Für einen individuellen Ausdruck passen Sie bitte die
Einstellungen in der Druckvorschau Ihres Browsers an.
Regelwerk, EU 2012, Energienutzung - EU Bund

Verordnung (EU) Nr. 932/2012 der Kommission vom 3. Oktober 2012 zur Durchführung der Richtlinie 2009/125/EG des Europäischen Parlaments und des Rates im Hinblick auf die Festlegung von Anforderungen an die umweltgerechte Gestaltung von Haushaltswäschetrocknern

(Text von Bedeutung für den EWR)

(ABl. Nr. L 932 vom 12.10.2012 S. 1;
VO (EU) 2016/2282 - ABl. Nr. L 346 vom 20.12.2016 S. 51 Inkrafttreten;
VO (EU) 2023/2533 - ABl. L 2023/2533 vom 22.11.2023aufgehoben)



aufgehoben/ersetzt gem. Art. 11 der VO (EU) 2023/2533

Ergänzende Informationen
Normenübersicht
Regelungen zur Umsetzung der Ökodesign-Richtlinie


Die Europäische Kommission -

gestützt auf den Vertrag über die Arbeitsweise der Europäischen Union,

gestützt auf die Richtlinie 2009/125/EG des Europäischen Parlaments und des Rates vom 21. Oktober 2009 zur Schaffung eines Rahmens für die Festlegung von Anforderungen an die umweltgerechte Gestaltung energieverbrauchsrelevanter Produkte 1, insbesondere auf Artikel 15 Absatz 1,

nach Anhörung des Ökodesign-Konsultationsforums, in Erwägung nachstehender Gründe:

(1) Gemäß der Richtlinie 2009/125/EG sollte die Kommission Anforderungen an die umweltgerechte Gestaltung ("Ökodesign") energiebetriebener Produkte festlegen, die ein erhebliches Vertriebs- und Handelsvolumen, eine erhebliche Umweltauswirkung und ein erhebliches Potenzial für Verbesserungen ihrer Umweltauswirkung ohne übermäßig hohe Kosten aufweisen.

(2) Gemäß Artikel 16 Absatz 2 Buchstabe a der Richtlinie 2009/125/EG erlässt die Kommission gegebenenfalls eine Durchführungsmaßnahme für Haushaltsgeräte, darunter Haushaltswäschetrockner.

(3) Die Kommission hat in einer vorbereitenden Studie die technischen, ökologischen und wirtschaftlichen Aspekte der üblicherweise im Haushalt verwendeten Haushaltswäschetrockner untersucht. Die Studie wurde zusammen mit Interessengruppen und betroffenen Kreisen aus der EU und Drittländern durchgeführt, und die Ergebnisse wurden öffentlich zugänglich gemacht.

(4) Diese Verordnung sollte Erzeugnisse erfassen, die zum Trocknen von Wäsche in Haushalten konzipiert sind.

(5) Kombinierte Haushalts-Wasch-Trockenautomaten weisen besondere Merkmale auf und sollten deshalb vom Anwendungsbereich dieser Verordnung ausgenommen werden.

(6) Der für die Zwecke dieser Verordnung relevante Umweltaspekt von Haushaltswäschetrocknern ist der Energieverbrauch in der Betriebsphase. Der jährliche Stromverbrauch von Haushaltswäschetrocknern in der Europäischen Union im Jahr 2005 wird auf 21 TWh geschätzt. Falls keine spezifischen Maßnahmen getroffen werden, wird der jährliche Stromverbrauch nach Vorhersagen bis 2020 auf 31 TWh ansteigen. Durch die vorbereitende Studie ist belegt, dass der Stromverbrauch der dieser Verordnung unterliegenden Erzeugnisse erheblich gesenkt werden kann.

(7) Daneben zeigt die vorbereitende Studie, dass Anforderungen an andere Ökodesign-Parameter, die in Anhang I Teil 1 der Richtlinie 2009/125/EG genannt werden, nicht erforderlich sind, da der Energieverbrauch von Haushaltswäschetrocknern in der Betriebsphase bei Weitem der wichtigste Umweltaspekt ist. Gemäß Artikel 6 Absatz 2 der Richtlinie 2009/125/EG dürfen die Mitgliedstaaten das Inverkehrbringen und/oder die Inbetriebnahme von Haushaltswäschetrocknern in ihrem Hoheitsgebiet nicht unter Berufung auf Ökodesign-Anforderungen betreffend die in Anhang I Teil 1 der Richtlinie genannten Ökodesign-Parameter, für die nach dieser Verordnung keine Ökodesign-Anforderung erforderlich ist, untersagen, beschränken oder behindern.

(8) Eine Verringerung des Energieverbrauchs von Haushaltswäschetrocknern sollte durch Anwendung bestehender kostengünstiger und herstellerneutraler Technologien erreicht werden, die zu einer Verringerung der kombinierten Gesamtausgaben für die Anschaffung und den Betrieb dieser Geräte führen können.

(9) Die Ökodesign-Anforderungen sollten aus Endnutzersicht die Funktion des Produkts nicht beeinträchtigen und keine Nachteile für Gesundheit, Sicherheit oder Umwelt mit sich bringen. Insbesondere sollte der Nutzen einer Verringerung des Energieverbrauchs während der Betriebsphase etwaige zusätzliche Umweltauswirkungen während der Produktions- und der Entsorgungsphase überwiegen.

(10) Die Ökodesign-Anforderungen sollten schrittweise in Kraft treten, um den Herstellern einen ausreichenden Zeitraum für die Anpassung der dieser Verordnung unterliegenden Erzeugnisse einzuräumen. Der Zeitplan sollte so festgelegt werden, dass einerseits negative Auswirkungen auf die Betriebseigenschaften der auf dem Markt befindlichen Geräte vermieden und Auswirkungen auf die Kosten für die Endnutzer und Hersteller, insbesondere kleine und mittlere Unternehmen, berücksichtigt werden, andererseits aber auch das rechtzeitige Erreichen der Ziele dieser Verordnung gewährleistet ist.

(11) Die einschlägigen Produktparameter sollten unter Verwendung zuverlässiger, genauer und reproduzierbarer Messmethoden ermittelt werden, die dem anerkannten Stand der Messtechnik sowie gegebenenfalls harmonisierten Normen Rechnung tragen, die von den in Anhang I der Richtlinie 98/34/EG des Europäischen Parlaments und des Rates vom 22. Juni 1998 über ein Informationsverfahren auf dem Gebiet der Normen und technischen Vorschriften und der Vorschriften für die Dienste der Informationsgesellschaft 2 aufgeführten europäischen Normungsgremien erlassen wurden.

(12) Nach Artikel 8 der Richtlinie 2009/125/EG sollten in dieser Verordnung die geltenden Konformitätsbewertungsverfahren festgelegt werden.

(13) Um die Konformitätsprüfung zu erleichtern, sollten die Hersteller in den technischen Unterlagen gemäß den Anhängen V und VI der Richtlinie 2009/125/EG Angaben in Bezug auf die einschlägigen Anforderungen dieser Verordnung machen.

(14) Neben den rechtsverbindlichen Anforderungen dieser Verordnung sollten unverbindliche Referenzwerte für derzeit beste verfügbare Technologien festgelegt werden, um die breite Verfügbarkeit und leichte Zugänglichkeit von Informationen über die Umweltauswirkungen der dieser Verordnung unterliegenden Erzeugnisse über den gesamten Lebenszyklus zu gewährleisten.

(15) Die in dieser Verordnung vorgesehenen Maßnahmen entsprechen der Stellungnahme des in Artikel 19 Absatz 1 der Richtlinie 2009/125/EG genannten Ausschusses

- hat folgende Verordnung erlassen:

Artikel 1 Gegenstand und Geltungsbereich

(1) Diese Verordnung legt Anforderungen an die umweltgerechte Gestaltung ("Ökodesign") von mit Netzstrom betriebenen elektrischen Haushaltswäschetrocknern, gasbeheizten Haushaltswäschetrocknern und Einbau-Haushaltswäschetrocknern, einschließlich solcher Geräte, die für einen anderen Gebrauch als im Haushalt verkauft werden, fest.

(2) Diese Verordnung gilt nicht für kombinierte Haushalts- Wasch-Trockenautomaten und Haushalts-Wäscheschleudern.

Artikel 2 Begriffsbestimmungen

Zusätzlich zu den Begriffsbestimmungen in Artikel 2 der Richtlinie 2009/125/EG gelten für die Zwecke dieser Verordnung folgende Begriffsbestimmungen:

1. "Haushaltswäschetrockner" bezeichnet ein Gerät, in dem Textilien durch Umwälzung in einer rotierenden, von erwärmter Luft durchströmten Trommel getrocknet werden, und das hauptsächlich für die Benutzung zu nicht gewerblichen Zwecken ausgelegt ist;

2. "Einbau-Haushaltswäschetrockner" bezeichnet einen Haushaltswäschetrockner, der zum Einbau in einen Schrank, eine vorbereitete Wandaussparung oder einen ähnlichen Ort bestimmt ist und eine Dekorabdeckung erfordert;

3. "kombinierter Haushalts-Wasch-Trockenautomat" bezeichnet eine Haushaltswaschmaschine, die sowohl eine Schleuderfunktion als auch die Möglichkeit zum Trocknen der Textilien - üblicherweise durch Erwärmung und Umwälzung in der Trommel - bietet;

4. "Haushalts-Wäscheschleuder" bezeichnet ein Gerät, in dem durch Zentrifugieren in einer rotierenden Trommel Wasser aus Textilien entfernt und durch eine Automatikpumpe abgeleitet wird, und das hauptsächlich für die Benutzung zu nicht gewerblichen Zwecken ausgelegt ist;

5. "Abluftwäschetrockner" bezeichnet einen Wäschetrockner, bei dem Frischluft angesaugt, über die Textilien geleitet und die entstehende Feuchtluft in den Aufstellraum oder an die Außenluft abgeleitet wird;

6. "Kondensationswäschetrockner" bezeichnet einen Wäschetrockner mit einer Vorrichtung, mit der der zum Trocknen verwendeten Luft Feuchtigkeit (entweder durch Kondensation oder auf andere Weise) entzogen wird;

7. "automatischer Wäschetrockner" bezeichnet einen Wäschetrockner, bei dem der Trockenprozess abgeschaltet wird, wenn ein bestimmter Feuchtegehalt des Füllguts erkannt wird, z.B. anhand einer Messung der Leitfähigkeit oder Temperatur;

8. "nicht automatischer Wäschetrockner" bezeichnet einen Wäschetrockner, bei dem der Trockenprozess nach einer im voraus festgelegten Dauer, in der Regel durch eine Zeitschaltuhr, abgeschaltet wird, aber auch von Hand abgeschaltet werden kann;

9. "Programm" bezeichnet eine Reihe voreingestellter Operationen, die vom Hersteller als geeignet für das Trocknen bestimmter Textilienarten erklärt werden;

10. "Zyklus" bezeichnet einen für die betreffende Programmwahl festgelegten vollständigen Trockenprozess;

11. "Programmdauer" bezeichnet den Zeitraum zwischen der Einleitung des Programms bis zum Abschluss des Programms ohne etwaige vom Nutzer programmierte Zeitverzögerung;

12. "Nennkapazität" bezeichnet die in Kilogramm ausgedrückte und vom Hersteller in Schritten von 0,5 kg angegebene Masse der Höchstmenge an trockenen Textilien einer bestimmten Art, die von einem Haushaltswäschetrockner in dem ausgewählten Programm bei Befüllung nach Herstelleranweisung behandelt werden kann;

13. "Teilbefüllung" bezeichnet die Befüllung zur Hälfte der Nennkapazität eines Haushaltswäschetrockners für ein bestimmtes Programm;

14. "Kondensationseffizienz" bezeichnet den Quotienten aus der Masse an Feuchtigkeit, die von einem Kondensationswäschetrockner kondensiert wird, und der Masse an Feuchtigkeit, die aus dem Füllgut am Ende eines Zyklus entfernt wurde;

15. "Aus-Zustand" bezeichnet einen Zustand, in dem der Haushaltswäschetrockner durch Bedienelemente oder Schalter am Gerät ausgeschaltet ist, die dem Endnutzer zugänglich und zur Betätigung durch denselben während des normalen Betriebs bestimmt sind, um die niedrigste dauerhaft mögliche Leistungsaufnahme zu erzielen, während der Haushaltswäschetrockner an eine Stromquelle angeschlossen ist und nach Herstelleranweisung betrieben wird; bei Nichtvorhandensein eines dem Endnutzer zugänglichen Bedienelements oder Schalters bezeichnet "Aus-Zustand" den Betriebszustand mit stabiler Leistungsaufnahme, den der Haushaltswäschetrockner selbsttätig erreicht;

16. "unausgeschalteter Zustand" bezeichnet den Betriebszustand mit der geringsten Leistungsaufnahme, der nach Abschluss des Programms abgesehen vom Entleeren des Haushaltswäschetrockners ohne weiteres Einwirken des Endnutzers zeitlich unbegrenzt möglich ist;

17. "gleichwertiger Haushaltswäschetrockner" bezeichnet ein in Verkehr gebrachtes Haushaltswäschetrockner-Modell mit der gleichen Nennkapazität, den gleichen technischen Eigenschaften und Leistungsmerkmalen, dem gleichen Energieverbrauch, ggf. der gleichen Kondensationseffizienz, der gleichen Standard-Baumwollprogrammdauer sowie den gleichen Luftschallemissionen während des Trocknens wie ein von demselben Lieferanten unter einer anderen numerischen Handelsbezeichnung in Verkehr gebrachtes anderes Haushaltswäschetrocknermodell;

18. "Standard-Baumwollprogramm" bezeichnet den Zyklus, bei dem Baumwollwäsche mit einem anfänglichen Feuchtigkeitsgehalt des Trockenguts von 60 % bis zu einem restlichen Feuchtigkeitsgehalt des Trockenguts von 0 % getrocknet wird.

Artikel 3 Ökodesign-Anforderungen

Die allgemeinen Ökodesign-Anforderungen an Haushaltswäschetrockner sind in Anhang I Nummer 1 aufgeführt. Die spezifischen Ökodesign-Anforderungen an Haushaltswäschetrockner sind in Anhang I Nummer 2 aufgeführt.

Für andere in Anhang I Teil 1 der Richtlinie 2009/125/EG genannte Ökodesign-Parameter ist keine Ökodesign-Anforderung erforderlich.

Artikel 4 Konformitätsbewertung

(1) Das in Artikel 8 der Richtlinie 2009/125/EG genannte Verfahren zur Konformitätsbewertung ist die in Anhang IV jener Richtlinie beschriebene interne Entwurfskontrolle oder das in Anhang V jener Richtlinie beschriebene Managementsystem.

(2) Zur Konformitätsbewertung gemäß Artikel 8 der Richtlinie 2009/125/EG müssen die technischen Unterlagen eine Kopie der gemäß Anhang II dieser Verordnung vorgenommenen Berechnungen enthalten.

Wurden die in den technischen Unterlagen enthaltenen Angaben für ein bestimmtes Haushaltswäschetrocknermodell durch Berechnung auf der Grundlage der Auslegung oder durch Extrapolation ausgehend von gleichwertigen Haushaltswäschetrocknern oder durch beides ermittelt, sind in den technischen Unterlagen Einzelheiten zu den Berechnungen oder Extrapolationen oder zu beiden sowie zu den Tests, die von den Herstellern zur Überprüfung der Genauigkeit der Berechnungen durchgeführt werden, anzugeben. In solchen Fällen umfassen die technischen Unterlagen auch eine Liste aller anderen gleichwertigen Haushaltswäschetrocknermodelle, bei denen die in den technischen Unterlagen enthaltenen Angaben auf dieselbe Weise ermittelt wurden.

Artikel 5 Nachprüfungsverfahren zur Marktaufsicht

Bei der Durchführung der in Artikel 3 Absatz 2 der Richtlinie 2009/125/EG genannten Marktaufsichtsprüfungen hinsichtlich der Erfüllung der Anforderungen des Anhangs I dieser Verordnung wenden die Behörden der Mitgliedstaaten das in Anhang III dieser Verordnung beschriebene Nachprüfungsverfahren an.

Artikel 6 Referenzwerte

Die unverbindlichen Referenzwerte für die Haushaltswäschetrockner mit der besten Leistung, die zum Zeitpunkt des Inkrafttretens dieser Verordnung auf dem Markt sind, sind in Anhang IV aufgeführt.

Artikel 7 Überprüfung

Die Kommission überprüft diese Verordnung spätestens fünf Jahre nach ihrem Inkrafttreten unter Berücksichtigung des technischen Fortschritts und übermittelt dem Ökodesign-Konsultationsforum die Ergebnisse dieser Überprüfung. Bei der Überprüfung werden insbesondere die Prüftoleranzen nach Anhang III und die Effizienz der Abluftgeräte bewertet.

Artikel 8 Inkrafttreten und Geltung

(1) Diese Verordnung tritt am zwanzigsten Tag nach ihrer Veröffentlichung im Amtsblatt der Europäischen Union in Kraft.

(2) Sie gilt ab dem 1. November 2013.

Abweichend davon

  1. gelten die allgemeinen Ökodesign-Anforderungen in Anhang I Nummern 1.1 und 1.2 ab dem 1. November 2014;
  2. gelten die spezifischen Ökodesign-Anforderungen in Anhang I Nummer 2.2 ab dem 1. November 2015.

Diese Verordnung ist in allen ihren Teilen verbindlich und gilt unmittelbar in jedem Mitgliedstaat.

Brüssel, den 3. Oktober 2012


1) ABl. Nr. L 285 vom 31.10.2009 S. 10.

2) ABl. Nr. L 204 vom 21.07.1998 S. 37.

.

Ökodesign-Anforderungen Anhang I


1. Allgemeine Ökodesign-Anforderungen

1.1 Der Berechnung des Energieverbrauchs und anderer Parameter von Haushaltswäschetrocknern wird der Zyklus für das Trocknen von Baumwollwäsche (mit einem anfänglichen Feuchtegehalt des Füllguts von 60 %) bis zu einem Restfeuchtegehalt des Füllguts von 0 % (im Folgenden "das Standard-Baumwollprogramm") zugrunde gelegt. Dieser Zyklus muss auf der/den Programmwahleinrichtung(en) des Haushaltswäschetrockners und/oder dessen ggf. vorhandener Anzeige mit der Benennung "Standard-Baumwollprogramm" oder mit einem einheitlichen Symbol oder einer geeigneten Kombination von beidem deutlich erkennbar und als standardmäßig verwendeter Zyklus für Haushaltswäschetrockner eingestellt sein, die über eine automatische Programmwahl oder eine Funktion für die automatische Wahl eines Trocknungsprogramms oder die Aufrechterhaltung einer Programmwahl verfügen. Handelt es sich bei dem Wäschetrockner um einen automatischen Wäschetrockner, ist das "Standard-Baumwollprogramm" ein Programm mit automatischer Abschaltung.

1.2. Die vom Hersteller bereitgestellte Bedienungsanleitung muss Folgendes enthalten:

  1. Informationen zum "Standard-Baumwollprogramm", wobei anzugeben ist, dass es zum Trocknen normaler nasser Baumwollwäsche geeignet und in Bezug auf den Energieverbrauch für das Trocknen nasser Baumwollwäsche am effizientesten ist;
  2. Angabe der Leistungsaufnahme im Aus-Zustand und im unausgeschalteten Zustand;
  3. ungefähre Angabe der Programmdauer und des Energieverbrauchs der Haupttrocknungsprogramme sowohl bei vollständiger Befüllung als auch, sofern anwendbar, bei Teilbefüllung.

2. Spezifische Ökodesign-Anforderungen

Haushaltswäschetrockner müssen den folgenden Anforderungen genügen:

2.1. Ab dem 1. November 2013:

2.2. Ab dem 1. November 2015:

Der Energieeffizienzindex (EEI) und die gewichtete Kondensationseffizienz werden gemäß Anhang II berechnet.

.

Methode zur Berechnung des Energieeffizienzindex und der gewichteten Kondensationseffizienz Anhang II


1. Berechnung des Energieeffizienzindex

Zur Berechnung des Energieeffizienzindex (EEI) eines Haushaltswäschetrocknermodells wird der gewichtete jährliche Energieverbrauch eines Haushaltswäschetrockners für das Standard-Baumwollprogramm bei vollständiger Befüllung und Teilbefüllung mit seinem jährlichen Standardenergieverbrauch verglichen.

  1. Der Energieeffizienzindex (EEI) wird wie folgt berechnet und auf eine Dezimalstelle auf- oder abgerundet:
    AEC
    EEI =
    × 100
    SAEC

    Hierbei ist

  2. Der jährliche Standardenergieverbrauch (SAEC) wird wie folgt berechnet und auf zwei Dezimalstellen auf- oder abgerundet in kWh/Jahr angegeben:
  3. Der gewichtete jährliche Energieverbrauch (AEC ) wird wie folgt berechnet und auf zwei Dezimalstellen auf- oder abgerundet in kWh/Jahr angegeben:
    1. ...

    Hierbei ist

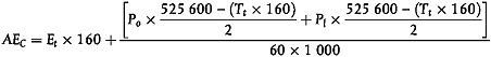
  4. Sofern der Haushaltswäschetrockner mit Leistungssteuerung ausgestattet ist und so am Programmende automatisch in den Aus-Zustand schaltet, wird der gewichtete jährliche Energieverbrauch (AEC) unter Berücksichtigung der tatsächlichen Dauer des unausgeschalteten Zustands nach der folgenden Formel berechnet:

    Hierbei ist


Die gewichtete Programmdauer (Tt) für das Standard-Baumwollprogramm wird wie folgt in Minuten berechnet und auf die nächste ganze Minute auf- oder abgerundet:

Tt = (3 × Tdry + 4 × Tdry1/2)/7

Hierbei ist

Der gewichtete Energieverbrauch (Et) wird wie folgt berechnet und auf zwei Dezimalstellen auf- oder abgerundet in kWh angegeben:

Et = (3 × Edry + 4 × Edry1/2)/7

Hierbei ist

Für gasbeheizte Haushaltswäschetrockner wird der Energieverbrauch für das Standard-Baumwollprogramm bei vollständiger Befüllung und bei Teilbefüllung wie folgt berechnet und auf zwei Dezimalstellen auf- oder abgerundet in kWh angegeben:

Hierbei ist

2. Berechnung der gewichteten Kondensationseffizienz

Die Kondensationseffizienz eines Programms ist der Quotient der Masse der kondensierten, im Behälter eines Kondensationshaushaltswäschetrockners gesammelten Feuchtigkeit und der dem Füllgut durch das Programm entzogenen Feuchtigkeit, wobei letztere die Differenz der Masse des nassen Testfüllguts vor dem Trocknen und der Masse des Testfüllguts nach dem Trocknen ist. Zur Berechnung der gewichteten Kondensationseffizienz wird die durchschnittliche Kondensationseffizienz des Standard-Baumwollprogramms sowohl bei vollständiger Befüllung als auch bei Teilbefüllung berücksichtigt.

Die gewichtete Kondensationseffizienz (Ct) eines Programms wird wie folgt in Prozent berechnet und auf das nächste ganze Prozent auf- oder abgerundet:

Ct=(3 × Cdry + 4 × Cdry)/7

Hierbei ist

Die durchschnittliche Kondensationseffizienz C wird anhand der Werte für die Kondensationseffizienz der Testläufe berechnet und als Prozentsatz angegeben:

Hierbei ist

.

Prüfung der Produktkonformität durch die Marktaufsichtsbehörden Anhang III 16

Die in diesem Anhang festgelegten Prüftoleranzen betreffen nur die Nachprüfung der gemessenen Parameter durch die Behörden der Mitgliedstaaten und dürfen vom Hersteller oder Importeur keinesfalls als zulässige Toleranzen für die Angabe der Werte in den technischen Unterlagen, die Interpretation dieser Werte zur Erreichung der Konformität oder zur Angabe besserer Leistungskennwerte verwendet werden.

Wenn die Behörden der Mitgliedstaaten gemäß Artikel 3 Absatz 2 der Richtlinie 2009/125/EG prüfen, ob das Modell eines Produkts den in dieser Verordnung festgelegten Bestimmungen in Bezug auf die in diesem Anhang genannten Anforderungen entspricht, wenden sie folgendes Verfahren an:

(1) Die Behörden der Mitgliedstaaten prüfen ein einziges Exemplar des Modells.

(2) Das Modell gilt als konform mit den geltenden Anforderungen, wenn

  1. die Werte in den technischen Unterlagen gemäß Anhang IV Nummer 2 der Richtlinie 2009/125/EG (angegebene Werte) und, wenn zutreffend, die zur Berechnung dieser Werte verwendeten Werte für den Hersteller oder Importeur nicht günstiger sind als die Ergebnisse der entsprechenden Messungen gemäß Buchstabe g des genannten Anhangs; und
  2. die angegebenen Werte die in dieser Verordnung festgelegten Anforderungen erfüllen und die erforderlichen vom Hersteller oder Importeur veröffentlichten Produktinformationen keine Werte enthalten, die für den Hersteller oder Importeur günstiger sind als die angegebenen Werte; und
  3. bei Prüfung des Exemplars des Modells durch die Behörden der Mitgliedstaaten die ermittelten Werte (bei der Prüfung gemessene Werte der relevanten Parameter und die aufgrund dieser Messungen berechneten Werte) den in Tabelle 1 angegebenen Prüftoleranzen entsprechen.

(3) Werden die in Absatz 2 Buchstaben a oder b genannten Ergebnisse nicht erreicht, gelten das Modell und alle in den technischen Unterlagen des Herstellers oder Importeurs als gleichwertig aufgeführten Modelle von Haushaltswäschetrocknern als nicht konform mit dieser Verordnung.

(4) Wird das in Absatz 2 Buchstabe c genannte Ergebnis nicht erreicht, wählen die Behörden des Mitgliedstaats drei weitere Exemplare des gleichen Modells für die Prüfung aus. Alternativ können drei weitere Exemplare eines oder mehrerer anderer Modelle ausgewählt werden, die in den technischen Unterlagen des Herstellers oder Importeurs als gleichwertige Modelle aufgeführt werden.

(5) Das Modell gilt als konform mit den geltenden Anforderungen, wenn für diese drei Exemplare das arithmetische Mittel der ermittelten Werte innerhalb der in Tabelle 1 angegebenen Prüftoleranzen liegt.

(6) Wird das in Absatz 5 genannte Ergebnis nicht erreicht, gelten das Modell und alle in den technischen Unterlagen des Herstellers oder Importeurs als gleichwertig aufgeführten Modelle von Haushaltswäschetrocknern als nicht konform mit dieser Verordnung.

(7) Die Behörden des Mitgliedstaats übermitteln den Behörden der anderen Mitgliedstaaten und der Kommission alle relevanten Informationen unverzüglich nach einer Entscheidung über die Nichtkonformität des Modells gemäß den Absätzen 3 und 6.

Die Behörden der Mitgliedstaaten verwenden Messverfahren, die sich auf allgemein anerkannte, dem Stand der Technik entsprechende, zuverlässige, genaue und reproduzierbare Messmethoden stützen, einschließlich von Methoden, die in Dokumenten dargelegt werden, deren Nummern zu diesem Zweck im Amtsblatt der Europäischen Union veröffentlicht wurden. Die Behörden der Mitgliedstaaten verwenden die Mess- und Berechnungsmethoden, die in Anhang II beschrieben werden.

Die Behörden der Mitgliedstaaten wenden nur die in Tabelle 1 aufgeführten Prüftoleranzen und in Bezug auf die in diesem Anhang genannten Anforderungen nur das in den Absätzen 1 bis 7 beschriebene Verfahren an. Es finden keine anderen Toleranzen Anwendung, die etwa in harmonisierten Normen oder in anderen Messverfahren festgelegt sind.

Tabelle 1 : Prüftoleranzen

Parameter Prüftoleranzen
Gewichteter jährlicher Energieverbrauch (AEC) Der ermittelte Wert darf den angegebenen AEC -Wert nicht um mehr als 6 % überschreiten.
Gewichteter Energieverbrauch (Et) Der ermittelte Wert darf den angegebenen Et -Wert nicht um mehr als 6 % überschreiten.
Gewichtete Kondensationseffizienz (Ct) Der ermittelte Wert darf den angegebenen Ct-Wert nicht um mehr als 6 % unterschreiten.
Gewichtete Programmdauer (Tt) Die ermittelten Werte dürfen die angegebenen Tt -Werte nicht um mehr als 6 % überschreiten.
Leistungsaufnahme im Aus-Zustand und im unausgeschalteten Zustand (Po und Pl) Die ermittelten Leistungsaufnahmewerte für Po und Pl von über 1,00 W dürfen die angegebenen Werte für Po und Pl nicht um mehr als 6 % überschreiten. Die ermittelten Leistungsaufnahmewerte für Po und Pl bis 1,00 W dürfen die angegebenen Werte für Po und Pl nicht um mehr als 0,10 W überschreiten.
Dauer des unausgeschalteten Zustands (Tl) Der ermittelte Wert darf den angegebenen Tl -Wert nicht um mehr als 6 % überschreiten.


.

Referenzwerte Anhang IV


Zum Zeitpunkt des Inkrafttretens dieser Verordnung werden für Haushaltswäschetrockner die besten am Markt verfügbaren Technologien in Bezug auf den Energieverbrauch und die Luftschallemissionen beim Trocknen im Standard- Baumwollprogramm wie folgt ermittelt:

  1. Ablufthaushaltswäschetrockner mit einer Nennkapazität von 3 kg:
    1. Energieverbrauch: 1,89 kWh/Zyklus für den Standard-Baumwollzyklus bei vollständiger Befüllung, entspricht rund 247 kWh/Jahr *;
    2. Luftschallemissionen: 69 dB.
  2. Ablufthaushaltswäschetrockner mit einer Nennkapazität von 5 kg:
    1. Energieverbrauch: 2,70 kWh/Zyklus für den Standard-Baumwollzyklus bei vollständiger Befüllung, entspricht rund 347 kWh/Jahr *;
    2. Luftschallemissionen: keine Angabe.
  3. Gasbeheizte Ablufthaushaltswäschetrockner mit einer Nennkapazität von 5 kg:
    1. Gas-Energieverbrauch: 3,25 kWhGas/Zyklus, entsprechend 1,3 kWh für den Standard-Baumwollzyklus bei vollständiger Befüllung. Jährlicher Energieverbrauch: keine Angabe.
    2. Luftschallemissionen: keine Angabe.
  4. Kondensationshaushaltswäschetrockner mit einer Nennkapazität von 5 kg:
    1. Energieverbrauch: 3,10 kWh/Zyklus für den Standard-Baumwollzyklus bei vollständiger Befüllung, entspricht rund 396 kWh/Jahr *;
    2. Luftschallemissionen: keine Angabe.
  5. Ablufthaushaltswäschetrockner mit einer Nennkapazität von 6 kg:
    1. Energieverbrauch: 3,84 kWh/Zyklus für den Standard-Baumwollzyklus bei vollständiger Befüllung, entspricht rund 487 kWh/Jahr *;
    2. Luftschallemissionen: 67 dB.
  6. Kondensationshaushaltswäschetrockner mit einer Nennkapazität von 6 kg:
    1. Energieverbrauch: 1,58 kWh/Zyklus für den Standard-Baumwollzyklus bei vollständiger Befüllung, entspricht rund 209 kWh/Jahr *;
    2. Luftschallemissionen: keine Angabe.
  7. Ablufthaushaltswäschetrockner mit einer Nennkapazität von 7 kg:
    1. Energieverbrauch: 3,9 kWh/Zyklus für den Standard-Baumwollzyklus bei vollständiger Befüllung, entspricht rund 495 kWh/Jahr *;
    2. Luftschallemissionen: 65 dB.
  8. Gasbeheizte Ablufthaushaltswäschetrockner mit einer Nennkapazität von 7 kg:
    1. Gas-Energieverbrauch: 3,4 kWhGas/Zyklus, entsprechend 1,36 kWh für den Standard-Baumwollzyklus bei vollständiger Befüllung. Jährlicher Energieverbrauch: keine Angabe;
    2. Luftschallemissionen: keine Angabe.
  9. Kondensationshaushaltswäschetrockner mit einer Nennkapazität von 7 kg:
    1. Energieverbrauch: 1,6 kWh/Zyklus für den Standard-Baumwollzyklus bei vollständiger Befüllung, entspricht rund 211 kWh/Jahr *;
    2. Luftschallemissionen: 65 dB.
  10. Ablufthaushaltswäschetrockner mit einer Nennkapazität von 8 kg:
    1. Energieverbrauch: 4,1 kWh/Zyklus für den Standard-Baumwollzyklus bei vollständiger Befüllung, entspricht rund 520 kWh/Jahr *;
    2. Luftschallemissionen: 65 dB.
  11. Kondensationshaushaltswäschetrockner mit einer Nennkapazität von 8 kg:
    1. Energieverbrauch: 2,30 kWh/Zyklus für den Standard-Baumwollzyklus bei vollständiger Befüllung, entspricht rund 297 kWh/Jahr *;
    2. Luftschallemissionen: keine Angabe.


*) Berechnet unter Zugrundelegung von 160 Trocknungszyklen im Jahr mit einem Energieverbrauch für das Standard-Baumwollprogramm bei Teilbefüllung von 60 % des Energieverbrauchs bei vollständiger Befüllung und einem zusätzlichen jährlichen Energieverbrauch in Betriebszuständen mit geringer Leistungsaufnahme von 13,5 kWh.


ENDE

umwelt-online - Demo-Version


(Stand: 26.08.2025)

Alle vollständigen Texte in der aktuellen Fassung im Jahresabonnement
Nutzungsgebühr: ab 105.- € netto (Grundlizenz)

(derzeit ca. 7200 Titel s.Übersicht - keine Unterteilung in Fachbereiche)

Preise & Bestellung

Die Zugangskennung wird kurzfristig übermittelt

? Fragen ?
Abonnentenzugang/Volltextversion