umwelt-online: Verordnung (EG) Nr. 692/2008 zur Durchführung und Änderung der VO (EG) Nr. 715/2007 über die Typgenehmigung von Kraftfahrzeugen hinsichtlich der Emissionen von leichten Personenkraftwagen und Nutzfahrzeugen (Euro 5 und Euro 6) und über den Zugang zu Reparatur- und Wartungsinformationen für Fahrzeuge (3)
![]() |
zurück | ![]() |
| Überprüfung der Fahrdynamikbedingungen mit Methode 2 (Einstufung in Leistungsklassen) | Anlage 6 16 |
1. Einleitung
In dieser Anlage wird die Datenauswertung gemäß der Methode der Einstufung in Leistungsklassen beschrieben; sie wird in dieser Anlage als "Auswertung durch Normierung einer Verteilung der vereinheitlichten Leistungsfrequenz" (standardized power frequency - SPF) bezeichnet.
2. Symbole, Parameter und Einheiten 16
aref Bezugsbeschleunigung für Pdrive, [0,45 m/s2]
DWLTC Achsabschnitt der Veline des WLTC
f0, f1, f2 Fahrwiderstandskoeffizienten
i Phase für momentane Messungen, Mindestauflösung 1 Hz
j Radleistungsklasse, j = 1 bis 9
kWLTC Steigung der Veline des WLTC
mgas, i Momentane Masse des Abgasbestandteils "Gas" in der Phase i, [g/s]
mgas, 3s, k Gleitender 3-Sekunden-Durchschnitt des Massendurchsatzes für den Abgasbestandteil "Gas" in der Phase k mit einer Auflösung von 1 Hz
Durchschnittlicher Wert der Emission eines Abgasbestandteils in der Radleistungsklasse j, g/s
Mgas,d Entfernungsabhängige Emissionen für den Abgasbestandteil "Gas" [g/km]
Gewichteter Emissionswert eines Abgasbestandteils 'gas' in der Teilstichprobe aller Sekunden i mit vi < 60 km/h in g/s
Mw,gas,d,U Gewichtete streckenabhängige Emissionen des Abgasbestandteils 'gas' in der Teilstichprobe aller Sekunden i mit vi < 60 km/h in g/km
p Phase des WLTC (niedrig, mittel, hoch und sehr hoch), p = 1 - 4
Pdrag Motorbremswirkung im Veline-Ansatz bei abgesperrter Kraftstoffzufuhr, [kW]
Prated Maximale Nennleistung des Motors laut Herstellerangabe, [kW]
Prequired,i Erforderliche Leistung zur Überwindung des Fahrwiderstands und der Fahrzeugträgheit in der Phase i, [kW]
Pr,,i Gleich dem oben definierten Ausdruck Prequired,i, zur Verwendung in längeren Gleichungen
Pwot(nnorm) Leistungskurve bei Volllast, [kW]
Pc,j Radleistungsklassengrenzen für die Klasse Nr. j, [kW] (Pc,j, lower bound steht für die untere Grenze, Pc,j, upper bound für die obere Grenze)
Pc,norm, j Radleistungsklassengrenzen für die Klasse j als normierter Leistungswert, [-]
Pr, i Leistungsbedarf am Fahrzeugrad zur Überwindung der Fahrwiderstände in der Phase i [kW]
Pw,3s,k Gleitender 3-Sekunden-Durchschnitt des Leistungsbedarfs am Fahrzeugrad zur Überwindung der Fahrwiderstände in der Phase k [k W] mit einer Auflösung von 1 Hz
Pdrive Leistungsbedarf an der Radnabe für ein Fahrzeug bei Bezugsgeschwindigkeit und bei Beschleunigung [kW]
Pnorm Normierter Leistungsbedarf an der Radnabe [-]
ti Gesamtdauer in der Phase i, [s]
tc,j Zeitanteil der Radleistungsklasse j, [%]
ts Zeitpunkt des Beginns der WLTC-Phase p, [s]
te Zeitpunkt des Endes der WLTC-Phase, [s]
TM Prüfmasse des Fahrzeugs, [kg]; abschnittsweise anzugeben: tatsächliches Prüfgewicht bei der PEMS-Prüfung, NEFZ = Trägheitsklassengewicht oder WLTP-Massen (TML, TMH oder TMind)
SPF Standardised Power Frequency distribution - Verteilung der vereinheitlichten Leistungsfrequenz
vi tatsächliche Fahrzeuggeschwindigkeit in der Phase i, [km/h]
durchschnittliche Fahrzeuggeschwindigkeit in der Radleistungsklasse j, km/h
vref Bezugsgeschwindigkeit für Pdrive, [70 km/s2]
Gewichtete Fahrzeuggeschwindigkeit in der Radleistungsklasse j in km/h
v3s,k Gleitender 3-Sekunden-Durchschnitt der Fahrzeuggeschwindigkeit in der Phase k, [km/h]
3. Auswertung der Emissionswertewerte mit einer Verteilung der vereinheitlichten Radleistungsfrequenz
Bei der Methode der Einstufung in Leistungsklassen werden die nach Anlage 4 berechneten momentanen Emissionen der Schadstoffe mgas, i (g/s) verwendet.
Die Werte von mgas, i werden gemäß der jeweiligen Leistung an den Rädern eingestuft und die nach Leistungsklassen eingestuften Emissionen gewichtet, um entsprechend den folgenden Anweisungen die Emissionswerte für eine Prüfung mit normaler Leistungsverteilung zu ermitteln.
3.1. Quelle der tatsächlichen Radleistung 16
Die tatsächliche Radleistung Pr,i ist die Gesamtleistung zur Überwindung des Luftwiderstands, des Rollwiderstands, der Straßenneigungen, der Längsträgheit des Fahrzeugs und der Rotationsträgheit der Räder.
Bei der Messung und der Aufzeichnung ist für das Radleistungssignal ein Drehmomentsignal zu verwenden, das die Linearitätsanforderungen in Anlage 2 Nummer 3.2 erfüllt.
Stattdessen kann die tatsächliche Radleistung auch anhand der momentanen CO2-Emissionen nach dem Verfahren in Nummer 4 dieser Anlage bestimmt werden.
3.2. Einteilung der gleitenden Mittelwerte in Fahrten innerorts, außerorts und auf der Autobahn 16
Die Normleistungshäufigkeiten sind für den Stadtverkehr und die gesamte Fahrt festgelegt (siehe Nummer 3.4), und die Emissionen sind gesondert für die gesamte Fahrt und für den Teil 'Stadt' auszuwerten. Die nach Nummer 3.3 berechneten gleitenden 3-Sekunden-Durchschnitte werden daher, wie in Tabelle 1-1 dargestellt, zu einem späteren Zeitpunkt gemäß dem Geschwindigkeitssignal (vi) aus der tatsächlich gefahrenen Sekunde i innerstädtischen und außerstädtischen Fahrbedingungen zugeordnet.
Tabelle 1-1: Geschwindigkeitsbereiche zur Zuordnung von Prüfdaten zu den Bedingungen für Fahrten innerorts, außerorts und auf der Autobahn im Zusammenhang mit der Methode der Einstufung in Leistungsklassen
| Stadt | Landstraße | Autobahn | |
| vi [km/h] | 0 bis ≤ 60 | > 60 bis ≤ 90 | > 90 |
3.3. Berechnung der gleitenden Durchschnitte der momentanen Prüfdaten
Die gleitenden 3-Sekunden-Durchschnitte werden aus allen maßgeblichen momentanen Prüfdaten berechnet, um die Auswirkungen einer möglicherweise unvollkommenen Synchronisierung zwischen Emissionsmassendurchsatz und Radleistung zu vermindern. Die gleitenden Durchschnitte werden mit einer Frequenz von 1 Hz berechnet:
Dabei ist:
k die Phase für die Werte gleitender Durchschnitte
i die Phase aus momentanen Prüfdaten
3.4. Festlegung der Radleistungsklassen für die Emissionseinstufung
3.4.1. Die Leistungsklassen und die entsprechenden Zeitanteile der Leistungsklassen bei normaler Fahrt werden für normierte Leistungswerte so definiert, dass sie für jedes leichte Nutzfahrzeug repräsentativ sind (Tabelle 1-2).
Tabelle 1-2: Normierte Normleistungsfrequenzen für den Stadtverkehr und für einen gewichteten Durchschnitt einer Fahrt mit den Streckenanteilen 1/3 Stadt, 1/3 Landstraße und 1/3 Autobahn
| Leistung Klasse Nr. | Pc,norm,j [-] | Stadt | Gesamte Fahrt | |
| Von > | bis ≤ | Zeitanteil, tC,j | ||
| 1 | - 0,1 | 21,9700 % | 18,5611 % | |
| 2 | - 0,1 | 0,1 | 28,7900 % | 21,8580 % |
| 3 | 0,1 | 1 | 44,0000 % | 43,45 % |
| 4 | 1 | 1,9 | 4,7400 % | 13,2690 % |
| 5 | 1,9 | 2,8 | 0,4500 % | 2,3767 % |
| 6 | 2,8 | 3,7 | 0,0450 % | 0,4232 % |
| 7 | 3,7 | 4,6 | 0,0040 % | 0,0511 % |
| 8 | 4,6 | 5,5 | 0,0004 % | 0,0024 % |
| 9 | 5,5 | 0,0003 % | 0,0003 % | |
Die Spalten des Typs Pc,norm in Tabelle 1-2 werden durch Multiplikation mit Pdrive entnormiert, wobei Pdrive die tatsächliche Radleistung des für die Typgenehmigung auf dem Rollenprüfstand geprüften Fahrzeugs bei vref und aref ist.
Pc,j [kW] = Pc,norm, j x Pdrive
Dabei gilt:
3.4.2. Berichtigung der Radleistungsklassen
Die höchste in Betracht zu ziehende Radleistungsklasse ist die höchste Klasse in Tabelle 1-2, die (Prated x 0,9) enthält. Die Zeitanteile aller ausgeschlossenen Klassen werden zu der höchsten verbleibenden Klasse hinzu addiert.
Zur Bestimmung der oberen und der unteren Grenze jeder Radleistungsklasse des geprüften Fahrzeugs in kW wird zu jedem Pc,norm,j das jeweilige Pc,j nach der Anleitung in Abbildung 1 berechnet.
Im folgenden Beispiel wird diese Entnormierung veranschaulicht.
Beispiel für Ausgangsdaten:
| Parameter | Wert |
| f0 [N] | 79,19 |
| f1 [N] | 0,73 |
| f2 [N/(km/h)2] | 0,03 |
| TM [kg] | 1.470 |
| Prated [k W] | 120 (Beispiel 1) |
| Prated [k W] | 75 (Beispiel 2) |
Entsprechende Ergebnisse:
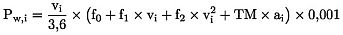
Pdrive = 70 [km/h]/3,6 x (79,19 + 0,73 [N/(km/h)] x 70[km/h] + 0,03 [N/(km/h)2] x (70 [km/h])2 + 1.470 [kg] x 0,45 [m/s2]) x 0,001
Pdrive = 18,25 kW
Tabelle 2: Entnormierte einheitliche Leistungsfrequenzwerte aus Tabelle 1-2 (für Beispiel 1)
| Leistung Klasse Nr. | Pc,j [kW] | Stadt | Gesamte Fahrt | |
| Von > | bis ≤ | Zeitanteil, tC,j [%] | ||
| 1 | Alle < - 1,825 | - 1,825 | 21,97 % | 18,5611 % |
| 2 | - 1,825 | 1,825 | 28,79 % | 21,8580 % |
| 3 | 1,825 | 18,25 | 44,00 % | 43,4583 % |
| 4 | 18,25 | 34,675 | 4,74 % | 13,2690 % |
| 5 | 34,675 | 51,1 | 0,45 % | 2,3767 % |
| 6 | 51,1 | 67,525 | 0,045 % | 0,4232 % |
| 7 | 67,525 | 83,95 | 0,004 % | 0,0511 % |
| 8 | 83,95 | 100,375 | 0,0004 % | 0,0024 % |
| 9 1 | 100,375 | Alle > 100,375 | 0,00025 % | 0,0003 % |
| 1) Die höchste zu berücksichtigende Radleistungsklasse ist diejenige, die 0,9 x Prated enthält. Hier 0,9 x 120 = 108. | ||||
Tabelle 3: Entnormierte einheitliche Leistungsfrequenzwerte aus Tabelle 1-2 (für Beispiel 2)
| Leistung Klasse Nr. | Pc,j [k W] | Stadt | Gesamte Fahrt | |
| Von > | bis ≤ | Zeitanteil, tC,j [%] | ||
| 1 | Alle <- 1,825 | - 1,825 | 21,97 % | 18,5611 % |
| 2 | - 1,825 | 1,825 | 28,79 % | 21,8580 % |
| 3 | 1,825 | 18,25 | 44,00 % | 43,4583 % |
| 4 | 18,25 | 34,675 | 4,74 % | 13,2690 % |
| 5 | 34,675 | 51,1 | 0,45 % | 2,3767 % |
| 61 | 51,1 | Alle > 51,1 | 0,04965 % | 0,4770 % |
| 7 | 67,525 | 83,95 | - | - |
| 8 | 83,95 | 100, 375 | - | - |
| 9 | 100,375 | Alle > 100,375 | - | - |
| 1) Die höchste zu berücksichtigende Radleistungsklasse ist diejenige, die 0,9 x Prated enthält. Hier 0,9 x 75 = 67,5. | ||||
3.5. Einstufung der Werte der gleitenden Durchschnitte
Jeder nach Nummer 3.2 berechnete Wert eines gleitenden Durchschnitts wird derjenigen Klasse der entnormierten Radleistung zugeordnet, in die der tatsächliche 3-Sekunden-Durchschnitt der Radleistung Pw,3s,k gehört. Die Klassengrenzen für die entnormierte Radleistung sind nach Nummer 3.3 zu berechnen.
Die Einstufung wird für alle gleitenden 3-Sekunden-Durchschnitte der gesamten gültigen Fahrtdaten sowie für alle Stadt-Anteile der gesamten Fahrt durchgeführt. Zusätzlich werden alle der Klasse Stadt gemäß den Geschwindigkeitsgrenzen in Tabelle 1-1 zugeordneten gleitenden Durchschnitte unabhängig von dem Zeitpunkt, zu dem der gleitende Durchschnitt während der Fahrt auftrat, in einen Satz von Stadt-Leistungsklassen eingestuft.
Anschließend wird der Durchschnitt der Werte aller gleitenden 3-Sekunden-Durchschnitte innerhalb einer Radleistungsklasse je Parameter für jede Radleistungsklasse berechnet. Die im Folgenden beschriebenen Gleichungen sind einmal auf den Datensatz Stadt und einmal auf den gesamten Datensatz anzuwenden.
Einstufung der Werte der gleitenden 3-Sekunden-Durchschnitte in Leistungsklassen j (j = 1 bis 9):
if
dann ist der Klassenindex für Emissionen und Geschwindigkeit = j
Für jede Leistungsklasse wird die Anzahl der gleitenden 3-Sekunden-Durchschnitte gezählt:
dann ist Anzahlj = n + 1
(Mit der Anzahlj werden die gleitenden 3-Sekunden-Durchschnitte in einer Leistungsklasse gezählt, um später den Mindestabdeckungbedarf zu prüfen.)
3.6. Überprüfung der Leistungsklassenabdeckung und der Normalität der Leistungsverteilung
Damit eine Prüfung gültig ist, müssen die Zeitanteile der einzelnen Radleistungsklassen innerhalb der Bereiche liegen, die in Tabelle 4 aufgeführt sind.
Tabelle 4: Für eine gültige Prüfung erforderliche Mindest- und Höchstanteile je Leistungsklasse
| Pc,norm,j [-] | Gesamte Fahrt | Fahrtanteil Stadt | ||||
| Leistungsklassennummer | Von > | bis ≤ | untere Grenze | obere Grenze | untere Grenze | obere Grenze |
| Summe 1 + 21 | 0,1 | 15 % | 60 % | 5 %1 | 60 % | |
| 3 | 0,1 | 1 | 35 % | 50 % | 28 % | 50 % |
| 4 | 1 | 1,9 | 7 % | 25 % | 0,7 % | 25 % |
| 5 | 1,9 | 2,8 | 1,0 % | 10 % | > Anzahl 5 | 5 % |
| 6 | 2,8 | 3,7 | > Anzahl 5 | 2,5 % | 0 % | 2 % |
| 7 | 3,7 | 4,6 | 0 % | 1,0 % | 0 % | 1 % |
| 8 | 4,6 | 5,5 | 0 % | 0,5 % | 0 % | 0,5 % |
| 9 | 5,5 | 0 % | 0,25 % | 0 % | 0,25 % | |
| 1) Stellen die Summe der Fahrbedingungen und der Bedingungen bei niedriger Leistung dar. | ||||||
Für eine ausreichend große Stichprobe wird neben den Anforderungen in Tabelle 4 eine Mindestabdeckung von 5 gezählten Werten für die gesamte Fahrt in jeder Radleistungsklasse bis zu der Klasse verlangt, die 90 % der Nennleistung enthält.
Für den Teil Stadt der Fahrt ist eine Mindestabdeckung von 5 gezählten Werten in jeder Radleistungsklasse bis zur Klasse 5 erforderlich. Betragen die gezählten Werte im Teil Stadt der Fahrt in einer Radleistungsklasse mit einer Nummer über 5 weniger als 5, wird der Durchschnittswert der Emissionen dieser Klasse auf Null gesetzt.
3.7. Bildung der Durchschnitte der Messwerte je Radleistungsklasse
Aus den in jeder Radleistungsklasse sortierten gleitenden Durchschnitten wird der Durchschnitt wie folgt gebildet:
Dabei ist:
j die Radleistungsklasse 1 bis 9 nach Tabelle 1
der durchschnittlicher Emissionswert eines Abgasbestandteils in einer Radleistungsklasse (gesonderte Werte für gesamte Fahrt und die Stadt-Teile der Fahrt), [g/s]
die durchschnittliche Geschwindigkeit in einer Radleistungsklasse (gesonderte Werte für gesamte Fahrt und die Stadt-Teile der Fahrt), [km/h]
k die Phase für die Werte gleitender Durchschnitte
3.8. Gewichtung der Durchschnittswerte je Radleistungsklasse
Die Durchschnittswerte jeder Radleistungsklasse werden mit dem Zeitanteil tC,j je Klasse nach Tabelle 1-2 multipliziert sowie addiert, um den Wert des gewichteten Durchschnitts für jeden Parameter zu bestimmen. Dieser Wert stellt das gewichtete Ergebnis für eine Fahrt mit den vereinheitlichten Leistungsfrequenzen dar. Für den Teil Stadt der Prüfdaten werden die gewichteten Durchschnitte unter Verwendung der Zeitanteile für die Stadt-Leistungsverteilung berechnet, für die gesamte Fahrt mit den Zeitanteilen für die gesamte Fahrt.
Die im Folgenden beschriebenen Gleichungen sind einmal auf den Datensatz Stadt und einmal auf den gesamten Datensatz anzuwenden.
3.9. Berechnung des gewichteten entfernungsabhängigen Emissionswerts 16
Die zeitabhängigen gewichteten Durchschnitte der Emissionen in der Prüfung werden einmal für den Stadt-Datensatz und einmal für den gesamten Datensatz wie folgt in entfernungsabhängige Emissionen umgewandelt:
Für die gesamte Fahrt:
Für den Teil "Stadt" der Fahrt:
Mit diesen Formeln werden die gewichteten Durchschnitte für die folgenden Schadstoffe für die gesamte Fahrt und für den Teil 'Stadt' berechnet:
| Mw,NOx,d | gewichtetes Ergebnis der Prüfung auf NOx in [mg/km] |
| Mw,NOx,d,U | gewichtetes Ergebnis der Prüfung auf NOx in [mg/km] |
| Mw,CO,d | gewichtetes Ergebnis der Prüfung auf CO in [mg/km] |
| Mw,CO,d,U | gewichtetes Ergebnis der Prüfung auf CO in [mg/km]"; |
4. Bewertung der Radleistung anhand des momentanen CO2-Durchsatzes
Die Leistung an den Rädern (Pw,i) lässt sich aus dem mit einer Frequenz von 1 Hz gemessenen CO2-Massendurchsatz berechnen. Für diese Berechnung werden die fahrzeugspezifischen CO2-Geraden ("Veline") verwendet.
Die Berechnung der Veline erfolgt anhand der Fahrzeugtypgenehmigungsprüfung im WLTC nach dem in der UNECE globalen technischen Regelung Nr. 15 der UNECE - Worldwide harmonized Light vehicles Test Procedure (ECE/TRANS/180/Add.15) beschriebenen Verfahren.
Für jede WLTC-Phase wird die durchschnittliche Radleistung mit der Frequenz 1 Hz aus der gemessenen Fahrgeschwindigkeit und den Einstellungen des Rollenprüfstands berechnet. Alle Radleistungswerte, die unter der Widerstandsleistung liegen, werden auf den Wert der Widerstandsleistung gesetzt.
Dabei sind
f0, f1, f2 die bei der WLTC-Prüfung mit dem Fahrzeug verwendeten Fahrwiderstandskoeffizienten
TM die bei der WLTC-Prüfung mit dem Fahrzeug verwendete Prüfmasse des Fahrzeugs [kg]
Pdrag = - 0,04 x Prated
if Pw,i < Pdrag then Pw,i = Pdrag
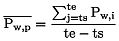
Die durchschnittliche Leistung der jeweiligen WLTC-Phase wird anhand der Radleistung mit 1 Hz wie folgt berechnet:
Dabei sind
p die Phase des WLTC (niedrig, mittel, hoch und sehr hoch)
ts der Zeitpunkt des Beginns der WLTC-Phase p, [s]
te der Zeitpunkt des Endes der WLTC-Phase, [s]
Anschließend wird eine lineare Regression vorgenommen; dabei werden die Werte des CO2-Massendurchsatzes aus den Beutelwerten des WLTC auf der y-Achse abgetragen und die aus der durchschnittlichen Radleistung je Phase auf der x-Achse, wie in Abbildung 2 veranschaulicht.
Die sich daraus ergebende Veline-Gleichung zeigt den CO2-Massendurchsatz als Funktion der Radleistung:
| CO2i = kWLTCXPw,i + DLWTC | CO2 in [g/h] |
Dabei ist:
kWLTC die Steigung der Veline aus dem WLTC, [g/kWh]
DWLTC der Achsabschnitt der Veline aus dem WLTC, [g/h]
Abbildung 2 Schema für die Konstruktion der fahrzeugspezifischen Veline anhand der Ergebnisse der CO2-Prüfung in den vier Phasen des WLTC
Die tatsächliche Radleistung wird aus dem gemessenen CO2-Massendurchsatz wie folgt berechnet:
Pw,i = (CO2i - DWLTC) / kWLTC
Dabei wird
CO2 in [g/h] angegeben und
PW,j in [kW].
Mit den folgenden zusätzlichen Bedingungen in der Berechnung kann die vorstehende Gleichung dazu dienen, PWi für die Einstufung der gemessenen Emissionen nach der Beschreibung in Nummer 3 zu bestimmen.
| wenn vi < 0,5 und wenn ai < 0, dann ist Pw,i = 0 | v in [m/s] |
| wenn CO2i < 0,5 X DWLTC, dann ist Pw,i = Pdrag | v in [m/s] |
| Fahrzeugauswahl für PEMS-Prüfungen bei der ursprünglichen Typgenehmigung | Anlage 7 |
1. Einleitung
PEMS-Prüfungen brauchen wegen ihrer besonderen Eigenschaften nicht für jeden "Fahrzeugtyp hinsichtlich der Emissionen und der entsprechenden Reparatur- und Wartungsinformationen" der in Artikel 2 Absatz 1 dieser Verordnung definiert ist und im Folgenden als Fahrzeugemissionstyp bezeichnet wird, durchgeführt zu werden. Der Hersteller kann mehrere Fahrzeugemissionstypen gemäß den Anforderungen von Nummer 3 zu einer PEMS-Prüffamilie zusammenfassen, welche nach den Anforderungen von Nummer 4 zu validieren ist.
2. Symbole, Parameter und Einheiten
N - Anzahl der Fahrzeugemissionstypen
NT - Mindestanzahl der Fahrzeugemissionstypen
PMRH - Höchstes spezifisches Leistungsgewicht aller Fahrzeuge in der PEMS-Prüffamilie
PMRL - Geringstes spezifisches Leistungsgewicht aller Fahrzeuge in der PEMS-Prüffamilie
V_eng_max - Größter Hubraum aller Fahrzeuge in der PEMS-Prüfung Familie
3. Zusammenstellung von PEMS-Prüffamilien
Eine PEMS-Prüffamilie besteht aus Fahrzeugen mit ähnlichen Emissionsmerkmalen. Die Einbeziehung von Fahrzeugemissionstypen nach Wahl des Herstellers in eine PEMS-Prüffamilie ist nur dann zulässig, wenn sie in Bezug auf die Merkmale in den Nummern 3.1 und 3.2 identisch sind.
3.1. Verwaltungstechnische Kriterien
3.1.1. Die Genehmigungsbehörde, die die Emissionstypgenehmigung nach der Verordnung (EG) Nr. 715/2007 erteilt
3.1.2. Ein einzelner Fahrzeughersteller
3.2. Technische Kriterien
3.2.1. Art des Antriebs (z.B. Verbrennungsmotor (ICE), Hybridelektrofahrzeug (HEV), Steckdosenhybrid (PHEV))
3.2.2. Kraftstoffarten (z.B. Benzin, Diesel, LPG, NG usw.) Fahrzeuge für Zweistoff- oder Flex-Fuel-Betrieb können zusammen mit anderen Fahrzeugen eingruppiert werden, mit dem sie einen Kraftstoff gemein haben.
3.2.3. Arbeitsverfahren (z.B. Zweitakt-, Viertaktmotor)
3.2.4. Zylinderanzahl
3.2.5. Anordnung der Zylinder (Reihe, V-förmig, radial, horizontal gegenüberliegend).
3.2.6. Hubraum
Der Fahrzeughersteller gibt einen Wert V_eng_max (größter Hubraum aller Fahrzeuge in der PEMS-Prüffamilie) an. Die Hubräume der Fahrzeuge in der PEMS-Prüffamilie dürfen von V_eng_max, wenn V_eng_max ≥ 1.500 ccm ist, um nicht mehr als- 22 % abweichen und wenn V_eng_max < 1.500 ccm ist, um nicht mehr als - 32 %.
3.2.7. Art der Kraftstoffzufuhr (z.B. indirekte, direkte oder kombinierte Einspritzung)
3.2.8. Kühlsystem (z.B. Luft, Wasser, Öl)
3.2.9. Ansaugmethode wie natürliche Ansaugung, Aufladung, Art des Aufladers (z.B. mit Antrieb von außen, Einzel- oder Mehrfachturbolader, variable Geometrien ...)
3.2.10. typen und Aufeinanderfolge der Abgasnachbehandlungseinrichtungen (z.B. 3-Wege-Katalysator, Oxidationskatalysator, Mager-NOx-Falle, selektive katalytische Reduktion (SCR), Mager-NOx-Katalysatoren, Partikelfilter)
3.2.11. Abgasrückführung (mit oder ohne, intern oder extern, gekühlt oder nicht gekühlt, niedriger oder hoher Druck)
3.3. Erweiterung einer PEMS-Prüffamilie
Eine bestehende PEMS-Prüffamilie kann durch Aufnahme neuer Fahrzeugemissionstypen erweitert werden. Die erweiterte PEMS-Prüffamilie und deren Validierung müssen die Anforderungen der Nummern 3 und 4 ebenfalls erfüllen. Dazu können insbesondere PEMS-Prüfungen zusätzlicher Fahrzeuge mit dem Ziel erforderlich sein, die erweiterte PEMS-Prüffamilie gemäß Nummer 4 zu validieren.
3.4. Andersartige PEMS-Prüffamilie
Anstatt die Bestimmungen von Nummern 3.1 bis 3.2 zu befolgen, kann der Fahrzeughersteller eine PEMS-Familie festlegen, die mit einem einzigen Fahrzeugemissionstyp identisch ist. In diesem Fall gilt die Anforderung von Nummer 4.1.2 zur Validierung der PEMS-Prüffamilie nicht.
4. Validierung einer PEMS-Prüffamilie
4.1. Allgemeine Anforderungen für die Validierung einer PEMS-Prüffamilie
4.1.1. Der Fahrzeughersteller führt der Typgenehmigungsbehörde ein repräsentatives Fahrzeug der PEMS-Prüffamilie vor. Ein technischer Dienst prüft das Fahrzeug mit einer PEMS-Prüfung, um nachzuweisen, dass das repräsentative Fahrzeug die Anforderungen dieses Anhangs erfüllt.
4.1.2. Die Behörde, die dafür zuständig ist, die Genehmigung des Emissionstyps gemäß der Verordnung (EG) Nr. 715/2007 zu erteilen, wählt nach den Anforderungen von Nummer 4.2 dieses Anhangs weitere Fahrzeuge für PEMS-Prüfungen durch einen technischen Dienst aus, um nachzuweisen, dass die ausgewählten Fahrzeuge die Anforderungen dieses Anhangs erfüllen. Die technischen Kriterien für die Auswahl eines zusätzlichen Fahrzeugs gemäß Nummer 4.2 dieser Anlage werden zusammen mit dem Prüfergebnissen aufgezeichnet.
4.1.3. Mit Zustimmung der Typgenehmigungsbehörde kann eine PEMS-Prüfung auch von einer dritten Stelle unter Aufsicht eines technischen Dienstes unter der Voraussetzung gefahren werden, dass wenigstens die in dieser Anlage Nummer 4.2.2 und 4.2.6 verlangten Prüfungen und insgesamt wenigstens 50 % der in dieser Anlage verlangten PEMS-Prüfungen zur Validierung der PEMS-Prüffamilie von einem technischen Dienst gefahren werden. In diesem Falle bleibt der technische Dienst für die ordnungsgemäße Durchführung aller PEMS-Prüfungen gemäß den Anforderungen dieses Anhangs verantwortlich.
4.1.4. Unter den nachstehenden Bedingungen können die Ergebnisse der PEMS-Prüfung eines bestimmten Fahrzeugs zur Validierung verschiedener PEMS-Prüffamilien gemäß den Anforderungen dieser Anlage verwendet werden:
Bei jeder Validierung wird davon ausgegangen, dass die jeweils anwendbaren Verantwortlichkeiten vom Hersteller der Fahrzeuge in der jeweiligen Familie unabhängig davon getragen werden, ob dieser Hersteller an der PEMS-Prüfung des jeweiligen Fahrzeugemissionstyps beteiligt war.
4.2. Auswahl von Fahrzeugen für PEMS-Prüfungen bei der Validierung einer PEMS-Prüffamilie
Die Auswahl von Fahrzeugen aus einer PEMS-Prüffamilie muss so erfolgen, dass sichergestellt ist, dass die folgenden für Schadstoffemissionen maßgeblichen technischen Merkmale mit einer PEMS-Prüfung erfasst werden. Ein für Prüfungen ausgewähltes Fahrzeug kann für verschiedene technische Merkmale repräsentativ sein. Fahrzeuge zur Validierung einer PEMS-Prüffamilie werden wie folgt für PEMS-Prüfungen ausgewählt:
4.2.1. Für jede Kraftstoffkombination (z.B. Benzin-LPG, Benzin-NG, nur Benzin), mit der einige Fahrzeuge der PEMS-Prüffamilie betrieben werden können, wird für PEMS-Prüfungen wenigstens ein Fahrzeug ausgesucht, das mit dieser Kraftstoffkombination betrieben werden kann. 4
4.2.2. Der Hersteller gibt einen Wert für PMRH (= höchstes Leistungsgewicht aller Fahrzeuge in der PEMS-Prüffamilie) sowie einen Wert PMRL (= niedrigstes Leistungsgewicht aller Fahrzeuge in der PEMS-Prüffamilie) an. In diesem Zusammenhang entspricht das Leistungsgewicht dem Verhältnis zwischen der höchsten Nutzleistung des Verbrennungsmotors laut Anhang Anlage 3 Nummer 3.2.1.8 dieser Verordnung und der Bezugsmasse im Sinne von Artikel 3 Absatz 3 der Verordnung (EG) Nr. 715/2007. Für die Prüfungen ausgewählt werden wenigstens eine Fahrzeugkonfiguration, die für das angegebene PMRH, sowie eine Fahrzeugkonfiguration, die für das angegebene PMRL einer PEMS-Prüffamilie repräsentativ sind. Weicht das Leistung-Masse-Verhältnis eines Fahrzeugs um höchstens 5 % von dem für PMRH, oder PMRL angegebenen Wert ab, gilt das Fahrzeug als für diesen Wert repräsentativ.
4.2.3. Für die Prüfungen wird wenigstens ein Fahrzeug für jeden in Fahrzeugen der PEMS-Familie eingebauten Getriebetyp (z.B. Handschaltgetriebe, Automatikgetriebe, Doppelkupplungsgetriebe) ausgewählt.
4.2.4. Falls die PEMS-Prüffamilie Fahrzeuge mit Vierradantrieb umfasst, wird der wenigstens ein solches Fahrzeug für die Prüfungen ausgewählt.
4.2.5. Für jeden in der PEMS-Familie auftretenden Hubraum wird wenigstens ein repräsentatives Fahrzeug geprüft.
4.2.6. Für jede Anzahl eingebauter Abgasnachbehandlungsbauteile wird wenigstens ein Fahrzeug für die Prüfungen ausgewählt.
4.2.7. Unbeschadet der Bestimmungen der Punkte 4.2.1 bis 4.2.6 wird für die Prüfungen wenigstens die folgende Anzahl von Fahrzeugemissionstypen einer bestimmten PEMS-Prüffamilie ausgewählt:
| Anzahl N von Fahrzeugemissionstypen in einer PEMS-Prüffamilie | Mindestanzahl NT von für PEMS-Prüfungen ausgewählten Fahrzeugemissionstypen |
| 1 | 1 |
| 2 bis 4 | 2 |
| 5 bis 7 | 3 |
| 8 bis 10 | 4 |
| 11 bis 49 | NT = 3 + 0,1 x Nr1 |
| über 49 | NT = 0,15 x N1 |
| 1) NT wird auf die nächstgrößere ganze Zahl gerundet. | |
5. Berichterstattung
5.1. Der Fahrzeughersteller stellt eine vollständige Beschreibung der PEMS-Prüffamilie bereit, die insbesondere die in Nummer 3.2 beschriebenen technischen Kriterien umfasst, und legt sie der zuständigen Typgenehmigungsbehörde vor.
5.2. Der Hersteller weist der PEMS-Prüffamilie eine eindeutige Kennnummer im Format MS-OEM-X-Y zu und teilt sie der Typgenehmigungsbehörde mit. Darin ist MS die Kennnummer des Mitgliedstaats, der die EG-Typgenehmigung 56 erteilt, OEM sind drei Zeichen für den Hersteller, X ist eine laufende Nummer zur Kennzeichnung der PEMS-Prüffamilie und Y ein Zähler für deren Erweiterungen (der für eine noch nicht erweiterte PEMS-Prüffamilie mit 0 beginnt).
5.3. Die Typgenehmigungsbehörde und der Fahrzeughersteller führen auf Grundlage der Genehmigungsnummern der Emissionstypen eine Liste der Fahrzeugemissionstypen, die zu einer bestimmten PEMS-Prüffamilie gehören. Für jeden Emissionstyp werden ebenso alle entsprechenden Kombinationen von Fahrzeugtypgenehmigungsnummern, typen, Varianten und Versionen im Sinne der Abschnitte 0.10 und 0.2 der EG-Übereinstimmungsbescheinigung des Fahrzeugs bereitgestellt.
5.4. Die Typgenehmigungsbehörde und der Fahrzeughersteller führen eine Liste der für PEMS-Prüfungen ausgewählten Fahrzeugemissionstypen zur Validierung einer PEMS-Prüffamilie gemäß Nummer 4; die Liste enthält auch die erforderlichen Informationen darüber, wie die Auswahlkriterien von Nummer 4.2 erfasst sind. Diese Liste enthält auch die Angabe, ob die Bestimmungen von Nummer 4.1.3 auf eine bestimmte PEMS-Prüfung angewandt wurden.
| Überprüfung der gesamten Fahrtdynamik | Anlage 7a 16 |
1. Einleitung
In dieser Anlage werden die Verfahren zur Überprüfung der gesamten Fahrtdynamik beschrieben, mit denen ermittelt wird, ob insgesamt bei der Fahrt innerorts, außerorts und auf Autobahnen die Dynamik zu groß oder zu gering ist.
2. Zeichen
| RPA | Relative positive Beschleunigung |
| 'Beschleunigungsauflösung ares' | Mindestbeschleunigung > 0 gemessen in m/s2 |
| T4253H | Glätter für zusammengesetzte Daten |
| 'positive Beschleunigung apos' | Beschleunigung [m/s2] von mehr als 0,1 m/s2 |
Index (i) bezieht sich auf den Zeitschritt
Index (j) bezieht sich auf den Zeitschritt von Datensätzen zur positiven Beschleunigung
Index (k) bezieht sich auf die Kategorie (t = insgesamt (total), u = innerorts (urban), r = außerorts (rural), m = Autobahn (motorway)
Δ - Differenz
> - größer als
≥ - größer gleich
% - Prozent
< - kleiner als
≤ - kleiner gleich
a - Beschleunigung [m/s2]
ai - Beschleunigung im Zeitschritt i [m/s2]
apos - positive Beschleunigung größer als 0,1 m/s2 [m/s2]
apos,i,k - positive Beschleunigung größer als 0,1 m/s2 in Zeitschritt i unter Berücksichtigung der innerorts, außerorts und auf Autobahnen gefahrenen Anteile [m/s2]
ares - Beschleunigungsauflösung [m/s2]
di - im Zeitschritt i zurückgelegte Strecke [m]
di,k - im Zeitschritt i zurückgelegte Strecke [m] unter Berücksichtigung der innerorts, außerorts und auf Autobahnen gefahrenen Anteile
Mk - Anteil der innerorts, außerorts und auf Autobahnen gefahrenen Stichproben mit einer positiven Beschleunigung größer als 0,1 m/s2
Nk - Gesamtzahl der Stichproben für die innerorts, außerorts und auf Autobahnen gefahrenen Anteile und für die gesamte Fahrt
RPAk - relative positive Beschleunigung für die innerorts, außerorts und auf Autobahnen gefahrenen Anteile [m/s2 oder kWs/(kg x km)]
tk - Dauer der Stichproben für die innerorts, außerorts und auf Autobahnen gefahrenen Anteile und der gesamten Fahrt [s]
ν - Fahrzeuggeschwindigkeit [km/h]
νi - tatsächliche Fahrzeuggeschwindigkeit im Zeitschritt i [km/h]
νi,k - tatsächliche Fahrzeuggeschwindigkeit im Zeitschritt i unter Berücksichtigung der innerorts, außerorts und auf Autobahnen gefahrenen Anteile [km/h]
(ν · a)i - tatsächliche Fahrzeuggeschwindigkeit pro Beschleunigung im Zeitschritt i [m2/s3 oder W/kg]
(ν · apos)j,k - tatsächliche Fahrzeuggeschwindigkeit pro positiver Beschleunigung größer als 0,1 m/s2 im Zeitschritt j unter Berücksichtigung der innerorts, außerorts und auf Autobahnen gefahrenen Anteile [m2/s3 oder W/kg]
(ν · apos)k_[95] - 95-Perzentil des Produkts der Fahrzeuggeschwindigkeit pro positiver Beschleunigung größer als 0,1 m/s2 für innerorts, außerorts und auf Autobahnen gefahrene Anteile [m2/s3 oder W/kg]
- durchschnittliche Fahrzeuggeschwindigkeit für innerorts, außerorts und auf Autobahnen gefahrene Anteile [km/h]
3. Fahrtindikatoren
3.1. Berechnungen
3.1.1. Vorverarbeitung der Daten
Dynamische Parameter wie Beschleunigung, ν · apos oder RPa werden mittels eines Geschwindigkeitssignals mit einer Genauigkeit von 0,1 % über 3 km/h und einer Abtastfrequenz von 1 Hz ermittelt. Diese Genauigkeitsanforderung wird in der Regel durch (Dreh-)geschwindigkeitssignale des Rades erfüllt.
Die Geschwindigkeitskurve ist auf fehlerhafte oder unplausible Abschnitte zu prüfen. Die Fahrzeuggeschwindigkeitskurve solcher Abschnitte ist durch Schritte, Sprünge, terrassenförmige Kurven oder fehlende Werte gekennzeichnet. Kurze fehlerhafte Abschnitte sind zu korrigieren, beispielsweise durch Interpolation von Daten oder Vergleich mit einem sekundären Geschwindigkeitssignal. Wahlweise können kurze Fahrten mit fehlerhaften Abschnitten von der anschließenden Datenanalyse ausgeschlossen werden. In einem zweiten Schritt werden die Werte der Beschleunigung in aufsteigender Reihenfolge geordnet, um die Beschleunigungsauflösung ares = zu ermitteln (Mindestbeschleunigungswert > 0).
Wenn ares ≤ 0,01 m/s2, ist die Messung der Fahrzeuggeschwindigkeit ausreichend genau.
Wenn 0,01 < ares ≤ rmax m/s2, dann Glättung durch Verwendung eines T4253-Hanning-Filters.
Wenn ares > rmax m/s2, ist die Fahrt ungültig.
Der T4253-Hanning-Filter nimmt die folgenden Berechnungen vor: Der Glätter beginnt mit einem gleitenden Median von 4, der um einen gleitenden Median von 2 herum zentriert ist. Danach werden die Werte durch die Verwendung eines gleitenden Medians von 5 und eines gleitenden Medians von 3 sowie eines Hanning-Filters erneut geglättet (gleitende gewichtete Durchschnittswerte). Die Rückstände werden berechnet, indem die geglättete Serie von der ursprünglichen Serie abgezogen wird. Das gesamte Verfahren wird dann mit den errechneten Rückständen wiederholt. Schließlich werden die geglätteten Rückstände errechnet, indem die bei der ersten Anwendung des Verfahrens erhaltenen geglätteten Werte abgezogen werden.
Die korrekte Geschwindigkeitskurve dient als Ausgangspunkt für weitere Berechnungen und das Binning gemäß Absatz 3.1.2.
3.1.2. Berechnung von Strecke, Beschleunigung und ν · a
Die folgenden Berechnungen sind über die gesamte zeitbasierte Geschwindigkeitskurve (Auflösung von 1 Hz) von Sekunde 1 bis Sekunde tt (letzte Sekunde) vorzunehmen.
Die Vergrößerung der Strecke pro Datensatz ist wie folgt zu berechnen:
di = νi/3,6, i = 1 bis Nt
Dabei gilt:
di ist die im Zeitschritt i zurückgelegte Strecke [m].
νi ist die tatsächliche Fahrzeuggeschwindigkeit im Zeitschritt i [km/h].
Nt ist die Gesamtzahl der Stichproben.
Die Beschleunigung ist wie folgt zu berechnen:
ai = (νi + 1 - νi - 1)/(2 · 3,6), i = 1 bis Nt
Dabei gilt:
ai ist die Beschleunigung im Zeitschritt i [m/s2] Für i = 1: vi - 1 = 0, für i = Nt: vi + 1 = 0.
Das Produkt der Fahrzeuggeschwindigkeit pro Beschleunigung ist wie folgt zu berechnen:
(ν · a)i = νi · ai/3,6, i = 1 bis Nt
Dabei gilt:
(ν · a)i ist das Produkt der tatsächlichen Fahrzeuggeschwindigkeit pro Beschleunigung im Zeitschritt i [m2/s3 oder W/kg]
3.1.3. Binning der Ergebnisse
Nach der Berechnung von ai und (ν · a)i sind die Werte νi, di, ai und (ν · a)i in aufsteigender Reihenfolge der Fahrzeuggeschwindigkeit zu ordnen.
Alle Datensätze mit νi ≤ 60 km/h gehören zum Intervall 'Geschwindigkeit innerorts', alle Datensätze mit 60 km/h < νi ≤ 90 km/h gehören zum Intervall 'Geschwindigkeit außerorts' und alle Datensätze mit νi > 90 km/h gehören zum Intervall 'Geschwindigkeit auf der Autobahn'.
Die Anzahl der Datensätze mit ai > 0,1 m/s2 muss in jedem Geschwindigkeitsintervall größer oder gleich 150 sein.
Für jedes Geschwindigkeitsintervall muss die durchschnittliche Fahrzeuggeschwindigkeit
wie folgt berechnet werden:
Dabei gilt:
Nk ist die Gesamtzahl der Stichproben für die innerorts, außerorts und auf Autobahnen gefahrenen Anteile
3.1.4. Berechnung von ν · apos_[95] pro Geschwindigkeitsintervall
Das 95-Perzentil der Werte von ν · apos ist wie folgt zu berechnen:
Die Werte (ν · a)i,k innerhalb jedes Geschwindigkeitsintervalls sind für alle Datensätze mit ai,k ≥ 0,1 m/s2 in aufsteigender Reihenfolge zu ordnen und die Gesamtzahl dieser Stichproben Mk ist zu ermitteln.
Dann werden die Perzentilwerte den Werten (ν · apos)j,k mit ai,k ≥ 0,1 m/s2 wie folgt zugeordnet:
Der niedrigste Wert ν · apos erhält das Perzentil 1/Mk, der zweitniedrigste das Perzentil 2/Mk, der drittniedrigste das Perzentil 3/Mk und der höchste das Perzentil Mk/Mk = 100 %.
(ν · apos)k_[95] ist der Wert (ν · apos)j,k mit j/Mk = 95 %. Wenn j/Mk = 95 % nicht erreicht/eingehalten werden kann, ist (ν · apos)k_[95] durch lineare Interpolation zwischen den aufeinander folgenden Stichproben j und j + 1 bei j/Mk < 95 % und (j + 1)/Mk > 95 % zu berechnen.
Die relative positive Beschleunigung für jedes Geschwindigkeitsintervall ist wie folgt zu berechnen:
RPAk = Σj(Δt · (ν · apos)j,k)/Σidi,k, j = 1 bis Mk,i = 1 bis Nk,k = u,r,m
Dabei gilt:
RPAk ist die relative positive Beschleunigung für die innerorts, außerorts und auf Autobahnen gefahrenen Anteile [m/s2 oder kWs/(kg*km)]
Δt ist der Zeitunterschied gleich 1 Sekunde
Mk ist die Anzahl der innerorts, außerorts und auf Autobahnen gefahrenen Stichproben mit positiver Beschleunigung
Nk ist die Gesamtzahl der Stichproben für die innerorts, außerorts und auf Autobahnen gefahrenen Anteile
4. Überprüfung der Gültigkeit einer Fahrt
4.1.1. Überprüfung von ν*apos_[95] pro Geschwindigkeitsintervall (bei ν in [km/h])
Wenn
≤ 74,6 km/h
und
(v · apos)k_[95] > (0,136 · ????? + 14,44)
zutreffen, ist die Fahrt ungültig.
Wenn
> 74,6 km/h und (ν · apos)k_[95] > (0,0742 ·
+ 18,966) zutreffen, ist die Fahrt ungültig.
4.1.2. Überprüfung der RPa pro Geschwindigkeitsintervall
Wenn
≤ 94,05 km/h und RPAk < (- 0,0016 ·
+ 0,1755) und zutreffen, ist die Fahrt ungültig.
Wenn
> 94,05 km/h und RPAk < 0,025 zutreffen, ist die Fahrt ungültig.
| Verfahren zur Ermittlung des kumulierten positiven Höhenunterschieds einer Fahrt | Anlage 7b 16 |
1. Einleitung
In diesem Anhang wird das Verfahren zur Bestimmung der Höhe des kumulierten positiven Höhenunterschieds einer RDE-Fahrt beschrieben.
2. Zeichen
d(0) - Strecke zu Beginn einer Fahrt [m]
d - an einer betrachteten diskreten Wegmarke zurückgelegte kumulierte Strecke [m]
d0 - bis zur Messung unmittelbar vor der entsprechenden Wegmarke zurückgelegte kumulierte Strecke d [m]
d1 - bis zur Messung unmittelbar nach der entsprechenden Wegmarke zurückgelegte kumulierte Strecke d [m]
da - Bezugs-Wegmarke d(0) [m]
de - zurückgelegte kumulierte Strecke bis zur letzten diskreten Wegmarke [m]
di - momentane Strecke [m]
dtot - Gesamtprüfstrecke [m]
h(0) - Höhenlage des Fahrzeugs nach Kontrolle der Datenqualität und Überprüfung des Prinzips der Datenqualität bei Beginn der Fahrt [m über dem Meeresspiegel]
h(t) - Höhenlage des Fahrzeugs nach Kontrolle der Datenqualität und Überprüfung des Prinzips der Datenqualität bei Wegmarke t [m über dem Meeresspiegel]
h(d) - Höhenlage des Fahrzeugs bei Wegmarke d [m über dem Meeresspiegel]
h(t-1) - Höhenlage des Fahrzeugs nach Kontrolle der Datenqualität und Überprüfung des Prinzips der Datenqualität bei Wegmarke t-1 [m über dem Meeresspiegel]
hcorr(0) - korrigierte Höhenlage des Fahrzeugs unmittelbar vor der entsprechenden Wegmarke d [m über dem Meeresspiegel]
hcorr(1) - korrigierte Höhenlage des Fahrzeugs unmittelbar nach der entsprechenden Wegmarke d [m über dem Meeresspiegel]
hcorr(t) - korrigierte momentane Fahrzeughöhe beim Datenpunkt t [m über dem Meeresspiegel]
hcorr(t-1) - korrigierte momentane Fahrzeughöhe beim Datenpunkt t-1 [m über dem Meeresspiegel]
hGPS,i - korrigierte momentane Fahrzeughöhe, mit GPS gemessen [m über dem Meeresspiegel]
hGPS(t) - momentane Fahrzeughöhe, mit GPS gemessen, am Datenpunkt t [m über dem Meeresspiegel]
hint(d) - interpolierte Höhenlage des Fahrzeugs bei der betrachteten diskreten Wegmarke d [m über dem Meeresspiegel]
hint,sm,1(d) - geglättete interpolierte Höhenlage des Fahrzeugs nach der ersten Glättung bei der betrachteten diskreten Wegmarke d [m über dem Meeresspiegel]
hmap(t) - Fahrzeughöhe am Datenpunkt t anhand topografischer Karte [m über dem Meeresspiegel]
Hz - Hertz
km/h - Kilometer pro Stunde
m - Meter
roadgrade,1(d) - geglättete Straßenneigung bei der betrachteten diskreten Wegmarke d nach der ersten Glättung [m/m]
roadgrade,2(d) - geglättete Straßenneigung bei der betrachteten diskreten Wegmarke d nach der zweiten Glättung [m/m]
sin - trigonometrische Sinusfunktion
t - seit Prüfbeginn vergangene Zeit [s]
t0 - bei dem unmittelbar vor der entsprechenden Wegmarke d liegenden Messpunkt vergangene Zeit [s]
νi - momentane Fahrzeuggeschwindigkeit [km/h]
ν(t) - Fahrzeuggeschwindigkeit des Datenpunkts t [km/h]
3. Allgemeine Anforderungen
Der kumulierte positive Höhenunterschied einer RDE-Fahrt wird anhand von drei Parametern ermittelt: der korrigierten momentanen Fahrzeughöhe hGPS,i [m über dem Meeresspiegel], mit GPS gemessen, der momentanen Fahrzeuggeschwindigkeit νi [km/h], aufgezeichnet mit einer Frequenz von 1 Hz, und der entsprechenden seit Prüfbeginn vergangenen Zeit t [s].
4. Berechnung des kumulierten positiven Höhenunterschieds
4.1. Allgemeines
Der kumulierte positive Höhenunterschied einer RDE-Fahrt wird durch ein dreistufiges Verfahren wie folgt berechnet: i) Kontrolle der Datenqualität und grundsätzliche Überprüfung der Datenqualität, ii) Korrektur der momentanen Fahrzeughöhendaten und iii) Berechnung des kumulierten positiven Höhenunterschieds.
4.2. Kontrolle und grundsätzliche Überprüfung der Datenqualität
Die Daten zur momentanen Fahrzeuggeschwindigkeit sind auf Vollständigkeit zu prüfen. Die Korrektur von fehlenden Daten ist zulässig, wenn Lücken innerhalb der Anforderungen nach Nummer 7 der Anlage 4 bleiben; andernfalls sind die Prüfergebnisse für ungültig zu erklären. Die Daten zur momentanen Fahrzeughöhe sind auf Vollständigkeit zu prüfen. Datenlücken sind durch Dateninterpolation zu füllen. Die Richtigkeit der interpolierten Daten ist anhand einer topografischen Karte zu überprüfen. Es wird empfohlen, interpolierte Daten zu korrigieren, wenn folgende Bedingung zutrifft:
|hGPS(t) - hmap(t)| > 40 m
Die Höhenkorrektur ist wie folgt anzuwenden:
h(t) = hmap(t)
Dabei gilt:
h(t) - Höhenlage des Fahrzeugs nach Kontrolle und grundsätzlicher Überprüfung der Datenqualität bei Datenpunkt t [m über dem Meeresspiegel]
hGPS(t) - momentane Fahrzeughöhe, mit GPS gemessen, am Datenpunkt t [m über dem Meeresspiegel]
hmap(t) - Fahrzeughöhe am Datenpunkt t anhand topografischer Karte [m über dem Meeresspiegel]
4.3. Korrektur der momentanen Fahrzeughöhendaten
Die Höhe h(0) bei Beginn der Fahrt bei d(0) ist per GPS zu ermitteln und anhand einer topografischen Karte auf Richtigkeit zu überprüfen. Die Abweichung darf nicht größer als 40 m sein. Alle Daten zur momentanen Fahrzeughöhe h(t) sind zu korrigieren, wenn folgende Bedingung zutrifft:
|h(t) - h(t - 1)| > (ν(t)/3,6 * sin45°)
Die Höhenkorrektur ist wie folgt anzuwenden:
hcorr(t) = hcorr(t-1)
Dabei gilt:
h(t) - Höhenlage des Fahrzeugs nach Kontrolle und grundsätzlicher Überprüfung der Datenqualität bei Datenpunkt t [m über dem Meeresspiegel]
h(t-1) - Höhenlage des Fahrzeugs nach Kontrolle und grundsätzlicher Überprüfung der Datenqualität bei Datenpunkt t-1 [m über dem Meeresspiegel]
ν(t) - Fahrzeuggeschwindigkeit des Datenpunkts t [km/h]
hcorr(t) - korrigierte momentane Fahrzeughöhe beim Datenpunkt t [m über dem Meeresspiegel]
hcorr(t-1) - korrigierte momentane Fahrzeughöhe beim Datenpunkt t-1 [m über dem Meeresspiegel]
Nach Abschluss des Korrekturverfahrens wird ein geeigneter Satz von Höhendaten erstellt. Dieser Datensatz wird für die endgültige Berechnung des kumulierten positiven Höhenunterschieds gemäß Nummer 4.4 verwendet.
4.4. Endgültige Berechnung des kumulierten positiven Höhenunterschieds
4.4.1. Festlegung einer einheitlichen räumlichen Auflösung
Die während einer Fahrt zurückgelegte Gesamtstrecke dtot [m] ist als Summe der momentanen Strecken di zu ermitteln. Die momentane Strecke di ist zu ermitteln als:
di = νi/3,6
Dabei gilt:
di - momentane Strecke [m]
νi - momentane Fahrzeuggeschwindigkeit [km/h]
Der kumulierte positive Höhenunterschied ist anhand von Daten mit einer konstanten räumlichen Auflösung von 1 m, beginnend mit der ersten Messung bei Beginn einer Fahrt d(0) zu errechnen. Die diskreten Datenpunkte bei einer Auflösung von 1 m gelten als Wegmarken und werden durch einen bestimmten Streckenwert d (z.B. 0, 1, 2, 3 m...) und die ihm entsprechende Höhe h(d) [m über dem Meeresspiegel] definiert.
Die Höhe jeder diskreten Wegmarke d ist durch Interpolation der momentanen Höhe hcorr(t) wie folgt zu berechnen:
| hcorr(1) - hcorr(0) | ||
| hint(d) = hcorr(0) + | · (d - d0) | |
| d1 - d0 |
Dabei gilt:
hint(d) - interpolierte Höhenlage des Fahrzeugs bei der betrachteten diskreten Wegmarke d [m über dem Meeresspiegel]
hcorr(0) - korrigierte Höhenlage des Fahrzeugs unmittelbar vor der entsprechenden Wegmarke d [m über dem Meeresspiegel]
hcorr(1) - korrigierte Höhenlage des Fahrzeugs unmittelbar nach der entsprechenden Wegmarke d [m über dem Meeresspiegel]
d - bis zum Erreichen der betrachteten diskreten Wegmarke zurückgelegte kumulierte Strecke d [m]
d0 - bis zum unmittelbar vor der entsprechenden Wegmarke gelegenen Messpunkt zurückgelegte kumulierte Strecke d [m]
d1 - bis zum unmittelbar nach der entsprechenden Wegmarke gelegenen Messpunkt zurückgelegte kumulierte Strecke d [m]
4.4.2. Zusätzliche Datenglättung
Die für jede diskrete Wegmarke erhaltenen Höhendaten sind mittels eines zweistufigen Verfahrens zu glätten; da und de bezeichnen den ersten beziehungsweise letzten Datenpunkt (Abbildung 1). Die erste Glättung ist wie folgt anzuwenden:
| hint(d + 200 m) - hint(da) | ||
| roadgrade,1(d) = | für d ≤ 200 m | |
| (d + 200 m) |
| hint(d + 200 m) - hint(d - 200 m) | ||
| roadgrade,1(d) = | für 200 m < d < (de - 200 m) | |
| (d + 200 m) - (d - 200 m) |
| hint(de) - hint(d - 200 m) | ||
| roadgrade,1(d) = | für d ≥ (de - 200 m) | |
| de - (d - 200 m) |
hint,sm,1(d) = hint,sm,1(d - 1 m) + roadgrade,1(d), d = da + 1 to de
hint,sm,1(da) = hint(da) + roadgrade,1(da)
Dabei gilt:
roadgrade,1(d) - geglättete Straßenneigung bei der betrachteten diskreten Wegmarke d nach der ersten Glättung [m/m]
hint(d) - interpolierte Höhenlage des Fahrzeugs bei der betrachteten diskreten Wegmarke d [m über dem Meeresspiegel]
hint,sm,1(d) - geglättete interpolierte Höhenlage des Fahrzeugs nach der ersten Glättung bei der betrachteten diskreten Wegmarke d [m über dem Meeresspiegel]
d - an einem betrachteten bestimmten Streckenabschnitt zurückgelegte kumulierte Entfernung [m]
da - Bezugs-Wegmarke bei einer Strecke von null Metern [m]
de - zurückgelegte kumulierte Strecke bis zur letzten diskreten Wegmarke [m]
Die zweite Glättung ist wie folgt anzuwenden:
| hint,sm,1(d + 200 m) - hint,sm,1(da) | ||
| roadgrade,2(d) = | für d ≤ 200 m | |
| (d + 200 m) |
| hint,sm,1(d + 200 m) - hint,sm,1(d - 200 m) | ||
| roadgrade,2(d) = | für 200 m < d < (de - 200 m) | |
| (d + 200 m) - (d - 200 m) |
| hint,sm,1(de) - hint,sm,1(d - 200 m) | ||
| roadgrade,2(d) = | für d ≥ (de - 200 m) | |
| de - (d - 200 m) |
Dabei gilt:
roadgrade,2(d) - geglättete Straßenneigung bei der betrachteten diskreten Wegmarke d nach der zweiten Glättung [m/m]
hint,sm,1(d) - geglättete interpolierte Höhenlage des Fahrzeugs nach der ersten Glättung bei der betrachteten diskreten Wegmarke d [m über dem Meeresspiegel]
d - an einer betrachteten diskreten Wegmarke zurückgelegte kumulierte Strecke [m]
da - Bezugs-Wegmarke bei einer Strecke von null Metern [m]
de - zurückgelegte kumulierte Strecke bis zur letzten diskreten Wegmarke [m]
Abbildung 1 Darstellung des Verfahrens zur Glättung der interpolierten Höhenlagensignale
4.4.3. Berechnung des Endergebnisses
Der kumulierte positive Höhenunterschied einer Fahrt wird durch Integration aller positiven interpolierten und geglätteten Straßenneigungen berechnet, d. h. roadgrade,2(d). Das Ergebnis sollte anhand der Gesamtprüfstrecke dtot normalisiert und in kumulierten Höhenmetern je einhundert Kilometer Strecke ausgedrückt werden.
5. Zahlenbeispiel
In den Tabellen 1 und 2 werden die Schritte gezeigt, die vorgenommen werden, um anhand der während einer PEMS-Prüfung auf der Straße gewonnenen Daten den positiven Höhenunterschied zu berechnen. Der Kürze halber wird hier ein Auszug von 800 m und 160 s vorgestellt.
5.1. Kontrolle und grundsätzliche Überprüfung der Datenqualität
Die Kontrolle und grundsätzliche Überprüfung der Datenqualität erfolgt in zwei Schritten. Zuerst werden die Fahrzeuggeschwindigkeitsdaten auf Vollständigkeit überprüft. In dem vorliegenden Datensatz werden keine Lücken hinsichtlich der Fahrzeuggeschwindigkeit entdeckt (siehe Tabelle 1). Als zweites werden die Höhendaten auf Vollständigkeit geprüft; in der Stichprobe fehlen die Höhendaten zu Sekunden 2 und 3. Die Lücken werden gefüllt, indem das GPS-Signal interpoliert wird. Darüber hinaus wird die GPS-Höhe anhand einer topographischen Karte überprüft; diese Prüfung umfasst die Höhe h(0) zu Beginn der Fahrt. Höhendaten für die Sekunden 112-114 werden auf der Grundlage der topografischen Karte berichtigt, damit folgende Bedingung erfüllt wird:
hGPS(t) - hmap(t) < - 40 m
Nach Durchführung der Datenüberprüfung erhält man die Daten in der fünften Spalte h(t).
5.2. Korrektur der momentanen Fahrzeughöhendaten
Im nächsten Schritt werden die Höhendaten h(t) der Sekunden 1 bis 4, 111 bis 112 und 159 bis 160 unter Annahme der Höhenwerte der Sekunden 0, 110 beziehungsweise 158 korrigiert, da folgende Bedingung gilt:
|h(t) - h(t - 1)| > (ν(t)/3,6 * sin45°)
Nach Durchführung der Datenkorrektur erhält man die Daten hcorr(t) in der sechsten Spalte. Die Auswirkungen der angewandten Überprüfungs- und Korrekturmaßnahmen an den Höhendaten werden in Abbildung 2 dargestellt.
5.3. Berechnung des kumulierten positiven Höhenunterschieds
5.3.1. Festlegung einer einheitlichen räumlichen Auflösung
Die momentane Strecke di wird berechnet, indem die in km/h gemessene momentane Fahrzeuggeschwindigkeit durch 3,6 geteilt wird (Spalte 7 in Tabelle 1). Die Höhendaten werden neu berechnet, um eine gleichmäßige räumliche Auflösung von 1 m zu erhalten; so ergeben sich diskrete Wegmarken d (Spalte 1 in Tabelle 2) mit den entsprechenden Höhenwerten hint(d) (Spalte 7 in Tabelle 2). Die Höhe jeder diskreten Wegmarke d ist durch Interpolation der momentanen Höhe hcorr(t) wie folgt zu berechnen:
| 120,3 - 120,3 | ||
| hint(0) = 120,3 + | · (0 - 0) = 120,3000 | |
| 0,1 - 0,0 |
| 132,6 - 132,5 | ||
| hint(520) = 132,5 + | · (520 - 519,9) = 132,5027 | |
| 523,6 - 519,9 |
5.3.2. Zusätzliche Datenglättung
In Tabelle 2 sind die erste und die letzte diskrete Wegmarke folgende: da = 0 m beziehungsweise de = 799 m. Die Höhendaten einer jeden diskreten Wegmarke sind mittels eines zweistufigen Verfahrens zu glätten. Die erste Glättung besteht aus:
| hint(200 m) - hint(0) | 120,9682 - 120,3000 | |||
| roadgrade,1(0) = | = | = 0,0033 | ||
| (0 + 200 m) | 200 |
ausgewählt zum Nachweis der Glättung für d ≤ 200m
| hint(520) - hint(120) | 132,5027 - 121,9808 | |||
| roadgrade,1(320) = | = | = 0,0288 | ||
| (520) - (120) | 400 |
ausgewählt zum Nachweis der Glättung für 200m < d < (599m)
| hint(799) - hint(520) | 121,2000 - 132,5027 | |||
| roadgrade,1(720) = | = | = -0,0405 | ||
| 799 - (520) | 279 |
ausgewählt zum Nachweis der Glättung für d ≥ (599m)
Die geglättete und interpolierte Höhe wird wie folgt berechnet:
hint,sm,1(0) = hint(0) + roadgrade,1(0) = 120,3 + 0,0033 H 120,3033 m
hint,sm,1(799) = hint,sm,1(798) + roadgrade,1(799) = 121,2550 - 0,0220 = 121,2330 m
Zweite Glättung:
| hint,sm,1(200) - hint,sm,1(0) | 119,9618 - 120,3033 | |||
| roadgrade,2(0) | = | = -0,0017 | ||
| (200) | (200) |
ausgewählt zum Nachweis der Glättung für d ≤ 200m
| hint,sm,1(520) - hint,sm,1(120) | 123,6809 - 120,1843 | |||
| roadgrade,2(320) = | = | = 0,0087 | ||
| (520) - (120) | 400 |
ausgewählt zum Nachweis der Glättung für 200m < d < (599)
| hint,sm,1(799) - hint,sm,1(520) | 121,2330 - 123,6809 | |||
| roadgrade,2(720) = | = | = -0,0088 | ||
| 799 - (520) | 279 |
ausgewählt zum Nachweis der Glättung für d ≥ (599m)
5.3.3. Berechnung des Endergebnisses
Der kumulierte positive Höhenunterschied einer Fahrt wird durch Integration aller positiven interpolierten und geglätteten Straßenneigungen berechnet, d. h. roadgrade,2(d). Im dargestellten Beispiel war die gesamte zurückgelegte Strecke dtot = 139,7 km und alle positiven interpolierten und geglätteten Straßenneigungen beliefen sich auf 516 m. Somit ergab sich ein kumulierter positiver Höhenunterschied von 516 x 100/139,7 = 370 m/100 km.
Tabelle 1: Korrektur der momentanen Fahrzeughöhendaten
| Zeit t [s] | v(t) [km/h] |
hGPS(t) [m] |
hmap(t) [m] |
h(t) [m] |
hcorr(t) [m] |
di [m] |
Cum. d [m] |
| 0 | 0,00 | 122,7 | 129,0 | 122,7 | 122,7 | 0,0 | 0,0 |
| 1 | 0,00 | 122,8 | 129,0 | 122,8 | 122,7 | 0,0 | 0,0 |
| 2 | 0,00 | - | 129,1 | 123,6 | 122,7 | 0,0 | 0,0 |
| 3 | 0,00 | - | 129,2 | 124,3 | 122,7 | 0,0 | 0,0 |
| 4 | 0,00 | 125,1 | 129,0 | 125,1 | 122,7 | 0,0 | 0,0 |
| ... | ... | ... | ... | ... | ... | ... | ... |
| 18 | 0,00 | 120,2 | 129,4 | 120,2 | 120,2 | 0,0 | 0,0 |
| 19 | 0,32 | 120,2 | 129,4 | 120,2 | 120,2 | 0,1 | 0,1 |
| ... | ... | ... | ... | ... | ... | ... | ... |
| 37 | 24,31 | 120,9 | 132,7 | 120,9 | 120,9 | 6,8 | 117,9 |
| 38 | 28,18 | 121,2 | 133,0 | 121,2 | 121,2 | 7,8 | 125,7 |
| ... | ... | ... | ... | ... | ... | ... | ... |
| 46 | 13,52 | 121,4 | 131,9 | 121,4 | 121,4 | 3,8 | 193,4 |
| 47 | 38,48 | 120,7 | 131,5 | 120,7 | 120,7 | 10,7 | 204,1 |
| ... | ... | ... | ... | ... | ... | ... | ... |
| 56 | 42,67 | 119,8 | 125,2 | 119,8 | 119,8 | 11,9 | 308,4 |
| 57 | 41,70 | 119,7 | 124,8 | 119,7 | 119,7 | 11,6 | 320,0 |
| ... | ... | ... | ... | ... | ... | ... | ... |
| 110 | 10,95 | 125,2 | 132,2 | 125,2 | 125,2 | 3,0 | 509,0 |
| 111 | 11,75 | 100,8 | 132,3 | 100,8 | 125,2 | 3,3 | 512,2 |
| 112 | 13,52 | 0,0 | 132,4 | 132,4 | 125,2 | 3,8 | 516,0 |
| 113 | 14,01 | 0,0 | 132,5 | 132,5 | 132,5 | 3,9 | 519,9 |
| 114 | 13,36 | 24,30 | 132,6 | 132,6 | 132,6 | 3,7 | 523,6 |
| ... | ... | ... | ... | ... | ... | ... | |
| 149 | 39,93 | 123,6 | 129,6 | 123,6 | 123,6 | 11,1 | 719,2 |
| 150 | 39,61 | 123,4 | 129,5 | 123,4 | 123,4 | 11,0 | 730,2 |
| ... | ... | ... | ... | ... | ... | ... | |
| 157 | 14,81 | 121,3 | 126,1 | 121,3 | 121,3 | 4,1 | 792,1 |
| 158 | 14,19 | 121,2 | 126,2 | 121,2 | 121,2 | 3,9 | 796,1 |
| 159 | 10,00 | 128,5 | 126,1 | 128,5 | 121,2 | 2,8 | 798,8 |
| 160 | 4,10 | 130,6 | 126,0 | 130,6 | 121,2 | 1,2 | 800,0 |
| - bezeichnet Datenlücken | |||||||
Tabelle 2: Berechnung der Straßenneigung
| d [m] |
t0 [s] |
d0 [m] |
d1 [m] |
h0 [m] |
h1 [m] |
hint(d) [m] |
roadgrade,1(d) [m/m] |
hint,sm,1(d) [m] |
roadgrade,2(d) [m/m] |
| 0 | 18 | 0,0 | 0,1 | 120,3 | 120,4 | 120,3 | 0,0035 | 120,3 | - 0,0015 |
| ... | ... | ... | ... | ... | ... | ... | ... | ... | ... |
| 120 | 37 | 117,9 | 125,7 | 120,9 | 121,2 | 121,0 | - 0,0019 | 120,2 | 0,0035 |
| ... | ... | ... | ... | ... | ... | ... | ... | ... | ... |
| 200 | 46 | 193,4 | 204,1 | 121,4 | 120,7 | 121,0 | - 0,0040 | 120,0 | 0,0051 |
| ... | ... | ... | ... | ... | ... | ... | ... | ... | ... |
| 320 | 56 | 308,4 | 320,0 | 119,8 | 119,7 | 119,7 | 0,0288 | 121,4 | 0,0088 |
| ... | ... | ... | ... | ... | ... | ... | ... | ... | ... |
| 520 | 113 | 519,9 | 523,6 | 132,5 | 132,6 | 132,5 | 0,0097 | 123,7 | 0,0037 |
| ... | ... | ... | ... | ... | ... | ... | ... | ... | ... |
| 720 | 149 | 719,2 | 730,2 | 123,6 | 123,4 | 123,6 | - 0,0405 | 122,9 | - 0,0086 |
| ... | ... | ... | ... | ... | ... | ... | ... | ... | ... |
| 798 | 158 | 796,1 | 798,8 | 121,2 | 121,2 | 121,2 | - 0,0219 | 121,3 | - 0,0151 |
| 799 | 159 | 798,8 | 800,0 | 121,2 | 121,2 | 121,2 | - 0,0220 | 121,3 | - 0,0152 |
Abbildung 2 Auswirkung der Datenüberprüfung und -korrektur - Mit GPS gemessenes Höhenprofil hGPS(t), Höhenprofil anhand topografischer Karte hmap(t), nach Kontrolle und grundsätzlicher Überprüfung der Datenqualität erlangtes Höhenprofil h(t) und Korrektur hcorr(t) der Daten in Tabelle 1
Abbildung 3 Vergleich zwischen korrigiertem Höhenprofil hcorr(t) und der geglätteten und interpolierten Höhe hint,sm,1
Tabelle 2: Berechnung des positiven Höhenunterschieds
| d [m] |
t0 [s] |
d0 [m] |
d1 [m] |
h0 [m] |
h1 [m] |
hint(d) [m] |
roadgrade,1(d) [m/m] |
hint,sm,1(d) [m] |
roadgrade,2(d) [m/m] |
| 0 | 18 | 0,0 | 0,1 | 120,3 | 120,4 | 120,3 | 0,0035 | 120,3 | - 0,0015 |
| ... | ... | ... | ... | ... | ... | ... | ... | ... | ... |
| 120 | 37 | 117,9 | 125,7 | 120,9 | 121,2 | 121,0 | - 0,0019 | 120,2 | 0,0035 |
| ... | ... | ... | ... | ... | ... | ... | ... | ... | ... |
| 200 | 46 | 193,4 | 204,1 | 121,4 | 120,7 | 121,0 | - 0,0040 | 120,0 | 0,0051 |
| ... | ... | ... | ... | ... | ... | ... | ... | ... | ... |
| 320 | 56 | 308,4 | 320,0 | 119,8 | 119,7 | 119,7 | 0,0288 | 121,4 | 0,0088 |
| ... | ... | ... | ... | ... | ... | ... | ... | ... | ... |
| 520 | 113 | 519,9 | 523,6 | 132,5 | 132,6 | 132,5 | 0,0097 | 123,7 | 0,0037 |
| ... | ... | ... | ... | ... | ... | ... | ... | ... | ... |
| 720 | 149 | 719,2 | 730,2 | 123,6 | 123,4 | 123,6 | - 0,0405 | 122,9 | - 0,0086 |
| ... | ... | ... | ... | ... | ... | ... | ... | ... | ... |
| 798 | 158 | 796,1 | 798,8 | 121,2 | 121,2 | 121,2 | - 0,0219 | 121,3 | - 0,0151 |
| 799 | 159 | 798,8 | 800,0 | 121,2 | 121,2 | 121,2 | - 0,0220 | 121,3 | - 0,0152 |
| Datenaustausch und Berichtspflichten | Anlage 8 |
1. Einleitung
In dieser Anlage werden die Anforderungen an den Datenaustausch zwischen den Messsystemen und der Datenauswertungssoftware sowie für die Meldung und den Austausch der Zwischen- und Endergebnisse nach Abschluss der Datenauswertung beschrieben.
Der Austausch und die Meldung vorgeschriebener und optionaler Parameter erfolgt gemäß den Anforderungen der Anlage 1 Nummer 3.2. Die in den Austausch- und Berichtsdateien von Nummer 3 aufgeführten Daten sind zu melden, damit die Nachvollziehbarkeit der endgültigen Ergebnisse uneingeschränkt gewährleistet ist.
2. Symbole, Parameter und Einheiten
a1 - Koeffizient der charakteristischen Kurve für CO2
b1 - Koeffizient der charakteristischen Kurve für CO2
a2 - Koeffizient der charakteristischen Kurve für CO2
b2 - Koeffizient der charakteristischen Kurve für CO2
k11 - Koeffizient der Gewichtungsfunktion
k12 - Koeffizient der Gewichtungsfunktion
k21 - Koeffizient der Gewichtungsfunktion
k22 - Koeffizient der Gewichtungsfunktion
tol1 - primäre Toleranz
tol2 - sekundäre Toleranz
3. Datenaustausch und Berichtsformat
3.1. Allgemeines
Die Emissionswerte und alle anderen maßgeblichen Parameter werden in einer Datei mit dem Format csv gemeldet und ausgetauscht. Die Werte der Parameter werden durch Kommata (ASCII-Code #h2C) voneinander getrennt. Zur Trennung von Dezimalenstellen wird der Punkt (ASCII-Code #h2E) verwendet. Zeilen werden jeweils mit einem Wagenrücklauf (ASCII-Code #h0D) beendet. Trennzeichen für Tausenderstellen werden nicht verwendet.
3.2. Datenaustausch
Zum Datenaustausch zwischen den Messsystemen und der Datenauswertungssoftware wird eine vereinheitlichte Berichtsdatei verwendet, die einen Mindestsatz vorgeschriebener und optionaler Parameter umfasst. Die Datei für die Datenübertragung ist folgendermaßen aufgebaut: Die ersten 195 Zeilen sind einem Kopftext mit bestimmten Angaben über die Prüfbedingungen, über die Identität und Kalibrierung der PEMS-Ausrüstung und dergleichen (Tabelle 1) vorbehalten. Die Zeilen 198-200 enthalten die Bezeichnungen und Einheiten von Parametern. Die Zeile 201 und alle darauffolgenden Zeilen enthalten den Hauptteil der Datenaustauschdatei und die gemeldeten Parameterwerte (Tabelle 2). Der Hauptteil der Datenaustauschdatei enthält wenigstens so viele Datenzeilen wie die Dauer der Prüfung Sekunden, multipliziert mit der Aufzeichnungsfrequenz in Hertz.
3.3. Zwischen- und Endergebnisse
Die Hersteller zeichnen die Parameter der Zwischenergebnisse zusammengefasst und gemäß der Gliederung in Tabelle 3 auf. Die Angaben in Tabelle 3 müssen ermittelt werden, bevor die Datenauswertungsmethoden in den Anlagen 5 und 6 zur Anwendung kommen.
Der Fahrzeughersteller zeichnet die Ergebnisse der beiden Datenauswertungsmethoden in gesonderten Dateien auf. Die Ergebnisse der Datenauswertung mit der in Anlage 5 beschriebenen Methode werden entsprechend den Tabellen 4, 5 und 6 gemeldet. Die Ergebnisse der Datenauswertung mit der in Anlage 6 beschrieben Methode werden entsprechend den Tabellen 7, 8 und 9 gemeldet. Der Kopftext der Berichtsdatei besteht aus drei Teilen. Die ersten 95 Zeilen sind besonderen Angaben über die Einstellungen der Datenauswertungsmethode vorbehalten. Die Zeilen 101 bis 195 dienen zur Meldung der Ergebnisse der Datenauswertungsmethode. Die Zeilen 201-490 sind der Meldung der endgültigen Emissionsergebnisse vorbehalten. Zeile 501 und alle darauffolgenden Datenzeilen enthalten den Hauptteil der Berichtsdatei und die ausführlichen Ergebnisse der Datenauswertung.
4. Tabellen für die technische Berichterstattung
4.1. Datenaustausch
Tabelle 1: Kopftext der Datenaustauschdatei
| Zeile | Parameter | Beschreibung/Einheit |
| 1 | PRÜFUNGSKENNUNG | [Code] |
| 2 | Prüftermin | [Tag. Monat. Jahr] |
| 3 | Organisation, die die Prüfung überwacht | [Name der Organisation] |
| 4 | Ort der Prüfung | [Stadt, Land] |
| 5 | Person, die die Prüfung überwacht | [Name des Hauptüberwachers] |
| 6 | Fahrer des Fahrzeugs | [Name des Fahrers] |
| 7 | Fahrzeugtyp | [Name des Fahrzeugs] |
| 8 | Fahrzeughersteller | [Name] |
| 9 | Modelljahr des Fahrzeugs | [Jahr] |
| 10 | Fahrzeug-Identifizierungsnummer | [FIN-Code] |
| 11 | Wegmesserstand zu Beginn der Prüfung | [km] |
| 12 | Wegmesserstand am Ende der Prüfung | [km] |
| 13 | Fahrzeugklasse | [Klasse] |
| 14 | Emissionsgrenzwert für die Typgenehmigung | [Euro X] |
| 15 | Motortyp | [z.B. Fremdzündung, Selbstzündung] |
| 16 | Nennleistung des Motors | [kW] |
| 17 | Spitzendrehmoment | Nm |
| 18 | Hubraum | [ccm] |
| 19 | Getriebe | [z.B. Handschaltgetriebe, Automatikgetriebe] |
| 20 | Anzahl der Vorwärtsgänge | [#] |
| 21 | Kraftstoff | [z.B. Benzin, Diesel] |
| 22 | Schmiermittel | [Produktetikett] |
| 23 | Reifengröße | [Breite/Höhe/Felgendurchmesser] |
| 24 | Reifenluftdruck für Vorder- und Hinterachse | [bar; bar] |
| 25 | Fahrwiderstandsparameter | [F0, F1, F2] |
| 26 | Prüfzyklus der Typgenehmigung | [NEDC, WLTC] |
| 27 | CO2-Emissionen für die Typgenehmigung | [g/km] |
| 28 | CO2-Emissionen im WLTC-Modus niedrige Geschwindigkeit | [g/km] |
| 29 | CO2-Emissionen im WLTC-Modus mittlere Geschwindigkeit | [g/km] |
| 30 | CO2-Emissionen im WLTC-Modus hohe Geschwindigkeit | [g/km] |
| 31 | CO2-Emissionen im WLTC-Modus sehr hohe Geschwindigkeit | [g/km] |
| 32 | Prüfmasse des Fahrzeugs1 | [kg;%2] |
| 33 | Hersteller des PEMS | [Name] |
| 34 | PEMS-Typ | [PEMS-Name] |
| 35 | PEMS-Seriennummer | [Nummer] |
| 36 | PEMS-Stromversorgung | [z.B. Batterietyp] |
| 37 | Hersteller des Gasanalysators | [Name] |
| 38 | Typ des Gasanalysators | [Typ] |
| 39 | Seriennummer des Gasanalysators | [Nummer] |
| 40-503 | ... | ... |
| 51 | Hersteller des Abgasdurchsatzmessers (EFM - Exhaust Flow Meter) | [Name] |
| 52 | Typ des Sensors des Abgasdurchsatzmessers (EFM)4 | [Arbeitsweise] |
| 53 | EFM-Seriennummer | [Nummer] |
| 54 | Quelle des Wertes der Abgasmassendurchsatzes | [EFM/ECU/Sensor] |
| 55 | Luftdruckfühler | [Typ, Hersteller] |
| 56 | Prüftermin | [Tag. Monat. Jahr] |
| 57 | Zeitpunkt des Beginns der vor der Prüfung auszuführenden Arbeiten | [h:min] |
| 58 | Zeitpunkt des Fahrtbeginns | [h:min] |
| 59 | Zeitpunkt des Beginns der nach der Prüfung auszuführenden Arbeiten | [h:min] |
| 60 | Zeitpunkt des Endes der vor der Prüfung auszuführenden Arbeiten | [h:min] |
| 61 | Zeitpunkt des Fahrtendes | [h:min] |
| 62 | Zeitpunkt des Endes der nach der Prüfung auszuführenden Arbeiten | [h:min] |
| 63-705 | ... | ... |
| 71 | Zeitberichtigung: THC-Verschiebung | [s] |
| 72 | Zeitberichtigung: CH4-Verschiebung | [s] |
| 73 | Zeitberichtigung: NMHC-Verschiebung | [s] |
| 74 | Zeitberichtigung: O2-Verschiebung | [s] |
| 75 | Zeitberichtigung: P-Verschiebung | [s] |
| 76 | Zeitberichtigung: CO-Verschiebung | [s] |
| 77 | Zeitberichtigung: CO2-Verschiebung | [s] |
| 78 | Zeitberichtigung: NO-Verschiebung | [s] |
| 79 | Zeitberichtigung: NO2-Verschiebung | [s] |
| 80 | Zeitberichtigung: Verschiebung des Absatzmassendurchsatzes | [s] |
| 81 | Justierbezugswert für THC | [ppm] |
| 82 | Justierbezugswert für CH4 | [ppm] |
| 83 | Justierbezugswert für NMC | [ppm] |
| 84 | Justierbezugswert für O2 | [%] |
| 85 | Justierbezugswert für P | [#] |
| 86 | Justierbezugswert für CO | [ppm] |
| 87 | Justierbezugswert für CO2 | [%] |
| 88 | Justierbezugswert für NO | [ppm] |
| 89 | Justierbezugswert für NO2 | [ppm] |
| 90-955 | ... | ... |
| 96 | Ansprechen auf ein Nullsignal für THC vor der Prüfung | [ppm] |
| 97 | Ansprechen auf ein Nullsignal für CH4 vor der Prüfung | [ppm] |
| 98 | Ansprechen auf ein Nullsignal für NMHC vor der Prüfung | [ppm] |
| 99 | Ansprechen auf ein Nullsignal für O2 vor der Prüfung | [%] |
| 100 | Ansprechen auf ein Nullsignal für P vor der Prüfung | [#] |
| 101 | Ansprechen auf ein Nullsignal für CO vor der Prüfung | [ppm] |
| 102 | Ansprechen auf ein Nullsignal für CO2 vor der Prüfung | [%] |
| 103 | Ansprechen auf ein Nullsignal für NO vor der Prüfung | [ppm] |
| 104 | Ansprechen auf ein Nullsignal für CO2 vor der Prüfung | [ppm] |
| 105 | Ansprechen auf ein Justiersignal für THC vor der Prüfung | [ppm] |
| 106 | Ansprechen auf ein Justiersignal für CH4 vor der Prüfung | [ppm] |
| 107 | Ansprechen auf ein Justiersignal für NMHC vor der Prüfung | [ppm] |
| 108 | Ansprechen auf ein Justiersignal für O2 vor der Prüfung | [%] |
| 109 | Ansprechen auf ein Justiersignal für P vor der Prüfung | [#] |
| 110 | Ansprechen auf ein Justiersignal für CO vor der Prüfung | [ppm] |
| 111 | Ansprechen auf ein Justiersignal für CO2 vor der Prüfung | [%] |
| 112 | Ansprechen auf ein Justiersignal für NO vor der Prüfung | [ppm] |
| 113 | Ansprechen auf ein Justiersignal für NO2 vor der Prüfung | [ppm] |
| 114 | Ansprechen auf ein Nullsignal für THC nach der Prüfung | [ppm] |
| 115 | Ansprechen auf ein Nullsignal für CH4 nach der Prüfung | [ppm] |
| 116 | Ansprechen auf ein Nullsignal für NMHC nach der Prüfung | [ppm] |
| 117 | Ansprechen auf ein Nullsignal für O2 nach der Prüfung | [%] |
| 118 | Ansprechen auf ein Nullsignal für P nach der Prüfung | [#] |
| 119 | Ansprechen auf ein Nullsignal für CO nach der Prüfung | [ppm] |
| 120 | Ansprechen auf ein Nullsignal für CO2 nach der Prüfung | [%] |
| 121 | Ansprechen auf ein Nullsignal für NO nach der Prüfung | [ppm] |
| 122 | Ansprechen auf ein Nullsignal für NO2 nach der Prüfung | [ppm] |
| 123 | Ansprechen auf ein Justiersignal für THC nach der Prüfung | [ppm] |
| 124 | Ansprechen auf ein Justiersignal für CH4 nach der Prüfung | [ppm] |
| 125 | Ansprechen auf ein Justiersignal für NMHC nach der Prüfung | [ppm] |
| 126 | Ansprechen auf ein Justiersignal für O2 nach der Prüfung | [%] |
| 127 | Ansprechen auf ein Justiersignal für P nach der Prüfung | [#] |
| 128 | Ansprechen auf ein Justiersignal für CO nach der Prüfung | [ppm] |
| 129 | Ansprechen auf ein Justiersignal für CO2 nach der Prüfung | [%] |
| 130 | Ansprechen auf ein Justiersignal für NO nach der Prüfung | [ppm] |
| 131 | Ansprechen auf ein Justiersignal für NO2 nach der Prüfung | [ppm] |
| 132 | PEMS-Validierung - Ergebnisse für THC | [mg/km;%]6 |
| 133 | PEMS-Validierung - Ergebnisse für CH4 | [mg/km;%]6 |
| 134 | PEMS-Validierung - Ergebnisse für NMHC | [mg/km;%]6 |
| 135 | PEMS-Validierung - Ergebnisse für P | [#/km;%]6 |
| 136 | PEMS-Validierung - Ergebnisse für CO | [mg/km;%]6 |
| 137 | PEMS-Validierung - Ergebnisse für CO2 | [g/km;%]6 |
| 138 | PEMS-Validierung - Ergebnisse für NOX | [mg/km;%]6 |
| 7... | ...7 | ...7 |
| 1) Masse des Fahrzeugs bei der Prüfung auf der Straße, einschließlich der Masse des Fahrers und sämtlicher PEMS-Bauteile.
2) Die Prozentangabe gibt die Abweichung vom zulässigen Gesamtgewicht an. 3) Platzhalter für zusätzliche Angaben zum Hersteller des Analysators und für Seriennummern, falls mehrere Analysatoren verwendet werden. Die Angabe der vorbehaltenen Zeilen dient lediglich als Anhaltspunkt; die ausgefüllte Berichtsdatei darf keine leeren Zeilen enthalten. 4) Verbindlich vorgeschrieben, falls der Abgasmassendurchsatz mit einem EFM bestimmt wird. 5) Falls zusätzliche Angaben verlangt werden, sind sie hier einzutragen. 6) Die PEMS-Validierung ist optional; entfernungsabhängige Emissionen, wie mit dem PEMS gemessen; die Prozentangabe gibt die Abweichung vom Laborbezugswert an. 7) Bis zur Zeile 195 können zusätzliche Parameter hinzugefügt werden, um die Prüfung näher zu beschreiben und zu bezeichnen. |
||
Tabelle 2: Hauptteil der Datenaustauschdatei; die Zeilen und Spalten dieser Tabelle werden im Hauptteil der Austauschdatei vertauscht
| Zeile | 198 | 1991 | 200 | 201 |
| Zeit | Fahrt | [s] | 2 | |
| Fahrzeuggeschwindigkeit3 | Sensor | [km/h] | 2 | |
| Fahrzeuggeschwindigkeit3 | GPS | [km/h] | 2 | |
| Fahrzeuggeschwindigkeit3 | ECU | [km/h] | 2 | |
| Breitengrad | GPS | [deg:min:s] | 2 | |
| Längengrad | GPS | [deg:min:s] | 2 | |
| Höhe3 | GPS | [m] | 2 | |
| Höhe3 | Sensor | [m] | 2 | |
| Umgebungsdruck | Sensor | [k Pa] | 2 | |
| Umgebungstemperatur | Sensor | [K] | 2 | |
| Umgebungsfeuchte | Sensor | [g/kg; %] | 2 | |
| THC-Konzentration | Analysator | [ppm] | 2 | |
| CH4-Konzentration | Analysator | [ppm] | 2 | |
| NMHC-Konzentration | Analysator | [ppm] | 2 | |
| CO-Konzentration | Analysator | [ppm] | 2 | |
| CO2-Konzentration | Analysator | [ppm] | 2 | |
| NOX-Konzentration | Analysator | [ppm] | 2 | |
| NO-Konzentration | Analysator | [ppm] | 2 | |
| NO2-Konzentration | Analysator | [ppm] | 2 | |
| O2-Konzentration | Analysator | [ppm] | 2 | |
| P-Konzentration | Analysator | [#/m3] | 2 | |
| Abgasmassendurchsatz | EFM | [kg/s] | 2 | |
| Abgastemperatur im EFM | EFM | [K] | 2 | |
| Abgasmassendurchsatz | Sensor | [kg/s] | 2 | |
| Abgasmassendurchfluss | ECU | [kg/s] | 2 | |
| THC-Masse | Analysator | [g/s] | 2 | |
| CH4-Masse | Analysator | [g/s] | 2 | |
| NMHC-Masse | Analysator | [g/s] | 2 | |
| CO-Masse: | Analysator | [g/s] | 2 | |
| CO2-Masse | Analysator | [g/s] | 2 | |
| NOX-Masse | Analysator | [g/s] | 2 | |
| NO-Masse: | Analysator | [g/s] | 2 | |
| NO2-Masse | Analysator | [g/s] | 2 | |
| O2-Masse | Analysator | [g/s] | 2 | |
| P | Analysator | [#/s] | 2 | |
| Gasmessung eingeschaltet | PEMS | [eingeschaltet (1); ausgeschaltet (0); Fehler (> 1)] | 2 | |
| Motordrehzahl | ECU | [rpm] | 2 | |
| Motordrehmoment | ECU | Nm | 2 | |
| Drehmoment an der angetriebenen Achse | Sensor | Nm | 2 | |
| Drehgeschwindigkeit der Räder | Sensor | [rad/s] | 2 | |
| Kraftstoffdurchsatz | ECU | [g/s] | 2 | |
| Kraftstoffdurchsatz des Motors | ECU | [g/s] | 2 | |
| Ansaugluftdurchsatz des Motors | ECU | [g/s] | 2 | |
| Kühlmitteltemperatur | ECU | [K] | 2 | |
| Öltemperatur | ECU | [K] | 2 | |
| Regenerierungszustand | ECU | - | 2 | |
| Pedalstellung | ECU | [%] | 2 | |
| Fahrzeugzustand | ECU | [Fehler (1); normal (0)] | 2 | |
| % Drehmoment | ECU | [%] | 2 | |
| % Reibungsdrehmoment. | ECU | [%] | 2 | |
| Ladezustand | ECU | [%] | 2 | |
| ...4 | ...4 | ...4 | 2, 4 | |
| 1) Diese Spalte kann entfallen, wenn die Parameterquelle Teil der Bezeichnung in Spalte 198 ist.
2) Die tatsächlichen Werte sind von Zeile 201 an bis zum Ende der Daten einzutragen. 3) Wenigstens mit einer Methode zu bestimmen. 4) Zusätzliche Parameter können hinzugefügt werden, um Fahrzeug- und Prüfungsbedingungen zu beschreiben. |
||||
4.2. Zwischen- und Endergebnisse
4.2.1. Zwischenergebnisse
Tabelle 3: Berichtsdatei Nr. 1 - zusammengefasste Parameter von Zwischenergebnissen
| Zeile | Parameter | Beschreibung/Einheit |
| 1 | Gesamte Fahrtstrecke | [km] |
| 2 | Gesamte Fahrtdauer | [h:min:s] |
| 3 | Standzeit insgesamt | [min:s] |
| 4 | Durchschnittliche Geschwindigkeit während der Fahrt | [km/h] |
| 5 | Höchste Geschwindigkeit während der Fahrt | [km/h] |
| 6 | Durchschnittliche THC-Konzentration | [ppm] |
| 7 | Durchschnittliche CH4-Konzentration | [ppm] |
| 8 | Durchschnittliche NMHC-Konzentration | [ppm] |
| 9 | Durchschnittliche CO-Konzentration | [ppm] |
| 10 | Durchschnittliche CO2-Konzentration | [ppm] |
| 11 | Durchschnittliche NOX-Konzentration | [ppm] |
| 12 | Durchschnittliche P-Konzentration | [#/m3] |
| 13 | Durchschnittlicher Abgasmassendurchsatz | [kg/s] |
| 14 | Durchschnittliche Abgastemperatur | [K] |
| 15 | Höchste Abgastemperatur | [K] |
| 16 | THC-Masse insgesamt | [g] |
| 17 | CH4-Masse insgesamt | [g] |
| 18 | NMHC-Masse insgesamt | [g] |
| 19 | CO-Masse insgesamt | [g] |
| 20 | CO2-Masse insgesamt | [g] |
| 21 | NOX-Masse insgesamt | [g] |
| 22 | P insgesamt | [#] |
| 23 | THC-Emissionen während der gesamten Fahrt | [mg/km] |
| 24 | CH4-Emissionen während der gesamten Fahrt | [mg/km] |
| 25 | NMHC-Emissionen während der gesamten Fahrt | [mg/km] |
| 26 | CO-Emissionen während der gesamten Fahrt | [mg/km] |
| 27 | CO2-Emissionen während der gesamten Fahrt | [g/km] |
| 28 | NOx-Emissionen während der gesamten Fahrt | [g/km] |
| 29 | P-Emissionen während der gesamten Fahrt | [#/km] |
| 30 | Entfernung Stadt-Anteil | [km] |
| 31 | Dauer Stadt-Anteil | [h:min:s] |
| 32 | Standzeit Stadt-Anteil | [min:s] |
| 33 | Durchschnittsgeschwindigkeit Stadt-Anteil | [km/h] |
| 34 | Höchstgeschwindigkeit Stadt-Anteil | [km/h] |
| 35 | Durchschnittliche THC-Konzentration Stadt | [ppm] |
| 36 | Durchschnittliche CH4-Konzentration Stadt | [ppm] |
| 37 | Durchschnittliche NMHC-Konzentration Stadt | [ppm] |
| 38 | Durchschnittliche CO-Konzentration Stadt | [ppm] |
| 39 | Durchschnittliche CO2-Konzentration Stadt | [ppm] |
| 40 | Durchschnittliche NOX-Konzentration Stadt | [ppm] |
| 41 | Durchschnittliche P-Konzentration Stadt | [#/m3] |
| 42 | Durchschnittlicher Abgasmassendurchsatz Stadt | [kg/s] |
| 43 | Durchschnittliche Abgastemperatur Stadt | [K] |
| 44 | Höchste Abgastemperatur Stadt | [K] |
| 45 | THC-Masse insgesamt Stadt | [g] |
| 46 | CH4-Masse insgesamt Stadt | [g] |
| 47 | NMHC-Masse insgesamt Stadt | [g] |
| 48 | CO-Masse insgesamt Stadt | [g] |
| 49 | CO2-Masse insgesamt Stadt | [g] |
| 50 | NOX-Masse insgesamt Stadt | [g] |
| 51 | P insgesamt Stadt | [#] |
| 52 | THC-Emissionen Stadt | [mg/km] |
| 53 | CH4-Emissionen Stadt | [mg/km] |
| 54 | NMHC-Emissionen Stadt | [mg/km] |
| 55 | CO-Emissionen Stadt | [mg/km] |
| 56 | CO2-Emissionen Stadt | [g/km] |
| 57 | NOX-Emissionen Stadt | [g/km] |
| 58 | P-Emissionen Stadt | [#/km] |
| 59 | Entfernung Landstraßen-Anteil | [km] |
| 60 | Dauer Landstraßen-Anteil | [h:min:s] |
| 61 | Standzeit Landstraßen-Anteil | [min:s] |
| 62 | Durchschnittsgeschwindigkeit Landstraßen-Anteil | [km/h] |
| 63 | Höchstgeschwindigkeit Landstraßen-Anteil | [km/h] |
| 64 | Durchschnittliche THC-Konzentration Landstraße | [ppm] |
| 65 | Durchschnittliche CH4-Konzentration Landstraße | [ppm] |
| 66 | Durchschnittliche NMHC-Konzentration Landstraße | [ppm] |
| 67 | Durchschnittliche CO-Konzentration Landstraße | [ppm] |
| 68 | Durchschnittliche CO2-Konzentration Landstraße | [ppm] |
| 69 | Durchschnittliche NOX-Konzentration Landstraße | [ppm] |
| 70 | Durchschnittliche P-Konzentration Landstraße | [#/m3] |
| 71 | Durchschnittlicher Abgasmassendurchsatz Landstraße | [kg/s] |
| 72 | Durchschnittliche Abgastemperatur Landstraße | [K] |
| 73 | Höchste Abgastemperatur Landstraße | [K] |
| 74 | THC-Masse insgesamt Landstraße | [g] |
| 75 | CH4-Masse insgesamt Landstraße | [g] |
| 76 | NMHC-Masse insgesamt Landstraße | [g] |
| 77 | CO-Masse insgesamt Landstraße | [g] |
| 78 | CO2-Masse insgesamt Landstraße | [g] |
| 79 | NOX-Masse insgesamt Landstraße | [g] |
| 80 | P insgesamt Landstraße | [#] |
| 81 | THC-Emissionen Landstraße | [mg/km] |
| 82 | CH4-Emissionen Landstraße | [mg/km] |
| 83 | NMHC-Emissionen Landstraße | [mg/km] |
| 84 | CO-Emissionen Landstraße | [mg/km] |
| 85 | CO2-Emissionen Landstraße | [g/km] |
| 86 | NOX-Emissionen Landstraße | [mg/km] |
| 87 | P-Emissionen Landstraße | [#/km] |
| 88 | Entfernung Autobahn-Anteil | [km] |
| 89 | Dauer Autobahn-Anteil | [h:min:s] |
| 90 | Standzeit Autobahn-Anteil | [min:s] |
| 91 | Durchschnittsgeschwindigkeit Autobahn-Anteil | [km/h] |
| 92 | Höchstgeschwindigkeit Autobahn-Anteil | [km/h] |
| 93 | Durchschnittliche THC-Konzentration Autobahn | [ppm] |
| 94 | Durchschnittliche CH4-Konzentration Autobahn | [ppm] |
| 95 | Durchschnittliche NMHC-Konzentration Autobahn | [ppm] |
| 96 | Durchschnittliche CO-Konzentration Autobahn | [ppm] |
| 97 | Durchschnittliche CO2-Konzentration Autobahn | [ppm] |
| 98 | Durchschnittliche NOX-Konzentration Autobahn | [ppm] |
| 99 | Durchschnittliche P-Konzentration Autobahn | [#/m3] |
| 100 | Durchschnittlicher Abgasmassendurchsatz Autobahn | [kg/s] |
| 101 | Durchschnittliche Abgastemperatur Autobahn | [K] |
| 102 | Höchste Abgastemperatur Autobahn | [K] |
| 103 | THC-Masse insgesamt Autobahn | [g] |
| 104 | CH4-Masse insgesamt Autobahn | [g] |
| 105 | NMHC-Masse insgesamt Autobahn | [g] |
| 106 | CO-Masse insgesamt Autobahn | [g] |
| 107 | CO2-Masse insgesamt Autobahn | [g] |
| 108 | NOX-Masse insgesamt Autobahn | [g] |
| 109 | P insgesamt Autobahn | [#] |
| 110 | THC-Emissionen Autobahn | [mg/km] |
| 111 | CH4-Emissionen Autobahn | [mg/km] |
| 112 | NMHC-Emissionen Autobahn | [mg/km] |
| 113 | CO-Emissionen Autobahn | [mg/km] |
| 114 | CO2-Emissionen Autobahn | [g/km] |
| 115 | NOX-Emissionen Autobahn | [mg/km] |
| 116 | P-Emissionen Autobahn | [#/km] |
| ...1 | ...1 | ...1 |
| 1) Zusätzliche Parameter können hinzugefügt werden, um zusätzliche Elemente zu beschreiben. | ||
4.2.2. Datenauswertungsergebnis
Tabelle 4: Kopftext der Berichtsdatei Nr. 2 - Berechnungeinstellungen der Datenauswertungsmethode nach Anlage 5
| Zeile | Parameter | Einheit |
| 1 | Bezugsmasse für CO2 | [g] |
| 2 | Koeffizient a1 der charakteristischen Kurve für CO2 | |
| 3 | Koeffizient b1 der charakteristischen Kurve für CO2 | |
| 4 | Koeffizient a2 der charakteristischen Kurve für CO2 | |
| 5 | Koeffizient b2 der charakteristischen Kurve für CO2 | |
| 6 | Koeffizient k11 der Gewichtungsfunktion | |
| 7 | Koeffizient k12 der Gewichtungsfunktion | |
| 8 | Koeffizient k22 = k21 der Gewichtungsfunktion | |
| 9 | Primäre Toleranz tol1 | [%] |
| 10 | Sekundäre Toleranz tol2 | [%] |
| 11 | Berechnungsprogramm mit Angabe der Version | (z.B. EMROAD 5.8) |
| ...1 | ...1 | ...1 |
| 1) Bis zur Zeile 95 können zusätzliche Parameter hinzugefügt werden, um den Berechnungsansatz zu beschreiben. | ||
Tabelle 5a Kopftext der Berichtsdatei Nr. 2 - Ergebnisse der Datenauswertungsmethode nach Anlage 5
| Zeile | Parameter | Einheit |
| 101 | Anzahl der Fenster | |
| 102 | Anzahl der Stadt-Fenster | |
| 103 | Anzahl der Landstraßen-Fenster | |
| 104 | Anzahl der Autobahn-Fenster | |
| 105 | Anteil der Stadt-Fenster | [%] |
| 106 | Anteil der Landstraßen-Fenster | [%] |
| 107 | Anteil der Autobahn-Fenster | [%] |
| 108 | Anteil der Stadt-Fenster größer als 15 % | (1 = Ja, 0 = Nein) |
| 109 | Anteil der Landstraßen-Fenster größer als 15 % | (1 = Ja, 0 = Nein) |
| 110 | Anteil der Autobahn-Fenster größer als 15 % | (1 = Ja, 0 = Nein) |
| 111 | Anzahl der Fenster innerhalb ± tol1 | |
| 112 | Anzahl der Stadt-Fenster innerhalb ± tol1 | |
| 113 | Anzahl der Landstraßen-Fenster innerhalb ± tol1 | |
| 114 | Anzahl der Autobahn-Fenster innerhalb ± tol1 | |
| 115 | Anzahl der Fenster innerhalb ± tol2 | |
| 116 | Anzahl der Stadt-Fenster innerhalb ± tol2 | |
| 117 | Anzahl der Landstraßen-Fenster innerhalb ± tol2 | |
| 118 | Anzahl der Autobahn-Fenster innerhalb ± tol2 | |
| 119 | Anteil der Stadt-Fenster innerhalb ± tol1 | [%] |
| 120 | Anteil der Landstraßen-Fenster innerhalb ± tol1 | [%] |
| 121 | Anteil der Autobahn-Fenster innerhalb ± tol1 | [%] |
| 122 | Anteil der Stadt-Fenster innerhalb ± tol1 größer als 50 % | (1 = Ja, 0 = Nein) |
| 123 | Anzahl der Landstraßen-Fenster innerhalb ± tol1 größer als 50 % | (1 = Ja, 0 = Nein) |
| 124 | Anzahl der Autobahn-Fenster innerhalb ± tol1 größer als 50 % | (1 = Ja, 0 = Nein) |
| 125 | Durchschnittlicher Index der Strenge für alle Fenster | [%] |
| 126 | Durchschnittlicher Index der Strenge für alle Stadt-Fenster | [%] |
| 127 | Durchschnittlicher Index der Strenge für alle Landstraßen-Fenster | [%] |
| 128 | Durchschnittlicher Index der Strenge für alle Autobahn-Fenster | [%] |
| 129 | Gewichtete THC-Emissionen für Stadt-Fenster | [mg/km] |
| 130 | Gewichtete THC-Emissionen für Landstraßen-Fenster | [mg/km] |
| 131 | Gewichtete THC-Emissionen für Autobahn-Fenster | [mg/km] |
| 132 | Gewichtete CH4-Emissionen für Stadt-Fenster | [mg/km] |
| 133 | Gewichtete CH4-Emissionen für Landstraßen-Fenster | [mg/km] |
| 134 | Gewichtete CH4-Emissionen für Autobahn-Fenster | [mg/km] |
| 135 | Gewichtete NMHC-Emissionen für Stadt-Fenster | [mg/km] |
| 136 | Gewichtete NMHC-Emissionen für Landstraßen-Fenster | [mg/km] |
| 137 | Gewichtete NMHC-Emissionen für Autobahn-Fenster | [mg/km] |
| 138 | Gewichtete CO-Emissionen für Stadt-Fenster | [mg/km] |
| 139 | Gewichtete CO-Emissionen für Landstraßen-Fenster | [mg/km] |
| 140 | Gewichtete CO-Emissionen für Autobahn-Fenster | [mg/km] |
| 141 | Gewichtete NOx-Emissionen für Stadt-Fenster | [mg/km] |
| 142 | Gewichtete NOx-Emissionen für Landstraßen-Fenster | [mg/km] |
| 143 | Gewichtete NOx-Emissionen für Autobahn-Fenster | [mg/km] |
| 144 | Gewichtete NO-Emissionen für Stadt-Fenster | [mg/km] |
| 145 | Gewichtete NO-Emissionen für Landstraßen-Fenster | [mg/km] |
| 146 | Gewichtete NO-Emissionen für Autobahn-Fenster | [mg/km] |
| 147 | Gewichtete NO2-Emissionen für Stadt-Fenster | [mg/km] |
| 148 | Gewichtete NO2-Emissionen für Landstraßen-Fenster | [mg/km] |
| 149 | Gewichtete NO2-Emissionen für Autobahn-Fenster | [mg/km] |
| 150 | Gewichtete P-Emissionen für Stadt-Fenster | [#/km] |
| 151 | Gewichtete P-Emissionen für Landstraßen-Fenster | [#/km] |
| 152 | Gewichtete P-Emissionen für Autobahn-Fenster | [#/km] |
| ... 1 | ... 1 | ... 1 |
| 1) Bis zur Zeile 195 können zusätzliche Parameter hinzugefügt werden. | ||
Tabelle 5b Kopfzeile der Berichtsdatei Nr. 2 - Endgültige Emissionsergebnisse nach Anlage 5
| Zeile | Parameter | Einheit |
| 201 | Gesamte Fahrt - THC-Emissionen | [mg/km] |
| 202 | Gesamte Fahrt - CH4-Emissionen | [mg/km] |
| 203 | Gesamte Fahrt - NMHC-Emissionen | [mg/km] |
| 204 | Gesamte Fahrt - CO-Emissionen | [mg/km] |
| 205 | Gesamte Fahrt - NOx-Emissionen | [mg/km] |
| 206 | Gesamte Fahrt - P-Emissionen | [#/km] |
| ...1 | ... 1 | ...1 |
| 1) Es können zusätzliche Parameter hinzugefügt werden. | ||
Tabelle 6: Hauptteil der Berichtsdatei Nr. 2 - Einzelergebnisse der Datenauswertungsmethode nach Anlage 5; die Zeilen und Spalten dieser Tabelle werden in den Hauptteil der Berichtsdatei überführt
| Zeile | 498 | 499 | 500 | 501 |
| Zeitpunkt des Fensterbeginns | [s] | 1 | ||
| Zeitpunkt des Fensterendes | [s] | 1 | ||
| Dauer des Fensters | [s] | 1 | ||
| Entfernung des Fensters | Quelle (1 = GPS, 2 = ECU, 3 = Sensor) | [km] | 1 | |
| THC-Emissionen des Fensters | [g] | 1 | ||
| CH4-Emissionen des Fensters | [g] | 1 | ||
| NMHC-Emissionen des Fensters | [g] | 1 | ||
| CO-Emissionen des Fensters | [g] | 1 | ||
| CO2-Emissionen des Fensters | [g] | 1 | ||
| NOX-Emissionen des Fensters | [g] | 1 | ||
| NO-Emissionen des Fensters | [g] | 1 | ||
| NO2-Emissionen des Fensters | [g] | 1 | ||
| O2-Emissionen des Fensters | [g] | 1 | ||
| P-Emissionen des Fensters | [#] | 1 | ||
| THC-Emissionen des Fensters | [mg/km] | 1 | ||
| CH4-Emissionen des Fensters | [mg/km] | 1 | ||
| NMHC-Emissionen des Fensters | [mg/km] | 1 | ||
| CO-Emissionen des Fensters | [mg/km] | 1 | ||
| CO2-Emissionen des Fensters | [g/km] | 1 | ||
| NOX-Emissionen des Fensters | [mg/km] | 1 | ||
| NO-Emissionen des Fensters | [mg/km] | 1 | ||
| NO2-Emissionen des Fensters | [mg/km] | 1 | ||
| O2-Emissionen des Fensters | [mg/km] | 1 | ||
| P-Emissionen des Fensters | [#/km] | 1 | ||
| Abstand des Fensters von der charakteristischen Kurve für CO2 hj | [%] | 1 | ||
| Gewichtungsfaktor für das Fenster wj | [-] | 1 | ||
| Durchschnittliche Fahrzeuggeschwindigkeit | Quelle (1 = GPS, 2 = ECU, 3 = Sensor) | [km/h] | 1 | |
| ...2 | ...2 | ...2 | 1,2 | |
| 1) Die tatsächlichen Werte sind von Zeile 501 an zeilenweise bis zum Ende der Daten einzutragen.
2) Zusätzliche Parameter können hinzugefügt werden, um Fenstermerkmale zu kennzeichnen. |
||||
Tabelle 7: Kopftext der Berichtsdatei Nr. 3 - Berechnungeinstellungen der Datenauswertungsmethode nach Anlage 6
| Zeile | Parameter | Einheit |
| 1 | Quelle des Drehmoments für die Leistung an den Rädern | Sensor/ECU/"V-Gerade" |
| 2 | Steigung der Veline | [g/kWh] |
| 3 | Achsabschnitt der Veline | [g/h] |
| 4 | Dauer des gleitenden Mittelungsfensters | [s] |
| 5 | Bezugsgeschwindigkeit für die Entnormierung des Zielschemas | [km/h] |
| 6 | Bezugsbeschleunigung | [m/s2] |
| 7 | Leistungsbedarf an der Radnabe für ein Fahrzeug bei Bezugsgeschwindigkeit und bei Beschleunigung | [kW] |
| 8 | Anzahl der Leistungsklassen, die 90 % von Prated enthalten | - |
| 9 | Darstellung des Zielschemas | (gestreckt/gestaucht) |
| 10 | Berechnungsprogramm mit Angabe der Version | (z.B. CLEAR 1.8) |
| ...1 | ...1 | ...1 |
| 1) Bis zur Zeile 95 können zusätzliche Parameter hinzugefügt werden, um den Berechnungsansatz zu kennzeichnen. | ||
Tabelle 8a Hauptteil der Berichtsdatei Nr. 3 - Ergebnisse der Datenauswertungsmethode nach Anlage 6
| Zeile | Parameter | Einheit |
| 101 | Abdeckung der Leistungsklasse - gezählter Wert > 5 | (1 = Ja, 0 = Nein) |
| 102 | Normalität der Leistungsklasse | (1 = Ja, 0 = Nein) |
| 103 | Gesamte Fahrt - Gewichteter Durchschnitt der THC-Emissionen | [g/s] |
| 104 | Gesamte Fahrt - Gewichteter Durchschnitt der CH4-Emissionen | [g/s] |
| 105 | Gesamte Fahrt - Gewichteter Durchschnitt der NMHC-Emissionen | [g/s] |
| 106 | Gesamte Fahrt - Gewichteter Durchschnitt der CO-Emissionen | [g/s] |
| 107 | Gesamte Fahrt - Gewichteter Durchschnitt der CO2-Emissionen | [g/s] |
| 108 | Gesamte Fahrt - Gewichteter Durchschnitt der NOX-Emissionen | [g/s] |
| 109 | Gesamte Fahrt - Gewichteter Durchschnitt der NO-Emissionen | [g/s] |
| 110 | Gesamte Fahrt - Gewichteter Durchschnitt der NO2-Emissionen | [g/s] |
| 111 | Gesamte Fahrt - Gewichteter Durchschnitt der O2-Emissionen | [g/s] |
| 112 | Gesamte Fahrt - Gewichteter Durchschnitt der P-Emissionen | [#/s] |
| 113 | Gesamte Fahrt - Gewichteter Durchschnitt der Fahrzeuggeschwindigkeit | [km/h] |
| 114 | Stadt - Gewichteter Durchschnitt der THC-Emissionen | [g/s] |
| 115 | Stadt - Gewichteter Durchschnitt der CH4-Emissionen | [g/s] |
| 116 | Stadt - Gewichteter Durchschnitt der NMHC-Emissionen | [g/s] |
| 117 | Stadt - Gewichteter Durchschnitt der CO-Emissionen | [g/s] |
| 118 | Stadt - Gewichteter Durchschnitt der CO2-Emissionen | [g/s] |
| 119 | Stadt - Gewichteter Durchschnitt der NOX-Emissionen | [g/s] |
| 120 | Stadt - Gewichteter Durchschnitt der NO-Emissionen | [g/s] |
| 121 | Stadt - Gewichteter Durchschnitt der NO2-Emissionen | [g/s] |
| 122 | Stadt - Gewichteter Durchschnitt der O2-Emissionen | [g/s] |
| 123 | Stadt - Gewichteter Durchschnitt der P-Emissionen | [#/s] |
| 124 | Stadt - Gewichteter Durchschnitt der Fahrzeuggeschwindigkeit | [km/h] |
| ...1 | ...1 | ...1 |
| 1) Bis zur Zeile 195 können zusätzliche Parameter hinzugefügt werden. | ||
Tabelle 8b Kopfzeile der Berichtsdatei Nr. 3 - Endgültige Emissionsergebnisse nach Anlage 6
| Zeile | Parameter | Einheit |
| 201 | Gesamte Fahrt - THC-Emissionen | [mg/km] |
| 202 | Gesamte Fahrt - CH4-Emissionen | [mg/km] |
| 203 | Gesamte Fahrt - NMHC-Emissionen | [mg/km] |
| 204 | Gesamte Fahrt - CO-Emissionen | [mg/km] |
| 205 | Gesamte Fahrt - NOx-Emissionen | [mg/km] |
| 206 | Gesamte Fahrt - P-Emissionen | [#/km] |
| ...1 | ...1 | ...1 |
| 1) Es können zusätzliche Parameter hinzugefügt werden. | ||
Tabelle 9: Hauptteil der Berichtsdatei Nr. 3 - Einzelergebnisse der Datenauswertungsmethode nach Anlage 6; die Zeilen und Spalten dieser Tabelle werden in den Hauptteil der Berichtsdatei überführt
| Zeile | 498 | 499 | 500 | 501 |
| Gesamte Fahrt - Leistungsklassennummer1 | - | |||
| Gesamte Fahrt - Untere Leistungsklassengrenze1 | [kW] | |||
| Gesamte Fahrt - Obere Leistungsklassengrenze1 | [kW] | |||
| Gesamte Fahrt - Verwendetes Zielschema (Verteilung)1 | [%] | 2 | ||
| Gesamte Fahrt - Leistungsklassenauftreten1 | - | 2 | ||
| Gesamte Fahrt - Leistungsklassenabdeckung - gezählter Wert > 51 | - | (1 = Ja, 0 = Nein)2 | ||
| Gesamte Fahrt - Leistungsklassennormalität1 | - | (1 = Ja, 0 = Nein)2 | ||
| Gesamte Fahrt - Leistungsklassendurchschnitt der THC-Emissionen1 | [g/s] | 2 | ||
| Gesamte Fahrt - Leistungsklassendurchschnitt der CH4-Emissionen1 | [g/s] | 2 | ||
| Gesamte Fahrt - Leistungsklassendurchschnitt der NMHC-Emissionen1 | [g/s] | 2 | ||
| Gesamte Fahrt - Leistungsklassendurchschnitt der CO-Emissionen1 | [g/s] | 2 | ||
| Gesamte Fahrt - Leistungsklassendurchschnitt der CO2-Emissionen1 | [g/s] | 2 | ||
| Gesamte Fahrt - Leistungsklassendurchschnitt der NOX-Emissionen1 | [g/s] | 2 | ||
| Gesamte Fahrt - Leistungsklassendurchschnitt der NO-Emissionen1 | [g/s] | 2 | ||
| Gesamte Fahrt - Leistungsklassendurchschnitt der NO2-Emissionen1 | [g/s] | 2 | ||
| Gesamte Fahrt - Leistungsklassendurchschnitt der O2-Emissionen1 | [g/s] | 2 | ||
| Gesamte Fahrt - Leistungsklassendurchschnitt der P-Emissionen1 | [#/s] | 2 | ||
| Gesamte Fahrt - Durchschnitt der Fahrzeuggeschwindigkeit der Leisungsklasse1 | Quelle (1 = GPS, 2 = ECU, 3 = Sensor) | [km/h] | 2 | |
| Stadt - Leistungsklassennummer1 | - | |||
| Stadt - Untere Leistungsklassengrenze1 | [k W] | |||
| Stadt - Obere Leistungsklassengrenze1 | [k W] | |||
| Stadt - Verwendete Zielschema (Verteilung)1 | [%] | 2 | ||
| Stadt - Leistungsklassenauftreten1 | - | 2 | ||
| Stadt - Abdeckung der Leistungsklasse - gezählter Wert > 53 | - | (1 = Ja, 0 = Nein)2 | ||
| Stadt - Leistungsklassennormalität1 | - | (1 = Ja, 0 = Nein)2 | ||
| Stadt - Leistungsklassendurchschnitt der THC-Emissionen1 | [g/s] | 2 | ||
| Stadt - Leistungsklassendurchschnitt der CH4-Emissionen1 | [g/s] | 2 | ||
| Stadt - Leistungsklassendurchschnitt der NMHC-Emissionen1 | [g/s] | 2 | ||
| Stadt - Leistungsklassendurchschnitt der CO-Emissionen1 | [g/s] | 2 | ||
| Stadt - Leistungsklassendurchschnitt der CO2-Emissionen1 | [g/s] | 2 | ||
| Stadt - Leistungsklassendurchschnitt der NOX-Emissionen1 | [g/s] | 2 | ||
| Stadt - Leistungsklassendurchschnitt der NO-Emissionen1 | [g/s] | 2 | ||
| Stadt - Leistungsklassendurchschnitt der NO2-Emissionen1 | [g/s] | 2 | ||
| Stadt - Leistungsklassendurchschnitt der O2-Emissionen1 | [g/s] | 2 | ||
| Stadt - Leistungsklassendurchschnitt der P-Emissionen1 | [#/s] | 2 | ||
| Stadt - Durchschnitt der Fahrzeuggeschwindigkeit der Leistungsklasse1 | Quelle (1 = GPS, 2 = ECU, 3 = Sensor) | [km/h] | 2 | |
| ...4 | ...4 | ...4 | 2, 4 | |
| 1) Für jede Leistungsklasse berichtete Ergebnisse von der Leistungsklasse Nr. 1 an bis zu der Leistungsklasse, auf die 90 % von Prated entfallen.
2) Die tatsächlichen Werte sind von Zeile 501 an zeilenweise bis zum Ende der Daten einzutragen. 3) Für jede Leistungsklasse berichtete Ergebnisse von der Leistungsklasse Nr. 1 an bis zur Leistungsklasse Nr. 5. 4) Es können zusätzliche Parameter hinzugefügt werden. |
||||
4.3. Beschreibung des Fahrzeugs und des Motors
Der Hersteller stellt die Beschreibungen des Fahrzeugs und des Motors gemäß Anhang I Anlage 4 bereit.
| Bescheinigung des Herstellers über die Übereinstimmung | Anlage 9 |
Bescheinigung des Herstellers über die Übereinstimmung mit den Anforderungen an die Emissionen in der Betriebspraxis
(Hersteller): ...
(Anschrift des Herstellers): ...
Bescheinigt, dass
Die in der Anlage zu dieser Bescheinigung aufgeführten Fahrzeugtypen erfüllen die Anforderungen in Anhang III Nr. 2.1 der Verordnung (EG) Nr. 692/2008 für Emissionen in der Betriebspraxis für alle möglichen RDE-Prüfungen, die den Anforderungen dieses Anhangs entsprechen.
[...(Ort)]
am [...(Datum)]
...
(Stempelabdruck und Name des Bevollmächtigten des Herstellers)
Anhang:
- Verzeichnis der Fahrzeugtypen, für die diese Bescheinigung gilt
| Emissionsdaten, die bei der Typgenehmigung für die Verkehrssicherheitsprüfung erforderlich sind | Anhang IV |
| Prüfung der Emission von Kohlenmonoxid im Leerlauf (Prüfung Typ 2) | Anlage 1 |
1. Einführung
1.1. Diese Anlage enthält Vorschriften für die Prüfung Typ 2 zur Messung der Kohlenmonoxidemissionen im Leerlauf (bei normaler und erhöhter Drehzahl).
2. Allgemeine Vorschriften
2.1. Die allgemeinen Vorschriften entsprechen denen der Absätze 5.3.7.1 bis 5.3.7.4 der UN/ECE-Regelung Nr. 83 mit den in den Absätzen 2.2, 2.3 und 2.4 beschriebenen Ausnahmen.
2.2. Die in Nummer 5.3.7.3 angegebenen Atomverhältnisse sind wie folgt zu verstehen:
| Hcv | = | Atomverhältnis von Wasserstoff zu Kohlenstoff
- für Benzin (E5) 1,89 - für Benzin (E10) 1,93 - für Flüssiggas 2,53 - für Erdgas/Biomethan 4,0 - für Ethanol (E85) 2,74 - für Ethanol (E75) 2,61 |
| Ocv | = | Atomverhältnis von Sauerstoff zu Kohlenstoff
- für Benzin (E5) 0,016 - für Benzin (E10) 0,033 - für Flüssiggas 0,0 - für Erdgas/Biomethan 0,0 - für Ethanol (E85) 0,39 - für Ethanol (E75) 0,329. |
2.3. Die Tabelle in Anhang I Anlage 4 Absatz 2.2 der vorliegenden Verordnung wird anhand der Vorschriften in den Absätzen 2.2 und 2.4 dieses Anhangs ergänzt.
2.4. Der Hersteller muss bestätigen, dass der bei der Typgenehmigungsprüfung gemäß Absatz 2.1 dieser Anlage aufgezeichnete Lambda-Wert korrekt ist und für Fahrzeuge aus der laufenden Produktion ab dem Datum der Erteilung der Typgenehmigung durch den Technischen Dienst 24 Monate lang repräsentativ ist. Die Beurteilung erfolgt auf der Grundlage von Inspektionen und Untersuchungen von Fahrzeugen aus der laufenden Produktion.
3. Technische Vorschriften
3.1. Die technischen Vorschriften entsprechen denen von Anhang 5 der UN/ECE-Regelung Nr. 83 mit den in Absatz 3.2 beschriebenen Ausnahmen.
3.2. Die in Anhang 5 Absatz 2.1 der UN/ECE-Regelung Nr. 83 angegebenen Bezugskraftstoffe gelten als Bezugnahme auf die entsprechenden technischen Daten von Bezugskraftstoffen in Anhang IX dieser Verordnung.
| Messung der Abgastrübung | Anlage 2 |
1. Einführung
1.1. Diese Anlage enthält Vorschriften für die Trübungsmessung der Abgasemissionen.
2. Kennzeichen für den korrigierten Absorptionskoeffizienten
2.1. An jedem Fahrzeugtyp, für den diese Prüfung gilt, ist ein Kennzeichen für den korrigierten Absorptionskoeffizienten anzubringen. Das Kennzeichen ist ein Rechteck, in dem der korrigierte Wert des Absorptionskoeffizienten in m-1 angegeben ist, der zum Zeitpunkt der Erteilung der Genehmigung bei der Prüfung bei freier Beschleunigung ermittelt wurde. Die Prüfmethode ist in Abschnitt 4 beschrieben.
2.2. Das Kennzeichen muss deutlich lesbar und dauerhaft sein. Es ist sichtbar an einer gut zugänglichen Stelle anzubringen, die im Beiblatt zum Typgenehmigungsbogen in Anhang I Anlage 4 anzugeben ist.
2.3. Abbildung IV.2.1 zeigt ein Muster dieses Kennzeichens.
Abbildung IV.2.1 Das abgebildete Kennzeichen zeigt einen korrigierten Absorptionskoeffizienten von 1,30 m-1.
3. Vorschriften und Prüfungen
3.1. Die Vorschriften und Prüfungen entsprechen denen von Teil III Absatz 24 der UN/ECE-Regelung Nr. 24 mit der in Absatz 3.2 beschriebenen Ausnahme von diesen Verfahren.
3.2. Die Bezugnahme auf Anhang 2 in Absatz 24.1 der UN/ECE-Regelung Nr. 24 gilt als Bezugnahme auf Anhang X Anlage 2 dieser Verordnung.
4. Technische Vorschriften
4.1. Die technischen Vorschriften entsprechen denen der Anhänge 4, 5, 7, 8, 9 und 10 der UN/ECE-Regelung Nr. 24 mit den in den Absätzen 4.2, 4.3 und 4.4 beschriebenen Ausnahmen.
4.2. Prüfung der verschiedenen gleich bleibenden Drehzahlen unter Volllast
4.2.1. Die Bezugnahmen auf Anhang 1 in Anhang 4 Absatz 3.1 der UN/ECE-Regelung Nr. 24 gelten als Bezugnahmen auf Anhang I Anlage 3 dieser Verordnung.
4.2.2. Der Bezugskraftstoff, der in Anhang 4 Absatz 3.2 der UN/ECE-Regelung Nr. 24 beschrieben wird, gilt als Bezugnahme auf den Bezugskraftstoff, der gemäß Anhang IX dieser Verordnung den Emissionsgrenzwerten entspricht, auf deren Grundlage das Fahrzeug typgenehmigt wird.
4.3. Prüfung bei freier Beschleunigung
4.3.1. Die Bezugnahme auf Anhang 2 Tabelle 2 in Anhang 5 Absatz 2.2 der UN/ECE-Regelung Nr. 24 gilt als Bezugnahme auf die Tabelle in Anhang I Anlage 4 Absatz 2.4.2.1 dieser Verordnung.
4.3.2. Die Bezugnahme auf Anhang 1 Absatz 7.3 in Anhang 5 Absatz 2.3 der UN/ECE-Regelung Nr. 24 gilt als Bezugnahme auf Anhang I Anlage 3 dieser Verordnung.
4.4. ECE-Verfahren zur Messung der Nutzleistung von Dieselmotoren
4.4.1. Die Bezugnahmen auf die "Anlage zu diesem Anhang" in Anhang 10 Absatz 7 der UN/ECE-Regelung Nr. 24 und die Bezugnahmen auf "Anhang 1" in Anhang 10 Absätze 7 und 8 der UN/ECE-Regelung Nr. 24 gelten als Bezugnahmen auf Anhang I Anlage 3 dieser Verordnung.
| Prüfung der Gasemissionen aus dem Kurbelgehäuse (Prüfung Typ 3) | Anhang V |
1. Einführung
1.1. Dieser Anhang enthält Vorschriften für die Prüfung Typ 3 zur Ermittlung der Kurbelgehäuseemissionen.
2. Allgemeine Vorschriften
2.1. Die allgemeinen Vorschriften für die Durchführung einer Prüfung Typ 3 entsprechen denen von Anhang 6 Absatz 2 der UN/ECE-Regelung Nr. 83.
3. Technische Vorschriften
3.1. Die technischen Vorschriften entsprechen denen von Anhang 6 Absätze 3 bis 6 der UN/ECE-Regelung Nr. 83.
| Anhang VI 17 |
1. Einführung
1.1. In diesem Anhang wird das Verfahren für die Durchführung der Prüfung Typ 4 beschrieben, mit der die Kohlenwasserstoffemissionen durch Verdunstung aus Kraftstoffsystemen von Fahrzeugen mit Fremdzündungsmotoren bestimmt werden.
2. Technische Anforderungen
2.1. Einleitung
Das Verfahren umfasst die Prüfung auf Verdunstungsemissionen und zwei zusätzliche Prüfungen, nämlich die Prüfung der Alterung des Aktivkohlefilters gemäß Nummer 5.1 und die Prüfung der Durchlässigkeit des Kraftstoffspeichersystems gemäß Nummer 5.2.
Die Prüfung auf Verdunstungsemissionen (Abbildung 1) dient der Bestimmung von HC-Verdunstungsemissionen aufgrund von Temperaturschwankungen im Tagesverlauf sowie aufgrund des Heißabstellens beim Parken und des Fahrens in der Stadt.
2.2. Die Prüfung auf Verdunstungsemissionen umfasst Folgendes:
Das Gesamtergebnis der Prüfung erhält man, wenn man die aufgrund des Heißabstellens und der Tankatmung emittierten Kohlenwasserstoffmassen zusammen mit dem Diffusionsfaktor addiert.
3. Fahrzeug und Kraftstoff
3.1. Fahrzeug
3.1.1. Das Fahrzeug muss in einem guten technischen Zustand und vor der Prüfung mindestens 3.000 km eingefahren sein. Für die Bestimmung der Verdunstungsemissionen sind der Kilometerstand und das Alter des für die Zertifizierung benutzten Fahrzeugs festzuhalten. Die Anlage zur Begrenzung der Verdunstungsemissionen muss während der Prüfphase angeschlossen gewesen sein und einwandfrei gearbeitet haben, und die Aktivkohlefilter müssen normal beansprucht worden sein, d. h., sie dürfen nicht übermäßig gespült oder beladen worden sein. Die nach dem in Nummer 5.1 dargelegten Verfahren gealterten Aktivkohlefilter werden wie in Abbildung 1 beschrieben angeschlossen.
3.2. Kraftstoff
3.2.1. Für die Prüfung Typ I ist der in Anhang IX der Verordnung (EG) Nr. 692/2008 angegebene Bezugskraftstoff E10 zu verwenden. Für die Zwecke dieser Verordnung ist Bezugskraftstoff E10 der Bezugskraftstoff für die Prüfung Typ I, außer für die Alterung des Filters nach Nummer 5.1.
4. Prüfeinrichtung für die Verdunstungsprüfung
4.1. Rollenprüfstand
Der Rollenprüfstand muss den Vorschriften von Anhang 4a Anlage 1 der UNECE-Regelung Nr. 83 entsprechen.
4.2. Raum zur Messung der Verdunstungsemissionen
Der Raum zur Messung der Verdunstungsemissionen muss den Vorschriften von Anhang 7 Absatz 4.2 der UNECE-Regelung Nr. 83 entsprechen.
Abbildung 1 Bestimmung der Verdunstungsemissionen
Einfahrzeit: 3.000 km (keine übermäßige Spülung/Beladung)
Verwendung gealterter Aktivkohlefilter
Dampfreinigung des Fahrzeugs (falls erforderlich)
Verringerung oder Beseitigung von Hintergrundemissionsquellen, die nicht aus Kraftstoffen stammen (falls vereinbart)
Anmerkungen:
4.3. Analysesysteme
Die Analysesysteme müssen den Vorschriften von Anhang 7 Absatz 4.3 der UNECE-Regelung Nr. 83 entsprechen.
4.4. Aufzeichnung der Temperatur
Die Aufzeichnung der Temperatur muss den Vorschriften von Anhang 7 Absatz 4.5 der UNECE-Regelung Nr. 83 entsprechen.
4.5. Aufzeichnung des Drucks
Die Aufzeichnung des Drucks muss den Vorschriften von Anhang 7 Absatz 4.6 der UNECE-Regelung Nr. 83 entsprechen.
4.6. Ventilatoren
Die Ventilatoren müssen den Vorschriften von Anhang 7 Absatz 4.7 der UNECE-Regelung Nr. 83 entsprechen.
4.7. Gase
Die Gase müssen den Vorschriften von Anhang 7 Absatz 4.8 der UNECE-Regelung Nr. 83 entsprechen.
4.8. Zusätzliche Messgeräte
Die zusätzlichen Messgeräte müssen den Vorschriften von Anhang 7 Absatz 4.9 der UNECE-Regelung Nr. 83 entsprechen.
5. Prüfverfahren
5.1. Alterungsprüfung der Filter
Vor Durchführung der Heißabstell- und der Tankatmungsprüfung müssen die Filter nach folgendem, in Abbildung 2 beschriebenen Verfahren gealtert werden.
Abbildung 2 Verfahren der Alterungsprüfung der Filter
5.1.1. Temperaturkonditionierungsprüfung
In einem speziellen Temperierraum werden die Filter bei Temperaturen von - 15 °C bis 60 °C Prüfungszyklen mit einer 30 Minuten dauernden Stabilisierung bei - 15 °C und 60 °C unterzogen. Jeder Zyklus dauert 210 Minuten (siehe Abbildung 3). Der Temperaturgradient muss möglichst nahe an 1 °C/Min. sein. Kein Zwangsluftstrom sollte die Filter passieren.
Der Zyklus wird 50-mal nacheinander durchlaufen. Der Vorgang dauert insgesamt 175 Stunden.
Abbildung 3 Temperaturkonditonierungszyklus
5.1.2. Schwingungskonditionierungsprüfung der Filter
Nach dem Temperaturalterungsverfahren werden die Filter entlang der senkrechten Achse mit einem Grms-Wert 1 von insgesamt > 1,5m/sec2 bei einer Frequenz von 30 ± 10 Hz geschüttelt, dabei sind die Filter entsprechend der Ausrichtung im Fahrzeug angebracht. Die Prüfung dauert 12 Stunden.
5.1.3. Filter-Kraftstoff-Alterungsprüfung
5.1.3.1. Kraftstoffalterung für 300 Zyklen
5.1.3.1.1. Nach der Temperaturprüfung und der Schwingungsprüfung werden die Filter mit einer Mischung aus handelsüblichem E10-Kraftstoff für die Prüfung Typ I gemäß Nummer 5.1.3.1.1.1 und Stickstoff oder Luft mit einem 50 ± 15 %igen Kraftstoffdampfvolumen gealtert. Die Kraftstoffdampf-Füllrate muss stets zwischen 60 ± 20 g/h liegen.
Die Filter bis zum entsprechenden Durchbruch beladen. Der Durchbruch ist als der Punkt zu betrachten, in dem die kumulierte Menge der emittierten Kohlenwasserstoffe gleich 2 g ist. Alternativ gilt die Beladung als abgeschlossen, wenn das entsprechende Konzentrationsniveau an der Lüftungsöffnung 3.000 ppm erreicht.
5.1.3.1.1.1 Der für diese Prüfung verwendete handelsübliche E10-Kraftstoff muss in folgenden Punkten denselben Anforderungen entsprechen wie ein E10-Bezugskraftstoff:
5.1.3.1.2. Die Filter müssen nach dem Verfahren gemäß Anhang 7 Absatz 5.1.3.8 der UNECE-Regelung Nr. 83 gespült werden. Die Standardbedingungen sind 273,2 K und 101,33 kPa.
Die Filter müssen 5 Minuten bis maximal 1 Stunde nach der Beladung gespült werden.
5.1.3.1.3. Die Schritte des Verfahrens nach den Absätzen 5.1.3.1.1 und 5.1.3.1.2 sind 50-mal zu wiederholen, gefolgt von einer Messung der Butanwirkkapazität (BWC), d. h. der Kapazität eines Aktivkohlefilters zur Absorption und Desorption von Butan aus Trockenluft unter festgelegten Bedingungen, in 5 Butanzyklen gemäß Nummer 5.1.3.1.4. Die Kraftstoffdampfalterung wird fortgesetzt, bis 300 Zyklen erreicht sind. Eine Messung der BWC in 5 Butanzyklen gemäß Nummer 5.1.3.1.4 findet nach den 300 Zyklen statt.
5.1.3.1.4. Nach 50 und 300 Kraftstoffalterungszyklen wird eine Messung der Butanwirkkapazität durchgeführt. Diese Messung besteht aus der Beladung des Filters gemäß Anhang 7 Absatz 5.1.6.3 der UNECE-Regelung Nr. 83 zum Durchbruch. Die BWC wird aufgezeichnet.
Dann müssen die Filter nach dem Verfahren gemäß Anhang 7 Absatz 5.1.3.8 der UNECE-Regelung Nr. 83 gespült werden.
Der Filter muss zwischen 5 Minuten und maximal 1 Stunde nach der Beladung gespült werden.
Der Vorgang der Butanbeladung wird 5-mal wiederholt. Die BWC wird nach jedem Butanbeladungsschritt aufgezeichnet. Die BWC50 wird als Durchschnitt der 5 Butan-Butanwirkkapazitäten berechnet und aufgezeichnet.
Insgesamt werden die Filter in 300 Kraftstoffalterungszyklen + 10 Butanzyklen gealtert und als stabilisiert angesehen.
5.1.3.2. Werden die Filter von den Lieferanten zur Verfügung gestellt, so setzen die Hersteller die Typgenehmigungsbehörden vorab davon in Kenntnis, damit diese jede Phase des Alterungsprozesses in den Anlagen des Lieferanten verfolgen können.
5.1.3.3. Der Hersteller legt den Typgenehmigungsbehörden einen Prüfbericht vor, der mindestens Folgendes enthält:
5.2. Bestimmung des Diffusionsfaktors des Kraftstoffsystems (Abbildung 4)
Abbildung 4 Bestimmung des Diffusionsfaktors
Das für eine Familie repräsentative Kraftstoffspeichersystem wird ausgewählt und an einer Vorrichtung angebracht und dann 20 Wochen lang bei 40 °C ± 2 °C mit dem E10-Bezugskraftstoff durchtränkt. Die Ausrichtung des Kraftstoffspeichersystems auf der Vorrichtung muss der tatsächlichen Ausrichtung auf dem Fahrzeug entsprechen.
5.2.1. Der Tank wird bei einer Temperatur von18 °C ± 8 °C mit frischem E10-Bezugskraftstoff gefüllt. Der Tank wird mit 40 ± 2 % der Nennkapazität befüllt. Dann wird die Vorrichtung mit dem Kraftstoffsystem drei Wochen lang in einem bestimmten sicheren Raum bei einer kontrollierten Temperatur von 40 °C ± 2 °C abgestellt.
5.2.2. Am Ende der dritten Woche wird der Tank geleert und bei einer Temperatur von 18 °C ± 8 °C mit frischem E10-Bezugskraftstoff und 40 ± 2 % der Nennkapazität neu befüllt.
Innerhalb von 6 bis 36 Stunden, in den letzten 6 Stunden bei 20 °C ± 2 °C, wird die Vorrichtung mit dem Kraftstoffsystem in einer VT-SHED abgestellt und es wird eine Tankatmungsprüfung über einen Zeitraum von 24 Stunden gemäß Anhang 7 Absatz 5.7 der UNECE-Regelung Nr. 83 durchgeführt. Die Entlüftung des Kraftstoffsystem erfolgt außerhalb der VT-SHED, um die Möglichkeit auszuschließen, dass die Tankatmungsverluste als Diffusion verbucht werden. Die HC-Emissionen werden gemessen und der Wert als HC3W aufgezeichnet.
5.2.3. Die Vorrichtung mit dem Kraftstoffsystem wird für die restlichen 17 Wochen wieder in einem bestimmten sicheren Raum mit einer kontrollierten Temperatur von 40 °C ± 2 °C abgestellt.
5.2.4. Am Ende der 17. Woche wird der Tank geleert und bei einer Temperatur von 18 °C ± 8 °C mit frischem E10-Bezugskraftstoff und 40 % ± 2 % der Nennkapazität neu befüllt.
Innerhalb von 6 bis 36 Stunden, in den letzten 6 Stunden bei 20 °C ± 2 °C, wird die Vorrichtung mit dem Kraftstoffsystem in einer VT-SHED abgestellt und es wird eine Tankatmungsprüfung über einen Zeitraum von 24 Stunden nach dem Verfahren gemäß Anhang 7 Absatz 5.7 der UNECE-Regelung Nr. 83 durchgeführt. Die Entlüftung des Kraftstoffsystem erfolgt außerhalb der VT-SHED, um die Möglichkeit auszuschließen, dass die abgelassenen Tankemissionen als Diffusion verbucht werden. Die HC-Emissionen werden gemessen und der Wert als HC20 W aufgezeichnet.
5.2.5. Der Diffusionsfaktor ist die Differenz zwischen HC20W und HC30W in g/24h (dreistellig).
5.2.6. Wird der Diffusionsfaktor von den Lieferanten bestimmt, so setzen die Hersteller die Typgenehmigungsbehörden vorab davon in Kenntnis, damit eine Prüfung vor Ort in den Anlagen des Lieferanten möglich ist.
5.2.7. Der Hersteller legt den Typgenehmigungsbehörden einen Prüfbericht vor, der mindestens Folgendes enthält:
5.2.8. Als Ausnahme zu den Abschnitten 5.2.1 bis 5.2.7 können Hersteller, die Mehrschicht-Tanks verwenden, sich dafür entscheiden, anstelle des vollständigen oben erwähnten Messverfahrens den folgenden vorgegebenen Diffusionsfaktor (assigned permeability factor - APF) zu verwenden:
APF Mehrschicht-Tank = 120 mg/24h
5.2.8.1. Entscheidet sich der Hersteller für die Verwendung von vorgegebenen Diffusionsfaktoren, so legt der Hersteller der Typgenehmigungsbehörde eine Erklärung vor, in der der Tanktyp eindeutig angegeben ist sowie eine Erklärung über den Typ der verwendeten Materialien.
5.3. Reihenfolge der Messungen bei der Heißabstellprüfung und der Tankatmungsprüfung
Das Fahrzeug wird gemäß Anhang 7 Absatz 5.1.1 und 5.1.2 der UNECE-Regelung Nr. 83 vorbereitet. Auf Ersuchen des Herstellers und mit Zustimmung der zuständigen Behörde können nicht aus dem Kraftstoff stammende Hintergrundemissionsquellen vor der Prüfung entfernt oder verringert werden (z.B. Backen des Reifens oder des Fahrzeugs, Entfernen der Waschflüssigkeit).
5.3.1. Abkühlung
Das Fahrzeug wird für die Dauer von mindestens 12 Stunden und höchstens 36 Stunden im Abkühlbereich abgestellt. Am Ende dieses Zeitraums muss die Temperatur des Motoröls und des Kühlmittels auf ± 3 °C genau mit der Temperatur des Abkühlbereichs übereinstimmen.
5.3.2. Ablassen des Kraftstoffs und erneutes Befüllen
Das Ablassen des Kraftstoffs und das erneute Befüllen wird gemäß Anhang 7 Absatz 5.1.7 der UNECE-Regelung Nr. 83 durchgeführt.
5.3.3. Vorkonditionierungszyklus
Innerhalb einer Stunde nach Beendigung des Ablassens des Kraftstoffs und des erneuten Befüllens werden mit dem Fahrzeug auf dem Rollenprüfstand ein Fahrzyklus Teil 1 und zwei Fahrzyklen Teil 2 der Prüfung Typ I nach den Vorschriften des Anhangs 4a der UNECE-Regelung Nr. 83 durchgeführt.
Während dieses Vorgangs werden keine Abgasproben entnommen.
5.3.4. Abkühlung
Innerhalb von fünf Minuten nach Beendigung der Vorkonditionierung wird das Fahrzeug wird für die Dauer von mindestens 12 Stunden und höchstens 36 Stunden im Abkühlbereich abgestellt. Am Ende dieses Zeitraums muss die Temperatur des Motoröls und des Kühlmittels auf ± 3 °C genau mit der Temperatur des Abkühlbereichs übereinstimmen.
5.3.5. Filter-Durchbruch
Die nach der in Nummer 5.1 beschriebenen Reihenfolge gealterten Filter werden gemäß dem in Anhang 7 Absatz 5.1.4 der UNECE-Regelung Nr. 83 beschriebenen Verfahren bis zum Durchbruch beladen.
5.3.6. Prüfung auf dem Rollenprüfstand
5.3.6.1. Innerhalb einer Stunde nach Beendigung des Beladens des Filters werden mit dem Fahrzeug auf dem Rollenprüfstand ein Fahrzyklus Teil 1 und zwei Fahrzyklen Teil 2 der Prüfung Typ I nach den Vorschriften des Anhangs 4a der UNECE-Regelung Nr. 83 durchgeführt. Dann wird der Motor ausgeschaltet. Während dieses Prüfvorgangs können zwar Abgasproben entnommen werden, aber die Ergebnisse werden nicht bei der Erteilung von Typgenehmigungen hinsichtlich der Abgasemissionen verwendet.
5.3.6.2. Innerhalb von zwei Minuten nach Beendigung der in Nummer 5.3.6.1 beschriebenen Prüfungsfahrt des Typs I wird mit dem Fahrzeug ein weiterer Konditionierungszyklus bestehend aus zwei Fahrzyklen Teil 1 (Heißstart) der Prüfung Typ I gefahren. Anschließend wird der Motor erneut abgeschaltet. Während dieses Prüfvorgangs brauchen keine Abgasproben entnommen zu werden.
5.3.7. Heißabstellen
Nach der Prüfung auf dem Rollenprüfstand wird eine Prüfung der Verdunstungsemissionen nach dem Heißabstellen gemäß Anhang 7 Absatz 5.5 der UNECE-Regelung Nr. 83 durchgeführt. Die Berechnung der Verdunstungsemissionen durch das Heißabstellen erfolgt gemäß Anhang 7 Absatz 6 der UNECE-Regelung Nr. 83 und wird als MHS bezeichnet.
5.3.8. Abkühlung
Nach der Prüfung der Verdunstungsemissionen nach dem Heißabstellen erfolgt eine Abkühlung gemäß Anhang 7 Absatz 5.6 der UNECE-Regelung Nr. 83.
5.3.9. Tankatmungsprüfung
5.3.9.1. Nach der Abkühlung wird eine 24 Stunden dauernde erste Messung der Tankatmungsverluste gemäß Anhang 7 Absatz 5.7 der UNECE-Regelung Nr. 83 durchgeführt. Die Emissionen werden gemäß Anhang 7 Absatz 6 der UNECE-Regelung Nr. 83 berechnet. Der entsprechende Wert wird als MD1 bezeichnet.
5.3.9.2. Nach der ersten 24 Stunden dauernden Tankatmungsprüfung wird gemäß Anhang 7 Absatz 5.7 der UNECE-Regelung Nr. 83 eine zweite Messung der Tankatmungsverluste durchgeführt. Die Emissionen werden gemäß Anhang 7 Absatz 6 der UNECE-Regelung Nr. 83 berechnet. Der entsprechende Wert wird als MD2 bezeichnet.
5.3.10. Berechnung
Das Ergebnis von MHS+ MD1+ MD2 + 2PF muss unter dem in Anhang 1 Tabelle 3 der Verordnung (EG) Nr. 715/2007 festgelegten Grenzwert liegen.
5.3.11. Der Hersteller legt den Typgenehmigungsbehörden einen Prüfbericht vor, der mindestens Folgendes enthält:
___
1) Grms: Der quadratische Mittelwert (root mean square - rms) des Schwingungssignals wird berechnet, indem die Größe des Signals an jedem Punkt quadriert, der durchschnittliche (mittlere) Wert des Quadrats der Größe berechnet und dann die Quadratwurzel des mittleren Werts gebildet wird. Die sich daraus ergebende Zahl ist der Grms-Wert.
| Prüfung der Dauerhaltbarkeit von emissionsmindernden Einrichtungen (Prüfung Typ 5) | Anhang VII |
1. Einführung
1.1. Dieser Anhang enthält die Vorschriften für die Ermittlung der Dauerhaltbarkeit von emissionsmindernden Einrichtungen. Die Einhaltung der Vorschriften für die Dauerhaltbarkeit ist mit einer der drei in den Absätzen 1.2, 1.3 und 1.4 beschriebenen Möglichkeiten nachzuweisen.
1.2. Die Dauerhaltbarkeitsprüfung am vollständigen Fahrzeug entspricht einer Alterungsprüfung über 160.000 km, die auf einer Prüfstrecke, auf der Straße oder auf einem Rollenprüfstand durchgeführt wird.
1.3. Der Hersteller kann die Dauerhaltbarkeitsprüfung auch auf einem Alterungsprüfstand vornehmen.
1.4. Alternativ zur Dauerhaltbarkeitsprüfung kann der Hersteller die vorgegebenen Verschlechterungsfaktoren der folgenden Tabelle anwenden.
|
Motorart |
vorgegebene Verschlechterungsfaktoren |
||||||
| CO | THC | NMHC | NOx | HC + NOx | PM | P | |
| Fremdzündungsmotor | 1,5 | 1,3 | 1,3 | 1,6 | - | 1,0 | 1,0 |
| Selbstzündungsmotor (Euro 5) | 1,5 | - | - | 1,1 | 1,1 | 1,0 | 1,0 |
| Selbstzündungsmotor (Euro 6)1 | |||||||
| 1) Verschlechterungsfaktoren für Euro 6 sind noch festzusetzen. | |||||||
1.5. Auf Antrag des Herstellers kann der Technische Dienst die Prüfung Typ 1 vor Beendigung der Dauerhaltbarkeitsprüfung am vollständigen Fahrzeug oder auf dem Alterungsprüfstand vornehmen und die vorgegebenen Verschlechterungsfaktoren der obigen Tabelle anwenden. Nach Beendigung der Dauerhaltbarkeitsprüfung am vollständigen Fahrzeug oder auf dem Alterungsprüfstand kann der Technische Dienst dann die in Anhang I Anlage 4 eingetragenen Ergebnisse der Typgenehmigungsprüfung ändern, indem er die vorgegebenen Verschlechterungsfaktoren der oben stehenden Tabelle durch die bei der Dauerhaltbarkeitsprüfung am vollständigen Fahrzeug oder auf dem Alterungsprüfstand gemessenen Werte ersetzt.
1.6. Solange vorgegebene Verschlechterungsfaktoren für Euro-6-Fahrzeuge mit Selbstzündungsmotoren noch fehlen, ermitteln die Hersteller diese Verschlechterungsfaktoren im Verlauf der Dauerhaltbarkeitsprüfung am vollständigen Fahrzeug oder auf dem Alterungsprüfstand.
1.7. Zur Festlegung der Verschlechterungsfaktoren dienen entweder die Verfahren nach den Absätzen 1.2 und 1.3 oder die in der Tabelle in Absatz 1.4 vorgegebenen Werte. Die Verschlechterungsfaktoren werden zur Überprüfung der Einhaltung der jeweils geltenden Emissionsgrenzwerte aus Anhang 1 Tabellen 1 und 2 der Verordnung (EG) Nr. 715/2007 während der Lebensdauer des Fahrzeugs verwendet.
2. Technische Vorschriften
2.1. Die technischen Vorschriften und Spezifikationen entsprechen denen von Anhang 9 Absätze 2 bis 6 der UN/ECE-Regelung Nr. 83 mit den in den Absätzen 2.1.1 bis 2.1.4 beschriebenen Ausnahmen.
2.1.1. Alternativ zu dem in Anhang 9 Absatz 5.1 der UN/ECE-Regelung Nr. 83 beschriebenen Fahrprogramm für die Dauerhaltbarkeitsprüfung am vollständigen Fahrzeug kann der Fahrzeughersteller den in Anlage 3 dieses Anhangs beschriebenen Standardstraßenfahrzyklus (SSZ) verwenden. Dieser Prüfzyklus ist solange fortzusetzen, bis das Fahrzeug eine Laufleistung von mindestens 160.000 km zurückgelegt hat.
2.1.2. Die Bezugnahme auf 8.000 km in Anhang 9 Absätze 5.3 und 6 der UN/ECE-Regelung Nr. 83 gilt als Bezugnahme auf 160.000 km.
2.1.3. Die Bezugnahme auf den Absatz 5.3.1.4 in Anhang 9 Absatz 6 erster Unterabsatz der UN/ECE-Regelung Nr. 83 gilt bei Euro-5-Fahrzeugen als Bezugnahme auf Anhang I Tabelle 1 und bei Euro-6-Fahrzeugen als Bezugnahme auf Anhang I Tabelle 2 der Verordnung (EG) Nr. 715/2007.
2.1.4. Anhang 9 Absatz 6 Unterabsatz 6 der UN/ECE-Regelung Nr. 83 gilt in folgender Fassung:
D.E.F = Mi2 / Mi1
Für jeden Schadstoff ist ein multiplikativer Verschlechterungsfaktor (DEF) für die Abgasemission wie folgt zu berechnen:
D.E.F = Mi2 - Mi1
Auf Antrag eines Herstellers ist für jeden Schadstoff ein additiver Verschlechterungsfaktor für die Abgasemission wie folgt zu berechnen:
2.2. Dauerhaltbarkeitsprüfung auf dem Alterungsprüfstand
2.2.1. Zusätzlich zu den technischen Vorschriften für die Prüfung auf dem Alterungsprüfstand nach Absatz 1.3 gelten die technischen Vorschriften dieses Absatzes.
Bei der Prüfung ist der in Anhang 9 Absatz 3 der UN/ECE-Regelung Nr. 83 angegebene Kraftstoff zu verwenden.
2.3.1. Fahrzeuge mit Fremdzündungsmotor
2.3.1.1. Das folgende Verfahren der Alterungsprüfung auf dem Prüfstand gilt für Fahrzeuge mit Fremdzündungsmotoren, einschließlich Hybridfahrzeuge mit Katalysator, als wichtigster emissionsmindernder Einrichtung zur Abgasnachbehandlung.
Für die Alterungsprüfung auf dem Prüfstand muss das Katalysatorsystem samt Sauerstoffsonde auf einem Alterungsprüfstand für Katalysatoren aufgebaut werden.
Bei der Alterungsprüfung auf dem Prüfstand ist der Standardprüfstandszyklus (SPZ) über eine Dauer zu fahren, die anhand der Gleichung für die Alterungszeit auf dem Prüfstand (AZP-Gleichung) errechnet wird. In die AZP-Gleichung sind die beim Standardstraßenfahrzyklus (SSZ) nach Anlage 3 dieses Anhangs gemessenen Zeit-bei-Temperatur-Daten des Katalysators einzusetzen.
2.3.1.2. Standardprüfstandszyklus (SPZ): Die Standardalterungsprüfung von Katalysatoren auf dem Prüfstand erfolgt nach dem Standardprüfstandszyklus (SPZ). Der SPZ ist über den Zeitraum zu fahren, der anhand der AZP-Gleichung errechnet worden ist. Der SPZ ist in Anlage 1 dieses Anhangs beschrieben.
2.3.1.3 Zeit-bei-Temperatur-Daten des Katalysators: Die Katalysatortemperatur ist mindestens während zwei vollen Durchläufen des Standardstraßenfahrzyklus (SSZ) zu messen, der in Anlage 3 dieses Anhangs beschrieben ist.
Die Katalysatortemperatur wird am Punkt der höchsten Temperatur am heißesten Katalysator des Prüffahrzeugs gemessen. Alternativ kann die Temperatur an einem anderen Punkt gemessen werden, sofern er nach bestem technischem Ermessen so korrigiert wurde, dass er die am heißesten Punkt gemessene Temperatur wiedergibt.
Die Katalysatortemperatur ist mit einer Mindestfrequenz von einem Hertz (eine Messung pro Sekunde) zu messen.
Die gemessenen Katalysatortemperaturen sind in einem Histogramm tabellarisch darzustellen, wobei die Temperaturklassen nicht größer als 25 °C sind.
2.3.1.4. Alterungszeit auf dem Prüfstand: Die Alterungszeit auf dem Prüfstand wird anhand der Gleichung für die Alterungszeit auf dem Prüfstand (AZP) wie folgt berechnet:
te für eine Temperatur bin = th e((R/Tr) - (R/Tv))
Total te = Summe von te über alle Temperaturklassen hinweg
Alterungszeit auf dem Prüfstand = a (Total te)
Hierbei bedeuten:
| A | = | 1,1: Die Katalysatoralterungs-Zeit wird um diesen Wert korrigiert, damit die Verschlechterung aufgrund anderer Ursachen als der thermischen Alterung des Katalysators berücksichtigt wird. |
| R | = | thermische Reaktivität des Katalysators = 17 500. |
| th | = | die Zeit (in Stunden), die innerhalb der vorgeschriebenen Temperatur bin des Histogramms der Katalysatortemperatur des Fahrzeugs gemessen wird, korrigiert um die volle Lebensdauer; wenn z.B. das Histogramm 400 km abbildet und die Lebensdauer 160.000 km ist, werden alle im Histogramm eingetragenen Zeiten mit dem Faktor 400 multipliziert (160.000 /400). |
| Total te | = | das Zeitäquivalent (in Stunden) für die Alterung des Katalysators bei einer Temperatur Tr auf dem Katalysatoralterungs-Prüfstand unter Verwendung des Katalysatoralterungs-Zyklus, um den gleichen Verschlechterungsgrad zu erzeugen, wie er nach 160.000 km durch thermische Deaktivierung am Katalysator auftritt. |
| te für eine Temperatur bin | = | das Zeitäquivalent (in Stunden) für die Alterung des Katalysators bei einer Temperatur Tr auf dem Katalysatoralterungs-Prüfstand unter Verwendung des Katalysatoralterungs-Zyklus, um den gleichen Verschlechterungsgrad zu erzeugen, wie er nach 160.000 km durch thermische Deaktivierung bei einer Temperatur bin von Tv am Katalysator auftritt. |
| Tr | = | die effektive Bezugstemperatur (in °K) des Katalysators auf dem Katalysatorprüfstand während des Alterungsprüfstandszyklus. Als effektive Temperatur gilt die konstante Temperatur, die den gleichen Alterungsgrad ergeben würde wie die verschiedenen Temperaturen, die während des Alterungsprüfstandszyklus durchlaufen werden. |
| Tv | = | die mittlere Temperatur (in °K) der Temperatur bin des Histogramms für die Katalysatortemperatur des Fahrzeugs auf der Straße. |
2.3.1.5. Effektive Bezugstemperatur beim SPZ: Die effektive Bezugstemperatur des Standardprüfstandszyklus (SPZ) ist für die jeweilige Bauart des Katalysatorsystems und den jeweiligen Alterungsprüfstand, der verwendet wird, in folgenden Schritten zu bestimmen:
2.3.1.6 Katalysatoralterungs-Prüfstand: Der Katalysatoralterungs-Prüfstand muss den SPZ einhalten und den erforderlichen Abgasstrom, die erforderlichen Abgasbestandteile und die erforderliche Abgastemperatur an der Vorderseite des Katalysators erzeugen.
Sämtliche zur Alterung auf dem Prüfstand dienenden Geräte und Abläufe dienen der Aufzeichnung geeigneter Daten (wie der gemessenen Luft/Kraftstoff-Verhältnisse und der Zeit-bei-Temperatur-Daten im Katalysator), um sicherzustellen, dass tatsächlich eine ausreichende Alterung stattgefunden hat.
2.3.1.7. Erforderliche Prüfungen: Zur Berechnung der Verschlechterungsfaktoren sind am Prüffahrzeug mindestens zwei Prüfungen Typ 1 vor der Alterung der emissionsmindernden Bauteile auf dem Prüfstand und mindestens zwei Prüfungen Typ 1 nach dem Wiedereinbau der auf dem Prüfstand gealterten emissionsmindernden Bauteile vorzunehmen.
Der Hersteller kann zusätzliche Prüfungen durchführen. Die Berechnung der Verschlechterungsfaktoren erfolgt nach dem Berechnungsverfahren gemäß Anhang 9 Absatz 6 der UN/ECE-Regelung Nr. 83 in der Fassung dieser Verordnung.
2.3.2. Fahrzeuge mit Selbstzündungsmotor
2.3.2.1. Für Fahrzeuge mit Selbstzündungsmotor, einschließlich Hybridfahrzeuge, gilt das folgende Verfahren für die Alterung auf dem Prüfstand.
Für die Alterungsprüfung auf dem Prüfstand muss das Abgasnachbehandlungssystem auf einem Alterungsprüfstand für Nachbehandlungssysteme aufgebaut werden.
Bei der Alterungsprüfung auf dem Prüfstand ist der Standarddieselprüfstandszyklus (SDPZ) während der Anzahl von Regenerations-/Entschwefelungsvorgängen einzuhalten, die anhand der Gleichung für die Alterungsdauer auf dem Prüfstand (ADP) errechnet wird.
2.3.2.2. Standarddieselprüfstandszyklus (SDPZ): Die Standardalterung auf dem Prüfstand erfolgt nach dem SDPZ. Der SDPZ ist während eines Zeitraums einzuhalten, der anhand der Gleichung für die Alterungsdauer auf dem Prüfstand (ADP) errechnet worden ist. Der SDPZ ist in Anlage 2 dieses Anhangs beschrieben.
2.3.2.3 Regenerationsdaten: Die Regenerationsintervalle sind während mindestens zehn vollen Durchläufen des Standardstraßenfahrzyklus (SSZ) zu messen, der in Anlage 3 beschrieben ist. Alternativ können die Intervalle aus der Ki-Bestimmung verwendet werden.
Falls zutreffend, müssen auch die Entschwefelungsintervalle auf der Grundlage der Herstellerangaben berücksichtigt werden.
2.3.2.4. Dauer der Alterung auf dem Prüfstand bei Dieselfahrzeugen. Die Alterungsdauer auf dem Prüfstand wird mit der ADP-Gleichung wie folgt berechnet:
Alterungsdauer auf dem Prüfstand = Zahl der Regenerations- und/oder Entschwefelungszyklen (je nachdem, was länger dauert), die einer Fahrleistung von 160.000 km entspricht.
2.3.2.5. Alterungsprüfstand. Der Alterungsprüfstand muss den SDPZ einhalten und den erforderlichen Abgasstrom, die erforderlichen Abgasbestandteile und die erforderliche Abgastemperatur am Einlass des Abgasnachbehandlungssystems erzeugen.
Der Hersteller muss die Zahl der Regenerationen/Entschwefelungen (falls zutreffend) aufzeichnen, um sicherzustellen, dass tatsächlich eine ausreichende Alterung stattgefunden hat.
2.3.2.6. Erforderliche Prüfungen: Zur Berechnung der Verschlechterungsfaktoren sind mindestens zwei Prüfungen Typ 1 vor der Alterung der emissionsmindernden Bauteile auf dem Prüfstand und mindestens zwei Prüfungen Typ 1 nach dem Wiedereinbau der auf dem Prüfstand gealterten emissionsmindernden Bauteile vorzunehmen. Der Hersteller kann zusätzliche Prüfungen durchführen. Die Berechnung der Verschlechterungsfaktoren erfolgt nach dem Berechnungsverfahren gemäß Anhang 9 Absatz 6 der UN/ECE-Regelung Nr. 83 und gemäß den zusätzlichen Vorschriften dieser Verordnung.
| Standardprüfstandszyklus (SPZ) | Anlage 1 |
1. Einführung
Das Standardprüfverfahren für die Dauerhaltbarkeit besteht darin, das System aus Katalysator/Sauerstoffsonde auf einem Alterungsprüfstand zu altern, wobei der Standardprüfstandszyklus (SPZ) eingehalten wird, der in dieser Anlage beschrieben wird. Für den SPZ ist ein Alterungsprüfstand mit einem Motor als Abgaserzeuger für den Katalysator erforderlich. Beim SPZ handelt es sich um einen 60-Sekunden-Zyklus, der so oft wie nötig auf dem Prüfstand wiederholt wird, damit eine Alterung über den erforderlichen Zeitraum erfolgt. Der SPZ wird ausgehend von der Katalysatortemperatur, dem Luft/Kraftstoff-Verhältnis des Motors und der Menge der eingespeisten Sekundärluft, die vor dem ersten Katalysator zugeführt wird, definiert.
2. Steuerung der Katalysatortemperatur
2.1. Die Katalysatortemperatur ist im Katalysatorbett an dem Punkt zu messen, an dem im heißesten Katalysator die höchste Temperatur auftritt. Alternativ kann die Temperatur des eingespeisten Gases gemessen und in die Temperatur im Katalysatorbett umgerechnet werden, indem eine auf einer Korrelation basierende lineare Transformation von Daten verwendet wird, die aus der Bauart des Katalysators und dem beim Alterungsvorgang einzusetzenden Prüfstand gewonnen wurden.
2.2. Die Katalysatortemperatur ist bei stöchiometrischem Betrieb (1 bis 40 Sekunden nach Beginn des Zyklus) durch Einstellung der geeigneten Motordrehzahl, der geeigneten Last und des geeigneten Zündzeitpunkts auf mindestens 800 °C (± 10 °C) zu regeln. Die während des Zyklus auftretende maximale Katalysatortemperatur ist durch Einstellung des geeigneten Luft/Kraftstoff-Verhältnisses des Motors während der "fetten" Phase, wie in der nachstehenden Tabelle beschrieben, auf 890 °C (± 10 °C) zu regeln.
2.3. Wird mit einer niedrigen Steuertemperatur gearbeitet, die nicht 800 °C beträgt, dann muss die hohe Steuertemperatur 90 °C über der niedrigen liegen.
Standardprüfstandszyklus (SPZ)
| Zeit (in Sekunden) |
Luft/Kraftstoff-Verhältnis des Motors | Sekundärluft- einspeisung |
| 1-40 | stöchiometrisch, wobei Last, Zündzeitpunkt und Motordrehzahl auf eine Katalysatortemperatur von mindestens 800 °C eingestellt sind | keine |
| 41-45 | "fett" (Luft/Kraftstoff-Verhältnis ist so eingestellt, dass über den gesamten Zyklus eine Höchsttemperatur des Katalysators von 890 °C oder eine um 90 °C höhere Temperatur als die niedrigere Steuertemperatur erreicht wird) | keine |
| 46-55 | "fett" (Luft/Kraftstoff-Verhältnis ist so eingestellt, dass über den gesamten Zyklus eine Höchsttemperatur des Katalysators von 890 °C oder eine um 90 °C höhere Temperatur als die niedrigere Steuertemperatur erreicht wird) | 3 % (± 1 %) |
| 56-60 | stöchiometrisch, wobei Last, Zündzeitpunkt und Motordrehzahl auf eine Katalysatortemperatur von mindestens 800 °C eingestellt sind | 3 % (± 1 %) |
3. Ausrüstung des Alterungsprüfstands und Verfahren
3.1. Konfiguration des Alterungsprüfstands: Der Alterungsprüfstand muss den geeigneten Abgasdurchsatz, die erforderliche Temperatur, das erforderliche Luft/Kraftstoff-Verhältnis, die erforderlichen Abgasbestandteile und die erforderliche Sekundärlufteinspeisung an der Einlassseite des Katalysators bereitstellen.
Der Standardprüfstand für die Alterung besteht aus einem Motor, einem Motorsteuergerät und einem Motorenprüfstand. Andere Konfigurationen können akzeptiert werden (z.B. vollständiges Fahrzeug auf einem Rollenprüfstand oder Brenner, der die korrekten Abgasbedingungen erzeugt), sofern die Bedingungen am Katalysatoreinlass und die Steuermerkmale nach dieser Anlage gegeben sind.
Auf einem einzigen Prüfstand kann der Abgasstrom in mehrere Ströme geteilt werden, sofern jeder einzelne Abgasstrom den Vorschriften dieser Anlage genügt. Hat der Prüfstand mehr als einen Abgasstrom, dürfen mehrere Katalysatorsysteme gleichzeitig gealtert werden.
3.2. Aufbau des Abgassystems: Das gesamte System von Katalysator(en) und Sauerstoffsonde(n) sowie sämtliche Abgasleitungen, die diese Teile miteinander verbinden, sind auf dem Prüfstand aufzubauen. Bei Motoren mit mehreren Abgasströmen (wie einige V6- und V8-Motoren) sind alle Bänke des Abgassystems einzeln auf dem Prüfstand nebeneinander aufzubauen.
Bei Abgassystemen mit mehreren hintereinander geschalteten Katalysatoren ist das gesamte Katalysatorsystem mit sämtlichen Katalysatoren, Sauerstoffsonden und den damit verbundenen Abgasleitungen als eine Einheit für den Alterungsvorgang aufzubauen. Alternativ kann jeder einzelne Katalysator über den entsprechenden Zeitraum getrennt gealtert werden.
3.3. Temperaturmessung: Die Katalysatortemperatur ist mit einem Thermoelement im Katalysatorbett an dem Punkt zu messen, an dem im heißesten Katalysator die höchste Temperatur auftritt. Alternativ kann die Temperatur des eingespeisten Gases direkt an der Einlassseite gemessen und in die Temperatur im Katalysatorbett umgerechnet werden, indem eine auf einer Korrelation basierende lineare Transformation von Daten verwendet wird, die aus der Bauart des Katalysators und dem beim Alterungsvorgang einzusetzenden Prüfstand gewonnen wurden. Die Katalysatortemperatur ist mit einer Frequenz von 1 Hertz (eine Messung pro Sekunde) digital zu speichern.
3.4. Luft/Kraftstoff-Messung: Es sind Vorkehrungen zu treffen, um das Luft/Kraftstoff-Verhältnis (z.B. durch eine Sauerstoffsonde mit breitem Messbereich) möglichst nahe an den Ein- und Austrittsflanschen des Katalysators zu messen. Die Daten dieser Sensoren sind mit einer Frequenz von 1 Hertz (eine Messung pro Sekunde) digital zu speichern.
3.5. Bilanz des Abgasstroms: Es sind Vorkehrungen dafür zu treffen, dass die richtige Abgasmenge (gemessen in Gramm/Sekunde bei stöchiometrischem Betrieb mit einer Toleranz von ± 5 Gramm/Sekunde) durch jedes Katalysatorsystem strömt, das auf dem Prüfstand gealtert wird.
Der richtige Abgasdurchsatz wird auf der Grundlage des Abgasstroms ermittelt, der im Motor des Originalfahrzeugs bei der Motordrehzahl und -last im stationären Betrieb auftritt, die für die Alterung auf dem Prüfstand in Absatz 3.6 dieser Anlage gewählt wurden.
3.6. Einstellung: Die Motordrehzahl, die Last und der Zündzeitpunkt werden so gewählt, dass im Katalysatorbett eine Temperatur von 800 °C (± 10 °C) bei stabilem stöchiometrischem Betrieb erreicht wird.
Das Luftzufuhrsystem wird auf den Luftstrom eingestellt, der erforderlich ist, um 3,0 % Sauerstoff (± 0,1 %) im stabilen stöchiometrischen Abgasstrom kurz vor dem ersten Katalysator zu erzeugen. Ein typischer Ablesewert am vorderen Luft/Kraftstoff-Messpunkt (nach Absatz 5 erforderlich) wäre Lambda 1,16 (was rund 3 % Sauerstoff entspricht).
Bei laufender Lufteinblasung ist das "fette" Luft/Kraftstoff-Verhältnis so einzustellen, dass im Katalysatorbett eine Temperatur von 890 °C (± 10 °C) entsteht. Ein typischer Luft/Kraftstoff-Wert für diesen Schritt wäre Lambda 0,94 (circa 2 % CO).
3.7. Alterungszyklus: Die Standardverfahren auf dem Alterungsprüfstand folgen dem Standardprüfstandszyklus (SPZ). Der SPZ wird wiederholt, bis der Alterungsgrad erreicht ist, der anhand der Gleichung für die Alterungszeit auf dem Prüfstand (AZP) errechnet wurde.
3.8. Qualitätssicherung: Die in den Absätzen 3.3 und 3.4 dieser Anlage genannten Temperaturen und Luft/Kraftstoff-Verhältnisse sind während der Alterung regelmäßig (mindestens alle 50 Stunden) zu überprüfen. Es sind die nötigen Korrekturen vorzunehmen, damit der SPZ während des gesamten Alterungsvorgangs ordnungsgemäß eingehalten wird.
Nach Beendigung der Alterung sind die Zeit-bei-Temperatur-Werte des Katalysators, die während des Alterungsvorgangs aufgezeichnet wurden, in einem Histogramm tabellarisch darzustellen, wobei die Temperaturklassen nicht größer als 10 °C sind. Anhand der AZP-Gleichung und der errechneten effektiven Bezugstemperatur für den Alterungszyklus gemäß Anhang VII Absatz 2.3.1.4 wird ermittelt, ob der Katalysator tatsächlich in ordnungsgemäßem Umfang thermisch gealtert wurde. Die Alterung auf dem Prüfstand wird verlängert, wenn die thermische Wirkung der errechneten Alterungszeit nicht mindestens 95 % der angestrebten thermischen Alterung entspricht.
3.9. Hoch- und Herunterfahren: Die Höchsttemperatur des Katalysators für rasche Verschlechterung (z.B. 1.050 °C) darf auf keinen Fall während des Hoch- oder Herunterfahrens auftreten. Dies kann durch spezielle Verfahren für das Hoch- und Herunterfahren bei niedriger Temperatur verhindert werden.
4. Experimentelle Bestimmung des R-Faktors für die Dauerhaltbarkeitsprüfverfahren auf dem Alterungsprüfstand
4.1. Beim R-Faktor handelt es sich um den thermischen Reaktivitätskoeffizienten des Katalysators, der in die Gleichung für die Alterungszeit auf dem Prüfstand (AZP) eingesetzt wird. Die Hersteller können den Wert von R experimentell auf folgende Weise bestimmen.
4.1.1. Mit dem jeweils erforderlichen Prüfstandszyklus und Aufbau des Alterungsprüfstands werden mehrere (mindestens 3 baugleiche) Katalysatoren bei verschiedenen Steuertemperaturen zwischen der normalen Betriebstemperatur und der Schadensgrenztemperatur gealtert. Für jeden einzelnen Abgasbestandteil werden die Emissionen (oder die Unwirksamkeit des Katalysators bzw. die Wirksamkeit nur eines Katalysators) gemessen. Es ist sicherzustellen, dass die abschließende Prüfung Daten ergibt, die zwischen dem einfachen und zweifachen Wert der Emissionsnorm liegen.
4.1.2. Der Wert R wird geschätzt und die effektive Bezugstemperatur (Tr) für den Alterungszyklus auf dem Prüfstand wird bei jeder Steuertemperatur gemäß Anhang VII Absatz 2.4.4 berechnet.
4.1.3. Für jeden Katalysator werden die Emissionen (oder die Unwirksamkeit des Katalysators) im Verhältnis zur Alterungszeit abgebildet. Durch diese Daten wird eine Gerade nach der KQ-Methode berechnet. Damit sich der Datensatz dafür eignet, sollten die Daten einen annähernd gemeinsamen Achsenabschnitt zwischen 0 und 6 400 km haben. Die nachstehende Grafik dient als Beispiel.
4.1.4. Für jede Alterungstemperatur ist die Steigung dieser Gerade zu berechnen.
4.1.5. Danach wird der natürliche Logarithmus (ln) der Steigung aller (in Schritt 4.1.4 ermittelten) Geraden auf der Ordinate eines Koordinatensystems in Abhängigkeit vom Kehrwert der auf der Abszisse dargestellten Alterungstemperatur (1/(Alterungstemperatur in Grad Kelvin)) abgebildet. Nach der KQ-Methode werden die Geraden durch diese Daten berechnet. Die Steigung der Gerade entspricht dem R-Faktor. Die nachstehende Grafik dient als Beispiel.
4.1.6. Der R-Faktor ist mit dem Ausgangswert von Schritt 4.1.2 zu vergleichen. Weicht der berechnete R-Faktor vom Ausgangswert um mehr als 5 % ab, wird ein neuer R-Faktor zwischen den Ausgangswerten und den errechneten Werten gewählt, danach werden die Schritte 2 bis 6 wiederholt, um einen neuen R-Faktor zu erhalten. Dieser Vorgang wird wiederholt, bis sich der errechnete R-Faktor dem anfangs angenommenen R-Faktor auf 5 % annähert.
4.1.7. Der für jeden Abgasbestandteil einzeln bestimmte R-Faktor wird verglichen. Der niedrigste R-Faktor (ungünstigster Fall) wird in die AZP-Gleichung eingesetzt.
| Standarddieselprüfstandszyklus (SDPZ) | Anlage 2 |
1. Einführung
Bei Partikelfiltern ist die Zahl der Regenerationsvorgänge entscheidend für den Alterungsprozess. Auch bei Systemen, die Entschwefelungszyklen erfordern, (z.B. NOx-Adsorber) ist dies ein wichtiger Prozess.
Das Standardprüfverfahren für die Dauerhaltbarkeit bei Dieselfahrzeugen auf dem Prüfstand besteht darin, ein Nachbehandlungssystem auf einem Alterungsprüfstand zu altern, wobei der in dieser Anlage beschriebene Standarddieselprüfstandszyklus (SDPZ) eingehalten wird. Für den SDPZ ist ein Alterungsprüfstand mit einem Motor zur Abgaserzeugung für das System erforderlich.
Die Regenerations-/Entschwefelungsstrategien des Systems bleiben während des SDPZ in normalem Betriebszustand.
2. Der Standarddieselprüfstandszyklus stellt die Bedingungen in Bezug auf Motordrehzahl und -last nach, die sich beim SSZ-Zyklus für den Zeitraum geeignet erweisen, über den die Dauerhaltbarkeit zu ermitteln ist. Zur Beschleunigung des Alterungsvorgangs dürfen die Einstellungen des Motors auf dem Prüfstand geändert werden, um die Beladungszeiten des Systems zu verkürzen. So können beispielsweise der Zeitpunkt für die Kraftstoffeinspritzung oder die AGR-Strategie verändert werden.
3. Ausstattung des Alterungsprüfstands und Verfahren
3.1. Der Standardalterungsprüfstand besteht aus einem Motor, einem Motorsteuergerät und einem Motorenprüfstand. Andere Konfigurationen können akzeptiert werden (z.B. vollständiges Fahrzeug auf einem Rollenprüfstand oder Brenner, der die korrekten Abgasbedingungen erzeugt), sofern die Bedingungen am Einlass des Nachbehandlungssystems und die Steuerbedingungen gemäß dieser Anlage eingehalten sind.
Auf einem einzigen Prüfstand kann der Abgasstrom in mehrere Ströme geteilt werden, sofern jeder einzelne Abgasstrom den Vorschriften dieser Anlage genügt. Hat der Prüfstand mehr als einen Abgasstrom, dürfen mehrere Nachbehandlungssysteme gleichzeitig gealtert werden.
3.2. Aufbau des Abgassystems: Das gesamte Nachbehandlungssystem und sämtliche Abgasleitungen, die diese Teile miteinander verbinden, sind auf dem Prüfstand aufzubauen. Bei Motoren mit mehreren Abgasströmen (wie einige V6- und V8-Motoren) ist jede Abgasbank auf dem Prüfstand einzeln aufzubauen.
Das gesamte Nachbehandlungssystem wird als Einheit zur Alterung aufgebaut. Alternativ kann jedes einzelne Bauteil über den entsprechenden Zeitraum getrennt gealtert werden.
| Standardstraßenfahrzyklus (SSZ) Einführung | Anlage 3 |
Beim Standardstraßenfahrzyklus (SSZ) handelt es sich um einen Streckensummenzyklus. Das Fahrzeug kann auf einer Versuchsstrecke oder auf einem Rollenprüfstand betrieben werden.
Der Zyklus besteht aus 7 Runden von je 6 km Länge. Die Länge einer Runde kann je nach Länge der Versuchsstrecke angepasst werden, die zur Erreichung der erforderlichen Laufleistung verwendet wird.
Standardstraßenfahrzyklus
| Runde | Beschreibung | Typische Beschleunigung m/s2 |
| 1 | (Anlassen) 10 Sekunden im Leerlauf | 0 |
| 1 | Sanfte Beschleunigung auf 48 km/h | 1,79 |
| 1 | 1/4 Runde Fahren mit 48 km/h | 0 |
| 1 | Sanftes Abbremsen auf 32 km/h | - 2,23 |
| 1 | Sanfte Beschleunigung auf 48 km/h | 1,79 |
| 1 | 1/4 Runde Fahren mit 48 km/h | 0 |
| 1 | Sanftes Abbremsen bis zum Halt | - 2,23 |
| 1 | 5 Sekunden im Leerlauf | 0 |
| 1 | Sanfte Beschleunigung auf 56 km/h | 1,79 |
| 1 | 1/4 Runde Fahren mit 56 km/h | 0 |
| 1 | Sanftes Abbremsen auf 40 km/h | - 2,23 |
| 1 | Sanfte Beschleunigung auf 56 km/h | 1,79 |
| 1 | 1/4 Runde Fahren mit 56 km/h | 0 |
| 1 | Sanftes Abbremsen bis zum Halt | - 2,23 |
| 2 | 10 Sekunden im Leerlauf | 0 |
| 2 | Sanfte Beschleunigung auf 64 km/h | 1,34 |
| 2 | 1/4 Runde Fahren mit 64 km/h | 0 |
| 2 | Sanftes Abbremsen auf 48 km/h | - 2,23 |
| 2 | Sanfte Beschleunigung auf 64 km/h | 1,34 |
| 2 | 1/4 Runde Fahren mit 64 km/h | 0 |
| 2 | Sanftes Abbremsen bis zum Halt | - 2,23 |
| 2 | 5 Sekunden im Leerlauf | 0 |
| 2 | Sanfte Beschleunigung auf 72 km/h | 1,34 |
| 2 | 1/4 Runde Fahren mit 72 km/h | 0 |
| 2 | Sanftes Abbremsen auf 56 km/h | - 2,23 |
| 2 | Sanfte Beschleunigung auf 72 km/h | 1,34 |
| 2 | 1/4 Runde Fahren mit 72 km/h | 0 |
| 2 | Sanftes Abbremsen bis zum Halt | - 2,23 |
| 3 | 10 Sekunden im Leerlauf | 0 |
| 3 | Scharfe Beschleunigung auf 88 km/h | 1,79 |
| 3 | 1/4 Runde Fahren mit 88 km/h | 0 |
| 3 | Sanftes Abbremsen auf 72 km/h | - 2,23 |
| 3 | Sanfte Beschleunigung auf 88 km/h | 0,89 |
| 3 | 1/4 Runde Fahren mit 88 km/h | 0 |
| 3 | Sanftes Abbremsen auf 72 km/h | - 2,23 |
| 3 | Sanfte Beschleunigung auf 97 km/h | 0,89 |
| 3 | 1/4 Runde Fahren mit 97 km/h | 0 |
| 3 | Sanftes Abbremsen auf 80 km/h | - 2,23 |
| 3 | Sanfte Beschleunigung auf 97 km/h | 0,89 |
| 3 | 1/4 Runde Fahren mit 97 km/h | 0 |
| 3 | Sanftes Abbremsen bis zum Halt | - 1,79 |
| 4 | 10 Sekunden im Leerlauf | 0 |
| 4 | Scharfe Beschleunigung auf 129 km/h | 1,34 |
| 4 | Ausrollen auf 113 km/h | - 0,45 |
| 4 | 1/2 Runde Fahren mit 113 km/h | 0 |
| 4 | Sanftes Abbremsen auf 80 km/h | - 1,34 |
| 4 | Sanfte Beschleunigung auf 105 km/h | 0,89 |
| 4 | 1/2 Runde Fahren mit 105 km/h | 0 |
| 4 | Sanftes Abbremsen auf 80 km/h | - 1,34 |
| 5 | Sanfte Beschleunigung auf 121 km/h | 0,45 |
| 5 | 1/2 Runde Fahren mit 121 km/h | 0 |
| 5 | Sanftes Abbremsen auf 80 km/h | - 1,34 |
| 5 | Leichte Beschleunigung auf 113 km/h | 0,45 |
| 5 | 1/2 Runde Fahren mit 113 km/h | 0 |
| 5 | Sanftes Abbremsen auf 80 km/h | - 1,34 |
| 6 | Sanfte Beschleunigung auf 113 km/h | 0,89 |
| 6 | Ausrollen auf 97 km/h | - 0,45 |
| 6 | 1/2 Runde Fahren mit 97 km/h | 0 |
| 6 | Sanftes Abbremsen auf 80 km/h | - 1,79 |
| 6 | Sanfte Beschleunigung auf 104 km/h | 0,45 |
| 6 | 1/2 Runde Fahren mit 104 km/h | 0 |
| 6 | Sanftes Abbremsen bis zum Halt | - 1,79 |
| 7 | 45 Sekunden im Leerlauf | 0 |
| 7 | Scharfe Beschleunigung auf 88 km/h | 1,79 |
| 7 | 1/4 Runde Fahren mit 88 km/h | 0 |
| 7 | Sanftes Abbremsen auf 64 km/h | - 2,23 |
| 7 | Sanfte Beschleunigung auf 88 km/h | 0,89 |
| 7 | 1/4 Runde Fahren mit 88 km/h | 0 |
| 7 | Sanftes Abbremsen auf 64 km/h | - 2,23 |
| 7 | Sanfte Beschleunigung auf 80 km/h | 0,89 |
| 7 | 1/4 Runde Fahren mit 80 km/h | 0 |
| 7 | Sanftes Abbremsen auf 64 km/h | - 2,23 |
| 7 | Sanfte Beschleunigung auf 80 km/h | 0,89 |
| 7 | 1/4 Runde Fahren mit 80 km/h | 0 |
| 7 | Sanftes Abbremsen bis zum Halt | - 2,23 |
Der Standardstraßenfahrzyklus ist in der folgenden Abbildung grafisch dargestellt:
| Prüfung der durchschnittlichen Abgasemissionen bei niedrigen Umgebungstemperaturen (Prüfung Typ 6) | Anhang VIII |
1. Einführung
1.1. Dieser Anhang enthält eine Beschreibung der erforderlichen Ausrüstung und der Verfahren für die Prüfung Typ 6 zur Bestimmung der Abgasemissionen bei kalten Temperaturen.
2. Allgemeine Vorschriften
2.1. Die allgemeinen Vorschriften für die Prüfung Typ 6 entsprechen denen der Absätze 5.3.5.1.1 bis 5.3.5.3.2 der UN/ECE-Regelung Nr. 83 mit den nachstehend beschriebenen Ausnahmen.
2.2. Die Bezugnahme auf "Kohlenwasserstoffe" in Absatz 5.3.5.1.4 der UN/ECE-Regelung Nr. 83 gilt als Bezugnahme auf "Gesamtkohlenwasserstoffe".
2.3. Die in Nummer 5.3.5.2 der UN/ECE-Regelung Nr. 83 genannten Grenzwerte beziehen sich auf die in Anhang 1 Tabelle 4 der Verordnung (EG) Nr. 715/2007 angegebenen Grenzwerte.
3. Technische Vorschriften
3.1. Die technischen Vorschriften und Spezifikationen entsprechen denen von Anhang 8 Absätze 2 bis 6 der UN/ECE-Regelung Nr. 83 mit den nachstehend beschriebenen Ausnahmen.
3.2. Die Bezugnahme in Anhang 8 Absatz 3.4.1 auf Anhang 10 Absatz 3 der UN/ECE-Regelung Nr. 83 gilt als Bezugnahme auf Anhang IX Abschnitt B dieser Verordnung.
3.3. Die Bezugnahme auf "Kohlenwasserstoffe" gilt in den folgenden Absätzen von Anhang 8 der UN/ECE-Regelung Nr. 83 als Bezugnahme auf "Gesamtkohlenwasserstoffe":
Absatz 2.4.1,
Absatz 5.1.1.
![]() |
weiter . | ![]() |
(Stand: 20.12.2021)
Alle vollständigen Texte in der aktuellen Fassung im Jahresabonnement
Nutzungsgebühr: ab 105.- € netto
(derzeit ca. 7200 Titel s.Übersicht - keine Unterteilung in Fachbereiche)
Die Zugangskennung wird kurzfristig übermittelt
? Fragen ?
Abonnentenzugang/Volltextversion