![]() |
zurück | ![]() |
A.1.2 Staudruck
(1) Der durch den Wind in Höhez über Gelände erzeugte Staudruckq, welcher der Böengeschwindigkeit (5-s-Mittelwert, der in 50 Jahren einmal erreicht oder überschritten wird) zugeordnet ist, ist anzunehmen mit (siehe Bild A.1):
| q =qo + 0,003 *z in kN/m2 | (A.2) |
Hierin bedeuten:
| qo | Rechenwert des Staudrucks in Geländehöhe in kN/m2 |
| z | Höhe über Gelände in m |
(2) Bei Masthöhen bish = 50 m darf mit einem über die Höhe konstanten Staudruck
| q = 0,75 (1 +h/100)qo in kN/m2 | (A.3) |
gerechnet werden.
Hierin bedeutet:
| h | Gesamthöhe des Mastes über Gelände in m |
Bild A.1. Staudruckverteilung
![]() |
|
| a) Maste mith d 50m | b) Maste mith > 50m |
(3) Für den Staudruckqo sind folgende Werte in Abhängigkeit von der Zoneneinteilung nach Bild A.2 einzusetzen:
| Zone IV: | Inseln in der Deutschen Bucht | qo =1,70 kN/m2 |
| Zone III: | Nord- und Ostsee Küstengebiet | qo =1,30 kN/m2 |
| Zone II: | Norddeutsche Tiefebene und Berlin | qo =1,05 kN/m2 |
| Zone I: | übriges Gebiet mit Geländehöhen bis 600 m über NN | qo = 0,80 kN/m2 |
| Standorte mit Geländehöhen H über 600 m über NN | qo = 0,10 + 7 H/6000 in kN/m2 |
(4) Steht der Mast auf einer Erhebung, die das umliegende Gelände mit einer Steigung größer 1:3 mehr als 30 m überragt, ist der Staudruck in jeder Höhe über Gelände um Δq =0,15 kN/m2 zu erhöhen. Bei besonders ungünstigen Geländeformen können darüber hinausgehende Staudruckerhöhungen erforderlich werden.
A.1.3 Aerodynamischer Kraftbeiwertcf und BezugsflächeA
A.1.3.1 Rechenwert des Kraftbeiwertescf
(1) Die aerodynamischen Kraftbeiwertecf und die zugehörigen BezugsflächenA sind DIN 1055 Teil 4 zu entnehmen. Für die üblichen Querschnittsformen bei Masten dürfen vereinfachend gegenüber DIN 1055 Teil 4 die nachstehenden Berechnungsregeln angewendet werden.
(2) Der auf den Abschnitt i bezogene aerodynamische Kraftbeiwertcfi ist wie folgt zu ermitteln:
| cfi =ψ *cfo,i | (A.4) |
Hierin bedeuten:
| cfo,i | Grundkraftbeiwert für die Querschnittsform des Abschnittes i, siehe Abschnitt A. 1.3.2 | |
| ψ | Abminderungsfaktor | |
| ψ = 0,65 + 0,0035h/dm fürh/dm< 100 | (A.5) | |
| ψ =1,0 fürh/dm > 100 | ||
| h | Gesamthöhe des Mastes über Gelände | |
| dm | maßgebende Breite in halber Höhe des Mastes: bei kreisförmigen und regelmäßig n-eckigen (n> 5) Querschnitten ist dies der Durchmesser des den Querschnitt umschreibenden Kreises |
|
A.1.3.2 Grundkraftbeiwertcfo und BezugsflächeA
A.1.3.2.1 Maste mit Kreisquerschnitt
(1) Der Grundkraftbeiwertcfo darf näherungsweise angenommen werden zu
cfo = 0,75
(2) Dieser Wert berücksichtigt eine für Schleuderbeton zutreffende Rauhigkeitstiefe (Ersatzrauhigkeit) der Kreiszylinderoberfläche von k ≈ 10-4 m.
(3) Die BezugsflächeAi des Abschnittes i mit der Länge Δhi und dem Durchmesserdi ist:
| Ai = Δhi *di | (A.6) |
A.1.3.2.2 Maste mit regelmäßig n-eckigen (n> 5) Querschnitten
(1) Der Grundkraftbeiwertcfo ist Tabelle A.1 zu entnehmen.
(2) Die BezugsflächeAi im Abschnitt i mit der Länge Δhi ergibt sich aus Gleichung (A.6), wobei fürdi der Durchmesser des den Querschnitt umschreibenden Kreises im Abschnitt i einzusetzen ist.
Tabelle A.1. Grundkraftbeiwertecfo für Maste mit regelmäßig n-eckigen Querschnitten
| n | cfo |
| 16 | 1,00 |
| 12 | 1,10 |
| 8 | 1,40 |
| 6 | 1,55 |
| 5 | 1,65 |
A.1.3.2.3 Andere Mastformen
Für andere als in den Abschnitten A. 1.3.2.1 und A. 1.3.2.2 und DIN 1055 Teil 4 angegebenen Formen dürfen die aerodynamischen Kraftbeiwerte und die zugehörigen Bezugsflächen dem anerkannten, auf Windkanalversuchen beruhenden Schrifttum entnommen oder durch Versuche im Windkanal ermittelt werden.
A.1.3.2.4 Berücksichtigung von Außenanbauten
Sind an einem kreiszylindrischen Mastschaft Außenanbauten, wie einzelne Kabel, Kabelbahnen, Leitern oder Antennen sowie deren Befestigungen vorhanden, so sind die Grundkraftbeiwertecfo und die zugehörigen BezugsflächenA für diese Mastbereiche der Tabelle A.2 zu entnehmen. Die für den Schaft und die Außenanbauten getrennt zu ermittelnden Windlasten sind zu addieren.
A.1.4 Windlast bei Eisansatz
Bei Eisansatz ist die Windlast auf die durch den Eisansatz vergrößerte Bezugsfläche des Mastes mit 75 % des Staudrucks zu ermitteln. Für die Eisansatzfläche gilt DIN 1055 Teil 5.
A.2 Berücksichtigung von Schwingungswirkungen
A.2.1 Böenerregte Schwingungen in Windrichtung
A.2.1.1 Statische Ersatzlast
(1) Die durch die Böigkeit des Windes hervorgerufene Schwingungswirkung in Windrichtung braucht nur bei freistehenden als Kragträger wirkenden Masten berücksichtigt zu werden. Leitungsmaste gelten in diesem Sinne nicht als freistehende Kragträger.
(2) Die Schwingungswirkung wird durch den Ansatz einer statischen Ersatzlast erfasst. Hierzu ist die nach Gleichung (A.1) ermittelte Windlast im Abschnitt i mit dem BöenreaktionsfaktorΦ zu vervielfachen.
Damit ist:
| ersWi =ΦB *cfi *qi *Ai | (A.7) |
(3) Der BöenreaktionsfaktorΦB berücksichtigt die Wirkung der räumlichen und zeitlichen Änderungen der Windgeschwindigkeit auf die Bauwerksschwingungen in Windrichtung.
(4)ΦB darf wie folgt berechnet werden:
| ΦB =ΦBo *η | (A.8) |
Hierin bedeuten:
| η | Größenfaktor |
| ΦBo | Grundwert des Böenreaktionsfaktors |
Fürη undΦBo gilt:
| η | = 1,00 | fürh< 50 m | (A.9) |
| η | = 1,05 -h/1000 | fürh > 50 m | |
| ΦBo | = 1 + (0,042T- 0,0019T2) *δ-0,63 | (A.10) | |
Dabei ist:
| h | Gesamthöhe des Mastes über Gelände in m |
| T | Schwingungsdauer der Bauwerksgrundschwingung in s, siehe Abschnitt A. 2.1.2 |
| δ | logarithmisches Dämpfungsdekrement, siehe Abschnitt A. 2.1.3 |
Gleichung (A.10) ist gültig für T< 10 s.
A.2.1.2 Schwingungsdauer
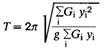
(1) Die SchwingungsdauerT der Grundschwingung von freistehenden Masten kann wie folgt ermittelt werden:
![]() |
(A.11) |
Hierin bedeuten:
| Gi | die in den Punkten i zusammengefassten ständigen Lasten des Systems |
| γi | die horizontalen Auslenkungen des Systems in den Punkten i infolge der horizontal wirkend angenommenen LastenGi |
| g | die Erdbeschleunigung (9,81 m/sec2) |
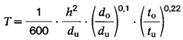
(2) Bei starr eingespannten freistehenden Masten darf die Schwindungsdauer der Grundschwingung nach folgender Gleichung abgeschätzt werden:
![]() |
(A.12) |
Hierin bedeuten:
| h | Gesamthöhe des Mastes über Fundament in m |
| do,du | auf die Wandmitte bezogener Durchmesser am Kopf bzw. am Fuß des Mastes |
| to,tu | Wanddicke am Kopf bzw. am Fuß des Mastes |
A.2.1.3 Dämpfung
Falls keine genaueren Werte für die Dämpfung belegt werden können, dürfen für das logarithmische Dämpfungsdekrementδ 3) folgende Werte angenommen werden:
| Stahlbeton | δ = 0,10 |
| Spannbeton | δ = 0,05 |
A.2.2 Wirbelerregte Schwingungen in Querrichtung
Bei Masten üblicher Bauart aus Stahl- oder Spannbeton ist ein Nachweis wirbelresonanzerregter Querschwingungen im allgemeinen nicht erforderlich. Bei Masten mit kreisförmigen oder annähernd kreisförmigen Querschnitten muss ein Nachweis nur dann geführt werden (z.B. nach DIN 4133), wenn die Scrutonzahl Sc nach Gleichung (A.13) < 25 ist.
![]() |
(A.13) |
Hierin bedeuten:
| Sc | Scrutonzahl (Massendämpfungsparameter) |
| m | Masse je Längeneinheit des Mastes 4) |
| d | Außendurchmesser 4) |
| δL | Dichte der Luft (1,25 kg/m3) |
| δ | logarithmisches Dämpfungsdekrement (siehe Abschnitt A. 2.1.3) |
Bild A.2 Staudruckzonen
Tabelle A.2. Grundkraftbeiwerte cfo und Bezugsflächen a bei Anordnung von Außenanbauten an einen kreiszylindrischen Mast
| Schaft | Außenanbau | |||||
| gültig für | cfo | A | gültig für | cfo | A | |
![]() |
s <dK
s>dK |
0,85
0,75 |
d* Δh
d* Δh |
t < 0,1dK
t> 0,1dK |
1,6
1,2 |
b* Δh
n *dK* Δh |
![]() |
1,1 | d* Δh | ||||
![]() |
dK < 0,02d
s <dK s>dK |
0,75
0,85 0,75 |
d * Δh
d* Δh d* Δh |
1,2 | n *dK* Δh | |
![]() |
0,75 | d* Δh | je nach Form des Außenanbaues | |||
![]() |
s <dK oder t < 0,1dK |
1,0 | d* Δh | t < 0,1dK | 1,6 | b * Δh |
| + Leiter je nach Form | ||||||
| s>dK und t> 0,1dK |
0,75 | d * Δh | t> 0,1dK | 1,2 | n *dK Δh | |
| + Leiter je nach Form | ||||||
| n Anzahl der Kabel
Δh Bereichlänge |
||||||
| Zitierte Normen und andere Unterlagen |
| DIN 488 Teil 1 | Betonstahl; Sorten, Eigenschaften, Kennzeichen |
| DIN 1045 | Beton und Stahlbeton; Bemessung und Ausführung |
| DIN 1048 Teil 1 | Prüfverfahren für Beton; Frischbeton, Festbeton gesondert hergestellter Probekörper |
| DIN 1055 Teil 4 | Lastannahmen für Bauten; Verkehrslasten, Windlasten bei nicht schwingungsanfälligen Bauwerken |
| DIN 1055 Teil 5 | Lastannahmen für Bauten; Verkehrslasten, Schneelast und Eislast |
| DIN 1084 Teil 2 | Überwachung (Güteüberwachung) im Beton- und Stahlbetonbau; Fertigteile |
| DIN 4099 | Schweißen von Betonstahl; Ausführung und Prüfung |
| DIN 4133 | Schornsteine aus Stahl; Statische Berechnung und Ausführung |
| DIN 4227 Teil 1 | Spannbeton; Bauteile aus Normalbeton mit beschränkter oder voller Vorspannung |
| DIN 4227 Teil 2 | Spannbeton; Bauteile mit teilweiser Vorspannung |
| DIN 18 800 Teil 1 | Stahlbauten; Bemessung und Konstruktion |
| DIN EN 40 Teil 9 | Lichtmaste; Besondere Anforderungen für Maste aus Stahlbeton und Spannbeton |
| DIN VDE 0210 | Bau von Starkstrom-Freileitungen mit Nennspannungen über 1 kV |
| DIN VDE 0211 | Bau von Starkstrom-Freileitungen mit Nennspannungen bis 1000 V |
| DS 804 | Vorschriften für Eisenbahnbrücken und sonstige Ingenieurbauwerke Zu beziehen bei: Drucksachenzentrale der Deutschen Bundesbahn, Stuttgarter Str. 61a, 7500 Karlsruhe 1 |
Weitere Normen und andere Unterlagen
| DIN 1048 Teil 2 | Prüfverfahren für Beton; Bestimmung der Druckfestigkeit von Festbeton in Bauwerken und Bauteilen, Allgemeines Verfahren |
| DIN 48 353 Teil 1 | Stahlbetonmaste und -querträger für Einfachleitungen bis 20 kV |
| DIN EN 40 Teil 6 | Lichtmaste; Belastungsannahmen |
| Allgemeine Richtlinien für Antennentragwerke (5 R1)
(Bearbeitet und herausgegeben im Auftrag der ARD unter Mitwirkung des FTZ Darmstadt) Zu beziehen bei: Institut für Rundfunktechnik, Floriansmühlstr. 60, 8000 München 45 |
|
Frühere Ausgaben
DIN 4234: 01.53
DIN 4228: 10.64
Änderungen
Gegenüber der im Jahre 1976 zurückgezogenen Ausgabe Oktober 1964 und der im Jahre 1976 zurückgezogenen DIN 4234/01.53 wurden folgende Änderungen vorgenommen:
Ferner erfolgte die redaktionelle Anpassung an die zwischenzeitliche Normenfortschreibung
| Erläuterungen |
Im Mai 1974 wurden vom Deutschen Ausschuß für Stahlbeton die
"Richtlinien für die Bemessung und Ausführung von Stahlbeton-Masten" und die
"Richtlinien für die Bemessung und Ausführung von Spannbeton-Masten"
als vorläufiger Ersatz für die Normen DIN 4234 und DIN 4228 veröffentlicht. Im November 1976 waren die Normen DIN 4228/10.64 "Spannbeton-Maste, Richtlinien für Bemessung und Ausführung", und DIN 4234/01.53 "Stahlbeton-Maste, Bestimmungen für die Bemessung und Herstellung", daraufhin zurückgezogen worden.
Nach umfassender Überarbeitung der technischen Inhalte soll nunmehr die Norm DIN 4228 für werkmäßig hergestellte Betonmaste als Ersatz für die beiden vorgenannten Richtlinien dienen.
Zum Haupttext der Norm gehört ein Anhang a "Windlastannahmen", der spezielle Regelungen für schwingungsanfällige Bauwerke (hier: schlanke, mastartige Konstruktionen) enthält, die nicht durch die z. Z. gültige Norm DIN 1055 Teil 4/08.86 "Lastannahmen für Bauten; Verkehrslasten, Windlasten bei nicht schwingungsanfälligen Bauwerken", abgedeckt sind. Entsprechende Anhänge, die aufeinander abgestimmt sind, jedoch auch bauarttypische Besonderheiten enthalten, sind DIN 1056/10.84 "Freistehende Schornsteine in Massivbauart; Berechnung und Ausführung" und den Entwürfen DIN 4131/03.88 "Antennentragwerke aus Stahl", und DIN 4133/03.88 "Schornsteine aus Stahl" angefügt.
Ein Überführen der Anhänge in eine Ausgabe von DIN 1055 Teil 4, deren Anwendungsbereich auch schwingungsanfällige Bauwerke erfasst, ist vorgesehen.
Bis zur Herausgabe einer entsprechenden Fassung von DIN 1055 Teil 4 ist die Windlast für Betonmaste nach den im Anhang a angegebenen Verfahren zu berechnen.
Ein möglicher Querverweis auf die in andere Anhänge schon vorliegenden Regelungen wurden als nicht anwendungsgerecht verworfen.
| Internationale Patentklassifikation |
B 28 B21/30
B 28 B 21/40
E 04 H 12/12
E 04 H 12/16
E 04 H 12/32
G 01 L 5/00
G 01 N 33/38
__________________
1) Bis zum Vorliegen einer Norm sind entsprechende Werte DS 804 "Vorschriften für Eisenbahnbrücken und sonstige Ingenieurbauwerke" der Deutschen Bundesbahn zu entnehmen.
2) Da bei dem Maststück nicht die Würfel- sondern die Prismenfestigkeit geprüft wird, und im geschleuderten Beton Festigkeitsunterschiede zwischen den äußeren und inneren Zonen des Querschnitts möglich sind, muss damit gerechnet werden, dass die SpannungF/Ao nur 75 % der Würfeldruckfestigkeit des geschleuderten Betons ausmacht. Deshalb ist in der Gleichung der Beiwert 1,33 eingeführt.
3) Zwischen dem logarithmischen Dämpfungsdekrement´ und der kritischen Dämpfung D (Lehrsches Dämpfungsmaß) besteht die Beziehungδ = 2π *D
4) Bei konischen Masten mit einer Mantelneigung< 2,5 % in5/6 der Masthöhe zu ermitteln.
![]() |
ENDE | ![]() |
(Stand: 11.03.2019)
Alle vollständigen Texte in der aktuellen Fassung im Jahresabonnement
Nutzungsgebühr: ab 105.- € netto
(derzeit ca. 7200 Titel s.Übersicht - keine Unterteilung in Fachbereiche)
Die Zugangskennung wird kurzfristig übermittelt
? Fragen ?
Abonnentenzugang/Volltextversion