umwelt-online: Richtlinie 2008/48/EG über Verbraucherkreditverträge und zur Aufhebung der RL 87/102/EWG (2)
![]() |
zurück | ![]() |
Kapitel IV
Information und Rechte aus Kreditverträgen
Artikel 10 Zwingende Angaben in Kreditverträgen
(1) Kreditverträge werden auf Papier oder auf einem anderen dauerhaften Datenträger erstellt.
Alle Vertragsparteien erhalten eine Ausfertigung des Kreditvertrags. Innerstaatliche Vorschriften über die Gültigkeit des Abschlusses von Kreditverträgen, die mit dem Gemeinschaftsrecht in Einklang stehen, bleiben unberührt.
(2) Im Kreditvertrag ist in klarer, prägnanter Form Folgendes anzugeben:
Aus dem Tilgungsplan geht hervor, welche Zahlungen in welchen Zeitabständen zu leisten sind und welche Bedingungen für diese Zahlungen gelten; in dem Plan sind die einzelnen periodischen Rückzahlungen nach der Darlehenstilgung, den nach dem Sollzinssatz berechneten Zinsen und gegebenenfalls allen zusätzlichen Kosten aufzuschlüsseln; im Falle eines Kreditvertrags, bei dem kein fester Zinssatz vereinbart wurde oder die zusätzlichen Kosten geändert werden können, ist in dem Tilgungsplan in klarer und prägnanter Form anzugeben, dass die Daten im Tilgungsplan nur bis zur nächsten Änderung des Sollzinssatzes oder der zusätzlichen Kosten gemäß dem Kreditvertrag Gültigkeit haben;
(3) Sofern Absatz 2 Buchstabe i Anwendung findet, stellt der Kreditgeber dem Verbraucher kostenlos und zu jedem beliebigen Zeitpunkt während der Gesamtlaufzeit des Kreditvertrages eine Aufstellung in Form eines Tilgungsplans zur Verfügung.
(4) Dienen bei einem Kreditvertrag vom Verbraucher geleistete Zahlungen nicht der unmittelbaren Tilgung seiner Schuld im Verhältnis zum Gesamtkreditbetrag, sondern der Bildung von Kapital innerhalb der Zeiträume und zu den Bedingungen, die im Kreditvertrag oder in einem Zusatzvertrag zum Kreditvertrag vorgesehen sind, so muss aus den nach Absatz 2 bereitgestellten Informationen klar und prägnant hervorgehen, dass der Kreditvertrag oder der Zusatzvertrag keine Garantie für die Rückzahlung des aufgrund des Kreditvertrags in Anspruch genommenen Gesamtkreditbetrags vorsieht, es sei denn, eine solche Garantie wird gegeben.
(5) Bei Kreditverträgen in Form von Überziehungsmöglichkeiten nach Artikel 2 Absatz 3 ist in klarer, prägnanter Form Folgendes anzugeben:
Artikel 11 Angaben zum Sollzinssatz
(1) Gegebenenfalls ist der Verbraucher über eine Änderung des Sollzinssatzes auf Papier oder einem anderen dauerhaften Datenträger zu informieren, bevor die Änderung wirksam wird. Dabei ist der Betrag der nach dem Wirksamwerden des neuen Sollzinssatzes zu leistenden Zahlungen anzugeben; ändern sich die Anzahl oder die Periodizität der zu leistenden Zahlungen, so sind auch hierzu Einzelheiten anzugeben.
(2) Die Vertragsparteien können jedoch in dem Kreditvertrag vereinbaren, dass die Information nach Absatz 1 dem Verbraucher in regelmäßigen Abständen erteilt wird, wenn die Änderung des Sollzinssatzes auf eine Änderung eines Referenzzinssatzes zurückgeht, der neue Referenzzinssatz auf geeigneten Wegen öffentlich zugänglich gemacht wird und die Information über den neuen Referenzzinssatz außerdem in den Geschäftsräumen des Kreditgebers eingesehen werden kann.
Artikel 12 Verpflichtungen bei Kreditverträgen in Form einer Überziehungsmöglichkeit
(1) Wird einem Verbraucher ein Kredit in Form einer Überziehungsmöglichkeit eingeräumt, so wird er regelmäßig mittels eines Kontoauszugs auf Papier oder einem anderen dauerhaften Datenträger informiert, der folgende Einzelheiten enthält:
(2) Darüber hinaus ist der Verbraucher auf Papier oder einem anderen dauerhaften Datenträger über Erhöhungen des Sollzinssatzes oder der erhobenen Entgelte zu unterrichten bevor die Änderung wirksam wird.
Die Vertragsparteien können jedoch in dem Kreditvertrag vereinbaren, dass die Information über die Änderung des Sollzinssatzes nach Maßgabe des Absatzes 1 zu erteilen ist, wenn diese Änderung auf eine Änderung eines Referenzzinssatzes zurückgeht, der neue Referenzzinssatz auf geeigneten Wegen öffentlich zugänglich gemacht wird und die Information über den neuen Referenzzinssatz außerdem in den Geschäftsräumen des Kreditgebers eingesehen werden kann.
Artikel 13 Unbefristete Kreditverträge
(1) Der Verbraucher kann einen unbefristeten Kreditvertrag jederzeit unentgeltlich ordentlich kündigen, es sei denn, die Parteien haben eine Kündigungsfrist vereinbart. Die Kündigungsfrist darf einen Monat nicht überschreiten.
Enthält der Kreditvertrag eine entsprechende Vereinbarung, so kann der Kreditgeber einen unbefristeten Kreditvertrag unter Einhaltung einer mindestens zweimonatigen Kündigungsfrist ordentlich kündigen; die Kündigung ist dem Verbraucher auf Papier oder einem anderen dauerhaften Datenträger mitzuteilen.
(2) Enthält der Kreditvertrag eine entsprechende Vereinbarung, so kann der Kreditgeber aus sachlich gerechtfertigten Gründen dem Verbraucher das Recht auf Inanspruchnahme von Kreditbeträgen aufgrund eines unbefristeten Kreditvertrags entziehen. Der Kreditgeber hat den Verbraucher über die Entziehung und die Gründe hierfür möglichst vor, spätestens jedoch unverzüglich nach der Entziehung auf Papier oder einem anderen dauerhaften Datenträger zu informieren, es sei denn, eine solche Unterrichtung ist nach anderen Gemeinschaftsvorschriften nicht zulässig oder läuft Zielen der öffentlichen Ordnung oder der öffentlichen Sicherheit zuwider.
Artikel 14 Widerrufsrecht
(1) Der Verbraucher kann innerhalb von vierzehn Kalendertagen ohne Angabe von Gründen den Kreditvertrag widerrufen.
Diese Widerrufsfrist beginnt
(2) Sofern bei verbundenen Kreditverträgen nach der Begriffsbestimmung in Artikel 3 Buchstabe n das bei Inkrafttreten der Richtlinie geltende innerstaatliche Recht bereits vorsieht, dass die Mittel dem Verbraucher nicht vor Ablauf einer speziellen Frist bereitgestellt werden dürfen, können die Mitgliedstaaten ausnahmsweise vorsehen, dass die in Absatz 1 genannte Frist auf ausdrücklichen Wunsch des Verbrauchers auf diese spezielle Frist verkürzt werden kann.
(3) Übt der Verbraucher sein Widerrufsrecht aus, so
(4) Wird eine Nebenleistung im Zusammenhang mit dem Kreditvertrag vom Kreditgeber oder von einem Dritten aufgrund einer Vereinbarung zwischen dem Dritten und dem Kreditgeber erbracht, so ist der Verbraucher nicht mehr an die Vereinbarung über die Nebenleistung gebunden, wenn er sein Recht auf Widerruf vom Kreditvertrag gemäß diesem Artikel ausübt.
(5) Verfügt der Verbraucher über ein Widerrufsrecht gemäß den Absätzen 1, 3 und 4, so finden Artikel 6 und 7 der Richtlinie 2002/65/EG und Artikel 5 der Richtlinie 85/577/EWG des Rates vom 20. Dezember 1985 betreffend den Verbraucherschutz im Falle von außerhalb von Geschäftsräumen geschlossenen Verträgen 11 keine Anwendung.
(6) Die Mitgliedstaaten können vorsehen, dass die Absätze 1 bis 4 nicht für Kreditverträge gelten, die nach geltenden Rechtsvorschriften unter Mitwirkung eines Notars geschlossen werden müssen, sofern der Notar bestätigt, dass die Rechte des Verbrauchers gemäß den Artikeln 5 und 10 gewahrt sind.
(7) Dieser Artikel berührt nicht innerstaatliche Rechtsvorschriften, die eine Frist vorsehen, innerhalb deren die Ausführung des Vertrags nicht beginnen kann.
Artikel 15 Verbundene Kreditverträge
(1) Hat der Verbraucher ein Recht auf Widerruf von einem Vertrag über die Lieferung von Waren oder die Erbringung von Dienstleistungen ausgeübt, das auf Gemeinschaftsrecht beruht, so ist er an einen damit verbundenen Kreditvertrag nicht mehr gebunden.
(2) Werden die unter einen verbundenen Kreditvertrag fallenden Waren oder Dienstleistungen nicht oder nur teilweise geliefert oder entsprechen sie nicht dem Warenlieferungs- oder Dienstleistungsvertrag, so kann der Verbraucher Rechte gegen den Kreditgeber geltend machen, wenn er nach den geltenden Rechtsvorschriften oder den Bestimmungen des Warenlieferungs- oder Dienstleistungsvertrags seine Rechte gegen den Lieferanten oder den Dienstleistungserbringer geltend gemacht hat, diese aber nicht durchsetzen konnte. Die Mitgliedstaaten bestimmen, in welchem Maße und unter welchen Bedingungen diese Rechtsmittel ausgeübt werden können.
(3) Dieser Artikel gilt unbeschadet innerstaatlicher Rechtsvorschriften, nach denen ein Kreditgeber gegenüber jeglichen Ansprüchen, die der Verbraucher gegen den Lieferanten bzw. Dienstleistungserbringer haben könnte, als Gesamtschuldner verpflichtet ist, wenn der Erwerb von Waren oder Dienstleistungen vom Lieferanten über einen Kreditvertrag finanziert wird.
Artikel 16 Vorzeitige Rückzahlung
(1) Der Verbraucher ist berechtigt, seine Verbindlichkeiten aus einem Kreditvertrag jederzeit ganz oder teilweise zu erfüllen. In solchen Fällen hat der Verbraucher das Recht auf Ermäßigung der Gesamtkosten des Kredits, die sich nach den Zinsen und den Kosten für die verbleibende Laufzeit des Vertrags richtet.
(2) Der Kreditgeber kann im Falle der vorzeitigen Rückzahlung des Kredits eine angemessene und objektiv gerechtfertigte Entschädigung für die möglicherweise entstandenen, unmittelbar mit der vorzeitigen Rückzahlung des Kredits zusammenhängenden Kosten verlangen, wenn die vorzeitige Rückzahlung in einen Zeitraum fällt, für den ein fester Sollzinssatz vereinbart wurde.
Die Entschädigung darf 1 % des vorzeitig zurückgezahlten Kreditbetrags nicht überschreiten, wenn der Zeitraum zwischen der vorzeitigen Rückzahlung und dem Zeitpunkt des vereinbarten Ablaufs des Kreditvertrags ein Jahr überschreitet. Beträgt der Zeitraum weniger als ein Jahr, darf die Entschädigung 0,5 % des vorzeitig zurückgezahlten Kreditbetrags nicht überschreiten.
(3) Eine Entschädigung für vorzeitige Rückzahlung darf nicht verlangt werden,
(4) Die Mitgliedstaaten können vorsehen,
Übersteigt die vom Kreditgeber beanspruchte Entschädigung den tatsächlich erlittenen Verlust, so kann der Verbraucher eine entsprechende Verminderung fordern.
In diesem Fall besteht der Verlust in der Differenz zwischen dem ursprünglich vereinbarten Zinssatz und dem Zinssatz, zu dem der Kreditgeber den vorzeitig zurückgezahlten Betrag auf dem Markt zum Zeitpunkt der vorzeitigen Rückzahlung als Kredit ausreichen kann und zwar unter Berücksichtigung der Auswirkung der vorzeitigen Rückzahlung auf die Verwaltungskosten.
(5) Keinesfalls darf die Entschädigung den Zinsbetrag übersteigen, den der Verbraucher in der Zeit zwischen der vorzeitigen Rückzahlung und dem vereinbarten Ende der Laufzeit des Kreditvertrags bezahlt hätte.
Artikel 17 Forderungsabtretung
(1) Werden die Ansprüche des Kreditgebers aus einem Kreditvertrag oder der Kreditvertrag selbst an einen Dritten abgetreten, so kann der Verbraucher dem neuen Gläubiger gegenüber die
Einreden geltend machen, die ihm gegen den ursprünglichen Kreditgeber zustanden, und zwar einschließlich der Aufrechnung von Gegenforderungen, soweit dies in dem betreffenden Mitgliedstaat zulässig ist.
(2) Der Verbraucher ist über die Abtretung gemäß Absatz 1 zu unterrichten, es sei denn, der ursprüngliche Kreditgeber tritt mit dem Einverständnis des Zessionars dem Verbraucher gegenüber nach wie vor als Kreditgeber auf.
Artikel 18 Überschreitung
(1) Ein Vertrag über die Eröffnung eines laufenden Kontos, der dem Verbraucher die Möglichkeit der Überschreitung einräumt, muss zusätzlich die Informationen gemäß Artikel 6 Absatz 1 Buchstabe e enthalten. Der Kreditgeber muss auf jeden Fall diese Informationen regelmäßig auf Papier oder einem anderen dauerhaften Datenträger mitteilen.
(2) Im Falle einer erheblichen Überschreitung für die Dauer von mehr als einem Monat teilt der Kreditgeber dem Verbraucher unverzüglich auf Papier oder einem anderen dauerhaften Datenträger Folgendes mit:
(3) Dieser Artikel gilt unbeschadet innerstaatlicher Rechtsvorschriften, wonach der Kreditgeber ein anderes Kreditprodukt anbieten muss, wenn die Dauer der Überschreitung beträchtlich ist.
Kapitel V
Effektiver Jahreszins
Artikel 19 Berechnung des effektiven Jahreszinses
(1) Der effektive Jahreszins, der auf Jahresbasis die Gleichheit zwischen den Gegenwartswerten der gesamten gegenwärtigen oder künftigen Verpflichtungen (in Anspruch genommene Kreditbeträge, Tilgungszahlungen und Entgelte) des Kreditgebers und des Verbrauchers herstellt, wird anhand der mathematischen Formel in Teil I des Anhangs I berechnet.
(2) Für die Berechnung des effektiven Jahreszinses sind die Gesamtkosten des Kredits für den Verbraucher maßgebend, mit Ausnahme der Kosten, die er bei Nichterfüllung einer seiner Verpflichtungen aus dem Kreditvertrag zu tragen hat, sowie der Kosten mit Ausnahme des Kaufpreises, die er beim Erwerb von Waren oder Dienstleistungen unabhängig davon zu tragen hat, ob es sich um ein Bar- oder ein Kreditgeschäft handelt.
Die Kosten für die Führung eines Kontos, auf dem sowohl Zahlungen als auch in Anspruch genommene Kreditbeträge verbucht werden, die Kosten für die Verwendung eines Zahlungsmittels, mit dem sowohl Zahlungen getätigt als auch Kreditbeträge in Anspruch genommen werden können, sowie sonstige Kosten für Zahlungsgeschäfte werden als Gesamtkosten des Kredits für den Verbraucher berücksichtigt, es sei denn, die Eröffnung des Kontos ist fakultativ und die mit dem Konto verbundenen Kosten sind im Kreditvertrag oder in einem anderen mit dem Verbraucher geschlossenen Vertrag klar und getrennt ausgewiesen.
(3) Bei der Berechnung des effektiven Jahreszinses wird von der Annahme ausgegangen, dass der Kreditvertrag für den vereinbarten Zeitraum gilt und dass Kreditgeber und Verbraucher ihren Verpflichtungen unter den im Kreditvertrag niedergelegten Bedingungen und zu den dort niedergelegten Terminen nachkommen.
(4) In Kreditverträgen mit Klauseln, nach denen der Sollzinssatz und gegebenenfalls die Entgelte, die im effektiven Jahreszins enthalten sind, deren Quantifizierung zum Zeitpunkt seiner Berechnung aber nicht möglich ist, geändert werden können, wird bei der Berechnung des effektiven Jahreszinses von der Annahme ausgegangen, dass der Sollzinssatz und die sonstigen Kosten gemessen an der ursprünglichen Höhe fest bleiben und bis zum Ende des Kreditvertrags gelten.
(5) Erforderlichenfalls kann für die Berechnung des effektiven Jahreszinses von den in Anhang I genannten zusätzlichen Annahmen ausgegangen werden.
Reichen die in diesem Artikel und in Teil II des Anhangs I genannten Annahmen für eine einheitliche Berechnung des effektiven Jahreszinses nicht aus oder sind sie nicht auf die wirtschaftliche Marktlage abgestimmt, so kann die Kommission die zur Berechnung des effektiven Jahreszinses erforderlichen zusätzlichen Annahmen festlegen oder die bestehenden Annahmen ändern. Diese Maßnahmen zur Änderung nicht wesentlicher Bestimmungen dieser Richtlinie werden nach dem Regelungsverfahren mit Kontrolle gemäß Artikel 25 Absatz 2 erlassen.
Kapitel VI
Kreditgeber und Kreditvermittler
Artikel 20 Regulierung von Kreditgebern
Die Mitgliedstaaten stellen sicher, dass Kreditgeber von einer Einrichtung oder Behörde beaufsichtigt werden, die unabhängig von Finanzeinrichtungen ist, oder einer Regulierung unterliegen. Dies berührt nicht die Richtlinie 2006/48/EG .
Artikel 21 Bestimmte Pflichten des Kreditvermittlers gegenüber den Verbrauchern
Die Mitgliedstaaten stellen sicher, dass
Kapitel VII
Durchführungsmassnahmen
Artikel 22 Harmonisierung und Unabdingbarkeit dieser Richtlinie
(1) Soweit diese Richtlinie harmonisierte Vorschriften enthält, dürfen die Mitgliedstaaten keine Bestimmungen in ihrem innerstaatlichen Recht aufrechterhalten oder einführen, die von den Bestimmungen dieser Richtlinie abweichen.
(2) Die Mitgliedstaaten stellen sicher, dass Verbraucher auf die Rechte, die ihnen mit den innerstaatlichen Vorschriften eingeräumt werden, die zur Anwendung dieser Richtlinie erlassen wurden oder dieser Richtlinie entsprechen, nicht verzichten können.
(3) Die Mitgliedstaaten stellen ferner sicher, dass die Vorschriften, die sie gemäß dieser Richtlinie verabschieden, nicht durch eine besondere Gestaltung der Verträge umgangen werden können, insbesondere durch die Einbeziehung der Inanspruchnahme von Kreditbeträgen oder von Kreditverträgen, die in den Geltungsbereich dieser Richtlinie fallen, in Kreditverträge, deren Eigenart oder Zweck es erlauben würde, sie ihrer Anwendung zu entziehen.
(4) Die Mitgliedstaaten treffen die erforderlichen Maßnahmen, um sicherzustellen, dass Verbrauchern der durch diese Richtlinie gewährte Schutz nicht dadurch entzogen wird, dass das Recht eines Drittstaats als das auf den Kreditvertrag anzuwendende Recht gewählt wird, wenn dieser Vertrag einen engen Zusammenhang mit dem Gebiet eines oder mehrerer Mitgliedstaaten aufweist.
Artikel 23 Sanktionen
Die Mitgliedstaaten legen für Verstöße gegen die aufgrund dieser Richtlinie erlassenen innerstaatlichen Vorschriften Sanktionen fest und treffen die zu ihrer Anwendung erforderlichen Maßnahmen. Die Sanktionen müssen wirksam, verhältnismäßig und abschreckend sein.
Artikel 24 Außergerichtliche Streitbeilegung
(1) Die Mitgliedstaaten tragen dafür Sorge, dass angemessene und wirksame außergerichtliche Verfahren zur Beilegung verbraucherrechtlicher Streitigkeiten, die Kreditverträge betreffen, vorhanden sind; dabei sind gegebenenfalls die bestehenden Einrichtungen zu nutzen.
(2) Die Mitgliedstaaten ermutigen diese Einrichtungen zur Zusammenarbeit, damit auch grenzüberschreitende Rechtsstreitigkeiten über Kreditverträge beigelegt werden können.
Artikel 25 Ausschussverfahren
(1) Die Kommission wird von einem Ausschuss unterstützt.
(2) Wird auf diesen Absatz Bezug genommen, so gelten Artikel 5a Absätze 1 bis 4 und Artikel 7 des Beschlusses 1999/468/EG unter Beachtung von dessen Artikel 8.
Artikel 26 Unterrichtung der Kommission
Macht ein Mitgliedstaat von der Möglichkeit nach Artikel 2 Absätze 5 und 6, Artikel 4 Absatz 1 und Absatz 2 Buchstabe c, Artikel 6 Absatz 2, Artikel 10 Absatz 1, Artikel 10 Absatz 5 Buchstabe f, Artikel 14 Absatz 2 sowie Artikel 16 Absatz 4 Gebrauch, Alternativregelungen zu erlassen,so setzt er die Kommission hiervon sowie von allen nachfolgenden Änderungen in Kenntnis. Die Kommission macht diese Informationen auf einer Internetseite oder auf eine andere leicht zugängliche Weise bekannt. Die Mitgliedstaaten treffen die erforderlichen Maßnahmen, um ihren einheimischen Kreditgebern und Verbrauchern diese Informationen zur Kenntnis zu bringen.
Artikel 27 Umsetzung16
(1) Die Mitgliedstaaten erlassen und veröffentlichen bis spätestens zum 12. Mai 2010 die Vorschriften, die erforderlich sind, um dieser Richtlinie nachzukommen. Sie übermitteln der Kommission unverzüglich den Wortlaut dieser Bestimmungen.
Sie wenden diese Vorschriften ab dem 12. Mai 2010 an.
(Gültig ab 01.01.2018 gemäß VO(EU) 2016/1011
Bis zum 1. Juli 2018 beschließen und veröffentlichen die Mitgliedstaaten die erforderlichen Vorschriften zur Erfüllung von Artikel 5 Absatz 1 Unterabsatz 3 und teilen sie der Kommission mit. Sie wenden diese Vorschriften ab dem 1. Juli 2018 an.)
Wenn die Mitgliedstaaten diese Vorschriften erlassen, nehmen sie in den Vorschriften selbst oder durch einen Hinweis bei der amtlichen Veröffentlichung auf diese Richtlinie Bezug. Die Mitgliedstaaten regeln die Einzelheiten der Bezugnahme.
(2) Die Kommission überprüft alle fünf Jahre, und zwar erstmals am 12. Mai 2013 die in dieser Richtlinie und ihren Anhängen festgelegten Schwellenbeträge und die Prozentsätze, anhand derer der Betrag der Entschädigung bei einer vorzeitigen Rückzahlung berechnet wird, und bewertet sie im Lichte der wirtschaftlichen Trends in der Gemeinschaft und der Lage auf dem betreffenden Markt. Sie überwacht ferner, welche Auswirkungen die Möglichkeit alternativer Regelungen gemäß Artikel 2 Absätze 5 und 6, Artikel 4 Absatz 1 und Absatz 2 Buchstabe c, Artikel 6 Absatz 2, Artikel 10 Absatz 1, Artikel 10 Absatz 5 Buchstabe f, Artikel 14 Absatz 2 sowie Artikel 16 Absatz 4 auf den Binnenmarkt und die Verbraucher hat.
Artikel 28 Umrechnung der in Euro ausgedrückten Beträge in Landeswährung
(1) Für die Zwecke dieser Richtlinie wenden die Mitgliedstaaten, die die in Euro ausgedrückten Beträge in ihre Landeswährung umrechnen, zunächst den am Tag der Annahme dieser Richtlinie geltenden Wechselkurs an.
(2) Die Mitgliedstaaten können die sich aus der Umrechnung ergebenden Beträge um höchstens 10 EUR auf- oder abrunden.
Kapitel VIII
Übergangs- und Schlussbestimmungen
Artikel 29 Aufhebung
Die Richtlinie 87/102/EWG wird mit Wirkung vom 12. Mai 2010 aufgehoben.
Artikel 30 Übergangsmaßnahmen
(1) Diese Richtlinie gilt nicht für die am Tag des Inkrafttretens der innerstaatlichen Umsetzungsmaßnahmen bereits laufenden Kreditverträge.
(2) Die Mitgliedstaaten stellen jedoch sicher, dass die Artikel 11, 12, 13 und 17 sowie Artikel 18 Absatz 1 Satz 2 und Absatz 2 auch auf am Tag des Inkrafttretens der innerstaatlichen Umsetzungsmaßnahmen bereits laufende unbefristete Kreditverträge angewendet werden.
Artikel 31 Inkrafttreten
Diese Richtlinie tritt am zwanzigsten Tag nach ihrer Veröffentlichung im Amtsblatt der Europäischen Union in Kraft.
Artikel 32 Adressaten
Diese Richtlinie ist an die Mitgliedstaaten gerichtet.
Geschehen zu Straßburg am 23. April 2008.
| Anhang I11 |
I. Grundgleichung zur Darstellung der Gleichheit zwischen Kredit-Auszahlungsbeträgen einerseits und Rückzahlungen (Tilgung und Kreditkosten) andererseits
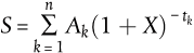
Die nachstehende Gleichung zur Ermittlung des effektiven Jahreszinses drückt auf jährlicher Basis die rechnerische Gleichheit zwischen der Summe der Gegenwartswerte der in Anspruch genommenen Kredit-Auszahlungsbeträge einerseits und der Summe der Gegenwartswerte der Rückzahlungen (Tilgung und Kosten) andererseits aus:

Hierbei ist
| - | X | der effektive Jahreszins; |
| - | m | die laufende Nummer des letzten Kredit-Auszahlungsbetrags; |
| - | k | die laufende Nummer eines Kredit-Auszahlungsbetrags, wobei 1< k< m; |
| - | Ck | die Höhe des Kredit-Auszahlungsbetrags mit der Nummer k; |
| - | tk | der in Jahren oder Jahresbruchteilen ausgedrückte Zeitraum zwischen der ersten Darlehensgabe und dem Zeitpunkt der einzelnen nachfolgenden in Anspruch genommenen Kredit-Auszahlungsbeträge, wobei t1 = 0; |
| - | m' | die laufende Nummer der letzten Tilgungs- oder Kostenzahlung; |
| - | l | die laufende Nummer einer Tilgungs- oder Kostenzahlung; |
| - | Dl | der Betrag einer Tilgungs- oder Kostenzahlung; |
| - | sl | der in Jahren oder Jahresbruchteilen ausgedrückte Zeitraum zwischen dem Zeitpunkt der Inanspruchnahme des ersten Kredit-Auszahlungsbetrags und dem Zeitpunkt jeder einzelnen Tilgungs- oder Kostenzahlung. |
Anmerkungen:

dabei ist S der Saldo der Gegenwartswerte aller "Ströme", deren Wert gleich Null sein muss, damit die Gleichheit zwischen den "Strömen" gewahrt bleibt.
(Gültig bis dem 31.12.2012 gemäß der RL 2011/90/EU
II. Zusätzliche Annahmen für die Berechnung des effektiven Jahreszinses
(Gültig ab dem 01.01.2013 gemäß der RL 2011/90/EU
II. Es gelten die folgenden zusätzlichen Annahmen für die Berechnung des effektiven Jahreszinses:
| Europäische Standardinformationen für Verbraucherkredite | Anhang II |
1. Name und Kontaktangaben des Kreditgebers/Kreditvermittlers
| Kreditgeber Anschrift Telefon (*) E-Mail (*) Fax (*) Internet-Adresse (*) |
[Name] [Anschrift für Kontakte mit dem Verbraucher] |
| (falls zutreffend) Kreditvermittler Anschrift Telefon (*) E-Mail (*) Fax (*) Internet-Adresse (*) |
[Name] [Anschrift für Kontakte mit dem Verbraucher] |
| *) Freiwillige Angaben des Kreditgebers. | |
In allen Fällen, in denen "falls zutreffend" angegeben ist, muss der Kreditgeber das betreffende Kästchen ausfüllen, wenn die Information für das Kreditprodukt relevant ist, oder die betreffende Information bzw. die gesamte Zeile durchstreichen, wenn die Information für die in Frage kommende Kreditart nicht relevant ist.
Die Vermerke in eckigen Klammern dienen zur Erläuterung und sind durch die entsprechenden Angaben zu ersetzen.
2. Beschreibung der wesentlichen Merkmale des Kreditprodukts
| Kreditart | |
| Gesamtkreditbetrag Obergrenze oder Summe aller Beträge, die aufgrund des Kreditvertrags zur Verfügung gestellt wird |
|
| Bedingungen für die Inanspruchnahme Gemeint ist, wie und wann Sie das Geld erhalten |
|
| Laufzeit des Kreditvertrags | |
| Teilzahlungen und gegebenenfalls Reihenfolge, in der die Teilzahlungen angerechnet werden |
Sie müssen folgende Zahlungen leisten: [Betrag, Anzahl und Periodizität der vom Verbraucher zu leistenden Zahlungen] Zinsen und/oder Kosten sind wie folgt zu entrichten: |
| Von Ihnen zu zahlender Gesamtbetrag Betrag des geliehenen Kapitals zuzüglich Zinsen und etwaiger Kosten im Zusammenhang mit Ihrem Kredit |
[Summe des Gesamtkreditbetrags und der Gesamtkosten des Kredits] |
| (falls zutreffend) Der Kredit wird in Form eines Zahlungsaufschubs für eine Ware oder Dienstleistung gewährt oder ist mit der Lieferung bestimmter Waren oder der Erbringung einer Dienstleistung verbunden. Bezeichnung des Produkts/der Dienstleistung Barzahlungspreis |
| (falls zutreffend) Verlangte Sicherheiten Beschreibung der von Ihnen im Zusammenhang mit dem Kreditvertrag zu stellenden Sicherheiten |
[Art der Sicherheiten] |
| (falls zutreffend) Zahlungen dienen nicht der unmittelbaren Kapitaltilgung |
3. Kreditkosten
| Sollzinssatz oder gegebenenfalls die verschiedenen Sollzinssätze, die für den Kreditvertrag gelten | [ % - fest oder - variabel (mit dem Index oder Referenzzinssatz für den anfänglichen Sollzinssatz) - Zeiträume] |
| Effektiver Jahreszins Gesamtkosten ausgedrückt als jährlicher Prozentsatz des Gesamtkreditbetrags Diese Angabe hilft Ihnen dabei, unterschiedliche Angebote zu vergleichen. |
[ % Repräsentatives Beispiel unter Angabe sämtlicher in die Berechnung des Jahreszinses einfließender Annahmen] |
| Ist - der Abschluss einer Kreditversicherung oder - die Inanspruchnahme einer anderen mit dem Kreditvertrag zusammenhängenden Nebenleistung zwingende Voraussetzung dafür, dass der Kredit überhaupt oder nach den vorgesehenen Vertragsbedingungen gewährt wird? Falls der Kreditgeber die Kosten dieser Dienstleistungen nicht kennt, sind sie nicht im effektiven Jahreszins enthalten. |
Ja/nein [Falls ja, Art der Versicherung:] Ja/nein [Falls ja, Art der Nebenleistung:] |
| Kosten im Zusammenhang mit dem Kredit | |
| (falls zutreffend)
Die Führung eines oder mehrerer Konten ist für die Buchung der Zahlungsvorgänge und der in Anspruch genommenen Kreditbeträge erforderlich. |
|
| (falls zutreffend)
Höhe der Kosten für die Verwendung eines bestimmten |
|
| (falls zutreffend)
Sonstige Kosten im Zusammenhang mit dem Kreditvertrag |
|
| (falls zutreffend)
Bedingungen, unter denen die vorstehend genannten |
|
| (falls zutreffend)
Notargebühren |
|
| Kosten bei Zahlungsverzug Ausbleibende Zahlungen können schwerwiegende Folgen für Sie haben (z.B. Zwangsverkauf) und die Erlangung eines Kredits erschweren. |
Für ausbleibende Zahlungen wird Ihnen [ ... (anwendbarer Zinssatz und gegebenenfalls Verzugskosten)] berechnet. |
4. Andere wichtige rechtliche Aspekte
| Widerrufsrecht Sie haben das Recht, innerhalb von 14 Kalendertagen den Kreditvertrag zu widerrufen. |
ja/nein |
| Vorzeitige Rückzahlung Sie haben das Recht, den Kredit jederzeit ganz oder teilweise vorzeitig zurückzuzahlen. |
|
| (falls zutreffend) Dem Kreditgeber steht bei vorzeitiger Rückzahlung eine Entschädigung zu |
[Festlegung der Entschädigung (Berechnungsmethode) gemäß den Vorschriften zur Umsetzung von Artikel 16 der Richtlinie 2008/48/EG )] |
| Datenbankabfrage Der Kreditgeber muss Sie unverzüglich und unentgeltlich über das Ergebnis einer Datenbankabfrage unterrichten, wenn ein Kreditantrag aufgrund einer solchen Abfrage abgelehnt wird. Dies gilt nicht, wenn eine entsprechende Unterrichtung durch die Rechtsvorschriften der Europäischen Gemeinschaft untersagt ist oder den Zielen der öffentlichen Ordnung oder Sicherheit zuwiderläuft. |
|
| Recht auf einen Kreditvertragsentwurf Sie haben das Recht, auf Verlangen unentgeltlich eine Kopie des Kreditvertragsentwurfs zu erhalten. Diese Bestimmung gilt nicht, wenn der Kreditgeber zum Zeitpunkt der Beantragung nicht zum Abschluss eines Kreditvertrags mit Ihnen bereit ist. |
|
| (falls zutreffend) Zeitraum, während dessen der Kreditgeber an die vorvertraglichen Informationen gebunden ist |
Diese Informationen gelten vom ... bis ... |
(falls zutreffend)
5. Zusätzliche Informationen beim Fernabsatz von Finanzdienstleistungen
| a) zum Kreditgeber | |
| (falls zutreffend) Vertreter des Kreditgebers in dem Mitgliedstaat, in dem Sie Ihren Wohnsitz haben Anschrift Telefon (*) E-Mail (*) Fax (*) Internet-Adresse (*) |
[Name] [tatsächliche Anschrift, für den Verbraucher] |
| (falls zutreffend) Eintrag im Handelsregister |
[Handelsregister, in das der Kreditgeber eingetragen ist, und seine Handelsregisternummer oder eine gleichwertige in diesem Register verwendete Kennung] |
| (falls zutreffend) Zuständige Aufsichtsbehörde |
|
| b) zum Kreditvertrag | |
| (falls zutreffend) Ausübung des Widerrufsrechts |
[Praktische Hinweise zur Ausübung des Widerrufsrechts, darunter Widerrufsfrist, Angabe der Anschrift, an die die Belehrung über das Widerrufsrecht zu senden ist, sowie Folgen bei Nichtausübung dieses Rechts] |
| (falls zutreffend) Recht, das der Kreditgeber der Aufnahme von Beziehungen zu Ihnen vor Abschluss des Kreditvertrags zugrunde legt |
| (falls zutreffend) Klauseln über das auf den Kreditvertrag anwendbare Recht und/oder die zuständige Gerichtsbarkeit |
[entsprechende Klausel hier wiedergeben] |
| (falls zutreffend) Wahl der Sprache |
Die Informationen und Vertragsbedingungen werden in [Angabe der Sprache] vorgelegt. Mit Ihrer Zustimmung werden wir während der Laufzeit des Kreditvertrags in [Angabe der Sprache(n)] mit Ihnen Kontakt halten. |
| c) zu den Rechtsmitteln | |
| Verfügbarkeit außergerichtlicher Beschwerde- und Rechtsbehelfsverfahren und Zugang dazu | [Angabe, ob der Verbraucher, der Vertragspartei eines Fernabsatzvertrags ist, Zugang zu einem außergerichtlichen Beschwerde- und Rechtsbehelfsverfahren hat, und gegebenenfalls die Voraussetzungen für diesen Zugang] |
| *) Freiwillige Angaben des Kreditgebers. | |
| Europäische Verbraucherkreditinformationen bei | Anhang III |
1. Überziehungskrediten
2. Verbraucherkrediten von bestimmten Kreditorganisationen im Sinne des Artikels 5 Absatz 2 der Richtlinie
2008/48/EG
3. bei Umschuldungen
1. Name des Kreditgebers/Kreditvermittlers und Kontaktangaben
| Kreditgeber Anschrift Telefon (*) E-Mail (*) Fax (*) Internet-Adresse (*) |
[Name] [Anschrift für Kontakte mit dem Verbraucher] |
| (falls zutreffend) Kreditvermittler Anschrift Telefon (*) E-Mail (*) Fax (*) Internet-Adresse (*) |
[Name] [Anschrift für Kontakte mit dem Verbraucher] |
| *) Freiwillige Angaben des Kreditgebers. | |
In allen Fällen, in denen "falls zutreffend" angegeben ist, muss der Kreditgeber das betreffende Kästchen ausfüllen, wenn die Information für das Kreditprodukt relevant ist, oder die betreffende Information bzw. die gesamte Zeile durchstreichen, wenn die Information für die in Frage kommende Kreditart nicht relevant ist.
Die Vermerke in eckigen Klammern dienen zur Erläuterung und sind durch die entsprechenden Angaben zu ersetzen.
2. Beschreibung der wesentlichen Merkmale des Kreditprodukts
| Kreditart | |
| Gesamtkreditbetrag Obergrenze oder Summe aller Beträge, die aufgrund des Kreditvertrags zur Verfügung gestellt wird |
|
| Laufzeit des Kreditvertrags | |
| (falls zutreffend) Sie können jederzeit zur Rückzahlung des gesamten Kreditbetrags aufgefordert werden. |
3. Kreditkosten
| Sollzinssatz oder gegebenenfalls die verschiedenen Sollzinssätze, die für den Kreditvertrag gelten |
[ % - fest oder - variabel (mit dem Index oder Referenzzinssatz für den anfänglichen Sollzinssatz)] |
| (falls zutreffend) effektiver Jahreszins (*) Gesamtkosten ausgedrückt als jährlicher prozentualer Anteil am Gesamtbetrag des Kredits. Der effektive Jahreszins soll dem Verbraucher einen Vergleich der verschiedenen Angebote ermöglichen. |
[ %. Repräsentatives Beispiel unter Angabe sämtlicher in die Berechnung des Jahreszinses einfließender Annahmen] |
| (falls zutreffend) Kosten (falls zutreffend) Bedingungen, unter denen diese Kosten geändert werden können |
[sämtliche vom Zeitpunkt des Vertrasabschlusses des Kreditvertrags an zu zahlende Kosteng] |
| Kosten bei Zahlungsverzug | Für ausbleibende Zahlungen wird Ihnen [(anwendbarer Zinssatz und gegebenenfalls Verzugskosten)] berechnet. |
| *) Gilt nicht für die Europäischen Verbraucherkreditinformationen bei Überziehungskrediten in den Mitgliedstaaten, die auf der Grundlage von Artikel 6 Absatz 2 der Richtlinie 2008/48/EG beschließen, dass für Überziehungskredite kein effektiver Jahreszins angegeben werden muss. | |
4. Andere wichtige rechtliche Aspekte
| Beendigung des Kreditvertrags | [Bedingungen und Verfahren zur Beendigung des Kreditvertrags] |
| Datenbankabfrage Der Kreditgeber muss Sie unverzüglich und unentgeltlich über das Ergebnis einer Datenbankabfrage unterrichten, wenn ein Kreditantrag aufgrund einer solchen Abfrage abgelehnt wird. Dies gilt nicht, wenn eine entsprechende Unterrichtung durch die Rechtsvorschriften der Europäischen Gemeinschaft untersagt ist oder den Zielen der öffentlichen Ordnung oder Sicherheit zuwiderläuft. |
|
| (falls zutreffend) Zeitraum, während dessen der Kreditgeber an die vorvertraglichen Informationen gebunden ist |
Diese Informationen gelten vom ... bis |
Falls zutreffend
5. Zusätzliche Informationen, die zu liefern sind, wenn die vorvertraglichen Informationen von bestimmten Kreditorganisationen (Artikel 2 Absatz 5 der Richtlinie 2008/48/EG ) zur Verfügung gestellt werden oder einen Verbraucherkredit für eine Umschuldung betreffen
| Raten und gegebenenfalls Reihenfolge, in der die Raten angerechnet werden | Sie müssen folgende Zahlungen leisten: [repräsentatives Beispiel für einen Ratenzahlungsplan unter Angabe des Betrags, der Anzahl und der Periodizität der vom Verbraucher zu leistenden Zahlungen] |
| Gesamtbetrag, den Sie zu zahlen haben | |
| Vorzeitige Rückzahlung Sie haben das Recht, den Kredit jederzeit ganz oder teilweise vorzeitig zurückzuzahlen. (falls zutreffend) Dem Kreditgeber steht bei vorzeitiger Rückzahlung eine Entschädigung zu. |
[Festlegung der Entschädigung (Berechnungsmethode) gemäß den Vorschriften zur Umsetzung von Artikel 16 der Richtlinie .../ /EG] |
Falls zutreffend
6. Zusätzlich zu gebende Informationen beim Fernabsatz von Finanzdienstleistungen
| a) zum Kreditgeber | |
| (falls zutreffend) Vertreter des Kreditgebers in dem Mitgliedstaat, in dem Sie Ihren Wohnsitz haben Anschrift Telefon (*) E-Mail (*) Fax (*) Internet-Adresse (*) |
[Name] [Anschrift für Kontakte mit dem Verbraucher] |
| (falls zutreffend) Eintrag im Handelsregister |
[Handelsregister, in das der Kreditgeber eingetragen ist, und seine Handelsregisternummer oder eine gleichwertige in diesem Register verwendete Kennung] |
| (falls zutreffend) zuständige Aufsichtsbehörde |
|
| b) zum Kreditvertrag | |
| Widerrufsrecht Sie haben das Recht, innerhalb von 14 Kalendertagen den Kreditvertrag zu widerrufen. (falls zutreffend) Ausübung des Widerrufsrechts |
Ja/Nein [praktische Hinweise zur Ausübung des Widerrufsrechts, u. a. Anschrift, an die die Belehrung über das Widerrufsrecht zu senden ist, sowie Folgen bei Nichtausübung dieses Rechts] |
| (falls zutreffend) Recht, das der Kreditgeber der Aufnahme von Beziehungen zu Ihnen vor Abschluss des Kredit- vertrags zugrunde legt |
|
| (falls zutreffend) Klauseln über das auf den Kreditvertrag anwendbare Recht und/oder die zuständige Gerichtsbarkeit |
[entsprechende Klausel hier wiedergeben] |
| (falls zutreffend) Wahl der Sprache |
Die Informationen und Vertragsbedingungen werden in [Angabe der Sprache] vorgelegt. Mit Ihrer Zustimmung werden wir während der Laufzeit des Kreditvertrags in [Angabe der Sprache(n)] mit Ihnen Kontakt halten. |
| c) zu den Rechtsmitteln | |
| Verfügbarkeit außergerichtlicher Beschwerde- und Rechtsbehelfsverfahren und Zugang zu ihnen |
[Angabe, ob der Verbraucher, der Vertragspartei eines Fernabsatzvertrags ist, Zugang zu einem außergerichtlichen Beschwerde- und Rechtsbehelfsverfahren hat, und gegebenenfalls die Voraussetzungen für diesen Zugang] |
| *) Freiwillige Angaben des Kreditgebers. | |
![]() |
ENDE | ![]() |
(Stand: 14.08.2019)
Alle vollständigen Texte in der aktuellen Fassung im Jahresabonnement
Nutzungsgebühr: 90.- € netto (Grundlizenz)
(derzeit ca. 7200 Titel s.Übersicht - keine Unterteilung in Fachbereiche)
Die Zugangskennung wird kurzfristig übermittelt
? Fragen ?
Abonnentenzugang/Volltextversion