![]() |
zurück | ![]() |
B.3.7 Kritische Werte Sn;i
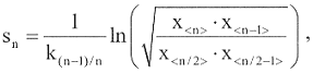
Analog zu (B32) können für beliebige geradzahlige Stichprobenumfänge n mit Hilfe von Gl. (B22) kritische Werte Sn,; berechnet werden, mit denen die Aussage
| Pr(x<n i> ≥ E sn ≤; Sn;i) ≥ 0,95 | (B33) |
gilt. Sie sind für n = 6(2)30 bzw. n = 10(10)100 mit den zur Berechnung von sr,n benötigten Perzentilen k(n-1)/n der Standardnormalverteilung in den Tabellen B2 und B3 angegeben.
B.3.8 Schritte zur einfachen Schätzung oberer Konfidenzgrenzen zum Erwartungswert
Die erläuterte Methode zur einfachen Schätzung oberer Konfidenzgrenzen zum Erwartungswert von lognormal verteilten Zufallsgrößen (für ein vorgegebenes Vertrauensniveau von 0,95) beinhaltet die folgenden Schritte:

| X<n-i> mit der größten Zahl i, für die sn ≥ Sn;i ist, | (B34) |
wozu kritische Werte Sn; in den Tabellen B2 und B3 angegeben sind, stellt dann eine obere Konfidenzgrenze für den Erwartungswert E zum Vertrauensniveau von 0,95 dar.
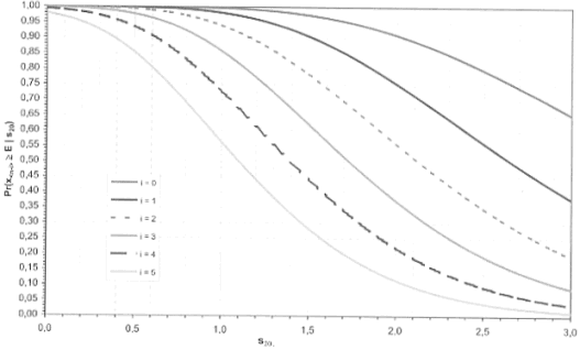
Abbildung B6: Verlauf der Wahrscheinlichkeiten Pr(x<n-i> ≥ E | s20) in Abhängigkeit vom Wert des für die Stichprobe (n = 20) gemessenen Wertes s20
Tabelle B2: Kritische Werte Sn;i und Perzentile k(n-1)/n, der Standardnormalverteilung zur einfachen Schätzung oberer Konfidenzgrenzen zum Erwartungswert E; Stichprobenumfänge n = 6(2)30; P = 0,95
| i/n | 6 | 8 | 10 | 12 | 14 | 16 | 18 | 20 | 22 | 24 | 26 | 28 | 30 |
| 0 | 0,34 | 0,66 | 0,92 | 1,13 | 1,31 | 1,47 | 1,61 | 1,73 | 1,84 | 1,94 | 2,03 | 2,11 | 2,19 |
| 1 | - | 0,11 | 0,41 | 0,64 | 0,83 | 1,00 | 1,14 | 1,27 | 1,38 | 1,48 | 1,58 | 1,66 | 1,74 |
| 2 | - | - | - | 0,26 | 0,48 | 0,66 | 0,81 | 0,95 | 1,07 | 1,18 | 1,27 | 1,36 | 1,44 |
| 3 | - | - | - | - | 0,15 | 0,36 | 0,53 | 0,68 | 0,81 | 0,92 | 1,03 | 1,12 | 1,21 |
| 4 | - | - | - | - | - | 0,07 | 0,27 | 0,44 | 0,58 | 0,70 | 0,81 | 0,91 | 1,00 |
| 5 | - | - | - | - | - | - | 0,01 | 0,20 | 0,36 | 0,50 | 0,62 | 0,72 | 0,82 |
| 6 | - | - | - | - | - | - | - | - | 0,14 | 0,30 | 0,43 | 0,54 | 0,65 |
| 7 | - | - | - | - | - | - | - | - | - | 0,10 | 0,24 | 0,37 | 0,48 |
| 8 | - | - | - | - | - | - | - | - | - | - | 0,06 | 0,20 | 0,32 |
| 9 | - |
(Stand: 02.06.2025)
Alle vollständigen Texte in der aktuellen Fassung im Jahresabonnement
Nutzungsgebühr: ab 105.- € netto
(derzeit ca. 7200 Titel s.Übersicht - keine Unterteilung in Fachbereiche)
Die Zugangskennung wird kurzfristig übermittelt
? Fragen ?
Abonnentenzugang/Volltextversion