![]() |
zurück | ![]() |
Tabelle F4: Perzentile tn-1;P der t-Verteilung für Stichprobenumfänge n von 6 bis 100 für P = 0,90
| n | tn-1;P | n | tn-1;P | n | tn-1;P | n | tn-1;P | n | tn-1;P |
| 6 | 1,4759 | 25 | 1,3178 | 44 | 1,3016 | 63 | 1,2954 | 82 | 1,2921 |
| 7 | 1,4398 | 26 | 1,3163 | 45 | 1,3011 | 64 | 1,2951 | 83 | 1,2920 |
| 8 | 1,4149 | 27 | 1,3150 | 46 | 1,3007 | 65 | 1,2949 | 84 | 1,2918 |
| 9 | 1,3968 | 28 | 1,3137 | 47 | 1,3002 | 66 | 1,2947 | 85 | 1,2917 |
| 10 | 1,3830 | 29 | 1,3125 | 48 | 1,2998 | 67 | 1,2945 | 86 | 1,2916 |
| 11 | 1,3722 | 30 | 1,3114 | 49 | 1,2994 | 68 | 1,2943 | 87 | 1,2915 |
| 12 | 1,3634 | 31 | 1,3104 | 50 | 1,2991 | 69 | 1,2941 | 88 | 1,2914 |
| 13 | 1,3562 | 32 | 1,3095 | 51 | 1,2987 | 70 | 1,2939 | 89 | 1,2912 |
| 14 | 1,3502 | 33 | 1,3086 | 52 | 1,2984 | 71 | 1,2938 | 90 | 1,2911 |
| 15 | 1,3450 | 34 | 1,3077 | 53 | 1,2980 | 72 | 1,2936 | 91 | 1,2910 |
| 16 | 1,3406 | 35 | 1,3070 | 54 | 1,2977 | 73 | 1,2934 | 92 | 1,2909 |
| 17 | 1,3368 | 36 | 1,3062 | 55 | 1,2974 | 74 | 1,2933 | 93 | 1,2908 |
| 18 | 1,3334 | 37 | 1,3055 | 56 | 1,2971 | 75 | 1,2931 | 94 | 1,2907 |
| 19 | 1,3304 | 38 | 1,3049 | 57 | 1,2969 | 76 | 1,2929 | 95 | 1,2906 |
| 20 | 1,3277 | 39 | 1,3042 | 58 | 1,2966 | 77 | 1,2928 | 96 | 1,2905 |
| 21 | 1,3253 | 40 | 1,3036 | 59 | 1,2963 | 78 | 1,2926 | 97 | 1,2904 |
| 22 | 1,3232 | 41 | 1,3031 | 60 | 1,2961 | 79 | 1,2925 | 98 | 1,2903 |
| 23 | 1,3212 | 42 | 1,3025 | 61 | 1,2958 | 80 | 1,2924 | 99 | 1,2903 |
| 24 | 1,3195 | 43 | 1,3020 | 62 | 1,2956 | 81 | 1,2922 | 100 | 1,2902 |
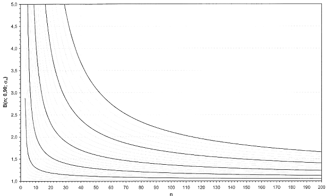
Abbildung F1a: Verlauf der Funktion B(n; P; σn) für P = 0,90 und σn von 0,1 (untere Kurve) bis 2,5 (obere Kurve) in Schritten von 0,1 (σn mit Vielfachen von 0,5 sind fett hervorgehoben) für Stichprobenumfänge n von 3 bis 200
Abbildung F1b: Verlauf der Funktion B(n; P; αn) für P = 0,90 und αn
(Stand: 16.06.2018)
Alle vollständigen Texte in der aktuellen Fassung im Jahresabonnement
Nutzungsgebühr: ab 105.- € netto
(derzeit ca. 7200 Titel s.Übersicht - keine Unterteilung in Fachbereiche)
Die Zugangskennung wird kurzfristig übermittelt
? Fragen ?
Abonnentenzugang/Volltextversion