Für einen individuellen Ausdruck passen Sie bitte die
Einstellungen in der Druckvorschau Ihres Browsers an.
Regelwerk, EU 2011, Immissionsschutz - EU Bund

Beschluss 2011/278/EU der Kommission vom 27. April 2011 zur Festlegung EU-weiter Übergangsvorschriften zur Harmonisierung der kostenlosen Zuteilung von Emissionszertifikaten gemäß Artikel 10a der Richtlinie 2003/87/EG des Europäischen Parlaments und des Rates

(Bekannt gegeben unter Aktenzeichen K(2011) 2772)

(ABl. Nr. L 130 vom 17.05.2011 S. 1, ber. L 205 S. 38;
Beschl. 2011/745/EU - ABl. Nr. L 299 vom 17.11.2011 S. 9;
Beschl. 2012/498/EU - ABl. Nr. L 241 vom 07.09.2012 S. 52;
Beschl. 2014/9/EU - ABl. Nr. L 9 vom 14.01.2014 S. 9;
VO (EU) 2019/331 - ABl. L 59 vom 27.02.2019 S. 8aufgehoben)



aufgehoben/ersetzt gem. Art. 27 der VO (EU) 2019/331 - Ausnahme

Die Europäische Kommission -

gestützt auf den Vertrag über die Arbeitsweise der Europäischen Union,

gestützt auf die Richtlinie 2003/87/EG des Europäischen Parlaments und des Rates vom 13. Oktober 2003 über ein System für den Handel mit Treibhausgasemissionszertifikaten in der Gemeinschaft und zur Änderung der Richtlinie 96/61/EG des Rates 1, insbesondere auf Artikel 10a,

in Erwägung nachstehender Gründe:

(1) Gemäß Artikel 10a der Richtlinie sind in gemeinschaftsweiten und vollständig harmonisierten Durchführungsmaßnahmen für die Zuteilung kostenloser Emissionszertifikate so weit wie möglich die Exante-Benchmarks festzulegen, um sicherzustellen, dass durch die Art der kostenlosen Zuteilung Anreize für die Reduzierung der Emissionen von Treibhausgasen (THG) und für energieeffiziente Techniken geschaffen werden, indem sie den effizientesten Techniken, Ersatzstoffen, alternativen Herstellungsprozessen, der hocheffizienten Kraft-Wärme-Kopplung, der effizienten energetischen Verwertung von Restgasen, der Verwendung von Biomasse sowie der Abscheidung und Speicherung von CO2, sofern entsprechende Anlagen zur Verfügung stehen, Rechnung tragen, und sie keine Anreize für eine Erhöhung der Emissionen bieten. Damit der Markt reibungslos funktionieren kann, müssen die Zuteilungen vor Beginn der Handelsperiode feststehen.

(2) Der Ausgangspunkt bei der Festlegung der Grundsätze für die Exante-Benchmarks für die einzelnen Sektoren bzw. Teilsektoren ist die Durchschnittsleistung der 10 % effizientesten Anlagen eines Sektors bzw. Teilsektors in der EU in den Jahren 2007 und 2008. Die Benchmarks werden für die Produkte und nicht für die Inputs berechnet, um die Treibhausgasemissionsreduktionen und Energieeinsparungen während sämtlicher Produktionsprozesse des betreffenden Sektors bzw. Teilsektors zu maximieren.

(3) Die Kommission hat die betroffenen Interessenträger einschließlich der betroffenen Sektoren bzw. Teilsektoren zur Festlegung der Benchmarks konsultiert. Zur Festsetzung der Benchmarks erforderliche Informationen sowie Daten von Anlagen über Produktion, Emissionen und Energieverbrauch wurden ab Februar 2009 aus Wirtschaftsverbänden, Mitgliedstaaten, öffentlichen und gewerblichen Quellen sowie im Rahmen einer Erhebung zusammengetragen, wobei Anlagen aufgefordert wurden, sich an dieser Erhebung zu beteiligen.

(4) Die Kommission hat für Produkte, die im Rahmen der Tätigkeiten gemäß Anhang I der Richtlinie 2003/87/EG hergestellt werden, sowie für Zwischenprodukte, die zwischen Anlagen gehandelt werden, so weit wie möglich Benchmarks entwickelt. Grundsätzlich sollte für jedes Produkt eine Benchmark festgesetzt werden. Ist ein Produkt ein direkter Ersatz für ein anderes Produkt, so sollten die Produkt-Benchmark und die diesbezügliche Produktdefinition für beide Produkte gelten.

(5) Nach Auffassung der Kommission ist das Benchmarking eines Produktes möglich, soweit, auch unter Berücksichtigung der Komplexität der Produktionsprozesse, Produktdefinitionen und Produktklassifikationen vorliegen, die eine Überprüfung der Produktionsdaten und eine EU-weit einheitliche Anwendung der Produkt-Benchmark zwecks Zuteilung von Emissionszertifikaten gestatten. Es wird nicht nach geografischen Standorten oder eingesetzten Technologien, Rohmaterialien oder Brennstoffen differenziert, um Verzerrungen von komparativen Vorteilen bezüglich der CO2-Effizienz in der EU-Wirtschaft zu vermeiden und um die Harmonisierung der übergangsweisen kostenlosen Zuteilung von Emissionszertifikaten zu erleichtern.

(6) Die Benchmarkwerte sollten alle direkten Emissionen aus der Produktion, einschließlich Emissionen aus der Erzeugung der für die Produktion genutzten messbaren Wärme, abdecken, und zwar ungeachtet, ob die messbare Wärme in der betreffenden Anlage selbst oder von einer anderen Anlage erzeugt wird. Emissionen, die bei der Stromerzeugung und beim Export messbarer Wärme entstehen, einschließlich vermiedener Emissionen aus der alternativen Wärme- oder Stromerzeugung bei exothermen Prozessen oder aus der Stromerzeugung ohne Direktemissionen, wurden bei der Festsetzung der Benchmarkwerte abgezogen. Sollte sich der Abzug von Emissionen aus dem Export messbarer Wärme als unmöglich erweisen, so sollte diese Wärme für die kostenlose Zuteilung von Emissionszertifikaten nicht berücksichtigt werden.

(7) Um sicherzustellen, dass die Benchmarks THG-Emissionsreduktionen bewirken, und um brennstoff- und stromintensiven Anlagen gleiche Wettbewerbsbedingungen zu gewährleisten, wurden bei der Festsetzung der Benchmarkwerte auch bestimmte Produktionsprozesse berücksichtigt, deren für die kostenlose Zuteilung von Emissionszertifikaten in Frage kommende Direktemissionen und nicht für die kostenlose Zuteilung von Emissionszertifikaten im Rahmen der Richtlinie 2003/87/EG in Frage kommende indirekte Emissionen aus der Stromerzeugung in gewissem Umfang austauschbar sind, wobei die Gesamtemissionen auch die indirekten Emissionen aus der Stromerzeugung umfassen. Für die Zwecke der Zuteilung von Emissionszertifikaten auf Basis der jeweiligen Benchmarks sollte nur der Anteil der Direktemissionen an den Gesamtemissionen berücksichtigt werden, um zu vermeiden, dass kostenlose Zertifikate für Emissionen aus der Stromerzeugung zugeteilt werden.

(8) Bei der Festsetzung der Benchmarkwerte hat die Kommission als Ausgangspunkt die arithmetische THG-Durchschnittsleistung der 10 % effizientesten Anlagen, die unter die Datenerhebung fielen, in den Jahren 2007 und 2008 zugrunde gelegt. Ferner hat die Kommission gemäß Artikel 10a Absatz 1 der Richtlinie 2003/87/EG für alle Sektoren, für die in Anhang I eine Benchmark vorgesehen ist, auf der Grundlage zusätzlicher Informationen aus verschiedenen Quellen und einer gezielten Studie über die effizientesten Techniken und die auf europäischer und internationaler Ebene bestehenden Reduktionspotenziale geprüft, ob diese Ausgangspunkte den effizientesten Techniken, Ersatzstoffen, alternativen Herstellungsprozessen, der hocheffizienten Kraft-Wärme-Kopplung, der effizienten energetischen Verwertung von Restgasen, der Verwendung von Biomasse sowie der Abscheidung und Speicherung von CO2, sofern entsprechende Anlagen zur Verfügung stehen, hinreichend gerecht werden. Die für die Festsetzung der Benchmarkwerte zugrunde gelegten Daten wurden aus vielen verschiedenen Quellen erhoben, um möglichst viele Anlagen abzudecken, die in den Jahren 2007 und 2008 ein unter eine Benchmark fallendes Produkt hergestellt haben. Zunächst wurden von den jeweiligen europäischen Branchenverbänden oder in deren Auftrag nach feststehenden Regeln, den so genannten Branchen-Verfahrenshandbüchern, Daten über die THG- Effizienz von EHS-Anlagen erhoben, die unter eine Benchmark fallende Produkte herstellen. Als Bezugsdaten für diese Verfahrenshandbücher hat die Kommission Qualitäts- und Prüfkriterien für EU-ETS-Benchmarkingdaten empfohlen. In einem zweiten Schritt und ergänzend zur Datenerhebung durch die europäischen Branchenverbände haben Beratungsunternehmen im Auftrag der Europäischen Kommission Daten über Anlagen zusammengetragen, die von den Daten der Industrie nicht abgedeckt wurden, und auch die zuständigen Behörden der Mitgliedstaaten haben Daten und Analyseergebnisse übermittelt.

(9) Um sicherzustellen, dass die Benchmarkwerte auf akkuraten und konformen Daten beruhen, hat die Kommission mit Unterstützung von Beratungsunternehmen die Branchen-Verfahrenshandbücher eingehenden Konformitätskontrollen und auch die aus den Daten errechneten Ausgangspunktwerte einer Plausibilitätskontrolle unterzogen. Entsprechend den Qualitäts- und Prüfungsempfehlungen wurden die Daten soweit notwendig von unabhängigen Prüfstellen geprüft.

(10) Soweit in einer Anlage mehrere Produkte hergestellt werden und eine Zuordnung der Emissionen zu den einzelnen Produkten nicht für möglich gehalten wurde, wurden bei der Datenhebung und beim Benchmarking nur Einproduktanlagen berücksichtigt. Betroffen sind die Produkt-Benchmarks für Kalk, Dolomitkalk, Flaschen und Behälter aus farblosem Glas, Flaschen und Behälter aus Farbglas, Vormauerziegel, Pflasterziegel, sprühgetrocknetes Pulver, ungestrichenes Feinpapier, Tissuepapier, Testliner und Fluting, ungestrichener sowie gestrichener Karton. Um die Relevanz der Ergebnisse zu verbessern und ihre Plausibilität zu prüfen, wurden die Werte für die Durchschnittsleistung der 10 % effizientesten Anlagen mit entsprechenden Angaben aus der Fachliteratur über die effizientesten Techniken verglichen.

(11) Falls überhaupt keine Daten bzw. keine Daten, die nach der Benchmarking-Methode erhoben wurden, vorlagen, wurden für die Berechnung der Benchmarkwerte Informationen über die gegenwärtigen Emissions- und Verbrauchswerte und über die effizientesten Techniken verwendet, die im Wesentlichen aus den gemäß der Richtlinie 2008/1/EG des Europäischen Parlaments und des Rates vom 15. Januar 2008 über die integrierte Vermeidung und Verminderung der Umweltverschmutzung 2 erstellten Merkblättern über beste verfügbare Techniken (BVT-Merkblätter) abgeleitet wurden. Aufgrund des Mangels an Daten über Restgasbehandlung, Wärmeexport und Stromerzeugung sind die Werte für die Produkt- Benchmarks für Koks und Flüssigmetall insbesondere das Ergebnis der Berechnungen direkter und indirekter Emissionen auf Basis von Informationen über relevante Energieströme aus den maßgeblichen BVT-Merkblättern und auf Basis der Standardemissionsfaktoren gemäß der Entscheidung 2007/589/EG der Kommission vom 18. Juli 2007 zur Festlegung von Leitlinien für die Überwachung und Berichterstattung betreffend Treibhausgasemissionen im Sinne der Richtlinie 2003/87/EG des Europäischen Parlaments und des Rates ( Monitoring-Leitlinien) 3. Für die Produkt-Benchmark für Sintererz wurden Daten auch auf Basis von Angaben in dem betreffenden BVT-Merkblatt über die relevanten Energieströme korrigiert, wobei der Restgasverbrennung in der Branche Rechnung getragen wurde.

(12) Soweit die Berechnung einer Produkt-Benchmark nicht möglich war, jedoch für die kostenlose Zuteilung von Emissionszertifikaten in Frage kommende Treibhausgase entstehen, sollten diese Zertifikate nach allgemeinen Fall- Back-Methoden zugeteilt werden. Es wurde eine Hierarchie von drei Fall-Back-Methoden entwickelt, um die THG-Emissionsreduktionen und Energieeinsparungen zumindest für Teile der betreffenden Produktionsprozesse zu maximieren. Die Wärme-Benchmark gilt für Wärmeverbrauchsprozesse, bei denen ein Träger messbarer Wärme eingesetzt wird. Die Brennstoff-Benchmark findet Anwendung, wenn nicht messbare Wärme verbraucht wird. Die Wärme- und Brennstoff-Benchmarkwerte wurden nach den Grundsätzen der Transparenz und Einfachheit und unter Zugrundelegung der Bezugsleistung eines gängigen Brennstoffes berechnet, der unter dem Gesichtspunkt der THG-Effizienz und unter Berücksichtigung der energieeffizienten Techniken als Brennstoff zweiter Wahl angesehen werden kann. Für Prozessemissionen sollten die Emissionszertifikate auf Basis der historischen Emissionen zugeteilt werden. Um sicherzustellen, dass die Anreizwirkung der kostenlosen Zuteilung von Zertifikaten für diese Emissionen ausreicht, um THG-Emissionsreduktionen herbeizuführen, und um zu vermeiden, dass Prozessemissionen, für die Emissionszertifikate auf Basis der historischen Emissionen zugeteilt werden, und Emissionen innerhalb der Systemgrenzen einer Produkt-Benchmark ungleich behandelt werden, sollte die historische Aktivitätsrate jeder Anlage zur Bestimmung der Anzahl kostenlos zuzuteilender Emissionszertifikate mit einem Faktor von 0,9700 multipliziert werden.

(13) Ab 2013 sollen alle kostenlosen Zuteilungen im Sinne von Artikel 10a der Richtlinie 2003/87/EG nach diesen Regeln erfolgen. Damit die Übergangsregelung gemäß Artikel 10a Absatz 11 der Richtlinie 2003/87/EG in Kraft treten kann, der zufolge die kostenlose Zuteilung von Emissionszertifikaten von 80 % der Menge, die den im Jahr 2013 zuzuteilenden Zertifikaten entspricht, auf 30 % dieser Menge im Jahr 2020 reduziert werden soll, sodass im Jahr 2027 keine kostenlose Zuteilung erfolgt, finden die Faktoren gemäß Anhang VI Anwendung. Stehen ein Sektor oder ein Teilsektor in dem Verzeichnis gemäß dem Beschluss 2010/2/EU der Kommission vom 24. Dezember 2009 zur Festlegung eines Verzeichnisses der Sektoren und Teilsektoren, von denen angenommen wird, dass sie einem erheblichen Risiko einer Verlagerung von CO2-Emissionen ausgesetzt sind, gemäß der Richtlinie 2003/87/EG des Europäischen Parlaments und des Rates 4, so werden diese Faktoren nicht angewendet. Zuteilungen im Rahmen des vorliegenden Beschlusses werden bei der Festlegung künftiger Verzeichnisse von Sektoren oder Teilsektoren, von denen angenommen wird, dass ein erhebliches Risiko einer Verlagerung von CO2-Emissionen besteht, berücksichtigt.

(14) Um die Erhebung von Daten bei Anlagenbetreibern und die Berechnung der von den Mitgliedstaaten zuzuteilenden Emissionszertifikate zu erleichtern, sollte jede Anlage, soweit erforderlich, in Anlagenteile unterteilt werden. Die Mitgliedstaaten sollten dafür Sorge tragen, dass die Emissionen den betreffenden Anlagenteilen korrekt zugeordnet werden und dass es zwischen Anlagenteilen keine Überschneidungen gibt.

(15) Die Mitgliedstaaten sollten dafür Sorge tragen, dass die bei den Anlagenbetreibern erhobenen und für Zuteilungszwecke verwendeten Daten vollständig, kohärent und so akkurat wie möglich sind. Die Daten sollten von einer unabhängigen Prüfstelle geprüft werden, um sicherzustellen, dass die kostenlose Zuteilung von Emissionszertifikaten auf einer soliden und zuverlässigen Datengrundlage erfolgt. Im Interesse der einheitlichen und kohärenten Anwendung der Zuteilungsregeln sollte dieser Beschluss Mindestkriterien für die Datenerhebung und Datenprüfung umfassen.

(16) Die Menge der Zertifikate, die Bestandsanlagen kostenlos zuzuteilen ist, sollte auf historischen Produktionsdaten beruhen. Um sicherzustellen, dass der Bezugszeitraum so weit wie möglich für die Industriezyklen repräsentativ ist und eine Zeitspanne umfasst, für die zuverlässige Daten vorliegen, und um den Einfluss besonderer Umstände wie vorübergehende Anlagenschließungen möglichst zu begrenzen, wurde für die historische Aktivitätsrate der Medianwert der Produktion im Zeitraum 1. Januar 2005 bis 31. Dezember 2008 bzw. - falls er höher ist - der Medianwert der Produktion im Zeitraum 1. Januar 2009 bis 31. Dezember 2010 zugrunde gelegt. Ferner sollte jede wesentliche Kapazitätsänderung berücksichtigt werden, die in dem betreffenden Zeitraum stattgefunden hat. Für neue Marktteilnehmer sollten die Aktivitätsraten auf der Grundlage der Standardauslastung entsprechend sektorspezifischer Informationen oder auf der Grundlage der anlagenspezifischen Auslastung bestimmt werden.

(17) Die von den Mitgliedstaaten erhobenen Informationen sollten den zuständigen Behörden und der Kommission die Anwendung dieses Beschlusses erleichtern.

(18) Um Wettbewerbsverzerrungen zu vermeiden und das reibungslose Funktionieren des CO2-Marktes zu gewährleisten, sollten die Mitgliedstaaten sicherstellen, dass es bei der Festsetzung der Zuteilung an einzelne Anlagen weder zu Doppelzählungen noch zu Doppelzuteilungen kommt. Dies gilt besonders für Fälle, in denen ein unter eine Benchmark fallendes Produkt von mehreren Anlagen hergestellt wird, Fälle, in denen in einer Anlage mehrere unter eine Benchmark fallende Produkte hergestellt werden, oder Fälle, in denen Zwischenprodukte über die Anlagengrenzen hinaus ausgetauscht werden.

(19) Um sicherzustellen, dass das Emissionshandelssystem im Zeitverlauf Emissionsreduktionen bewirkt, sieht die Richtlinie 2003/87/EG eine lineare Kürzung der unionsweit zugeteilten Zertifikatmenge vor. Da diese Kürzung bei der Berechnung der jährlichen Höchstmenge an Zertifikaten gemäß Artikel 10a Absatz 5 der Richtlinie 2003/87/EG berücksichtigt wird, sollten alle kostenlosen Emissionszertifikate, die auf Basis dieses Beschlusses Anlagen zugeteilt werden, die von dieser jährlichen Höchstmenge gemäß Artikel 10a Absatz 5 nicht betroffen sind, auf dieselbe Weise linear angepasst werden wie die unionsweit zugeteilte Zertifikatmenge, wobei das Jahr 2013 als Bezugsjahr zugrunde zu legen ist.

(20) Der einheitliche sektorübergreifende Korrekturfaktor, der in jedem Jahr des Zeitraums 2013-2020 auf Anlagen Anwendung findet, die gemäß Artikel 10a Absatz 5 der Richtlinie 2003/87/EG weder Stromerzeuger noch neue Marktteilnehmer sind, sollte auf Basis der vorläufigen Jahresgesamtmenge der im Zeitraum 2013-2020 kostenlos zuzuteilenden Emissionszertifikate bestimmt werden, die gemäß diesem Beschluss für diese Anlagen, einschließlich der nach Artikel 27 der Richtlinie möglicherweise ausgeschlossenen Anlagen, berechnet wird. Diese in jedem Jahr des Zeitraums zuzuteilende Menge kostenloser Emissionszertifikate sollte mit der jährlichen Zertifikatmenge verglichen werden, die gemäß Artikel 10a Absatz 5 der Richtlinie 2003/87/EG für Anlagen berechnet wird, die weder Stromerzeuger noch neue Marktteilnehmer sind, wobei dem maßgeblichen Anteil der gemeinschaftsweiten Jahresgesamtmenge gemäß Artikel 9 der Richtlinie und der maßgeblichen Menge an Emissionen, die erst ab 2013 in das EU-System einbezogen werden, Rechnung zu tragen ist.

(21) Wird messbare Wärme zwischen zwei oder mehr Anlagen ausgetauscht, so sollte die kostenlose Zuteilung von Emissionszertifikaten auf Basis des Wärmeverbrauchs einer Anlage erfolgen und dem Risiko der Verlagerung von CO2-Emissionen Rechnung tragen. Um sicherzustellen, dass die Anzahl kostenlos zuzuteilender Zertifikate von der Struktur der Wärmebereitstellung unabhängig ist, sollten die Emissionszertifikate dem Wärmeverbraucher zugeteilt werden.

(22) Um die Relevanz der vorliegenden Daten über die THG- Effizienz der EU-EHS-Anlagen zu verbessern, stützen sich die Produkt-Benchmarks für Sulfitzellstoff, thermomechanischen Zellstoff und mechanischen Zellstoff sowie für wieder aufbereitetes Papier auf Daten aus BVT-Merkblättern über die effizientesten Techniken, bei denen fossile Starterbrennstoffe, fossile Brennstoffe (für Sulfitzellstoff, thermomechanischen Zellstoff und mechanischen Zellstoff) und Wärmeenergie (für wieder aufbereitetes Papier) zum Einsatz kommen. Für die Produkt-Benchmark für Zeitungsdruckpapier wurden ebenfalls die effizientesten Techniken, bei denen Wärmeenergie genutzt wird, zugrunde gelegt, um einen signifikanten Benchmarkwert herzuleiten.

(23) Um zusätzlichen THG-Emissionen, insbesondere Methanemissionen, Rechnung zu tragen, die in den Daten für die Berechnung der Benchmarkwerte für bestimmte Anlagen nicht zum Ausdruck kommen, und um sicherzustellen, dass die Zuteilung kostenloser Emissionszertifikate auf Basis der Produkt-Benchmark die Treibhausgaseffizienz der Prozesse berücksichtigt und keine Anreize zur Emissionssteigerung bietet, wurden die einzelnen Datenpunkte der Anlagen auf der Benchmarkkurve für Salpetersäure anhand von Angaben der Industrie über den Durchschnittswert dieser Emissionen und von Daten aus den BVT-Merkblättern korrigiert. Die Produkt-Benchmark für Salpetersäure gibt diese Korrektur wider.

(24) Um unterschiedlichen Raffineriekonfigurationen Rechnung zu tragen, sollte für die Produkt-Benchmark für die Raffineriebranche das Modell der "CO2-gewichteten Tonne" (CO2 weighted ton, CWT) zugrunde gelegt werden. Nach diesem Ansatz ist das einheitliche Raffinerieprodukt die CWT, deren Produktion berechnet wurde anhand vorgegebener generischer Prozesseinheiten, jeweils gewichtet mit einem Emissionsfaktor relativ zur Rohöldestillation, welcher als CWT-Faktor bezeichnet wird und für die CO2-Intensität bei durchschnittlicher Energieeffizienz repräsentativ ist, und zwar für ein und denselben Standardbrennstoff, für jede verbrennungsbezogene Prozesseinheit und für die durchschnittlichen Prozessemissionen der Prozesseinheit. Die für die Festsetzung der Produkt-Benchmark verwendeten Datenpunkte wurden somit ermittelt, indem die tatsächlichen Emissionen mit den Gesamt-CWT der jeweiligen Raffinerien verglichen wurden. Die Raffinerien kostenlos zuzuteilende Zertifikatmenge wird sodann korrigiert, um Stromverbrauch und Stromerzeugung in Einklang mit Artikel 10a Absatz 1 der Richtlinie 2003/87/EG auszuschließen.

(25) Angesichts der Vielfalt der erzielbaren Produktqualitäten beziehen sich die Produkt-Benchmarks für Kalk und Dolomitkalk auf eine Standardzusammensetzung, was Calciumoxid und Magnesiumoxid anbelangt. Für Verbrennungsemissionen wurden in Anwendung der Entscheidung 2007/589/EG Daten über die spezifischen Verbrennungsemissionen aus der Herstellung dieser Standardprodukte verwendet.

(26) Da bei mehreren Produkt-Benchmarks, beispielsweise den Benchmarks für Ammoniak und Sodaasche, vorausgesetzt wird, dass das gesamte CO2 aus den Herstellungsprozessen in die Atmosphäre ausgestoßen wird, sollten die Emissionen gemäß der Verordnung über die Überwachung und Berichterstattung betreffend Emissionen aus in Anhang I aufgeführten Tätigkeiten, deren Erlass gemäß Artikel 14 Absatz 1 der Richtlinie 2003/87/EG für den 31. Dezember 2011 vorgesehen ist, überwacht und gemeldet werden, wobei davon ausgegangen wird, dass das gesamte CO2 aus diesen Herstellungsprozessen unbeschadet der etwaigen Nutzung des CO2 als Einsatzstoff für chemische Herstellungsprozesse in die Atmosphäre emittiert wurde.

(27) Die Benchmark für das Steamcracken deckt die so genannten zusätzlichen Einsatzstoffe, also nicht im Hauptprozess hergestellte chemische Wertprodukte sowie die diesbezüglichen Emissionen, nicht ab, doch sollten zusätzliche Einsatzstoffe gegebenenfalls für die kostenlose Zuteilung von Emissionszertifikaten auf Basis spezifischer Emissionsfaktoren berücksichtigt werden.

(28) Um ausgewogene Wettbewerbsbedingungen für die Herstellung von Aromaten in Raffinerien und Chemieanlagen zu gewährleisten, sollte die kostenlose Zuteilung von Emissionszertifikaten für Aromaten nach dem CWT-Modell erfolgen, und der Benchmarkwert für das Raffinerieprodukt sollte Anwendung finden.

(29) Da bei der Herstellung von Vinylchlorid-Monomer in gewissem Umfang Wasserstoff als Ersatzbrennstoff für konventionelle Brennstoffe wie Erdgas eingesetzt wird, um die direkten Emissionen aus dem Verbrennungsprozess auf diese Weise zu verringern, unter dem Gesichtspunkt der Gesamt-THG-Effizienz Wasserstoff aber auch als Einsatzstoff vorzuziehen ist, wird bei der Berechnung der Benchmark für Vinylchlorid-Monomer der als Brennstoff verwendete Wasserstoff wie Erdgas verrechnet.

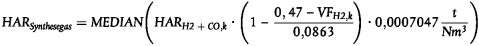
(30) Um ausgewogene Wettbewerbsbedingungen für die Herstellung von Wasserstoff und Synthesegas in Raffinerien und Chemieanlagen zu gewährleisten, sollte die Berechnung der Benchmark für diese Produkte nach dem CWT- Modell und auf Basis des Wertes der Raffinerie-Benchmark erfolgen. Beide Produkt-Benchmarks beziehen sich auf eine vorgegebene volumetrische Wasserstoffkonzentration.

(31) In Anbetracht der Tatsache, dass die Vollauktionierung ab 2013 für den Stromsektor die Regel sein soll, auch unter Berücksichtigung der Fähigkeit des Sektors, die erhöhten CO2-Preise abzuwälzen, und dass für die Stromerzeugung keine kostenlose Zuteilung erfolgen sollte, ausgenommen eine übergangsweise kostenlose Zuteilung zur Modernisierung der Stromerzeugung und für aus Restgasen erzeugten Strom, sollte dieser Beschluss die kostenlose Zuteilung von Emissionszertifikaten für die Stromerzeugung oder den Stromverbrauch ausschließen. Dennoch können die Mitgliedstaaten gemäß Artikel 10a Absatz 6 der Richtlinie 2003/87/EG zugunsten der Sektoren bzw. Teilsektoren, bei denen von einem erheblichen Risiko einer Verlagerung von CO2-Emissionen durch auf den Strompreis übergewälzte Kosten der Treibhausgasemissionen ausgegangen wird, finanzielle Maßnahmen einführen, um diese Kosten auszugleichen, sofern dies mit den geltenden Regeln für staatliche Beihilfen, die von der Kommission auf diesem Gebiet festzulegen sind, vereinbar ist.

(32) Die Produkt-Benchmarks sollten auch der effizienten energetischen Verwertung von Restgasen und den dabei entstehenden Emissionen Rechnung tragen. Aus diesem Grunde wurde bei der Berechnung der Benchmarkwerte für Produkte, bei deren Herstellung Restgase anfallen, der CO2-Gehalt dieser Gase weitgehend berücksichtigt. Soweit Restgase über die Systemgrenzen der betreffenden Produkt-Benchmark hinaus aus dem Produktionsprozess exportiert und zur Erzeugung von Wärme außerhalb der Systemgrenzen eines unter eine Benchmark fallenden

Prozesses gemäß Anhang I verbrannt werden, sollten die dabei entstehenden Emissionen durch Zuteilung zusätzlicher Emissionszertifikate auf Basis der Wärme- oder der Brennstoff-Benchmark mitberücksichtigt werden. Angesichts des allgemeinen Grundsatzes, dass für keine Form der Stromerzeugung Emissionszertifikate kostenlos zugeteilt werden sollten, und um ungerechtfertigte Wettbewerbsverzerrungen auf den Märkten für an Industrieanlagen abgegebenen Strom zu vermeiden, ist es, auch unter Berücksichtigung des in den Stromkosten enthaltenen CO2-Preises, angezeigt, über den in der betreffenden Produkt-Benchmark berücksichtigten Anteil des CO2-Gehalts des Restgases hinaus keine zusätzlichen Emissionszertifikate zuzuteilen, wenn Restgase aus dem Produktionsprozess über die Systemgrenzen der betreffenden Produkt-Benchmark hinaus exportiert und zur Stromerzeugung verbrannt werden.

(33) Bei der Festsetzung der Produkt-Benchmarks werden auch die historischen Emissionen aus dem Abfackeln von Restgasen aus der Herstellung eines bestimmten Produktes berücksichtigt, und Brennstoff, der zur Sicherheitsabfackelung verwendet wird, sollte als Brennstoff für die Erzeugung nicht messbarer Wärme angesehen werden, um der Verbindlichkeit des Abfackelns Rechnung zu tragen.

(34) Es wird ein beträchtlicher Investitionsaufwand erforderlich sein, um den Klimawandel zu bekämpfen und die CO2-Intensität unserer Wirtschaftssysteme zu verringern. Dieser Beschluss sollte daher so angewendet werden, dass in allen Sektoren und Teilsektoren Investitionen in saubere Technologien gefördert werden. Gemäß der Richtlinie 2003/87/EG können in Zukunft auch andere Politiken und Maßnahmen dieses Ziel ergänzen und die effiziente Nutzung von Zertifikaten fördern, damit ein Anreiz für größere Investitionen in energieeffizientere Technologien geschaffen wird. Sollte die endgültige Zertifikatmenge, die jährlich kostenlos allen gemäß diesem Beschluss in Frage kommenden Anlagen zuzuteilen ist, merklich unter die jährliche Höchstmenge an Zertifikaten gemäß Artikel 10a Absatz 5 der Richtlinie 2003/87/EG fallen, so könnten weitere Reduzierungen von Treibhausgasemissionen im Sinne von Artikel 10a Absatz 1 der Richtlinie 2003/87/EG insbesondere durch eine Änderung dieses Beschlusses dahingehend herbeigeführt werden, dass Zertifikate den Anlagen zugeteilt werden, die in der Lage sind, innovative Technologien einzusetzen, mit denen sich Treibhausgasemissionen weiter reduzieren lassen.

(35) Investitionen in wesentliche Kapazitätserweiterungen, die die Inanspruchnahme der Reserve für neue Marktteilnehmer gemäß Artikel 10a Absatz 7 der Richtlinie 2003/87/EG gestatten, sollten eindeutig sein und in einer bestimmten Größenordnung erfolgen, damit eine zu frühe Erschöpfung der Reserve an Emissionszertifikaten für neue Marktteilnehmer sowie Wettbewerbsverzerrungen und ungerechtfertigter Verwaltungsaufwand vermieden werden und gewährleistet ist, dass Anlagen in allen Mitgliedstaaten gleichbehandelt werden. Daher empfiehlt es sich, die Schwelle für eine wesentliche Kapazitätsänderung auf 10 % der installierten Kapazität der Anlage festzusetzen und vorzusehen, dass die Änderung der installierten Kapazität der betreffenden Anlage eine erheblich höhere oder niedrigere Aktivitätsrate herbeiführen muss.

Schrittweise Kapazitätserweiterungen oder -verringerungen sollten jedoch bei der Prüfung, ob diese Schwelle erreicht ist, berücksichtigt werden.

(36) Angesichts der begrenzten Anzahl Zertifikate in der Reserve für neue Marktteilnehmer sollte, wenn eine größere Menge dieser Zertifikate an neue Marktteilnehmer vergeben wird, geprüft werden, ob fairer und gleichberechtigter Zugang zu den restlichen Zertifikaten in dieser Reserve gewährleistet ist. Je nach Ergebnis dieser Prüfung kann die Möglichkeit eines Warteschlangensystems vorgesehen werden. Bei der Konzipierung und Festlegung der Berechtigungskriterien für ein solches System sollte den unterschiedlichen Genehmigungspraktiken der einzelnen Mitgliedstaaten Rechnung getragen werden, und es sollte gewährleistet sein, dass das System nicht missbraucht wird und keine Anreize zur Reservierung von Zertifikaten über einen unangemessen langen Zeitraum entstehen.

(37) Um sicherzustellen, dass keine Emissionszertifikate kostenlos Anlagen zugeteilt werden, die ihren Betrieb eingestellt haben, sollte dieser Beschluss derartige Anlagen definieren und die Zertifikatvergabe verbieten, sofern nicht nachgewiesen werden kann, dass die betreffende Anlage ihren Betrieb innerhalb einer vorgegebenen und angemessenen Frist wieder aufnehmen wird.

(38) Zur Anpassung der Anzahl Zertifikate, die einer Anlage, die ihren Betrieb teilweise eingestellt hat, zuzuteilen ist, wurden spezifische Schwellenwerte für die Verringerung gegenüber der anfänglichen Aktivitätsrate festgesetzt. Die Anzahl der zuzuteilenden Emissionszertifikate sollte sodann ab dem Jahr angepasst werden, das auf das Jahr folgt, in dem die Anlage ihren Betrieb teilweise eingestellt hat. Soweit eine Anlage wieder eine Aktivitätsrate oberhalb der Schwellenwerte erreicht, sollte die anfänglich zugeteilte Anzahl Zertifikate entsprechend der Aktivitätsrate der Anlage teilweise oder ganz wieder zugestanden werden.

(39) Die Leitlinien zur Auslegung von Anhang I der Richtlinie 2003/87/EG wurden gegebenenfalls berücksichtigt.

(40) Die in diesem Beschluss vorgesehenen Maßnahmen entsprechen der Stellungnahme des Ausschusses für Klimaänderung

- hat folgenden Beschluss erlassen:

Kapitel I
Allgemeine Bestimmungen

Artikel 1 Gegenstand

Dieser Beschluss enthält EU-weite Übergangsvorschriften zur Harmonisierung der kostenlosen Zuteilung von Emissionszertifikaten gemäß der Richtlinie 2003/87/EG ab dem Jahr 2013.

Artikel 2 Geltungsbereich

Dieser Beschluss regelt die kostenlose Zuteilung von Emissionszertifikaten im Sinne von Kapitel III (ortsfeste Anlagen) der Richtlinie 2003/87/EG in Handelszeiträumen ab 2013, ausgenommen die übergangsweise kostenlose Zuteilung von Emissionszertifikaten zur Modernisierung der Stromerzeugung gemäß Artikel 10c der Richtlinie 2003/87/EG .

Artikel 3 Begriffsbestimmungen

Für die Zwecke dieses Beschlusses gelten die folgenden Begriffsbestimmungen:

  1. "Bestandsanlage": eine Anlage, die eine oder mehrere der in Anhang I der Richtlinie 2003/87/EG aufgeführten Tätigkeiten oder eine gemäß Artikel 24 der Richtlinie erstmals in das EU-System einbezogene Tätigkeit durchführt und
    1. der vor dem 30. Juni 2011 eine Genehmigung zur Emission von Treibhausgasen erteilt wurde oder
    2. die bereits in Betrieb und am 30. Juni 2011 im Besitz aller maßgeblichen Umweltgenehmigungen, gegebenenfalls einschließlich einer Genehmigung im Sinne der Richtlinie 2008/1/EG, ist und am 30. Juni 2011 alle anderen Kriterien erfüllte, die der betreffende Mitgliedstaat in seinen diesbezüglichen Rechtsvorschriften festgelegt hat und auf deren Grundlage die Anlage Anspruch auf Erteilung der Genehmigung zur Emission von Treibhausgasen gehabt hätte;
  2. "Anlagenteil mit Produkt-Benchmark": Inputs, Outputs und diesbezügliche Emissionen im Zusammenhang mit der Herstellung eines Produktes, für das in Anhang I eine Benchmark festgesetzt wurde;
  3. "Anlagenteil mit Wärme-Benchmark": nicht unter einen Anlagenteil mit Produkt-Benchmark fallende Inputs, Outputs und diesbezügliche Emissionen im Zusammenhang mit der Erzeugung und/oder dem Import messbarer Wärme aus einer unter das EHS fallenden Anlage oder anderen Einrichtung, soweit diese Wärme
  4. "Anlagenteil mit Brennstoff-Benchmark": nicht unter einen Anlagenteil mit Produkt-Benchmark fallende Inputs, Outputs und diesbezügliche Emissionen im Zusammenhang mit der Erzeugung durch Brennstoffverbrennung von nicht messbarer Wärme, die zur Herstellung von Produkten, zur Erzeugung anderer als zur Stromerzeugung verwendeter mechanischer Energie, zur Heizung oder zur Kühlung, jedoch nicht zur Stromerzeugung, verbraucht wird, einschließlich der Erzeugung von nicht messbarer Wärme durch Sicherheitsabfackelung;
  5. "messbare Wärme": ein über einen Wärmeträger (wie insbesondere Dampf, Heißluft, Wasser, Öl, Flüssigmetalle und Salze) durch erkennbare Rohre oder Leitungen transportierter Nettowärmefluss, für den ein Wärmezähler installiert wurde bzw. installiert werden könnte;
  6. "Wärmezähler": ein Wärmezähler im Sinne von Anhang MI-004 der Richtlinie 2004/22/EG des Europäischen Parlaments und des Rates 5 oder jedes andere Gerät zur Messung und Aufzeichnung der erzeugten Wärmeenergiemenge auf Basis der Durchflussmenge und der Temperaturen;
  7. "nicht messbare Wärme": jede Wärme mit Ausnahme messbarer Wärme;
  8. "Anlagenteil mit Prozessemissionen": andere Treibhausgasemissionen als CO2-Emissionen gemäß Anhang I der Richtlinie 2003/87/EG, die außerhalb der Systemgrenzen einer Produkt-Benchmark gemäß Anhang I auftreten, oder CO2- Emissionen, die außerhalb der Systemgrenzen einer Produkt-Benchmark gemäß Anhang I auftreten, die aus einem der nachstehenden Prozesse resultieren, und Emissionen aus der Verbrennung von unvollständig oxidiertem Kohlenstoff, der im Rahmen der nachstehenden Prozesse zwecks Erzeugung von messbarer Wärme, nicht messbarer Wärme oder Strom erzeugt wird, sofern Emissionen, die bei der Verbrennung einer dem technisch nutzbaren Energiegehalt des verbrannten unvollständig oxidierten Kohlenstoffs entsprechenden Menge Erdgas entstanden wären, abgezogen werden:
    1. chemische oder elektrolytische Reduktion von Metallverbindungen in Erzen, Konzentraten und Sekundärstoffen;
    2. Entfernung von Unreinheiten aus Metallen und Metallverbindungen;
    3. Zersetzung von Karbonaten, ausgenommen Karbonate für die Abgasreinigung;
    4. chemische Synthesen, bei denen das kohlenstoffhaltige Material an der Reaktion teilnimmt und deren Hauptzweck nicht die Wärmeerzeugung ist;
    5. Verwendung kohlenstoffhaltiger Zusatzstoffe oder Rohstoffe, deren Hauptzweck nicht die Wärmeerzeugung ist;
    6. chemische oder elektrolytische Reduktion von Halbmetalloxiden oder Nichtmetalloxiden wie Siliciumoxiden und Phosphaten;
  9. "wesentliche Kapazitätserweiterung": wesentlicher Ausbau der installierten Anfangskapazität eines Anlagenteils mit insgesamt folgendem Ergebnis:
    1. eine oder mehrere erkennbare physische Änderungen der technischen Konfiguration des Anlagenteils und seines Betriebs, die über den bloßen Ersatz einer existierenden Produktionslinie hinausgehen, und
    2. Erhöhung der Kapazität des Anlagenteils um mindestens 10 % gegenüber seiner installierten Anfangskapazität vor der Änderung oder
    3. der von der physischen Änderung betroffene Anlagenteil hat eine signifikant höhere Aktivitätsrate, die zu einer zusätzlichen Zuteilung von mehr als 50 000 Emissionszertifikaten/Jahr resultiert, was mindestens 5 % der vorläufigen jährlichen Anzahl Emissionszertifikate entspricht, die vor der Änderung diesem Anlagenteil kostenlos zugeteilt wurden;
  10. "wesentliche Kapazitätsverringerung": eine oder mehrere erkennbare physische Änderungen, die eine wesentliche Verringerung der installierten Anfangskapazität eines Anlagenteils und seiner Aktivitätsrate in derselben Größenordnung wie eine wesentliche Kapazitätserweiterung bewirken;
  11. "wesentliche Kapazitätsänderung": wesentliche Kapazitätserweiterung oder wesentliche Kapazitätsverringerung;
  12. "zusätzliche Kapazität": Differenz zwischen der installierten Anfangskapazität eines Anlagenteils und der installierten Kapazität dieses Anlagenteils nach einer wesentlichen Kapazitätserweiterung, bestimmt auf der Grundlage des Durchschnitts der zwei höchsten Monatsproduktionsmengen innerhalb der ersten sechs Monate nach Aufnahme des geänderten Betriebs;
  13. "stillgelegte Kapazität": Differenz zwischen der installierten Anfangskapazität eines Anlagenteils und der installierten Kapazität dieses Anlagenteils nach einer wesentlichen Kapazitätsverringerung, bestimmt auf der Grundlage des Durchschnitts der zwei höchsten Monatsproduktionsmengen innerhalb der ersten sechs Monate nach Aufnahme des geänderten Betriebs;
  14. "Aufnahme des Normalbetriebs": geprüfter und genehmigter erster Tag eines durchgängigen 90-Tage-Zeitraums oder, falls der übliche Produktionszyklus in dem betroffenen Sektor keine durchgängige Produktion vorsieht, erster Tag eines in sektorspezifische Produktionszyklen unterteilten 90-Tage- Zeitraums, in dem die Anlage mit mindestens 40 % der Kapazität arbeitet, die für die Betriebsanlage installiert wurde, gegebenenfalls unter Berücksichtigung der anlagenspezifischen Betriebsbedingungen;
  15. "Aufnahme des geänderten Betriebs": geprüfter und genehmigter erster Tag eines durchgängigen 90-Tage-Zeitraums oder, falls der übliche Produktionszyklus in dem betroffenen Sektor keine durchgängige Produktion vorsieht, erster Tag eines in sektorspezifische Produktionszyklen unterteilten 90-Tage-Zeitraums, in dem der geänderte Anlagenteil mit mindestens 40 % der Kapazität arbeitet, die für die Betriebsanlage installiert wurde, gegebenenfalls unter Berücksichtigung der für den Anlagenteil spezifischen Betriebsbedingungen;
  16. "Sicherheitsabfackelung": Verbrennung von Pilotbrennstoffen und sehr variablen Mengen an Prozess- oder Restgasen in einer atmosphärischen Störungen ausgesetzten Einheit, die in den relevanten Genehmigungen der Anlage aus Sicherheitsgründen ausdrücklich vorgesehen ist;
  17. "Privathaushalt": eine Wohneinheit, in der Personen einzeln oder in Gruppen Vorkehrungen zur eigenen Versorgung mit messbarer Wärme treffen;
  18. "Prüfstelle": kompetente, unabhängige Person oder Prüfungseinrichtung, die für die Ausführung der Prüfung und die Berichterstattung über die diesbezüglichen Ergebnisse nach den von dem betreffenden Mitgliedstaat festgelegten Verfahrensvorschriften gemäß Anhang V der Richtlinie 2003/87/EG zuständig ist;
  19. "hinreichende Sicherheit": ein im Prüfgutachten positiv zum Ausdruck kommender hoher, jedoch nicht absoluter Grad an Sicherheit, dass die prüfungspflichtigen Daten keine wesentlichen Falschangaben enthalten;
  20. "Grad an Sicherheit": das Maß, in dem sich die Prüfstelle sicher ist, in ihrem abschließenden Prüfgutachten belegen bzw. widerlegen zu können, dass die für eine Anlage vorgelegten Daten keine wesentlichen Falschangaben enthalten;
  21. "wesentliche Falschangabe": eine (aufgrund von Unterlassungen, Fehlinterpretationen und Fehlern, zulässige Unsicherheiten ausgenommen) substanziell falsche Angabe in den vorgelegten Daten, die nach bestem fachlichen Ermessen der Prüfstelle die Verwendung der Daten durch die zuständige Behörde zur Berechnung der Zuteilung von Emissionszertifikaten beeinflussen könnte.

Artikel 4 Zuständige Behörde und Rundung

(1) Die Mitgliedstaaten treffen die erforderlichen administrativen Vorkehrungen und bezeichnen unter anderem die für die Umsetzung der Vorschriften dieses Beschlusses zuständige(n) Behörde(n) gemäß Artikel 18 der Richtlinie 2003/87/EG .

(2) Alle im Rahmen dieses Beschlusses vorgenommenen Berechnungen einer Anzahl Zertifikate werden auf das nächste Zertifikat aufgerundet.

Kapitel II
Bestandsanlagen

Artikel 5 Bestimmung der Anlagen

(1) Die Mitgliedstaaten bestimmen die Anlagen in ihrem Hoheitsgebiet, die für die kostenlose Zuteilung gemäß Artikel 10a der Richtlinie 2003/87/EG in Frage kommen.

(2) Die Mitgliedstaaten bestimmen ferner alle wärmeerzeugenden Stromerzeuger und Kleinanlagen, die gemäß Artikel 27 der Richtlinie 2003/87/EG vom EU-System ausgeschlossen werden können.

Artikel 6 Aufgliederung in Anlagenteile

(1) Für die Zwecke dieses Beschlusses gliedern die Mitgliedstaaten jede für die kostenlose Zuteilung von Emissionszertifikaten gemäß Artikel 10a der Richtlinie 2003/87/EG in Frage kommende Anlage erforderlichenfalls in einen oder mehrere der folgenden Anlagenteile auf:

  1. einen Anlagenteil mit Produkt-Benchmark;
  2. einen Anlagenteil mit Wärme-Benchmark;
  3. einen Anlagenteil mit Brennstoff-Benchmark;
  4. einen Anlagenteil mit Prozessemissionen.

Diese Anlagenteile sollten so weit wie möglich mit den physischen Teilen der Anlage übereinstimmen.

Für Anlagenteile mit Wärme-Benchmark, Anlagenteile mit Brennstoff-Benchmark und Anlagenteile mit Prozessemissionen bestimmen die Mitgliedstaaten anhand von NACE- oder PRODCOM-Codes zweifelsfrei, ob der jeweilige Prozess einen Sektor oder Teilsektor betrifft, von dem gemäß dem Beschluss 2010/2/EU der Kommission angenommen wird, dass er einem erheblichen Risiko einer Verlagerung von CO2-Emissionen ausgesetzt ist.

Hat eine EHS-Anlage messbare Wärme erzeugt und an eine nicht unter das EHS fallende Anlage oder andere Einrichtung exportiert, so gehen die Mitgliedstaaten davon aus, dass der maßgebliche Wärmeprozess des Anlagenteils mit Wärme- Benchmark keinen Sektor oder Teilsektor betrifft, von dem gemäß dem Beschluss 2010/2/EU der Kommission angenommen wird, dass er einem erheblichen Risiko der Verlagerung von CO2-Emissionen ausgesetzt ist, es sei denn, der zuständigen Behörde wurde glaubhaft nachgewiesen, dass die messbare Wärme in einem Sektor oder Teilsektor verbraucht wird, von dem gemäß dem Beschluss 2010/2/EU angenommen wird, dass er einem erheblichen Risiko der Verlagerung von CO2-Emissionen ausgesetzt ist.

(2) Die Summe der Inputs, Outputs und Emissionen jedes Anlagenteils darf die Inputs, Outputs und Gesamtemissionen der Anlage nicht überschreiten.

Artikel 7 Erhebung von Bezugsdaten

(1) Für jede für die kostenlose Zuteilung von Emissionszertifikaten gemäß Artikel 10a der Richtlinie 2003/87/EG in Frage kommende Bestandsanlage, einschließlich Anlagen, die nur gelegentlich betrieben werden, und insbesondere Anlagen, die in Reserve oder in Bereitschaft gehalten werden, sowie Saisonanlagen, erheben die Mitgliedstaaten für jedes Jahr des am 1. Januar 2005 beginnenden und am 31. Dezember 2008 endenden oder gegebenenfalls am 1. Januar 2009 beginnenden und am 31. Dezember 2010 endenden Zeitraums, während dem die Anlage in Betrieb war, beim Anlagenbetreiber alle maßgeblichen Informationen und Daten über die in Anhang IV aufgelisteten Parameter.

(2) Die Mitgliedstaaten erheben die Daten für die einzelnen Anlagenteile getrennt. Sie können den Anlagenbetreiber erforderlichenfalls auffordern, weitere Daten zu übermitteln.

Betreffen 95 % der Inputs, Outputs und diesbezüglichen Emissionen des Anlagenteils mit Wärme-Benchmark, des Anlagenteils mit Brennstoff-Benchmark oder des Anlagenteils mit Prozessemissionen Sektoren oder Teilsektoren, von denen gemäß dem Beschluss 2010/2/EU der Kommission angenommen wird, dass sie einem erheblichen Risiko einer Verlagerung von CO2- Emissionen ausgesetzt sind, oder betreffen 95 % der Inputs, Outputs und diesbezüglichen Emissionen des Anlagenteils mit Wärme-Benchmark, des Anlagenteils mit Brennstoff-Benchmark oder des Anlagenteils mit Prozessemissionen Sektoren oder Teilsektoren, von denen nicht angenommen wird, dass sie einem erheblichen Risiko einer Verlagerung von CO2-Emissionen ausgesetzt sind, so können die Mitgliedstaaten den Anlagenbetreiber von der Verpflichtung zur Vorlage von Daten befreien, anhand deren nach dem Risiko der Verlagerung von CO2-Emissionen differenziert werden kann.

(3) Die Mitgliedstaaten verpflichten den Anlagenbetreiber zur Mitteilung der wie folgt bestimmten installierten Anfangskapazität jedes Anlagenteils mit Produkt-Benchmark:

  1. Die installierte Anfangskapazität entspricht grundsätzlich dem Durchschnitt der zwei höchsten Monatsproduktionsmengen im Zeitraum 1. Januar 2005 bis 31. Dezember 2008, wobei davon ausgegangen wird, dass der Anlagenteil bei dieser Auslastung 720 Stunden/Monat und 12 Monate/Jahr in Betrieb war.
  2. Soweit die installierte Anfangskapazität nicht gemäß Buchstabe a bestimmt werden kann, wird die Kapazität des Anlagenteils unter Aufsicht einer Prüfstelle experimentell geprüft, um sicherzustellen, dass die angewandten Parameter sektortypisch und die Ergebnisse der experimentellen Prüfung repräsentativ sind.

(4) Bei Anlagenteilen, deren Kapazität zwischen dem 1. Januar 2005 und dem 30. Juni 2011 wesentlich geändert wurde, verpflichten die Mitgliedstaaten den Anlagenbetreiber, bis Aufnahme des geänderten Betriebs zusätzlich zu der gemäß Absatz 3 bestimmten installierten Anfangskapazität dieses Anlagenteils die zusätzliche bzw. die stillgelegte Kapazität sowie die installierte Kapazität des Anlagenteils nach einer wesentlichen Kapazitätsänderung mitzuteilen, die auf der Grundlage des Durchschnitts der zwei höchsten Monatsproduktionsmengen innerhalb der ersten sechs Monate nach Aufnahme des geänderten Betriebs bestimmt wird. Für die Bewertung weiterer wesentlicher Kapazitätsänderungen legen die Mitgliedstaaten die installierte Kapazität des Anlagenteils nach einer wesentlichen Kapazitätsänderung als die installierte Anfangskapazität des Anlagenteils zugrunde.

(5) Die Mitgliedstaaten tragen dafür Sorge, dass die Daten so erhoben, aufgezeichnet und dokumentiert werden, dass sie von der zuständigen Behörde in geeigneter Weise genutzt werden können.

Die Mitgliedstaaten können dem Anlagenbetreiber zur Auflage machen, für die Datenübermittlung eine elektronische Vorlage zu verwenden, oder ein bestimmtes Dateiformat vorgeben. Sie akzeptieren jedoch, dass die Anlagenbetreiber elektronische Vorlagen oder Dateiformate verwenden, die von der Kommission zum Zwecke der Datenerhebung im Rahmen dieses Artikels veröffentlicht wurden, es sei denn, die Vorlage oder das Dateiformat des Mitgliedstaats betreffen zumindest dieselben Datenanforderungen.

(6) Inputs, Outputs und diesbezügliche Emissionen, zu denen nur für die Gesamtanlage Daten vorliegen, werden den jeweiligen Anlagenteilen auf Basis der nachstehenden Faktoren wie folgt anteilmäßig zugeordnet:

  1. Soweit an derselben Produktionslinie nacheinander unterschiedliche Produkte hergestellt werden, werden Inputs, Outputs und die diesbezüglichen Emissionen sequenziell auf Basis der Nutzungszeit pro Jahr und Anlagenteil zugeordnet;
  2. soweit Inputs, Outputs und die diesbezüglichen Emissionen nicht gemäß Buchstabe a zugeordnet werden können, erfolgt die Zuordnung auf Basis der Masse oder des Volumens der jeweils hergestellten Produkte oder anhand von Schätzungen auf Basis der freien Reaktionsenthalpien der betreffenden chemischen Reaktionen oder anhand eines anderen geeigneten wissenschaftlich fundierten Verteilungsschlüssels

(7) Die Mitgliedstaaten verpflichten die Anlagenbetreiber, vollständige und kohärente Daten zu übermitteln und sicherzustellen, dass es weder zu Überschneidungen zwischen Anlagenteilen noch zu Doppelzählungen kommt. Sie stellen insbesondere sicher, dass Anlagenbetreiber mit der gebührenden Sorgfalt vorgehen und möglichst akkurate Daten vorlegen, damit hinreichende Sicherheit hinsichtlich der Datenintegrität besteht.

Zu diesem Zweck tragen die Mitgliedstaaten dafür Sorge, dass jeder Anlagenbetreiber auch einen Methodenbericht vorlegt, der insbesondere eine Beschreibung der Anlage, der angewandten Erhebungsmethodik, der verschiedenen Datenquellen, der angewandten Berechnungsschritte und gegebenenfalls der für die Zuordnung der Emissionen zu den jeweiligen Anlagenteilen gemäß Absatz 6 zugrunde gelegten Hypothesen und Methoden enthält. Die Mitgliedstaaten können den Anlagenbetreiber auffordern, die Genauigkeit und Vollständigkeit der übermittelten Daten zu belegen.

(8) Für den Fall, dass Daten fehlen, verpflichten die Mitgliedstaaten den Anlagenbetreiber, die Gründe hierfür anzugeben.

Die Mitgliedstaaten machen Anlagenbetreibern zur Auflage, alle fehlenden Daten vor oder spätestens während der Prüfung durch die Prüfstelle durch konservative Schätzungen zu ersetzen, die insbesondere auf bewährter Industriepraxis und auf aktuellen wissenschaftlichen und technischen Informationen beruhen.

Im Falle teilweise vorliegender Daten bedeutet konservative Schätzung, dass der extrapolierte Wert maximal 90 % des Wertes beträgt, der bei Verwendung der verfügbaren Daten erzielt wurde.

Liegen für den Anlagenteil mit Wärme-Benchmark keine Daten über messbare Wärmeflüsse vor, so kann durch Multiplikation des entsprechenden Energieeinsatzes mit der gemessenen und von einer Prüfstelle geprüften Effizienz der Wärmeerzeugung ein Ersatzwert hergeleitet werden. Liegen keine derartigen Effizienzdaten vor, so wird auf den entsprechenden Energieinput für die Erzeugung messbarer Wärme ein Bezugseffizienzwert von 70 % angewendet.

(9) Die Mitgliedstaaten halten der Kommission die in Anwendung der Absätze 1 bis 6 erhobenen Daten auf Antrag zur Verfügung.

Artikel 8 Prüfung

(1) Bei der Datenerhebung gemäß Artikel 7 akzeptieren die Mitgliedstaaten nur Daten, die von der Prüfstelle auf Stichhaltigkeit geprüft wurden. Zu prüfen sind der Methodenbericht sowie die mitgeteilten Parameter gemäß Artikel 7 und Anhang IV. Die Prüfung betrifft die Zuverlässigkeit, Plausibilität und Genauigkeit der von den Anlagenbetreibern übermittelten Daten und endet in einem Prüfungsgutachten, aus dem mit hinreichender Sicherheit hervorgeht, ob die Daten frei von wesentlichen Falschangaben sind.

(2) Die Mitgliedstaaten tragen dafür Sorge, dass die Prüfstelle vom Anlagenbetreiber unabhängig ist, ihre Aufgabe professionell und objektiv ausführt und vertraut ist mit

  1. den Bestimmungen dieses Beschlusses sowie den einschlägigen Standards und Leitlinien;
  2. den für die zu prüfenden Tätigkeiten relevanten Rechts- und Verwaltungsvorschriften;
  3. dem Zustandekommen aller Informationen über die einzelnen Parameter und Emissionsquellen in der Anlage, insbesondere im Hinblick auf Erfassung, messtechnische Erhebung, Berechnung und Übermittlung von Daten.

(3) Zusätzlich zu den Anforderungen der Entscheidung 2007/589/EG tragen die Mitgliedstaaten dafür Sorge, dass die nachstehenden Mindestanforderungen insgesamt erfüllt sind:

  1. Die Prüfstelle ist bei der Planung und Durchführung der Prüfung mit professioneller Skepsis vorgegangen; sie war sich insbesondere darüber im Klaren, dass Umstände vorliegen können, aufgrund deren die vorgelegten Informationen und Daten wesentliche Falschangaben enthalten;
  2. sie hat mitgeteilte Parameter nur validiert, wenn diese mit einem hohen Grad an Sicherheit bestimmt werden konnten. Für einen hohen Grad an Sicherheit muss der Anlagenbetreiber nachweisen, dass
    1. die mitgeteilten Parameter schlüssig sind,
    2. die Parameter nach Maßgabe der geltenden Standards und Leitlinien erhoben wurden,
    3. die einschlägigen Aufzeichnungen der Anlage vollständig und schlüssig sind;
  3. sie hat ihre Prüfung mit einer strategischen Analyse aller Tätigkeiten begonnen, die in der Anlage durchgeführt werden, und hat einen Überblick über sämtliche Tätigkeiten und ihre Relevanz für die Zuteilung;
  4. sie hat die Informationen in der Genehmigung zur Emission von Treibhausgasen oder in anderen maßgeblichen Umweltgenehmigungen wie beispielsweise der Genehmigung gemäß der Richtlinie 2008/1/EG insbesondere bei der Bewertung der installierten Anfangskapazität von Anlagenteilen berücksichtigt;
  5. sie hat die inhärenten Risiken und die Kontrollrisiken analysiert, die sich aus dem Umfang und der Komplexität der Tätigkeiten des Anlagenbetreibers und den Zuteilungsparametern ergeben, und zu wesentlichen Falschangaben führen könnten, und hat auf Basis dieser Risikoanalyse einen Prüfplan aufgestellt;
  6. sie hat gegebenenfalls eine Besichtigung vor Ort vorgenommen, um das Funktionieren von Zählern und Überwachungssystemen zu kontrollieren, Interviews durchzuführen und hinreichende Informationen und Belege zu erheben; soweit sie eine Besichtigung vor Ort nicht für erforderlich gehalten hat, sollte sie ihre Entscheidung gegenüber einer zuständigen Behörde umfassend rechtfertigen können;
  7. sie hat den Prüfplan umgesetzt, indem sie anhand der vorgegebenen Probenahmeverfahren, Durchgangstests (walkthrough tests), Dokumentenprüfungen, Analyseverfahren und Datenprüfungen Daten erhoben hat, einschließlich etwaiger anderer maßgeblicher Informationen, auf die sie ihr Gutachten stützen wird;
  8. sie hat den Anlagenbetreiber aufgefordert, alle fehlenden Daten oder fehlende Teile des Prüfpfads vorzulegen, Abweichungen bei den Parametern oder Emissionsdaten zu erklären oder Berechnungen erneut durchzuführen oder mitgeteilte Daten anzupassen;
  9. sie hat einen internen Prüfbericht erstellt, worin nachgewiesen wird, dass die strategische Analyse, die Risikoanalyse und der Prüfplan vollständig durchgeführt wurden, und genügend Informationen gegeben werden, um Prüfgutachten zu untermauern. Der interne Prüfbericht dient auch dazu, der zuständigen Behörde und der Akkreditierungsstelle eine etwaige Bewertung der Prüfung zu erleichtern;
  10. sie hat auf der Grundlage der Ergebnisse des internen Prüfberichts entschieden, ob die mitgeteilten Parameter wesentliche Falschangaben enthalten und ob andere Fragen offen stehen, die für das Prüfgutachten von Belang sind;
  11. sie hat ihre Prüfmethode, ihre Feststellungen und ihr Prüfgutachten in einem an den Anlagenbetreiber adressierten Prüfbericht zusammengefasst, den dieser zusammen mit dem Methodenbericht und den mitgeteilten Parametern der zuständigen Behörde übermittelt.

(4) Die Mitgliedstaaten teilen Anlagen, deren Daten nicht mit zufrieden stellendem Ergebnis geprüft wurden, keine kostenlosen Emissionszertifikate zu.

Die Mitgliedstaaten können nur dann beschließen, Emissionszertifikate kostenlos Anlagen zuzuteilen, deren Daten nicht mit zufrieden stellendem Ergebnis geprüft wurden, wenn sie sich vergewissert haben, dass die Datenlücken, die zu dem Urteil der Prüfstelle geführt haben, außergewöhnlichen und unvorhersehbaren Umständen zuzuschreiben sind, die selbst mit gebührender Sorgfalt nicht hätten vermieden werden können und die außerhalb der Kontrolle des Betreibers der betreffenden Anlage liegen, vor allem, wenn die Umstände Naturkatastrophen, Kriege, Kriegsdrohungen, Terroranschläge, Revolutionen, Unruhen, Sabotageakte oder Sachbeschädigungen betreffen.

(5) Bei der Prüfung tragen die Mitgliedstaaten insbesondere dafür Sorge, dass es weder zu Überschneidungen zwischen Anlagenteilen noch zu Doppelzählungen kommt.

Artikel 9 Historische Aktivitätsrate

(1) Für Bestandsanlagen bestimmen die Mitgliedstaaten die historischen Aktivitätsraten der einzelnen Anlagen auf Basis der gemäß Artikel 7 erhobenen Daten für den Bezugszeitraum 1. Januar 2005 bis 31. Dezember 2008 oder, soweit sie höher sind, für den Bezugszeitraum 1. Januar 2009 bis 31. Dezember 2010.

(2) Die produktbezogene historische Aktivitätsrate ist für jedes Produkt, für das gemäß Anhang I eine Produkt-Benchmark festgesetzt wurde, der Medianwert der historischen Produktion dieses Produktes in der betreffenden Anlage in jedem Jahr des Bezugszeitraums.

(3) Die wärmebezogene historische Aktivitätsrate ist der als Terajoule/Jahr angegebene Medianwert des historischen n jährlichen Imports messbarer Wärme aus einer EHS-Anlage und/oder der Erzeugung messbarer Wärme während des Bezugszeitraums, soweit diese Wärme innerhalb der Anlagengrenzen für die Herstellung von Produkten, für die Erzeugung anderer als zur Stromerzeugung verwendeter mechanischer Energie, für die Heizung oder für die Kühlung, jedoch nicht zur Stromerzeugung, verbraucht oder an nicht unter das EHS fallende Anlagen oder eine andere Einrichtung, jedoch nicht zur Stromerzeugung, exportiert wird.

(4) Die brennstoffbezogene historische Aktivitätsrate ist der als Terajoule/Jahr angegebene Medianwert des historischen Verbrauchs an Brennstoffen zur Erzeugung nicht messbarer Wärme während des Bezugszeitraums, die für die Herstellung von Produkten, für die Erzeugung anderer als zur Stromerzeugung verwendeter mechanischer Energie, für die Heizung oder für die Kühlung, jedoch nicht zur Stromerzeugung, verbraucht wird, einschließlich der Erzeugung nicht messbarer Wärme durch Sicherheitsabfackelung.

(5) Bei Prozessemissionen, die während des Bezugszeitraums gemäß Absatz 1 im Zusammenhang mit der Herstellung von Produkten in der betreffenden Anlage entstehen, bezieht sich die prozessbezogene historische Aktivitätsrate auf den als Tonnen CO2-Äquivalent angegebenen Medianwert der historischen jährlichen Prozessemissionen.

(6) Zur Bestimmung der Medianwerte gemäß den Absätzen 1 bis 5 werden nur die Kalenderjahre berücksichtigt, in denen die Anlage mindestens einen Tag lang in Betrieb war.

War die Anlage während des maßgeblichen Bezugszeitraums weniger als zwei Kalenderjahre in Betrieb, so werden die historischen Aktivitätsraten auf Basis der nach dem Verfahren gemäß Artikel 7 Absatz 3 bestimmten installierten Anfangskapazität jedes Anlagenteils, multipliziert mit dem gemäß Artikel 18 Absatz 2 bestimmten maßgeblichen Auslastungsfaktor, berechnet.

(7) Abweichend von Absatz 2 bestimmen die Mitgliedstaaten die produktbezogene historische Aktivitätsrate für Produkte, auf die die Produkt-Benchmarks gemäß Anhang III Anwendung finden, auf Basis des Medianwertes der historischen Jahresproduktion nach den im selben Anhang festgelegten Formeln.

(8) Bestandsanlagen, die nur gelegentlich betrieben werden, einschließlich und insbesondere Anlagen, die in Reserve oder Bereitschaft gehalten werden, und Saisonanlagen, die in einem gegebenen Kalenderjahr während des Bezugszeitraums nicht mindestens einen Tag lang in Betrieb waren, werden bei der Bestimmung der Medianwerte gemäß Absatz 1 berücksichtigt, soweit die folgenden Bedingungen insgesamt erfüllt sind:

  1. Es ist zweifelsfrei erwiesen, dass die Anlage gelegentlich genutzt wird, und insbesondere als Bereitschafts- oder Reservekapazität oder als Saisonanlage regelmäßig in Betrieb ist;
  2. die Anlage verfügt über eine Genehmigung zur Emission von Treibhausgasen sowie über alle anderen relevanten staatsrechtlich vorgeschriebenen Betriebsgenehmigungen;
  3. es ist technisch möglich, die Anlage kurzfristig in Betrieb zu nehmen, und die Anlage wird regelmäßig gewartet.

(9) Wurde die Kapazität einer Bestandsanlage zwischen dem 1. Januar 2005 und dem 30. Juni 2011 wesentlich erweitert oder verringert, so entsprechen die historischen Aktivitätsraten der betreffenden Anlage der Summe der gemäß Absatz 1 bestimmten Medianwerte ohne die wesentliche Kapazitätsänderung und der historischen Aktivitätsraten der zusätzlichen bzw. der stillgelegten Kapazität.

Die historischen Aktivitätsraten der zusätzlichen oder der stillgelegten Kapazität entsprechen der Differenz zwischen den gemäß Artikel 7 Absatz 3 bestimmten installierten Anfangskapazitäten der einzelnen Anlagenteile, an denen eine wesentliche Kapazitätsänderung vorgenommen wurde, bis Aufnahme des geänderten Betriebs und der gemäß Artikel 7 Absatz 4 bestimmten installierten Kapazität nach der wesentlichen Kapazitätsänderung, multipliziert mit der durchschnittlichen historischen Kapazitätsauslastung der betreffenden Anlage in den Jahren vor der Aufnahme des geänderten Betriebs.

Artikel 10 Zuteilung an Anlagen

(1) Auf der Grundlage der gemäß Artikel 7 erhobenen Daten berechnen die Mitgliedstaaten für jedes Jahr die Anzahl der Emissionszertifikate, die jeder Bestandsanlage in ihrem Hoheitsgebiet gemäß den Absätzen 2 bis 8 ab 2013 kostenlos zugeteilt werden.

(2) Zum Zwecke dieser Berechnung bestimmen die Mitgliedstaaten zunächst die vorläufige jährliche Anzahl der den einzelnen Anlagenteilen kostenlos zuzuteilenden Emissionszertifikate, wobei die vorläufige jährliche Anzahl der in einem gegebenen Jahr kostenlos zuzuteilenden Emissionszertifikate

  1. für jeden Anlagenteil mit Produkt-Benchmark dem Wert dieser Produkt-Benchmark gemäß Anhang I, multipliziert mit der maßgeblichen produktbezogenen historischen Aktivitätsrate, entsprechen muss;
  2. für
    1. Anlagenteile mit Wärme-Benchmark dem Wert der Benchmark für messbare Wärme gemäß Anhang I, multipliziert mit der wärmebezogenen historischen Aktivitätsrate für den Verbrauch messbarer Wärme, entsprechen muss;
    2. Anlagenteile mit Brennstoff-Benchmark dem Wert der Brennstoff-Benchmark gemäß Anhang I, multipliziert mit der brennstoffbezogenen historischen Aktivitätsrate für den verbrauchten Brennstoff, entsprechen muss;
    3. Anlagenteile mit Prozessemissionen der prozessbezogenen historischen Aktivitätsrate, multipliziert mit 0, 9700, entsprechen muss.

(3) Soweit messbare Wärme an Privathaushalte exportiert wird und die gemäß Absatz 2 Buchstabe b Ziffer i bestimmte vorläufige jährliche Anzahl Emissionszertifikate für 2013 niedriger ist als der für den Zeitraum vom 1. Januar 2005 bis zum 31. Dezember 2008 berechnete Medianwert der jährlichen historischen Emissionen des Anlagenteils infolge der Produktion von an Privathaushalte exportierter messbarer Wärme, wird die vorläufige jährliche Anzahl Emissionszertifikate für 2013 um die Differenz angepasst. In jedem der Jahre 2014 bis 2020 wird die gemäß Absatz 2 Buchstabe b Ziffer i bestimmte vorläufige jährliche Anzahl Emissionszertifikate angepasst, soweit die vorläufige jährliche Anzahl Emissionszertifikate für das betreffende Jahr niedriger ist als ein Prozentsatz des vorgenannten Medianwerts der jährlichen historischen Emissionen. Dieser Prozentsatz beträgt 90 % im Jahr 2014 und geht in jedem Folgejahr um 10 Prozentpunkte zurück.

(4) Zum Zwecke der Umsetzung von Artikel 10a Absatz 11 der Richtlinie 2003/87/EG werden auf die vorläufige jährliche Anzahl kostenlos zuzuteilender Emissionszertifikate, die für jeden Anlagenteil gemäß Absatz 2 dieses Artikels für das betreffende Jahr bestimmt werden, die Faktoren gemäß Anhang VI angewandt, soweit die in diesen Anlagenteilen stattfindenden Prozesse Sektoren oder Teilsektoren betreffen, von denen angenommen wird, dass sie keinem erheblichen Risiko der Verlagerung von CO2-Emissionen im Sinne des Beschlusses 2010/2/EU ausgesetzt sind.

Betreffen die in diesen Anlagenteilen stattfindenden Prozesse Sektoren oder Teilsektoren, von denen angenommen wird, dass sie einem erheblichen Risiko der Verlagerung von CO2- Emissionen im Sinne des Beschlusses 2010/2/EU ausgesetzt sind, so ist für die Jahre 2013 und 2014 der Faktor 1 anzuwenden. Die Sektoren oder Teilsektoren, auf die der Faktor 1 in den Jahren 2015 bis 2020 Anwendung findet, werden gemäß Artikel 10a Absatz 13 der Richtlinie 2003/87/EG festgelegt.

(5) Soweit mindestens 95 % der historischen Aktivitätsrate des Anlagenteils mit Wärme-Benchmark, des Anlagenteils mit Brennstoff-Benchmark oder des Anlagenteils mit Prozessemissionen Sektoren oder Teilsektoren betreffen, von denen angenommen wird, dass sie einem erheblichen Risiko der Verlagerung von CO2-Emissionen im Sinne des Beschlusses 2010/2/EU ausgesetzt sind, so gilt der gesamte Anlagenteil als einem solchen Risiko ausgesetzt.

Soweit mindestens 95 % der historischen Aktivitätsrate des Anlagenteils mit Wärme-Benchmark, des Anlagenteils mit Brennstoff-Benchmark oder des Anlagenteils mit Prozessemissionen Sektoren oder Teilsektoren betreffen, von denen angenommen wird, dass sie keinem erheblichen Risiko der Verlagerung von CO2-Emissionen im Sinne des Beschlusses 2010/2/EU ausgesetzt sind, so gilt der gesamte Anlagenteil als keinem solchen Risiko ausgesetzt.

(6) Die vorläufige jährliche Anzahl Emissionszertifikate, die kostenlos Anlagenteilen zuzuteilen sind, welche messbare Wärme aus Anlagenteilen bezogen haben, die unter die Salpetersäure-Benchmarks gemäß Anhang I fallende Produkte herstellen, wird um den historischen Jahresverbrauch dieser Wärme während des Bezugszeitraums gemäß Artikel 9 Absatz 1, multipliziert mit dem Wert der Wärme-Benchmark für diese messbare Wärme gemäß Anhang I, gekürzt.

(7) Die vorläufige Jahresgesamtmenge der jeder Anlage kostenlos zuzuteilenden Emissionszertifikate entspricht der Summe der gemäß den Absätzen 2, 3, 4, 5 und 6 berechneten vorläufigen jährlichen Anzahl Emissionszertifikate, die allen Anlagenteilen kostenlos zuzuteilen sind.

Besteht eine Anlage aus Anlagenteilen, in denen Zell- oder Holzstoff (Kurzfaser-Sulfatzellstoff, Langfaser-Sulfatzellstoff, thermomechanischer Holzstoff und mechanischer Holzstoff, Sulfitzellstoff oder anderer, nicht unter eine Produkt-Benchmark fallender Zellstoff) hergestellt und aus denen messbare Wärme an andere technisch angeschlossene Anlagenteile exportiert wird, so wird für die Berechnung der vorläufigen Gesamtmenge der kostenlos zuzuteilenden Emissionszertifikate - unbeschadet der vorläufigen jährlichen Anzahl der anderen Anlagenteilen der betreffenden Anlage kostenlos zuzuteilenden Zertifikate die vorläufige jährliche Anzahl kostenlos zuzuteilender Emissionszertifikate nur insoweit berücksichtigt, als die von diesem Anlagenteil produzierten Zellstoffprodukte in den Verkehr gebracht und nicht in derselben Anlage oder in technisch angeschlossenen Anlagen zu Papier verarbeitet werden.

(8) Bei der Berechnung der vorläufigen Jahresgesamtmenge der den einzelnen Anlagen kostenlos zuzuteilenden Emissionszertifikate tragen die Mitgliedstaaten dafür Sorge, dass Emissionen nicht doppelt gezählt werden und die Zuteilung nicht negativ ist. Wenn ein Zwischenprodukt, das entsprechend der Definition der jeweiligen Systemgrenzen gemäß Anhang I unter eine Produkt-Benchmark fällt, von einer Anlage importiert wird, dürfen die Emissionen bei der Berechnung der vorläufigen Jahresgesamtmenge der den beiden Anlagen kostenlos zuzuteilenden Emissionszertifikate insbesondere nicht doppelt gezählt werden.

(9) Die endgültige Jahresgesamtmenge der jeder Bestandsanlage, ausgenommen Anlagen gemäß Artikel 10a Absatz 3 der Richtlinie 2003/87/EG, kostenlos zuzuteilenden Emissionszertifikate entspricht der vorläufigen Jahresgesamtmenge der Emissionszertifikate, die jeder Anlage nach dem Verfahren von Absatz 7 kostenlos zuzuteilen sind, multipliziert mit dem gemäß Artikel 15 Absatz 3 festgesetzten sektorübergreifenden Korrekturfaktor.

Für unter Artikel 10a Absatz 3 der Richtlinie 2003/87/EG fallende und für die Zuteilung kostenloser Emissionszertifikate in Frage kommende Anlagen entspricht die endgültige Jahresgesamtmenge der kostenlos zuzuteilenden Emissionszertifikate der vorläufigen Jahresgesamtmenge der Emissionszertifikate, die jeder Anlage nach dem Verfahren von Absatz 7 kostenlos zuzuteilen sind, jährlich korrigiert durch den linearen Faktor gemäß Artikel 10a Absatz 4 der Richtlinie 2003/87/EG, wobei die vorläufige Jahresgesamtmenge der der betreffenden Anlage für das Jahr 2013 kostenlos zuzuteilenden Emissionszertifikate als Bezugsgröße herangezogen wird.

Artikel 11 Zuteilung für Steamcracken

Abweichend von Artikel 10 Absatz 2 Buchstabe a entspricht die vorläufige jährliche Anzahl Emissionszertifikate, die einem Anlagenteil mit Produkt-Benchmark für die Herstellung chemischer Wertprodukte (im Folgenden "CWP") kostenlos zuzuteilen sind, dem mit der gemäß Anhang III bestimmten historischen Aktivitätsrate multiplizierten Wert der Produkt-Benchmark für das Steamcracken gemäß Anhang I, multipliziert mit dem Quotienten aus den in Tonnen CO2-Äquivalent angegebenen gesamten Direktemissionen, einschließlich der Emissionen aus importierter Nettowärme, während des Bezugszeitraums gemäß Artikel 9 Absatz 1 dieses Beschlusses, und der in Tonnen CO2-Äquivalent angegebenen Summe dieser gesamten Direktemissionen und der gemäß Artikel 14 Absatz 2 berechneten maßgeblichen indirekten Emissionen während des Bezugszeitraums gemäß Artikel 9 Absatz 1 dieses Beschlusses. Dem Ergebnis dieser Berechnung hinzuzurechnen sind 1,78 Tonnen CO2 je Tonne Wasserstoff, multipliziert mit dem Medianwert der in Tonnen Wasserstoff angegebenen historischen Produktion von Wasserstoff aus zusätzlichen Einsatzstoffen, 0,24 Tonnen CO2 je Tonne Ethen, multipliziert mit dem Medianwert der in Tonnen Ethen angegebenen historischen Produktion von Ethen aus zusätzlichen Einsatzstoffen, und 0,16 Tonnen CO2 je Tonne CWP, multipliziert mit dem Medianwert der in Tonnen CWP angegebenen historischen Produktion anderer chemischer Wertprodukte als Wasserstoff und Ethen aus zusätzlichen Einsatzstoffen.

Artikel 12 Zuteilung für Vinylchlorid-Monomer

Abweichend von Artikel 10 Absatz 2 Buchstabe a entspricht die vorläufige jährliche Anzahl der einem Anlagenteil für die Herstellung von Vinylchlorid-Monomer (im Folgenden "VCM") kostenlos zuzuteilenden Emissionszertifikate dem mit der historischen Aktivitätsrate der in Tonnen angegebenen VCM-Produktion multiplizierten Wert der VCM-Benchmark, multipliziert mit dem Quotienten aus den in Tonnen CO2-Äquivalent angegebenen und gemäß Artikel 14 Absatz 2 berechneten Direktemissionen aus der VCM-Herstellung, einschließlich der Emissionen aus dem Nettowärmeimport, während des Bezugszeitraums gemäß Artikel 9 Absatz 1 dieses Beschlusses, und der Summe dieser Direktemissionen und der in Tonnen CO2-Äquivalent angegebenen und auf Basis des in Terajoules (TJ) angegebenen historischen Verbrauchs von Wärme aus der Wasserstoffverbrennung berechneten wasserstoffbezogenen Emissionen aus der VCM-Herstellung während des Bezugszeitraums gemäß Artikel 9 Absatz 1 dieses Beschlusses, multipliziert mit 56,1 Tonnen CO2/TJ.

Artikel 13 Wärmeflüsse zwischen Anlagen

Soweit in einen Anlagenteil mit Produkt-Benchmark messbare Wärme aus einer nicht unter das EHS fallenden Anlage oder anderen Einrichtung importiert wurde, wird die gemäß Artikel 10 Absatz 2 Buchstabe a berechnete vorläufige jährliche Anzahl der dem betreffenden Anlagenteil mit Produkt-Benchmark kostenlos zuzuteilenden Emissionszertifikate um die Wärmemenge gekürzt, die in dem betreffenden Jahr aus einer nicht unter das EHS fallenden Anlage oder anderen Einrichtung historisch importiert wurde, multipliziert mit dem Wert der Wärme-Benchmark für messbare Wärme gemäß Anhang I.

Artikel 14 Austauschbarkeit von Brennstoff und Strom

(1) Für jeden Anlagenteil mit einer Produkt-Benchmark gemäß Anhang I, bei dem die Austauschbarkeit von Brennstoff und Strom berücksichtigt wird, entspricht die vorläufige jährliche Anzahl kostenlos zuzuteilender Emissionszertifikate dem mit der produktbezogenen historischen Aktivitätsrate multiplizierten Wert der maßgeblichen Produkt-Benchmark gemäß Anhang I, multipliziert mit dem Quotienten aus den in Tonnen CO2-Äquivalent angegebenen gesamten Direktemissionen, einschließlich der Emissionen aus der importierten Nettowärme, während des Bezugszeitraums gemäß Artikel 9 Absatz 1 dieses Beschlusses, und der in Tonnen CO2-Äquivalent angegebenen Summe dieser gesamten Direktemissionen und der maßgeblichen indirekten Emissionen während des Bezugszeitraums gemäß Artikel 9 Absatz 1 dieses Beschlusses.

(2) Für die Berechnung gemäß Absatz 1 beziehen sich die maßgeblichen indirekten Emissionen auf den in Megawattstunden angegebenen maßgeblichen Stromverbrauch im Sinne der Definition der Prozesse und Emissionen gemäß Anhang I für die Herstellung des betreffenden Produktes während des Bezugszeitraums gemäß Artikel 9 Absatz 1 dieses Beschlusses, multipliziert mit 0,465 Tonnen CO2/Megawattstunde und ausgedrückt als Tonnen CO2.

Für die Berechnung gemäß Absatz 1 beziehen sich die Emissionen aus dem Nettowärmeimport auf die für die Herstellung des betreffenden Produktes benötigte Menge an messbarer Wärme, die während des Bezugszeitraums gemäß Artikel 9 Absatz 1 dieses Beschlusses aus EHS-Anlagen importiert wurde, multipliziert mit dem Wärme-Benchmarkwert gemäß Anhang I.

Kapitel III
Zuteilungsentscheidungen

Artikel 15 Einzelstaatliche Umsetzungsmaßnahmen

(1) Gemäß Artikel 11 Absatz 1 der Richtlinie 2003/87/EG unterbreitet jeder Mitgliedstaat der Kommission bis 30. September 2011 ein Verzeichnis der unter die Richtlinie 2003/87/EG fallenden Anlagen in seinem Hoheitsgebiet, einschließlich der gemäß Artikel 5 bestimmten Anlagen; er verwendet dazu eine von der Kommission zur Verfügung gestellte elektronische Vorlage.

(2) Das Verzeichnis gemäß Absatz 1 enthält für jede Bestandsanlage insbesondere

  1. Angaben zur Identifizierung der Anlage und ihrer Grenzen in Form des Kenncodes der Anlage im CITL;
  2. Angaben zur Identifizierung jedes Anlagenteils einer Anlage; für jeden Anlagenteil mit Produkt-Benchmark die installierte Anfangskapazität zusammen mit den jährlich produzierten Mengen des betreffenden Produktes für den Zeitraum 1. Januar 2005 bis 31. Dezember 2008;
  3. für jede Anlage und jeden Anlagenteil Informationen darüber, ob die Anlage bzw. der Anlagenteil einen Sektor oder Teilsektor betrifft, von dem angenommen wird, dass er einem erheblichen Risiko der Verlagerung von CO2-Emissionen im Sinne des Beschlusses 2010/2/EU ausgesetzt ist;
  4. für jeden Anlagenteil die gemäß Artikel 10 Absatz 2 berechnete vorläufige jährliche Anzahl der im Zeitraum 2013-2020 kostenlos zuzuteilenden Emissionszertifikate;
  5. zusätzlich zu Buchstabe d für Anlagenteile, die keinen Sektor oder Teilsektor betreffen, von dem angenommen wird, dass er einem erheblichen Risiko der Verlagerung von CO2-Emissionen im Sinne des Beschlusses 2010/2/EU ausgesetzt ist, die berechnete vorläufige jährliche Anzahl der im Zeitraum 2013-2020 kostenlos zuzuteilenden Emissionszertifikate, die gemäß Artikel 10 Absatz 4 jeweils um dieselben Mengen von 80 % im Jahr 2013 auf 30 % im Jahr 2020 reduziert werden;
  6. für jede Anlage die gemäß Artikel 10 Absatz 6 berechneten vorläufigen Jahresgesamtmengen der im Zeitraum 2013- 2020 kostenlos zuzuteilenden Emissionszertifikate.

Das Verzeichnis nennt auch alle wärmeproduzierenden Stromerzeuger und Kleinanlagen, die gemäß Artikel 27 der Richtlinie 2003/87/EG vom EHS ausgeschlossen werden können.

(3) Nach Erhalt des Verzeichnisses gemäß Absatz 1 dieses Artikels prüft die Kommission alle Anlageneinträge sowie die den jeweiligen Anlagen zugeordneten vorläufigen Jahresgesamtmengen der kostenlos zuzuteilenden Emissionszertifikate.

Nach Erhalt der Mitteilungen aller Mitgliedstaaten über die vorläufigen Jahresgesamtmengen der im Zeitraum 2013-2020 kostenlos zuzuteilenden Emissionszertifikate legt die Kommission den einheitlichen sektorübergreifenden Korrekturfaktor gemäß Artikel 10a Absatz 5 der Richtlinie 2003/87/EG fest. Der Faktor wird bestimmt, indem die Summe der vorläufigen Jahresgesamtmengen der Emissionszertifikate, die im Zeitraum 2013-2020 ohne Anwendung der Faktoren gemäß Anhang VI kostenlos Anlagen zuzuteilen sind, die keine Stromerzeuger sind, mit der Jahresmenge der Emissionszertifikate verglichen wird, die gemäß Artikel 10a Absatz 5 der Richtlinie 2003/87/EG für Anlagen berechnet wird, bei denen es sich weder um Stromerzeuger noch um neue Marktteilnehmer handelt, wobei der maßgebliche Anteil der jährlich EU-weit vergebenen Gesamtmenge gemäß Artikel 9 der Richtlinie und die maßgebliche Menge der Emissionen berücksichtigt werden, die erst ab 2013 in das EHS einbezogen werden.

(4) Sofern die Kommission den Eintrag einer Anlage im Verzeichnis und die entsprechenden vorläufigen Jahresgesamtmengen der dieser Anlage kostenlos zuzuteilenden Emissionszertifikate nicht ablehnt, nimmt der betreffende Mitgliedstaat die Berechnung der endgültigen Jahresmenge der Emissionszertifikate vor, die gemäß Artikel 10 Absatz 9 dieses Beschlusses für jedes Jahr des Zeitraums 2013-2020 kostenlos zuzuteilen sind.

(5) Im Anschluss an die Festlegung der endgültigen Jahresmenge für alle Bestandsanlagen in ihren jeweiligen Hoheitsgebieten übermitteln die Mitgliedstaaten der Kommission ein Verzeichnis der gemäß Artikel 10 Absatz 9 berechneten endgültigen Jahresmenge der im Zeitraum 2013-2020 kostenlos zuzuteilenden Emissionszertifikate.

Artikel 16 Änderungen in Bezug auf das Risiko der Verlagerung von CO2-Emissionen

Innerhalb von drei Monaten nach der Annahme des Verzeichnisses gemäß Artikel 10a Absatz 13 der Richtlinie 2003/87/EG für die Jahre 2015-2020 oder der Annahme etwaiger Neueinträge in das gemäß dem Beschluss 2020/2/EU der Kommission festgelegte Verzeichnis für die Jahre 2013 und 2014 überprüft jeder Mitgliedstaat das Verzeichnis gemäß Artikel 15 Absatz 1 des vorliegenden Beschlusses, gibt etwaige Änderungen in Bezug auf die Annahme, dass Anlagen und Anlagenteile einem Risiko der Verlagerung von CO2-Emissionen ausgesetzt sind, und gegebenenfalls die entsprechende vorläufige Jahresmenge der kostenlos zuzuteilenden Emissionszertifikate deutlich an und übermittelt das so überprüfte Verzeichnis an die Kommission.

Kapitel IV
Neue Marktteilnehmer und Betriebseinstellungen

Artikel 17 Antrag auf kostenlose Zuteilung

(1) Auf Antrag eines neuen Marktteilnehmers berechnet der betreffende Mitgliedstaat nach den geltenden Zuteilungsregeln die Menge der Emissionszertifikate, die diesem Marktteilnehmer kostenlos zuzuteilen sind, sobald die Anlage ihren normalen Betrieb aufgenommen hat und ihre installierte Anfangskapazität bestimmt wurde.

(2) Die Mitgliedstaaten akzeptieren nur Anträge, die innerhalb eines Jahres nach der Aufnahme des Normalbetriebs der betreffenden Anlage bzw. des betreffenden Anlagenteils bei der zuständigen Behörde eingehen.

(3) Die Mitgliedstaaten unterteilen die betreffende Anlage gemäß Artikel 6 dieses Beschlusses in Anlagenteile und verpflichten den Anlagenbetreiber, zusammen mit dem Antrag gemäß Absatz 1 alle maßgeblichen Informationen und Daten zu den in Anhang V festgelegten Parametern für jeden Anlagenteil separat an die zuständige Behörde zu übermitteln. Die Mitgliedstaaten können den Anlagenbetreiber erforderlichenfalls auffordern, weitere separate Daten mitzuteilen.

(4) Im Falle von Anlagen gemäß Artikel 3 Buchstabe h der Richtlinie 2003/87/EG, ausgenommen Anlagen, die nach dem 30. Juni 2011 wesentlich erweitert wurden, verpflichten die Mitgliedstaaten den Anlagenbetreiber, nach der Methode gemäß Artikel 7 Absatz 3 für jeden Anlagenteil die installierte Anfangskapazität zu bestimmen, wobei der durchgängige 90-Tage-Zeitraum, auf dessen Grundlage die Aufnahme des Normalbetriebs bestimmt wird, als Bezugsgröße heranzuziehen ist. Die Mitgliedstaaten genehmigen diese installierte Anfangskapazität jedes Anlagenteils, bevor die Zuteilung für die Anlage berechnet wird.

(5) Die Mitgliedstaaten akzeptieren nur gemäß diesem Artikel übermittelte Daten, die von einer Prüfstelle nach den Verfahrensvorschriften von Artikel 8 mit zufrieden stellendem Ergebnis geprüft wurden, damit gewährleistet ist, dass die mitgeteilten Daten zuverlässig und korrekt sind.

Artikel 18 Aktivitätsratens.a. Beschl. 2013/447/EU

(1) Für Anlagen gemäß Artikel 3 Buchstabe h der Richtlinie 2003/87/EG, ausgenommen Anlagen, die nach dem 30. Juni 2011 wesentlich erweitert wurden, bestimmen die Mitgliedstaaten die Aktivitätsraten der einzelnen Anlagen wie folgt:

  1. Die produktbezogene Aktivitätsrate entspricht bei jedem Produkt, für das eine Produkt-Benchmark gemäß Anhang I festgesetzt wurde, der installierten Anfangskapazität der betreffenden Anlage für die Herstellung dieses Produktes, multipliziert mit dem Standardauslastungsfaktor;
  2. die wärmebezogene Aktivitätsrate entspricht der installierten Anfangskapazität für den Import messbarer Wärme aus EHS- Anlagen und/oder die Erzeugung messbarer Wärme, die innerhalb der Anlagengrenzen für die Herstellung von Produkten, die Erzeugung anderer als zur Stromerzeugung verwendeter mechanischer Energie, zur Heizung oder zur Kühlung, jedoch nicht zur Stromerzeugung, verbraucht oder die an eine nicht unter das EHS fallende Anlage oder andere Einrichtung, jedoch nicht zur Stromerzeugung, exportiert wird, multipliziert mit dem maßgeblichen Auslastungsfaktor;
  3. die brennstoffbezogene Aktivitätsrate entspricht der installierten Anfangskapazität für den Verbrauch von Brennstoffen zur Erzeugung nicht messbarer Wärme, die für die Herstellung von Produkten, die Erzeugung anderer als zur Stromerzeugung verwendeter mechanischer Energie, zur Heizung oder zur Kühlung der betreffenden Anlage, jedoch nicht zur Stromerzeugung, verbraucht wird, einschließlich der Erzeugung nicht messbarer Wärme durch Sicherheitsabfackelung, multipliziert mit dem maßgeblichen Auslastungsfaktor;
  4. die prozessemissionenbezogene Aktivitätsrate entspricht der installierten Anfangskapazität der Prozesseinheit zur Produktion von Prozessemissionen, multipliziert mit dem maßgeblichen Auslastungsfaktor.

(2) Der Standardauslastungsfaktor gemäß Absatz 1 Buchstabe a wird von der Kommission auf Basis der von den Mitgliedstaaten gemäß Artikel 7 dieses Beschlusses erhobenen Daten bestimmt und veröffentlicht. Für jede Produkt-Benchmark gemäß Anhang I entspricht der Standardauslastungsfaktor dem 80-Perzentilwert der Faktoren der durchschnittlichen jährlichen Kapazitätsauslastung aller das betreffende Produkt herstellenden Anlagen. Der Faktor der durchschnittlichen jährlichen Kapazitätsauslastung jeder das betreffende Produkt herstellenden Anlage entspricht der durchschnittlichen Jahresproduktion im Zeitraum 2005-2008, geteilt durch die installierte Anfangskapazität.

Der maßgebliche Auslastungsfaktor gemäß Absatz 1 Buchstaben b bis d wird von den Mitgliedstaaten auf Basis fundierter und unabhängig geprüfter Informationen über den geplanten Normalbetrieb der Anlage, ihre Wartung, den üblichen Produktionszyklus, energieeffiziente Techniken und die typische Kapazitätsauslastung in dem betreffenden Sektor im Vergleich zu sektorspezifischen Informationen bestimmt.

Bei der Bestimmung des maßgeblichen Auslastungsfaktors gemäß Absatz 1 Buchstabe d nach dem Verfahren des vorstehenden Satzes berücksichtigen die Mitgliedstaaten auch fundierte und unabhängig geprüfte Informationen über die Emissionsintensität des Inputs und THG-effizienter Techniken.

(3) Für Anlagen, deren Kapazität nach dem 30. Juni 2011 wesentlich erweitert wurde, bestimmen die Mitgliedstaaten gemäß Absatz 1 die Aktivitätsraten nur für die zusätzliche Kapazität der Anlagenteile, auf die sich die wesentliche Kapazitätserweiterung bezieht.

Für Anlagen, deren Kapazität nach dem 30. Juni 2011 wesentlich verringert wurde, bestimmen die Mitgliedstaaten gemäß Absatz 1 die Aktivitätsraten nur für die stillgelegte Kapazität der Anlagenteile, auf die sich die wesentliche Kapazitätsverringerung bezieht.

Artikel 19 Zuteilung an neue Marktteilnehmer

(1) Für die Zuteilung von Emissionszertifikaten an neue Marktteilnehmer, ausgenommen Zuteilungen an Anlagen gemäß Artikel 3 Buchstabe h dritter Gedankenstrich der Richtlinie 2003/87/EG, berechnen die Mitgliedstaaten die vorläufige jährliche Anzahl der bei Aufnahme des Normalbetriebs der Anlage kostenlos zuzuteilenden Emissionszertifikate wie folgt und für jeden Anlagenteil separat:

  1. Für jeden Anlagenteil mit Produkt-Benchmark entspricht die vorläufige jährliche Anzahl der für ein gegebenes Jahr kostenlos zuzuteilenden Emissionszertifikate dem Wert dieser Produkt-Benchmark, multipliziert mit der produktbezogenen Aktivitätsrate;
  2. für jeden Anlagenteil mit Wärme-Benchmark entspricht die vorläufige jährliche Anzahl der für ein gegebenes Jahr kostenlos zuzuteilenden Emissionszertifikate dem Wert der Benchmark für diese messbare Wärme gemäß Anhang I, multipliziert mit der wärmebezogenen Aktivitätsrate;
  3. für jeden Anlagenteil mit Brennstoff-Benchmark entspricht die vorläufige jährliche Anzahl der für ein gegebenes Jahr kostenlos zuzuteilenden Emissionszertifikate dem Wert der Brennstoff-Benchmark gemäß Anhang I, multipliziert mit der brennstoffbezogenen Aktivitätsrate;
  4. für jeden Anlagenteil mit Prozessemissionen entspricht die vorläufige jährliche Anzahl der für ein gegebenes Jahr kostenlos zuzuteilenden Emissionszertifikate der prozessbezogenen Aktivitätsrate, multipliziert mit 0,9700.

Für die Berechnung der vorläufigen jährlichen Anzahl der kostenlos zuzuteilenden Emissionszertifikate gelten sinngemäß Artikel 10 Absätze 4, 5 und 6 sowie Absatz 8 und die Artikel 11, 12, 13 und 14 dieses Beschlusses.

(2) Für unabhängig geprüfte Emissionen, die vor Aufnahme des Normalbetriebs erfolgt sind, werden dem neuen Marktteilnehmer auf Basis der in Tonnen CO2-Äquivalent angegebenen historischen Emissionen zusätzliche Zertifikate zugeteilt.

(3) Die vorläufige Jahresgesamtmenge der kostenlos zuzuteilenden Emissionszertifikate entspricht der Summe der gemäß Absatz 1 berechneten vorläufigen jährlichen Anzahl der allen Anlagenteilen kostenlos zuzuteilenden Emissionszertifikate und der zusätzlichen Zertifikate gemäß Absatz 2. Artikel 10 Absatz 7 zweiter Satz findet Anwendung.

(4) Die Mitgliedstaaten teilen der Kommission die vorläufige Jahresgesamtmenge der kostenlos zuzuteilenden Emissionszertifikate unverzüglich mit. Emissionszertifikate aus der gemäß Artikel 10a Absatz 7 der Richtlinie 2003/87/EG angelegten Reserve für neue Marktteilnehmer werden nach dem Windhundverfahren und unter Berücksichtigung des Datums des Eingangs dieser Mitteilung zugeteilt.

Die Kommission kann die vorläufige Jahresgesamtmenge der der betreffenden Anlage kostenlos zuzuteilenden Emissionszertifikate ablehnen. Lehnt die Kommission diese vorläufige Jahresgesamtmenge kostenlos zuzuteilender Emissionszertifikate nicht ab, so bestimmt der betreffende Mitgliedstaat die endgültige Jahresmenge der kostenlos zuzuteilenden Emissionszertifikate.

(5) Die endgültige Jahresmenge der kostenlos zuzuteilenden Emissionszertifikate entspricht der gemäß Absatz 3 berechneten vorläufigen Jahresgesamtmenge der jeder Anlage kostenlos zuzuteilenden Emissionszertifikate, die jährlich um den in Artikel 10a Absatz 7 der Richtlinie 2003/87/EG genannten linearen Kürzungsfaktor korrigiert wird, wobei die vorläufige Jahresgesamtmenge der der betreffenden Anlage für das Jahr 2013 kostenlos zuzuteilenden Emissionszertifikate als Bezugsgröße zugrunde gelegt wird.

(6) Sobald die Hälfte der für neue Marktteilnehmer gemäß Artikel 10a Absatz 7 der Richtlinie 2003/87/EG in Reserve gehaltenen Zertifikate, unbeschadet der gemäß Artikel 10a Absatz 8 der Richtlinie 2003/87/EG zur Verfügung gestellten Zertifikate, an neue Marktteilnehmer vergeben oder sobald absehbar ist, dass sie bis 2020 an neue Marktteilnehmer vergeben sein wird, prüft die Kommission, ob ein Warteschlangensystem eingerichtet werden sollte, um sicherzustellen, dass die Reserve auf faire Weise verwaltet wird.

Artikel 20 Zuteilung an neue Marktteilnehmer im Anschluss an eine wesentliche Kapazitätserweiterung

(1) Wurde die Kapazität einer Anlage nach dem 30. Juni 2011 wesentlich erweitert, so bestimmen die Mitgliedstaaten auf Antrag des Anlagenbetreibers und unbeschadet der Zuteilung an die Anlage gemäß Artikel 10 nach den Verfahrensvorschriften von Artikel 19 die Anzahl der speziell für die Kapazitätserweiterung kostenlos zuzuteilenden Emissionszertifikate.

(2) Zur Untermauerung der Zuteilungsentscheidung verpflichten die Mitgliedstaaten den Anlagenbetreiber, seinem Zuteilungsantrag Belege beizufügen, aus denen hervorgeht, dass die Kriterien für eine wesentliche Kapazitätserweiterung erfüllt wurden, und die Angaben gemäß Artikel 17 Absatz 3 zu übermitteln. Die Mitgliedstaaten verpflichten den Anlagenbetreiber insbesondere, nach einer wesentlichen Kapazitätserweiterung, die von einer Prüfstelle gemäß Artikel 8 mit zufrieden stellendem Ergebnis geprüft wurde, die zusätzliche Kapazität und die installierte Kapazität des betreffenden Anlagenteils mitzuteilen. Zum Zwecke der Bewertung anschließender wesentlicher Kapazitätsänderungen berücksichtigen die Mitgliedstaaten diese installierte Kapazität des Anlagenteils nach der wesentlichen Kapazitätserweiterung als installierte Anfangskapazität des Anlagenteils.

Artikel 21 Wesentliche Kapazitätsverringerung

(1) Wurde die Kapazität einer Anlage nach dem 30. Juni 2011 wesentlich verringert, so bestimmen die Mitgliedstaaten die Menge, um die die Anzahl der kostenlos zugeteilten Emissionszertifikate entsprechend gekürzt werden muss. Zu diesem Zweck verpflichten die Mitgliedstaaten den Anlagenbetreiber, nach einer wesentlichen Kapazitätsverringerung, die von einer Prüfstelle gemäß Artikel 8 mit zufrieden stellendem Ergebnis geprüft wurde, die stillgelegte Kapazität und die installierte Kapazität des Anlagenteils mitzuteilen. Zum Zwecke der Bewertung anschließender wesentlicher Kapazitätsänderungen berücksichtigen die Mitgliedstaaten diese installierte Kapazität des Anlagenteils nach der wesentlichen Kapazitätsverringerung als installierte Anfangskapazität des Anlagenteils.

(2) Die Mitgliedstaaten kürzen die vorläufige jährliche Anzahl der jedem Anlagenteil kostenlos zugeteilten Emissionszertifikate um die gemäß Artikel 19 Absatz 1 berechnete vorläufige jährliche Anzahl der dem betreffenden Anlagenteil kostenlos zuzuteilenden Emissionszertifikate, die der wesentlichen Kapazitätsverringerung entspricht.

Die Mitgliedstaaten bestimmen sodann nach der Methode, die zur Bestimmung der vorläufigen Jahresgesamtmenge vor der wesentlichen Kapazitätsverringerung angewendet wurde, die vorläufige Jahresgesamtmenge für die betreffende Anlage sowie die endgültige Jahresgesamtmenge der der betreffenden Anlage gemäß Artikel 10 Absatz 9 kostenlos zuzuteilenden Emissionszertifikate.

(3) Die Zuteilung an die Anlage wird ab dem Jahr korrigiert, das auf das Jahr der Kapazitätsverringerung folgt, bzw. ab 2013, wenn die wesentliche Kapazitätsverringerung vor dem 1. Januar 2013 erfolgt ist.

Artikel 22 Betriebseinstellungen

(1) Es wird davon ausgegangen, dass eine Anlage ihren Betrieb eingestellt hat, wenn eine oder mehrere der folgenden Bedingungen gegeben sind:

  1. Die Genehmigung zur Emission von Treibhausgasen, die Genehmigung gemäß der Richtlinie 2008/1/EG oder jede andere relevante Umweltgenehmigung ist abgelaufen;
  2. die Genehmigungen gemäß Buchstabe a wurden entzogen;
  3. der Betrieb der Anlage ist aus technischer Sicht unmöglich;
  4. die Anlage ist nicht in Betrieb, war jedoch zuvor in Betrieb, und der Betrieb kann aus technischen Gründen nicht wieder aufgenommen werden;
  5. die Anlage ist nicht in Betrieb, war jedoch zuvor in Betrieb, und der Anlagenbetreiber kann nicht garantieren, dass diese Anlage ihren Betrieb innerhalb von maximal sechs Monaten nach der Betriebseinstellung wieder aufnehmen wird. Die Mitgliedstaaten können diese Frist auf bis zu 18 Monate verlängern, wenn der Anlagenbetreiber nachweisen kann, dass die Anlage den Betrieb aufgrund außergewöhnlicher und unvorhersehbarer Umstände, die selbst bei aller gebührenden Sorgfalt nicht hätten verhindert werden können und die außerhalb der Kontrolle des Betreibers der betreffenden Anlage liegen, und insbesondere aufgrund von Umständen wie Naturkatastrophen, Krieg, Kriegsdrohungen, Terroranschlägen, Revolutionen, Unruhen, Sabotageakten oder Sachbeschädigungen, innerhalb von sechs Monaten nicht wieder aufnehmen kann.

(2) Absatz 1 Buchstabe e gilt weder für Anlagen, die in Reserve oder Bereitschaft gehalten werden, noch für Saisonanlagen, sofern jede der folgenden Bedingungen gegeben ist:

  1. Der Anlagenbetreiber ist im Besitz einer Genehmigung zur Emission von Treibhausgasen sowie aller anderen relevanten Genehmigungen;
  2. es ist technisch möglich, die Anlage in Betrieb zu nehmen, ohne dass hierzu physische Änderungen erforderlich sind;
  3. die Anlage wird regelmäßig gewartet.

(3) Hat eine Anlage ihren Betrieb eingestellt, so stellt der betreffende Mitgliedstaat ab dem Jahr, das auf das Jahr der Betriebseinstellung folgt, die Vergabe von Emissionszertifikaten an diese Anlage ein.

(4) Die Mitgliedstaaten können die Vergabe von Emissionszertifikaten an Anlagen gemäß Absatz 1 Buchstabe e aussetzen, solange nicht feststeht, ob die Anlage ihren Betrieb wieder aufnehmen wird.

Artikel 23 Teilweise Betriebseinstellungen

(1) Es wird davon ausgegangen, dass eine Anlage ihren Betrieb teilweise eingestellt hat, wenn ein Anlagenteil, dem mindestens 30 % der der Anlage endgültig jährlich kostenlos zugeteilten Emissionszertifikate zufallen, oder dem über 50 000 Zertifikate zugeteilt wurden, seine Aktivitätsrate in einem gegebenen Kalenderjahr gegenüber der Aktivitätsrate, die für die Berechnung der Zuteilung an den Anlagenteil gemäß Artikel 9 oder gegebenenfalls Artikel 18 zugrunde gelegt wurde (im Folgenden "Anfangsaktivitätsrate" genannt), um mindestens 50 % verringert.

(2) Die Zuteilung von Emissionszertifikaten an eine Anlage, die ihren Betrieb teilweise einstellt, wird ab dem Jahr, das auf das Jahr folgt, in dem die teilweise Betriebseinstellung erfolgt ist, oder ab 2013, wenn die teilweise Betriebseinstellung vor dem 1. Januar 2013 erfolgt ist, wie folgt korrigiert:

Wird die Aktivitätsrate des Anlagenteils gemäß Absatz 1 gegenüber der Anfangsaktivitätsrate um 50 % bis 75 % verringert, so erhält der Anlagenteil nur die Hälfte der anfänglich zugeteilten Zertifikate.

Wird die Aktivitätsrate des Anlagenteils gemäß Absatz 1 gegenüber der Anfangsaktivitätsrate um 75 % bis 90 % verringert, so erhält der Anlagenteil nur 25 % der anfänglich zugeteilten Zertifikate.

Wird die Aktivitätsrate des Anlagenteils gemäß Absatz 1 gegenüber der Anfangsaktivitätsrate um 90 % oder mehr verringert, so werden diesem Anlagenteil überhaupt keine Zertifikate kostenlos zugeteilt.

(3) Erreicht der Anlagenteil gemäß Absatz 1 eine Aktivitätsrate von über 50 % der Anfangsaktivitätsrate, so erhält die Anlage, die ihren Betrieb teilweise eingestellt hat, ab dem Jahr, das auf das Kalenderjahr folgt, in dem die Aktivitätsrate des Anlagenteils gemäß Absatz 1 den Schwellenwert von 50 % überschritten hat, die ihr anfänglich zugeteilten Zertifikate.

(4) Erreicht der Anlagenteil gemäß Absatz 1 eine Aktivitätsrate von über 25 % der Anfangsaktivitätsrate, so erhält die Anlage, die ihren Betrieb teilweise eingestellt hat, ab dem Jahr, das auf das Kalenderjahr folgt, in dem die Aktivitätsrate des Anlagenteils gemäß Absatz 1 den Schwellenwert von 25 % überschritten hat, die Hälfte der ihr anfänglich zugeteilten Zertifikate.

Artikel 24 Änderungen des Betriebs einer Anlage

(1) Die Mitgliedstaaten tragen dafür Sorge, dass alle relevanten Informationen über geplante oder tatsächliche Änderungen der Kapazität, der Aktivitätsrate und des Betriebs einer Anlage vom Anlagenbetreiber bis zum 31. Dezember jedes Jahres an die zuständige Behörde übermittelt werden.

(2) Bei Änderungen der Kapazität, der Aktivitätsrate und des Betriebs einer Anlage, die die Zuteilung an diese Anlage beeinflussen, übermitteln die Mitgliedstaaten der Kommission anhand einer von der Kommission zur Verfügung gestellten elektronischen Vorlage alle relevanten Informationen, einschließlich der gemäß diesem Beschluss berechneten geänderten vorläufigen Jahresgesamtmenge der dieser Anlage kostenlos zuzuteilenden Emissionszertifikate, bevor die endgültige Jahresgesamtmenge der kostenlos zuzuteilenden Emissionszertifikate berechnet wird. Die Kommission kann die geänderte vorläufige Jahresgesamtmenge der dieser Anlage kostenlos zuzuteilenden Emissionszertifikate ablehnen.

Kapitel V
Schlussbestimmungen

Artikel 25 Adressaten

Dieser Beschluss ist an die Mitgliedstaaten gerichtet.

Brüssel, den 27. April 2011

1) ABl. L 275 vom 25.10.2003 S. 32.

2) ABl. L 24 vom 29.01.2008 S. 8.

3) ABl. L 229 vom 31.08.2007 S. 1.

4) ABl. L 1 vom 05.01.2010 S. 10.

5) ABl. L 135 vom 30.04.2004 S. 1.

.

Produkt-Benchmarks Anhang I 11 14


1. Festlegung von Produkt-Benchmarks und Systemgrenzen ohne Berücksichtigung der Austauschbarkeit von Brennstoffen und Strom

Produkt-
Benchmark
Einbezogene Produkte Einbezogene Verfahren und Emissionen
(Systemgrenzen)
Für die Jahre
2013 und 2014
festgestelltes
Risiko der
Verlagerung von
CO2-Emissionen
gemäß dem
Beschluss 2010/2/EU
Benchmark-
wert
(Zertifikate/t)
Koks Koks (Erzeugnis aus der Kohleverkokung unter Hochtemperatur) oder Gaskoks (Nebenerzeugnis von Gaswerken), ausgedrückt in Tonnen Trockenkoks. Braunkohlekoks fällt nicht unter diese Benchmark. Einbezogen sind alle Prozesse, die direkt oder indirekt mit folgenden Prozesseinheiten in Zusammenhang stehen: Koksöfen, H2S- bzw. NH3-Verbrennungsanlage, Kohlevorwärmung (Auftauen), Koksgas-Absaugung, Entschwefelungsanlage, Destillationsanlage, Dampfgenerator, Druckkontrolle in den (Koks-) Batterien, biologische Wasserbehandlung, Erwärmung von Nebenerzeugnissen und Wasserstoffseparator. Die Kokereigaswäsche ist einbezogen. Ja 0,286
Eisenerzsinter Agglomerierteseisenhaltiges Produkt aus feinkörnigem Eisenerz, Flussmitteln und eisenhaltigem Recyclingmaterial mit den chemischen und physikalischen Eigenschaften (Basizitätswert, Druckfestigkeit und Durchlässigkeit), die erforderlich sind, um Eisen und die notwendigen Flussmittel in den Prozess der Eisenerzreduktion einzubringen. Einbezogen sind sämtliche Prozesse, die direkt oder indirekt mit folgenden Prozesseinheiten in Zusammenhang stehen: Sinterband, Zündung, Einrichtungen für die Sintergutvorbereitung, Heißsieb, Sinterkühler, Kaltsieb und Dampfgenerator. Ja 0,171
Flüssiges Roheisen Kohlenstoff gesättigte Eisenschmelze für die Weiterverarbeitung Einbezogen sind sämtliche Prozesse, die direkt oder indirekt mit folgenden Prozesseinheiten in Zusammenhang stehen: Hochofen, Einrichtungen für die Roheisenbehandlung, Hochofengebläse, Hochofenwinderhitzer, Sauerstoffkonverter, Sekundärmetallurgie, Vakuumanlagen, Guss (und Schneiden), Schlackenaufbereitung, Möllervorbereitung, Gichtgaswäsche, Entstaubung, Schrottvorwärmung, Kohletrocknung für das Einblasen von Feinkohlestaub, Behältervorheizung, Vorwärmeinrichtungen für gegossene Blöcke, Drucklufterzeugung, Staubverarbeitung (Brikettierung), Schlammverarbeitung (Brikettierung), Dampfinjektion im Hochofen, Dampfgenerator, Konvertergaskühlung, und Verschiedenes. Ja 1,328
Vorgebrannte Anoden Anoden für die Aluminiumelektrolyse, bestehend aus Petrolkoks, Pech und normal recycelten Anoden, die speziell für einen bestimmten Elektrolyse-Zelltyp geformt und in Anodenbrennöfen bei einer Temperatur von etwa 1.150 °C gebrannt werden. Einbezogen sind sämtliche Prozesse, die direkt oder indirekt mit der Herstellung von vorgebrannten Anoden in Zusammenhang stehen. Ja 0,324
Aluminium Nichtlegiertes flüssiges Aluminium in Rohform aus der Elektrolyse Einbezogen sind sämtliche Prozesse, die direkt oder indirekt mit der Produktionsstufe Elektrolyse in Zusammenhang stehen. Ja 1,514
Grauzementklinker Grauzementklinker als insgesamt produzierte Klinkermenge Einbezogen sind sämtliche Prozesse, die direkt oder indirekt mit der Herstellung von Grauzementklinker in Zusammenhang stehen. Ja 0,766
Weißzementklinker Weißzementklinker für den Einsatz als Hauptbindemittel in der Formulierung von Materialien wie Fugenfüller, Fliesenkleber, Dämmmittel und Verankerungsmörtel, Industriebodenmörtel, Verput-Fertigmischung, Reparaturmörtel und wasserdichte Beschichtungen mit einem Durchschnittsanteil von höchstens 0,4 Massen-% Fe2O3, 0,003 Massen-% Cr2O3 und 0,03 Massen-% MnO3 Einbezogen sind sämtliche Prozesse, die direkt oder indirekt mit der Herstellung von Weißzementklinker in Zusammenhang stehen. Ja 0,987
Kalk Branntkalk: Durch Brennen von Kalkstein (CaCO3) gewonnenes Calciumoxid (CaO) als Kalk in Standardreinheit mit einem Gehalt an freiem CaO von 94, 5 %. Kalk, der in ein und derselben Anlage hergestellt und für Reinigungsverfahren verbraucht wird, fällt nicht unter diese Produkt-Benchmark. Einbezogen sind sämtliche Prozesse, die direkt oder indirekt mit der Herstellung von Kalk in Zusammenhang stehen. Ja 0,954
Dolomitkalk Dolomitkalk ist gebrannter Dolomit als eine Mischung von Calcium- und Magnesiumoxid und wird durch das Brennen von Dolomit (CaCO3.MgCO3) gewonnen. Der Rest- CO2-Gehalt beträgt mehr als 0,25 %, der Gehaltanfreiem MgO 25 % bis 40 %.Die Schüttdichte des Handelserzeugnisses liegt unter 3,05 g/cm3.

Dolomitkalk wird in Standardreinheit mit einem Gehalt an freiem CaO von 57,4 % und an freiem MgO von 38,0 % ausgedrückt.

Einbezogen sind sämtliche Prozesse, die direkt oder indirekt mit der Produktion von Dolomitkalk in Zusammenhang stehen. Ja 1,072
Sinterdolomit Mischung aus Calcium- und Magnesiumoxid, die ausschließlich für die Herstellung von feuerfesten Steinen und anderen feuerfesten Erzeugnissen verwendet wird, mit einer Schüttdichte von mindestens 3,05 g/cm3. Einbezogen sind sämtliche Prozesse, die direkt oder indirekt mit der Produktion von Sinterdolomit in Zusammenhang stehen. Ja 1,449
Floatglas Float-, Matt-, poliertes Glas (in Tonnen Glas aus dem Kühlofen). Einbezogen sind sämtliche Prozesse, die direkt oder indirekt mit den Produktionsschritten Schmelzofen, Läuterbereich, Arbeitswanne, Floatbad und Kühlofen in Zusammenhang stehen. Ja 0,453
Flaschen und Behälter aus farblosem Glas Flaschen für Nahrungsmittel und Getränke aus farblosem Glas mit einem Nenninhalt von < 2,5 l (keine Flaschen mit einem Überzug aus Leder oder rekonstituiertem Leder, keine Babyflaschen), ausgenommen hochweißes Flintglas mit einem Eisenoxidgehalt, ausgedrückt in Gewichtsprozent Fe2O3, von weniger als 0,03 % und den Farbkoordinaten L im Bereich 100 bis 87, a im Bereich 0 bis -5 und b im Bereich 0 bis 3 (unter Anwendung des von der Internationalen Beleuchtungskommission empfohlenen CIE-Lab-Systems), ausgedrückt in Tonnen verpacktes Erzeugnis. Einbezogen sind sämtliche Prozesse, die direkt oder indirekt mit den Produktionsschritten Materialhandhabung, Schmelzen, Formen, Weiterverarbeitung, Verpackung und sonstigen Tätigkeiten in Zusammenhang stehen. Ja 0,382
Flaschen und Behälter aus Farbglas Flaschen für Nahrungsmittel und Getränke aus Farbglas mit einem Nenninhalt von < 2,5 l (keine Flaschen mit einem Überzug aus Leder oder rekonstituiertem Leder, keine Babyflaschen), ausgedrückt in Tonnen verpacktes Erzeugnis Einbezogen sind sämtliche Prozesse, die direkt oder indirekt mit den Produktionsschritten Materialhandhabung, Schmelzen, Formen, Weiterverarbeitung, Verpackung und sonstigen Tätigkeiten in Zusammenhang stehen. Ja 0,306
Produkte aus Endlosglasfasern Geschmolzenes Glas für die Herstellung von Produkten aus Endlosglasfasern, namentlich Kurzglasfasern (chopped strands), Fasersträngen (Rovings), Glasgarnen und Glasstapelfasern sowie Glasfasermatten ((ausgedrückt in Tonnen Glasschmelze aus dem Vorherd).

Mineralwolleprodukte für Wärme- und Schalldämmung sowie Brandschutz sind nicht einbezogen.

Einbezogen sind sämtliche Prozesse, die direkt oder indirekt mit den Produktionsprozessen Schmelzen von Glas in den Schmelzöfen und Glaskonditionierung in den Vorherden in Zusammenhang stehen. Die weitere Verarbeitung der Fasern in marktfähige Produkte fällt nicht unter diese Produkt-Benchmark. Ja 0,406
Vormauerziegel Vormauerziegel mit einer Dichte von mehr als 1.000 kg/m3 für Mauerwerk gemäßEN771-1, ausgenommen Pflasterziegel, Klinker und blaugedämpfte Vormauerziegel. Einbezogen sind sämtliche Prozesse, die direkt oder indirekt mit den Produktionsprozessen Aufbereiten und Mischen der Rohstoffe, Formen, Trocknen der Rohlinge, Brennen der Ziegel, Fertigstellung des Produkts und Abgaswäsche in Zusammenhang stehen. Ja 0,139
Pflasterziegel Tonziegel für Bodenbeläge gemäß EN 1344. Einbezogen sind sämtliche Prozesse, die direkt oder indirekt mit den Produktionsprozessen Aufbereiten und Mischen der Rohstoffe, Formen, Trocknen der Rohlinge, Brennen der Ziegel, Fertigstellung des Produkts und Abgaswäsche in Zusammenhang stehen. Ja 0,192
Dachziegel Tondachziegel gemäß EN 1304:2005, ausgenommen blaugedämpfte Dachziegel und Zubehör. Einbezogen sind sämtliche Prozesse, die direkt oder indirekt mit den Produktionsprozessen Aufbereiten und Mischen der Rohstoffe, Formen, Trocknen der Rohlinge, Brennen der Ziegel, Fertigstellung des Produkts und Abgaswäsche in Zusammenhang stehen. JA 0,144


Produkt-
Benchmark
Einbezogene Produkte Einbezogene Verfahren und Emissionen
(Systemgrenzen)
Für die Jahre
2013 und 2014
festgestelltes
Risiko der
Verlagerung von
CO2-Emissionen
gemäß dem
Beschluss 2010/2/EU
Benchmark-
wert
(Zertifikate/t)
Sprühgetrocknetes Pulver Sprühgetrocknetes Pulver für die Herstellung von trockengepressten Wand- und Bodenfliesen, in Tonnen erzeugtes Pulver. Einbezogen sind sämtliche Prozesse, die direkt oder indirekt mit der Herstellung von sprühgetrocknetem Pulver in Zusammenhang stehen. Ja 0,076
Gips Gips aus gebranntem Gipsstein oder Calciumsulfat (einschließlich für Bauzwecke, zum Appretieren von Geweben und Papier, für zahnärztliche Zwecke und für die Bodenmelioration) in Tonnen Stuckgips. Alphagips fällt nicht unter diese Benchmark. Einbezogen sind sämtliche Prozesse, die direkt oder indirekt mit den Produktionsschritten Zermahlen, Trocknen und Brennen in Zusammenhang stehen. Ja 0,048
Getrockneter Sekundärgips Getrockneter Sekundärgips (synthetischer Gips, der als recyceltes Nebenprodukt der Stromindustrie oder als Recyclingmaterial aus Bauabfällen und -schutt anfällt), ausgedrückt in Tonnen des Produkts. Einbezogen sind sämtliche Prozesse, die direkt oder indirekt mit dem Trocknen von Sekundärgips in Zusammenhang stehen. Ja 0,017
Kurzfaser- Sulfatzellstoff Kurzfaser-Sulfatzellstoff ist ein Faserstoff, der mit dem auf dem Einsatz von Kochlauge basierenden Sulfatverfahren gewonnen wird und eine Faserlänge von 1-1,5 mm aufweist. Er wird überwiegend für Produkte verwendet, für die eine besondere Glätte und Grammatur erforderlich ist, wie Tissuepapier und Druckpapier. Die

Benchmark wird ausgedrückt als marktfähige Nettoproduktion in Adt (Air dried tonnes - Tonnen, lufttrocken).

Einbezogen sind sämtliche Prozesse, die Teil des Zellstoffproduktionsprozesses sind (insbesondere Aufschlussanlage, Laugenrückgewinnungskessel, Zellstofftrocknung und Kalkofen sowie angeschlossene Anlagen zur Energieumwandlung (Kessel/KWK). Andere Tätigkeiten am Anlagenstandort, die nicht Teil dieses Prozesses sind, wie Sägereiarbeiten, Holzverarbeitung, Erzeugung von für den Verkauf bestimmten Chemikalien, Abfallbehandlung (interne statt externer Abfallbehandlung (Trocknen, Pelletieren, Verbrennen, Einlagern in Deponie), Erzeugung von synthetischem Calciumcarbonat (PCC - precipitated calcium carbonate), Behandlung übelriechender Gase und Fernwärme sind nicht einbezogen. Ja 0,12
Sulfitzellstoff, thermo- mechanischer und mechanischer Holzstoff Durch ein besonderes Aufschlussverfahren, z.B. durch Kochen von Hackschnitzeln mit Bisulfitlauge unter Druck gewonnener Zellstoff (Sulfitzellstoff), ausgedrückt als marktfähige Nettoproduktion in Adt. Sulfitzellstoff kann gebleicht oder ungebleicht sein.

Qualitäten von mechanischem Holzstoff: TMP (thermomechanischer Holzstoff) und Holzschliff als marktfähige Nettoproduktion in Adt. Mechanischer Holzstoff kann gebleicht oder ungebleicht sein.

Nicht unter diese Gruppe fallen die kleineren Untergruppen halbchemischer Holzstoff und CTMP (chemisch-thermomechanischer Holzstoff) und Chemiezellstoff.

Einbezogen sind sämtliche Prozesse, die Teil des Zellstoffproduktionsprozesses sind (insbesondere Aufschlussanlage, Laugenrückgewinnungskessel, Zellstofftrocknung und Kalkofen sowie angeschlossene Anlagen zur Energieumwandlung (Kessel/KWK). Andere Tätigkeiten am Anlagenstandort, die nicht Teil dieses Prozesses sind, wie Sägereiarbeiten, Holzverarbeitung, Erzeugung von für den Verkauf bestimmten Chemikalien, Abfallbehandlung (interne statt externer Abfallbehandlung (Trocknen, Pelletieren, Verbrennen, Einlagern in Deponie), Erzeugung von synthetischem Calciumcarbonat (PCC), Behandlung übelriechender Gase und Fernwärme sind nicht einbezogen. Ja 0,02
Zellstoff aus wiederaufbereitetem Papier Zellstoff aus Fasern, die aus Wiederaufbereitetem Papier Oder Pappe(Altpapier bzw. -pappe und Ausschuss) oder anderen cellulosehaltigen Faserstoffen gewonnen wurden, ausgedrückt als marktfähige Nettoproduktion in Adt. Einbezogen sind sämtliche Prozesse, die Teil der Zellstoffproduktion aus wieder aufbereitetem Papier sind, sowie angeschlossene Anlagen zur Energieumwandlung (Kessel/KWK). Andere Tätigkeiten am Anlagenstandort, die nicht Teil dieses Prozesses sind, wie Sägereiarbeiten, Holzverarbeitung, Erzeugung von für den Verkauf bestimmten Chemikalien, Abfallbehandlung (interne statt externer Abfallbehandlung (Trocknen, Pelletieren, Verbrennen, Einlagern in Deponie), Erzeugung von synthetischem Calciumcarbonat (PCC), Behandlung übelriechender Gase und Fernwärme sind nicht einbezogen. Ja 0,039
Zeitungsdruckpapier Besondere Papierart (in Rollen oder Bögen) für den Druck von Zeitungen, ausgedrückt als marktfähige Nettoproduktion in Adt. Das Papier wird aus Holzschliff und/oder mechanischem Holzstoff oder recycelten Fasern oder einer beliebigen Kombination aus beidem hergestellt. Die Grammatur liegt in der Regel zwischen 40 und 52 g/m2, kann jedoch auch 65 g/m2 erreichen. Zeitungsdruckpapier ist maschinenglatt oder leicht kalandriert, weiß oder leicht farbig und wird in Rollen für Hoch-, Offset- oder Flexodruck verwendet. Einbezogen sind sämtliche Prozesse, die Teil der Papierherstellung sind (insbesondere Papier- oder Kartonmaschine sowie angeschlossene Anlagen zur Energieumwandlung (Kessel/KWK) und direkt für den Produktionsprozess verwendeter Brennstoff). Andere Tätigkeiten am Anlagenstandort, die nicht Teil dieses Prozesses sind, wie Sägereiarbeiten, Holzverarbeitung, Erzeugung von für den Verkauf bestimmten Chemikalien, Abfallbehandlung (interne statt externer Abfallbehandlung (Trocknen, Pelletieren, Verbrennen, Einlagern in Deponie), Erzeugung von synthetischem Calciumcarbonat (PCC), Behandlung übelriechender Gase und Fernwärme sind nicht einbezogen. Ja 0,298
Ungestrichenes Feinpapier Ungestrichenes Feinpapier (umfasst sowohl ungestrichenes mechanisches als auch ungestrichenes holzfreies Papier), ausgedrückt als marktfähige Nettoproduktion in Adt:
  1. Ungestrichenes holzfreies Papier, das für Druck- und andere Grafikzwecke geeignet ist und aus verschiedenen überwiegend aus Frisch- fasern bestehenden Mischungen hergestellt wird, in unterschiedlichem Maße mineralische Füllstoffe enthält und unterschiedlich nachbehandelt wird. Zu dieser Papierart gehören die meisten Büropapiere wie Geschäftsdrucksachen, Kopier-, Computer-, Brief- und Werkdruckpapier.
  2. Ungestrichenes mechanisches Papier ist aus mechanischem Holzstoff hergestelltes Papier, das für Verpackungen, Grafikzwecke oder Zeitschriften verwendet wird.
Einbezogen sind sämtliche Prozesse, die Teil der Papierherstellung sind (insbesondere Papier- oder Kartonmaschine sowie angeschlossene Anlagen zur Energieumwandlung (Kessel/KWK) und direkt für den Produktionsprozess verwendeter Brennstoff). Andere Tätigkeiten am Anlagenstandort, die nicht Teil dieses Prozesses sind, wie Sägereiarbeiten, Holzverarbeitung, Erzeugung von für den Verkauf bestimmten Chemikalien, Abfallbehandlung (interne statt externer Abfallbehandlung (Trocknen, Pelletieren, Verbrennen, Einlagern in Deponie), Erzeugung von synthetischem Calciumcarbonat (PCC), Behandlung übelriechender Gase und Fernwärme sind nicht einbezogen. Ja 0,318
Gestrichenes Feinpapier Gestrichenes Feinpapier(umfasst sowohl gestrichenes mechanisches als auch gestrichenes holzfreies Papier), ausgedrückt als marktfähige Nettoproduktion in Adt:
  1. Gestrichenes holzfreies Papier aus vorwiegend durch ein chemisches Aufschlussverfahren gewonnenen Fasern, das im Prozessablauf gestrichen wird und für verschiedene Verwendungszwecke geeignet ist(auch bekannt als WFC-Papier).

    Diese Gruppekonzentriert sich im Wesentlichen auf Druckpapier.

  2. Gestrichenes mechanisches Papier aus mechanischem Holzstoff, das für Grafikzwecke und Zeitschriften verwendet wird. Diese Gruppe wird auch als gestrichenes Holzschliffpapier bezeichnet.
Einbezogen sind sämtliche Prozesse, die Teil der Papierherstellung sind (insbesondere Papier- oder Kartonmaschine sowie angeschlossene Anlagen zur Energieumwandlung (Kessel/KWK) und direkt für den Produktionsprozess verwendeter Brennstoff). Andere Tätigkeiten am Anlagenstandort, die nicht Teil dieses Prozesses sind, wie Sägereiarbeiten, Holzverarbeitung, Erzeugung von für den Verkauf bestimmten Chemikalien, Abfallbehandlung (interne statt externer Abfallbehandlung (Trocknen, Pelletieren, Verbrennen, Einlagern in Deponie), Erzeugung von synthetischem Calciumcarbonat (PCC), Behandlung übelriechender Gase und Fernwärme sind nicht einbezogen. Ja 0,318
Tissuepapier Tissuepapier, ausgedrückt als marktfähige Nettoproduktion in Mutterrollen, umfasst eine breite Palette von Tissue- und anderen Hygienepapieren für den Haushalt oder für gewerbliche oder industrielle Einrichtungen (Toilettenpapier, Kosmetiktücher, Küchenwischtücher, Papierhandtücher und Industriewischtücher, für die Herstellung von Babywindeln, Hygienebinden usw. Hygienepapier, das im Durchströmverfahren getrocknet wurde (TAD-Tissue) gehört nicht zu dieser Gruppe. Einbezogen sind sämtliche Prozesse, die Teil der Papierherstellung sind (insbesondere Papier- oder Kartonmaschine sowie angeschlossene Anlagen zur Energieumwandlung (Kessel/KWK) und direkt für den Produktionsprozess verwendeter Brennstoff). Andere Tätigkeiten am Anlagenstandort, die nicht Teil dieses Prozesses sind, wie Sägereiarbeiten, Holzverarbeitung, Erzeugung von für den Verkauf bestimmten Chemikalien, Abfallbehandlung (interne statt externer Abfallbehandlung (Trocknen, Pelletieren, Verbrennen, Einlagern in Deponie), Erzeugung von synthetischem Calciumcarbonat (PCC), Behandlung übelriechender Gase und Fernwärme sind nicht einbezogen. Die Weiterverarbeitung von der Mutterrolle in Endprodukte ist nicht Teil dieser Produkt-Benchmark. Ja 0,334
Testliner und Fluting Testliner und Fluting, ausgedrückt als marktfähige Nettoproduktion in Adt:
  1. Testliner sind Pappesorten, die bestimmte, von der Verpackungsindustrie vorgegebene Tests bestehen und sich als Decklage von Wellpappe für Versandkartons eignen. Testliner werden überwiegend aus Recyclingfasern hergestellt.
  2. Fluting bezeichnet bei Versandkartons aus Wellpappe die Zwischenschicht zwischen den beiden Decklagen (Testliner/Kraftliner). Fluting besteht überwiegend aus Papier aus Recyclingfasern, unter diese Gruppe fällt aber auch Pappe aus chemischem und halbchemischem Holzstoff.
Einbezogen sind sämtliche Prozesse, die Teil der Papierherstellung sind (insbesondere Papier- oder Kartonmaschine sowie angeschlossene Anlagen zur Energieumwandlung (Kessel/KWK) und direkt für den Produktionsprozess verwendeter Brennstoff). Andere Tätigkeiten am Anlagenstandort, die nicht Teil dieses Prozesses sind, wie Sägereiarbeiten, Holzverarbeitung, Erzeugung von für den Verkauf bestimmten Chemikalien, Abfallbehandlung (interne statt externer Abfallbehandlung (Trocknen, Pelletieren, Verbrennen, Einlagern in Deponie), Erzeugung von synthetischem Calciumcarbonat (PCC), Behandlung übelriechender Gase und Fernwärme sind nicht einbezogen. Ja 0,248
Ungestrichener Karton Diese Benchmark schließt eine breite Palette ungestrichener Produkte ein (ausgedrückt als marktfähige Nettoproduktion in Adt), die einzel- oder mehrlagig sein können. Ungestrichener Karton wird vorwiegend für Verpackungszwecke verwendet, bei denen vor allem Stärke und Steifigkeit gefragt sind, während der gewerbliche Aspekt als Informationsträger zweitrangig ist. Karton wird aus Frisch- und/oder Altfasern hergestellt, hat gute Falteigenschaften, hohe Steifigkeit sowie Rillfähigkeit. Er wird vor allem zur Verpackung von Verbrauchsgütern wie Tiefkühlkost, Kosmetika oder für Flüssigkeitsbehälter verwendet. Wird auch als Vollpappe, Faltschachtelkarton, Kartonagenpappe, Verpackungskarton, Wickelkarton oder Wickelpappe bezeichnet. Einbezogen sind sämtliche Prozesse, die Teil der Papierherstellung sind (insbesondere Papier- oder Kartonmaschine sowie angeschlossene Anlagen zur Energieumwandlung (Kessel/KWK) und direkt für den Produktionsprozess verwendeter Brennstoff). Andere Tätigkeiten am Anlagenstandort, die nicht Teil dieses Prozesses sind, wie Sägereiarbeiten, Holzverarbeitung, Erzeugung von für den Verkauf bestimmten Chemikalien, Abfallbehandlung (interne statt externer Abfallbehandlung (Trocknen, Pelletieren, Verbrennen, Einlagern in Deponie), Erzeugung von synthetischem Calciumcarbonat (PCC), Behandlung übelriechender Gase und Fernwärme sind nicht einbezogen. Ja 0,237
Gestrichener Karton Diese Benchmark schließt eine breite Palette gestrichener Produkte ein (ausgedrückt als marktfähige Nettoproduktion in Adt) ein, die einzel- oder mehrlagig sein können. Gestrichener Karton wird vorwiegend für Gewerbezwecke verwendet, bei denen die Produktangaben auf der Verpackung von Nahrungsmitteln, Arzneimitteln, Kosmetika und Sonstigem in den Ladenregalen sichtbar sein müssen. Karton wird aus Frisch- und/oder Recyclingfasern hergestellt, und hat gute Falteigenschaften, hohe Steifigkeit sowie Rillfähigkeit. Er wird vor allem zur Verpackung von Verbrauchsgütern wie Tiefkühlkost, Kosmetika oder für Flüssigkeitsbehälter verwendet. Wird auch als Vollpappe, Faltschachtelkarton, Kartonagenpappe, Verpackungskartonoder Wickelkarton bezeichnet. Einbezogen sind sämtliche Prozesse, die Teil der Papierherstellung sind (insbesondere Papier- oder Kartonmaschine sowie angeschlossene Anlagen zur Energieumwandlung (Kessel/KWK) und direkt für den Produktionsprozess verwendeter Brennstoff). Andere Tätigkeiten am Anlagenstandort, die nicht Teil dieses Prozesses sind, wie Sägereiarbeiten, Holzverarbeitung, Erzeugung von für den Verkauf bestimmten Chemikalien, Abfallbehandlung (interne statt externer Abfallbehandlung (Trocknen, Pelletieren, Verbrennen, Einlagern in Deponie), Erzeugung von synthetischem Calciumcarbonat (PCC), Behandlung übelriechender Gase und Fernwärme sind nicht einbezogen. Ja 0,273
Salpetersäure Salpetersäure (HNO3), zu erfassen in Tonnen HNO3 (100 %). Einbezogen sind sämtliche Prozesse, die direkt oder indirekt mit der Erzeugung des Produkts, für das die Benchmark gilt, sowie mit der Zerstörung von N2O in Zusammenhang stehen, ausgenommen die Ammoniakerzeugung. Ja 0,302
Adipinsäure Adipinsäure, zuerfassen als Tonnen getrocknete gereinigte Adipinsäure in Speichersilos oder in Bigbags oder Säcke verpackt. Einbezogen sind sämtliche Prozesse, die direkt oder indirekt mit der Erzeugung des Produkts, für das die Benchmark gilt, sowie mit der Zerstörung von N2O in Zusammenhang stehen. Ja 2,79
Vinylchloridmonomer (VCM) Vinylchlorid (Chlorethylen) Einbezogen sind sämtliche Prozesse, die direkt oder indirekt mit den Produktionsschritten Direktchlorierung, Oxychlorierung und Cracken von Ethylendichlorid zu VCM in Zusammenhang stehen. Ja 0,204
Phenol/Aceton Gesamtproduktion von Phenol, Aceton und dem Nebenprodukt Alphamethylstyrol (AMS) zusammen. Einbezogen sind sämtliche Prozesse, die direkt oder indirekt mit der Herstellung von Phenol und Aceton in Zusammenhang stehen. Dazu gehören namentlich Drucklufterzeugung, Hydroperoxidierung, Cumolrückgewinnung aus der Abluft, Aufkonzentration und Spaltung, Fraktionierung und Reinigung, Teercracking, Rückgewinnung und Reinigung von Acetophenon, Rückgewinnung von AMS zur Abgabe aus der Anlage, AMS-Hydrierung zwecks Recycling innerhalb der Systemgrenzen, erste Abwasserreinigung (1. Wasserwäsche), Kühlwassererzeugung (z.B. Kühltürme), Kühlwassereinsatz (Umlaufpumpen), Fackeln und Verbrennungsanlagen (auch physisch außerhalb de Systemgrenzen gelegene) sowie Brennstoffverbrauch für Hilfstätigkeiten. Ja 0,266
S-PVC Polyvinylchlorid; nicht gemischt mit anderen Stoffen, bestehend aus PVC-Partikeln mit einer mittleren Größe von 50-200 µm. Einbezogen sind sämtliche Prozesse, die direkt oder indirekt mit der Produktion von S-PVC in Zusammenhang stehen, ausgenommen die Erzeugung von VCM. Ja 0,085
E-PVC Polyvinylchlorid; nicht gemischt mit anderen Stoffen, bestehend aus PVC-Partikeln mit einer mittleren Größe von 0, 1-3 µm. Einbezogen sind sämtliche Prozesse, die direkt oder indirekt mit der Produktion von E-PVC in Zusammenhang stehen, ausgenommen die Erzeugung von VCM. Ja 0,238
Soda Natriumcarbonat als Bruttogesamtproduktion, ausgenommen Schwersoda, das als Nebenerzeugnis in einem Caprolactam-Produktionsnetz anfällt. Einbezogen sind sämtliche Prozesse, die direkt oder indirekt mit folgenden Prozesseinheiten in Zusammenhang stehen: Reinigung der Salzlösung, Kalkofen und Kalkmilcherzeugung, Ammoniakabsorption, Ausfällen von NaHCO3, Ausfiltern oder Separieren der NaHCO3-Kristalle aus der Mutterlösung, Aufspaltung von NaHCO3 zu Na2CO3, Ammoniakrückgewinnung und Verdichtung oder Gewinnung von Schwersoda. Ja 0,843

Soweit nicht anders angegeben beziehen sich alle Produkt-Benchmarks auf 1 Tonne erzeugtes Produkt, ausgedrückt als marktfähige (Netto-) Produktion, und auf den 100 % reinen Stoff.

Sämtliche Definitionen der einbezogenen Prozesse und Emissionen (Systemgrenzen) schließen gegebenenfalls Fackeln ein.

Das mit den genannten Produkten verbundene Risiko der Verlagerung von CO2-Emissionen basiert auf dem Beschluss 2010/2/EU und gilt für die Jahre 2013 und 2014. Die Kommission kann für die Jahre 2013 und 2014 durch einen Beschluss weitere Wirtschaftszweige in diese Liste aufnehmen.

2. Festlegung von Produkt-Benchmarks und Systemgrenzen unter Berücksichtigung der Austauschbarkeit von Brennstoffen und Strom 12

Produkt-
Benchmark
Einbezogene Produkte Einbezogene Verfahren und Emissionen
(Systemgrenzen)
Für die Jahre
2013 und 2014 festgestelltes Risiko der Verlagerung von CO2-Emissionen gemäß dem Beschluss 2010/2/EU
Benchmark-
wert
(Zertifikate/t)
Raffinerieprodukte Gemisch von Raffinerieprodukten mit über 40 % leichten Produkten (Motorenbenzin (Ottokraftstoff), einschließlich Flugbenzin, leichtem Flugturbinenkraftstoff, anderen Leichtölen, Spezialbenzin, Leuchtöl (Kerosin), einschließlich Flugturbinenkraftstoff auf Petroleumbasis, Gasöl), ausgedrückt als CWT (CO2-gewichtete Tonne). Einbezogen sind sämtliche Raffinerieprozesse, die der Definition einer der zur Berechnung der CWT einbezogenen Prozesseinheiten entsprechen, sowie nicht prozessbezogene Hilfseinrichtungen innerhalb des Raffineriegeländes, wie Tanklager, Mischanlagen und Kläranlagen usw.

Für die Bestimmung der indirekten Emissionen wird der Gesamtstromverbrauch innerhalb der Systemgrenzen betrachtet.

Ja 0,295
Im Elektrolichtbogen- verfahren gewonnener Kohlenstoffstahl Stahl mit einem Gehalt an metallischen Legierungselementen von weniger als 8 % und einem Stahlbegleitergehalt in einem Umfang, der den Einsatz auf die Verwendungen beschränkt, für die keine hohe Oberflächenqualität und Verarbeitbarkeit erforderlich sind. Einbezogen sind sämtliche Prozesse, die direkt oder indirekt mit folgenden Prozessanlagen bzw. Prozessen in Zusammenhang stehen: Elektrolichtbogenofen, Sekundärmetallurgie, Gießen und Schneiden, Nachverbrennungskammer, Entstaubungsanlage, Behälterheizung, Vorwärmeinrichtungen für gegossene Blöcke, Schrotttrocknung und Schrottvorwärmung.

Für die Bestimmung der indirekten Emissionen wird der Gesamtstromverbrauch innerhalb der Systemgrenzen betrachtet.

Ja 0,283
Im Elektrolichtbogen- verfahren gewonnener hochlegierter Stahl Stahl mit einem Gehalt an metallischen Legierungselementen von 8 % oder mehr oder für Verwendungen, für die hohe Oberflächenqualität und Ver- arbeitbarkeit erforderlich sind. Einbezogen sind sämtliche Prozesse, die direkt oder indirekt mit folgenden Prozessanlagen bzw. Prozessen in Zusammenhang stehen: Elektrolichtbogenofen, Sekundärmetallurgie, Gießen und Schneiden, Nachverbrennungskammer, Entstaubungsanlage, Behälterheizung, Vorwärmeinrichtung für gegossene Blöcke, Grube für langsames Abkühlen, Schrotttrocknung und Schrottvorwärmung. Die Prozesseinheiten Ferrochrom-Konverter und Kryolager für Industriegase sind nicht einbezogen.

Für die Bestimmung der indirekten Emissionen wird der Gesamtstromverbrauch innerhalb der Systemgrenzen betrachtet.

Ja 0,352
Eisenguss Gusseisen, ausgedrückt in Tonnenfertiglegiertes, umgeschmolzenes und gießfertiges
Flüssigeisen.
Einbezogen sind sämtliche Prozesse, die direkt oder indirekt mit den Prozessschritten Schmelzofen, Gießanlage, Kernmacherei und Endbearbeitung in Zusammenhang stehen.

Für die Bestimmung der indirekten Emissionen wird lediglich der Stromverbrauch von Schmelzprozessen innerhalb der Systemgrenzen betrachtet.

Ja 0,325
Mineralwolle Aus Glas, Gestein oder Schlacke hergestellte Dämmstoffe aus Mineralwolle für Wärme- und Schalldämmung sowie Brandschutz. Einbezogen sind sämtliche Prozesse, die direkt oder indirekt mit den Produktionsschritten Schmelzen, Zerfaserung und Aufsprühen von Bindemitteln, Erhärten und Formen in Zusammenhang stehen. Für die Bestimmung der indirekten Emissionen wird der Gesamtstromverbrauch innerhalb der Systemgrenzen betrachtet. Ja 0,682
Gipskarton Die Benchmark umfasst Platten, Tafeln, Dielen, Fliesen und dergleichen aus Gips oder aus Mischungen auf der Grundlage von Gips, (nicht) mit Papier oder Pappe überzogen oder verstärkt, ausgenommen gipsgebundene, verzierte Waren (in Tonnen Stuckgips). Hochdichte Gipsfaserplatten fallen nicht unter diese Produkt- Benchmark. Einbezogen sind sämtliche Prozesse, die direkt oder indirekt mit den Produktionsschritten Zermahlen, Trocknen, Brennen und Trocknen der Platten in Zusammenhang stehen. Für die Bestimmung der indirekten Emissionen wird lediglich der Stromverbrauch der Wärmepumpen in der Trocknungsphase betrachtet. Ja 0,131
Industrie-Ruß ("Carbon Black") Furnace-Ruß.

Gas- und Flammruß fallen nicht unter diese Benchmark.

Einbezogen sind sämtliche Prozesse, die direkt oder indirekt mit der Erzeugung von Furnace-Ruß sowie mit der Endbearbeitung, der Verpackung und dem Abfackeln in Zusammenhang stehen.

Für die Bestimmung der indirekten Emissionen wird der Gesamtstromverbrauch innerhalb der Systemgrenzen betrachtet.

Ja 1,954
Ammoniak Ammoniak(NH3); erfasst in Tonnen Produktionsmenge. Einbezogen sind sämtliche Prozesse, die direkt oder indirekt mit der Herstellung von Ammoniak und dem Zwischenprodukt Wasserstoff in Zusammenhang stehen.

Für die Bestimmung der indirekten Emissionen wird der Gesamtstromverbrauch innerhalb der Systemgrenzen betrachtet.

Ja 1,619
Steamcracken Gemisch chemischer Wertprodukte, ausgedrückt als die Gesamtmasse von Acetylen, Ethen, Propen, Butadien, Benzol und Wasserstoff, ausgenommen chemische Wertprodukte aus zusätzlichem Einsatzgut (Wasserstoff, Ethen, sonstige chemische Wertprodukte), mit einem Ethengehalt des gesamten Produktgemischs von mindestens 30 Massen-% und einem Gehalt an chemischen Wertprodukten, Brenngas, Butenen und flüssigen Kohlenwasserstoffen von zusammen mindestens 50 Massen-% des Gesamtgemischs. Einbezogen sind sämtliche Prozesse, die direkt oder indirekt mit der Herstellung chemischer Wertprodukte als gereinigtes Produkt oder als Zwischenprodukt mit einem konzentrierten Gehalt des betreffenden chemischen Wertprodukts in der niedrigsten marktfähigen Form (Roh-C4, nicht hydriertes Pyrolysebenzin) in Zusammenhang stehen, ausgenommen C4- Trennung (Butadien-Anlage), C4-Hydrierung, Hydrotreating von Pyrolysebenzin und Aromatenextraktion sowie Logistik und Bestände für den laufenden Betrieb. Für die Bestimmung der indirekten Emissionen wird der Gesamtstromverbrauch innerhalb der Systemgrenzen betrachtet. Ja 0,702
Aromaten Aromatengemisch, ausgedrückt als CO2-gewichtete Tonne (CWT). Einbezogen sind alle Prozesse, die direkt oder indirekt mit dem aromatenspezifischen Anlagenteilen Pyrolysebenzin-Hydrotreater, Benzol-, Toluol-, Xylol- (BTX-) Extraktion, Toluoldisproportionierung (TDP), Hydrodesalkylierung (HDA), Xylolisomerisierung, p-Xylol-Anlage, Cumolproduktion, und Cyclohexanproduktion in Zusammenhang stehen.

Für die Bestimmung der indirekten Emissionen wird der Gesamtstromverbrauch innerhalb der Systemgrenzen betrachtet.

Ja 0,0295
Styrol Monomeres Styrol (Vinylbenzol, CAS-nummer: 100-42-5) Einbezogen sind alle Prozesse, die direkt oder indirekt mit der Styrolproduktion und mit dem Zwischenprodukt Ethylbenzol (in der Menge, die als Einsatzstoff für die Styrolproduktion verwendet wird) in Zusammenhang stehen.

Für die Bestimmung der indirekten Emissionen wird der Gesamtstromverbrauch innerhalb der Systemgrenzen betrachtet.

Ja 0,527
Wasserstoff Reiner Wasserstoff und Wasserstoff-Kohlenmonoxid-Gemische mit einem Wasserstoffanteil von mindestens 60 Mol-% bezogen auf die Summe des Wasserstoffs und Kohlenmonoxids, auf der Basis der aggregierten wasserstoff- und kohlenmonoxidhaltigen Produktströme, die aus dem betreffenden Anlagenteil exportiert werden, ausgedrückt als 100 % Wasserstoff. Einbezogen sind alle Prozesselemente, die direkt oder indirekt mit der Herstellung von Wasserstoff und der Trennung von Wasserstoff und Kohlenmonoxid in Zusammenhang stehen. Diese Elemente liegen zwischen
  1. den Eintrittspunkten von Kohlenwasserstoff-Einsatzgut und, falls gesondert, Brennstoff(en),
  2. den Austrittspunkten aller wasserstoff- bzw. kohlenmonoxidhaltigen Produktströme und
  3. den Eintritts- bzw. Austrittspunkten von importierter oder exportierter Wärme.

Für die Bestimmung der indirekten Emissionen wird der Gesamtstromverbrauch innerhalb der Systemgrenzen betrachtet.

Ja 8,85
Synthesegas Wasserstoff-Kohlenmonoxid-Gemische mit einem Wasserstoffanteil von weniger als 60 Mol-% bezogen auf die Summe des Wasserstoffs und Kohlenmonoxids, auf der Basis der aggregierten wasserstoff- und kohlenmonoxidhaltigen Produktströme, die aus dem betreffenden Anlagenteil exportiert werden, bezogen auf 47 Volumen-% Wasserstoff. Einbezogen sind alle Prozessbestandteile, die direkt oder indirekt mit der Herstellung von Synthesegas und der Trennung von Wasserstoff und Kohlenmonoxid in Zusammenhang stehen. Diese Elemente liegen zwischen
  1. den Eintrittspunkten von Kohlenwasserstoff-Einsatzgut und, falls gesondert, Brennstoff(en),
  2. den Austrittspunkten aller wasserstoff- bzw. kohlenmonoxidhaltigen Produktströme und
  3. den Eintritts- bzw. Austrittspunkten von importierter oder exportierter Wärme.

Für die Bestimmung der indirekten Emissionen wird der Gesamtstromverbrauch innerhalb der Systemgrenzen betrachtet.

Ja 0,242
Ethylenoxid/Ethylenglycole Die Benchmark für Ethylenoxid bzw. Ethylenglycol schließt folgende Produkte ein: Ethylenoxid (EO, hochrein), Monoethylenglycol (MEG, Standardqualität und Faserqualität (hochrein) ), Diethylenglycol(DEG) und Triethylenglycol (TEG).

Die Gesamtproduktmenge wird ausgedrückt in EO-Äquivalent, das als die in eine Masseneinheit des betreffenden Glycols eingebettete Menge EO (als Masse) definiert ist.

Einbezogen sind sämtliche Prozesse, die direkt oder indirekt mit den Prozessteilen EO-Herstellung, EO-Reinigung und Glycolbereich in Zusammenhang stehen

Diese Produkt-Benchmark umfasst den Gesamtstromverbrauch (mit den damit zusammenhängenden indirekten Emissionen) innerhalb der Systemgrenzen.

Ja 0,512

Soweit nicht anders angegeben beziehen sich alle Produkt-Benchmarks auf 1 Tonne erzeugtes Produkt, ausgedrückt als marktfähige (Netto-) Produktion, und auf den 100 % reinen Stoff.

Sämtliche Definitionen der einbezogenen Prozesse und Emissionen (Systemgrenzen) schließen gegebenenfalls Fackeln ein.

Das mit den genannten Produkten verbundene Risiko der Verlagerung von CO2-Emissionen basiert auf dem Beschluss 2010/2/EU und gilt für die Jahre 2013 und 2014. Die Kommission kann durch einen Beschluss weitere Wirtschaftszweige in diese Liste aufnehmen.

3. Wärme- und Brennstoff-Benchmarks

Benchmark Benchmarkwert(Zertifikate/TJ)
Wärme-Benchmark 62, 3
Brennstoff-Benchmark 56, 1

.

Produktspezifische Benchmarks Anhang II


1. Benchmark "Raffinerieprodukte": CWT-Funktionen

CWT-Funktion Beschreibung Basis (kt/a) CWT-Faktor
Atmosphärische Destillation Anlage für milde Destillation von Rohöl, Anlage für Standarddestillation von Rohöl F 1,00
Vakuumdestillation Fraktionierung im milden Vakuum, Standardvakuumkolonne, Vakuumfraktionierungskolonne

Der Vakuumdestillationsfaktor umfasst auch die durchschnittliche Energie und die durchschnittlichen Emissionen der HFV- Anlage (Heavy Feed Vacuum). Da diese immer in Reihe mit der MVU betrieben wird, wird die HFV-Kapazität nicht separat gezählt.

F 0,85
Lösemittel-Entasphaltierung Konventionelles Lösemittel, Superkritisches Lösemittel F 2,45
Visbreaking Atmosphärischer Rückstand (ohne Soaker), atmosphärischer Rückstand (mit Soaker), Vakuumrückstand (ohne Soaker), Vakuumrückstand (mit Soaker)

Der Visbreaking-Faktor umfasst auch die durchschnittliche Energie und die durchschnittlichen Emissionen der Vakuum- Verdampfungskolonne (VAC VFL), aber die Kapazität wird nicht separat gezählt.

F 1,40
Thermisches Cracken Der Thermalcracking-Faktor umfasst auch die durchschnittliche Energie und die durchschnittlichen Emissionen der Vakuum- Verdampfungskolonne (VAC VFL), aber die Kapazität wird nicht separat gezählt. F 2,70
Delayed Coking Delayed Coking F 2,20
Fluid Coking Fluid Coking F 7,60
Flexicoking Flexicoking F 16,60
Kokskalzinierung Drehrohröfen für Vertikal- und Horizontalbetrieb P 12,75
Fluid Catalytic Cracking Fluid Catalytic Cracking, Mild Residuum Catalytic Cracking, Residual Catalytic Cracking F 5,50
Andereskatalytisches Cracken Katalytisches Cracken nach dem Houdry-Verfahren, katalytisches Cracken nach dem Thermofor-Verfahren F 4,10
Hydrocracken von Destillat/Gasöl Mild Hydrocracking, Severe Hydrocracking, Naphtha Hydrocracking F 2,85
Hydrocracken von Rückständen H-Oil, LC-FiningTM und Hycon F 3,75
Hydrotreating von Naphtha/Gasöl Benzolsättigung, Entschwefelung von C4-C6-Einsatzstoffen, konventionelles Hydrotreating von Naphtha, Sättigung von Dienen zu Olefinen, Sättigung von Dienen zu Olefinen des Alkylierungseinsatzstoffs, Hydrotreating von FCC-Gasöl mit minimalem Oktanverlust, olefinische Alkylierung von Thio S, S- ZorbTM-Verfahren, selektives Hydrotreating von Pyrolysebenzini Naphtha, Entschwefelung von Pyrolysebenzin/Naphtha, selektives Hydrotreating von Pyrolysebezin/Naphtha

Der Naphtha-Hydrotreating-Faktor umfasst Energie und Emissionen des Reaktors für selektives Hydrotreating (NHYT/RXST), aber die Kapazität wird nicht separat gezählt.

F 1,10
Hydrotreating von Kerosin/Diesel Sättigung von Aromaten, konventionelles Hydrotreating, Hydrierung von Aromaten, die zur Verwendung als Lösemittel bestimmt sind, konventionelles Destillat-Hydrotreating, High- Severity-Destillat-Hydrotreating, Ultra-High-Severity-Hydrotreating, Entwachsen von Mitteldestillat, S-ZorbTM-Verfahren, selektives Hydrotreating von Destillaten F 0,90
Hydrotreating von Rückständen Entschwefelung des atmosphärischen Rückstands, Entschwefelung des Vakuumrückstands F 1,55
VGO-Hydrotreating Hydrodesulfurierung/Denitrifikation, Hydrodesulfurierung F 0,90
Wasserstoffherstellung Dampfmethanreforming, Dampfnaphthareforming, Anlagen für die partielle Oxidation von Light Feeds

Der Faktor für die Wasserstoffherstellung umfasst Energie und Emissionen für Reinigung (H2PURE), aber die Kapazität wird nicht separat gezählt.

P 300,00
Katalytisches Reforming Kontinuierliche Regeneration, cyclisch, semiregenerativ, ARO- MAX F 4,95
Alkylierung Alkylierung mit Flusssäure, Alkylierung mit Schwefelsäure, Po- lymerisierung des C3-Olefin-Einsatzstoffs, Polymerisierung des C3/C4-Einsatzstoffs, Dimersol

Der Faktor für die Alkylierung/Polymerisierung umfasst Energie und Emissionen der Säureregeneration (ACID), aber die Kapazität wird nicht separat gezählt.

P 7,25
C4-Isomerisierung C4-Isomerisierung

Der Faktor umfasst Energie und Emissionen der besonderen Fraktionierung (DIB) in Zusammenhang mit C4-Isomerisierung auf Basis des EU27-Durchschnitts.

R 3,25
C5/C6-Isomerisierung C5/C6-Isomerisierung

Der Faktor umfasst Energie und Emissionen der besonderen Fraktionierung (DIH) in Zusammenhang mit C5-Isomerisierung auf Basis des EU27-Durchschnitts.

R 2,85
Oxygenat-Produktion MBTE-Destillationsanlagen, MTBE- Extraktionsanlagen, ETBE, TAME, Isoocten-Produktion P 5,60
Propylenproduktion Chemical Grade, Polymer Grade F 3,45
Asphaltherstellung Asphalt- und Bitumenherstellung Die Produktionszahl sollte polymermodifiziertes Bitumen umfassen. Der CWT-Faktor umfasst Blasverfahren. P 2,10
Blending von polymermodifiezierten Bitumina Blending von polymermodifiezierten Bitumina P 0,55
Schwefelrückgewinnung Der Faktor für Schwefelrückgewinnung umfasst Energie und Emissionen der Tailgasreinigung (TRU) und der H2 S-Springer-Anlage (U32), aber die Kapazität wird nicht separat gezählt. P 18,60
Lösemittelextraktion von Aromaten ASE: Extraktive Destillation, ASE:Flüssig-Flüssig-Extraktion, ASE: Flüssig-Flüssig-Extraktion mit extraktiver Destillation

Der CWT-Faktor deckt alle Einsatzstoffe ab, einschließlich Pyrolysebenzin nach Hydrotreating. Pyrolysebenzin-Hydrotreating sollte unter Naphtha-Hydrotreating erfasst werden.

F 5,25
Hydrodesalkylierung Hydrodesalkylierung F 2,45
TDP/TDA Toluol-Disproportionierung/Desalkylierung F 1,85
Cyclohexanproduktion Cyclohexanproduktion P 3,00
Xylol-Isomerisierung Xylol-Isomerisierung F 1,85
p-Xylolproduktion p-Xylol-Adsorption, p-Xylol-Kristallisation

Der Faktor umfasst auch Energie und Emissionen für Xylol- Splitter- und o-Xylol-Rerun-Kolonne.

P 6,40
m-Xylolproduktion m-Xylolproduktion P 11,10
Produktion von Phthalsäureanhydrid Produktion von Phthalsäureanhydrid P 14,40
Produktion von Maleinsäureanhydrid Produktion von Maleinsäureanhydrid P 20,80
Ethylbenzolproduktion Ethylbenzolproduktion

Der Faktor umfasst auch Energie und Emissionen für Ethylbenzoldestillation.

P 1,55
Cumolproduktion Cumolproduktion P 5,00
Phenolproduktion Phenolproduktion P 1,15
Lösemittelextraktion von Schmierölen Lösemittelextraktion von Schmierölen: Lösemittel ist Furfural, Lösemittel ist NMP, Lösemittel ist Phenol, Lösemittel ist SO2 F 2,10
Lösemittelentwachsung von Schmierölen Lösemittelentwachsung von Schmierölen: Lösemittel ist Chlorcarbon, Lösemittel ist MEK/Toluol, Lösemittel ist MEK/MIBK, Lösemittel ist Propan F 4,55
Katalytische Wachsisomerisierung Katalytische Wachsisomerisierung und Entwachsen, selektives Wax-Cracking F 1,60
Schmieröl-Hydrocracker Schmieröl-Hydrocracker mit Multifraktionsdestillation, Schmieröl-Hydrocracker mit Vakuumstripper F 2,50
Wachsentölung Wachsentölung: Lösemittel ist Chlorcarbon, Lösemittel ist MEK/Toluol, Lösemittel ist MEK/MIBK, Lösemittel ist Propan P 12,00
Schmieröl-/Wachs- Hydrotreating Schmiermittel-Hydrofining mit Vakuumstripper, Schmieröl-Hydrotreating mit Multifraktionsdestillation, Schmieröl-Hydrotreating mit Vakuumstripper, Wachs Hydrofining mit Vakuumstripper, Wachs-Hydrotreating mit Multifraktionsdestillation, Wachs-Hydrotreating mit Vakuumstripper F 1,15
Lösemittel-Hydrotreating Lösemittel-Hydrotreating F 1,25
Lösemittelfraktionierung Lösemittelfraktionierung F 0,90
MolsiebfürC10+-Paraffine Molsieb für C10+-Paraffine P 1,85
Partielle Oxidation von Rückständen (POX) für Brennstoffe POX-Synthesegas für Brennstoffe SG 8, 20
Partielle Oxidation von Rückständen (POX) für Wasserstoff oder Methanol POX-Synthesegas für Wasserstoff oder Methanol, POX-Synthesegas für Methanol

Der Faktor umfasst Energie und Emissionen für CO2-Shift-Reaktion und H2 -Reinigung (U71), aber die Kapazität wird nicht separat gezählt.

SG 44,00
Methanol aus Synthesegas Methanol P - 36,20
Luftzerlegung Luftzerlegung P (MNm3 O2) 8,80
Fraktionierung von gekauftem LNG Fraktionierung von gekauftem LNG F 1,00
Rauchgasentschwefelung und -entstickung DeSOx und deNOx F (MNm3) 0,10
Behandlung und Kompression von Brenngas zum Verkauf Behandlung und Kompression von Brenngas zum Verkauf kW 0,15
Meerwasserentsalzung Meerwasserentsalzung P 1,15

Bezug der CWT-Faktoren: Nettomenge frische Einsatzstoffe (F), Reaktoreinsatz (R, mit Recyclat), Produktstrom (P), Synthesegasproduktion aus der Schwerölvergasung (SG)

2. Benchmark "Aromaten": CWT-Funktionen

CWT-Funktion Beschreibung Basis (kt/a) CWT-Faktor
Hydrotreating von Naphtha/Gasöl Benzolsättigung, EntschwefelungvonC4-C6-Einsatzstoffen, konventionelles Hydrotreating von Naphtha, Sättigung von Dienen zu Olefinen, Sättigung von Dienen zu Olefinen des Alkylierungs-Einsatzstoffs, Hydrotreating von FCC-Gasöl mit minimalem Oktanverlust, olefinische Alkylierung von Thio S, S- Zorb TM-Verfahren, selektives Hydrotreating von Pyrolysebenzin/Naphtha, Entschwefelung von Pyrolysebenzin/Naphtha, selektives Hydrotreating von Pyroloysebenzin/Naphtha.

Der Naphtha-Hydrotreating-Faktor umfasst Energie und Emissionen des Reaktors für selektives Hydrotreating (NHYT/RXST), aber die Kapazität wird nicht separat gezählt.

F 1,10
Lösemittelextraktion von Aromaten ASE:ExtraktiveDestillation, ASE:Flüssig-Flüssig-Extraktion, ASE: Flüssig-Flüssig-Extration mit extraktiver Destillation

Der CWT-Faktor deckt alle Einsatzstoffe ab, einschließlich Pyroloysebenzin nach Hydrotreating. Pyrolysebenzin-Hydrotreating sollte unter Naphtha-Hydrotreating erfasst werden.

F 5,25
TDP/TDA Toluol-Disproportionierung/Desalkylierung F 1,85
Hydrodesalkylierung Hydrodesalkylierung F 2,45
Xylol-Isomerisierung Xylol-Isomerisierung F 1,85
p-Xylolproduktion p-Xylol-Adsorption, p-Xylol-Kristallisation Der Faktor umfasst auch Energie und Emissionen für Xylol- Splitter und o-Xylol-Rerun-Kolonne. P 6,40
Cyclohexanproduktion Cyclohexanproduktion P 3,00
Cumolproduktion Cumolproduktion P 5,00

Bezug der CWT-Faktoren: Nettomenge frische Einsatzstoffe (F), Produktstrom (P)

.

Historische Aktivitätsraten für bestimmte Produkt-Benchmarks gemäss Artikel 9 Absatz 7 Anhang III


1. Für Produkte, für die die Produkt-Benchmark "Raffinerieprodukte" gemäß Anhang I gilt, bestimmen die Mitgliedstaaten die produktbezogene historische Aktivitätsrate im Bezugszeitraum auf der Grundlage der verschiedenen CWT-Funktionen und deren Definitionen, des Durchsatzes sowie der in Anhang II aufgeführten CWT-Faktoren nach folgender Formel:

Dabei ist

HAR CWT: Historische Aktivitätsrate, ausgedrückt in CWT

DSi,k: Durchsatz der CWT-Funktion i im Jahr k des Bezugszeitraums

CWTi: CWT-Faktor der CWT-Funktion i

DS RD,k: Durchsatz der CWT-Funktion "Rohöldestillation" im Jahr k des Bezugszeitraums

2. Für Produkte, für die die Produkt-Benchmark "Kalk" gemäß Anhang I gilt, bestimmen die Mitgliedstaaten die produktbezogene historische Aktivitätsrate im Bezugszeitraum anhand folgender Formel:

Dabei ist

HAR Kalk, Standard: Historische Aktivitätsrate der Kalkgewinnung, ausgedrückt in Tonnen Kalk in Standardreinheit

m CaO,k: Gehalt an freiem CaO in dem im Jahr k des Bezugszeitraums gewonnenen Kalk, ausgedrückt als Massenanteil in Prozent

Liegen keine Daten zum Gehalt an freiem CaO vor, so wird eine konservative Schätzung von nicht weniger als 85 % angewandt.

m MgO,k: Gehalt an freiem MgO in dem im Jahr k des Bezugszeitraums gewonnenen Kalk, ausgedrückt als Massenanteil in Prozent

Liegen keine Daten zum Gehalt an freiem MgO vor, so wird eine konservative Schätzung von nicht weniger als 0, 5 % angewandt.

HAR Kalk,unberichtigt,k: Unberichtigte historische Aktivitätsrate der Kalkgewinnung im Jahr k des Bezugszeitraums, ausgedrückt als Tonnen Kalk

3. Für Produkte, für die die Produkt-Benchmark "Dolomitkalk" gemäß Anhang I gilt, bestimmen die Mitgliedstaaten die produktbezogene historische Aktivitätsrate im Bezugszeitraum nach folgender Formel:

Dabei ist

HAR Dolomitkalk,Standard: Historische Aktivitätsrate der Dolomitkalkgewinnung, ausgedrückt in Tonnen Dolomitkalk in Standardreinheit

m CaO,k: Gehalt an freiem CaO in dem im Jahr k des Bezugszeitraums gewonnenen Dolomitkalk, ausgedrückt als Massenanteil in Prozent

Liegen keine Daten zum Gehalt an freiem CaO vor, so wird eine konservative Schätzung von nicht weniger als 52 % angewandt.

m MgO,k: Gehalt an freiem MgO in dem im Jahr k des Bezugszeitraums gewonnenen Dolomitkalk, ausgedrückt als Massenanteil in Prozent

Liegen keine Daten zum Gehalt an freiem MgO vor, so wird eine konservative Schätzung von nicht weniger als 33 % angewandt.

HAR Dolomitkalk, unberichtigt, k: Unberichtigte historische Aktivitätsrate der Dolomitkalkgewinnung im Jahr k des Bezugszeitraums, ausgedrückt als Tonnen Kalk

4. Für Produkte, für die die Produkt-Benchmark "Steamcracken" gemäß Anhang I gilt, bestimmen die Mitgliedstaaten die produktbezogene historische Aktivitätsrate im Bezugszeitraum nach folgender Formel:

Dabei ist

HARcWP,netto: Historische Aktivitätsrate für chemische Wertprodukte ohne chemische Wertprodukte aus zusätzlichem Einsatzgut, ausgedrückt in Tonnen chemische Wertprodukte

HARcWP,insg.,k: Historische Aktivitätsrate der Gesamtproduktion chemischer Wertprodukte im Jahr k des Bezugszeitraums, ausgedrückt in Tonnen chemische Wertprodukte

HZEH,k: Historischer zusätzlicher Einsatz von Wasserstoff im Jahr k des Bezugszeitraums, ausgedrückt in Tonnen Wasserstoff

HZEE,k: Historischer zusätzlicher Einsatz von Ethen im Jahr k des Bezugszeitraums, ausgedrückt in Tonnen Ethen

HZEO,k: Historischer zusätzlicher Einsatz anderer chemischer Wertprodukte als Wasserstoff und Ethen im Jahr k des Bezugszeitraums, ausgedrückt in Tonnen chemische Wertprodukte

5. Für Produkte, für die die Produkt-Benchmark "Aromaten" gemäß Anhang I gilt, bestimmen die Mitgliedstaaten die produktbezogene historische Aktivitätsrate im Bezugszeitraum auf der Grundlage der verschiedenen CWT-Funktionen und deren Definitionen, des Durchsatzes sowie der in Anhang II aufgeführten CWT-Faktoren nach folgender Formel:

Dabei ist

HARCWT: Historische Aktivitätsrate, ausgedrückt in CWT

DSi,k: Durchsatz der CWT-Funktion i im Jahr k des Bezugszeitraums

CWTi: CWT-Faktor der CWT-Funktion i

6. Für Produkte, für die die Produkt-Benchmark "Wasserstoff" gemäß Anhang I gilt, bestimmen die Mitgliedstaaten die produktbezogene historische Aktivitätsrate im Bezugszeitraum nach folgender Formel:

Dabei ist

HARH2: Historische Aktivitätsrate der Wasserstoffherstellung, bezogen auf 100 % Wasserstoff

VFH2,k: Historische Produktion Volumenfraktion reiner Wasserstoff im Jahr k des Bezugszeitraums

HARH2 + CO,k: Historische Aktivitätsrate der Wasserstoffherstellung, bezogen auf den historischen Wasserstoffgehalt, ausgedrückt in Normkubikmetern pro Jahr (Normbedingungen sind 0 °C und 101, 325 kPa) im Jahr k des Bezugszeitraums

7. Für Produkte, für die die Produkt-Benchmark "Synthesegas" gemäß Anhang I gilt, bestimmen die Mitgliedstaaten die produktbezogene historische Aktivitätsrate im Bezugszeitraum nach folgender Formel:

Dabei ist

HARSynthesegas: Historische Aktivitätsrate der Synthesegasherstellung, bezogen auf 47 % Wasserstoff

VFH2,k:Historische Produktion Volumenfraktion reiner Wasserstoff im Jahr k des Bezugszeitraums

HARH2 + CO,k: Historische Aktivitätsrate der Synthesegasherstellung, bezogen auf den historischen Wasserstoffgehalt, ausgedrückt in Normkubikmetern pro Jahr (Normbedingungen sind 0 °C und 101, 325 kPa) im Jahr k des Bezugszeitraums

8. Für Produkte, für die die Produkt-Benchmark "Ethylenoxid/Ethylenglycole" gemäß Anhang I gilt, bestimmen die Mitgliedstaaten die produktbezogene historische Aktivitätsrate im Bezugszeitraum nach folgender Formel:

Dabei ist

HAR EO/EG: Historische Aktivitätsrate für die Produktion von Ethylenoxid/Ethylenglycolen, ausgedrückt in Tonnen Ethylenoxidäquivalent

HARi,k: Historische Aktivitätsrate für die Produktion von Ethylenoxid/Ethylenglycolen i im Jahr k des Bezugszeitraums, ausgedrückt in Tonnen

UFEOEi: Faktor für die Umrechnung des Ethylenoxids oder Ethylenglycols i auf Ethylenoxid

Folgende Umrechnungsfaktoren werden angewandt:

Ethlyenoxid: 1, 000

Monoethylenglycol: 0, 710

Diethylenglycol: 0, 830

Triethylenglycol: 0, 880

.

Parameter für die Erhebung der Ausgangsdaten von Bestandsanlagen Anhang IV


Für die Zwecke der Erhebung von Bezugsdaten gemäß Artikel 7 Absatz 1 verlangen die Mitgliedstaaten von den Betreibern, für alle Kalenderjahre des gemäß Artikel 9 Absatz 1 gewählten Bezugszeitraums (2005-2008 oder 2009- 2010) mindestens die nachstehenden Daten auf Ebene der Anlagen und Anlagenteile zu übermitteln. Gemäß Artikel 7 Absatz 2 können die Mitgliedstaaten erforderlichenfalls weitere Daten verlangen.

Parameter Anmerkungen
Installierte Anfangsproduktionskapazität Nur für Anlagenteile, für die eine Produkt-Benchmark gilt, ausgedrückt in der jeweiligen, in Anhang I genannten Einheit.
Die zusätzliche oder die stillgelegte Kapazität sowie die installierte Kapazität des Anlagenteils im Anschluss an eine wesentliche Kapazitätsänderung, wenn zwischen dem 1. Januar 2009 und dem 30. Juni 2011 eine wesentliche Kapazitätsänderung stattfindet Kapazitäten werden ausgedrückt für
(1) Anlagenteile, für die eine Produkt-Benchmark gilt, in der jeweiligen, in Anhang I genannten Einheit,

(2) den Anlagenteil, für den eine Wärme-Benchmark gilt, in Terajoule messbarer Wärme, die für die Herstellung von Produkten oder die Erzeugung von mechanischer Energie außer Strom- oder Wärmeerzeugung oder Kühlung innerhalb der Anlagengrenzen pro Jahr verbraucht wird,

(3) den Anlagenteil, für den eine Brennstoff-Benchmark gilt, als Terajoule Brennstoff-Input pro Jahr,

(4) Prozessemissionen als pro Jahr emittierte Tonnen CO2- Äquivalent.

Bezeichnung des Produkts bzw. der Produkte  
NACE -Code der Tätigkeit  
PRODCOM-Codes des Produkts bzw. der Produkte  
Ausweisung als Stromerzeuger  
Historische Aktivitätsrate Je nach Art des Anlagenteils; umfasst bei Anlagenteilen, für die eine Produkt-Benchmark gilt, die gesamte Jahresproduktionsmenge, anhand deren der Median bestimmt wurde.
Durchsatz aller relevanten CWT-Funktionen Nur für die Produkt-Benchmarks "Raffinerieprodukte" und "Aromaten".
Der Berechnung der historischen Aktivitätsraten zugrunde liegende Daten Mindestens für die Produkt-Benchmarks "Kalk", "Dolomitkalk", "Steamcracken", "Wasserstoff" und "Synthesegas".
Treibhausgasemissionen insgesamt Nur direkte Emissionen; nur wenn nicht alle Emissionen der Anlage auf Produkte zurückgehen, für die eine Benchmark gilt.
Treibhausgasemissionen aus Brennstoffen Nur direkte Emissionen; nur wenn nicht alle Emissionen der Anlage auf Produkte zurückgehen, für die eine Benchmark gilt.
Treibhausgasemissionen aus Prozessen Nur wenn nicht alle Emissionen der Anlage auf Produkte zurückgehen, für die eine Benchmark gilt.
Gesamtenergie-Input aus Brennstoffen innerhalb der Anlage Nur wenn nicht alle Emissionen der Anlage auf Produkte zurückgehen, für die eine Benchmark gilt.
Energie-Input aus Brennstoffen innerhalb der Anlage, der nicht für die Erzeugung messbarer Wärme verwendet wurde Nur wenn nicht alle Emissionen der Anlage auf Produkte zurückgehen, für die eine Benchmark gilt.
Energie-Input aus Brennstoffen innerhalb der Anlage, der für die Erzeugung messbarer Energie verwendet wurde Nur wenn nicht alle Emissionen der Anlage auf Produkte zurückgehen, für die eine Benchmark gilt.
Verbrauchte messbare Wärme Nur wenn nicht alle Emissionen der Anlage auf Produkte zurückgehen, für die eine Benchmark gilt.
Importierte messbare Wärme  
Treibhausgasemissionen aus der Produktion von an Privathaushalte exportierter Wärme  
Exportierte messbare Wärme Nur Wärme, die an nicht unter das EU-EHS fallende Verbraucher geliefert wurde, mit klarer Angabe ob der Verbraucher ein Privathaushalt ist.
Stromverbrauch in Einklang mit den jeweils festgelegten Systemgrenzen (Anhang I) Nur für Anlagenteile, die unter eine Benchmark fallen, für die die Austauschbarkeit von Wärme und Strom relevant ist
Als Brennstoff für die Herstellung von Vinylchloridmonomer verwendeter Wasserstoff Nur für Anlagenteile, die unter die Benchmark "Vinylchloridmonomer" fallen

.

Parameter für die Erhebung der Daten von neuen Marktteilnehmern Anhang V


Parameter Anmerkungen
Bezeichnung des Produkts bzw. der Produkte  
NACE-Code der Tätigkeit  
PRODCOM-Codes des Produkts bzw. der Produkte  
Installierte Anfangsproduktionskapazität vor der wesentlichen Erweiterung Nur für Anlagenteile, für die eine wesentliche Kapazitätserweiterung mitgeteilt wird.
Zusätzliche Kapazität (im Fall einer wesentlichen Erweiterung) Nur für Anlagenteile, für die eine wesentliche Kapazitätserweiterung mitgeteilt wird.
Installierte Kapazität nach der wesentlichen Erweiterung Nur für Anlagenteile, für die eine wesentliche Kapazitätserweiterung mitgeteilt wird.
Installierte Anfangsproduktionskapazität Nur für neue Marktteilnehmer, die eine oder mehrere der in Anhang I der Richtlinie 2003/87/EG genannten Tätigkeiten ausüben und denen erstmals nach dem 30. Juni 2011 die Genehmigung zur Emission von Treibhausgasen erteilt wurde oder die eine Tätigkeit ausüben, die gemäß Artikel 24 Absatz 1 oder 2 erstmals in das EU-EHS einbezogen wurde.

Ausgedrückt für

(1) Anlagenteile, für die eine Produkt-Benchmark gilt, in der jeweiligen, in Anhang I genannten Einheit,

(2) den Anlagenteil, für den eine Wärme-Benchmark gilt, in Terajoule messbarer Wärme, die für die Herstellung von Produkten oder die Erzeugung von mechanischer Energie außer Strom- oder Wärmeerzeugung oder Kühlung innerhalb der Anlagengrenzen pro Jahr verbraucht wird,

(3) den Anlagenteil, für den eine Brennstoff-Benchmark gilt, als Terajoule Brennstoff-Input pro Jahr,

(4) Prozessemissionen als pro Jahr emittierte Tonnen CO2- Äquivalent.

Relevanter Kapazitätsauslastungsfaktor (RKAF) Für Anlagenteile, die nicht unter eine Produkt-Benchmark fallen.
Voraussichtlich importierte messbare Wärme  
Voraussichtlicher Stromverbrauch in Einklang mit den jeweils festgelegten Systemgrenzen (Anhang I) Nur für Anlagenteile, die unter eine Benchmark fallen, für die die Austauschbarkeit von Wärme und Strom relevant ist.
Voraussichtlich als Brennstoff für die Herstellung von Vinylchloridmonomer verwendeter Wasserstoff Nur für Anlagenteile, die unter die Benchmark "Vinylchloridmonomer" fallen.
Aufnahme des Normalbetriebs Angabe eines Datums
Zeitpunkt der Betriebsaufnahme  
Treibhausgasemissionen Vor Aufnahme des Normalbetriebs, ausgedrückt in t CO2-Äquivalent

.

Faktor zur Reduzierung der kostenlosen Zuteilung gemäss Artikel 10a Absatz 11 der Richtlinie 2003/87/EG im Rahmen der Übergangsregelung Anhang VI


Jahr Faktorwert
2013 0,8000
2014 0,7286
2015 0,6571
2016 0,5857
2017 0,5143
2018 0,4429
2019 0,3714
2020 0,3000


ENDE

umwelt-online - Demo-Version


(Stand: 23.12.2021)

Alle vollständigen Texte in der aktuellen Fassung im Jahresabonnement
Nutzungsgebühr: ab 105.- € netto

(derzeit ca. 7200 Titel s.Übersicht - keine Unterteilung in Fachbereiche)

Preise & Bestellung

Die Zugangskennung wird kurzfristig übermittelt

? Fragen ?
Abonnentenzugang/Volltextversion