN 1045/07.88, Abschnitt 18.
(9) Bei gleichzeitigem Auftreten von Schub und Querbiegung darf in der Regel vereinfachend eine symmetrisch zur Mittelfläche von Stegen verteilte Schubbewehrung auf die zur Aufnahme der Querbiegung erforderliche Bewehrung voll angerechnet werden. Diese Vereinfachung gilt nicht bei geneigten Bügeln und bei Spanngliedern als Schubbewehrung. In Gurtscheiben darf sinngemäß verfahren werden.
12.4.2 Schubbewehrung zur Aufnahme der Querkräfte
(1) Bei der Bemessung der Schubbewehrung nach der Fachwerkanalogie darf die Neigung der Zugstreben gegen die Querschnittsnormale im allgemeinen zwischen 90° (Bügel) und 45° (Schrägstäbe, Schrägbügel) gewählt werden.
(2) Schrägstäbe, die flacher als 35° gegenüber der Trägerachse geneigt sind, dürfen als Schubbewehrung nicht herangezogen werden.
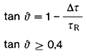
(3) In Zone a ist die Neigungϑ der Druckstreben gegen die Querschnittsnormale im Trägersteg und in den Druckgurten nach Gleichung (11) anzunehmen:
![]() |
(11) |
Hierin bedeuten:
| tanϑ1 | Neigung der Hauptdruckspannungen gegen die Querschnittsnormale im Zustand I in der Schwerlinie des Trägers bzw. in Druckgurten am Anschnitt |
| τu | der Höchstwert der Schubspannung im Querschnitt aus Querkraft im rechnerischen Bruchzustand (nach Abschnitt 12.3), ermittelt nach Zustand 1 ohne Berücksichtigung von Spanngliedern als Schubbewehrung |
| Δτ | 60 % der Werte nach Tabelle 9, Zeile 50. |
(4) Zone a darf auch wie Zone b behandelt werden. Für den Schubanschluss von Zuggurten gelten die Bestimmungen von Zone b.
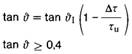
(5) In Zone b ist die Neigungϑ der Druckstreben gegen die Querschnittsnormale anzunehmen:
![]() |
(12) |
Hierin bedeuten:
| τR | der für den rechnerischen Bruchzustand nach Zustand II ermittelte Rechenwert der Schubspannung |
| Δτ | 60 % der Werte nach Tabelle 9, Zeile 50. |
(6) Beim Schubanschluss von Druckgurten gelten die für Zone a gemachten Angaben.
12.4.3 Schubbewehrung zur Aufnahme der Torsionsmomente
(1) Die Schubbewehrung zur Aufnahme der Torsionsmomente ist für die Zugkräfte zu bemessen, die in den Stäben eines gedachten räumlichen Fachwerkkastens mit Druckstreben unter 45° Neigung zur Trägerachse ohne Abminderung entstehen.
(2) Bei Vollquerschnitten verläuft die Mittellinie des gedachten Fachwerkkastens wie in Bild 9.
(3) Erhalten einzelne Querschnittsteile des gedachten Fachwerkkastens Druckbeanspruchungen aus Längskraft und Biegemoment, so dürfen die in diesen Druckbereichen entstehenden Druckkräfte bei der Bemessung der Torsionsbewehrung berücksichtigt werden.
(4) Hinsichtlich der Neigung der Zugstreben gilt Abschnitt 12.4.2.
12.5 Indirekte Lagerung
Es gilt DIN 1045/07.88, Abschnitt 18.10.2. Für die Aufhängebewehrung dürfen auch Spannglieder herangezogen werden, wenn ihre Neigung zwischen 45° und 90° gegen die Trägerachse beträgt. Dabei ist für Spannstahl die StreckgrenzeβS anzusetzen, wenn der Spannungszuwachs kleiner als 420 N/mm2 ist.
12.6 Eintragung der Vorspannung
(1) An den Verankerungsstellen der Spannglieder darf erst im Abstande vom Ende der Verankerung (Eintragungslänge) mit einer geradlinigen Spannungsverteilung infolge Vorspannung gerechnet werden.
(2) Bei Spanngliedern mit Endverankerung ist diese Eintragungslängee gleich der Störungslänges, die zur Ausbreitung der konzentriert angreifenden Spannkräfte bis zur Einstellung eines geradlinigen Spannungsverlaufes im Querschnitt nötig ist.
(3) Bei Spanngliedern, die nur durch Verbund verankert werden, gilt für die Eintragungslängee:
| e = [s2 + (0,6lü)2]0,5>lü | (13) |
| lü | Übertragungslänge aus Gleichung (17) |
(4) Zur Aufnahme der im Bereich der Eintragungslängee auftretenden Spaltzugkräfte muss stets eine Querbewehrung angeordnet werden. Sie ist bei Verankerung durch Verbund unter Zugrundelegung einer kürzeren Eintragungslänge zu bemessen und entsprechend zu verteilen. Für gerippte Drähte ist diese verkürzte Eintragungslänge mit der Hälfte, bei gezogenen profilierten Drähten bzw. Litzen mit3/4 des Ausgangswertes anzunehmen. Zugkräfte aus Schub und Spaltzug brauchen nicht addiert zu werden, wenn örtlich die jeweils größere Zugkraft durch Bügel abgedeckt wird.
12.7 Nachträglich ergänzte Querschnitte
(1) Schubkräfte zwischen Fertigteilen und Ortbeton bzw. in Arbeitsfugen (siehe DIN 1045/07.88, Abschnitte 10.2.3 und 19.4), die in Richtung der betrachteten Tragwirkung verlaufen, sind stets durch Bewehrung abzudecken. Die Bewehrung ist nach DIN 1045/07.88, Abschnitt 19.7.3, auszubilden. Die Fuge zwischen dem zuerst hergestellten Teil und der Ergänzung muss rauh sein. Dabei ist die Neigung der Druckstreben gegen die Querschnittsnormale wie folgt anzunehmen:
![]() |
(14) |
![]() |
(15) |
Erklärung der Formelzeichen siehe Abschnitt 12.4.2.
(2) Wird Ortbeton B 15 verwendet, so ist Δτ gleich 0,6 N/mm2 zu setzen.
(3) Sind die Fugen verzahnt oder wird die Oberfläche nachträglich verzahnt, so darf die Druckstrebenneigung nach Abschnitt 12.4.2 angenommen werden. Die Mindestschubbewehrung nach Tabelle 4 muss die Fuge durchdringen.
12.8 Arbeitsfugen mit Kopplungen
In Arbeitsfugen mit Spanngliedkopplungen darf an Stelle des Nachweises nach den Abschnitten 12.3 und 12.4 der Nachweis der Schubdeckung unter Annahme eines Ersatzfachwerks geführt werden, wenn die Fuge konstruktiv entsprechend ausgebildet wird (im allgemeinen verzahnte Fuge). Die Bewehrung ist unter Zugrundelegung des angenommenen Fachwerks zu bemessen. Die Richtung der Druckstrebe darf dabei höchstens 15° von der Normalen derjenigen Fugenteilfläche abweichen, von der die Druckkraft aufzunehmen ist. Die Druckspannung auf die Teilflächen darf im rechnerischen Bruchzustand den WertβR nicht überschreiten.
12.9 Durchstanzen
(1) Der Nachweis der Sicherheit gegen Durchstanzen ist nach DIN 1045/07.88, Abschnitte 22.5 bis 22.7, zu führen.
(2) Bei der Ermittlung der maßgebenden größten Querkraft max.Qr im Rundschnitt zum Nachweis der Sicherheit gegen Durchstanzen von punktförmig gestützten Platten darf eine entlastende und muss eine belastende Wirkung von Spanngliedern, die den Rundschnitt kreuzen, berücksichtigt werden. In den nach DIN 1045, zu führenden Nachweisen sind die Schnittgrößen aus Vorspannung mit dem Faktor 1/1,75 abzumindern.
(3) Dabei dürfen in den Gleichungen fürx1 undx2
| as = | 1,3 und für |
| μg | die Summe der Bewehrungsprozentsätze |
| μg = | μs +µvi |
eingesetzt werden.
Hierin bedeuten:
| μg | vorhandener Bewehrungsprozentsatz, mit nicht mehr als 1,5 % in Rechnung zu stellen | |
| μs | Bewehrungsgrad in % der Bewehrung aus Betonstahl | |
![]() |
ideeller Bewehrungsgrad in % infolge Vorspannung | |
| σbv,N | Längskraftanteil der Vorspannung der Platte zur Zeitt = ∞ | |
| βS | Streckgrenze des Betonstahls. | |
(4) Der Prozentsatz der Bewehrung aus Betonstahl im Bereich des Durchstanzkegelsdk =dst + 3hm muss mindestens 0,3 % und daneben innerhalb des Gurtstreifens mindestens 0,15 % betragen.
Hierin bedeuten:
| dst | nach DIN 1045/07.88, Abschnitt 22.5.1.1 |
| hm | analog DIN 1045/07.88, Abschnitt 22.5.1.1, unter Berücksichtigung der den Rundschnitt kreuzenden Spannglieder. |
13 Nachweis der Beanspruchung des Verbundes zwischen Spannglied und Beton
(1) Im Gebrauchszustand erübrigt sich ein Nachweis der Verbundspannungen. Die maximale Verbundspannungτ1 ist im rechnerischen Bruchzustand nachzuweisen.
(2) Näherungsweise darf sie bestimmt werden aus:
![]() |
(16) |
Hierin bedeuten:
| Zu | Zugkraft des Spanngliedes im rechnerischen Bruchzustand beim Nachweis nach Abschnitt 11 |
| Zv | zulässige Zugkraft des Spanngliedes im Gebrauchszustand |
| uv | Umfang des Spanngliedes nach Abschnitt 10.2 |
| l' | Abstand zwischen dem Querschnitt des maximalen Momentes im rechnerischen Bruchzustand und dem Momentennullpunkt unter ständiger Last. |
(3)τ1 darf die folgenden Werte nicht überschreiten:
| bei glatten Stählen: | zulτ1 = 1,2 N/mm2, |
| bei profilierten Stählen und Litzen: | zulτ1 = 1,8 N/mm2, |
| bei gerippten Stählen: | zulτ1 = 3,0 N/mm2. |
(4) Ergibt Gleichung (16) höhere Werte, so ist der Nachweis nach Abschnitt 11.2 für die mit zulτ1 bestimmte ZugkraftZu neu zu führen.
14 Verankerung und Kopplung der Spannglieder, Zugkraftdeckung
14.1 Allgemeines
Die Spannglieder sind durch geeignete Maßnahmen so im Beton des Bauteiles zu verankern, dass die Verankerung die Nennbruchkraft des Spanngliedes erträgt und im Gebrauchszustand keine schädlichen Risse im Verankerungsbereich auftreten. Für Spannglieder mit Endverankerung und für Kopplung sind die Angaben den Zulassungen zu entnehmen.
14.2 Verankerung durch Verbund
(1) Bei Spanngliedern, die nur durch Verbund verankert werden, ist für die volle Übertragung der Vorspannung vom Stahl auf den Beton im Gebrauchszustand eine Übertragungslängelü erforderlich.
Dabei ist
| lü =k1 *dv | (17) |
(2) Bei Einzelspanngliedern aus Runddrähten oder Litzen istdv der Nenndurchmesser, bei nicht runden Drähten ist fürdv der Durchmesser eines Runddrahtes gleicher Querschnittsfläche einzusetzen. Der Verbundbeiwertk1 ist den Zulassungen für den Spannstahl zu entnehmen.
(3) Die ausreichende Verankerung im rechnerischen Bruchzustand ist nachgewiesen, wenn die Bedingungen nach a) oder b) erfüllt sind:
![]() |
(18) |
![]() |
(19) | |
| σv | die zulässige Vorspannung des Spannstahles (siehe Tabelle 9, Zeile 65) | |
| Av | Querschnittsfläche des Spanngliedes | |
| υ | Versatzmaß nach DIN 1045 | |
![]() |
(20) |
Bei direkter Lagerung genügt ein Überstand von2/3l1.
Hierin bedeuten:
![]() |
am Auflager zu verankernde Zugkraft; sofern ein Teil dieser Zugkraft nach DIN 1045 durch Längsbewehrung aus Betonstahl verankert wird, braucht der Überstand der Spannglieder nur für die nicht abgedeckte Restzugkraft ΔZAu =ZAu -As *2S nachgewiesen zu werden. | |
| Qu | die Querkraft am Auflager im rechnerischen Bruchzustand | |
| Av | der Querschnitt der über die Auflager geführten unten liegenden Spannglieder | |
______________
8) Bei Brücken ist die Zwangbeanspruchung aus der 0,4fachen möglichen Baugrundbewegung zu berücksichtigen, falls dies ungünstiger ist.
9) Bei Brücken ist die Zwangbeanspruchung aus der 0,4fachen möglichen Baugrundbewegung zu berücksichtigen, falls dies ungünstiger ist.
![]() |
weiter . | ![]() |
(Stand: 11.03.2019)
Alle vollständigen Texte in der aktuellen Fassung im Jahresabonnement
Nutzungsgebühr: ab 105.- € netto
(derzeit ca. 7200 Titel s.Übersicht - keine Unterteilung in Fachbereiche)
Die Zugangskennung wird kurzfristig übermittelt
? Fragen ?
Abonnentenzugang/Volltextversion