Regelwerk, EU 2002, Lärm - EU Bund

Richtlinie 2002/49/EG des Europäischen Parlaments und des Rates vom 25. Juni 2002 über die Bewertung und Bekämpfung von Umgebungslärm

(ABl. Nr. L 189 vom 18.07.2002 S. 12)



zur RL 2002/49/EG

.

Bewertungsmethoden für Lärmindizes
(nach Artikel 6 der Richtlinie 2002/49/EG)
Anhang II15


1. Einleitung

Die Werte Lden und Lnight werden an den Messpunkten an den Immissionspunkten durch Berechnung anhand des in Kapitel 2 dargelegten Verfahrens und der in Kapitel 3 beschriebenen Daten bestimmt. Messungen können gemäß Kapitel 4 durchgeführt werden.

2. Gebräuchliche Verfahren zur Lärmbewertung

2.1. Allgemeine Bestimmungen - Straßenverkehrs-, Eisenbahn- und Industrie-/Gewerbelärm

2.1.1. Definition der Indizes, Frequenzbereiche und Frequenzbänder

Die Lärmberechnung ist im Frequenzbereich der Oktavbänder von 63 Hz bis 8 kHz vorzunehmen, und die Ergebnisse für die Frequenzbänder sind im entsprechenden Frequenzintervall vorzulegen.

Die Berechnung des Straßenverkehrs-, Eisenbahn- und Industrie-/Gewerbelärms erfolgt in Oktavbändern, ausgenommen jedoch die Schallleistung der Quelle des Schienenverkehrslärms, bei der die Terzbänder genutzt werden. Für den Straßenverkehrs-, Eisenbahn- und Industrie-/Gewerbelärm, der auf diesen Oktavbandergebnissen beruht, wird der A-bewertete Langzeit-Dauerschallpegel für den Zeitraum Tag, Abend und Nacht gemäß Anhang I und Artikel 5 der Richtlinie 2002/49/EG durch Summierung über alle Frequenzen berechnet:

(2.1.1)

Hierbei gilt:

Ai bezeichnet die A-Bewertungskorrektur gemäß IEC 61672-1

i = Frequenzbandindex

und T ist der Zeitraum Tag, Abend oder Nacht.

Lärmparameter:

Lp Momentaner Schalldruckpegel [dB]
(re 2 · 10-5 Pa)
LAeq,LT Gesamt-Langzeit-Dauerschallpegel LAeq ausgehend von allen Quellen und Spiegelquellen am Punkt R [dB]
(re 2 · 10-5 Pa)
LW In-Situ-Schallleistungspegel einer Punktquelle (Bewegung oder Stand) [dB]
(re 10-12 W)
LW,i,dir Gerichteter In-Situ-Schallleistungspegel für das i-te Frequenzband [dB]
(re 10-12 W)
LW2 Durchschnittlicher In-Situ-Schallleistungspegel je Meter Linienquelle [dB/m]
(re 10-12 W)

Weitere physikalische Parameter:

p Effektivwert des momentanen Schalldrucks [Pa]
p0 Referenzschalldruck = 2 · 10-5 Pa [Pa]
W0 Referenzschallleistung = 10-12 W [Watt]

2.1.2. Qualitätsrahmen

Genauigkeit der Eingangswerte

Alle Eingangswerte, die den Emissionspegel einer Quelle beeinflussen, sind mit mindestens der Genauigkeit zu bestimmen, die einer Unsicherheit von ± 2 dB (A) im Emissionspegel der Quelle entspricht (wobei alle anderen Parameter unverändert bleiben).

Nutzung von Standardwerten

Bei der Anwendung des Verfahrens müssen die Eingangswerte der tatsächlichen Nutzung entsprechen. Generell dürfen keine Standardeingangswerte oder -annahmen zugrunde gelegt werden. Standardeingangswerte und -annahmen werden akzeptiert, wenn die Erfassung realer Daten mit unverhältnismäßig hohen Kosten verbunden ist.

Qualität der für die Berechnungen verwendeten Software

Die Konformität der zur Durchführung der Berechnungen verwendeten Software mit den Verfahren gemäß diesem Anhang ist dadurch nachzuweisen, dass die Ergebnisse anhand von Testfällen bestätigt werden.

2.2. Straßenverkehrslärm

2.2.1. Beschreibung der Quellen

Klassifizierung der Fahrzeuge

Die Quelle von Straßenverkehrslärm wird durch Kombination der Schallemission jedes einzelnen Fahrzeugs, das Teil des Verkehrsflusses ist, bestimmt. Die Fahrzeuge werden ausgehend von den Merkmalen ihrer Schallemission in fünf Klassen eingeteilt:

Klasse 1: Leichte Kraftfahrzeuge,

Klasse 2: Mittelschwere Fahrzeuge,

Klasse 3: Schwere Fahrzeuge,

Klasse 4: Zweirädrige Kraftfahrzeuge,

Klasse 5: Offene Kategorie.

Bei den zweirädrigen Kraftfahrzeugen erfolgt eine weitere Unterteilung in zwei Teilklassen, nämlich Mopeds und leistungsstärkere Krafträder, da sie sehr unterschiedlich gefahren werden und ihre Geräuschemissionen in der Regel weit auseinander liegen.

Die ersten vier Klassen sind zwingend vorgeschrieben, die fünfte Klasse ist optional. Sie ist für neue Fahrzeuge vorgesehen, die möglicherweise in Zukunft entwickelt werden und deren Schallemission sich so weit unterscheidet, dass für sie eine zusätzliche Klasse festgelegt werden muss. Dies könnten beispielsweise Elektro- oder Hybridfahrzeuge sein, die künftig entwickelt werden und sich erheblich von den Fahrzeugen in den Klassen 1 bis 4 unterscheiden.

Genaue Angaben zu den verschiedenen Fahrzeugklassen finden sich in Tabelle [ 2.2.a].

Tabelle [2.2.a] Fahrzeugklassen

Klasse Bezeichnung Beschreibung Fahrzeugklasse in EG-Typgenehmigung für vollständige Fahrzeuge1
1 Leichte Kraftfahrzeuge PKW, Lieferwagen ≤ 3,5 t, Geländewagen (SUV)2, Großraumlimousinen3, einschließlich Anhänger und Wohnwagen M1 und N1
2 Mittelschwere Fahrzeuge Mittelschwere Fahrzeuge, Lieferwagen> 3,5 t, Busse, Wohnmobile usw. mit zwei Achsen und Doppelbereifung auf der Hinterachse M2, M3 und N2, N3
3 Schwere Fahrzeuge Schwere Nutzfahrzeuge, Reisebusse, Busse, mit drei oder mehr Achsen M2 und N2 mit Anhänger, M3 und N3
4 Zweirädrige Kraftfahrzeuge 4a Zwei-, drei- und vierrädrige Mopeds L1, L2, L6
4b Motorräder mit und ohne Seitenwagen, drei- und vierrädrige Motorräder L3, L4, L5, L7
5 Offene Klasse Entsprechend dem künftigen Bedarf k. A.
1) Richtlinie 2007/46/EG des Europäischen Parlaments und des Rates vom 5. September 2007 (ABl. Nr. L 263 vom 09.10.2007 S. 1) zur Schaffung eines Rahmens für die Genehmigung von Kraftfahrzeugen und Kraftfahrzeuganhängern sowie von Systemen, Bauteilen und selbstständigen technischen Einheiten für diese Fahrzeuge.

2) SUV (Sports Utility Vehicles) Geländewagen.

3) MPV (Multi-Purpose Vehicles) Mehrzweckfahrzeuge.

Anzahl und Position Ersatzschallquellen

Bei diesem Verfahren wird jedes Fahrzeug (Klasse 1, 2, 3, 4 und 5) durch eine einzige Punktquelle dargestellt, die gleichförmig in den 2π-Halbraum über dem Boden abstrahlt. Die erste Reflexion an der Straßenoberfläche wird implizit behandelt. Wie in Abbildung [ 2.2.a] dargestellt, befindet sich die Punktquelle 0,05 m über der Straßenoberfläche.

Abbildung [2.2.a] Position der äquivalenten Punktquelle bei leichten Fahrzeugen (Klasse 1), schweren Fahrzeugen (Klassen 2 und 3) und zweirädrigen Kraftfahrzeugen (Klasse 4)

Die Darstellung des Verkehrsflusses erfolgt durch eine Linienquelle. Bei der Modellierung einer Straße mit mehreren Fahrspuren sollte idealerweise jede Fahrspur durch eine in ihrer Mitte verlaufende Linienquelle repräsentiert werden. Es ist jedoch auch akzeptabel, bei einer Straße mit zwei Richtungsfahrbahnen eine Linienquelle in der Straßenmitte oder bei mehrspurigen Straßen eine Linienquelle je Fahrbahn in der äußeren Fahrspur zu modellieren.

Schallleistungspegel

Allgemeine Betrachtungen

Da die Schallleistung der Quelle im "akustischen Halbraum" definiert wird, umfasst die Schallleistung auch den Effekt der Reflexion am Boden direkt unter der modellierten Quelle, wo es, abgesehen von der Reflexion an der Straßenoberfläche, die sich nicht direkt unter der modellierten Quelle befindet, keine störenden Gegenstände im unmittelbaren Umfeld gibt.

Verkehrsfluss

Die Schallemission eines Verkehrsflusses wird durch eine Linienquelle dargestellt, die durch ihre gerichtete Schallleistung je Meter pro Frequenz gekennzeichnet ist. Dies entspricht der Summe der Schallemission der einzelnen Fahrzeuge im Verkehrsfluss unter Berücksichtigung der von den Fahrzeugen im untersuchten Straßenabschnitt verbrachten Zeit. Die Darstellung des einzelnen Fahrzeugs im Fluss erfordert die Anwendung eines Verkehrsflussmodells.

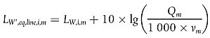
Wird ein stetiger Verkehrsfluss von Qm Fahrzeugen der Klasse m je Stunde mit einer Durchschnittsgeschwindigkeit νm (in km/h) angenommen, so wird die gerichtete Schallleistung je Meter im Frequenzband i der Linienquelle LW', eq,line,i,m bestimmt durch:

(2.2.1)

wobei LW,i,m die gerichtete Schallleistung eines einzelnen Fahrzeugs ist. LW',m wird in dB angegeben (re 10-12 W/m). Diese Schallleistungspegel werden für jedes Oktavband i von 63 Hz bis 8 kHz berechnet.

Verkehrsflussdaten Qm sind als Jahresdurchschnitt je Stunde, je Zeitraum (Tag-Abend-Nacht), je Fahrzeugklasse und je Linienquelle anzugeben. Für alle Klassen sind die Eingabedaten für den Verkehrsfluss zu verwenden, die im Rahmen von Straßenverkehrszählungen oder mithilfe von Verkehrsmodellen ermittelt wurden.

Die Geschwindigkeit νm ist eine repräsentative Geschwindigkeit je Fahrzeugklasse: in den meisten Fällen die gesetzliche Höchstgeschwindigkeit für den Straßenabschnitt oder die gesetzliche Höchstgeschwindigkeit für die Fahrzeugklasse, je nachdem, welcher Wert niedriger ist. Stehen vor Ort erfasste Messdaten nicht zur Verfügung, wird die gesetzliche Höchstgeschwindigkeit für die Fahrzeugklasse verwendet.

Einzelnes Fahrzeug

Im Verkehrsfluss wird für alle Fahrzeuge der Klasse m angenommen, dass sie mit der gleichen Geschwindigkeit fahren, also νm, der Durchschnittsgeschwindigkeit des Verkehrsflusses der Klasse.

Ein Straßenfahrzeug wird mittels einer Reihe mathematischer Gleichungen modelliert, die die beiden Hauptgeräuschquellen repräsentieren:

  1. Rollgeräusche aufgrund der Wechselwirkung Reifen/Straße;
  2. Antriebsgeräusche, die vom Antriebssystem (Motor, Auspuff usw.) des Fahrzeugs erzeugt werden.

Aerodynamische Geräusche sind in der Quelle für Rollgeräusche inbegriffen.

Für leichte, mittelschwere und schwere Kraftfahrzeuge (Klassen 1, 2 und 3) entspricht die Gesamtschallleistung der energetischen Summe der Roll- und der Antriebsgeräusche. Somit wird der Gesamtschallleistungspegel der Linienquellen m = 1, 2 oder 3 definiert durch:

(2.2.2)

wobei LWR,i,m der Schallleistungspegel für Rollgeräusche und LWP,i,m der Schallleistungspegel für Antriebsgeräusche ist. Dies gilt für alle Geschwindigkeitsbereiche. Bei Geschwindigkeiten unter 20 km/h entspricht der Schallleistungspegel dem Wert, wie er durch die Formel für vm = 20 km/h bestimmt ist.

Für zweirädrige Kraftfahrzeuge (Klasse 4) werden für die Quelle nur die Antriebsgeräusche berücksichtigt:

LW,i,m = 4m = 4) = LWP,i,m = 4m = 4) (2.2.3)

Dies gilt für alle Geschwindigkeitsbereiche. Bei Geschwindigkeiten unter 20 km/h entspricht der Schallleistungspegel dem Wert, wie er durch die Formel für vm = 20 km/h bestimmt ist.

2.2.2. Referenzbedingungen

Die Quellengleichungen und -koeffizienten gelten für folgende Referenzbedingungen:

2.2.3. Rollgeräusche

Allgemeine Gleichung

Der Schallleistungspegel der Rollgeräusche im Frequenzband i für ein Fahrzeug der Klasse m = 1, 2 oder 3 wird definiert als:

(2.2.4)

Die Koeffizienten AR,i,m und BR,i,m sind für jede Fahrzeugklasse und für eine Referenzgeschwindigkeit von νref = 70 km/h in Oktavbändern gegeben. ΔLWR,i,m entspricht der Summe der Korrekturkoeffizienten, die auf die Rollgeräuschemissionen bei bestimmten Straßen- oder Fahrzeugbedingungen angewendet werden, die von den Referenzbedingungen abweichen:

ΔLWR,i,m = ΔLWR,road,i,m + ΔLstuddedtyres,i,m + ΔLWR,acc,i,m + ΔLW,temp (2.2.5)

ΔLWR,road,i,m dient der Berücksichtigung des Einflusses, den eine Straßenoberfläche mit akustischen Eigenschaften, die von denen der virtuellen Referenzoberfläche nach Abschnitt 2.2.2 abweichen, auf die Rollgeräusche ausübt. Der Wert schließt den Einfluss sowohl auf die Ausbreitung als auch auf die Entstehung ein.

ΔLstudded tyres,i,m ist ein Korrekturkoeffizient für die höheren Rollgeräusche leichter Fahrzeuge mit Spikereifen.

ΔLWR,acc,i,m dient der Berücksichtigung des Einflusses, den eine Kreuzung mit Verkehrsampeln oder ein Kreisverkehr auf die Rollgeräusche ausübt. Der Wert schließt den Einfluss der Geschwindigkeitsveränderung auf die Geräuscherzeugung ein.

ΔLW,temp ist ein Term zur Korrektur einer Durchschnittstemperatur τ, die von der Referenztemperatur τref = 20 °C abweicht.

Korrektur um den Einfluss von Spikereifen

In den Fällen, in denen eine erhebliche Anzahl leichter Fahrzeuge im Verkehrsfluss jedes Jahr mehrere Monate lang Spikereifen benutzt, ist der dadurch bewirkte Einfluss auf die Rollgeräusche zu berücksichtigen. Für jedes Fahrzeug der Klasse m = 1, das mit Spikereifen ausgestattet ist, wird der geschwindigkeitsabhängige Anstieg der Rollgeräuschemissionen wie folgt bewertet:

(2.2.6)

wobei die Koeffizienten ai und bi für jedes Oktavband gegeben sind.

Die Zunahme der Rollgeräuschemissionen wird nur gemäß dem Anteil leichter Fahrzeuge mit Spikereifen und für einen begrenzten Zeitraum Ts (in Monaten) über das Jahr angerechnet. Wenn Qstud,ratio der durchschnittliche Anteil der mit Spikereifen ausgestatteten leichten Fahrzeuge am Gesamtaufkommen dieser Fahrzeuge je Stunde im Zeitraum Ts (in Monaten) ist, dann wird der jährliche durchschnittliche Anteil von mit Spikereifen ausgestatteten Fahrzeugen ps angegeben durch:

ps = Qstud,ratio x (Ts/12) (2.2.7)

Die resultierende Korrektur der Schallleistung der Rollgeräuschemissionen aufgrund des Gebrauchs von Spikereifen für Fahrzeuge der Klasse m = 1 im Frequenzband i ist demnach:

(2.2.8)

Für die Fahrzeuge der anderen Klassen ist keine Korrektur vorzunehmen:

ΔLstuddedtyres,i,m ¹ 1 = 0 (2.2.9)

Einfluss der Lufttemperatur auf die Rollgeräuschkorrektur

Die Lufttemperatur beeinflusst die Rollgeräuschemissionen in der Form, dass der Schallleistungspegel der Rollgeräusche mit steigender Lufttemperatur absinkt. Der Einfluss der Lufttemperatur wird in die Korrektur der Rollgeräusche auf der Straßenoberfläche einbezogen. Die Korrektur der Rollgeräusche auf der Straßenoberfläche wird normalerweise bei einer Lufttemperatur von τref = 20 °C bewertet. Im Falle einer anderen Jahresdurchschnittslufttemperatur (in °C) wird der durch die Straßenoberfläche verursachte Schall korrigiert durch:

ΔLW,temp,m(τ) = Km x (τref - τ) (2.2.10)

Der Korrekturterm ist bei Temperaturen unter 20 °C positiv (d. h. der Schallpegel steigt) und bei höheren Temperaturen negativ (d. h. der Schallpegel sinkt). Der Koeffizient K ist abhängig von der Straßenoberfläche und den Reifenmerkmalen und weist im Allgemeinen eine gewisse Frequenzabhängigkeit auf. Bei allen Straßenoberflächen ist ein generischer Koeffizient für leichte Fahrzeuge (Klasse 1) von Km = 1 = 0,08 dB/°C und für schwere Fahrzeuge (Klassen 2 und 3) von Km = 2 = Km = 3 = 0,04 dB/°C anzuwenden. Der Korrekturkoeffizient ist auf alle Oktavbänder von 63 Hz bis 8.000 Hz gleichmäßig anzuwenden.

2.2.4. Antriebsgeräusche

Allgemeine Gleichung

Die Emission der Antriebsgeräusche umfasst die Gesamtheit der Anteile, die auf Motor, Auspuff, Getriebe, Lufteinlass usw. entfallen. Der Schallleistungspegel für die Antriebsgeräusche im Frequenzband i für ein Fahrzeug der Klasse m wird definiert als:

(2.2.11)

Die Koeffizienten AP,i,m und BP,i,m werden in Oktavbändern für jede Fahrzeugklasse und für eine Referenzgeschwindigkeit νref = 70 km/h angegeben.

ΔLWP,i,m entspricht der Summe der Korrekturkoeffizienten, die auf die Emission von Antriebsgeräuschen bei bestimmten Fahr- oder regionalen Bedingungen anzuwenden sind, die von den Referenzbedingungen abweichen:

ΔLWP,i,m = ΔLWP,road,i,m + ΔLWP,grad,i,m + ΔLWP,acc,i,m (2.2.12)

ΔLWP,road,i,m dient der Berücksichtigung des Einflusses, den die Straßenoberfläche auf die Antriebsgeräusche mittels Absorption ausübt. Die Berechnung wird gemäß Abschnitt 2.2.6 durchgeführt.

ΔLWP,acc,i,m und ΔLWP,grad,i,m der Berücksichtigung des Einflusses, den Straßensteigungen und das Abbremsen und Beschleunigen,der Fahrzeuge an Straßenkreuzungen ausüben. Sie werden gemäß Abschnitt 2.2.4 bzw. 2.2.5 berechnet.

Einfluss von Straßensteigungen

Die Straßensteigung wirkt sich in zweierlei Hinsicht auf die Schallemission des Fahrzeugs aus: zum einen auf die Fahrzeuggeschwindigkeit und damit auf die Emission von Roll- und Antriebsgeräuschen des Fahrzeugs; zum anderen auf die Motorleistung und die Motordrehzahl je nach eingelegtem Gang und damit auf die Emission von Antriebsgeräuschen des Fahrzeugs. In diesem Abschnitt wird nur der Einfluss auf die Antriebsgeräusche betrachtet, wobei eine gleichbleibende Geschwindigkeit angenommen wird.

Der Einfluss der Straßensteigung auf die Antriebsgeräusche wird durch den Korrekturterm ΔLWP,grad,m berücksichtigt, der von der Neigung s (in %), der Fahrzeuggeschwindigkeit νm (in km/h) und der Fahrzeugklasse m abhängig ist. Bei einem Verkehrsfluss mit Gegenverkehr muss der Fluss in zwei Komponenten aufgespalten und zur Hälfte für bergauf und zur Hälfte für bergab korrigiert werden. Der Korrekturterm wird allen Oktavbändern gleichmäßig angerechnet:

Für m = 1

(2.2.13)

Für m = 2

(2.2.14)

Für m = 3

(2.2.15)

Für m = 4

ΔLWP,grad,i,m = 4 = 0 (2.2.16)

Die Korrektur ΔLWP,grad,m schließt implizit den Einfluss einer Neigung auf die Geschwindigkeit ein.

2.2.5. Einfluss des Beschleunigens und Abbremsens von Fahrzeugen

Zur Berücksichtigung des Einflusses des Beschleunigens und Abbremsens vor bzw. nach Kreuzungen mit Verkehrsampeln und Kreisverkehren ist eine Korrektur wie nachfolgend beschrieben vorzunehmen.

Die Korrekturterme für Rollgeräusche, ΔLWR,acc,m,k, und Antriebsgeräusche, ΔLWP,acc,m,k, sind lineare Funktionen der Entfernung x (in m) der Punktquelle vom nächstgelegenen Schnittpunkt der entsprechenden Linienquelle mit einer anderen Linienquelle. Sie werden allen Oktavbändern gleichmäßig angerechnet:

(2.2.17)
(2.2.18)

Die Koeffizienten CR,m,k und CP,m,k sind abhängig von der Art des Straßenknotenpunkts k (k = 1 für eine Kreuzung mit Verkehrsampeln; k = 2 für einen Kreisverkehr) und werden für jede einzelne Fahrzeugklasse angegeben. Die Korrektur schließt den Einfluss der Geschwindigkeitsänderung beim Heranfahren an eine Kreuzung/einen Kreisverkehr bzw. beim Verlassen der Kreuzung/des Kreisverkehrs ein.

Zu beachten ist, dass bei einer Entfernung von |x|> 100 m Folgendes gilt: ΔLWR,acc,m,k = ΔLWP,acc,m,k = 0.

2.2.6. Einfluss der Art der Straßenoberfläche

Allgemeine Grundsätze

Bei Straßenoberflächen mit akustischen Eigenschaften, die von denen der Referenzoberfläche abweichen, ist sowohl für die Rollgeräusche als auch für die Antriebsgeräusche ein Spektralkorrekturterm anzuwenden.

Für die Rollgeräuschemissionen wird der in Bezug auf die Straßenoberfläche anzuwendende Korrekturterm angegeben durch:

(2.2.19)

Hierbei gilt:

αi,m ist die Spektralkorrektur in dB bei Referenzgeschwindigkeit νref für Klasse m ( 1, 2 oder 3) und Spektralband i.

βm ist der Einfluss der Geschwindigkeit auf die Verringerung der Rollgeräusche bei Klasse m ( 1, 2 oder 3) und ist für alle Frequenzbänder identisch.

Für die Antriebsgeräuschemissionen wird der in Bezug auf die Straßenoberfläche anzuwendende Korrekturterm angegeben durch:

ΔLWP,road,i,m = min{±i,m;0} (2.2.20)

Die Antriebsgeräusche werden durch absorbierende Oberflächen verringert, durch nicht absorbierende Oberflächen aber nicht verstärkt.

Einfluss der Gebrauchsdauer auf die Geräuscheigenschaften von Straßenoberflächen

Die Geräuschmerkmale von Straßenoberflächen variieren je nach Gebrauchsdauer und Instandhaltungszustand, wobei die Lautstärke im Zeitverlauf tendenziell zunimmt. Bei diesem Verfahren werden die Straßenoberflächenparameter so abgeleitet, dass sie für die akustische Leistung der jeweiligen Straßenoberfläche repräsentativ sind und für eine repräsentative Gebrauchsdauer gemittelt werden, wobei eine ordnungsgemäße Instandhaltung angenommen wird.

2.3. Eisenbahnlärm

2.3.1. Beschreibung der Quellen

Klassifizierung der Fahrzeuge

Definition von Fahrzeug und Zug

Für die Zwecke dieses Lärmberechnungsverfahrens wird ein Fahrzeug definiert als eine Teileinheit eines Zuges (typischerweise eine Lokomotive, ein Triebwagen, ein Reisezugwagen oder ein Güterwagen), die unabhängig bewegt und vom Rest des Zuges abgehängt werden können. Für Teileinheiten eines Zuges, die Teil einer nicht abtrennbaren Gruppe sind, können spezielle Umstände gelten, z.B. bei einem gemeinsamen Drehgestell. Für die Zwecke dieses Berechnungsverfahrens werden alle diese Teileinheiten zu einem einzigen Fahrzeug zusammengefasst.

Im Sinne dieses Berechnungsverfahrens besteht ein Zug aus einer Reihe von aneinander gekoppelten Fahrzeugen.

Tabelle [ 2.3.a] gibt die Terminologie zur Beschreibung der Fahrzeugtypen in der Quellendatenbank vor. Sie beinhaltet die relevanten Deskriptoren für die vollständige Klassifizierung der Fahrzeuge. Diese Deskriptoren entsprechen den Eigenschaften des Fahrzeugs, die die akustische gerichtete Schallleistung je Meter Länge der modellierten Ersatzlinienquelle beeinflussen.

Die Anzahl der Fahrzeuge je Typ ist für jeden einzelnen Gleisabschnitt für jeden der Zeiträume, die bei der Lärmkartierung zu berücksichtigen sind, zu bestimmen. Sie ist als mittlere Fahrzeugzahl je Stunde anzugeben, die ermittelt wird, indem aus der Gesamtzahl der in einem bestimmten Zeitraum vorbeifahrenden Fahrzeuge und der Länge dieses Zeitraums in Stunden der Quotient gebildet wird (z.B. 24 Fahrzeuge in vier Stunden bedeutet sechs Fahrzeuge pro Stunde). Alle Fahrzeugtypen, die den jeweiligen Gleisabschnitt passieren, sind einzubeziehen.

Tabelle [2.3.a] Klassifizierung und Deskriptoren für Schienenfahrzeuge

Stelle 1 2 3 4
Deskriptor Fahrzeugtyp Anzahl der Achsen je Fahrzeug Bremsentyp Maßnahmen in Bezug auf die Räder
Erläuterung des Deskriptors Ein Buchstabe, der den Typ beschreibt Die tatsächliche Anzahl der Achsen Ein Buchstabe, der den
Bremsentyp beschreibt
Ein Buchstabe, der die Art der Maßnahme zur Lärmminderung beschreibt
Mögliche Deskriptoren h

Hochgeschwindigkeitsfahrzeug
(> 200 km/h)

1 c

Grauguss-Bremsklotzsohle

n

keine Maßnahme

m

Personentriebwagen

2 k

Klotzbremse mit Bremsklotzsohlen aus Verbundstoff oder Sintermetall

d

Radabsorber

p

Reisezugwagen

3 n

nicht klotzgebremst, wie etwa Scheiben-, Trommel- oder Magnetbremsen

s

Schallschürzen

c

Straßenbahn oder Stadtbahn, Wagen mit und ohne eigenen Antrieb

4 o

andere

d

Diesellok

usw.
e

Elektrolok

a

alle arttypischen Güterfahrzeuge

o

sonstige (d. h. Wartungsfahrzeuge usw.)

Klassifizierung von Gleisen und des Schienenoberbaus

Die bestehenden Gleise unterscheiden sich, weil verschiedene Elemente zu ihren akustischen Eigenschaften beitragen und diese charakterisieren. Eine Übersicht über die bei diesem Verfahren verwendeten Schienentypen wird in Tabelle [ 2.3.b] gegeben. Einige Parameter haben einen großen Einfluss auf die akustischen Eigenschaften, andere hingegen kaum. Die Lärmemission von Eisenbahnen wird im Allgemeinen von folgenden Faktoren beeinflusst: Schienenrauheit, Steifheit der Zwischenlagen, Oberbau, Schienenstöße und Radius des Gleisabschnittes. Alternativ können die allgemeinen Gleismerkmale definiert werden, wobei in diesem Fall die Schienenrauheit und die Gleisabklingrate (Track Decay Rate) gemäß ISO 3095 die beiden akustisch wesentlichen Parameter sind; hinzu kommt der Bogenhalbmesser der Strecke.

Ein Gleisabschnitt wird als Teil eines einzelnen Gleises auf einer Eisenbahnstrecke oder einem Bahnhof oder einem Betriebsbahnhof definiert, auf dem sich die physikalischen Eigenschaften und Grundbestandteile des Gleises nicht ändern.

Laut Tabelle [ 2.3.b] ist zur Beschreibung der Gleisarten in der Quellendatenbank die folgende Terminologie zu verwenden.

Tabelle [2.3.b]

Stelle 1 2 3 4 5 6
Deskriptor Oberbau Schienenrauheit Art der Zwischenlagen Zusatzmaßnahmen Schienenstöße Bogen
Erläuterung des Deskriptors Art des Oberbaus Indikator für Rauheit Gibt einen Hinweis auf die "akustische" Steifigkeit Ein Buchstabe zur Beschreibung der Schallschutzmaßnahmen Vorhandensein von Stößen und Zwischenräumen Angabe zum Radius eines Bogens in m
Zulässige Codes B

Schotterbettung

E

Guter Wartungszustand, sehr glatt

S

Weich

(150-250 MN/m)

N

Keine

N

Keine

N

Gerades Gleis

S

Feste Fahr bahn

M

Normaler Wartungszustand

M

Mittel

(250 bis 800 MN/m)

D

Schienenstegdämpfer

S

Einzelne(r) Stoß oder Weiche

L

Niedrig

(1.000-500 m)

L

Brücke mit Schotterbett

N

Kein guter Wartungszustand

H

Steif

(800-1.000 MN/m)

B

Niedrige Schutzwand

D

Zwei Stöße oder Weichen je 100 m

M

Mittel

(Weniger als 500 m und mehr als 300 m)

N

Schotterlose Brücke

B

Keine Wartung und schlechter Zustand

A

Absorberplatte auf fester Fahrbahn

M

Mehr als zwei Stöße oder Weichen je 100 m

H

Hoch

(Weniger als 300 m)

T

straßenbündiger Bahnkörper

E

Eingelassenes Gleis

O

Andere

O

Andere

Anzahl und Position der Ersatzschallquellen

Abbildung [2.3.a] Position der Ersatzschallquellen

Die verschiedenen Ersatzlinienquellen werden in unterschiedlichen Höhen und in der Mitte des Gleises platziert. Alle Höhen beziehen sich auf die tangential zu den beiden oberen Oberflächen der beiden Schienen verlaufende Ebene.

Die Ersatzschallquellen umfassen unterschiedliche technische Quellen (Index p). Sie werden je nach der Art ihrer Entstehung in verschiedene Kategorien unterteilt: 1) Rollgeräusche (dazu gehören nicht nur Schwingungen des Gleises und des Oberbaus sowie Schwingungen der Räder, sondern gegebenenfalls auch Geräusche der Aufbauten von Güterfahrzeugen); 2) Antriebsgeräusche; 3) aerodynamische Geräusche; 4) Stoßgeräusche (von Kreuzungen, Weichen und Schienenstößen); 5) Bremsgeräusche und 6) Geräusche aufgrund zusätzlicher Einflussfaktoren wie Brücken und Viadukte.

  1. Die Rauheit der Räder und der Fahrflächen bewirkt über die drei Übertragungswege zu den abstrahlenden Oberflächen (Schienen, Räder und Aufbauten) die Rollgeräusche. Die Zuordnung erfolgt auf Höhe h = 0,5 m (abstrahlende Oberflächen A), um den Anteil der Fahrbahn, einschließlich der Effekte der Fahrbahnoberfläche und insbesondere fester Fahrbahnen (gemäß dem Ausbreitungsteil), den Anteil der Räder und (bei Güterwagen) den Anteil der Fahrzeugaufbauten an der Geräuscherzeugung abzubilden.
  2. Die Höhe der äquivalenten Quellen für Antriebsgeräusche liegt in Abhängigkeit von der physischen Position der betreffenden Komponente im Bereich von 0,5 m (Quelle A) und 4,0 m (Quelle B). Quellen wie Getriebe und Elektromotoren befinden sich oft auf der Achsenhöhe von 0,5 m (Quelle A). Lüftungsgitter und Lüftungsschlitze können sich auf unterschiedlichen Höhen befinden; bei Dieselfahrzeugen befindet sich der Auspuff häufig auf der Dachhöhe von 4,0 m (Quelle B). Andere Antriebsquellen wie Gebläse oder Dieselmotorblöcke können sich auf einer Höhe von 0,5 m (Quelle A) oder 4,0 m (Quelle B) befinden. Liegt die genaue Quellenhöhe zwischen den Modellhöhen, wird die Schallenergie proportional auf die nächstgelegenen Quellenhöhen verteilt.
    Aus diesem Grund sind für das Verfahren zwei Quellenhöhen vorgesehen, eine bei 0,5 m (Quelle A) und eine bei 4,0 m (Quelle B), wobei die jeweils mit einer Höhe verbundene äquivalente Schallleistung zwischen den beiden Höhen je nach der konkreten Anordnung der Quellen an der Einheit aufgeteilt wird.
  3. Die aerodynamischen Geräuscheffekte sind mit der Quelle bei 0,5 m (Abdeckungen und Abschirmungen, Quelle A) und der Quelle bei 4,0 m (Modellierung aller Dachaggregate und der Stromabnehmer, Quelle B) verbunden. Die Wahl von 4,0 m für Stromabnehmereffekte ist bekanntermaßen ein einfaches Modell und muss sorgfältig geprüft werden, wenn die geeignete Höhe für Lärmschutzwände gefunden werden soll.
  4. Stoßgeräusche sind mit der Quelle bei 0,5 m (Quelle A) verbunden.
  5. Bremsgeräusche sind mit den Quellen bei 0,5 m (Quelle A) verbunden.
  6. Brückendröhnen ist mit der Quelle bei 0,5 m (Quelle A) verbunden.

2.3.2.Schallleistungspegel

Allgemeine Gleichungen

Einzelnes Fahrzeug

Das Modell für den Schienenverkehrslärm beschreibt - analog zum Straßenverkehrslärm - die Schallemission einer bestimmten Kombination von Fahrzeugtyp und Fahrbahntyp, die eine Reihe von Voraussetzungen erfüllt, die in der Fahrzeug- und Fahrbahnklassifizierung in Bezug auf die Schallleistung für jedes einzelne Fahrzeug beschrieben sind (LW,0).

Verkehrsfluss

Die Schallemission eines Verkehrsflusses auf jedem Gleis ist durch jeweils zwei Linienquellen darzustellen, die durch ihre gerichtete Schallleistung je Meter je Frequenzband gekennzeichnet sind. Dies entspricht der Summe der Schallemissionen aller im Verkehrsfluss vorbeifahrenden Fahrzeuge, wobei im speziellen Fall stehender Fahrzeuge die Zeit berücksichtigt wird, die die Fahrzeuge im untersuchten Gleisabschnitt verbringen.

Die gerichtete Schallleistung je Meter je Frequenzband aller auf jedem Gleisabschnitt mit dem Oberbau (j) vorbeifahrenden Fahrzeuge wird ermittelt

und ist die energetische Summe der Beiträge aller Fahrzeuge, die den speziellen j-ten Gleisabschnitt befahren. Der jeweilige Beitrag geht auf Folgendes zurück:

Zur Berechnung der gerichteten Schallleistung je Meter (Eingabe in das Ausbreitungsmodell) ausgehend vom durchschnittlichen Verkehrsmix auf dem j-ten Gleisabschnitt wird folgende Gleichung verwendet:

(2.3.1)

Hierbei gilt:

Tref = Referenzzeitraum, für den der durchschnittliche Verkehr untersucht wird,
x = Gesamtzahl vorhandener Kombinationen von i, t, s, c und p für jeden j-ten Gleisabschnitt,
t = Index der Fahrzeugtypen im j-ten Gleisabschnitt,
s = Index der Zuggeschwindigkeit: Es gibt so viele Indizes wie durchschnittliche Zuggeschwindigkeiten im j-ten Gleisabschnitt,
c = Index der Betriebsbedingungen: 1 (für konstante Geschwindigkeit), 2 (Leerlauf),
p = Index der physikalischen Quellen: 1 (Roll- und Stoßgeräusche), 2 (Kurvenkreischen), 3 (Antriebsgeräusche und Aggregatgeräusche), 4 (aerodynamische Geräusche), 5 (sonstige Geräusche),
LW',eq,line,x = x-te gerichtete Schallleistung je Meter für eine Linienquelle einer Kombination von t, s, c und p in jedem j-ten Gleisabschnitt.

Wenn ein stetiger Fluss von Q Fahrzeugen pro Stunde mit einer mittleren Geschwindigkeit ν angenommen wird, dann ist im Durchschnitt zu jedem Zeitpunkt eine äquivalente Anzahl von Q/ν-Fahrzeugen je Längeneinheit des Schienenabschnitts vorhanden. Die Schallemission des Fahrzeugflusses in Form der gerichteten Schallleistung je Meter LW'2,eq,line (ausgedrückt in dB/m (re 10-12 W)) wird integriert durch:

(2.3.2)

Hierbei gilt:

Im Falle einer stationären Quelle, wie etwa bei einem Betriebshalt, wird angenommen, dass das Fahrzeug für eine Gesamtzeit Tidle an einem Ort innerhalb eines Gleisabschnitts mit der Länge L verbleibt. Deshalb wird mit dem Referenzzeitraum Tref zur Einschätzung der Lärmbelastung (z.B. 12 Stunden, 4 Stunden, 8 Stunden) die gerichtete Schallleistung je Längeneinheit auf diesem Gleisabschnitt wie folgt definiert:

(2.3.4)

Generell errechnet sich die gerichtete Schallleistung für jede spezifische Quelle wie folgt:

LW,0,dir,i(ψ,Φ) = LW,0,i + ΔLW,dir,vert,i + ΔLW,dir,hor,i (2.3.5)

Hierbei gilt:

Dabei ist LW,0,dir,i(ψ,Φ) nach der Ableitung in Terzbänder in Oktavbändern auszudrücken, indem die betreffenden Terzbänder energetisch zu dem entsprechenden Oktavband addiert werden.

Abbildung [2.3.b] Geometrische Definition

Die horizontale und vertikale Richtwirkung der Schallquellen wird für die Berechnung durch (entsprechende) Zuschläge auf die Schallleistung je 1 m Gleis LW',tot,dir,i berücksichtigt.

Für jede Kombination aus Fahrzeug, Strecke, Geschwindigkeit und Fahrt werden mehrere LW,0,dir,i (ψ, Φ) berÌcksichtigt:

Je Kombination aus Fahrzeug, Strecke, Geschwindigkeit und Betriebsbedingung wird für jeden Gleisabschnitt und jede Quellhöhe h = 1 und h = 2 unter Berücksichtigung der Richtwirkung LW,0,dir,i (ψ,Φ) ermittelt.

Rollgeräusche

Die Beiträge des Fahrzeuges und des Gleises an den Rollgeräuschen werden in die folgenden vier Hauptelemente unterteilt: Radrauheit, Schienenrauheit, Fahrzeugtransferfunktion auf Räder und Aufbauten (Behälter) sowie Schienentransferfunktion. Der Fahrzeuganteil und der Fahrbahnanteil an den Rollgeräuschen werden in die folgenden vier Hauptelemente unterteilt: Radrauheit, Schienenrauheit, Fahrzeugtransferfunktion auf die Räder und die Aufbauten (Behältnisse) und Transferfunktion von den Schienen. Rad- und Schienenrauheit bilden die Ursache für die Anregung von Schwingungen am Kontaktpunkt zwischen Schiene und Rad; bei den Transferfunktionen handelt es sich um zwei empirische oder modellierte Funktionen, die das gesamte komplexe Phänomen der Entstehung mechanischer Schwingungen und von Schall an den Oberflächen des Rades, der Schiene, der Schwelle und des Gleisunterbaus darstellen. Diese Unterteilung spiegelt den physikalischen Tatbestand wider, dass die Rauheit auf einer Schiene die Schwingung der Schiene anregen kann, aber auch die Schwingung des Rades und umgekehrt anregt. Bliebe einer dieser vier Parameter unberücksichtigt, so würde der Zusammenhang, der mit der Klassifizierung von Schienen und Zügen hergestellt wird, aufgehoben.

Rad- und Schienenrauheit

Rollgeräusche werden hauptsächlich durch Schienen- und Radrauheit im Wellenlängenbereich 5-500 mm angeregt.

Definition

Die Rauheit Lr wird definiert als der zehnfache Zehnerlogarithmus des Verhältnisses aus dem Quadrat des Effektivwertes r2 der Rauheit der Lauffläche einer Schiene oder eines Rades in Bewegungsrichtung
(Längsrichtung) gemessen in pm über eine bestimmte Schienenlänge oder den gesamten Raddurchmesser und des Quadrats des Referenzwertes r20:

(2.3.6)

Hierbei gilt:

r0 = 1 pm,

r = Effektivwert (rms) der Differenz der vertikalen Verdrängung der Kontaktoberfläche zum Mittelwert.

Die Rauheit Lr wird typischerweise als Spektrum der Wellenlänge λ bestimmt und muss in ein Frequenzspektrum ¦ = ν/λ konvertiert werden, wobei ¦ die Mittenfrequenz eines bestimmten Terzbands in Hz, λ die Wellenlänge in m und ν die Zuggeschwindigkeit in m/s ist. Das Rauheitsspektrum als Funktion der Frequenz verschiebt sich bei unterschiedlichen Geschwindigkeiten entlang der Frequenzachse. Üblicherweise müssen nach einer Konvertierung in das Frequenzspektrum mittels der Geschwindigkeit neue Terzbandwerte bestimmt werden, indem der Mittelwert von zwei entsprechenden Terzbändern im Wellenlängenbereich gebildet wird. Um das gesamte Frequenzspektrum der effektiven Rauheit entsprechend der zugehörigen Zuggeschwindigkeit zu bestimmen, ist der Mittelwert der beiden im Wellenlängenbereich definierten entsprechenden Terzbänder energetisch und proportional zu ermitteln.

Die Schienenrauheit (schienenseitige Rauheit) für das i-te Wellenzahlband wird definiert als Lr,TR,i.

Analog wird die Radrauheit (fahrzeugseitige Rauheit) für das i-te Wellenzahlband definiert als Lr,VEH,i

Die effektive Gesamtrauheit für das Wellenzahlband i (LR,tot,i) wird zur Berücksichtigung der Filterwirkung der Kontaktfläche zwischen Schiene und Rad definiert als die Energiesumme von Schienen- und Radrauheit zuzüglich des Kontaktfilters A3(λ); die Angabe erfolgt in dB:

(2.3.7)

wobei er als Funktion des i-ten Wellenzahlbands entsprechend der Wellenlänge λ ausgedrückt wird.

Der Kontaktfilter ist abhängig vom Schienen- und Radtyp sowie der Achslast.

Im Verfahren ist die effektive Gesamtrauheit für den j-ten Gleisabschnitt und jeden t-ten Fahrzeugtyp bei seiner entsprechenden Geschwindigkeit
ν zu verwenden.

Fahrzeug-, Gleis- und Aufbautentransferfunktion

Es werden drei geschwindigkeitsunabhängige Transferfunktionen LH,TR,i LH,VEH,i und LH,VEH,SUP,i bestimmt: die erste für jeden j-ten Gleisabschnitt und die beiden anderen für jeden t-ten Fahrzeugtyp. Sie setzen den Grad der effektiven Gesamtrauheit in Bezug zur Schallleistung der Schienen, der Räder bzw. der Aufbauten.

Der Aufbautenanteil wird nur für Güterwagen und deshalb nur für den Fahrzeugtyp "a" berücksichtigt.

Somit wird bei den Rollgeräuschen der Beitrag der Schiene und des Fahrzeugs durch diese Transferfunktionen und die effektive Gesamtrauheit vollständig beschrieben. Bei Zügen im Leerlauf (Betriebshalt) werden keine Rollgeräusche berücksichtigt.

Für die Schallleistung je Fahrzeug werden die Rollgeräusche auf Achsenhöhe berechnet; Ausgangswerte dafür sind die effektive Gesamtrauheit LR,TOT,i als Funktion der Fahrzeuggeschwindigkeit ν, die Schienen-, Fahrzeug- und Aufbautentransferfunktionen LH,TR,i, LH,VEH,i bzw. LH,VEH,SUP,i sowie die Gesamtachsenzahl Na:

für h = 1:

LW,0,TR,i = LR,TOT,i + LH,TR,i + 10 x lg(Na) dB (2.3.8),
LW,0,VEH,i = LR,TOT,i + LH,VEH,i + 10 x lg(Na) dB (2.3.9),
LW,0,VEHSUP,i = LR,TOT,i + LH,VEHSUP,i + 10 x lg(Na) dB (2.3.10),

wobei Na die Anzahl der Achsen je Fahrzeug für den t-ten Fahrzeugtyp ist.

Abbildung [2.3.c] Schema der Verwendung der verschiedenen Definitionen für Rauheit und Transferfunktionen

Zum Ausgleich des potenziellen Fehlers infolge der Vereinfachung der Definition der Rollgeräusche, der Definition der Bremsgeräusche und der Definition der Stoßgeräusche auf Kreuzungen und Weichen ist zur Ermittlung der effektiven Gesamtrauheit und damit der Schallleistung der Fahrzeuge eine Mindestgeschwindigkeit von 50 km/h (30 km/h nur bei Straßenbahnen und Stadtbahnen) (diese Geschwindigkeit berührt nicht die Berechnung des Fahrzeugstroms) zu verwenden.

Stoßgeräusch e (Kreuzungen, Weichen und Schienenstöße)

Stoßgeräusche können durch Kreuzungen, Weichen und Schienenstöße verursacht werden. Sie können unterschiedlich stark sein und die Rollgeräusche dominieren. Stoßgeräusche sind für Stoßlückengleise zu berücksichtigen. Für Stoßgeräusche aufgrund von Weichen, Kreuzungen und Schienenstößen in Gleisabschnitten mit einer Geschwindigkeit von unter 50 km/h (30 km/h nur für Straßenbahnen und Stadtbahnen) ist auf die Modellierung zu verzichten, da die Mindestgeschwindigkeit von 50 km/h (30 km/h nur für Straßenbahnen und Stadtbahnen) verwendet wird, um mehr Einflüsse gemäß der Beschreibung im Abschnitt "Rollgeräusche" einzubeziehen. Unnötig ist die Modellierung von Stoßgeräuschen auch bei der Fahrbedingung c = 2 (Leerlauf).

Stoßgeräusche werden in den Term für Rollgeräusche einbezogen, indem eine ergänzende fiktive Rauheit für Stöße zur fiktiven Gesamtrauheit auf jedem spezifischen j-ten Gleisabschnitt (energetisch) hinzuaddiert wird, auf dem sie vorhanden sind. In diesem Fall ist anstelle von LR,TOT,i ein neuer Term LR,TOT,i + IMPACT,i zu verwenden, der dann folgende Form hat:

dB (2.3.11)

LR,IMPACT,i ist ein Terzbandspektrum (als Funktion der Frequenz). Um dieses Frequenzspektrum zu bestimmen, ist ein Spektrum als Funktion der Wellenlänge λ gegeben und wird dann in das verlangte Spektrum als Funktion der Frequenz mittels der Formel λ = ν/¦ konvertiert, wobei f die Mittenfrequenz eines Terzbandes in Hz und v die s-te Fahrzeuggeschwindigkeit des t-ten Fahrzeugtyps in m/s ist.

Stoßgeräusche sind abhängig von der Schwere und Anzahl der Stöße je Längeneinheit bzw. der Schienenstoßdichte; wenn also mehrfach Stoßgeräusche gegeben sind, ist die in der Gleichung zu verwendende Rauheit für Stoßgeräusche wie folgt zu berechnen:

dB (2.3.12),

wobei LR,IMPACT-SINGLE,i die für einen einzigen Stoß angegebene Rauheit für Stoßgeräusche und die Schienenstoßdichte ist.

Die standardmäßige Rauheit für Stoßgeräusche wird für eine Schienenstoßdichte von nl = 0,01 m-1 angegeben, was einem Schienenstoß pro 100 m Gleis entspricht. Bei einer anderen Anzahl von Schienenstößen erfolgt eine Näherung durch Korrektur der Schienenstoßdichte nl. Zu beachten ist, dass bei der Modellierung des Layouts und der Segmentierung der Fahrstrecke die Schienenstoßdichte zu berücksichtigen ist, d. h. für einen Gleisbereich mit mehr Schienenstößen könnte es notwendig sein, ein gesondertes Quellensegment zu verwenden. Der LW,0 des Schienen-, Rad-/Drehgestell- und Aufbautenanteils wird für +/- 50 m vor und nach dem Schienenstoß mittels LR,mPACTi erhöht. Im Falle einer Vielzahl von Schienenstößen wird die Erhöhung auf die Strecke zwischen -50 m vor dem,ersten Schienenstoß und + 50 m nach dem letzten Schienenstoß erweitert.

Die Anwendbarkeit dieser Schallleistungsspektren ist in der Regel vor Ort zu überprüfen.

Für Stoßlückengleise ist ein Standardwert nl von 0,01 anzuwenden.

Kreischen

Das Kurvenkreischen ist eine besondere Quelle, die nur für Bögen relevant und somit örtlich begrenzt ist. Da es in signifikantem Maße auftreten kann, ist eine angemessene Beschreibung notwendig. Kurvenkreischen ist generell abhängig von der Bogenkrümmung, den Reibungsbedingungen, der Zuggeschwindigkeit sowie der Schiene-Rad-Geometrie und -Dynamik. Der zu verwendende Emissionspegel wird für Bögen mit einem Radius von unter oder gleich 500 m sowie für engere Bögen und Abzweigungen von Weichen mit Radien unter 300 m bestimmt. Die Schallemission sollte sich konkret auf die einzelnen Arten von Fahrzeugen beziehen, da bestimmte Rad- und Drehgestelltypen deutlich weniger anfällig für Kreischen sind als andere.

Die Anwendbarkeit dieser Schallleistungsspektren ist in der Regel vor Ort zu überprüfen, insbesondere für Straßenbahnen.

Bei einem einfachen Ansatz ist das Kreischen zu berücksichtigen, indem zu den Schallleistungsspektren der Rollgeräusche bei sämtlichen Frequenzen 8 dB für R

<300 m und 5 dB für 300 m Antriebsgeräusche

Die Antriebsgeräusche weisen im Allgemeinen zwar für die typischen Betriebsbedingungen wie gleichbleibende Geschwindigkeit, Abbremsen, Beschleunigen und Stand eine entsprechende Spezifik auf, doch werden nur die beiden Bedingungen "gleichbleibende Geschwindigkeit" (dies gilt auch beim Abbremsen und Beschleunigen der Züge) und "Stand" modelliert. Modelliert wird nur die Schallstärke der Quellen beim Maximum der Leistungsbedingungen, was zu den Größen LW,0,const,i = LW,0,idling,i führt. Ferner entspricht LW,0,idling,i dem Anteil aller physischen Quellen eines bestimmten Fahrzeugs, die einer bestimmten Höhe zuzuschreiben sind (siehe 2.3.1).

LW,0,idling,i wird als statische Schallquelle im Leerlaufzustand für die Dauer des Betriebshalts ausgedrückt und ist als feste Punktquelle entsprechend der Beschreibung im Abschnitt "Industrie- und Gewerbelärm" modelliert zu verwenden. Sie ist nur zu berücksichtigen, wenn sich Züge länger als 0,5 Stunden im Stand (Betriebshalt) befinden.

Diese Mengen können entweder durch Messung aller Quellen in den verschiedenen Betriebszuständen ermittelt werden, oder die Teilquellen können einzeln charakterisiert werden, und zwar durch Bestimmung ihrer Parameterabhängigkeit und relativen Stärke. Dies kann durch Messungen an einem stehenden Fahrzeug geschehen, indem gemäß ISO 3095:2005 die Drehzahl verändert wird. Gegebenenfalls müssen mehrere Antriebsgeräuschquellen charakterisiert werden, die nicht unmittelbar von der Fahrzeuggeschwindigkeit abhängig sind:

Da sich jede dieser Quellen in jedem Betriebszustand anders verhalten kann, sind die Antriebsgeräusche entsprechend zu spezifizieren. Die Schallstärke der Quellen wird mit Messungen unter kontrollierten Bedingungen bestimmt. Bei Lokomotiven weist die Belastung tendenziell eine größere Schwankungsbreite auf, da die Zahl der angekuppelten Eisenbahnwagen und damit die Lokomotivleistung sehr unterschiedlich sein können, während bei festen Zugzusammenstellungen wie Elektro- und Dieseltriebzügen sowie Hochgeschwindigkeitszügen die Leistung klarer definiert ist.

Es wird keine Vorabzuweisung der Schallleistung der Quelle zur Höhenposition der Quelle vorgenommen, da sich diese Entscheidung nach dem konkret zu bewertenden Schall und Fahrzeug richtet. Die Modellierung erfolgt an Quelle a (h = 1) und an Quelle B (h = 2).

Aerodynamische Geräusche

Aerodynamisch angeregte Geräusche sind nur bei hohen Geschwindigkeiten über 200 km/h von Belang, weshalb zunächst überprüft werden sollte, ob sie für die Anwendung tatsächlich erforderlich sind. Wenn die Rollgeräuschrauheit und die Transferfunktionen bekannt sind, können sie auf höhere Geschwindigkeiten extrapoliert werden, und es kann ein Vergleich mit vorhandenen Hochgeschwindigkeitsdaten angestellt werden, um nachzuprüfen, ob durch aerodynamisch angeregte Geräusche höhere Pegel erzeugt werden. Liegen die Zuggeschwindigkeiten in einem Netz über 200 km/h, jedoch nicht über 250 km/h, können die aerodynamischen Geräusche in Abhängigkeit von der Fahrzeugkonstruktion in einigen Fällen unberücksichtigt bleiben.

Der Anteil aerodynamischer Geräusche wird als Funktion der Geschwindigkeit angegeben:

dB für h = 1 (2.3.13)
dB für h = 2 (2.3.14)

Hierbei gilt:

ν0 ist eine Geschwindigkeit, bei der aerodynamische Geräusche dominant sind und die auf 300 km/h festgelegt ist.

LW,0,1,i ist eine Referenzschallleistung, die an zwei oder mehr Messpunkten für Quellen ermittelt wird, deren Höhe bekannt ist, beispielsweise das erste Drehgestell.

LW,0,2,i ist eine Referenzschallleistung, die an zwei oder mehr Messpunkten für Quellen ermittelt wird, deren Höhe bekannt ist, beispielsweise die Stromabnehmeraussparung.

α1,i ist ein Koeffizient, der an zwei oder mehr Messpunkten für Quellen ermittelt wird, deren Höhe bekannt ist, beispielsweise das erste Drehgestell.

α2,i ist ein Koeffizient, der an zwei oder mehr Messpunkten für Quellen ermittelt wird, deren Höhe bekannt ist, beispielsweise die Stromabnehmeraussparung.

Richtverhalten der Quellen

Die horizontale Richtwirkung ΔLW,dir,hor,i in dB wird in der horizontalen Ebene bestimmt und kann als Dipol für Roll-, Stoß- (Schienenstöße usw.), Kreisch-, Brems-, Gebläse- und aerodynamische Einflüsse angesehen werden, die für jedes i-te Frequenzband angegeben werden durch:

ΔLW,dir,hor,i = 10 x lg(0,01 + 0,99 · sin2Φ) (2.3.15)

Die vertikale Richtwirkung ΔLW,dir,ver,i in dB wird in der vertikalen Ebene für Quelle a (h = 1) als Funktion der Mittelbandfrequenz ¦c,i jedes einzelnen i-ten Frequenzbands sowie für den Bereich - π/2

<ψ <π/2 angegeben durch:
(2.3.16)

Für Quelle B (h = 2) gilt für die aerodynamischen Einflüsse:

ΔLW,dir,ver,i = 10 x lg(cos2ψ) für ψ < 0 (2.3.17)

ΔLW,dir,ver,i = 0 in allen anderen Fällen

Die Richtwirkung ΔLdir,ver,i wird für die Quelle B (h = 2) hinsichtlich sonstiger Einflüsse nicht berücksichtigt, da für diese Quellen an dieser Position eine Rundumrichtwirkung angenommen wird.

2.3.3. Zusätzliche Einflüsse

Korrektur um den Wert der baulichen Abstrahlung (Brücken und Viadukte)

Befindet sich der Gleisabschnitt auf einer Brücke, so müssen die zusätzlichen Geräusche berücksichtigt werden, die durch die Schwingung der Brücke infolge der Anregung durch die Anwesenheit des Zuges erzeugt werden. Da es wegen der komplexen Formen von Brücken nicht einfach ist, die Brückenemission als zusätzliche Quelle zu modellieren, wird ein Anstieg der Rollgeräusche verwendet, um dem Brückendröhnen Rechnung zu tragen. Der Anstieg ist ausschließlich durch einen festen Schallleistungszuschlag der Geräusche für jedes Terzband zu modellieren. Die Schallleistung nur der Rollgeräusche ändert sich dann, wenn die Korrektur vorgenommen wird, so dass der neue Term LW,0,rolling-and-bridge,i anstelle von LW,0,rolling-only,i lautet:

LW,0,rolling-and-bridge,i = LW,0,rolling-only,i + Cbridge dB (2.3.18),

wobei Cbridge eine Konstante ist, die vom Brückentyp abhängig ist, und LW,0,rolling-only,i die Schallleistung der Rollgeräusche auf der betreffenden Brücke, die nur von den Fahrzeug- und Gleiseigenschaften abhängig ist.

Korrektur um weitere eisenbahnbezogene Schallquellen

Verschiedene Quellen wie Betriebsbahnhöfe, Be-/Entladebereiche, Bahnhöfe/Haltestellen, Klingeln, Lautsprecher auf Bahnhöfen bzw. an Haltestellen usw. können vorhanden sein und werden dem Eisenbahnlärm zugeordnet. Diese Quellen sind als Industrie-/Gewerbelärmquellen (feste Schallquellen) zu behandeln und erforderlichenfalls gemäß dem nachfolgenden Abschnitt "Industrie und Gewerbelärm" zu modellieren.

2.4. Industrie- und Gewerbelärm

2.4.1. Beschreibung der Quellen

Klassifizierung der Quellenarten (Punkt, Linie, Fläche)

Die Quellen von Industrie-/Gewerbelärm weisen sehr unterschiedliche Ausmaße auf. Es kann sich um große Industrie anlagen oder auch kleine konzentrierte Quellen handeln wie kleine Werkzeuge oder Maschinen in einer Fabrik. Deshalb bedarf es eines geeigneten Modellierungsverfahrens für die jeweilige zu bewertende Quelle. Je nach Größe und Verteilung mehrerer Einzelquellen über eine Fläche, die alle zum selben Industriestandort gehören, können diese als Punktquellen, Linienquellen oder Flächenquellen modelliert werden. In der Praxis beruhen die Berechnungen der Schalleinflüsse stets auf Punktquellen, jedoch können mehrere Punktquellen verwendet werden, um eine komplexe Quelle darzustellen, die sich überwiegend über eine Linie oder eine Fläche erstreckt.

Anzahl und Position von Ersatzschallquelle n

Die realen Schallquellen werden mittels Ersatzschallquellen modelliert, die durch eine oder mehrere Punktquellen dargestellt werden, so dass die Gesamtschallleistung der realen Quelle der Summe der einzelnen Schallleistungen entspricht, die den verschiedenen Punktquellen zugeordnet werden.

Für die Festlegung der Anzahl zu verwendender Punktquellen gelten folgende allgemeine Regeln:

Die Position der Ersatzschallquellen lässt sich angesichts der Vielfalt an möglichen Konfigurationen eines Industrie-/Gewerbestandorts nicht festlegen. Hier sind im Regelfall bewährte Praktiken anzuwenden.

Schallleistungspegel

Allgemeines

Die folgenden Angaben bilden das komplette Paket von Eingangsdaten für Berechnungen der Schallausbreitung mit den für die Erstellung von Lärmkarten verwendeten Verfahren:

Die Schallleistung von Punkt-, Linien- und Flächenquellen ist wie folgt zu bestimmen:

Die Betriebszeiten sind ein wesentlicher Eingangswert für die Berechnung von Schallpegeln. Die Betriebszeiten sind für den Tag, den Abend und die Nacht anzugeben; kommen für die Ausbreitung verschiedene meteorologische Kategorien zur Anwendung, die jeweils für die Zeiträume Tag, Nacht und Abend definiert sind, so ist eine detailliertere Verteilung der Betriebszeiten in Teilzeiträumen anzugeben, die der Verteilung der meteorologischen Kategorien entsprechen. Diese Angaben müssen auf einem Jahresdurchschnitt beruhen.

Der Korrekturwert für die Betriebszeiten, der für die Ermittlung der korrigierten Schallleistung zur Quellenschallleistung hinzuzurechnen ist, die für die Berechnungen über den jeweiligen Zeitraum zu verwenden ist, wird als CW in dB wie folgt berechnet:

CW = 10 x lg(T/Tref) (2.4.2)

Hierbei gilt:

T ist die aktive Zeit der Quelle je Zeitraum im Jahresdurchschnitt in Stunden.

Tref ist der Referenzzeitraum in Stunden (z.B. Tag mit 12 Stunden, Abend mit 4 Stunden, Nacht mit 8 Stunden).

Für die dominierenderen Quellen ist der Korrekturwert für die Betriebszeiten im Jahresdurchschnitt mit mindestens einer Toleranz von 0,5 dB anzusetzen, um eine akzeptable Genauigkeit zu erreichen (dies ist gleichbedeutend mit einer Unsicherheit von weniger als 10 % bei der Festlegung der aktiven Zeit der Quelle).

Richtwirkung der Quelle

Die Richtwirkung einer Quelle ist in hohem Maße abhängig von der Position der Ersatzschallquellen in Bezug auf Flächen in der Nähe. Da bei der Ausbreitungsmethode die Reflexion von Flächen in der Nähe ebenso wie deren schalldämpfende Wirkung berücksichtigt werden, ist der Position dieser Flächen besondere Beachtung zu schenken. Üblicherweise werden die beiden folgenden Fälle unterschieden:

Die Richtwirkung ist in der Berechnung als ein Faktor ΔLW,dir,xyz (x, y, z) auszudrücken, der zur Schallleistung hinzuzurechnen ist, um die korrekte gerichtete Schallleistung einer Referenzschallquelle bei Schallausbreitung in der angegebenen Richtung zu erhalten. Der Faktor kann als Funktion des durch (x, y, z) definierten Richtungsvektors mit
angegeben werden. Diese Richtwirkung kann auch mittels anderer Koordinatensysteme, wie etwa Winkelkoordinatensysteme, ausgedrückt werden.

2.5. Berechnung der Schallausbreitung von Straßen-, Eisenbahn- und Industrie-/Gewerbequellen

2.5.1. Anwendungsbereich und Anwendbarkeit des Verfahrens

In diesem Dokument wird ein Verfahren zur Berechnung der Dämpfung von Schall während seiner Ausbreitung im Freien beschrieben. Bei Kenntnis der Quelleigenschaften berechnet dieses Verfahren den äquivalenten Dauerschallpegel am Empfängerpunkt für zwei spezielle Klassen atmosphärischer Bedingungen:

Das in diesem Dokument beschriebene Berechnungsverfahren gilt für Industrie-/Gewerbe anlagen sowie Verkehrsmittel auf dem Landweg. Es gilt somit insbesondere für Straßen- und Eisenbahnverkehrs anlagen. Der Flugverkehr fällt nur beim Schall, der während Tätigkeiten am Boden entsteht, in den Anwendungsbereich des Verfahrens; Starts und Landungen gehören nicht dazu.

Einrichtungen der industriellen/gewerblichen Infrastruktur, die impulsförmige oder starke tonale Geräusche entsprechend der Beschreibung in ISO 1996-2:2007 emittieren, fallen nicht in den Anwendungsbereich dieses Verfahrens.

Das Berechnungsverfahren liefert keine Ergebnisse für die Bedingungen der Aufwärtsbrechung (negativer vertikaler Gradient der effektiven Schallgeschwindigkeit); eine Näherung dieser Bedingungen kann vielmehr durch homogene Bedingungen bei der Berechnung von Lden gefunden werden.

Zur Berechnung der Dämpfung aufgrund der Absorption in der Atmosphäre im Falle von Transportinfrastruktur werden die Bedingungen von Temperatur und Feuchtigkeit nach ISO 9613-1:1996 berechnet.

Das Verfahren liefert Ergebnisse je Oktavband von 63 Hz bis 8.000 Hz. Diese Berechnungen werden für jede Mittenfrequenz vorgenommen.

Teilabdeckungen und Hindernisse mit einer Neigung (bei der Modellierung) von mehr als 15° bezogen auf die Vertikale fallen nicht in den Anwendungsbereich dieses Berechnungsverfahrens.

Eine einzelne Abschirmung wird als einzelne Beugung berechnet, zwei oder mehr Abschirmungen in einem einzigen Ausbreitungsweg werden unter Anwendung des nachstehend beschriebenen Verfahrens als aufeinanderfolgende Reihe einzelner Beugungen behandelt.

2.5.2. Verwendete Begriffe

Alle in diesem Dokument verwendeten Abstände, Höhen und Dimensionen werden in Metern (m) angegeben.

Die Bezeichnung MN steht für den Abstand in drei Dimensionen (3D) zwischen den Punkten M und N, der über eine diese Punkte verbindende gerade Linie gemessen wird.

Die BezeichnungN steht für die Länge des gebogenen Ausbreitungswegs zwischen den Punkten M und N bei günstigen Bedingungen.

Reale Höhen werden üblicherweise vertikal im rechten Winkel zur horizontalen Ebene gemessen. Höhen von Punkten über dem lokalen Boden werden mit h bezeichnet, absolute Höhen von Punkten und absolute Höhen des Bodens sind mit dem Buchstaben H zu bezeichnen.

Zur Berücksichtigung des tatsächlichen Reliefs des Geländes entlang eines Ausbreitungswegs wird der Begriff "äquivalente Höhe" eingeführt, der mit dem Buchstaben z bezeichnet wird. Er ersetzt in den Gleichungen zu den Bodeneffekten die realen Höhen.

Die mit dem Großbuchstaben L ohne den Index a bezeichneten Schallpegel werden in Dezibel (dB) je Frequenzband angegeben. Die Schallpegel in Dezibel dB(A) werden mit dem Index a bezeichnet.

Die Summe der Schallpegel aufgrund zueinander inkohärenter Quellen werden mit dem Zeichen entsprechend der folgenden Definition bezeichnet:

(2.5.1)

2.5.3. Geometrische Betrachtungen

Quellensegmentierung

Reale Quellen werden durch eine Reihe von Punktquellen oder - im Falle des Eisenbahn- oder des Straßenverkehrs - durch inkohärente Linienquellen beschrieben. Das Ausbreitungsverfahren beruht auf der Annahme, dass Linien- oder Flächenquellen zuvor aufgeteilt wurden, damit sie mittels einer Reihe äquivalenter Punktquellen dargestellt werden können. Dies kann als Vorverarbeitung der Quellendaten erfolgt sein oder im Rahmen der Pathfinder-Komponente der Berechnungssoftware erfolgen. Die Mittel, mit denen dies erfolgt ist, gehören nicht zum Anwendungsbereich der aktuellen Methodik.

Ausbreitungswege

Das Verfahren arbeitet mit einem geometrischen Modell, das aus einer Reihe zusammenhängender Boden- und Hindernisflächen besteht. In Bezug auf die horizontale Ebene wird ein vertikaler Ausbreitungsweg auf einer oder mehreren vertikalen Ebenen aufgetragen. Schließt ein Ausbreitungsweg eine Reflexion an einer vertikalen Fläche ein, die nicht rechtwinklig zur Einfallsebene steht, so verläuft der reflektierte Teil des Ausbreitungswegs in einer weiteren vertikalen Ebene. Werden mehrere vertikale Ebenen verwendet, um den gesamten Ausbreitungsweg von der Quelle bis zum Empfänger zu beschreiben, werden die vertikalen Ebenen sodann aufgefächert (wie beim Auffalten einer Spanischen Wand).

Maßgebliche Höhen über dem Gelände

Die äquivalenten Höhen werden mit Hilfe der mittleren Bezugsebene zwischen der Quelle und dem Empfänger bestimmt. Diese ersetzt das tatsächliche Gelände durch eine fiktive Ebene, die das mittlere Profil des Geländes abbildet.

Abbildung 2.5.a Äquivalente Höhe in Bezug auf den Boden

1: Tatsächliches Relief

2: Mittlere Ebene

Die äquivalente Höhe eines Punktes ist seine Höhe im rechten Winkel zur mittleren Grundebene. Die äquivalente Quellenhöhe zs und die äquivalente Empfängerhöhe zr können somit bestimmt werden. Der Abstand zwischen der Quelle und dem Empfänger in der Projektion auf die mittlere Bezugsebene wird durch dp bezeichnet.

Weist die äquivalente Höhe eines Punktes einen negativen Wert auf, d. h. befindet sich der Punkt unterhalb der mittleren Grundebene, wird die Höhe null beibehalten; der äquivalente Punkt ist dann mit seinem möglichen Spiegelbild identisch.

Berechnung der mittleren Ebene

In der Ebene des Ausbreitungsweges kann die topographie (einschließlich Gelände, Hügel, Dämme und andere von Menschen errichtete Hindernisse, Gebäude usw.) als eine geordnete Menge einzelner Punkte (xk, Hk); k {1, ..., n} beschrieben werden. Die Punktmenge definiert eine Polylinie oder - äquivalent dazu - eine Abfolge gerader Segmente Hk = akx + bk, x [xk, xk + 1]; k {1,... n}, worin:

(2.5.2)

Die mittlere Ebene wird durch die Gerade Z = ax + b; x [x1, xn] dargestellt, die an die Polylinie mittels Approximation nach der Methode der kleinsten Quadrate angepasst wird. Die Gleichung der Mittellinie kann analytisch abgeleitet werden.

Verwendet wird:

(2.5.3)

Die Koeffizienten der Geraden sind wie folgt gegeben:

(2.5.4),

wobei Segmente mit xk + 1 = xk außer Acht zu lassen sind, wenn die Gleichung 2.5.3 evaluiert wird.

Reflexionen durch Gebäudefassaden und andere vertikale Hindernisse

Reflexionsanteile sind durch die Einführung von Spiegelquellen wie nachfolgend beschrieben zu berücksichtigen.

2.5.4. Modell der Schallausbreitung

Für einen Empfänger R werden die Berechnungen unter Einhaltung folgender Schritte vorgenommen:

  1. zu jedem Ausbreitungsweg:
    • Berechnung der Dämpfung bei günstigen Bedingungen;
    • Berechnung der Dämpfung bei homogenen Bedingungen;
    • Berechnung des Dauerschallpegels für jeden Ausbreitungsweg;
  2. Aufsummierung der Dauerschallpegel für alle Ausbreitungswege, die einen bestimmten Empfänger betreffen, wodurch der Gesamtschallpegel am Empfängerpunkt berechnet werden kann.

Zu beachten ist, dass von den Witterungsbedingungen nur die Dämpfungen aufgrund des Bodeneffekts (Aground) und der Beugung (Adif) beeinflusst werden.

2.5.5. Ablauf der Berechnung

Für eine Punktquelle S der gerichteten Schallleistung Lw,0,dir und für ein bestimmtes Frequenzband wird der äquivalente Dauerschalldruckpegel am Empfängerpunkt R unter bestimmten Witterungsbedingungen mittels der nachfolgenden Gleichungen bestimmt.

Schallpegel bei günstigen Bedingungen (LF) für einen Ausbreitungsweg (S, R)

LF = LW,0,dir - AF (2.5.5)

Der Term AF repräsentiert die Gesamtdämpfung entlang des Ausbreitungsweges bei günstigen Bedingungen und wird wie folgt aufgeschlüsselt:

LF = Adiv + Aatm + Aboundary,F (2.5.6)

Hierbei gilt:

Adiv ist die geometrische Ausbreitungsdämpfung;

Aatm ist die Dämpfung aufgrund von Luftabsorption;

Aboundary,F ist die Dämpfung aufgrund der Begrenzung des Ausbreitungsmediums bei günstigen Bedingungen. Sie kann folgende Terme beinhalten:

Aground,F für die Dämpfung aufgrund des Bodens bei günstigen Bedingungen;

Adif,F für die Dämpfung aufgrund von Beugung bei günstigen Bedingungen.

Für einen gegebenen Ausbreitungsweg und ein gegebenes Frequenzband sind die folgenden beiden Szenarien möglich:

Schallpegel bei homogenen Bedingungen (LH) für einen Ausbreitungsweg (S, R)

Das Verfahren ist völlig identisch mit dem Fall der günstigen Bedingungen im vorhergehenden Abschnitt.

LH = LW,0,dir - AH (2.5.7)

Der Term AH repräsentiert die Gesamtdämpfung entlang dem Ausbreitungsweg bei homogenen Bedingungen und wird wie folgt aufgeschlüsselt:

AH = Adiv + Aatm + Aboundary,H (2.5.8)

Hierbei gilt:

Adiv ist die geometrische Ausbreitungsdämpfung;

Aatm ist die Dämpfung aufgrund von Luftabsorption;

Aboundary,H ist die Dämpfung aufgrund der Begrenzung des Ausbreitungsmediums bei homogenen Bedingungen. Sie kann folgende Terme beinhalten:

Aground,H für die Dämpfung aufgrund des Geländes bei homogenen Bedingungen;

Adif,H für die Dämpfung aufgrund von Beugung bei homogenen Bedingungen.

Für einen gegebenen Ausbreitungsweg und ein gegebenes Frequenzband sind die folgenden beiden Szenarien möglich:

Statistischer Ansatz in städtischen Gebieten für einen Ausbreitungsweg (S, R)

In städtischen Gebieten ist auch ein statistischer Ansatz für die Berechnung der Schallausbreitung hinter die erste Gebäudelinie zulässig, sofern ein solches Verfahren ordnungsgemäß dokumentiert wird, was auch relevante Angaben zur Qualität des Verfahrens einschließt. Dieses Verfahren kann an die Stelle der Berechnung von Aboundary,H und Aboundary,F durch Approximation der Gesamtdämpfung für den direkten Ausbreitungsweg und alle Reflexionen treten. Die Berechnung beruht dann auf der durchschnittlichen Bebauungsdichte und der durchschnittlichen Höhe aller Gebäude in dem Gebiet.

Dauerschallpegelfür einen Ausbreitungsweg (S, R)

Der Dauerschallpegel entlang eines Ausbreitungsweges, der von einem bestimmten Punkt ausgeht, wird aus der logarithmischen Summe der bewerteten Schallenergie bei homogenen Bedingungen und der Schallenergie bei günstigen Bedingungen gebildet.

Diese Schallpegel werden durch das mittlere Auftreten p günstiger Bedingungen in Richtung des Ausbreitungsweges (S, R) gewichtet:

(2.5.9)
Anmerkung: Die Häufigkeitswerte für p werden als Prozentsatz angegeben. Wenn also etwa der Häufigkeitswert 82 % beträgt, würde in der Gleichung ( 2.5.9) p = 0,82 stehen.

Dauerschallpegelam Punkt R für alle Ausbreitungswege

Der Gesamt-Langzeit-Dauerschallpegel am Empfänger für ein Frequenzband wird durch die energetische Summierung der Beiträge aller N Ausbreitungswege für alle Arten errechnet:

(2.5.10)

Hierbei gilt:

n ist der Index der Ausbreitungswege zwischen S und R.

Die Berücksichtigung von Reflexionen mittels Spiegelquellen wird näher beschrieben. Der Prozentsatz der Häufigkeit günstiger Bedingungen im Falle der Reflexion eines Ausbreitungsweges an einem vertikalen Hindernis ist als identisch mit der Häufigkeit des direkten Ausbreitungsweges anzusetzen.

Wenn S' die Spiegelquelle von S, ist, dann wird das Auftreten p' des Ausbreitungsweges (S',R) als gleich dem Auftreten p des Ausbreitungsweges (Si,R) angesetzt.

Dauerschallpegelam Punkt R in Dezibel a (dBA)

Der Gesamtschallpegel in Dezibel a (dBA) wird durch Summierung der Pegel in jedem einzelnen Frequenzband bestimmt:

(2.5.11)

wobei i der Index des Frequenzbands ist. AWC ist die A-Bewertungskorrektur gemäß der internationalen Norm IEC 61672-1:2003.

Dieser Pegel LAeq,LT stellt das Endresultat dar, d. h. dem A-bewerteten Langzeit-Dauerschallpegel am Empfängerpunkt in einem bestimmten Referenzzeitraum (z.B. Tag oder Abend oder Nacht oder einer kürzeren Zeit am Tag, am Abend oder in der Nacht).

2.5.6. Berechnung der Schallausbreitung bei Straßen-, Eisenbahn- und Industrie-/Gewerbequellen

Geometrische Zerstreuung

Die geometrische Ausbreitungsdämpfung Adiv entspricht einer Verringerung des Schallpegels mit zunehmender Ausbreitungsentfernung. Für eine Punktschallquelle im freien Schallfeld wird die Dämpfung in dB angegeben durch:

Adiv = 20 x lg(d) + 11 (2.5.12)

wobei d die direkte 3D-Schrägentfernung zwischen der Quelle und dem Empfänger ist.

Luftabsorption

Die Dämpfung aufgrund von Luftabsorption Aatm während der Ausbreitung über eine Entfernung d wird in dB durch folgende Gleichung angegeben:

Aatm = αatm · d/1.000 (2.5.13)

Hierbei gilt:

d ist die direkte 3D-Schrägentfernung zwischen der Quelle und dem Empfänger in m;

αatm ist der Koeffizient der Dämpfung in der Atmosphäre in dB/km in der nominellen Mittenfrequenz für jedes Frequenzband gemäß ISO 9613-1.

Die Werte des Koeffizienten αatm werden für eine Temperatur von 15 °C, eine relative Feuchtigkeit von 70 % und einen Luftdruck von 101.325 Pa angegeben. Sie werden mit den genauen Mittenfrequenzen des Frequenzbandes berechnet. Diese Werte erfüllen die Norm ISO 9613-1. Liegen meteorologische Daten vor, so ist der meteorologische Langzeitdurchschnitt zu verwenden.

Bodeneffekt

Die Dämpfung aufgrund des Bodeneffekts ist vor allem das Ergebnis der Interferenz zwischen dem reflektierten Schall und dem Schall, der sich direkt von der Quelle zum Empfänger ausbreitet. Sie ist physisch mit der akustischen Absorption des Geländes verbunden, über dem sich der Schall ausbreitet. Sie ist aber auch erheblich von den atmosphärischen Bedingungen während der Ausbreitung abhängig, da sich durch die Schallstrahlkrümmung die Höhe des Ausbreitungsweges über dem Boden ändert und so die Einflüsse des Bodens und des Geländes nahe der Quelle an Bedeutung gewinnen oder verlieren.

Wenn die Ausbreitung zwischen der Quelle und dem Empfänger durch ein Hindernis in der Ausbreitungsebene beeinflusst wird, wird der Bodeneffekt für die Quellen- und die Empfängerseite getrennt berechnet. Dabei beziehen sich zs und zr auf die äquivalente Quellen- und/oder Empfängerposition, wie im Weiteren im Zusammenhang mit der Berechnung der Beugung Adif dargestellt wird.

Akustische Charakterisierung des Bodens

Die akustischen Absorptionseigenschaften des Bodens stehen vor allem mit seiner Porosität in Verbindung. Ein dichter Boden ist im Allgemeinen reflektierend, ein poröser Boden absorbierend.

Für die Zwecke einer operativen Berechnung wird die akustische Absorption eines Bodens durch einen dimensionslosen Koeffizienten G zwischen 0 und 1 dargestellt. G ist unabhängig von der Frequenz. Tabelle 2.5.a enthält die G-Werte für den Boden im Freien. Der durchschnittliche Wert des Koeffizienten G über einen Ausbreitungsweg liegt in der Regel im Bereich von 0 bis 1.

Tabelle 2.5.a G-Werte für verschiedene Bodenarten

Beschreibung Art (kPa·s/m2) G-Wert
Sehr weich (wie Schnee oder Moos) A 12,5 1
Weicher Waldboden (kurzes, dichtes heideartiges oder dickes Moos) B 31,5 1
Nicht verdichteter loser Boden (Rasen, Gras, loser Boden) C 80 1
Normaler nicht verdichteter Boden (Wald boden, Weideland) D 200 1
Verdichtetes Feld und Schotter (verdichteter Rasen, Parkgebiete) E 500 0,7
Verdichteter dichter Boden (Schotterstraße, Parkplatz) F 2.000 0,3
Harte Oberflächen (zumeist normaler Asphalt, Beton) G 20.000 0
Sehr harte und dichte Oberflächen (dichter Asphalt, Beton, Wasser) H 200.000 0

Gpath wird definiert als der Anteil an absorbierendem Boden über den gesamten betrachteten Ausbreitungsweg.

Wenn die Quelle und der Empfänger nahe beieinander liegen, so dass dp≤ 30(zs + zr), ist der Unterschied zwischen der Bodenart nahe der Quelle und der Bodenart nahe dem Empfänger unerheblich. Um dem Rechnung zu tragen, wird der Bodenfaktor Gpath letztlich wie folgt korrigiert:

(2.5.14)

wobei Gs der Bodenfaktor im Bereich der Quelle ist. Gs = 0 für Straßenfahrbahnen1, feste Fahrbahnen. Gs=1 für Bahngleise auf Schotterbettung. Im Falle von industriellen/gewerblichen Quellen und Anlagen gibt es keine pauschale Antwort.

G kann mit dem Strömungswiderstand in Verbindung gebracht werden.

Abbildung 2.5.b Bestimmung des Bodenkoeffizienten Gpath über einen Ausbreitungsweg

In den folgenden zwei Unterabschnitten über die Berechnung bei homogenen bzw. günstigen Bedingungen kommen erstmals die generischen Bezeichnungen Gw undm für die Absorption des Bodens zur Anwendung. Tabelle 2.5.b zeigt die Entsprechung zwischen diesen Bezeichnungen und den Variablen Gpath und G'path.

Tabelle 2.5.b Übereinstimmungen zwischenw undm und (Gpath, G'path)

Homogene Bedingungen Günstige Bedingungen
Aground Δground(S,O) Δground(O,R) Aground Δground(S,O) Δground(O,R)
w G'path Gpath
m G'path Gpath G'path Gpath
1) Die Absorption poröser Straßenbeläge wird im Emissionsmodell berücksichtigt.

Berechnungen bei homogenen Bedingungen

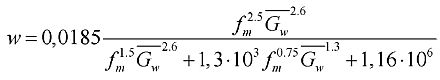
Die Dämpfung aufgrund des Bodeneffekts bei homogenen Bedingungen wird nach den folgenden Gleichungen berechnet:

wenn Gpath ¹ 0

(2.5.15)

Hierbei gilt:

¦m ist die nominelle Mittenfrequenz des betrachteten Frequenzbands in Hz, c ist die Geschwindigkeit des Schalls in der Luft (als 340 m/s angenommen), und C¦ wird definiert durch:

(2.5.16),

wobei die Werte von w durch die nachstehende Gleichung gegeben sind:

(2.5.17).
w kann gleich Gpath oder G'path sein, je nachdem, ob der Bodeneffekt mit oder ohne Beugung berechnet wird und welcher Art der Boden unter der Quelle ist (reale Quelle oder gebeugt). Dies wird in den folgenden Unterabschnitten näher erläutert und in der Tabelle 2.5.b zusammengefasst.
(2.5.18)

ist der untere Grenzwert von Aground,H.

Für einen Ausbreitungsweg (Si, R) bei homogenen Bedingungen ohne Beugung:w = G'pathm = G'path

Zum Ausbreitungsweg mit Beugung siehe den Abschnitt "Beugung" mit den Definitionen vonw undm.

wenn Gpath = 0: Aground,H = -3 dB

Der Term - 3(1 -m) trägt dem Umstand Rechnung, dass, wenn die Quelle und der Empfänger weit auseinander liegen, die erste quellenseitige Reflexion nicht mehr auf der quellnahen Oberfläche, sondern auf natürlichem Gelände erfolgt.

Berechnung bei günstigen Bedingungen

Der Bodeneffekt bei günstigen Bedingungen wird mit der Gleichung für Aground,H berechnet, allerdings mit folgenden Änderungen:

Wenn Gpath ¹ 0

  1. In der Gleichung für Aground,H werden die Höhen zs und zr ersetzt durch zs + δ zs + δ zT bzw. zr + δ zr + δ zT, wobei
    (2.5.19)

    ao = 2 x 10-4 m-1 die Umkehrung des Bogenhalbmessers ist

  2. Der untere Grenzwert von Aground,F ist abhängig von der Geometrie des Ausbreitungsweges:
(2.5.20)

Wenn Gpath = 0

Aground,F, = Aground,F,min

Die Höhenkorrekturen δ zs und δ zr berücksichtigen die Wirkung der Schallstrahlkrümmung. δ zT trägt der Wirkung der Turbulenz Rechnung.m kann also gleich Gpath oder G'path sein, je nachdem, ob der Bodeneffekt mit oder ohne Beugung berechnet wird und welcher Art der Boden unter der Quelle ist (reale Quelle oder gebeugt). Dies wird in den folgenden Unterabschnitten näher erläutert.

Für einen Ausbreitungsweg (Si,R) bei günstigen Bedingungen ohne Beugung:w = Gpath in Gleichung ( 2.5.17);m = G'path.

Zum Ausbreitungsweg mit Beugung siehe den nächsten Abschnitt mit den Definitionen von Gw undm.

Beugung

Generell ist die Beugung an der Oberkante jedes Hindernisses zu untersuchen, das sich im Ausbreitungsweg befindet. Verläuft der Ausbreitungsweg ‚hoch genug' über der Beugungskante, so kann Adif = 0 gesetzt und eine direkte Sicht berechnet werden, konkret durch die Bestimmung von Aground.

In der Praxis wird für die Mittenfrequenz jedes Frequenzbands die Weglängendifferenz δ mit der Größe λ/20 verglichen. Erzeugt ein Hindernis keine Beugung, was beispielsweise gemäß dem Rayleigh-Kriterium festgestellt wird, so besteht keine Notwendigkeit zur Berechnung von Adif für das betrachtete Frequenzband. Anders gesagt, in diesem Fall gilt Adif = 0. Andernfalls wird Adif wie im restlichen Teil dieses Abschnitts beschrieben berechnet. Diese Regel gilt sowohl für homogene als auch für günstige Bedingungen und sowohl für Einzel- als auch für Mehrfachbeugungen.

Wenn für ein bestimmtes Frequenzband eine Berechnung nach dem in diesem Abschnitt beschriebenen Verfahren vorgenommen wird, wird im Falle der Berechnung der Gesamtdämpfung Aground mit 0 dB angesetzt. Der Bodeneffekt ist direkt in der allgemeinen Gleichung zur Beugungsberechnung berücksichtigt.

Die hier vorgeschlagenen Gleichungen werden verwendet, um die Beugung an dünnen und dicken Schallschirmen, Gebäuden, (natürlichen und künstlichen) Wällen und durch die Kanten von Böschungen, Geländeeinschnitten und Viadukten zu berechnen.

Werden in einem Ausbreitungsweg mehrere Beugungshindernisse festgestellt, werden sie als Mehrfachbeugung behandelt, indem das im folgenden Abschnitt zur Berechnung der Weglängendifferenz beschriebene Verfahren angewendet wird.

Die hier dargelegten Verfahren werden verwendet, um die Dämpfungen sowohl bei homogenen als auch bei günstigen Bedingungen zu berechnen. Die Schallstrahlkrümmung wird bei der Berechnung der Weglängendifferenz sowie zur Berechnung der Bodeneffekte vor und nach der Beugung berücksichtigt.

Allgemeine Grundsätze

Abbildung 2.5.c veranschaulicht das allgemeine Verfahren der Berechnung der Dämpfung aufgrund von Beugung. Dieses Verfahren basiert auf der Untergliederung des Ausbreitungswegs in zwei Teile: den "quellenseitigen" Ausbreitungsweg zwischen der Quelle und dem Beugungspunkt und den "empfängerseitigen" Ausbreitungsweg zwischen dem Beugungspunkt und dem Empfänger.

Folgendes wird berechnet:

Abbildung 2.5.c Geometrie einer Berechnung der Dämpfung aufgrund von Beugung

1: Quellenseite.

2: Empfängerseite.

Hierbei gilt:

S ist die Quelle;

R ist der Empfänger;

S' ist die Spiegelquelle bezogen auf die quellseitige mittlere Bezugsebene;

R' ist der Spiegelempfänger bezogen auf die empfängerseitige mittlere Bezugsebene;

O ist der Beugungspunkt;

zs ist die äquivalente Höhe der Quelle S bezogen auf die quellenseitige mittlere Bezugsebene;

zo,s ist die äquivalente Höhe des Beugungspunkts O bezogen auf die quellenseitige mittlere Bezugsebene;

zr ist die äquivalente Höhe des Empfängers R bezogen auf die empfängerseitige mittlere Bezugsebene;

zo,r ist die äquivalente Höhe des Beugungspunkts O bezogen auf die empfängerseitige mittlere Bezugsebene.

Die Unregelmäßigkeit des Bodens zwischen der Quelle und dem Beugungspunkt sowie zwischen dem Beugungspunkt und dem Empfänger wird mittels äquivalenter Höhen berücksichtigt, die in Bezug auf die mittlere Grundebene, zuerst quellenseitig und dann empfängerseitig (zwei mittlere Grundebenen), anhand des im Unterabschnitt zu erheblichen Höhen über dem Boden beschriebenen Verfahrens berechnet werden.

Reine Beugung

Für die reine Beugung ohne Bodeneffekte wird die Dämpfung angegeben durch:

(2.5.21)

Hierbei gilt:

Ch = 1 (2.5.22)

λ ist die Wellenlänge der nominalen Mittenfrequenz des betrachteten Frequenzbandes;

δ ist die Weglängendifferenz zwischen dem gebeugten Ausbreitungsweg und dem direkten Ausbreitungsweg (siehe nächsten Unterabschnitt "Berechnung der Weglängendifferenz");

C" ist ein Koeffizient, der zur Berücksichtigung von Mehrfachbeugungen eingesetzt wird:

C" = 1 für eine Einzelbeugung.

Im Falle der Mehrfachbeugung, wenn e die Gesamtdistanz entlang dem Ausbreitungsweg ist, O1 bis O2 + O2 bis O3 + O3 bis O4 aus der "Gummibandmethode" ist (siehe Abbildungen 2.5.d und 2.5.f) und wenn e länger als 0,3 m ist (andernfalls C" = 1), wird dieser Koeffizient definiert durch:

(2.5.23)

Die Werte von Δdif sind zu begrenzen:

Berechnung der Weglängendifferenz

Die Weglängendifferenz δ wird auf einer vertikalen Ebene berechnet, die die Quelle und den Empfänger umfasst. Dies ist eine Approximation im Verhältnis zum Fermatschen Prinzip. Die Approximation bleibt hier gültig (Linienquellen). Die Weglängendifferenz δ wird wie in den nachstehenden Abbildungen ausgehend von den vorgefundenen Situationen berechnet.

Homogene Bedingungen

Abbildung 2.5.d Berechnung der Weglängendifferenz unter homogenen Bedingungen. O, O1 und O2 sind die Beugungspunkte

Hinweis: Für jede Konfiguration wird der Ausdruck δ angegeben.

Günstige Bedingungen

Abbildung 2.5.e Berechnung der Weglängendifferenz bei günstigen Bedingungen (Einzelbeugung)

Bei günstigen Bedingungen wird davon ausgegangen, dass die drei gebogenen Schallstrahlen einen identischen Bogenhalbmesser Γ haben, der definiert wird durch:

Γ = max(1.000,8d) (2.5.24)

Die Länge eines Schallstrahlbogens MN wird bei günstigen Bedingungen mitN bezeichnet. Diese Länge ist gleich:

(2.5.25)

Im Prinzip sollten bei der Berechnung der Weglängendifferenz bei günstigen Bedingungen δF (siehe Abbildung 2.5.e) drei Szenarien betrachtet werden. In der Praxis genügen zwei Gleichungen:

(2.5.26),
(2.5.27),

wobei a der Schnittpunkt des direkten Schallstrahls SR und der Verlängerung des Beugungshindernisses ist.

Für die Mehrfachbeugungen bei günstigen Bedingungen:

(2.5.28)

Abbildung 2.5.f Beispiel einer Berechnung der Weglängendifferenz bei günstigen Bedingungen im Falle von Mehrfachbeugungen

In dem in Abbildung 2.5.f dargestellten Szenario ist die Weglängendifferenz:

(2.5.29)

Berechnung der Dämpfung Adif

Die Dämpfung aufgrund von Beugung unter Berücksichtigung der quellen- und empfängerseitigen Bodeneffekte wird nach den folgenden allgemeinen Gleichungen berechnet:

Adif = Δdif(S,R) + Δground(S,O) + Δground(On ,R) (2.5.30)

Hierbei gilt:

Berechnung des Terms Δground(S,O)

(2.5.31)

Hierbei gilt:

Berechnung des Terms Δground(O,R)

(2.5.32)

Hierbei gilt:

Die Korrektur G'path braucht hier nicht berücksichtig zu werden, da die betrachtete Quelle der Beugungspunkt ist. Deshalb ist vielmehr Gpath bei der Berechnung der Bodeneffekte zu verwenden, einschließlich für den unteren Grenzterm der Gleichung, der -3(1- Gpath) wird.

Szenarien mit vertikalen Kanten

Die Gleichung ( 2.5.21) kann verwendet werden, um die Beugungen an vertikalen Kanten (seitliche Beugungen) bei Industrie-/Gewerbelärm zu berechnen. In diesem Falle wird Adif = Δdif(S,R) genommen und der Term Aground behalten. Weiterhin sind Aatm und Aground aus der Gesamtlänge des Ausbreitungsweges zu berechnen. Adiv wird nach wie vor aus der direkten Distanz d berechnet. Die Gleichungen ( 2.5.8) bzw. ( 2.5.6) werden zu:

(2.5.33)
(2.5.34)

Δdif wird tatsächlich bei homogenen Bedingungen in Gleichung ( 2.5.34) verwendet.

Reflexionen an vertikalen Hindernissen

Dämpfung durch Absorption

Die Reflexionen an vertikalen Hindernissen werden über Spiegelquellen erfasst. Somit werden Reflexionen an Gebäudefassaden und Lärmschutzwänden auf diese Weise erfasst.

Ein Hindernis gilt als vertikal, wenn seine Neigung bezogen auf die Senkrechte weniger als 15° beträgt.

Handelt es sich um Reflexionen an Objekten, deren Neigung bezogen auf die Senkrechte mehr als oder gleich 15° ist, wird das Objekt nicht betrachtet.

Die Hindernisse, bei denen mindestens eine Dimension unter 0,5 m liegt, sind - ausgenommen bei speziellen Konfigurationen - bei der Berechnung von Reflexionen außer Acht zu lassen.2

Man beachte, dass Reflexionen am Boden hier nicht behandelt werden. Sie werden bei den Berechnungen der Dämpfung aufgrund der Begrenzung (Boden, Beugung) berücksichtigt.

Ist LWS der Leistungspegel der Quelle S und αr der Absorptionskoeffizient der Oberfläche des Hindernisses gemäß Definition in EN 1793-1:2013, dann ist der Leistungspegel der Spiegelquelle S' gleich:

LWS2 = LWS + 10 · lg(1 - αr) = LWS + Arefl (2.5.35)

wobei 0 ≤ αr

< 1.

Die oben beschriebenen Dämpfungen der Ausbreitung werden dann - wie beim direkten Ausbreitungsweg - auf diesen Ausbreitungsweg (Spiegelquelle, Empfänger) angewendet.

Abbildung 2.5.g Mit dem Spiegelquellverfahren erfasste spiegelnde Reflexion an einem Hindernis (S: Quelle, S': Spiegelquelle, R: Empfänger)

Dämpfung durch Retrobeugung

Bei der geometrischen Untersuchung von Schallausbreitungswegen während der Reflexion an einem vertikalen Hindernis (Schallschutzwand, Gebäude) bestimmt die Position des Auftreffens des Strahls in Bezug auf die Oberkante dieses Hindernisses über den mehr oder weniger erheblichen Anteil an Energie, der tatsächlich reflektiert wird. Dieser Verlust an akustischer Energie bei der Reflexion des Strahls wird als Dämpfung durch Retrobeugung bezeichnet.

Im Falle potenzieller Mehrfachreflexionen zwischen zwei vertikalen Wänden ist zumindest die erste Reflexion zu betrachten.

Im Falle eines Einschnitts (siehe zum Beispiel Abbildung 2.5.h) ist die Dämpfung durch Retrobeugung auf jede Reflexion an den Stützwänden anzuwenden.

Abbildung 2.5.h Vierfachreflexion eines Schallstrahls in Troglage: tatsächlicher Querschnitt (oben), aufgefalteter Querschnitt (unten)

In dieser Darstellung erreicht der Schallstrahl den Empfänger, indem er die Stützwände des Einschnitts "nacheinander durchläuft", die daher mit Öffnungen verglichen werden können.

Bei der Berechnung der Ausbreitung durch eine Öffnung ist das Schallfeld beim Empfänger die Summe des Direktfeldes und des durch die Kanten der Öffnung gebeugten Feldes. Das gebeugte Feld sichert den stetigen Übergang zwischen dem freien Bereich und dem Schattenbereich. Erreicht der Strahl die Kante der Öffnung, ist das Direktfeld gedämpft. Die Berechnung entspricht der Berechnung der Dämpfung durch ein Hindernis im freien Bereich.

Die mit jeder Retrobeugung verbundene Weglängendifferenz δ' ist das Gegenstück zur Weglängendifferenz zwischen S und R jeweils an der Oberkante O, und dies in einer Ansicht mit einem entfalteten Querschnitt (siehe Abbildung 2.5.i).

δ' = - (SO + OR - SR) (2.5.36)

Abbildung 2.5.i Die Weglängendifferenz für die zweite Reflexion

Das Minus-Zeichen in der Gleichung ( 2.5.36) bedeutet, dass der Empfänger hier im freien Bereich betrachtet wird.

Eine Dämpfung durch Retrobeugung Δretrodif wird anhand der Gleichung ( 2.5.37) ermittelt, die der Gleichung ( 2.5.21) mit neu gefassten Bezeichnungen ähnlich ist.

(2.5.37)

Diese Dämpfung betrifft den Direktstrahl jedes Mal, wenn er "durch" eine Wand oder ein Gebäude "verläuft" (reflektiert wird). Der Leistungspegel der Spiegelquelle S' wird so zu:

LW2 = LW + 10 x lg(1 - ±r) - Δretrodif (2.5.38)

Bei komplexen Ausbreitungskonfigurationen können Beugungen zwischen Reflexionen oder zwischen dem Empfänger und den Reflexionen bestehen. In diesem Fall wird die Retrobeugung von den Wänden unter Berücksichtigung des Ausbreitungsweges zwischen der Quelle und dem ersten Beugungspunkt R' (daher in der Gleichung ( 2.5.36) als der Empfänger betrachtet) abgeschätzt. Dieses Prinzip veranschaulicht Abbildung 2.5.j.

Abbildung 2.5.j Weglängendifferenz in Anwesenheit einer Beugung: tatsächlicher Querschnitt (oben), aufgefalteter Querschnitt (unten)

Im Falle von Mehrfachreflexionen werden die auf Einzelreflexionen zurückgehenden Reflexionen aufsummiert.


weiter .

umwelt-online - Demo-Version


(Stand: 19.08.2020)

Alle vollständigen Texte in der aktuellen Fassung im Jahresabonnement
Nutzungsgebühr: 90.- € netto (Grundlizenz)

(derzeit ca. 7200 Titel s.Übersicht - keine Unterteilung in Fachbereiche)

Preise & Bestellung

Die Zugangskennung wird kurzfristig übermittelt

? Fragen ?
Abonnentenzugang/Volltextversion