zurück

Kapitel II
Anforderungen an bestimmte organische Düngemittel und Bodenverbesserungsmittel

Abschnitt 113
Herstellungsbedingungen

1. Organische Düngemittel und Bodenverbesserungsmittel, ausgenommen Gülle, Magen- und Darminhalt, Kompost, Milch, Erzeugnisse auf Milchbasis, aus Milch gewonnene Erzeugnisse, Kolostrum, Kolostrumerzeugnisse und Fermentationsrückstände aus der Umwandlung von tierischen Nebenprodukten oder Folgeprodukten in Biogas sind wie folgt herzustellen:

  1. unter Anwendung der Verarbeitungsmethode 1 (Drucksterilisation), wenn es sich beim Ausgangsmaterial um Material der Kategorie 2 handelt,
  2. unter Verwendung verarbeiteten tierischen Proteins - auch verarbeiteten tierischen Proteins, das gemäß Anhang X Kapitel II Abschnitt 1 Buchstabe B Nummer 1 Buchstabe b Ziffer ii hergestellt wurde -, das aus Material der Kategorie 3 gemäß Anhang X Kapitel II Abschnitt 1 oder aus Material hergestellt wurde, das einer anderen Behandlung unterzogen wurde, sofern das betreffende Material gemäß der vorliegenden Verordnung zur Herstellung organischer Düngemittel oder von Bodenverbesserungsmitteln verwendet werden darf, oder
  3. unter Anwendung einer der Verarbeitungsmethoden 1 bis 7 gemäß Anhang IV Kapitel III, wenn es sich beim Ausgangsmaterial um Material der Kategorie 3 handelt, das nicht zur Herstellung von verarbeitetem tierischem Protein verwendet wird.

2. Organische Düngemittel und Bodenverbesserungsmittel, die aus Fleisch- und Knochenmehl aus Material der Kategorie 2 oder aus verarbeitetem tierischen Protein bestehen oder aus diesem gewonnen wurden, müssen in einem registrierten Betrieb bzw. einer registrierten Anlage mit einem ausreichenden Mindestanteil eines Bestandteils gemischt werden, der von der zuständigen Behörde des Mitgliedstaats, in dem das Erzeugnis auf landwirtschaftliche Flächen ausgebracht werden soll, zu genehmigen ist, um zu verhindern, dass die Mischung anschließend zu Fütterungszwecken verwendet wird.

3. Die zuständige Behörde genehmigt den in Nummer 2 genannten Bestandteil unter folgenden Bedingungen:

  1. Der Bestandteil besteht aus Kalk, Gülle, Urin, Kompost oder Fermentationsrückständen aus der Umwandlung tierischer Nebenprodukte in Biogas oder andere Stoffe, wie etwa mineralische Düngemittel, die nicht zur Tierfütterung verwendet werden und bei denen eine anschließende Verwendung der Mischung zu Fütterungszwecken nach guter landwirtschaftlicher Praxis ausgeschlossen ist.
  2. Die Festlegung des Bestandteils erfolgt auf der Grundlage einer Bewertung der Klima- und Bodenverhältnisse hinsichtlich der Verwendung der Mischung als Düngemittel, anhand von Angaben, denen zufolge der Bestandteil die Mischung für Tiere ungenießbar macht oder auf andere Weise wirksam einen Missbrauch der Mischung zu Fütterungszwecken verhindert, sowie gemäß den im Unionsrecht oder gegebenenfalls im nationalen Recht niedergelegten Umweltschutzanforderungen im Bereich Boden- und Grundwasserschutz.

Die zuständige Behörde macht der Kommission und anderen Mitgliedstaaten die Liste der zugelassenen Bestandteile auf Verlangen zugänglich.

4. Die Anforderungen gemäß Nummer 2 gelten jedoch nicht für

  1. organische Düngemittel und Bodenverbesserungsmittel in Endverpackungen mit einem Gewicht von höchstens 50 kg zur Verwendung durch den Endverbraucher, oder
  2. organische Düngemittel und Bodenverbesserungsmittel in Bigbags mit einem Gewicht von höchstens 1.000 kg, die eine Aufschrift tragen, dass die organischen Düngemittel nicht für landwirtschaftliche Flächen bestimmt sind, zu denen Nutztiere Zugang haben, sofern die zuständige Behörde des Mitgliedstaats, in dem das organische Düngemittel oder das Bodenverbesserungsmittel ausgebracht werden soll, die Verwendung solcher Bigbags auf der Grundlage einer Bewertung genehmigt hat, bei der untersucht wurde, mit welcher Wahrscheinlichkeit das Material in Tierhaltungsbetriebe oder auf landwirtschaftliche Flächen, zu denen Nutztiere Zugang haben, gelangen könnte.

5. Die Hersteller von organischen Düngemitteln und Bodenverbesserungsmitteln müssen sicherstellen, dass vor dem Inverkehrbringen eine Abtötung von Krankheitserregern wie folgt vorgenommen wird:

Abschnitt 2
Lagerung und Beförderung

Nach der Verarbeitung bzw. Umwandlung sind organische Düngemittel und Bodenverbesserungsmittel wie folgt ordnungsgemäß zu lagern und zu befördern:

  1. als Massengut unter Bedingungen, die eine Kontamination verhindern,
  2. verpackt oder in Bigbags, wenn die organischen Düngemittel oder Bodenverbesserungsmittel für den Verkauf an Endverbraucher bestimmt sind, oder
  3. bei Lagerung in einem landwirtschaftlichen Betrieb an einem geeigneten Lagerort, zu dem Nutztiere keinen Zugang haben.

Abschnitt 315
Anforderungen an die Zulassung von Betrieben oder Anlagen

Um eine Zulassung gemäß Artikel 24 Absatz 1 Buchstabe f der Verordnung (EG) Nr. 1069/2009 zu erlangen, müssen die Betreiber sicherstellen, dass die Betriebe oder Anlagen, in denen die in Abschnitt 1 Nummer 1 genannten Tätigkeiten durchgeführt werden, den Anforderungen nach Artikel 8 der genannten Verordnung entsprechen und

  1. über geeignete Vorrichtungen für die Lagerung des angelieferten Materials verfügen, sodass eine Kreuzkontamination und eine Kontamination während der Lagerung verhindert werden.
  2. nicht verwendete tierische Nebenprodukte oder Folgeprodukte gemäß den Artikeln 13 und 14 der Verordnung (EG) Nr. 1069/2009 beseitigen.

.

Zwischenprodukte Anhang XII15 21

Gemäß Artikel 34 Absatz 2 der Verordnung (EG) Nr. 1069/2009 gelten für die Einfuhr von Zwischenprodukten in die Union und ihre Durchfuhr durch die Union die nachstehenden Bedingungen.

1. Die Einfuhr und Durchfuhr von Zwischenprodukten wird genehmigt, wenn folgende Anforderungen erfüllt sind:

  1. Sie wurden gewonnen aus
    1. Material der Kategorie 3, ausgenommen Material gemäß Artikel 10 Buchstaben c, n, o und p der Verordnung (EG) Nr. 1069/2009,
    2. Produkten aus Tieren gemäß Artikel 10 Buchstaben i, l und m der Verordnung (EG) Nr. 1069/2009 oder
    3. Mischungen von Material gemäß den Ziffern i und ii.
  2. Im Fall von Zwischenprodukten, die zur Herstellung von Medizinprodukten, Invitro-Diagnostika und Laborreagenzien bestimmt sind, wurden sie gewonnen aus
    1. Material, das die Kriterien gemäß Buchstabe a erfüllt, jedoch mit der Ausnahme, dass das Material von Tieren stammen kann, die einer vorschriftswidrigen Behandlung gemäß Artikel 1 Absatz 2 Buchstabe d der Richtlinie 96/22/EG oder Artikel 2 Buchstabe b der Richtlinie 96/23/EG unterzogen wurden,
    2. Material der Kategorie 2 gemäß Artikel 9 Buchstaben f und h der Verordnung (EG) Nr. 1069/2009 oder
    3. Mischungen von Material gemäß den Ziffern i und ii.
  3. Im Fall von Zwischenprodukten, die zur Herstellung von aktiven implantierbaren medizinischen Geräten, Arzneimitteln und Tierarzneimitteln bestimmt sind, wurden sie aus Material gemäß Buchstabe b gewonnen, sofern die zuständige Behörde die Verwendung solchen Materials zum Schutz der Gesundheit von Mensch und Tier als gerechtfertigt erachtet.
  4. Sie stammen aus einem Drittland, das im OIE-Bulletin als Mitglied der Weltorganisation für Tiergesundheit (OIE) geführt wird.
  5. Sie stammen aus einem Betrieb bzw. einer Anlage, der/die von der zuständigen Behörde eines Drittlandes gemäß Buchstabe d entsprechend den in Nummer 2 genannten Bedingungen registriert oder zugelassen wurde.
  6. Jeder Sendung liegt eine Erklärung des Einführers gemäß dem Muster in Anhang XV Kapitel 20 bei, die in mindestens einer der Amtssprachen des Mitgliedstaats, in dem an der Grenzkontrollstelle die Kontrolle durchzuführen ist, und in mindestens einer der Amtssprachen des Bestimmungsmitgliedstaats abgefasst sein muss; die betroffenen Mitgliedstaaten können die Verwendung anderer Sprachen zulassen und eine amtliche Übersetzung von Erklärungen in solchen anderen Sprachen verlangen.
  7. Im Fall von Material gemäß Buchstabe b erbringt der Einführer gegenüber der zuständigen Behörde den Nachweis, dass dieses Material
    1. keinerlei Risiko einer Übertragung von Krankheiten auf Mensch oder Tier birgt oder
    2. unter Bedingungen befördert wird, die eine Übertragung von Krankheiten auf Mensch oder Tier verhindern.

2. Ein Betrieb bzw. eine Anlage kann von der zuständigen Behörde eines Drittlandes gemäß Nummer 1 Buchstabe e registriert oder zugelassen werden, sofern

  1. der Betreiber oder Eigentümer des Betriebs/der Anlage oder sein Vertreter
    1. nachweist, dass der Betrieb/die Anlage gegebenenfalls über geeignete Vorrichtungen zur Umwandlung des Materials gemäß Nummer 1 Buchstaben a, b oder c verfügt, um den vollständigen Abschluss der nötigen Entwicklungs-, Umwandlungs- und Herstellungsstufen zu gewährleisten;
    2. auf der Grundlage des angewandten Verfahrens Methoden zur Überwachung und Kontrolle der kritischen Kontrollpunkte festlegt und diese anwendet;
    3. Aufzeichnungen über die gemäß Ziffer ii erlangten Informationen führt und diese der zuständigen Behörde mindestens zwei Jahre lang zur Einsicht zur Verfügung hält;
    4. die zuständige Behörde unterrichtet, wenn aus den verfügbaren Informationen hervorgeht, dass die Gesundheit von Mensch oder Tier ernsthaft gefährdet ist;
  2. die zuständige Behörde des Drittlandes regelmäßig Inspektionen in dem Betrieb bzw. der Anlage durchführt und diesen/diese gemäß folgenden Anforderungen überwacht:
    1. Die Häufigkeit der Inspektionen und sonstigen Überwachungsmaßnahmen richtet sich nach der Größe des Betriebs, der Art der hergestellten Erzeugnisse, der Risikobewertung und den nach den Grundsätzen des Systems der Gefahrenanalyse und Überwachung kritischer Kontrollpunkte (HACCP) gebotenen Garantien;
    2. ergibt eine von der zuständigen Behörde durchgeführte Inspektion, dass die Bestimmungen dieser Verordnung nicht eingehalten werden, trifft die zuständige Behörde entsprechende Maßnahmen;
    3. die zuständige Behörde erstellt eine Liste der gemäß diesem Anhang zugelassenen oder registrierten Betriebe bzw. Anlagen und teilt jedem Betrieb bzw. jeder Anlage eine amtliche Nummer zu, anhand deren sich der Betrieb/die Anlage und sein/ihr Tätigkeitsbereich feststellen lassen; diese Liste, einschließlich späterer Änderungen der Liste, wird dem Mitgliedstaat, in dem an der Grenzkontrollstelle die Kontrolle durchzuführen ist, und dem Bestimmungsmitgliedstaat übermittelt.

3. Die in die Union eingeführten Zwischenprodukte werden gemäß Artikel 4 der Richtlinie 97/78/EG an der Grenzkontrollstelle kontrolliert und von dort auf direktem Wege entweder

  1. zu einem registrierten Betrieb bzw. einer registrierten Anlage zur Herstellung von Laborreagenzien, Medizinprodukten und Invitro-Diagnostika für ärztliche und tierärztliche Zwecke oder der Folgeprodukte gemäß Artikel 33 der Verordnung (EG) Nr. 1069/2009 befördert, wo die Zwischenprodukte weiter gemischt, zur Beschichtung verwendet, zusammengesetzt oder verpackt werden müssen, bevor sie entsprechend den Unionsvorschriften für das Folgeprodukt in Verkehr gebracht oder eingesetzt werden;
  2. zu einem Betrieb bzw. einer Anlage befördert, der/die für die Lagerung tierischer Nebenprodukte gemäß Artikel 24 Absatz 1 Buchstabe i der Verordnung (EG) Nr. 1069/2009 zugelassen ist, von wo sie nur an einen Betrieb bzw. eine Anlage gemäß Buchstabe a zu den in Buchstabe a genannten Verwendungszwecken versandt werden dürfen.

4. Zwischenprodukte auf der Durchfuhr durch die Union werden gemäß Artikel 11 der Richtlinie 97/78/EG befördert.

5. Der amtliche Tierarzt/Die amtliche Tierärztin der betreffenden Grenzkontrollstelle informiert die für den Betrieb bzw. die Anlage am Bestimmungsort der Sendung zuständige Behörde über das TRACES-System.

6. Der Betreiber oder Eigentümer des Bestimmungsbetriebs bzw. der Bestimmungsanlage oder sein Vertreter führt Aufzeichnungen gemäß Artikel 22 der Verordnung (EG) Nr. 1069/2009 und stellt der zuständigen Behörde auf Anfrage die erforderlichen Angaben über Einkauf, Verkauf, Verwendung, Lagerhaltung und Beseitigung von überschüssigen Zwischenprodukten für die Überprüfung der Einhaltung der vorliegenden Verordnung zur Verfügung.

7. Die zuständige Behörde stellt gemäß der Richtlinie 97/78/EG sicher, dass die Sendungen mit Zwischenprodukten von dem Mitgliedstaat, in dem die Kontrolle an der Grenzkontrollstelle durchzuführen ist, zum Bestimmungsbetrieb gemäß Nummer 3 oder - im Fall der Durchfuhr - zur Ausgangsgrenzkontrollstelle verbracht werden.

8. Die zuständige Behörde führt regelmäßig Dokumentenkontrollen durch, um die Mengen der eingeführten Zwischenprodukte einerseits und der gelagerten, verwendeten, versandten oder beseitigten Zwischenerzeugnisse andererseits abzugleichen und somit die Einhaltung dieser Verordnung zu überprüfen.

9. Bei Durchfuhrsendungen mit Zwischenprodukten arbeiten die für die Einfuhr- bzw. Ausfuhrgrenzkontrollstelle zuständigen Behörden gegebenenfalls zusammen, um effektive Kontrollen und die Rückverfolgbarkeit solcher Sendungen zu gewährleisten.

.

Heimtierfutter und bestimmte andere Folgeprodukte Anhang XIII20

Kapitel I
Allgemeine Anforderungen

Heimtierfutterbetriebe und Betriebe bzw. Anlagen zur Herstellung von Folgeprodukten gemäß diesem Anhang müssen über geeignete Einrichtungen für folgende Zwecke verfügen:

  1. Lagerung und Behandlung des angelieferten Materials unter Bedingungen, die Risiken für die Gesundheit von Mensch und Tier ausschließen,
  2. Beseitigung von nicht verwendeten tierischen Nebenprodukten und Folgeprodukten, die nach dem Herstellungsprozess übrig bleiben, sofern das nicht verwendete Material nicht nach Maßgabe dieser Verordnung zur Verarbeitung oder Beseitigung an einen anderen Betrieb bzw. eine andere Anlage versandt wird.

Kapitel II
Spezielle Anforderungen an Heimtierfutter, einschließlich Kauspielzeug
20

1. Rohes Heimtierfutter

Betreiber dürfen rohes Heimtierfutter ausschließlich aus Material der Kategorie 3 gemäß Artikel 10 Buchstabe a und Artikel 10 Buchstabe b Ziffern i und ii der Verordnung (EG) Nr. 1069/2009 herstellen.

Rohes Heimtierfutter muss in neuen, lecksicheren Verpackungen verpackt werden.

Es sind alle erforderlichen Vorkehrungen zu treffen, um sicherzustellen, dass das Erzeugnis auf allen Stufen seiner Herstellung und bis zur Abgabe im Einzelhandel vor Kontamination geschützt ist.

2. Rohmaterial für verarbeitetes Heimtierfutter und für Kauspielzeug

Betreiber dürfen verarbeitetes Heimtierfutter Kauspielzeug ausschließlich aus folgendem Material herstellen:

  1. Material der Kategorie 3, ausgenommen Material gemäß Artikel 10 Buchstaben n, o und p der Verordnung (EG) Nr. 1069/2009, und
  2. im Fall von eingeführtem Heimtierfutter oder aus eingeführtem Material hergestelltem Heimtierfutter: aus Material der Kategorie 1, das tierische Nebenprodukte von Tieren umfasst, die einer vorschriftswidrigen Behandlung gemäß Artikel 1 Absatz 2 Buchstabe d der Richtlinie 96/22/EG oder Artikel 2 Buchstabe b der Richtlinie 96/23/EG unterzogen wurden.

3. Verarbeitetes Heimtierfutter

  1. Heimtierfutter in Dosen muss auf einen F c -Wert von mindestens 3 erhitzt werden.
  2. Anderes verarbeitetes Heimtierfutter als Dosenfutter muss
    1. einer Hitzebehandlung bei einer Kerntemperatur von mindestens 90 °C unterzogen werden,
    2. hinsichtlich der Zutaten tierischen Ursprungs einer Hitzebehandlung bei einer Temperatur von mindestens 90 °C unterzogen werden oder
    3. hinsichtlich der Futtermittel-Ausgangserzeugnisse tierischen Ursprungs unter ausschließlicher Verwendung folgender Erzeugnisse hergestellt werden:
      • tierische Nebenprodukte oder Folgeprodukte aus Fleisch oder Fleischerzeugnissen, die einer Hitzebehandlung bei einer Kerntemperatur von mindestens 90 °C unterzogen wurden,
      • nachstehende Folgeprodukte, die entsprechend den Anforderungen dieser Verordnung hergestellt wurden: Milch und Erzeugnisse auf Milchbasis, Gelatine, hydrolysiertes Protein, Eiprodukte, Kollagen, Blutprodukte gemäß Anhang X Kapitel II Abschnitt 2, verarbeitetes tierisches Protein einschließlich Fischmehl, ausgeschmolzenes Fett, Fischöle, Dicalciumphosphat, Tricalciumphosphat oder geschmacksverstärkende Fleischextrakte;
    4. falls von der zuständigen Behörde genehmigt, einer Behandlung wie etwa Trocknung oder Fermentierung unterzogen werden, die sicherstellt, dass das Heimtierfutter keine unannehmbaren Risiken für die Gesundheit von Mensch und Tier birgt;
    5. im Fall tierischer Nebenprodukte gemäß Artikel 10 Buchstaben l und m der Verordnung (EG) Nr. 1069/2009 und im Fall tierischer Nebenprodukte von Wassertieren und/oder wirbellosen Wasser- und Landtieren, soweit von der zuständigen Behörde genehmigt, einer Behandlung unterzogen werden, die sicherstellt, dass das Heimtierfutter keine unannehmbaren Risiken für die Gesundheit von Mensch und Tier birgt.

    Nach der Herstellung sind alle erforderlichen Vorkehrungen zu treffen, um eine Kontamination des verarbeiteten Heimtierfutters zu vermeiden.

    Das verarbeitete Heimtierfutter ist in neuen Verpackungen zu verpacken.

4. Kauspielzeug muss einer Behandlung unterzogen werden, die gewährleistet, dass Krankheitserreger, einschließlich Salmonellen, wirksam abgetötet werden.

Nach der Behandlung sind alle erforderlichen Vorkehrungen zu treffen, um eine Kontamination des Kauspielzeugs zu vermeiden.

Das Kauspielzeug ist in neuen Verpackungen zu verpacken.

5. Von Kauspielzeug und von verarbeitetem Heimtierfutter, ausgenommen Heimtierfutter in Dosen und gemäß Nummer 3 Buchstabe b Ziffer v verarbeitetes Heimtierfutter, müssen während der Herstellung und/oder der Lagerung (vor dem Versand) Zufallsstichproben entnommen werden, damit nachgeprüft werden kann, ob folgende Normen erfüllt sind:

Salmonellen: kein Befund in 25 g, n = 5, c = 0, m = 0, M = 0,

Enterobacteriaceae: n = 5, c = 2, m = 10, M = 300 in 1 g,

wobei

n = Anzahl der zu untersuchenden Proben,

m = Schwellenwert für die Keimzahl; das Ergebnis gilt als zufriedenstellend, wenn die Keimzahl in allen Proben m nicht überschreitet,

M = Höchstwert für die Keimzahl; das Ergebnis gilt als nicht zufriedenstellend, wenn die Keimzahl in einer oder mehreren Proben größer oder gleich M ist, und

c = Anzahl der Proben, bei denen die Keimzahl zwischen m und M liegen kann, wobei die Probe noch als zulässig gilt, wenn die Keimzahl in den anderen Proben m oder weniger beträgt.

6. Von rohem Heimtierfutter müssen während der Herstellung und/oder der Lagerung (vor dem Versand) Zufallsstichproben entnommen werden, damit nachgeprüft werden kann, ob folgende Normen erfüllt sind:

Salmonellen: kein Befund in 25 g, n = 5, c = 0, m = 0, M = 0,

Das Produktionsverfahren für rohes Heimtierfutter muss folgendes Prozesshygienekriterium erfüllen:

Enterobakterien: n = 5, c = 2, m = 500 in 1 g, M = 5.000 in 1 g.

Dabei ist

n = Anzahl der zu untersuchenden Proben;

m = Schwellenwert für die Keimzahl; das Ergebnis gilt als zufriedenstellend, wenn die Keimzahl in allen Proben m nicht überschreitet,

M = Höchstwert für die Keimzahl; das Ergebnis gilt als nicht zufriedenstellend, wenn die Keimzahl in einer oder mehreren Proben größer oder gleich M ist, und

c = Anzahl der Proben, bei denen die Keimzahl zwischen m und M liegen kann, wobei die Probe noch als zulässig gilt, wenn die Keimzahl in den anderen Proben m oder weniger beträgt.

Unternehmer sollten im Rahmen ihrer auf dem System der Gefahrenanalyse und kritischen Kontrollpunkte (HACCP-Grundsätze) basierenden Verfahren die erforderlichen Maßnahmen ergreifen, um die ihrer Kontrolle unterliegende Lieferung, Handhabung und Verarbeitung von Rohstoffen und Heimtiernahrung so durchzuführen, dass die oben genannten Sicherheitsnormen und Prozesshygienekriterien eingehalten werden. Werden die Sicherheitsnormen und Prozesshygienekriterien nicht eingehalten, führt der Unternehmer verhältnismäßige Abhilfemaßnahmen gemäß dem im einleitenden Satz von Artikel 29 Absatz 1 der Verordnung (EG) Nr. 1069/2009 und den auf HACCP-Grundsätzen beruhenden Verfahren durch, die in Artikel 29 Absatz 2 Buchstaben e und f dieser Verordnung erläutert werden.

Die Nichteinhaltung und, sofern ermittelt, ihre Ursache, die durchgeführten Abhilfemaßnahmen und die Ergebnisse der Kontrollmaßnahmen sind der zuständigen Behörde zu melden. Ist die zuständige Behörde nicht davon überzeugt, dass die erforderlichen Korrekturmaßnahmen getroffen wurden, kann sie dem Betreiber zusätzliche Maßnahmen auferlegen, darunter Kennzeichnung für die Handhabung, und die mikrobiologische Untersuchung weiterer Proben durch den Betreiber verlangen.

7. Endpunkt für verarbeitetes Heimtierfutter und für Kauspielzeug

Folgende Erzeugnisse dürfen gemäß dieser Verordnung ohne Einschränkung in Verkehr gebracht werden:

  1. verarbeitetes Heimtierfutter,
    1. das in der Union gemäß Nummer 3 hergestellt und verpackt und gemäß Nummer 5 untersucht wurde, oder
    2. das an einer Grenzkontrollstelle einer Veterinärkontrolle gemäß der Richtlinie 97/78/EG unterworfen wurde;
  2. Kauspielzeug,
    1. das in der Union gemäß Nummer 4 hergestellt und verpackt und gemäß Nummer 5 untersucht wurde, oder
    2. das an einer Grenzkontrollstelle einer Veterinärkontrolle gemäß der Richtlinie 97/78/EG unterworfen wurde.

Kapitel III
Spezielle Anforderungen an geschmacksverstärkende Fleischextrakte zur Herstellung von Heimtierfutter

1. Betreiber dürfen zur Herstellung flüssiger oder dehydrierter Folgeprodukte, die zur Steigerung der Schmackhaftigkeit von Heimtierfutter bestimmt sind, ausschließlich tierische Nebenprodukte verwenden, die gemäß Kapitel II Nummer 2 als Rohmaterial für verarbeitetes Tierfutter und für Kauspielzeug verwendet werden dürfen.

2. Geschmacksverstärkende Fleischextrakte müssen nach einer Methode und nach Parametern verarbeitet worden sein, die gewährleisten, dass das Produkt den mikrobiologischen Normen gemäß Kapitel II Nummer 5 dieses Anhangs entspricht. Nach der Behandlung sind alle erforderlichen Maßnahmen zu treffen, um eine erneute Kontamination des Produkts zu verhindern.

3. Das Endprodukt muss

  1. in neue oder sterilisierte Verpackungen verpackt oder
  2. als Massengut in Containern oder sonstigen Transportmitteln befördert werden, die vor ihrer Verwendung gründlich gereinigt und desinfiziert wurden.

Kapitel IV
Spezielle Anforderungen an Blut und Blutprodukte von Equiden

Blut und Blutprodukte von Equiden für andere Zwecke als zur Verwendung in Futtermitteln dürfen unter folgenden Bedingungen in Verkehr gebracht werden:

1. Blut darf für solche Zwecke in Verkehr gebracht werden, wenn es

  1. Equiden entnommen wurde, die
    1. bei der Untersuchung am Tag der Blutentnahme für frei von klinischen Anzeichen der anzeigepflichtigen Krankheiten gemäß Anhang I der Richtlinie 2009/156/EG sowie folgender Krankheiten, die in Abschnitt 1.2.3 Nummer 4 des OIE-Gesundheitskodex für Landtiere (Terrestrial Animal Health Code), Ausgabe 2010, aufgeführt sind, befunden wurden: Pferdeinfluenza, Piroplasmose der Pferde, Rhinopneumonitis der Pferde und infektiöse Arteriitis der Pferde;
    2. zumindest in den letzten 30 Tagen vor dem Datum der Blutentnahme und während der Blutentnahme in tierärztlich beaufsichtigten Betrieben gehalten wurden, die weder einer Sperrmaßnahme gemäß Artikel 4 Absatz 5 der Richtlinie 2009/156/EG noch Beschränkungen gemäß Artikel 5 der genannten Richtlinie unterlagen;
    3. während der Zeiträume gemäß Artikel 4 Absatz 5 der Richtlinie 2009/156/EG nicht mit Equiden aus Betrieben in Berührung gekommen sind, die gemäß dem genannten Artikel einer Sperrmaßnahme aus tiergesundheitli-chen Gründen unterlagen, und die zumindest in den letzten 40 Tagen vor dem Datum der Blutentnahme und während der Blutentnahme nicht mit Equiden aus einem Mitgliedstaat oder Drittland in Berührung gekommen sind, der/das nicht als frei von Pferdepest im Sinne von Artikel 5 Absatz 2 Buchstaben a und b der genannten Richtlinie gilt;
  2. unter tierärztlicher Aufsicht entnommen wurde, und zwar entweder
    1. in Schlachthöfen, die gemäß der Verordnung (EG) Nr. 853/2004 registriert oder zugelassen wurden, oder
    2. in Einrichtungen, die für die Entnahme von Equidenblut, das zur Herstellung von Blutprodukten für andere Zwecke als zur Verwendung in Futtermitteln bestimmt ist, von der zuständigen Behörde zugelassen wurden, eine Veterinärkontrollnummer erhalten haben und überwacht werden.

2. Blutprodukte dürfen für solche Zwecke in Verkehr gebracht werden, wenn

  1. alle erforderlichen Vorkehrungen getroffen wurden, um eine Kontamination der Blutprodukte mit Krankheitserregern bei Herstellung, Handhabung und Verpackung zu vermeiden;
  2. sie aus Blut hergestellt wurden, das
    1. entweder die Bedingungen in Absatz 1 Buchstabe a erfüllt oder
    2. zumindest einer der nachstehenden Behandlungen, gefolgt von einer Wirksamkeitsprüfung, zur Inaktivierung möglicher auslösender Erreger der Pferdepest, aller Formen der Pferdeenzephalomyelitis einschließlich der venezuelischen Pferdeenzephalomyelitis, der infektiösen Anämie der Einhufer, der vesikulären Stomatitis und des Rotzes (Burkholderia mallei) unterzogen wurde:
      • einer mindestens dreistündigen Hitzebehandlung bei einer Temperatur von 65 °C,
      • einer Bestrahlung (Gammastrahlen, 25 kGy),
      • einer Behandlung, bei der der pH-Wert auf 5 geändert und dieser pH-Wert zwei Stunden lang gehalten wird, - einer Hitzebehandlung bei einer Temperatur von mindestens 80 °C durch und durch.

3. Blut und Blutprodukte von Equiden müssen in verplombte, undurchlässige Behälter verpackt werden, die im Fall von Blut von Equiden mit der Zulassungsnummer des Schlachthofs oder der Entnahmeeinrichtung gemäß Nummer 1 Buchstabe b zu versehen sind.

Kapitel V
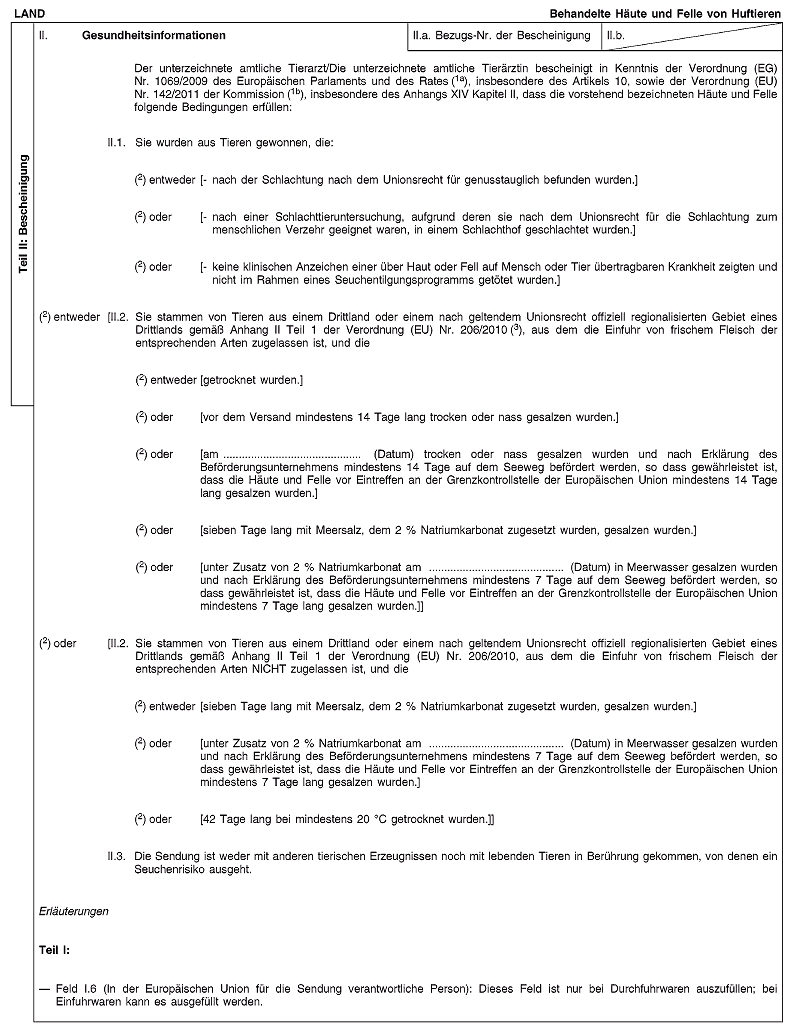
Spezielle Anforderungen an Häute und Felle von Huftieren und daraus gewonnene Folgeprodukte

A. Betriebe und Anlagen

Die zuständige Behörde kann Betrieben, die Häute und Felle, einschließlich Kalkhäute, handhaben, die Genehmigung erteilen, Beschneideabfälle und Spalt dieser Häute und Felle zur Herstellung von Gelatine für die Tierernährung sowie von organischen Düngemitteln oder Bodenverbesserungsmitteln zu liefern, sofern folgende Bedingungen erfüllt sind:

  1. Der Betrieb muss über Lagerräume mit festen Böden und glatten Wänden verfügen, die leicht zu reinigen und zu desinfizieren und gegebenenfalls mit Kühlanlagen ausgestattet sind.
  2. Die Lagerräume sind einwandfrei sauber und so instand zu halten, dass eine Kontamination des Rohmaterials ausgeschlossen ist.
  3. Wird in diesen Räumlichkeiten Rohmaterial gelagert und/oder verarbeitet, das die Kriterien dieses Kapitels nicht erfüllt, ist dieses Rohmaterial während der Annahme, Lagerung, Verarbeitung und Versendung von Rohmaterial, das den Kriterien dieses Kapitels entspricht, getrennt zu halten.
  4. Im Fall von Beschneideabfällen und Spalt von Kalkhäuten sind Beschneideabfälle und Spalt einer Behandlung zu unterziehen, die gewährleistet, dass keine Risiken für die Gesundheit von Mensch oder Tier verbleiben, bevor sie verwendet werden zur Herstellung von
    1. Gelatine, die für die Tierernährung bestimmt ist, oder
    2. organischen Düngemitteln oder Bodenverbesserungsmitteln.

B. Inverkehrbringen von tierischen Nebenprodukten und Folgeprodukten

1. Unbehandelte Häute und Felle dürfen in Verkehr gebracht werden, wenn die tierseuchenrechtlichen Vorschriften für frisches Fleisch gemäß der Richtlinie 2002/99/EG erfüllt sind.

2. Behandelte Häute und Felle dürfen in Verkehr gebracht werden, wenn

  1. sie weder mit anderen tierischen Erzeugnissen noch mit lebenden Tieren in Berührung gekommen sind, von denen das Risiko einer Verbreitung schwerer übertragbarer Krankheiten ausgeht;
  2. das Handelspapier gemäß Anhang VIII Kapitel III eine Erklärung darüber enthält, dass sämtliche Vorsichtsmaßnahmen getroffen wurden, um eine Kontamination mit Krankheitserregern zu verhindern.

C. Endpunkt für Häute und Felle

1. Häute und Felle von Huftieren, die gemäß der Entscheidung eines Betreibers für andere Zwecke als zum mensch-lichen Verzehr bestimmt sind und den Anforderungen der Verordnung (EG) Nr. 853/2004 an Rohmaterial für Gelatine oder Kollagen entsprechen, die zur Verwendung in Lebensmitteln bestimmt sind, dürfen gemäß der vorliegenden Verordnung ohne Einschränkung in Verkehr gebracht werden.

2. Folgende behandelte Häute und Felle dürfen gemäß dieser Verordnung ohne Einschränkung in Verkehr gebracht werden:

  1. Häute und Felle, die vollständig gegerbt worden sind,
  2. Wet Blues (chromgegerbte Häute),
  3. gepickelte Felle,
  4. Kalkhäute (mindestens acht Stunden lang bei einem pH-Wert von 12 bis 13 gekalkte und gesalzene Häute).

3. Abweichend von Abschnitt C Nummer 2 kann die zuständige Behörde vorschreiben, dass Sendungen mit behandelten Häuten und Fellen gemäß Nummer 2 Buchstaben c und d ein Handelspapier beiliegen muss, das dem Muster in Anhang VIII Kapitel III Nummer 6 entspricht, wenn diese an Betriebe bzw. Anlagen geliefert werden, die Heimtierfutter, organische Düngemittel oder Bodenverbesserungsmittel herstellen oder solches Material in Biogas umwandeln.

Kapitel VI13 20
Spezielle Anforderungen an Jagdtrophäen und andere Tierpräparate

A. Die Bestimmungen dieses Kapitels berühren nicht die Maßnahmen zum Schutz wildlebender Tierarten gemäß der Verordnung (EG) Nr. 338/97.

B. Herkunftssicherung

Jagdtrophäen und andere Tierpräparate, zu deren Herstellung die tierischen Nebenprodukte einer Behandlung unterzogen wurden oder in einem Zustand präsentiert werden, der keinerlei Gesundheitsrisiken birgt, dürfen in Verkehr gebracht werden, sofern sie

  1. von anderen Arten als Huftieren, Vögeln und Tieren der Klassen Insecta (Insekten) oder Arachnida (Spinnentiere) stammen und
  2. von Tieren aus einem Gebiet stammen, das keinerlei Beschränkungen wegen Ausbruchs schwerer übertragbarer Krankheiten unterliegt, für die Tiere der betreffenden Arten empfänglich sind.

C. Sichere Behandlung

1. Jagdtrophäen oder andere Tierpräparate, zu deren Herstellung die tierischen Nebenprodukte einer Behandlung unterzogen wurden oder in einem Zustand präsentiert werden, der keinerlei Gesundheitsrisiken birgt, dürfen in Verkehr gebracht werden, sofern

  1. sie von Huftieren oder Vögeln stammen, die zur Gewähr ihrer Haltbarkeit bei Umgebungstemperatur einer vollständigen taxidermischen Behandlung unterzogen wurden,
  2. es sich um montierte Huftiere oder Vögel bzw. montierte Teile solcher Tiere handelt,
  3. sie einer anatomischen Präparation wie etwa der Plastination unterzogen wurden,
  4. es sich um Tiere der Klassen Insecta oder Arachnida handelt, die einer Behandlung wie etwa der Trocknung unterzogen wurden, um eine etwaige Übertragung von Krankheiten auf Mensch oder Tier zu verhindern, oder
  5. es sich um Objekte in naturkundlichen Sammlungen oder zur Förderung der Wissenschaft handelt und sie
    1. in Medien wie Alkohol oder Formaldehyd aufbewahrt werden, sodass sie ausgestellt werden können, oder
    2. vollständig in Mikroskop-Objektträger eingeschlossen sind; oder
    3. sie aus vollständigen Skeletten oder Teilen davon, Knochen oder Zähnen bestehen, die ausschließlich zwischen Museen und Bildungseinrichtungen ausgetauscht werden;
  6. es sich um verarbeitete DNA-Proben für Referenzarchive zur Förderung der Forschung auf dem Gebiet der biologischen Vielfalt oder der Umwelt-, Medizin-, Veterinär- oder Biologieforschung handelt.

2. Andere als die in Abschnitt B und Abschnitt C Nummer 1 genannten Jagdtrophäen und anderen Präparate, die von Tieren aus einem Gebiet stammen, das wegen Ausbruchs schwerer übertragbarer Krankheiten, für die Tiere der betreffenden Arten empfänglich sind, Beschränkungen unterliegt, dürfen unter folgenden Bedingungen in Verkehr gebracht werden:

  1. Im Fall von ausschließlich aus Knochen, Hörnern, Hufen, Klauen, Geweihen und Zähnen bestehenden Jagdtrophäen oder anderen Präparaten
    1. wurden diese so lang in siedendes Wasser getaucht, bis die Knochen, Hörner, Hufe, Klauen, Geweihe oder Zähne von Fremdstoffen jeder Art befreit waren;
    2. wurden diese mit einem von der zuständigen Behörde zugelassenen Mittel, im Fall von aus Knochen bestehenden Teilen mit Wasserstoffperoxid, desinfiziert;
    3. wurden diese unmittelbar nach ihrer Behandlung einzeln in transparenten und - zur Vermeidung einer Rekontamination -- verschlossenen Packungen verpackt, ohne mit anderen Erzeugnissen tierischen Ursprungs in Berührung zu kommen, die sie kontaminieren könnten, und
    4. liegt diesen eine Veterinärbescheinigung bei, aus der hervorgeht, dass die Bedingungen gemäß den Ziffern i, ii und iii erfüllt sind;
  2. im Fall von ausschließlich aus Häuten oder Fellen bestehenden Jagdtrophäen oder anderen Präparaten
    1. wurden diese
      • getrocknet,
      • vor ihrem Versand mindestens 14 Tage lang trocken- oder nassgesalzen, oder - einem anderen Konservierungsverfahren als der Gerbung unterzogen;
    2. wurden diese unmittelbar nach ihrer Behandlung einzeln in transparenten und - zur Vermeidung einer Rekontamination - verschlossenen Packungen verpackt, ohne mit anderen Erzeugnissen tierischen Ursprungs in Berührung zu kommen, die sie kontaminieren könnten, und
    3. liegt diesen ein Handelspapier oder eine Veterinärbescheinigung bei, aus dem/der hervorgeht, dass die Bedingungen gemäß den Ziffern i und ii erfüllt sind.

Kapitel VII12
Spezielle Anforderungen an Wolle, Haare, Schweinsborsten, Federn, Federteile und Daunen

A. Rohmaterial

1. Unbehandelte Wolle, unbehandelte Haare, unbehandelte Schweinsborsten sowie unbehandelte Federn, Federteile und Daunen sind gemäß Artikel 10 Buchstabe b Ziffern iii, iv und v sowie Artikel 10 Buchstaben h und n der Verordnung (EG) Nr. 1069/2009 als Material der Kategorie 3 einzustufen.

Sie müssen fest und trocken verpackt sein.

Im Fall von unbearbeiteten Federn, Federteilen und Daunen, die unmittelbar vom Schlachthof zur Verarbeitungsanlage verbracht werden, kann die zuständige Behörde jedoch eine Ausnahme von der Anforderung, dass das Material trocken befördert werden muss, gewähren, sofern

  1. alle erforderlichen Maßnahmen getroffen wurden, um einer möglichen Ausbreitung von Krankheiten vorzubeugen;
  2. die Beförderung in auslaufsicheren Behältern und/oder Fahrzeugen erfolgt, die unmittelbar nach jeder Benutzung zu reinigen und zu desinfizieren sind.

2. Verbringungen von Schweinsborsten und von Wolle und Haaren von Schweinen aus Regionen, in denen die afrikanische Schweinepest endemisch ist, sind verboten, es sei denn, die Schweinsborsten und die Wolle und Haare von Schweinen wurden

  1. ausgekocht, angefärbt bzw. gebleicht oder
  2. einer anderen Behandlung unterzogen, die die Abtötung von Krankheitserregern gewährleistet, sofern eine Bescheinigung des am Herkunftsort zuständigen Tierarztes vorliegt, in der die Behandlung bestätigt wird. Fabrikwäsche ist keine Behandlung im Sinne dieser Bestimmung.

3. Die Bestimmungen gemäß Nummer 1 gelten nicht für Zierfedern oder Federn, die

  1. von Reisenden im persönlichen Reisegepäck zum Eigengebrauch mitgeführt werden oder
  2. zu nicht gewerblichen Zwecken an Privatpersonen versandt werden.

B. Endpunkt für Wolle und Haare

Wolle und Haare, die einer Fabrikwäsche unterzogen oder mittels einer anderen Methode behandelt wurden, durch die gewährleistet ist, dass keine unannehmbaren Risiken verbleiben, dürfen gemäß dieser Verordnung ohne Einschränkung in Verkehr gebracht werden.

Die Mitgliedstaaten können gemäß der vorliegenden Verordnung das Inverkehrbringen unbehandelter Wolle und unbehandelter Haare aus Betrieben bzw. Anlagen, die gemäß Artikel 23 der Verordnung (EG) Nr. 1069/2009 registriert oder gemäß Artikel 24 Absatz 1 Ziffer i der genannten Verordnung zugelassen sind, in ihrem Hoheitsgebiet ohne Einschränkung genehmigen, wenn sie sich vergewissert haben, dass von der Wolle bzw. den Haaren keine unannehmbaren Risiken für die Gesundheit von Mensch und Tier ausgehen.

Wolle und Haare von anderen Tieren als Schweinen dürfen gemäß der vorliegenden Verordnung ohne Einschränkung in Verkehr gebracht werden, wenn sie

  1. maschinell gewaschen wurden; diese maschinelle Wäsche umfasst das Eintauchen der Wolle und Haare in aufeinanderfolgende Bäder mit Wasser, Seife und Natriumhydroxid oder Kaliumhydroxid; oder
  2. auf direktem Wege an eine Anlage zur Herstellung von Folgeprodukten aus Wolle oder Haaren für die Textilindustrie versandt werden und mindestens einer der folgenden Behandlungen unterzogen wurden:
    1. chemische Enthaarung mittels Kalkhydrat oder Natriumsulfid,
    2. Begasung mit Formaldehyd in einer luftdicht verschlossenen Kammer während mindestens 24 Stunden,
    3. industrielle Wäsche, bestehend aus dem Eintauchen von Wolle und Haaren in ein wasserlösliches Reinigungsmittel mit einer Temperatur von 60-70 °C,
    4. Lagerung - dies kann die Transportzeit mit einschließen - bei einer Temperatur von 37 °C für die Dauer von 8 Tagen, bei einer Temperatur von 18 °C für die Dauer von 28 Tagen oder bei einer Temperatur von 4 °C für die Dauer von 120 Tagen.

C. Endpunkt für Federn und Daunen

Federn, Federteile und Daunen, die einer Fabrikwäsche unterzogen und mindestens 30 Minuten lang mit heißem Dampf bei einer Temperatur von 100 °C behandelt wurden, dürfen gemäß dieser Verordnung ohne Einschränkung in Verkehr gebracht werden.

Kapitel VIII
Spezielle Anforderungen an Pelze

Endpunkt

Pelze, die zwei Tage lang bei einer Umgebungstemperatur von 18 °C und einer Luftfeuchtigkeit von 55 % getrocknet wurden, dürfen gemäß dieser Verordnung ohne Einschränkung in Verkehr gebracht werden.

Kapitel IX
Spezielle Anforderungen an Imkerei-Nebenerzeugnisse

Ausschließlich zur Verwendung in der Imkerei bestimmte Imkerei-Nebenerzeugnisse müssen folgende Bedingungen erfüllen:

1. Sie dürfen nicht aus einem Gebiet stammen, das wegen Ausbruchs einer der nachstehenden Krankheiten gesperrt ist:

  1. bösartige Faulbrut (Paenibacillus larvae larvae), es sei denn, die zuständige Behörde schätzt das Risiko als vernachlässigbar ein und hat eine spezielle Genehmigung zur Verwendung nur im betroffenen Mitgliedstaat erteilt sowie alle anderen erforderlichen Maßnahmen getroffen, um die Ausbreitung der Krankheit zu verhindern;
  2. gutartige Faulbrut (Acarapis woodi (Rennie)), es sei denn, das Bestimmungsgebiet hat zusätzliche Garantien gemäß Artikel 14 Absatz 2 der Richtlinie 92/65/EWG erhalten;
  3. Kleiner Bienenstockkäfer (Aethina tumida) oder
  4. Tropilaelapsmilbe (Tropilaelaps spp.) und

2. müssen die Anforderungen in Artikel 8 Buchstabe a der Richtlinie 92/65/EWG erfüllen.

Kapitel X
Spezielle Anforderungen an ausgeschmolzene Fette aus Material der Kategorien 1 oder 2 für die Fettverarbeitung

1. Ausgeschmolzene Fette aus Material der Kategorien 1 oder 2, die zur Fettverarbeitung bestimmt sind, müssen nach einer der Verarbeitungsmethoden 1 bis 5 gemäß Anhang IV Kapitel III hergestellt werden.

2. Ausgeschmolzene Wiederkäuerfette sind so zu reinigen, dass der Rest an unlöslichen Unreinheiten insgesamt 0,15 Gew.- % nicht überschreitet.

Kapitel XI
Spezielle Anforderungen an Fettderivate
13 20

1. Zur Gewinnung von Fettderivaten von ausgeschmolzenen Fetten aus Material der Kategorien 1 und 2 können folgende Verfahren eingesetzt werden:

  1. Umesterung oder Hydrolyse bei einer Temperatur von mindestens 200 ° C und einem entsprechenden angemessenen Druck während einer Dauer von 20 Minuten (Glycerin, Fettsäuren und Ester);
  2. Verseifung mit NaOH 12M (Glycerin und Seife):
    1. bei Chargenbetrieb bei 95 °C drei Stunden lang oder
    2. in einem kontinuierlichen Verfahren bei 140 °C und 2 bar (2.000 hPa) acht Minuten lang oder
  3. Hydrierung bei 160 °C und 12 bar (12.000 hPa) 20 Minuten lang.

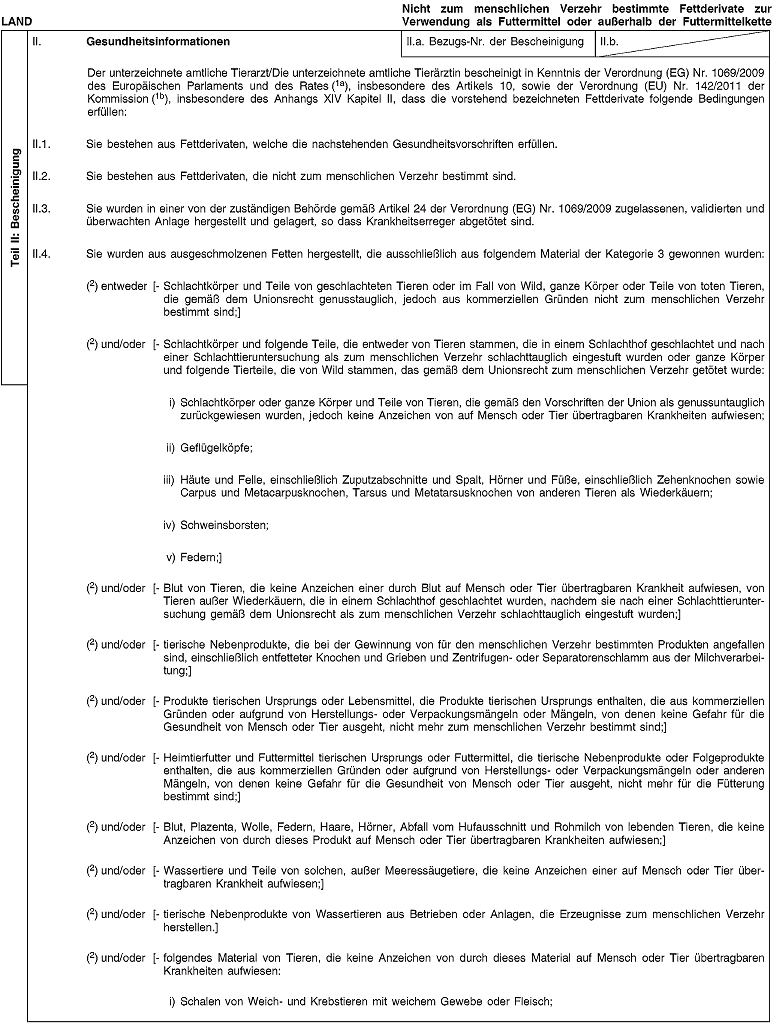
2. Gemäß diesem Kapitel hergestellte Fettderivate dürfen nur wie folgt in Verkehr gebracht werden:

  1. für andere Zwecke als zur Verwendung in Futtermitteln, Kosmetika und Arzneimitteln;
  2. im Fall von Fettderivaten aus Material der Kategorie 1 außerdem für andere Zwecke als zur Verwendung in organischen Düngemitteln und Bodenverbesserungsmitteln.

3. Endpunkt für aus ausgeschmolzenen Fetten hergestellte Produkte:

Fettderivate, die gemäß Nummer 1 verarbeitet wurden, dürfen gemäß dieser Verordnung ohne Einschränkungen für die in Nummer 2 genannten Verwendungen in Verkehr gebracht werden.

Kapitel XII
Spezielle Anforderungen an Hörner und Hornprodukte (außer Hornmehl) sowie Hufe und Hufprodukte (außer Hufmehl), die zur Herstellung von organischen Düngemitteln oder Bodenverbesserungsmitteln bestimmt sind

Hörner und Hornprodukte (außer Hornmehl) sowie Hufe und Hufprodukte (außer Hufmehl), die zur Herstellung von organischen Düngemitteln oder Bodenverbesserungsmitteln bestimmt sind, dürfen unter folgenden Bedingungen in Verkehr gebracht werden:

  1. Sie müssen von Tieren stammen, die entweder
    1. nach einer Schlachttieruntersuchung, aufgrund deren sie nach den Unionsvorschriften für die Schlachtung zum menschlichen Verzehr geeignet waren, in einem Schlachthof geschlachtet wurden oder
    2. für frei von klinischen Anzeichen einer Krankheit befunden wurden, die über das jeweilige Erzeugnis auf Mensch oder Tier übertragen werden könnte;
  2. sie müssen einer einstündigen Hitzebehandlung bei einer Kerntemperatur von mindestens 80 °C unterzogen worden sein;
  3. die Hörner müssen ohne Öffnung der Schädelhöhle entfernt worden sein;
  4. auf allen Stufen der Verarbeitung, Lagerung und Beförderung werden alle erforderlichen Vorkehrungen zur Verhinderung einer Kreuzkontamination getroffen;
  5. sie werden entweder in neue Verpackungen bzw. Behälter verpackt oder in Fahrzeugen oder Massengutcontainern befördert, die vor dem Beladen mit einem von der zuständigen Behörde zugelassenen Mittel desinfiziert worden sind;
  6. Die Verpackungen bzw. Behälter müssen
    1. mit einer Angabe der Art des Erzeugnisses (zum Beispiel Hörner, Hornprodukte, Hufe oder Hufprodukte) versehen sein;
    2. mit Name und Anschrift des zugelassenen oder registrierten Bestimmungsbetriebs bzw. der zugelassenen oder registrierten Bestimmungsanlage versehen sein.

Kapitel XIII11
Spezifische Anforderungen an Fischöl zur Herstellung von Arzneimitteln

Endpunkt für Fischöl zur Herstellung von Arzneimitteln

Fischöl, das aus Material gemäß Anhang X Kapitel II Abschnitt 3 Buchstabe a Nummer 2 gewonnen und mit einer NaOH-Lösung bei einer Temperatur von mindestens 80 °C entsäuert sowie anschließend durch Destillation bei einer Temperatur von mindestens 200 °C gereinigt wurde, darf ohne Einschränkungen gemäß der vorliegenden Verordnung für die Herstellung von Arzneimitteln in Verkehr gebracht werden.

.

Einfuhr, Ausfuhr und Durchfuhr Anhang XIV20 20a 20b 21 21a 23 25

Kapitel I
Spezielle Anforderungen an die Einfuhr in die und die Durchfuhr durch die Union von Material der Kategorie 3 und von Folgeprodukten zur Verwendung in der Futtermittelkette ausser als Heimtierfutter oder als Futter für Pelztiere
13 17

Abschnitt 1

Gemäß Artikel 41 Absatz 1 Buchstabe a und Artikel 41 Absatz 3 der Verordnung (EG) Nr. 1069/2009 gelten für eingeführte Sendungen mit Material der Kategorie 3 und dessen Folgeprodukten, die zur Verwendung in der Futtermittelkette - außer als Heimtierfutter oder als Futter für Pelztiere - bestimmt sind, sowie für Sendungen mit solchem Material bzw. solchen Produkten auf der Durchfuhr folgende Anforderungen:

  1. Sie müssen aus Material der Kategorie 3 gemäß der Spalte "Rohmaterial" in Tabelle 1 bestehen oder aus diesem hergestellt sein,
  2. sie müssen die Einfuhr- und Durchfuhrbedingungen gemäß der Spalte "Einfuhr- und Durchfuhrbedingungen" in Tabelle 1 erfüllen,
  3. sie müssen aus einem Drittland oder Teil eines Drittlands gemäß der Spalte "Listen der Drittländer" in Tabelle 1 stammen,
  4. sie müssen aus einem Betrieb oder einer Anlage stammen, der bzw. die durch die zuständige Behörde des Drittlandes registriert bzw. zugelassen wurde und in der Liste solcher Betriebe und Anlagen gemäß Artikel 30 aufgeführt ist, und
  5. sie müssen
    1. während der Beförderung zum Ort des Eingangs in die Union, an dem die Veterinärkontrolle stattfindet, von der Veterinärbescheinigung gemäß der Spalte "Bescheinigungen/Muster" in Tabelle 1 begleitet werden, oder
    2. am Ort des Eingangs in die Union, an dem die Veterinärkontrolle stattfindet, zusammen mit einem Dokument vorgestellt werden, das dem Muster gemäß der Spalte "Bescheinigungen/Muster" in Tabelle 1 entspricht.";

Tabelle 115 17 19 22

Nr. Produkt Rohmaterial (Verweis auf die Bestimmungen der Verordnung (EG) Nr. 1069/2009) Einfuhr- und Durchfuhrbedingungen Listen der Drittländer Bescheinigungen/Muster
1 Verarbeitetes tierisches Protein, einschließlich solches Protein enthaltende Mischungen und Produkte außer Heimtierfutter, und solches Protein enthaltende Mischfuttermittel gemäß Artikel 3 Absatz 2 Buchstabe h der Verordnung (EG) Nr. 767/2009 Material der Kategorie 3 gemäß Artikel 10 Buchstaben a, b, d, e, f, h, i, j, k, l und m
  1. Das verarbeitete tierische Protein muss gemäß Anhang X Kapitel II Abschnitt 1 hergestellt worden sein, und
  2. das verarbeitete tierische Protein muss die zusätzlichen Anforderungen gemäß Abschnitt 2 dieses Kapitels erfüllen.
  1. Im Fall von verarbeitetem tierischem Protein außer Fischmehl.
  2. Drittländer gemäß Anhang XIII Teil 1 oder Anhang XV Teil 1 Abschnitt a der Durchführungsverordnung (EU) 2021/404 der Kommission * und folgende Drittländer:
  3. (AL) Albanien,
    (DZ) Algerien,
    (SV) El Salvador
  4. Im Fall von Fischmehl:
    Drittländer gemäß Anhang IX der Durchführungsverordnung (EU) 2021/405 der Kommission **
  1. Im Fall von verarbeitetem tierischem Protein, ausgenommen solches aus Nutzinsekten:
    Anhang XV Kapitel 1;
  2. Im Fall von verarbeitetem tierischem Protein aus Nutzinsekten:
    Anhang XV Kapitel 1a
2 Blutprodukte als Futtermittel-Ausgangserzeugnisse Material der Kategorie 3 gemäß Artikel 10 Buchstabe a und Buchstabe b Ziffer i Die Blutprodukte müssen gemäß Anhang X Kapitel II Abschnitt 2 und Anhang XIV Kapitel I Abschnitt 5 hergestellt worden sein.
  1. Im Fall von Blutprodukten von Huftieren:
    Drittländer bzw. Teile von Drittländern gemäß Anhang XIII Teil 1 der Durchführungsverordnung (EU) 2021/404 oder Anhang I der Durchführungsverordnung (EU) 2021/405, aus denen alle Kategorien frischen Fleisches der betreffenden Tierarten eingeführt werden dürfen
  2. Im Fall von Blutprodukten von anderen Tierarten:
    Drittländer gemäß Anhang XIII Teil 1 oder Anhang XIV Teil 1 der Durchführungsverordnung (EU) 2021/404
Anhang XV Kapitel 4 Buchstabe B
3 Ausgeschmolzene Fette und Fischöl
  1. Im Fall von ausgeschmolzenen Fetten außer Fischöl:
    Material der Kategorie 3 gemäß Artikel 10 Buchstaben a, b, d, e, f, g, h, i, j und k
  2. Im Fall von Fischöl:
    Material der Kategorie 3 gemäß Artikel 10 Buchstaben e, f, i und j
  1. Die ausgeschmolzenen Fette und das Fischöl müssen gemäß Anhang X Kapitel II Abschnitt 3 hergestellt worden sein, und
  2. das ausgeschmolzene Fett muss die zusätzlichen Anforderungen gemäß Abschnitt 3 dieses Kapitels erfüllen.
  1. Im Fall von ausgeschmolzenen Fetten außer Fischöl.
  2. Drittländer gemäß Anhang XIII Teil 1 oder Anhang XV Teil 1 Abschnitt a der Durchführungsverordnung (EU) 2021/404 und folgende Drittländer:
  3. (AL) Albanien,
    (DZ) Algerien,
    (SV) El Salvador
  4. Im Fall von Fischöl:
    Drittländer gemäß Anhang IX der Durchführungsverordnung (EU) 2021/405
  1. Im Fall von ausgeschmolzenen Fetten außer Fischöl:
    Anhang XV Kapitel 10 Buchstabe A
  2. Im Fall von Fischöl:
    Anhang XV Kapitel 9
4 Milch, Erzeugnisse auf Milchbasis oder aus Milch gewonnene Erzeugnisse, Kolostrum und Kolostrumerzeugnisse
  1. Milch, Erzeugnisse auf Milchbasis: Material der Kategorie 3 gemäß Artikel 10 Buchstaben e, f und h
  2. Kolostrum, Kolostrumerzeugnisse: Material der Kategorie 3 von lebenden Tieren, die keine Anzeichen einer durch Kolostrum auf Mensch oder Tier übertragbaren Krankheit aufwiesen
Die Milch, die Erzeugnisse auf Milchbasis, das Kolostrum und die Kolostrumerzeugnisse müssen die Anforderungen gemäß Abschnitt 4 dieses Kapitels erfüllen.
  1. Im Fall von Milch und Erzeugnissen auf Milchbasis:
    Drittländer gemäß Anhang XVII Teil 1 oder Anhang XVIII Teil 1 der Durchführungsverordnung (EU) 2021/404 für die Einfuhr von Milch von Huftieren oder Anhang X der Durchführungsverordnung (EU) 2021/405 für die Einfuhr von Milch von Einhufern
  2. Im Fall von Kolostrum und Kolostrumerzeugnissen:
    Drittländer gemäß der Zulassung in Anhang XVII Teil 1 der Durchführungsverordnung (EU) 2021/404 für die Einfuhr von Milch von Huftieren oder Anhang X der Durchführungsverordnung (EU) 2021/405 für die Einfuhr von Milch von Einhufern
  1. Im Fall von Milch, Erzeugnissen auf Milchbasis und aus Milch gewonnenen Erzeugnissen:
    Anhang XV Kapitel 2 Buchstabe A
  2. im Fall von Kolostrum und Kolostrumerzeugnissen:
    Anhang XV Kapitel 2 Buchstabe B
5 Gelatine und hydrolysiertes Protein Material der Kategorie 3 gemäß Artikel 10 Buchstaben a, b, e, f, g, i und j sowie im Fall von hydrolysiertem Protein: Material der Kategorie 3 gemäß Artikel 10 Buchstaben d, h und k Die Gelatine und das hydrolysierte Protein müssen gemäß Anhang X Kapitel II Abschnitt 5 hergestellt worden sein.
  1. Drittländer gemäß Anhang XII oder XIII der Durchführungsverordnung (EU) 2021/405 und folgende Drittländer:
    (EG) Ägypten
  2. im Fall von Gelatine und hydrolysierten Proteinen aus Fisch:
    Drittländer gemäß Anhang IX der Durchführungsverordnung (EU) 2021/405
  1. Im Fall von Gelatine:
    Anhang XV Kapitel 11
  2. Im Fall von hydrolysiertem Protein:
    Anhang XV Kapitel 12
6 Dicalciumphosphat Material der Kategorie 3 gemäß Artikel 10 Buchstaben a, b, d, e, f, g, h, i, j und k Das Dicalciumphosphat muss gemäß Anhang X Kapitel II Abschnitt 6 hergestellt worden sein. Drittländer gemäß Anhang XII oder XIII der Durchführungsverordnung (EU) 2021/405 Anhang XV Kapitel 12
7 Tricalciumphosphat Material der Kategorie 3 gemäß Artikel 10 Buchstaben a, b, d, e, f, g, h, i und k Das Tricalciumphosphat muss gemäß Anhang X Kapitel II Abschnitt 7 hergestellt worden sein. Drittländer gemäß Anhang XII oder XIII der Durchführungsverordnung (EU) 2021/405 Anhang XV Kapitel 12
8 Kollagen Material der Kategorie 3 gemäß Artikel 10 Buchstaben a, b, e, f, g, i und j Das Kollagen muss gemäß Anhang X Kapitel II Abschnitt 8 hergestellt worden sein. Drittländer gemäß Anhang XII oder XIII der Durchführungsverordnung (EU) 2021/405 Anhang XV Kapitel 11
9 Eiprodukte, Material der Kategorie 3 gemäß Artikel 10 Buchstabe e, Buchstabe f und Buchstabe k Ziffer ii Die Eiprodukte müssen gemäß Anhang X Kapitel II Abschnitt 9 hergestellt worden sein. Drittländer gemäß Anhang XIII Teil 1, Anhang XIV Teil 1 oder Anhang XIX Teil 1 der Durchführungsverordnung (EU) 2021/404 Anhang XV Kapitel 15
*) Durchführungsverordnung (EU) 2021/404 der Kommission vom 24. März 2021 zur Festlegung der Listen von Drittländern, Gebieten und Zonen derselben, aus denen der Eingang in die Union von Tieren, Zuchtmaterial und Erzeugnissen tierischen Ursprungs gemäß der Verordnung (EU) 2016/429 des Europäischen Parlaments und des Rates zulässig ist (ABl. L 114 vom 31.03.2021 S. 1).

**) Durchführungsverordnung (EU) 2021/405 der Kommission vom 24. März 2021 zur Festlegung der Listen der Drittländer oder Drittlandsgebiete, aus denen gemäß der Verordnung (EU) 2017/625 des Europäischen Parlaments und des Rates der Eingang bestimmter für den menschlichen Verzehr bestimmter Tiere und Waren in die Union zulässig ist (ABl. L 114 vom 31.03.2021 S. 118).

Abschnitt 2
Einfuhr von verarbeitetem tierischem Protein einschließlich Mischungen und Produkten außer Heimtierfutter, das solches Protein enthält, mit Ausnahme von Mischfuttermitteln gemäß Artikel 3 Absatz 2 Buchstabe h der Verordnung (EG) Nr. 767/2009
17 25

1. Bevor die Sendungen in den freien Verkehr innerhalb der Union überführt werden, muss die zuständige Behörde an der Grenzkontrollstelle von dem verarbeiteten tierischen Protein aus eingeführten Sendungen Proben nehmen, um sicherzustellen, dass die allgemeinen Anforderungen von Anhang X Kapitel I erfüllt sind.

Die zuständige Behörde muss

  1. von jeder Massengutsendung Proben nehmen;
  2. von Sendungen mit Erzeugnissen, die im Herkunftsherstellungsbetrieb verpackt wurden, Stichproben nehmen.

2. Abweichend von Nummer 1 darf sich jedoch die zuständige Behörde der Grenzkontrollstelle, wenn sechs aufeinanderfolgende Untersuchungen von Massengutsendungen aus einem bestimmten Drittland negativ ausgefallen sind, bei anschließenden Massengutsendungen aus diesem Drittland auf Stichprobenuntersuchungen beschränken.

Hat eine dieser Stichprobenuntersuchungen einen Positivbefund ergeben, muss die zuständige Behörde, die die Beprobung durchführt, die zuständige Behörde des Herkunftsdrittlandes entsprechend unterrichten, damit diese geeignete Abhilfemaßnahmen treffen kann.

Die zuständige Behörde des Herkunftsdrittlandes muss diese Maßnahmen der für die Beprobung zuständigen Behörde mitteilen.

Im Fall eines weiteren Positivbefunds bei Erzeugnissen derselben Herkunft muss die zuständige Behörde der Grenzkontrollstelle von allen weiteren Sendungen derselben Herkunft so lang Proben nehmen, bis erneut sechs aufeinanderfolgende Untersuchungen negativ ausfallen.

3. Die zuständigen Behörden müssen über die Probenbefunde sämtlicher Sendungen, von denen Proben genommen wurden, Aufzeichnungen führen und diese mindestens drei Jahre lang aufbewahren.

4. Wenn eine in die Union eingeführte Sendung positiv auf Salmonella getestet wird oder die mikrobiologischen Normen für Enterobacteriaceae gemäß Anhang X Kapitel I nicht erfüllt, ist sie entweder

  1. nach dem Verfahren des Artikels 17 Absatz 2 Buchstabe a der Richtlinie 97/78/EG zu behandeln oder
  2. in einem von der zuständigen Behörde zugelassenen Verarbeitungsbetrieb erneut zu verarbeiten oder nach einer von der zuständigen Behörde zugelassenen Methode zu dekontaminieren. Die betreffende Sendung ist erst freizugeben, wenn sie verarbeitet wurde und von der zuständigen Behörde gemäß Anhang X Kapitel I mit Negativbefund auf Salmonella oder gegebenenfalls Enterobacteriaceae untersucht worden ist.

5. Verarbeitetes tierisches Protein aus Nutzinsekten darf in die Union eingeführt werden, sofern es gemäß folgenden Bedingungen hergestellt wurde:

  1. Die Insekten gehören zu einer der nachstehenden Arten:
  2. Das Futtersubstrat für die Insekten darf nur Produkte nichttierischen Ursprungs oder folgende Produkte tierischen Ursprungs aus Material der Kategorie 3 enthalten:
  3. Das Futtersubstrat für die Insekten sowie die Insekten oder ihre Larven sind nicht mit anderem Material tierischen Ursprungs als dem unter Buchstabe b genannten Material in Berührung gekommen, und das Substrat enthielt keine Gülle, Küchen- und Speiseabfälle oder sonstigen Abfälle.

Abschnitt 3
Einfuhr von ausgeschmolzenen Fetten

Für die Einfuhr von ausgeschmolzenen Fetten gelten folgende Anforderungen: Das ausgeschmolzene Fett

  1. wurde ganz oder teilweise aus Rohmaterial von Schweinen gewonnen und stammt aus einem Drittland oder Teil eines Drittlandes, das bzw. der in den letzten 24 Monaten frei von Maul- und Klauenseuche und in den letzten 12 Monaten frei von klassischer und afrikanischer Schweinepest war,
  2. wurde ganz oder teilweise aus Rohmaterial von Geflügel gewonnen und stammt aus einem Drittland oder Teil eines Drittlandes, das bzw. der in den letzten 6 Monaten frei von der Newcastle-Krankheit und der aviären Influenza war,
  3. wurde ganz oder teilweise aus Rohmaterial von Wiederkäuern gewonnen und stammt aus einem Drittland oder einem Teil eines Drittlandes, das bzw. der in den letzten 24 Monaten frei von Maul- und Klauenseuche und in den letzten 12 Monaten frei von Rinderpest war, oder
  4. wurde, falls in dem genannten Bezugszeitraum eine der in den Buchstaben a, b und c genannten Krankheiten aufgetreten ist, einer der folgenden Hitzebehandlungen unterzogen:
    1. Erhitzung auf mindestens 70 °C mindestens 30 Minuten lang oder
    2. Erhitzung auf mindestens 90 °C mindestens 15 Minuten lang.

Die Parameter der kritischen Kontrollpunkte sind vom Betreiber aufzuzeichnen und zu verwahren, damit der Eigentümer, der Betreiber oder deren Vertreter und, falls nötig, die zuständige Behörde den Betriebsablauf überwachen können. Aufzuzeichnen sind unter anderem Partikelgröße, kritische Temperatur und gegebenenfalls Absolutzeit, Druckprofil, Vorschubgeschwindigkeit des Rohmaterials und Fettrecyclingrate.

Abschnitt 4
Einfuhr von Milch, Erzeugnissen auf Milchbasis, aus Milch gewonnenen Erzeugnissen, Kolostrum und Kolostrumerzeugnissen

A. Für die Einfuhr von Milch, Erzeugnissen auf Milchbasis, aus Milch gewonnenen Erzeugnissen, Kolostrum und Kolostrumerzeugnissen gelten folgende Anforderungen:

1. Milch, Erzeugnisse auf Milchbasis und aus Milch gewonnene Erzeugnisse
  1. wurden zumindest einer der Behandlungen gemäß Anhang X Kapitel II Abschnitt 4 Teil I Nummern 1.1, 1.2 und 1.3 sowie Abschnitt B Nummer 1.4 Buchstabe a unterzogen,
  2. erfüllen die Bedingungen gemäß Anhang X Kapitel II Abschnitt 4 Teil I Abschnitt B Nummern 2 und 4 sowie - im Fall von Molke - Abschnitt B Nummer 3.

2. Abweichend von Anhang X Kapitel II Abschnitt 4 Teil I Abschnitt B Nummer 1.4 dürfen Milch, Erzeugnisse auf Milchbasis und aus Milch gewonnene Erzeugnisse aus Drittländern eingeführt werden, die gemäß Spalte a in Anhang I der Verordnung (EU) Nr. 605/2010 zugelassen sind, sofern die Milch, Erzeugnisse auf Milchbasis bzw. aus Milch gewonnenen Erzeugnisse einer einmaligen HTST unterzogen und

  1. frühestens 21 Tage nach ihrer Herstellung versandt wurden, wobei während dieses Zeitraums im Ausfuhrdrittland kein Fall von Maul- und Klauenseuche aufgetreten ist, oder
  2. frühestens 21 Tage nach ihrer Herstellung an einer Grenzkontrollstelle des Eingangs in die Union gestellt wurden, wobei während dieses Zeitraums im Ausfuhrdrittland kein Fall von Maul- und Klauenseuche aufgetreten ist.

B. Für die Einfuhr von Kolostrum und Kolostrumerzeugnissen gelten folgende Anforderungen:

1. Das Material wurde einer einmaligen HTST unterzogen und
  1. frühestens 21 Tage nach seiner Herstellung versandt, wobei während dieses Zeitraums im Ausfuhrdrittland kein Fall von Maul- und Klauenseuche aufgetreten ist, oder
  2. frühestens 21 Tage nach seiner Herstellung an einer Grenzkontrollstelle des Eingangs in die Union gestellt, wobei während dieses Zeitraums im Ausfuhrdrittland kein Fall von Maul- und Klauenseuche aufgetreten ist.

2. Das Material wurde von Rindern gewonnen, die regelmäßigen Veterinärkontrollen unterworfen werden, damit gewährleistet ist, dass die Tiere aus Betrieben stammen, in denen alle Rinderbestände

  1. entweder amtlich anerkannt tuberkulosefrei und amtlich anerkannt brucellosefrei gemäß Artikel 2 Absatz 2 Buchstaben d und f der Richtlinie 64/432/EWG sind oder nach nationalem Recht des Herkunftsdrittlandes des Kolostrums keinen Beschränkungen im Hinblick auf die Tilgung von Tuberkulose und Brucellose unterliegen, und
  2. entweder amtlich anerkannt leukosefrei gemäß Artikel 2 Absatz 2 Buchstabe j der Richtlinie 64/432/EWG sind oder einem amtlichen System zur Bekämpfung der enzootischen Rinderleukose unterliegen, wobei diese Krankheit in den letzten zwei Jahren im fraglichen Bestand weder klinisch noch in Laboruntersuchungen nachgewiesen wurde.

3. Nach Abschluss der Verarbeitung wurden alle erforderlichen Vorkehrungen getroffen, um eine Kontamination des Kolostrums oder der Kolostrumerzeugnisse zu vermeiden.

4. Das Enderzeugnis muss mit dem Hinweis versehen sein, dass es Material der Kategorie 3 enthält und nicht für den menschlichen Verzehr bestimmt ist, und es wurde

  1. in neue Behälter abgefüllt oder
  2. als Massengut in Containern oder sonstigen Transportmitteln befördert, die vor ihrer Verwendung gründlich gereinigt und desinfiziert wurden.

Abschnitt 5
Einfuhr von Blutprodukten zur Verfütterung an Nutztiere
15

Die folgenden Anforderungen gelten für die Einfuhr von Blutprodukten von Schweinen, einschließlich sprühgetrocknetem Blut und Blutplasma, die zur Verfütterung an Schweine bestimmt sind:

Diese Folgeprodukte

  1. wurden einer Hitzebehandlung bei einer Temperatur von mindestens 80 °C im ganzen Produkt unterzogen, wobei das getrocknete Blut bzw. das Blutplasma einen Feuchtigkeitsgehalt von höchstens 8 % mit einer Wasseraktivität von weniger als 0,60 aufweisen muss;
  2. wurden mindestens sechs Wochen lang unter trockenen Lagerbedingungen bei Raumtemperatur gelagert.

Kapitel II
Spezielle Anforderungen an die Einfuhr in die und die Durchfuhr durch die Union von tierischen Nebenprodukten und Folgeprodukten zur Verwendung ausserhalb der Futtermittelkette für Nutztiere ausser Pelztieren
13 25

Abschnitt 1
Spezielle Anforderungen

Gemäß Artikel 41 Absatz 1 Buchstabe a, Artikel 41 Absatz 2 Buchstabe c und Artikel 41 Absatz 3 der Verordnung (EG) Nr. 1069/2009 gelten für eingeführte Sendungen mit tierischen Nebenprodukten und Folgeprodukten, die zur Verwendung außerhalb der Futtermittelkette für Nutztiere bestimmt sind, sowie für Sendungen mit solchen Produkten auf der Durchfuhr folgende spezielle Anforderungen:

  1. Sie müssen aus tierischen Nebenprodukten gemäß der Spalte "Rohmaterial" in Tabelle 2 bestehen oder aus diesen hergestellt sein,
  2. sie müssen die Einfuhr- und Durchfuhrbedingungen gemäß der Spalte "Einfuhr- und Durchfuhrbedingungen" in Tabelle 2 erfüllen,
  3. sie müssen aus einem Drittland oder Teil eines Drittlands gemäß der Spalte "Listen der Drittländer" in Tabelle 2 stammen,
  4. sie müssen aus einem Betrieb oder einer Anlage stammen, der bzw. die durch die zuständige Behörde des Drittlandes registriert bzw. zugelassen wurde und in der Liste solcher Betriebe und Anlagen gemäß Artikel 30 aufgeführt ist, und
  5. sie müssen
    1. während der Beförderung zum Ort des Eingangs in die Union, an dem die Veterinärkontrolle stattfindet, von der Veterinärbescheinigung gemäß der Spalte "Bescheinigungen/Muster" in Tabelle 2 begleitet werden, oder
    2. am Ort des Eingangs in die Union, an dem die Veterinärkontrolle stattfindet, zusammen mit einem Dokument vorgestellt werden, das dem Muster gemäß der Spalte "Bescheinigungen/Muster" in Tabelle 2 entspricht.

Tabelle 212 13 17 19 20 20a 21 22 25 25a

Nr. Produkt Rohmaterial (Verweis auf die Bestimmungen der Verordnung (EG) Nr. 1069/2009) Einfuhr- und Durchfuhrbedingungen Listen der Drittländer Bescheinigungen/Muster
1 Verarbeitete Gülle, aus dieser gewonnene Folgeprodukte, Insektenexkremente und Guano von Fledermäusen Material der Kategorie 2 gemäß Artikel 9 Buchstabe a Verarbeitete Gülle, aus dieser gewonnene Folgeprodukte und Guano von Fledermäusen müssen gemäß Anhang XI Kapitel I Abschnitt 2 hergestellt worden sein. Drittländer gemäß
  1. Anhang XIII Teil 1 oder Anhang XV Teil 1 Abschnitt a der Durchführungsverordnung (EU) 2021/404 für verarbeitete Gülle von Huftieren, Insektenexkremente oder Guano von Fledermäusen sowie folgende Drittländer:
    (AL) Albanien,
    (DZ) Algerien,
    (SV) El Salvador
  2. Anhang IV Teil 1 der Durchführungsverordnung (EU) 2021/404 für verarbeitete Gülle von Einhufern oder
  3. Anhang XIV Teil 1 der Durchführungsverordnung (EU) 2021/404 für verarbeitete Gülle von Geflügel
Anhang XV Kapitel 17
2 Blutprodukte, außer von Equiden, zur Herstellung von Folgeprodukten zur Verwendung außerhalb der Futtermittelkette für Nutztiere Material der Kategorie 1 gemäß Artikel 8 Buchstaben c und d sowie Material der Kategorie 3 gemäß Artikel 10 Buchstaben a, b, d und h Die Blutprodukte müssen gemäß Abschnitt 2 hergestellt worden sein. Folgende Drittländer:
  1. Im Fall unbehandelter Blutprodukte von Huftieren:
    Drittländer bzw. Teile von Drittländern gemäß Anhang XIII Teil 1 der Durchführungsverordnung (EU) 2021/404, aus denen frisches Fleisch von domestizierten Huftierarten eingeführt werden darf, und zwar nur für den Zeitraum gemäß den Spalten 7 und 8 des genannten Teils
  2. Im Fall unbehandelter Blutprodukte von Geflügel und anderen Vogelarten:
    Drittländer bzw. Teile von Drittländern gemäß Anhang XIV Teil 1 der Durchführungsverordnung (EU) 2021/404
  3. Im Fall unbehandelter Blutprodukte von anderen Tieren:
    Drittländer gemäß Anhang XIII Teil 1, Anhang XIV Teil 1 der Durchführungsverordnung (EU) 2021/404 oder Anhang V oder Anhang VI der Durchführungsverordnung (EU) 2021/405 der Kommission
  4. Im Fall behandelter Blutprodukte von allen Tierarten.
    Drittländer gemäß Anhang XIII Teil 1 oder Anhang XV Teil 1 Abschnitt a der Durchführungsverordnung (EU) 2021/404, gemäß Anhang XIV Teil 1 der Durchführungsverordnung (EU) 2021/404 oder gemäß Anhang VI der Durchführungsverordnung (EU) 2021/405 und folgende Drittländer:
    (AL) Albanien,
    (DZ) Algerien,
    (SV) El Salvador
  1. Im Fall unbehandelter Blutprodukte:
    Anhang XV Kapitel 4 Buchstabe C
  2. im Fall behandelter Blutprodukte:
    Anhang XV Kapitel 4 Buchstabe D
3 Blut und Blutprodukte von Equiden Material der Kategorie 3 gemäß Artikel 10 Buchstaben a, b, d und h Das Blut und die Blutprodukte müssen die Anforderungen gemäß Abschnitt 3 erfüllen. Folgende Drittländer:
  1. Im Fall von Blut, das gemäß Anhang XIII Kapitel IV Nummer 1 entnommen wurde, bzw. für Blutprodukte, die gemäß Nummer 2 Buchstabe b Ziffer i des genannten Kapitels hergestellt worden sind:
    Drittländer bzw. Teile von Drittländern gemäß Anhang IV Teil 1 der Durchführungsverordnung (EU) 2021/404, aus denen registrierte Pferde oder registrierte Equiden eingeführt werden dürfen, oder gemäß Anhang I der Durchführungsverordnung (EU) 2021/405
  2. Im Fall von Blutprodukten, die gemäß Anhang XIII Kapitel IV Nummer 2 Buchstabe b Ziffer ii behandelt wurden:
    Drittländer gemäß Anhang IV Teil 1 der Durchführungsverordnung (EU) 2021/404, gemäß Anhang XIII Teil 1 der Durchführungsverordnung (EU) 2021/404, aus denen registrierte Pferde oder registrierte Equiden eingeführt werden dürfen, oder gemäß Anhang I der Durchführungsverordnung (EU) 2021/405
Anhang XV Kapitel 4 Buchstabe A
4 Frische oder gekühlte Häute und Felle von Huftieren Material der Kategorie 3 gemäß Artikel 10 Buchstabe a und Buchstabe b Ziffer iii Die Häute und Felle müssen die Anforderungen gemäß Abschnitt 4 Nummern 1 und 4 erfüllen. Die Häute und Felle stammen aus einem Drittland bzw. - im Fall einer Regionalisierung nach Unionsrecht - einem Teil eines Drittlandes gemäß Anhang XIII Teil 1 der Durchführungsverordnung (EU) 2021/404 oder Anhang I der Durchführungsverordnung (EU) 2021/405, aus dem die Mitgliedstaaten die Einfuhr frischen Fleisches derselben Tierart zulassen. Anhang XV Kapitel 5 Buchstabe A
5 Behandelte Häute und Felle von Huftieren Material der Kategorie 3 gemäß Artikel 10 Buchstabe a, Buchstabe b Ziffern i und iii sowie Buchstabe n Die Häute und Felle müssen die Anforderungen gemäß Abschnitt 4 Nummern 2, 3 und 4 erfüllen.
  1. Im Fall behandelter Häute und Felle von Huftieren.
    Drittländer gemäß Anhang IV Teil 1, Anhang XIII Teil 1 oder Anhang XV Teil 1 Abschnitt a der Durchführungsverordnung (EU) 2021/404 und folgende Drittländer:
    (AL) Albanien,
    (DZ) Algerien,
    (SV) El Salvador
  2. Im Fall behandelter Häute und Felle von Wiederkäuern, die zum Versand in die Union bestimmt sind und vor der Einfuhr in die Union 21 Tage getrennt gehalten wurden oder mindestens 21 Tage ohne Unterbrechung befördert werden:
    jedes Drittland
  1. Im Fall behandelter Häute und Felle von Huftieren, die nicht den Anforderungen gemäß Abschnitt 4 Nummer 2 entsprechen:
    Anhang XV Kapitel 5 Buchstabe B
  2. Im Fall behandelter Häute und Felle von Wiederkäuern und Equiden, die zum Versand in die Union bestimmt sind und vor der Einfuhr in die Union 21 Tage getrennt gehalten wurden oder mindestens 21 Tage ohne Unterbrechung befördert werden:
    amtliche Erklärung gemäß Anhang XV Kapitel 5 Buchstabe C
  3. Im Fall behandelter Häute und Felle von Huftieren, die die Anforderungen gemäß Abschnitt 4 Nummer 2 erfüllen:
    keine Bescheinigung erforderlich
6 Jagdtrophäen und andere Tierpräparate Material der Kategorie 2 gemäß Artikel 9 Buchstabe f, das von Wildtieren gewonnen wurde, bei denen kein Verdacht auf eine Infektion mit einer auf Mensch oder Tier übertragbaren Krankheit besteht, sowie Material der Kategorie 3 gemäß Artikel 10 Buchstabe a, Buchstabe b Ziffern i, iii und v sowie Buchstabe n Die Jagdtrophäen und anderen Präparate müssen die Anforderungen gemäß Abschnitt 5 erfüllen.
  1. Im Fall von Jagdtrophäen und anderen Präparaten gemäß Abschnitt 5 Nummer 2:
    jedes Drittland
  2. im Fall von Jagdtrophäen und anderen Präparaten gemäß Abschnitt 5 Nummer 3:
    1. Jagdtrophäen von Federwild.
      Drittländer gemäß Anhang XIV Teil 1 der Durchführungsverordnung (EU) 2021/404, aus denen die Mitgliedstaaten die Einfuhr von frischem Geflügelfleisch zulassen, sowie folgende Länder und Gebiete:
      (GL) Grönland,
      (TN) Tunesien
    2. Jagdtrophäen von Schalenwild:
      Drittländer gemäß den für frisches Fleisch von Huftieren geltenden Spalten der Tabelle in Anhang XIII Teil 1 der Durchführungsverordnung (EU) 2021/404, einschließlich etwaiger Beschränkungen gemäß der Spalte mit spezifischen Bedingungen zu frischem Fleisch, oder gemäß Anhang I der Durchführungsverordnung (EU) 2021/405 im Fall von Einhufern
  1. Im Fall von Jagdtrophäen gemäß Abschnitt 5 Nummer 2:
    Anhang XV Kapitel 6 Buchstabe A
  2. Im Fall von Jagdtrophäen gemäß Abschnitt 5 Nummer 3:
    Anhang XV Kapitel 6 Buchstabe B
  3. Im Fall von Jagdtrophäen gemäß Abschnitt 5 Nummer 1:
    keine Bescheinigung erforderlich
7 Schweineborsten Material der Kategorie 3 gemäß Artikel 10 Buchstabe b Ziffer iv Die Schweineborsten müssen von Schweinen gewonnen worden sein, die aus dem Ursprungsdrittland stammen und dort in einem Schlachthof geschlachtet wurden.
  1. Im Fall unbearbeiteter Schweineborsten.
    Drittländer bzw. - im Fall einer Regionalisierung - Teile von Drittländern gemäß Anhang XIII Teil 1 oder Anhang XV Teil 1 Abschnitt a der Durchführungsverordnung (EU) 2021/404 und folgende Drittländer, die in den letzten 12 Monaten vor dem Datum der Einfuhr in die Union frei von Afrikanischer Schweinepest waren:
    (AL) Albanien,
    (DZ) Algerien,
    (SV) El Salvador
  2. im Fall bearbeiteter Schweineborsten:
    Drittländer gemäß Anhang XIII Teil 1 oder Anhang XV Teil 1 Abschnitt a der Durchführungsverordnung (EU) 2021/404 und folgende Drittländer, die in den letzten 12 Monaten vor dem Datum der Einfuhr in die Union möglicherweise nicht frei von Afrikanischer Schweinepest waren:
    (AL) Albanien,
    (DZ) Algerien,
    (SV) El Salvador
  1. Falls in den 12 Monaten vor der Einfuhr in die Union kein Fall von Afrikanischer Schweinepest aufgetreten ist:
  2. Anhang XV Kapitel 7 Buchstabe A
  3. falls in den 12 Monaten vor der Einfuhr in die Union ein Fall oder mehrere Fälle von Afrikanischer Schweinepest aufgetreten sind:
    Anhang XV Kapitel 7 Buchstabe B
8 Unbehandelte Wolle und unbehandelte Haare von anderen Tieren als Schweinen Material der Kategorie 3 gemäß Artikel 10 Buchstaben h und n (1) Trockene unbehandelte Wolle und trockene unbehandelte Haare müssen:
  1. fest verpackt sein und
  2. auf direktem Wege unter Bedingungen, die eine Übertragung von Krankheitserregern ausschließen, an eine Anlage, die Folgeprodukte zur Verwendung außerhalb der Futtermittelkette herstellt, oder an einen Zwischenbehandlungsbetrieb versandt werden.

(2) Die Wolle und die Haare gelten als Wolle und Haare gemäß Artikel 25 Absatz 2 Buchstabe e.

(1) Jedes Drittland

(2) Drittland oder Gebiet eines Drittlandes,

  1. das in Anhang XIII Teil 1 der Durchführungsverordnung (EU) 2021/404 aufgeführt und zur Einfuhr von frischem Fleisch von Wiederkäuern in die Union zugelassen ist, sofern keine zusätzlichen spezifischen Bedingungen gelten, und
  2. gemäß Anhang IV Teil a der Delegierten Verordnung (EU) 2020/692 der Kommission * frei von Maul- und Klauenseuche und - falls es sich um Wolle und Haare von Schafen und Ziegen handelt - frei von Schaf- und Ziegenpocken ist.
(1) Für die Einfuhr unbehandelter Wolle und unbehandelter Haare ist keine Bescheinigung erforderlich.

(2) Eine Erklärung des Einführers gemäß Anhang XV Kapitel 21 ist erforderlich.

9 Bearbeitete Federn, Federteile und Daunen Material der Kategorie 3 gemäß Artikel 10 Buchstabe b Ziffer v sowie Buchstaben h und n Die bearbeiteten Federn bzw. Federteile müssen die Anforderungen gemäß Abschnitt 6 erfüllen. Jedes Drittland Für die Einfuhr bearbeiteter Federn, Federteile oder Daunen ist keine Bescheinigung erforderlich.
10 Imkerei-Nebenerzeugnisse Material der Kategorie 3 gemäß Artikel 10 Buchstabe e
  1. Im Fall anderer Imkerei-Nebenerzeugnisse als Bienenwachs in Wabenform, die zur Verwendung in der Imkerei bestimmt sind:
    1. Die Imkerei-Nebenerzeugnisse wurden mindestens 24 Stunden lang einer Temperatur von -12 °C oder weniger ausgesetzt oder
    2. wurden im Fall von Wachs vor der Einfuhr in die Union nach einer der Verarbeitungsmethoden 1 bis 5 oder nach der Verarbeitungsmethode 7 gemäß Anhang IV Kapitel III raffiniert.
  2. Im Fall von anderem Bienenwachs als Bienenwachs in Wabenform, das für andere Zwecke als die Verfütterung an Nutztiere bestimmt ist, wurde das Bienenwachs vor der Einfuhr in die Union nach einer der Verarbeitungsmethoden 1 bis 5 oder nach der Verarbeitungsmethode 7 gemäß Anhang IV Kapitel III raffiniert oder verarbeitet.
  1. Im Fall von Imkerei-Nebenerzeugnissen zur Verwendung in der Imkerei:
    Drittländer gemäß Anhang XIII Teil 1 oder Anhang XV Teil 1 Abschnitt a der Durchführungsverordnung (EU) 2021/404 und folgende Drittländer:
    (AL) Albanien,
    (CM) Kamerun,
    (DZ) Algerien,
    (SV) El Salvador
  2. Im Fall von Bienenwachs für andere Zwecke als die Verfütterung an Nutztiere:
    jedes Drittland
  1. Im Fall von Imkerei-Nebenerzeugnissen zur Verwendung in der Imkerei:
    Anhang XV Kapitel 13
  2. im Fall von Bienenwachs für andere Zwecke als die Verfütterung an Nutztiere:
    ein Handelspapier, in dem die Raffination bzw. Verarbeitung bescheinigt wird
11 Knochen und Knochenerzeugnisse (außer Knochenmehl), Hörner und Hornerzeugnisse (außer Hornmehl) sowie Hufe und Huferzeugnisse (außer Hufmehl), die nicht zur Verwendung als Futtermittel-Ausgangserzeugnisse, organische Düngemittel oder Bodenverbesserungsmittel bestimmt sind Material der Kategorie 3 gemäß Artikel 10 Buchstabe a, Buchstabe b Ziffern i und iii sowie Buchstaben e und h Die Erzeugnisse müssen die Anforderungen gemäß Abschnitt 7 erfüllen. Jedes Drittland Den Erzeugnissen liegt Folgendes bei:
  1. ein Handelspapier gemäß Abschnitt 7 Nummer 2 und
  2. eine Erklärung des Einführers gemäß Anhang XV Kapitel 16, die in mindestens einer der Amtssprachen des Mitgliedstaats der Einfuhr in die Union und in mindestens einer der Amtssprachen des Bestimmungsmitgliedstaats abgefasst sein muss.
12 Heimtierfutter und Kauspielzeug
  1. Im Fall von verarbeitetem Heimtierfutter und von Kauspielzeug: Material gemäß Artikel 35 Buchstabe a Ziffern i und ii;
  2. Im Fall von rohem Heimtierfutter: Material gemäß Artikel 35 Buchstabe a Ziffer iii
Das Heimtierfutter und das Kauspielzeug müssen gemäß Anhang XIII Kapitel II hergestellt worden sein.
  1. Im Fall von rohem Heimtierfutter:
    Drittländer gemäß Anhang XIII Teil 1 oder Anhang XIV Teil 1 der Durchführungsverordnung (EU) 2021/404 oder gemäß Anhang I der Durchführungsverordnung (EU) 2021/405, aus denen die Mitgliedstaaten unter der Bedingung, dass nur Fleisch mit Knochen eingeführt wird, die Einfuhr von frischem Fleisch derselben Tierart zulassen
    Im Fall von Fischmaterial: Drittländer gemäß Anhang IX der Durchführungsverordnung (EU) 2021/405
  2. Im Fall von Kauspielzeug und anderem als rohem Heimtierfutter:
    Drittländer gemäß Anhang XIII Teil 1, Anhang XIV Teil 1 oder Anhang XV Teil 1 Abschnitt a der Durchführungsverordnung (EU) 2021/404 und folgende Drittländer:
    (AL) Albanien,
    (EC) Ecuador,
    (DZ) Algerien,
    (GE) Georgien (nur verarbeitetes Heimtierfutter außer Heimtierfutter in Dosen),
    (LK) Sri Lanka,
    (SA) Saudi-Arabien (nur verarbeitetes Heimtierfutter aus Geflügel),
    (SV) El Salvador
    (TW) Taiwan
    (ID) Indonesien (nur verarbeitetes Heimtierfutter, das verarbeitetes tierisches Protein von Insekten enthält)
    Im Fall von Fischmaterial: Drittländer gemäß Anhang IX der Durchführungsverordnung (EU) 2021/405.
  1. Im Fall von Heimtierfutter in Dosen:
    Anhang XV Kapitel 3 Buchstabe A
  2. Im Fall von verarbeitetem Heimtierfutter außer Heimtierfutter in Dosen:
    Anhang XV Kapitel 3 Buchstabe B
  3. Im Fall von Kauspielzeug:
    Anhang XV Kapitel 3 Buchstabe C
  4. Im Fall von rohem Heimtierfutter:
    Anhang XV Kapitel 3 Buchstabe D
13 Geschmacksverstärkende Fleischextrakte zur Herstellung von Heimtierfutter Material gemäß Artikel 35 Buchstabe a Die geschmacksverstärkenden Fleischextrakte müssen gemäß Anhang XIII Kapitel III hergestellt worden sein. Drittländer gemäß Anhang XIII Teil 1 der Durchführungsverordnung (EU) 2021/404 oder gemäß Anhang I der Durchführungsverordnung (EU) 2021/405, aus denen die Mitgliedstaaten unter der Bedingung, dass nur Fleisch mit Knochen eingeführt wird, die Einfuhr von frischem Fleisch derselben Tierart zulassen

Im Fall geschmacksverstärkender Fleischextrakte aus Fischmaterial: Drittländer gemäß Anhang IX der Durchführungsverordnung (EU) 2021/405

Im Fall geschmacksverstärkender Fleischextrakte aus Geflügelfleisch: Drittländer gemäß Anhang XIV Teil 1 der Durchführungsverordnung (EU) 2021/404, aus denen die Mitgliedstaaten die Einfuhr frischen Geflügelfleischs zulassen

Im Fall geschmacksverstärkender Fleischextrakte aus Fleisch von bestimmten wildlebenden Landsäugetieren und Hasenartigen: Drittländer gemäß Anhang V oder Anhang VI der Durchführungsverordnung (EU) 2021/405, aus denen die Mitgliedstaaten die Einfuhr von frischem Fleisch derselben Tierart zulassen

Anhang XV Kapitel 3 Buchstabe E
14 Tierische Nebenprodukte für die Herstellung von anderem als rohem Heimtierfutter und von Folgeprodukten zur Verwendung außerhalb der Futtermittelkette
  1. Material der Kategorie 3 gemäß Artikel 10 Buchstaben a bis m
  2. im Fall von Material zur Herstellung von Heimtierfutter: Material der Kategorie 1 gemäß Artikel 8 Buchstabe c
  3. im Fall von Pelzen zur Herstellung von Folgeprodukten: Material der Kategorie 3 gemäß Artikel 10 Buchstabe n
Die Erzeugnisse müssen die Anforderungen gemäß Abschnitt 8 erfüllen.
  1. Im Fall tierischer Nebenprodukte zur Herstellung von Heimtierfutter:
    1. Im Fall tierischer Nebenprodukte von Rindern, Schafen, Ziegen, Schweinen und Equiden, und zwar sowohl von Nutztieren als auch Wildtieren:
      Drittländer bzw. Teile von Drittländern gemäß Anhang XIII Teil 1 der Durchführungsverordnung (EU) 2021/404 oder Anhang I der Durchführungsverordnung (EU) 2021/405, aus denen frisches Fleisch für den menschlichen Verzehr eingeführt werden darf
    2. Im Fall von Rohmaterial von Geflügel, einschließlich Laufvögeln:
      Drittländer bzw. Teile von Drittländern gemäß Anhang XIV Teil 1 der Durchführungsverordnung (EU) 2021/404, aus denen die Mitgliedstaaten die Einfuhr frischen Geflügelfleisches genehmigen
    3. Im Fall von Rohmaterial aus Fisch:
      Drittländer gemäß Anhang IX der Durchführungsverordnung (EU) 2021/405
    4. Im Fall von Rohmaterial von anderen wild lebenden Landsäugetieren und Hasenartigen:
      Drittländer gemäß Anhang V oder VI der Durchführungsverordnung (EU) 2021/405
  2. Im Fall tierischer Nebenprodukte zur Herstellung von Pharmazeutika:
    Drittländer gemäß Anhang XIII Teil 1 oder Anhang XIV Teil 1 der Durchführungsverordnung (EU) 2021/404; und gemäß Anhang I, Anhang V und VI der Durchführungsverordnung (EU) 2021/405.
    Im Fall von Fischmaterial: Drittländer gemäß Anhang IX der Durchführungsverordnung (EU) 2021/405.
  3. Im Fall tierischer Nebenprodukte für die Herstellung von Produkten zur Verwendung außerhalb der Futtermittelkette für Nutztiere, ausgenommen pharmazeutische Verwendungszwecke:
    Drittländer gemäß Anhang XIII Teil 1 oder Anhang XIV Teil 1 der Durchführungsverordnung (EU) 2021/404 oder gemäß Anhang I, Anhang V oder Anhang VI der Durchführungsverordnung (EU) 2021/405
    Im Fall von Fischmaterial: Drittländer gemäß Anhang IX der Durchführungsverordnung (EU) 2021/405
  4. Im Fall von Pelzen zur Herstellung von Folgeprodukten:
    Drittländer gemäß Anhang XIII Teil 1 der Durchführungsverordnung (EU) 2021/404 der Kommission, aus denen der Eingang von frischem Fleisch von Huftieren in die Union zulässig ist
  1. Im Fall tierischer Nebenprodukte zur Herstellung von verarbeitetem Heimtierfutter:
    Anhang XV Kapitel 3 Buchstabe F
  2. Im Fall tierischer Nebenprodukte für die Herstellung von Produkten zur Verwendung außerhalb der Futtermittelkette für Nutztiere:
    Anhang XV Kapitel 8
15 Tierische Nebenprodukte zur Verwendung als rohes Heimtierfutter Material der Kategorie 3 gemäß Artikel 10 Buchstabe a und Buchstabe b Ziffern i und ii Die Produkte müssen die Anforderungen gemäß Abschnitt 8 erfüllen. Drittländer gemäß Anhang XIII Teil 1 oder Anhang XIV Teil 1 der Durchführungsverordnung (EU) 2021/404 oder gemäß Anhang I der Durchführungsverordnung (EU) 2021/405, aus denen die Mitgliedstaaten unter der Bedingung, dass Fleisch mit Knochen eingeführt wird, die Einfuhr von frischem Fleisch derselben Tierart zulassen
Im Fall von Fischmaterial: Drittländer gemäß Anhang IX der Durchführungsverordnung (EU) 2021/405
Anhang XV Kapitel 3 Buchstabe D
16 Tierische Nebenprodukte zur Verwendung in Futter für Pelztiere Material der Kategorie 3 gemäß Artikel 10 Buchstaben a bis m Die Erzeugnisse müssen die Anforderungen gemäß Abschnitt 8 erfüllen. Drittländer gemäß Anhang XIII Teil 1 oder Anhang XIV Teil 1 der Durchführungsverordnung (EU) 2021/404 oder gemäß Anhang I der Durchführungsverordnung (EU) 2021/405, aus denen die Mitgliedstaaten unter der Bedingung, dass Fleisch mit Knochen eingeführt wird, die Einfuhr von frischem Fleisch derselben Tierart zulassen
Im Fall von Fischmaterial: Drittländer gemäß Anhang IX der Durchführungsverordnung (EU) 2021/405
Anhang XV Kapitel 3 Buchstabe D
17 Ausgeschmolzene Fette für bestimmte Zwecke außerhalb der Futtermittelkette für Nutztiere
  1. Im Fall von Material, das zur Produktion von Biodiesel, oleochemischen Biodieselprodukten oder erneuerbaren Brennstoffen gemäß Anhang IV Kapitel IV Abschnitt 2 Buchstabe L, M und N bestimmt ist:
    Material der Kategorien 1, 2 und 3 gemäß den Artikeln 8, 9 und 10
  2. Im Fall von Material, das zur Produktion erneuerbarer Brennstoffe gemäß Anhang IV Kapitel IV Abschnitt 2 Buchstabe J bestimmt ist:
    Material der Kategorien 2 und 3 gemäß den Artikeln 9 und 10
  3. Im Fall von Material, das für organische Düngemittel und Bodenverbesserungsmittel bestimmt ist:
    Material der Kategorie 2 gemäß Artikel 9 Buchstaben c und d sowie Buchstabe f Ziffer i sowie Material der Kategorie 3 gemäß Artikel 10 außer den Buchstaben c und p
  4. Im Fall von Material, das für andere Zwecke bestimmt ist: Material der Kategorie 1 gemäß Artikel 8 Buchstaben b, c und d;
    Material der Kategorie 2 gemäß Artikel 9 Buchstaben c und d sowie Buchstabe f Ziffer i sowie Material der Kategorie 3 gemäß Artikel 10 außer den Buchstaben c und p
Die ausgeschmolzenen Fette müssen die Anforderungen gemäß Abschnitt 9 erfüllen. Drittländer gemäß Anhang XIII Teil 1 oder Anhang XV Teil 1 Abschnitt a der Durchführungsverordnung (EU) 2021/404 und folgende Drittländer:
(AL) Albanien,
(DZ) Algerien,
(SV) El Salvador
Im Fall von Fischmaterial: Drittländer gemäß Anhang IX der Durchführungsverordnung (EU) 2021/405
Anhang XV Kapitel 10 Buchstabe B
18 Fettderivate
  1. Im Fall von Fettderivaten zur Verwendung außerhalb der Futtermittelkette für Nutztiere:
    Material der Kategorie 1 gemäß Artikel 8 Buchstaben b, c und d, Material der Kategorie 2 gemäß Artikel 9 Buchstaben c und d sowie Artikel 9 Buchstabe f Ziffer i und Material der Kategorie 3 gemäß Artikel 10
  2. Im Fall von Fettderivaten zur Verwendung als Futter:
    Material der Kategorie 3 außer Material gemäß Artikel 10 Buchstaben n, o und p
Die Fettderivate müssen die Anforderungen gemäß Abschnitt 10 erfüllen. Jedes Drittland
  1. Im Fall von Fettderivaten zur Verwendung außerhalb der Futtermittelkette für Nutztiere:
    Anhang XV Kapitel 14 Buchstabe A
  2. Im Fall von Fettderivaten zur Verwendung als Futter:
    Anhang XV Kapitel 14 Buchstabe B
19 Fotogelatine Material der Kategorie 1 gemäß Artikel 8 Buchstabe b und Material der Kategorie 3 gemäß Artikel 10 Die eingeführte Fotogelatine muss die Anforderungen gemäß Abschnitt 11 erfüllen. Fotogelatine darf nur aus gemäß Abschnitt 11 zugelassenen Ursprungsbetrieben in den Vereinigten Staaten und in Japan eingeführt werden. Anhang XV Kapitel 19
20 Hörner und Hornprodukte (außer Hornmehl) sowie Hufe und Hufprodukte (außer Hufmehl) zur Herstellung von organischen Düngemitteln oder Bodenverbesserungsmitteln Material der Kategorie 3 gemäß Artikel 10 Buchstaben a, b, h und n Die Erzeugnisse müssen die Anforderungen gemäß Abschnitt 12 erfüllen. Jedes Drittland Anhang XV Kapitel 18
*) Delegierte Verordnung (EU) 2020/692 der Kommission vom 30. Januar 2020 zur Ergänzung der Verordnung (EU) 2016/429 des Europäischen Parlaments und des Rates hinsichtlich Vorschriften für den Eingang von Sendungen von bestimmten Tieren, bestimmtem Zuchtmaterial und bestimmten Erzeugnissen tierischen Ursprungs in die Union und für deren anschließende Verbringung und Handhabung (ABl. L 174 vom 03.06.2020 S. 379).

Abschnitt 2
Einfuhr von Blut und Blutprodukten, außer von Equiden, zur Herstellung von Folgeprodukten zur Verwendung außerhalb der Futtermittelkette für Nutztiere
13

Für die Einfuhr von Blut und Blutprodukten, außer von Equiden, zur Herstellung von Folgeprodukten zur Verwendung außerhalb der Futtermittelkette für Nutztiere gelten folgende Anforderungen:

1. Die Blutprodukte müssen aus einer Anlage zur Herstellung von Folgeprodukten zur Verwendung außerhalb der Futtermittelkette für Nutztiere stammen, die den in der vorliegenden Verordnung festgelegten speziellen Bedingungen entspricht, oder aus dem Gewinnungsbetrieb.

2. Das Blut, aus dem Blutprodukte zur Herstellung von Folgeprodukten zur Verwendung außerhalb der Futtermittelkette für Nutztiere hergestellt werden, muss unter tierärztlicher Aufsicht gewonnen worden sein:

  1. in Schlachthöfen,
    1. die gemäß der Verordnung (EG) Nr. 853/2004 zugelassen wurden, oder
    2. die von der zuständigen Behörde des Gewinnungslandes zugelassen wurden und überwacht werden; oder
  2. von lebenden Tieren in Einrichtungen, die von der zuständigen Behörde des Gewinnungslandes zugelassen wurden und überwacht werden.

3.1. Im Fall von Blutprodukten zur Herstellung von Folgeprodukten zur Verwendung außerhalb der Futtermittelkette für Nutztiere, die von Tieren der Taxa Artiodactyla, Perissodactyla und Proboscidea oder von deren Kreuzungen gewonnen wurden, müssen entweder die in Buchstabe a oder die in Buchstabe b genannten Bedingungen erfüllt sein:

  1. Die Produkte wurden einer der folgenden Behandlungen unterzogen, die gewährleisten, dass sie frei von Erregern der in Buchstabe b genannten Krankheiten sind:
    1. einer mindestens dreistündigen Hitzebehandlung bei 65 °C mit nachfolgender Wirksamkeitsprüfung,
    2. einer Bestrahlung (Gammastrahlen, 25 kGy) mit nachfolgender Wirksamkeitsprüfung,
    3. einer Hitzebehandlung bei einer Kerntemperatur von mindestens 80 °C mit nachfolgender Wirksamkeitsprüfung,
    4. nur im Fall anderer Tiere als Suidae und Tayassuidae: einer Behandlung, bei der der pH-Wert auf 5 geändert und dieser Wert zwei Stunden lang gehalten wird, mit nachfolgender Wirksamkeitsprüfung;
  2. Blutprodukte, die nicht gemäß Buchstabe a behandelt wurden, stammen aus einem Drittland oder Gebiet,
    1. in dem seit mindestens zwölf Monaten kein Fall von Rinderpest, Pest der kleinen Wiederkäuer oder Rifttalfieber gemeldet wurde und in dem seit mindestens zwölf Monaten gegen keine dieser Krankheiten geimpft wurde,
    2. in dem seit mindestens zwölf Monaten kein Fall von Maul- und Klauenseuche gemeldet wurde und
      • in dem seit mindestens zwölf Monaten nicht gegen diese Krankheit geimpft wurde, oder
      • in dem seit mindestens zwölf Monaten Programme zur Impfung domestizierter Wiederkäuer gegen Maul- und Klauenseuche amtlich durchgeführt und überwacht werden; in diesem Fall müssen die Produkte nach der in der Richtlinie 97/78/EG vorgesehenen Veterinärkontrolle gemäß den Bestimmungen von Artikel 8 Absatz 4 der genannten Richtlinie auf direktem Wege zum registrierten Bestimmungsbetrieb bzw. zur registrierten Bestimmungsanlage befördert werden, und es sind alle erforderlichen Vorkehrungen - einschließlich einer sicheren Entsorgung von Abfällen, nicht verwendetem oder überschüssigem Material - zu treffen, damit das Risiko der Ausbreitung von Krankheiten auf Mensch oder Tier vermieden wird.

3.2. Zusätzlich zu Nummer 3.1 Buchstabe b Ziffern i und ii muss im Fall anderer Tiere als Suidae und Tayassuidae eine der folgenden Bedingungen erfüllt sein:

  1. Im Herkunftsdrittland bzw. Herkunftsgebiet wurde seit mindestens zwölf Monaten kein Fall von vesikulärer Stomatitis, Blauzungenkrankheit oder entsprechenden seropositiven Tieren gemeldet, und seit mindestens zwölf Monaten wurden die empfänglichen Tierarten gegen keine dieser Krankheiten geimpft;
  2. die Produkte müssen nach der in der Richtlinie 97/78/EG vorgesehenen Veterinärkontrolle gemäß den Bestimmungen von Artikel 8 Absatz 4 der genannten Richtlinie auf direktem Wege zur Anlage am Bestimmungsort befördert werden, und es sind alle erforderlichen Vorkehrungen - einschließlich einer sicheren Entsorgung von Abfällen, nicht verwendetem oder überschüssigem Material - zu treffen, damit das Risiko der Ausbreitung von Krankheiten auf Mensch oder Tier vermieden wird.

3.3. Zusätzlich zu Nummer 3.1 Buchstabe b Ziffern i und ii gilt im Fall von Suidae und Tayassuidae Folgendes: Im Herkunftsdrittland bzw. Herkunftsgebiet wurde seit mindestens zwölf Monaten kein Fall von vesikulärer Schweinekrankheit, klassischer Schweinepest oder afrikanischer Schweinepest gemeldet, seit mindestens zwölf Monaten wurde gegen keine dieser Krankheiten geimpft und eine der folgenden Bedingungen ist erfüllt:

  1. Im Herkunftsland bzw. Herkunftsgebiet wurde seit zwölf Monaten kein Fall von vesikulärer Stomatitis oder entsprechenden seropositiven Tieren gemeldet, und seit mindestens zwölf Monaten wurden die empfänglichen Tierarten nicht gegen diese Krankheit geimpft;
  2. die Produkte müssen nach der in der Richtlinie 97/78/EG vorgesehenen Veterinärkontrolle gemäß den Bestimmungen von Artikel 8 Absatz 4 der genannten Richtlinie auf direktem Wege zum registrierten Bestimmungsbetrieb bzw. zur registrierten Bestimmungsanlage befördert werden, und es sind alle erforderlichen Vorkehrungen - einschließlich einer sicheren Entsorgung von Abfällen, nicht verwendetem oder überschüssigem Material - zu treffen, damit das Risiko der Ausbreitung von Krankheiten auf Mensch oder Tier vermieden wird.

4. Im Fall von Blutprodukten zur Herstellung von Folgeprodukten zur Verwendung außerhalb der Futtermittelkette für Nutztiere, die von Geflügel oder anderen Vogelarten gewonnen wurden, müssen entweder die in Buchstabe a oder die in Buchstabe b genannten Bedingungen erfüllt sein:

  1. Die Produkte wurden einer der folgenden Behandlungen unterzogen, die gewährleisten, dass sie frei von Erregern der in Buchstabe b genannten Krankheiten sind:
    1. einer mindestens dreistündigen Hitzebehandlung bei 65 °C mit nachfolgender Wirksamkeitsprüfung,
    2. einer Bestrahlung (Gammastrahlen, 25 kGy) mit nachfolgender Wirksamkeitsprüfung,
    3. einer Hitzebehandlung bei einer Kerntemperatur von mindestens 70 °C mit nachfolgender Wirksamkeitsprüfung;
  2. Blutprodukte, die nicht gemäß Buchstabe a behandelt wurden, stammen aus einem Drittland oder Gebiet,
    1. das im Sinne des OIE-Gesundheitskodex für Landtiere (Ausgabe 2010) frei von der Newcastle-Krankheit und hochpathogener aviärer Influenza ist,
    2. in dem in den letzten zwölf Monaten nicht gegen aviäre Influenza geimpft wurde,
    3. in dem Geflügel oder andere Vogelarten, aus denen die Produkte gewonnen werden, nicht mit Impfstoffen gegen die Newcastle-Krankheit geimpft wurden, die aus einem Saatvirusstamm der Newcastle-Krankheit hergestellt wurden, dessen Pathogenität höher als die lentogener Virusstämme ist.

Abschnitt 3
Einfuhr von Blut und Blutprodukten von Equiden Für die Einfuhr von Blut und Blutprodukten von Equiden gelten folgende Anforderungen:
13

1. Das Blut muss die Bedingungen gemäß Anhang XIII Kapitel IV Nummer 1 Buchstabe a erfüllen und unter tierärztliche Aufsicht entnommen werden, und zwar entweder:

  1. in Schlachthöfen,
    1. die gemäß der Verordnung (EG) Nr. 853/2004 zugelassen wurden, oder
    2. die von der zuständigen Behörde des Gewinnungslandes zugelassen wurden und überwacht werden, oder
  2. von lebenden Equiden in Einrichtungen, die für die Entnahme von Blut von Equiden, das zur Herstellung von Blutprodukten für andere Verwendungszwecke als Futter bestimmt ist, von der zuständigen Behörde des Gewinnungslandes zugelassen wurden, eine Veterinärkontrollnummer erhalten haben und überwacht werden.

2. Die Blutprodukte müssen die Bedingungen gemäß Anhang XIII Kapitel IV Nummer 2 erfüllen.

Ferner müssen die Blutprodukte gemäß Anhang XIII Kapitel IV Nummer 2 Buchstabe b Ziffer i aus Blut hergestellt worden sein, das Equiden entnommen wurde, die zumindest in den letzten drei Monaten vor dem Datum der Blutentnahme bzw. - falls die Tiere weniger als drei Monate alt sind - von Geburt an in tierärztlich beaufsichtigten Betrieben im Drittland der Blutentnahme gehalten wurden, das in diesem Zeitraum und während der Blutentnahme frei war von

  1. Pferdepest im Sinne von Artikel 5 Absatz 2 Unterabsatz 1 Buchstaben a und b der Richtlinie 2009/156/EG,
  2. venezuelischer Pferdeenzephalomyelitis, und zwar seit mindestens zwei Jahren,
  3. Rotz, und zwar
    1. seit drei Jahren oder
    2. seit sechs Monaten, wenn die Tiere bei der Fleischuntersuchung im Schlachthof gemäß Nummer 1 Buchstabe a für frei von klinischen Anzeichen des Rotzes (Burkholderia mallei) befunden wurden, wobei unter anderem nach Spaltung des Kopfes längs der Medianebene und nach Auslösen der Nasenscheidewand die Schleimhäute der Luftröhre, des Kehlkopfes, der Nasenhöhlen und ihrer Nebenhöhlen begutachtet wurden,
  4. im Fall von anderen Blutprodukten als Serum und Plasma: vesikulärer Stomatitis, und zwar seit mindestens sechs Monaten.

3. Die Blutprodukte müssen aus einem Betrieb oder einer Anlage stammen, die von der zuständigen Behörde des Drittlandes zugelassen oder registriert wurde.

4. Das Blut und die Blutprodukte sind gemäß Anhang XIII Kapitel IV Nummer 3 zu verpacken und zu kennzeichnen.

Abschnitt 4
Einfuhr von Häuten und Fellen von Huftieren

Für die Einfuhr von Häuten und Fellen von Huftieren gelten folgende Anforderungen:

1. Frische oder gekühlte Häute und Felle dürfen eingeführt werden, wenn folgende Bedingungen erfüllt sind:

  1. Sie stammen aus einem Drittland, das in der Tabelle 2 in Abschnitt 1 in der betreffenden Spalte in Reihe 4 aufgeführt ist und das je nach Tierart
    1. zumindest in den letzten zwölf Monaten vor dem Versand frei war von folgenden Krankheiten:
      • klassische Schweinepest,
      • afrikanische Schweinepest,
      • Rinderpest, und
    2. zumindest in den letzten zwölf Monaten vor dem Versand frei war von Maul- und Klauenseuche und in dem zumindest in den letzten zwölf Monaten vor dem Versand nicht gegen Maul- und Klauenseuche geimpft wurde;
  2. sie wurden gewonnen
    1. von Tieren, die zumindest in den letzten drei Monaten vor ihrer Schlachtung bzw. - falls die Tiere weniger als drei Monate alt sind - von Geburt an im Hoheitsgebiet des Herkunftsdrittlandes gehalten wurden,
    2. im Fall von Häuten und Fellen von Paarhufern: von Tieren aus Betrieben, in denen in den letzten 30 Tagen und um die im Umkreis von 10 km in den letzten 30 Tagen kein Fall von Maul- und Klauenseuche aufgetreten ist,
    3. im Fall von Häuten von Schweinen: von Tieren aus Betrieben, in denen in den letzten 30 Tagen kein Fall von vesikulärer Schweinekrankheit und in den letzten 40 Tagen kein Fall von klassischer oder afrikanischer Schweinepest und um die im Umkreis von 10 km in den letzten 30 Tagen keine dieser Krankheiten aufgetreten ist, oder
    4. von Tieren, die in den 24 Stunden vor ihrer Schlachtung im Schlachthof der Schlachttieruntersuchung unterzogen und für frei von Anzeichen der Maul- und Klauenseuche, Rinderpest, klassischen und afrikanischen Schweinepest und der vesikulären Schweinekrankheit befunden wurden, und
  3. es wurden alle erforderlichen Vorkehrungen getroffen, um eine Rekontamination der Erzeugnisse mit Krankheitserregern zu verhindern.

2. Behandelte Häute und Felle gemäß Anhang XIII Kapitel V Abschnitt C Nummer 2 dürfen ohne Einschränkung eingeführt werden.

3. Andere behandelte Häute und Felle dürfen eingeführt werden, wenn folgende Bedingungen erfüllt sind:

  1. Sie stammen entweder
    1. aus einem Drittland bzw. - im Fall einer Regionalisierung nach Unionsrecht - einem Teil eines Drittlandes gemäß Abschnitt 1 Tabelle 2, Spalte "Listen der Drittländer", Reihe 5, Buchstabe a, aus dem die Einfuhr von frischem Fleisch der entsprechenden Arten zugelassen ist, und sie wurden gemäß Anhang I Nummer 28 Buchstaben a, b und c behandelt,
    2. aus einem Drittland, das in Tabelle 2 in Abschnitt 1 in der genannten Spalte in Reihe 5 unter Buchstabe a aufgeführt ist, und sie wurden gemäß Anhang I Nummer 28 Buchstaben c oder d behandelt, oder
    3. von Equiden oder Wiederkäuern aus einem Drittland, das in Tabelle 2 in Abschnitt 1 in der Spalte "Listen der Drittländer" in Reihe 5 unter Buchstabe b aufgeführt ist, und sie wurden gemäß Anhang I Nummer 28 Buchstaben a, b und c behandelt sowie nach der Behandlung mindestens 21 Tage lang getrennt gehalten, und
  2. im Fall gesalzener Häute und Felle, die auf dem Seeweg befördert werden, sind die Häute und Felle gemäß Anhang I Nummer 28 Buchstaben b oder c behandelt und nach der Behandlung während der Beförderung im Fall der Behandlung gemäß Nummer 28 Buchstabe b mindestens 14 Tage lang und im Fall der Behandlung gemäß Nummer 28 Buchstabe c sieben Tage lang vor der Einfuhr getrennt gehalten worden, wobei die Behandlung und die Beförderungsdauer durch die der Sendung beiliegende Veterinärbescheinigung nachgewiesen werden.

4. Frische, gekühlte oder behandelte Häute und Felle von Huftieren sind in Containern, Straßenfahrzeugen, Eisenbahnwaggons oder als Ballen einzuführen, die unter der Verantwortung der zuständigen Behörde des Versanddrittlandes verplombt wurden.

Abschnitt 5
Einfuhr von Jagdtrophäen und anderen Tierpräparaten

Für die Einfuhr von Jagdtrophäen und anderen Tierpräparaten gelten folgende Anforderungen:

1. Jagdtrophäen oder andere Tierpräparate, die die Bedingungen gemäß Anhang XIII Kapitel VI Abschnitt B und Abschnitt C Nummer 1 erfüllen, dürfen ohne Einschränkung eingeführt werden.

2. Behandelte Jagdtrophäen oder andere Präparate aus Vögeln und Huftieren, die ausschließlich aus Knochen, Hörnern, Hufen, Klauen, Geweihen, Zähnen, Häuten oder Fellen bestehen, aus Drittländern dürfen eingeführt werden, wenn sie die Anforderungen von Anhang XIII Kapitel VI Abschnitt C Nummer 1 Buchstabe a sowie Abschnitt C Nummer 2 Buchstabe a Ziffern i bis iii und Buchstabe b Ziffern i und ii erfüllen.

Jedoch brauchen trocken- oder nassgesalzene Häute und Felle, die auf dem Seeweg befördert werden, nicht 14 Tage vor ihrem Versand gesalzen zu werden, sofern sie 14 Tage vor ihrer Einfuhr gesalzen wurden.

3. Völlig unbehandelte Jagdtrophäen oder andere Präparate aus Vögeln und Huftieren, die aus ganzen Tierkörperteilen bestehen, dürfen unter folgenden Bedingungen eingeführt werden:

  1. sie stammen von Tieren aus einem Gebiet, das keinerlei Beschränkungen wegen Ausbruchs schwerer übertragbarer Krankheiten unterliegt, für die Tiere der betreffenden Art empfänglich sind;
  2. sie wurden einzeln in transparenten und - zur Vermeidung jeglicher Kontamination von außen - fest verschlossenen Packungen verpackt, ohne mit anderen Erzeugnissen tierischen Ursprungs in Berührung zu kommen, die sie kontaminieren könnten.

Abschnitt 6
Einfuhr von behandelten Federn, Federteilen und Daunen

Behandelte Federn, Federteile und Daunen dürfen unter folgenden Bedingungen eingeführt werden:

  1. Es handelt sich um behandelte Zierfedern, behandelte Federn, die von Reisenden zum eigenen Gebrauch mitgeführt werden, oder um Sendungen mit behandelten Federn oder Daunen, die Privatpersonen zu nicht gewerblichen Zwecke zugesandt werden, oder
  2. ihnen liegt ein Handelspapier bei, aus dem hervorgeht, dass die Federn, Federteile oder Daunen einer Dampfbehandlung oder einer anderweitigen Behandlung unterzogen wurden, durch die gewährleistet wird, dass keine unannehmbaren Risiken verbleiben, und sie sind außerdem fest verschlossen und trocken verpackt, und
  3. sofern aus dem Handelspapier nicht hervorgeht, dass sie industriell gewaschen und mindestens 30 Minuten lang einer Heißdampfbehandlung bei einer Temperatur von 100 °C unterzogen wurden, werden sie zu einer solchen Behandlung an einen registrierten Betrieb oder eine registrierte Anlage versandt.

Abschnitt 7
Einfuhr von Knochen und Knochenprodukten (außer Knochenmehl), Hörnern und Hornprodukten (außer Hornmehl) sowie Hufen und Hufprodukten (außer Hufmehl), die zu anderen Zwecken als zur Verwendung als Futtermittel-Ausgangserzeugnisse, organische Düngemittel oder Bodenverbesserungsmittel bestimmt sind
15 20

1. Knochen und Knochenprodukte (außer Knochenmehl), Hörner und Hornprodukte (außer Hornmehl) sowie Hufe und Hufprodukte (außer Hufmehl), dürfen zur Herstellung von Folgeprodukten zur Verwendung außerhalb der Futtermittelkette unter folgenden Bedingungen eingeführt werden:

  1. Die Erzeugnisse wurden vor der Ausfuhr in die Union getrocknet, jedoch weder gekühlt noch gefroren;
  2. die Erzeugnisse werden aus dem Herkunftsdrittland auf direktem Wege zu einer Grenzkontrollstelle des Eingangs in die Union verbracht, ohne in einem außerhalb der Union gelegenen Hafen oder an einem anderen Ort außerhalb der Union umgeladen zu werden;
  3. die Erzeugnisse werden nach den in der Richtlinie 97/78/EG vorgesehenen Dokumentenprüfungen auf direktem Wege zum registrierten Bestimmungsbetrieb bzw. zur registrierten Bestimmungsanlage befördert.

2. Jeder Sendung muss ein Handelspapier beiliegen, das von der für die Überwachung des Herkunftsbetriebs zuständigen Behörde abgestempelt ist und folgende Angaben enthält:

  1. das Herkunftsdrittland,
  2. den Namen des Produktionsbetriebs bzw. der Produktionsanlage,
  3. die Art des Erzeugnisses (getrocknete Knochen/getrocknete Knochenprodukte/getrocknete Hörner/getrocknete Hornprodukte/getrocknete Hufe/getrocknete Hufprodukte) und
  4. eine Bestätigung, dass das Erzeugnis zu keinem Zeitpunkt für die Verwendung bei der Herstellung von Lebensmitteln, Futtermitteln, organischen Düngemitteln oder Bodenverbesserungsmitteln zweckentfremdet wird, und
    1. von gesunden, in einem Schlachthof geschlachteten Tieren stammt, und
    2. 42 Tage lang bei einer Durchschnittstemperatur von mindestens 20 ° C getrocknet wurde; und/oder
    3. eine Stunde lang bei einer Kerntemperatur von mindestens 80 ° C erhitzt wurde; und/oder
    4. eine Stunde lang bei einer Kerntemperatur von mindestens 800 ° C verascht wurde; und/oder
    5. gesäuert wurde, bis im Kern ein pH-Wert von unter 6 erreicht und mindestens eine Stunde lang gehalten wurde.

3. Das Material muss in verplombten Containern oder Fahrzeugen oder als Massengut in einem Schiffsladeraum in die Union versandt werden.

Bei der Beförderung in Containern müssen diese sowie in jedem Fall alle Begleitpapiere Namen und Anschrift des registrierten Bestimmungsbetriebs bzw. der registrierten Bestimmungsanlage tragen.

4. Nach der in der Richtlinie 97/78/EG vorgesehenen Veterinärkontrolle und gemäß den Bestimmungen von Artikel 8 Absatz 4 der genannten Richtlinie ist das Material auf direktem Wege zum registrierten Bestimmungsbetrieb bzw. zur registrierten Bestimmungsanlage zu befördern.

Abschnitt 8
Einfuhr tierischer Nebenprodukte zur Herstellung von Pelztierfutter, Heimtierfutter außer rohem Heimtierfutter und Folgeprodukten zur Verwendung außerhalb der Futtermittelkette für Nutztiere

Tierische Nebenprodukte, die zur Herstellung von Pelztierfutter, Heimtierfutter außer rohem Heimtierfutter und Folgeprodukten zur Verwendung außerhalb der Futtermittelkette für Nutztiere bestimmt sind, dürfen unter folgenden Bedingungen eingeführt werden:

1. Die tierischen Nebenprodukte wurden im Herkunftsbetrieb tiefgefroren oder gemäß den Unionsvorschriften so konserviert, dass sie zwischen dem Versand und der Anlieferung im Bestimmungsbetrieb bzw. in der Bestimmungsanlage nicht verderben können.

2. Es wurden alle Vorsichtsmaßnahmen getroffen, um eine Kontamination der tierischen Nebenprodukte mit Krankheitserregern zu vermeiden.

3. Die tierischen Nebenprodukte wurden in neuen, lecksicheren Verpackungen oder in Verpackungen, die vor der Verwendung gereinigt und desinfiziert worden sind, verpackt.

4. Nach der in der Richtlinie 97/78/EG vorgesehenen Veterinärkontrolle und gemäß Artikel 8 Absatz 4 der genannten Richtlinie erfolgt die Beförderung der tierischen Nebenprodukte auf direktem Wege entweder zu

  1. einem Heimtierfutterbetrieb oder einem registrierten Bestimmungsbetrieb bzw. einer registrierten Bestimmungsanlage, der/die eine Garantie dafür geleistet hat, dass die tierischen Nebenprodukte ausschließlich zur Herstellung der Produkte verwendet werden, für die er/sie, gegebenenfalls gemäß Festlegung durch die zuständige Behörde, registriert bzw. zugelassen ist, und den Betrieb bzw. die Anlage außer zur direkten Entsorgung auf keinen Fall unbehandelt verlassen,
  2. einem Betrieb bzw. einer Anlage, die gemäß Artikel 24 Absatz 1 Buchstabe h der Verordnung (EG) Nr.1069/2009 zugelassen ist,
  3. einem registrierten Verwender oder einer registrierten Sammelstelle, der/die eine Garantie dafür geleistet hat, dass die tierischen Nebenprodukte ausschließlich für zulässige Zwecke, gegebenenfalls gemäß Festlegung durch die zuständige Behörde, verwendet werden, oder
  4. einem Betrieb bzw. einer Anlage, die gemäß Artikel 24 Absatz 1 Buchstabe a der Verordnung (EG) Nr.1069/2009 zugelassen ist, und

5.1. im Fall von Rohmaterial zur Produktion von Heimtierfutter gemäß Artikel 35 Buchstabe a Ziffer ii der Verordnung (EG) Nr. 1069/2009 müssen folgende Bedingungen erfüllt sein:

  1. Das Rohmaterial wird im Drittland vor dem Eingang in die Union mit einem Kreuz aus verflüssigter Aktivkohle auf jeder Außenseite jedes Eisblocks bzw., wenn das Rohmaterial auf Paletten befördert wird, die bei der Beförderung zum Bestimmungsproduktionsbetrieb für Heimtierfutter nicht in getrennte Sendungen unterteilt sind, auf jeder Außenseite jeder Palette so gekennzeichnet, dass mindestens 70 % der Diagonale des Eisblocks abgedeckt sind und das Kreuz mindestens 10 cm breit ist;
  2. im Fall von nicht tiefgefrorenem Material wird im Drittland vor dem Eingang in die Union eine Kennzeichnung durch Besprühen mit verflüssigter Aktivkohle oder durch Aufbringen von Aktivkohle in Pulverform derart vorgenommen, dass die Aktivkohle auf dem Material deutlich sichtbar ist;
  3. das Rohmaterial wird auf direktem Wege befördert zu
    1. dem Bestimmungsproduktionsbetrieb für Heimtierfutter gemäß Nummer 4 Buchstabe a oder
    2. zu einem Bestimmungsbetrieb bzw. einer Bestimmungsanlage, der/die gemäß Artikel 24 Absatz 1 Buchstabe h der Verordnung (EG) Nr. 1069/2009 - im Einklang mit Nummer 4 Buchstabe b dieses Abschnitts - zugelassen ist, und von dort auf direktem Wege zu dem in Ziffer i genannten Heimtierfutterbetrieb, sofern der Bestimmungsbetrieb
      • ausschließlich Material verarbeitet, dass unter die vorliegende Nummer 5.1 fällt, oder
      • ausschließlich Material verarbeitet, dass für einen Heimtierfutterbetrieb gemäß Ziffer i bestimmt ist, und
  4. das Rohmaterial wird so behandelt, dass die Kennzeichnung gemäß den Buchstaben a und b erst im Bestimmungsproduktionsbetrieb für Heimtierfutter und erst unmittelbar vor der Verwendung des Materials zur Herstellung von Heimtierfutter - gemäß den Anforderungen von Anhang XIII Kapitel II an aus Material der Kategorie 3 hergestelltes Heimtierfutter - entfernt wird;

5.2. besteht eine Sendung aus Rohmaterial, das gemäß Nummer 5.1 behandelt wurde, sowie aus anderem, nicht behandeltem Rohmaterial, wurden alle Rohmaterialien der Sendung gemäß Nummer 5.1 Buchstaben a und b gekennzeichnet;

5.3. die in Nummer 5.1 Buchstaben a und b sowie Nummer 5.2 vorgesehene Kennzeichnung muss während der gesamten Zeit vom Versand bis zur Anlieferung im Bestimmungsproduktionsbetrieb für Heimtierfutter sichtbar sein.

6. Im Bestimmungsproduktionsbetrieb für Heimtierfutter müssen die Lagerung vor Produktion, die Verwendung und die Beseitigung von Rohmaterial für die Heimtierfutterproduktion gemäß Artikel 35 Buchstabe a Ziffer ii der Verordnung (EG) Nr. 1069/2009 unter den von der zuständigen Behörde genehmigten Bedingungen erfolgen, die gegebenenfalls amtliche Kontrollen des Umfangs des gelieferten, des zur Produktion verwendeten und des beseitigten Materials umfassen.

Die zuständige Behörde kann dem Betreiber des Heimtierfutterbetriebs die Genehmigung erteilen, solche Materialien zusammen mit Material der Kategorie 3 zu lagern.

Abschnitt 9
Einfuhr ausgeschmolzener Fette für bestimmte Zwecke außerhalb der Futtermittelkette für Nutztiere
13 20

Ausgeschmolzene Fette, die nicht zur Herstellung von Futtermitteln für Nutztiere, Kosmetika, Arzneimitteln oder Medizinprodukten bestimmt sind, dürfen unter folgenden Bedingungen eingeführt werden:

  1. Sie wurden gewonnen
    1. im Fall von Material, das zur Produktion von Biodiesel, oleochemischen Produkten oder für die Produktion von erneuerbaren Brennstoffen bestimmt ist, die der in Anhang IV Kapitel IV Abschnitt 2 Buchstabe L genannten Behandlung unterzogen wurden, tierische Nebenprodukte gemäß den Artikeln 8, 9 und 10 der Verordnung (EG) Nr. 1069/2009;
    2. im Fall von Material, das zur Produktion von organischen Düngemitteln und Bodenverbesserungsmitteln bestimmt ist, aus Material der Kategorie 2 gemäß Artikel 9 Buchstaben c, d und f Ziffer i der Verordnung (EG) Nr. 1069/2009 oder aus Material der Kategorie 3, ausgenommen Material gemäß Artikel 10 Buchstaben c und p der genannten Verordnung,
    3. im Fall von Material, das zur Produktion erneuerbarer Brennstoffe gemäß Anhang IV Kapitel IV Abschnitt 2 Buchstabe J der vorliegenden Verordnung bestimmt ist, Material der Kategorie 2 gemäß Artikel 9 der Verordnung (EG) Nr. 1069/2009 und Material der Kategorie 3 gemäß Artikel 10 der genannten Verordnung;
    4. im Fall anderer Materialien Material der Kategorie 1 gemäß Artikel 8 Buchstaben b, c und d der Verordnung (EG) Nr. 1069/2009, Material der Kategorie 2 gemäß Artikel 9 Buchstaben c und d sowie Buchstabe f Ziffer i der genannten Verordnung oder Material der Kategorie 3, ausgenommen Material gemäß Artikel 10 Buchstaben c und p der genannten Verordnung;
  2. die ausgeschmolzenen Fette wurden gemäß der Verarbeitungsmethode 1 (Drucksterilisation) oder gemäß einer der anderen in Anhang IV Kapitel III aufgeführten Verarbeitungsmethoden verarbeitet;
  3. im Fall von Wiederkäuerfett wurden unlösliche Verunreinigungen bis auf einen Gewichtsanteil von höchstens 0,15 % entfernt;
  4. die ausgeschmolzenen Fette wurden vor dem Versand in die Union so gekennzeichnet, dass die in Anhang VIII Kapitel V Nummer 1 Buchstabe b genannte GTH-Mindestkonzentration erreicht wird;
  5. nach der in der Richtlinie 97/78/EG vorgesehenen Veterinärkontrolle und gemäß den Bestimmungen von Artikel 8 Absatz 4 der genannten Richtlinie werden die ausgeschmolzenen Fette auf direktem Wege und unter Bedingungen, bei denen eine Kontamination verhindert wird, zum registrierten Bestimmungsbetrieb bzw. zur registrierten Bestimmungsanlage befördert, und
  6. sie sind auf der Verpackung bzw. dem Container mit der Aufschrift "NICHT ZUM MENSCHLICHEN VERZEHR ODER ZUR VERFÜTTERUNG AN TIERE" versehen.

Abschnitt 10
Einfuhr von Fettderivaten

1. Fettderivate dürfen eingeführt werden, wenn die Veterinärbescheinigung, die der Sendung beiliegt, folgende Angaben enthält:

  1. ob die Fettderivate aus Material der Kategorie 1, 2 oder 3 gewonnen wurden;
  2. im Fall von Fettderivaten aus Material der Kategorie 2, dass die Produkte
    1. nach einer Methode hergestellt wurden, die mindestens die Normen für einen der Prozesse gemäß Anhang XIII Kapitel XI Nummer 1 erfüllt, und
    2. ausschließlich in organischen Düngemitteln oder Bodenverbesserungsmitteln oder für andere Zwecke außerhalb der Futtermittelkette für Nutztiere, ausgenommen die Verwendung in Kosmetika, Arzneimitteln und Medizinprodukten, verwendet werden;
  3. im Fall von Fettderivaten aus Material der Kategorie 1, dass die Produkte nicht in organischen Düngemitteln und Bodenverbesserungsmitteln, Kosmetika, Arzneimitteln und Medizinprodukten verwendet werden dürfen; ihre Verwendung zu anderen Zwecken außerhalb der Futtermittelkette für Nutztiere ist jedoch gestattet.

2. Die Veterinärbescheinigung gemäß Nummer 1 ist der zuständigen Behörde an der Grenzkontrollstelle des Eingangs der Erzeugnisse in die Union vorzulegen, anschließend muss eine Kopie die Sendung bis zu ihrer Ankunft im Bestimmungsbetrieb begleiten.

3. Nach der in der Richtlinie 97/78/EG vorgesehenen Veterinärkontrolle und gemäß den Bestimmungen von Artikel 8 Absatz 4 der genannten Richtlinie sind die Fettderivate auf direktem Wege zum registrierten Bestimmungsbetrieb bzw. zur registrierten Bestimmungsanlage zu befördern.

Abschnitt 11
Einfuhr von Fotogelatine

1. Gelatine, die aus Material hergestellt wurde, das Rinderwirbelsäule aus Material der Kategorie 1 gemäß Artikel 8 Buchstabe b der Verordnung (EG) Nr. 1069/2009 enthält, und die für die Fotoindustrie bestimmt ist ("Fotogelatine"), darf eingeführt werden, wenn die Fotogelatine

  1. aus einem der in Tabelle 3 aufgeführten Herkunftsbetriebe stammt,
  2. gemäß den in Nummer 6 genannten Bedingungen hergestellt wurde,
  3. über eine der in Tabelle 3 aufgeführten Grenzkontrollstellen des Eingangs in die Union eingeführt wird, und
  4. für die Produktion in einem der in Tabelle 3 aufgeführten zugelassenen Fotobetriebe bestimmt ist.

Tabelle 3 Einfuhr von Fotogelatine21 25

Herkunftsdrittland Herkunftsbetriebe Bestimmungsmitgliedstaat Grenzkontrollstelle des ersten Eingangs in die Union Zugelassene Fotobetriebe
Japan Nitta Gelatin Inc., 2-22 Futamata Yao-City, Osaka 581-0024 Japan

Jellice Co., Ltd. 4-1, Sakae 4-Chome, Tagajo-City, Miyagi 985-0833 Japan

Niederlande Rotterdam
Flughafen Schiphol - Amsterdam
Fujifilm Manufacturing Europe B.V., Oudenstaart 1, 5047 TK Tilburg, Niederlande
Nitta Gelatin Inc., 2-22 Futamata Yao-City, Osaka 581-0024 Japan Tschechien Hamburg FOMa Bohemia, spol. SRO Jana Krušinky 1604.501 04 Hradec Králové, Tschechien
Vereinigte Staaten Eastman Gelatine Corporation, 227 Washington Street, Peabody, MA, 01960 USA

Gelita North America, 2445 Port Neal Industrial Road Sergeant Bluff, Iowa, 51054 USA

Tschechien Hamburg FOMa Bohemia spol. SRO Jana Krušinky 1604.501 04 Hradec Králové, Tschechien"

2. Nach ihrer Einfuhr in den Bestimmungsmitgliedstaat darf die Fotogelatine nicht zwischen den Mitgliedstaaten gehandelt, sondern nur in dem zugelassenen Fotobetrieb desselben Bestimmungsmitgliedstaats und ausschließlich zu Zwecken der Fotoherstellung verwendet werden.

3. Nach der in der Richtlinie 97/78/EG vorgesehenen Veterinärkontrolle und gemäß den Bestimmungen von Artikel 8 Absatz 4 der genannten Richtlinie ist die Fotogelatine auf direktem Wege zum registrierten Bestimmungsfotobetrieb zu befördern.

4. Die Beförderung gemäß Nummer 3 muss in Fahrzeugen oder Containern erfolgen, in denen die Fotogelatine physisch von Erzeugnissen getrennt ist, die zur Verwendung als Lebens- oder Futtermittel bestimmt sind.

5. Der Betreiber des zugelassenen Bestimmungsfotobetriebs stellt sicher, dass jegliche Überschüsse oder Reste sowie sonstige Abfälle der Fotogelatine

  1. in verplombten, lecksicheren Containern mit der Aufschrift "nur zur Entsorgung" in Fahrzeugen unter zufriedenstellenden hygienischen Bedingungen befördert werden,
  2. gemäß Artikel 12 Buchstabe a Ziffer i der Verordnung (EG) Nr. 1069/2009 beseitigt oder gemäß der Verordnung (EG) Nr. 1013/2006 in das Herkunftsdrittland ausgeführt werden.

6. Fotogelatine ist gemäß folgenden Anforderungen herzustellen:

  1. Fotogelatine darf nur in Betrieben hergestellt werden, die keine Gelatine herstellen, welche zur Verwendung als Lebens- oder Futtermittel für den Versand in die Europäische Union bestimmt ist; die Betriebe müssen von der zuständigen Behörde des betreffenden Drittlandes zugelassen sein.
  2. Fotogelatine ist in einem Verfahren herzustellen, das gewährleistet, dass das Rohmaterial nach der Verarbeitungsmethode 1 (Drucksterilisation) gemäß Anhang IV Kapitel III behandelt oder mindestens zwei Tage lang einer Säure- oder Alkalibehandlung unterzogen und mit Wasser ausgewaschen wird und
    1. nach einer Säurebehandlung mindestens 20 Tage lang mit einer alkalischen Lösung oder
    2. nach einer Säurebehandlung 10-12 Stunden lang mit einer Säurelösung behandelt wird.

    Der pH-Wert ist dann anzupassen und das Material durch Filterung und Sterilisierung bei 138-140 °C vier Sekunden lang zu reinigen.

  3. Nachdem die Fotogelatine dem in Buchstabe b genannten Verfahren unterzogen wurde, kann sie einem Trocknungsverfahren und gegebenenfalls einem Pulverisierungs- oder Laminationsverfahren unterzogen werden.
  4. Die Fotogelatine ist zu umhüllen, in neue Packstücke zu verpacken, zu lagern und in verplombten, lecksicheren, gekennzeichneten Containern in einem Fahrzeug unter zufriedenstellenden hygienischen Bedingungen zu befördern.

Wird ein Leck festgestellt, sind Fahrzeug und Container gründlich zu reinigen und vor der Wiederverwendung zu inspizieren.

Die Umhüllung und die Packstücke, die Fotogelatine enthalten, müssen folgende Aufschrift tragen: "Fotogelatine nur zur Verwendung in der Fotoindustrie".

Abschnitt 12
Einfuhr von Hörnern und Hornprodukten (außer Hornmehl) sowie Hufen und Hufprodukten (außer Hufmehl), die zur Herstellung von organischen Düngemitteln oder Bodenverbesserungsmitteln bestimmt sind

Hörner und Hornprodukte (außer Hornmehl) sowie Hufe und Hufprodukte (außer Hufmehl), die zur Herstellung von Bodenverbesserungsmitteln oder organischen Düngemitteln bestimmt sind, dürfen unter folgenden Bedingungen eingeführt werden:

  1. Sie wurden gemäß den Bestimmungen von Anhang XIII Kapitel XII hergestellt, und
  2. sie werden nach der in der Richtlinie 97/78/EG vorgesehenen Veterinärkontrolle und gemäß Artikel 8 Absatz 4 der genannten Richtlinie auf direktem Wege zu einem zugelassenen oder registrierten Betrieb bzw. zu einer zugelassenen oder registrierten Anlage befördert.

Kapitel III
Sondervorschriften für bestimmte Proben

Abschnitt 1
Proben für Forschungs- und Diagnosezwecke

Sofern Proben für Forschungs- und Diagnosezwecke sowie Produkte, die aus der Verwendung solcher Proben resultieren, nicht zu Referenzzwecken aufbewahrt oder in das Herkunftsdrittland zurückgesandt werden, sind sie wie folgt zu beseitigen:

  1. als Abfall durch Verbrennung,
  2. durch Drucksterilisation und anschließende Beseitigung oder Verwendung gemäß den Artikeln 12 bis 14 der Verordnung (EG) Nr. 1069/2009 oder
  3. gemäß Anhang VI Kapitel I Abschnitt 1 Nummer 4 Buchstabe b
    1. bei Mengen von höchstens 2.000 ml und
    2. wenn die Herstellung und der Versand der Proben oder Folgeprodukte in bzw. aus Drittländern oder Teilen von Drittländern erfolgt sind, aus denen die Mitgliedstaaten die Einfuhr von frischem Rindfleisch gemäß Anhang II Teil 1 der Verordnung (EU) Nr. 206/2010 zulassen.

Abschnitt 2
Handelsmuster

1. Die zuständige Behörde kann die Einfuhr und Durchfuhr von Handelsmustern unter folgenden Bedingungen genehmigen:

  1. Sie stammen
    1. aus Drittländern, die in Tabelle 2 in Kapitel II Abschnitt 1 dieses Anhangs in der Spalte "Listen der Drittländer" in Reihe 14 aufgeführt sind,
    2. im Fall von Handelsmustern, die aus Milch, Erzeugnissen auf Milchbasis oder daraus gewonnenen Erzeugnissen bestehen, aus zugelassenen Drittländern gemäß Anhang I der Verordnung (EU) Nr. 605/2010;
  2. ihnen liegt eine Veterinärbescheinigung gemäß Anhang XV Kapitel 8 bei, und
  3. sie werden nach der in der Richtlinie 97/78/EG vorgesehenen Veterinärkontrolle und gemäß Artikel 8 Absatz 4 der genannten Richtlinie auf direktem Wege zu dem zugelassenen oder registrierten Betrieb bzw. zu der zugelassenen oder registrierten Anlage befördert, der/die in der Genehmigung der zuständigen Behörde angegeben ist.

2. Sofern die Handelsmuster nicht zu Referenzzwecken aufbewahrt werden, sind sie

  1. gemäß den Artikeln 12, 13 und 14 der Verordnung (EG) Nr. 1069/2009 zu beseitigen oder zu verwenden oder
  2. in das Herkunftsdrittland zurückzusenden.

3. Werden Handelsmuster zur Prüfung von Maschinen verwendet, erfolgt die Prüfung

  1. mit Hilfe einer geeigneten Ausrüstung oder
  2. mit Hilfe einer Ausrüstung, die vor der Verwendung für andere Zwecke als die genannten Prüfzwecke gereinigt und desinfiziert wird.

Bei der Beförderung zum zugelassenen oder registrierten Betrieb bzw. zur zugelassenen oder registrierten Anlage müssen die Handelsmuster in lecksicheren Containern verpackt sein.

Abschnitt 3
Ausstellungsstücke

1. Die Einfuhr und Durchfuhr von Ausstellungsstücken unterliegt folgenden Bedingungen:

  1. Sie müssen aus Drittländern stammen, die in Tabelle 2 in Kapitel II Abschnitt 1 in der Spalte "Listen der Drittländer" in Reihe 14 aufgeführt sind;
  2. die Einfuhr muss vorab von der zuständigen Behörde des Mitgliedstaats, in dem das Ausstellungsstück verwendet werden soll, genehmigt worden sein;
  3. die Ausstellungsstücke müssen nach der in der Richtlinie 97/78/EG vorgesehenen Veterinärkontrolle auf direktem Wege zum zugelassenen Verwender befördert werden.

2. Jede Sendung muss in lecksicheren Verpackungen verpackt sein, und ihr muss ein Handelspapier mit folgenden Angaben beiliegen:

  1. Beschreibung des Materials und der Tierart, von der es stammt,
  2. Kategorie des Materials,
  3. Menge des Materials,
  4. Versandort des Materials,
  5. Name und Anschrift des Absenders,
  6. Name und Anschrift des Empfängers sowie
  7. Informationen, die eine Identifizierung der Genehmigung der zuständigen Behörde des Bestimmungslandes ermöglichen.

3. Nach Ausstellungsende bzw. nach Abschluss der künstlerischen Tätigkeit sind Ausstellungsstücke

  1. in das Herkunftsdrittland zurückzusenden,
  2. in einen anderen Mitgliedstaat oder ein Drittland zu versenden, wenn dies von der zuständigen Behörde des Bestimmungsmitgliedstaats bzw. -drittlands vorab genehmigt wurde, oder
  3. gemäß den Artikeln 12, 13 und 14 der Verordnung (EG) Nr. 1069/2009 zu beseitigen.

Kapitel IV
Spezielle Anforderungen an bestimmte Verbringungen tierischer Nebenprodukte

Abschnitt 1
Einfuhr bestimmten Materials der Kategorie 1

Material gemäß Artikel 26 darf unter folgenden Bedingungen eingeführt werden:

1. Das Material trägt bei der Einfuhr auf der Verpackung, dem Container oder dem Fahrzeug die Aufschrift "Nicht zur Verwendung in Lebensmitteln, Futtermitteln, Düngemitteln, Kosmetika, Arzneimitteln und Medizinprodukten".

2. Das Material wird auf direktem Wege an einen zugelassenen oder registrierten Betrieb bzw. eine zugelassene oder registrierte Anlage zur Herstellung von Folgeprodukten, ausgenommen Produkte gemäß Nummer 1, geliefert.

3. Nicht verwendetes oder überschüssiges Material wird gemäß Artikel 12 der Verordnung (EG) Nr. 1069/2009 verwendet oder beseitigt.

Abschnitt 2
Einfuhr bestimmten Materials zu anderen Zwecken als zur Verfütterung an Nutz-Landtiere

1. Die zuständige Behörde kann die Einfuhr folgenden Materials zu anderen Zwecken als zur Verfütterung an Nutz- Landtiere, ausgenommen zur Verfütterung an Pelztiere, genehmigen, sofern kein unannehmbares Risiko der Übertragung von Krankheiten auf Mensch oder Tier besteht:

  1. tierische Nebenprodukte und Folgeprodukte von Wassertieren,
  2. wirbellose Wassertiere und Folgeprodukte aus wirbellosen Wassertieren,
  3. wirbellose Landtiere, einschließlich ihrer Verwandlungsformen wie zum Beispiel Larven, sowie aus diesen gewonnene Folgeprodukte,
  4. von den unter den Buchstaben a, b und c genannten Tieren erzeugte Produkte, zum Beispiel Fischeier,
  5. Material der Kategorie 3, das Tiere und Teile von Tieren der Ordnungen Rodentia and Lagomorpha umfasst.

2. Für die Einfuhr von Sendungen mit Material gemäß Nummer 1 müssen Veterinärbescheinigungen gemäß den nationalen Bestimmungen vorgelegt werden.

Kapitel V
Vorschriften für die Ausfuhr bestimmter Folgeprodukte
17 20 21 21a 23

Vorschriften für die Ausfuhr der nachstehend aufgeführten Folgeprodukte gemäß Artikel 25 Absatz 4:

Folgeprodukte Vorschriften für die Ausfuhr
1 Verarbeitete Gülle;
organische Düngemittel, Kompost oder Fermentationsrückstände aus der Biogas-Umwandlung, die keine anderen tierischen Nebenprodukte oder Folgeprodukte als verarbeitete Gülle enthalten;
verarbeitetes tierisches Protein, das verarbeitete Gülle als Mischkomponente enthält, oder Fleisch- und Knochenmehl aus Material der Kategorie 2, das verarbeitete Gülle als Mischkomponente enthält
Die folgenden Folgeprodukte müssen mindestens die Bedingungen gemäß Anhang XI Kapitel I Abschnitt 2 Buchstaben a, b, d und e erfüllen:
  • Verarbeitete Gülle;
  • organische Düngemittel, Kompost oder Fermentationsrückstände aus der Biogas-Umwandlung, die keine anderen tierischen Nebenprodukte oder Folgeprodukte als verarbeitete Gülle enthalten;
  • verarbeitete Gülle als Mischkomponente in verarbeitetem tierischem Protein oder Fleisch- und Knochenmehl aus Material der Kategorie 2.

Stand: VO (EU) 2021/1929

2 Blutprodukte und Zwischenprodukte Blut, Blutprodukte und Zwischenprodukte, die in der EU hergestellt oder gemäß den in Anhang XII oder Kapitel II Abschnitte 2 und 3 dieses Anhangs festgelegten Gesundheitsanforderungen zurVerwendung außerhalb der Futtermittelkette für Nutztiere bestimmt sind, sofern sie den Einfuhranforderungen des Bestimmungsdrittlandes entsprechen.
3 Fleisch- und Knochenmehl aus Material der Kategorie 1. Fleisch- und Knochenmehl aus Material der Kategorie 1, das als Brennstoff bestimmt ist, darf nur unter folgenden Bedingungen aus Irland in das Vereinigte Königreich * ausgeführt werden:
  1. Die zuständige Behörde Irlands hat die Ausfuhr in die Verbrennungsanlage im Vereinigten Königreich spätestens am 30. Juni 2025 genehmigt, sofern die Verbringung von zur Beseitigung bestimmtem Fleisch- und Knochenmehl aus Material der Kategorie 1 aus jenem Mitgliedstaat vor dem 1. Januar 2021 unter den Bedingungen nach Artikel 6 Absätze 6, 7 und 8 erfolgt ist;
  2. die Bestimmungsverbrennungsanlage ist in der vom Vereinigten Königreich erteilten Einfuhrgenehmigung für die Verbrennung von eingeführtem Fleisch- und Knochenmehl aus Material der Kategorie 1 zugelassen;
  3. das Fleisch- und Knochenmehl aus Material der Kategorie 1
    • wurde ausschließlich aus der Verarbeitung nach der in Anhang IV Kapitel III genannten Verarbeitungsmethode 1 (Drucksterilisation) 2, 3, 4 oder 5 gewonnen,
    • ist nach Anhang VIII Kapitel V gekennzeichnet;
  4. die Sendung von Fleisch- und Knochenmehl wird in verplombten Containern direkt von dem Verarbeitungs- oder dem Lagerbetrieb gemäß Artikel 24 Absatz 1 Buchstabe a oder j Ziffer ii der Verordnung (EG) Nr. 1069/2009 zur Verbrennungsanlage am Bestimmungsort versandt;
  5. die Unternehmer legen Sendungen von Fleisch- und Knochenmehl der Ausgangsgrenzkontrollstelle vor;
  6. die zuständige Behörde der Ausgangsgrenzkontrollstelle führt bei den Sendungen gemäß Buchstabe e amtliche Kontrollen durch, insbesondere hinsichtlich der Unversehrtheit der Plombe.
    Ist die Plombe verletzt, gelten die Bestimmungen von Artikel 138 Absatz 2 Buchstaben d und g der Verordnung (EU) 2017/625 des Europäischen Parlaments und des Rates **;
  7. die zuständige Behörde der Grenzkontrollstelle informiert mittels TRACES die in Feld I.4 des Handelspapiers angegebene zuständige Behörde über die Ankunft der Sendung an der Ausgangsstelle und gegebenenfalls über das Ergebnis der Plombenüberprüfung sowie über eventuell getroffene Abhilfemaßnahmen.
    Die für den Ursprungsverarbeitungsbetrieb zuständige Behörde führt risikobasierte amtliche Kontrollen durch, um zu überprüfen, ob Absatz 1 eingehalten ist und ob für jede Sendung von Fleisch- und Knochenmehl die Bestätigung der an der Ausgangsstelle durchgeführten Kontrolle von der zuständigen Behörde der Grenzkontrollstelle über TRACES eingegangen ist.

Bei Verstößen kann die zuständige Behörde die Verbringung einer Sendung von Fleisch- und Knochenmehl aus Material der Kategorie 1, die als Brennstoff bestimmt ist, gemäß Artikel 138 Absatz 2 Buchstabe d der Verordnung (EU) 2017/625 untersagen.

Stand: VO (EU) 2021/899

4 Organische Düngemittel und Bodenverbesserungsmittel, die Fleisch- und Knochenmehl aus Material der Kategorie 2 enthalten Organische Düngemittel und Bodenverbesserungsmittel, die in Anhang XI Kapitel II Abschnitt 1 Nummern 1, 2, 3 und 5 genanntes Fleisch- und Knochenmehl aus Material der Kategorie 2 enthalten, die darin enthaltenen Anforderungen erfüllen und in Endverpackungen mit einem Gewicht von höchstens 50 kg zur Verwendung durch den Endverbraucher verpackt sind, mit einem Gehalt von
  1. höchstens 90 % Fleisch- und Knochenmehl aus Material der Kategorie 2;
  2. mindestens 10 Volumenprozent verarbeiteter Gülle, verarbeitetem Urin, Kalk, mineralischen Düngemitteln oder anderen Mischkomponenten, wie in Anhang XI Kapitel II Abschnitt 1 Nummer 3 Buchstabe b genannt.

Stand: VO (EU) 2021/1929

*) Im Einklang mit dem Abkommen über den Austritt des Vereinigten Königreichs Großbritannien und Nordirland aus der Europäischen Union und der Europäischen Atomgemeinschaft und insbesondere nach Artikel 5 Absatz 4 des Protokolls zu Irland/Nordirland in Verbindung mit Anhang 2 dieses Protokolls gelten für die Zwecke dieses Anhangs Bezugnahmen auf das Vereinigte Königreich nicht für Nordirland.

**) Verordnung (EU) 2017/625 des Europäischen Parlaments und des Rates vom 15. März 2017 über amtliche Kontrollen und andere amtliche Tätigkeiten zur Gewährleistung der Anwendung des Lebens- und Futtermittelrechts und der Vorschriften über Tiergesundheit und Tierschutz, Pflanzengesundheit und Pflanzenschutzmittel, zur Änderung der Verordnungen (EG) Nr. 999/2001, (EG) Nr. 396/2005, (EG) Nr. 1069/2009, (EG) Nr. 1107/2009, (EU) Nr. 1151/2012, (EU) Nr. 652/2014, (EU) 2016/429 und (EU) 2016/2031 des Europäischen Parlaments und des Rates, der Verordnungen (EG) Nr. 1/2005 und (EG) Nr. 1099/2009 des Rates sowie der Richtlinien 98/58/EG, 1999/74/EG, 2007/43/EG, 2008/119/EG und 2008/120/EG des Rates und zur Aufhebung der Verordnungen (EG) Nr. 854/2004 und (EG) Nr. 882/2004 des Europäischen Parlaments und des Rates, der Richtlinien 89/608/EWG, 89/662/EWG, 90/425/EWG, 91/496/EWG, 96/23/EG, 96/93/EG und 97/78/EG des Rates und des Beschlusses 92/438/EWG des Rates (Verordnung über amtliche Kontrollen) (ABl. L 95 vom 07.04.2017 S. 1).

Kapitel VI
Anforderungen an den Eingang von Sendungen von tierischen Nebenprodukten und Folgeprodukten, die ihren Ursprung in der Union haben und in die Union zurückkehren, nachdem ihnen der Eingang in ein Drittland verwehrt wurde
20

Abschnitt 1
Unverpackte oder lose tierische Nebenprodukte und Folgeprodukte, die ihren Ursprung in der Union haben und in die Union zurückkehren, nachdem ihnen von einem Drittland bzw. Teil eines Drittlands, das bzw. der nicht in Anhang XIV aufgeführt ist, der Eingang verweigert wurde
20

1. Die zuständige Behörde an der Grenzkontrollstelle genehmigt nur dann den Eingang in die Union von unverpackten oder losen tierischen Nebenprodukten und Folgeprodukten, die ihren Ursprung in der Union haben und in die Union zurückkehren, nachdem ihnen von einem Drittland bzw. Teil eines Drittlands, das bzw. der nicht in Anhang XIV aufgeführt ist, der Eingang verweigert wurde, wenn folgende Bedingungen erfüllt sind:

  1. der Sendung liegt das amtliche Zertifikat oder die amtliche Bescheinigung, die von der zuständigen Behörde des Ausfuhrmitgliedstaats ausgestellt wurde, entweder als Original, als beglaubigte Kopie oder als eine über das IMSOC 1 ausgestellte elektronische Entsprechung bei;
  2. der Sendung liegt eine Erklärung der zuständigen Behörde des Bestimmungsmitgliedstaats bei, in der sie sich bereit erklärt, die Sendung anzunehmen, und den Bestimmungsort angibt;
  3. die Sendung erfüllt die beiden folgenden Bedingungen:
    1. die Sendung ist weiterhin mit dem intakten ursprünglichen Siegel versiegelt, wenn in der in Nummer 1 Buchstabe a genannten ursprünglichen Bescheinigung oder in einem anderen von einer Behörde in der Union ausgestellten amtlichen Dokument ein Siegel erwähnt wurde;
    2. der Sendung liegt eine amtliche Erklärung mit Angabe der Gründe für die Ablehnung des Eingangs bei, das von der zuständigen Behörde oder einer anderen Behörde des Drittlandes ausgestellt wurde, welches den Eingang der Sendung verweigert hatte;

2. Wurde abweichend von Nummer 1 Buchstabe a die Sendung ohne begleitende amtliche Bescheinigung oder begleitendes amtliches Dokument ausgeführt, erfolgt die Authentifizierung der Sendung in anderer Weise auf der Grundlage von Unterlagen, die von dem für die Sendung verantwortlichen Unternehmen bereitgestellt wurden.

3. Die Beförderung von Sendungen von unter Nummer 1 genannten Produkten von der Grenzkontrollstelle bis zum Bestimmungsort wird gemäß Artikel 2 der Delegierten Verordnung (EU) 2019/1666 überwacht.

Abschnitt 2
Unverpackte oder lose tierische Nebenprodukte und Folgeprodukte, die ihren Ursprung in der Union haben und in die Union zurückkehren, nachdem ihnen von einem in Anhang XIV Drittland bzw. Teil eines Drittlands, das bzw. der in Anhang XIV aufgeführt ist, der Eingang verweigert wurde
20

1. Die zuständige Behörde an der Grenzkontrollstelle genehmigt nur dann den Eingang in die Union von unverpackten oder losen tierischen Nebenprodukten und Folgeprodukten, die ihren Ursprung in der Union haben und in die Union zurückkehren, nachdem ihnen von einem Drittland bzw. Teil eines Drittlands, das bzw. der in Anhang XIV aufgeführt ist, der Eingang verweigert wurde, wenn die unter Abschnitt 1 Nummer 1 Buchstaben a, b und c Ziffer ii sowie unter den Nummern 2 und 3 genannten Bedingungen erfüllt sind.

2. Wurden die unter Nummer 1 genannten Produkte entladen, gelagert oder umgeladen, oder wurde das Originalsiegel beim Eingang in das Drittland oder in einen Teil seines Hoheitsgebiets, das bzw. der in Anhang XIV aufgeführt ist, ersetzt, so wird der Sendung eine amtliche Erklärung der zuständigen Behörde oder einer anderen Behörde des betreffenden Drittlandes oder Gebiets beigefügt:

  1. in der Ort und Datum der Entladung, der Lagerung und des Umladens sowie die Nummer des nach dem Umladen am Container angebrachten Siegels angegeben sind;
  2. in der bestätigt wird, dass:
    1. das Originalsiegel am Beförderungsmittel oder am Container der Sendung nur für amtliche Kontrollen aufgebrochen wurde;
    2. die Produkte nur soweit erforderlich behandelt wurden, insbesondere
      • bei geeigneten Temperaturen für die jeweilige Art tierischer Nebenprodukte oder Folgeprodukte und
      • dergestalt, dass eine Kreuzkontamination der Produkte während der Kontrollen ausgeschlossen ist;
    3. das Beförderungsmittel oder der Container nach den amtlichen Kontrollen unverzüglich wieder versiegelt wurde;
  3. und in der die Gründe für das Entladen und die Lagerung angegeben sind.

Abschnitt 3
Verpackte tierische Nebenprodukte und Folgeprodukte, die ihren Ursprung in der Union haben und in die Union zurückkehren, nachdem ihnen der Eingang in ein Drittland verwehrt wurde
20

1. Die zuständige Behörde an der Grenzkontrollstelle genehmigt nur dann den Eingang in die Union von verpackten tierischen Nebenprodukten und Folgeprodukten, die ihren Ursprung in der Union haben und in die Union zurückkehren, nachdem ihnen von einem Drittland der Eingang verweigert wurde, wenn die in Abschnitt 1 genannten Bedingungen erfüllt sind und die individuelle Verpackung der Produkte im Vergleich zu ihrem Zustand vor der Ausfuhr unversehrt geblieben ist.

2. Wurden die unter Nummer 1 genannten Produkte in einem Drittland entladen, muss der Sendung eine amtliche Erklärung der zuständigen Behörde oder einer anderen Behörde beiliegen, in der Folgendes bestätigt wird:

  1. die Produkte wurden keiner anderen Behandlung als der Entladung, Lagerung und Umladung unterzogen;
  2. die Produkte wurden bei geeigneten Temperaturen für die jeweilige Art tierischer Nebenprodukte oder Folgeprodukte behandelt.


1) Durchführungsverordnung (EU) 2019/1715 der Kommission vom 30. September 2019 mit Vorschriften zur Funktionsweise des Informationsmanagementsystems für amtliche Kontrollen und seiner Systemkomponenten ("IMSOC -Verordnung") (ABl. L 261 vom 14.10.2019 S. 37).

.

Muster-Veterinärbescheinigungen Anhang XV17 19 21 25

Die Muster-Veterinärbescheinigungen in diesem Anhang gelten für die Einfuhr in und die Durchfuhr durch die Europäische Union der in den jeweiligen Muster-Veterinärbescheinigungen bezeichneten tierischen Nebenprodukte und Folgeprodukte aus Drittländern

Erläuterungen

a) Das ausführende Drittland stellt die Veterinärbescheinigungen nach den im vorliegenden Anhang für die betreffenden tierischen Nebenprodukte vorgesehenen Mustern aus. Sie enthalten (in der im Muster vorgegebenen Reihenfolge) die für das betreffende Drittland erforderlichen Bescheinigungen und umfassen gegebenenfalls die für das Ausfuhrdrittland oder für einen Teil des Ausfuhrdrittlandes erforderlichen zusätzlichen Garantien.

b) Wenn aus der Muster-Veterinärbescheinigung hervorgeht, dass bestimmte Teile gegebenenfalls zu streichen sind, kann der/die Bescheinigungsbefugte nichtzutreffende Passagen durchstreichen, mit seinen/ihren Initialen versehen und stempeln, oder die entsprechenden Passagen werden vollständig aus der Veterinärbescheinigung entfernt.

c) Das Bescheinigungsoriginal besteht aus einem einzelnen, beidseitig bedruckten Blatt oder, falls mehr Text erforderlich ist, aus mehreren Blättern, die alle ein zusammenhängendes, untrennbares Ganzes bilden müssen.

d) Die Bescheinigung ist in mindestens einer der Amtssprachen des Mitgliedstaats, in dem die Grenzkontrolle stattfindet, und des Bestimmungsmitgliedstaates auszustellen. Diese Mitgliedstaaten können jedoch andere Gemeinschaftssprachen als ihre eigenen zulassen, wobei gegebenenfalls eine amtliche Übersetzung beiliegen muss.

e) Werden der Bescheinigung zwecks Identifizierung der die Sendung ausmachenden Waren weitere Blätter beigefügt, so gelten auch diese als Teil des Bescheinigungsoriginals, und jedes einzelne dieser Blätter muss mit Unterschrift und Stempel des/der bescheinigungsbefugten amtlichen Tierarztes/Tierärztin versehen sein.

f) Umfasst die Bescheinigung, einschließlich zusätzlicher Stückverzeichnisse gemäß Buchstabe e, mehrere Seiten, so ist jede Seite am Seitenende mit einer Nummerierung - (Seitenzahl) von (Gesamtseitenzahl) - und am Seitenkopf mit der von der zuständigen Behörde zugeteilten Codenummer zu versehen.

g) Das Bescheinigungsoriginal ist von einem amtlichen Tierarzt/einer amtlichen Tierärztin auszufüllen und zu unterzeichnen. Dabei tragen die zuständigen Behörden des Ausfuhrlandes dafür Sorge, dass die angewandten Bescheinigungsvorschriften den diesbezüglichen Vorschriften der Richtlinie 96/93/EG gleichwertig sind.

h) Die Unterschrift muss sich farblich von der Druckfarbe der Bescheinigung abheben. Diese Vorschrift gilt auch für Amtssiegel, bei denen es sich nicht um Trockenstempel oder ein Wasserzeichen handelt.

i) Das Bescheinigungsoriginal muss die Sendung bis zur Ankunft an der Grenzkontrollstelle der Union begleiten.

j) Werden Veterinärbescheinigungen für die Durchfuhr von Sendungen verwendet, sind in Feld I.5. ("Empfänger") der Bescheinigung Name und Anschrift der Grenzkontrollstelle anzugeben, an der die Sendung die Europäische Union bestimmungsgemäß verlässt.

Kapitel 1
Veterinärbescheinigung
17 19

für die Einfuhr in oder die Durchfuhr durch 2 die Europäische Union von nicht zum menschlichen Verzehr bestimmtem verarbeitetem tierischem Protein, ausgenommen solches aus Nutzinsekten, einschließlich solches verarbeitetes tierisches Protein enthaltende Mischungen und Produkte, ausgenommen Heimtierfutter

Kapitel 1a
Veterinärbescheinigung
17 19 25

für die Einfuhr in oder die Durchfuhr durch2die Europäische Union von nicht zum menschlichen Verzehr bestimmtem verarbeitetem tierischem Protein aus Nutzinsekten, einschließlich solches Protein enthaltende Mischungen und Produkte, ausgenommen Heimtierfutter

Kapitel 2(A)
Veterinärbescheinigung
19

für die Einfuhr in oder die Durchfuhr durch 2 die Europäische Union von Milch, Erzeugnissen auf Milchbasis und aus Milch gewonnenen Erzeugnissen, die nicht zum menschlichen Verzehr bestimmt sind

Kapitel 2(B)
Veterinärbescheinigung
19

für die Einfuhr in oder die Durchfuhr durch 2 die Europäische Union von Kolostrum und Kolostrumerzeugnissen von Rindern, das/die nicht zum menschlichen Verzehr bestimmt ist/sind

Kapitel 3(A)
Veterinärbescheinigung
19

für die Einfuhr in oder die Durchfuhr durch 2 die Europäische Union von Heimtierfutter in Dosen

Kapitel 3(B)
Veterinärbescheinigung
13 19

für die Einfuhr in oder die Durchfuhr durch 2 die Europäische Union von verarbeitetem Heimtierfutter, ausgenommen Heimtierfutter in Dosen

Kapitel 3(C)
Veterinärbescheinigung
19

für die Einfuhr in oder Durchfuhr durch 2 die Europäische Union von Kauspielzeug

Kapitel 3(D)
Veterinärbescheinigung
13 13a 19

für die Einfuhr in oder die Durchfuhr durch 2 die Europäische Union von rohem Heimtierfutter für den Direktverkauf oder von tierischen Nebenprodukten zur Verfütterung an Pelztiere

Kapitel 3(E)
Veterinärbescheinigung
19

die Einfuhr in oder die Durchfuhr durch (2) die Europäische Union von geschmacksverstärkenden Fleischextrakten zur Verwendung bei der Herstellung von Heimtierfutter

Kapitel 3(F)
Veterinärbescheinigung
13 13a 19 21

für die Einfuhr in oder die Durchfuhr durch2 die Europäische Union von tierischen Nebenprodukten3 für die Herstellung von Heimtierfutter

Kapitel 4(A)
Veterinärbescheinigung
13

für die Einfuhr in oder die Durchfuhr durch (2) die Europäische Union von Blut und Blutprodukten von Equiden für Verwendungszwecke außerhalb der Futtermittelkette


Kapitel 4(B)
Veterinärbescheinigung
15 19

für die Einfuhr in oder die Durchfuhr durch 2 die Europäische Union von nicht zum menschlichen Verzehr bestimmten Blutprodukten, die als Einzelfuttermittel verwendet werden könnten

Kapitel 4(C)
Veterinärbescheinigung
13 19

für die Einfuhr in oder die Durchfuhr durch 2 die Europäische Union von unbehandelten Blutprodukten, ausgenommen von Equiden, zur Herstellung von Folgeprodukten für Verwendungszwecke außerhalb der Futtermittelkette für Nutztiere

Kapitel 4(D)
Veterinärbescheinigung
13 19

für die Einfuhr in oder die Durchfuhr durch 2 die Europäische Union von behandelten Blutprodukten, ausgenommen von Equiden, zur Herstellung von Folgeprodukten für Verwendungszwecke außerhalb der Futtermittelkette für Nutztiere

Kapitel 5(A)
Veterinärbescheinigung

für die Einfuhr in oder die Durchfuhr durch (2) die Europäische Union von frischen oder gekühlten Häuten und Fellen von Huftieren

Kapitel 5(B)
Veterinärbescheinigung

für die Einfuhr in oder die Durchfuhr durch (2) die Europäische Union von behandelten Häuten und Fellen von Huftieren

Kapitel 5(C)
Amtliche Erklärung

für die Einfuhr in oder die Durchfuhr durch (1) die Europäische Union behandelter Häute und Felle von Wiederkäuern und Equiden, die vor der Einfuhr 21 Tage lang getrennt gehalten wurden oder mindestens 21 Tage ohne Unterbrechung befördert werden

Kapitel 6(A)
Veterinärbescheinigung
13

für die Einfuhr in und die Durchfuhr durch (2) die Europäische Union von behandelten Jagdtrophäen und anderen Präparaten von Feder- und Schalenwild, die ausschließlich aus Knochen, Hörnern, Hufen, Klauen, Geweihen, Zähnen, Häuten oder Fellen bestehen


Kapitel 6(B)
Veterinärbescheinigung
19

für die Einfuhr in oder die Durchfuhr durch 2 die Europäische Union von aus ganzen Tierkörperteilen bestehenden unbehandelten Jagdtrophäen und anderen Präparaten von Feder- und Schalenwild

Kapitel 7(A)
Veterinärbescheinigung

für die Einfuhr in und die Durchfuhr durch (2) die Europäische Union von Schweinsborsten aus Drittländern oder Drittlandgebieten, in denen die afrikanische Schweinepest nicht vorkommt

Kapitel 7(B)
Veterinärbescheinigung

für die Einfuhr in und die Durchfuhr durch (2) die Europäische Union von Schweinsborsten aus Drittländern oder Drittlandgebieten, in denen die afrikanische Schweinepest vorkommt

Kapitel 8
Veterinärbescheinigung
13 13a 19 21

für die Einfuhr in oder die Durchfuhr durch2 die Europäische Union von tierischen Nebenprodukten zur Verwendung außerhalb der Futtermittelkette oder als Handelsmuster2

Kapitel 9
Veterinärbescheinigung

für die Einfuhr in und die Durchfuhr durch (2) die Europäische Union von nicht zum menschlichen Verzehr bestimmtem Fischöl zur Verwendung als Futtermittel-Ausgangserzeugnis oder für Verwendungszwecke außerhalb der Futtermittelkette

Kapitel 10(A)
Veterinärbescheinigung
19

für die Einfuhr in oder die Durchfuhr durch 2 die Europäische Union von nicht zum menschlichen Verzehr bestimmten ausgeschmolzenen Fetten, zur Verwendung als Einzelfuttermittel

Kapitel 10(B)
Veterinärbescheinigung
13 19 21

für die Einfuhr in oder die Durchfuhr durch2 die Europäische Union von nicht zum menschlichen Verzehr bestimmten ausgeschmolzenen Fetten, für bestimmte Verwendungszwecke außerhalb der Futtermittelkette

Kapitel 11
Veterinärbescheinigung
13 19

für die Einfuhr in oder die Durchfuhr durch 2 die Europäische Union von nicht zum menschlichen Verzehr bestimmter Gelatine/bestimmtem Kollagen zur Verwendung als Einzelfuttermittel oder für Verwendungszwecke außerhalb der Futtermittelkette

Kapitel 1219
Veterinärbescheinigung

für die Einfuhr in oder die Durchfuhr durch 2 die Europäische Union von nicht zum menschlichen Verzehr bestimmtem hydrolisiertem Protein, Dicalciumphosphat und Tricalciumphosphat zur Verwendung als Einzelfuttermittel oder für Verwendungszwecke außerhalb der Futtermittelkette

Kapitel 13
Veterinärbescheinigung

für die Einfuhr in und die Durchfuhr durch (2) die Europäische Union von ausschließlich zur Verwendung in der Imkerei bestimmten Imkerei-Nebenprodukten

Kapitel 14(A)13
Veterinärbescheinigung

für die Einfuhr in oder die Durchfuhr durch (2) die Europäische Union von nicht zum menschlichen Verzehr bestimmten Fettderivaten, zur Verwendung außerhalb der Futtermittelkette


Kapitel 14(B)
Veterinärbescheinigung

für die Einfuhr in oder die Durchfuhr durch (2) die Europäische Union von nicht zum menschlichen Verzehr bestimmten Fettderivaten, zur Verwendung als Futtermittel oder außerhalb der Futtermittelkette

Kapitel 1513
Veterinärbescheinigung

für die Einfuhr in oder die Durchfuhr durch (2) die Europäische Union von nicht zum menschlichen Verzehr bestimmten Eiprodukten, die als Futtermittel-Ausgangserzeugnisse verwendet werden können

Kapitel 16
Mustererklärung

Erklärung des Eiführers/der Einführerin von Knochen und Knochenprodukten (ausgenommen Knochenmehrl), Hörnern und Hornprodukten (ausgenommen Hornmehl) sowie Hufen und Hufprodukten (ausgenommen Hufmehl), die nicht zur Verwendung als Futtermittel-Ausgangserzeugnisse, organische Düngemittel oder Bodenverbesserungesmittel bestimmt sind, in die Europäische Union.

Hinweis für den Einführer/ie Einführerin: Diese Erklärung dient ausschließlich Veterinärzwecken und muß die Sendung bis zur Grenzkontrollstelle begleiten.

Der/Die Unterzeichente erklärt, dass die nachstehend bezeichneten Produkte (1):

a) Knochen und Knochenprodukte(ausgenommen Knochenmehl),

b) Hörner und Hornprodukte (ausgenommen Hornmehl),

c) Hufe und Hufprodukte (ausgenommen Hufmehl)

dazu bestimmt sind, von ihm/ihr in die Union eingeführt zu werden, jedoch zu keinem Zeitpunkt in Lebensmitteln, Futtermitteln, organischen Düngemitteln oder Bodenverbesserungsmitteln verwendet werden, und dass sie auf direktem Wege zur weiteren Verarbeitung bzw. Behandlung gesendet werden an:

Name ................................................................. Adresse .....................................................................

Außerdem erkläre ich, dass das Produkt weder spezifiziertes Risikomaterial im Sinne des Anhangs V der Verordnung (EG) Nr. 999/2001 noch Separatorenfleisch von Knochen von Rindern, Schafen oder Zeigen enthält und auch nicht aus solchem Material oder solchem Fleisch gewonnen wurde.

Der Einführer

Name ................................................................. Adresse ..................................................................................

Geschehen zu .................................................... am ............................................................................................
(Ort) (Datum)

Unterschrift ..................................................

Bezugsnummer wie im Gemeinsamen Veterinärdokument für die Einfuhr (GVDE) gemäß Anhang III der Verordnung (EG) Nr. 136/2004 der Kommission angegeben:

................................................................................................................................................................................

Amtssiegel der Grenzkontrollstelle am Ort des Eingangs ins Hoheitsgebiet der Europäischen Union (2)

Unterschrift ..............................................................................................................................................................
(Unterschrift des amtlichen Tierarztes/der amtlichen Tierärztin der Grenzkontrollstelle) (2)

Name ......................................................................................................................................................................
(Name in Großbuchstaben)

Kapitel 17
Veterinärbescheinigung
25

für die Einfuhr in die oder die Durchfuhr durch2 die Europäische Union von verarbeiteter Gülle, aus dieser gewonnenen Folgeprodukten, verarbeitetem Insektenkot und verarbeitetem Guano von Fledermäusen

Kapitel 18
Veterinärbescheinigung
19

für die Einfuhr in oder die Durchfuhr durch 2 die Europäische Union von Hörnern und Hornprodukten (außer Hornmehl) sowie Hufen und Hufprodukten (außer Hufmehl), die zur Herstellung organischer Düngemittel oder Bodenverbesserungsmittel bestimmt sind

Kapitel 19
Veterinärbescheinigung

für die Einfuhr in die Europäische Union von nicht zum menschlichen Verzehr bestimmter Gelatine zur Verwendung in der Fotoindustrie

Kapitel 2015 19
Mustererklärung

Erklärung für die Einfuhr aus Drittländern und die Durchfuhr durch 2 die Europäische Union von Zwischenprodukten, die zur Herstellung von Arzneimitteln, Tierarzneimitteln, Medizinprodukten für ärztliche und tierärztliche Zwecke, aktiven implantierbaren medizinischen Geräten, In-vitro-Diagnostika für ärztliche und tierärztliche Zwecke, Laborreagenzien und kosmetischen Mittel bestimmt sind

Kapitel 21
Mustererklärung

Erklärung des Einführers unbehandelter Wolle und unbehandelter Haare gemäß Artikel 25 Absatz 2 Buchstabe e für die Einfuhr in die Europäische Union

.

Amtliche Kontrollen Anhang XVI14

Kapitel I
Amtliche Kontrollen in Verarbeitungsbetrieben

Abschnitt 1
Überwachung der Produktion

1. Die zuständige Behörde überwacht die Verarbeitungsbetriebe, um sicherzustellen, dass die Anforderungen der Verordnung (EG) Nr. 1069/2009 und der vorliegenden Verordnung eingehalten werden.

Sie

  1. kontrolliert:
    1. die allgemeine Betriebs-, Ausrüstungs- und Personalhygiene;
    2. die Wirksamkeit der Eigenkontrollen durch den Betreiber des Verarbeitungsbetriebs gemäß Artikel 28 der Verordnung (EG) Nr. 1069/2009; diese Kontrollen müssen die Prüfung der Ergebnisse der Kontrollen und erforderlichenfalls Probenahmen umfassen;
    3. die wirksame Anwendung des ständigen schriftlichen Verfahrens auf Grundlage der HACCP-Grundsätze gemäß Artikel 29 Absatz 1 der Verordnung (EG) Nr. 1069/2009; diese Kontrollen müssen die Prüfung der Ergebnisse dieser Anwendung und erforderlichenfalls Probenahmen umfassen;
    4. die Beschaffenheit der Produkte nach der Verarbeitung; die dazu erforderlichen Analysen und Untersuchungen sind nach wissenschaftlich anerkannten Methoden durchzuführen, wie sie insbesondere in den Unionsvorschriften festgelegt sind, oder - falls keine solchen Methoden in Unionsvorschriften existieren -, in Einklang mit anerkannten internationalen Normen oder, falls auch solche nicht existieren, mit nationalen Normen; und
    5. die Lagerungsbedingungen;
  2. entnimmt die für Laboranalysen erforderlichen Proben; und
  3. führt andere Kontrollen durch, die sie zur Sicherstellung der Einhaltung der Verordnung (EG) Nr. 1069/2009 und der vorliegenden Verordnung für erforderlich hält.

2. Die zuständige Behörde muss zu allen Bereichen des Verarbeitungsbetriebs sowie zu Büchern, Handelspapieren und Veterinärbescheinigungen jederzeit freien Zugang haben, um die ihr nach Nummer 1 obliegenden Aufgaben wahrnehmen zu können.

Abschnitt 2
Validierungsverfahren

1. Vor Erteilung einer Zulassung für einen Verarbeitungsbetrieb gemäß Artikel 44 Absatz 1 der Verordnung (EG) Nr. 1069/2009 hat die zuständige Behörde zu prüfen, ob der Unternehmer eine Validierung des Verarbeitungsbetriebs gemäß den folgenden Verfahren und Indikatoren durchgeführt hat:

  1. Prozessbeschreibung anhand eines Flussdiagramms;
  2. Feststellung der kritischen Kontrollpunkte, einschließlich der Materialdurchlaufrate bei kontinuierlicher Arbeitsweise;
  3. Konformität mit den in dieser Verordnung festgelegten besonderen Verarbeitungsanforderungen; und
  4. Erfüllung der folgenden Anforderungen:
    1. Partikelgröße bei Chargenbetrieb unter Dampfdruckbedingungen und kontinuierlicher Arbeitsweise, wobei sich die Partikelgröße nach der Größe des Scheibenlochs oder der Spaltweite des Brechers richtet;
    2. Temperatur, Druck, Durchlaufzeit und Durchlaufrate (nur bei kontinuierlicher Arbeitsweise) nach Maßgabe der Nummern 2 und 3.

2. Bei Chargenbetrieb unter Dampfdruckbedingungen ist

  1. die Temperatur anhand eines ständig aktiven Thermoelements zu überwachen und unter Realzeitbedingungen aufzuzeichnen;
  2. der Druck anhand eines ständigen Druckmessers zu überwachen und unter Realzeitbedingungen aufzuzeichnen;
  3. die Durchlaufzeit anhand von Zeit-/Temperatur- und Zeit-/Druck-Diagrammen nachzuweisen.

Thermoelement und Druckmesser sind mindestens einmal jährlich zu kalibrieren.

3. Bei kontinuierlicher Arbeitsweise unter Dampfdruckbedingungen

  1. müssen Temperatur und Druck mit Thermoelementen bzw. einer Infrarotmesspistole überwacht werden und an bestimmten Stellen des Verfahrenssystems müssen Druckmesser so eingesetzt werden, dass die Temperatur- und Druckanforderungen im gesamten kontinuierlichen System oder in einem Systemabschnitt erfüllt sind; Temperatur und Druck sind unter Realzeitbedingungen aufzuzeichnen;
  2. ist die Mindestdurchlaufzeit innerhalb des gesamten maßgeblichen Abschnitts des kontinuierlichen Systems, soweit die Temperatur- und Druckanforderungen erfüllt sind, mittels unlöslicher Markerstoffe (z.B. Mangandioxid) oder nach einer gleichwertigen Methode zu messen und der zuständigen Behörde mitzuteilen.

Die genaue Bestimmung und Kontrolle der Durchlaufrate ist unerlässlich und erfolgt im Rahmen des Validierungstests an einer fortlaufend überwachbaren kritischen Stelle durch Messung:

  1. der Förderschneckenumdrehungen je Minute (min- 1 );
  2. der Stromstärke (Ampere) bei einer bestimmten Spannung;
  3. der Verdunstungs-/Kondensationsrate; oder
  4. der Zahl der Pumpenstöße je Zeiteinheit.

Alle Mess- und Überwachungsgeräte müssen mindestens einmal jährlich kalibriert werden.

4. Die zuständige Behörde muss die Kontrollen der Validierungsverfahren immer dann wiederholen, wenn sie dies für erforderlich hält, in jedem Fall jedoch immer dann, wenn der Verarbeitungsprozess wesentlich geändert wurde (z.B. andere Maschinen oder anderes Rohmaterial).

Kapitel II
Listen der registrierten und zugelassenen Anlagen, Betriebe und Unternehmer

1. Zugang zu den Listen der registrierten und zugelassenen Anlagen, Betriebe und Unternehmer

Um die Mitgliedstaaten bei der Bereitstellung aktueller, den anderen Mitgliedstaaten und der Öffentlichkeit zugänglicher Listen registrierter und zugelassener Anlagen, Betriebe und Unternehmer zu unterstützen, richtet die Kommission eine Website mit Links zu den nach Nummer 2 Buchstabe a erstellten nationalen Websites der einzelnen Mitgliedstaaten ein.

2. Format nationaler Websites

  1. Jeder Mitgliedstaat übermittelt der Kommission die Internet-Adresse einer einzigen nationalen Website, die die Hauptliste sämtlicher registrierter und zugelassener Anlagen, Betriebe und Unternehmer ("Hauptliste") in seinem Hoheitsgebiet enthält.
  2. Die Hauptliste besteht aus einer einzigen Seite und ist in einer oder mehreren Amtssprachen der Union abgefasst.

3. Die Gestaltung der Hauptlisten, einschließlich der einschlägigen Informationen und Codes, erfolgt nach den technischen Spezifikationen, die die Kommission auf ihrer Website veröffentlicht.

Kapitel III
Besondere Vorschriften für amtliche Kontrollen

Abschnitt 1
Amtliche Kontrollen der Kennzeichnung von Folgeprodukten

Die zuständige Behörde führt eine Leistungsprüfung des Überwachungs- und Aufzeichnungssystems gemäß Anhang VIII Kapitel V Nummer 2 der vorliegenden Verordnung durch, um deren Einhaltung zu überprüfen, und kann erforderlichenfalls die Untersuchung zusätzlicher Proben nach der in Absatz 2 der genannten Nummer festgelegten Methode fordern.

Abschnitt 2
Amtliche Kontrollen in Verbrennungsanlagen mit niedriger Kapazität

Die zuständige Behörde hat eine Abfallverbrennungsanlage mit niedriger Kapazität zur Verbrennung spezifizierten Risikomaterials vor deren Zulassung und mindestens einmal jährlich zu inspizieren, um die Einhaltung der Verordnung (EG) Nr. 1069/2009 und der vorliegenden Verordnung zu überwachen.

Abschnitt 3
Amtliche Kontrollen in abgelegenen Gebieten

Im Fall der Beseitigung tierischer Nebenprodukte in entlegenen Gebieten gemäß Artikel 19 Absatz 1 Buchstabe b der Verordnung (EG) Nr. 1069/2009 überwacht die zuständige Behörde in regelmäßigen Abständen die als entlegene Gebiete eingestuften Gebiete, um sicherzustellen, dass diese Gebiete und die Beseitigungsvorgänge ordnungsgemäß kontrolliert werden.

Abschnitt 4
Amtliche Kontrollen in registrierten Pelztierhaltungsbetrieben

1. Die zuständige Behörde ergreift die erforderlichen Maßnahmen zur Kontrolle

  1. der zweckmäßigen Zusammensetzung, Verarbeitung und Verwendung der Fleisch- und Knochenmehl enthaltenden Futtermittel oder anderer Erzeugnisse, die gemäß den in Anhang IV Kapitel III genannten Verarbeitungsmethoden verarbeitet wurden und aus Tierkörpern oder Teilen von Tierkörpern derselben Tierart gewonnen wurden;
  2. dass die Tiere mit den unter Buchstabe a genannten Futtermitteln gefüttert werden; dazu zählt
    1. die strenge Überwachung des Gesundheitszustands dieser Tiere; und
    2. eine geeignete TSE-Überwachung mit regelmäßiger Entnahme von Proben und deren Untersuchung auf TSE.

2. Die in Nummer 1 Buchstabe b Ziffer ii genannten Proben müssen Proben von Tieren umfassen, die neurologische Symptome aufweisen, sowie solche von älteren Zuchttieren.

Abschnitt 5
Amtliche Kontrollen von Sammelstellen

1. Die zuständige Behörde veranlasst Folgendes:

  1. sie nimmt Sammelstellen in die gemäß Artikel 47 Absatz 1 der Verordnung (EG) Nr. 1069/2009 erstellte Liste auf;
  2. sie weist jeder Sammelstelle eine amtliche Nummer zu; und
  3. sie hält die Liste der Sammelstellen auf dem Laufenden und stellt sie zusammen mit der gemäß Artikel 47 Absatz 1 der Verordnung (EG) Nr. 1069/2009 erstellten Liste zur Verfügung.

2. Die zuständige Behörde führt in Sammelstellen amtliche Kontrollen durch, um die Einhaltung der vorliegenden Verordnung zu überprüfen.

Abschnitt 613
Amtliche Kontrollen der Verfütterung von Material der Kategorie 1 an wildlebende Tiere und bestimmte Zootiere

Die zuständige Behörde überwacht den Gesundheitszustand der Nutztiere in der Region, in der gemäß Anhang VI Kapitel II Abschnitte 2, 3 und 4 gefüttert wird, und führt eine angemessene TSE-Überwachung einschließlich regelmäßiger Entnahme von Proben und deren Untersuchung auf TSE durch.

Diese Proben müssen Proben von verdächtigen Tieren umfassen sowie solche von älteren Zuchttieren.

Abschnitt 7
Amtliche Kontrollen der Ausbringung bestimmter organischer Düngemittel und Bodenverbesserungsmittel

Die zuständige Behörde führt Kontrollen entlang der gesamten Herstellungs- und Verwendungskette von organischen Düngemitteln und Bodenverbesserungsmitteln durch, die den Beschränkungen gemäß Anhang II Kapitel II unterliegen.

Bei diesen Kontrollen sind auch die Mischung mit einem in Anhang XI Kapitel II Abschnitt 1 Nummer 2 genannten Bestandteil sowie die Bestände solcher Produkte in landwirtschaftlichen Betrieben und die gemäß der Verordnung (EG) Nr. 1069/2009 und der vorliegenden Verordnung zu führenden Aufzeichnungen zu kontrollieren.

Abschnitt 8
Amtliche Kontrollen zugelassener Fotobetriebe

Die zuständige Behörde führt in den in Anhang XIV Kapitel II Abschnitt 11 Nummer 1 Tabelle 3 genannten zugelassenen Fotobetrieben Dokumentenkontrollen zur Kanalisierungskette von der Grenzkontrollstelle der ersten Einführung bis zu den zugelassenen Fotobetrieben durch, um die Mengen der eingeführten, verwendeten und entsorgten Produkte abzugleichen.

Abschnitt 9
Amtliche Kontrollen bestimmter eingeführter ausgeschmolzener Fette

Die zuständige Behörde führt in den registrierten Betrieben oder Anlagen, die nach Anhang XIV Kapitel II Abschnitt 9 eingeführte ausgeschmolzene Fette annehmen, Dokumentenkontrollen zur Kanalisierungskette von der Grenzkontrollstelle der ersten Einführung bis zum registrierten Betrieb oder der registrierten Anlage durch, um die Mengen der eingeführten, verwendeten und entsorgten Produkte abzugleichen.

Abschnitt 1012 19
Standardformat für Anträge auf bestimmte Genehmigungen im Handel innerhalb der Union

Die Unternehmer informieren unter Verwendung des folgenden Formats in TRACES die zuständige Behörde des Ursprungsmitgliedstaats und beantragen bei der zuständigen Behörde des Bestimmungsmitgliedstaats die Genehmigung des Versands von tierischen Nebenprodukten und von ihren Folgeprodukten gemäß Artikel 48 Absatz 1 der Verordnung (EG) Nr. 1069/2009 sowie von zur Entgiftung bestimmtem Fischöl oder Fischmehl aus Material der Kategorie 3:

Erläuterungen:

Bitte in GROSSBUCHSTABEN ausfüllen.

(1) Zutreffendes bitte ankreuzen.

(2) Im Fall von aus Material der Kategorie 1 hergestelltem Heimtierfutter, das aus tierischen Nebenprodukten von Tieren besteht, die einer vorschriftswidrigen Behandlung gemäß Artikel 1 Absatz 2 Buchstabe d der Richtlinie 96/22/EG oder Artikel 2 Buchstabe b der Richtlinie 96/23/EG unterzogen wurden;

(3) Angabe gemäß Artikel 18 der Verordnung (EG) Nr. 1069/2009.

(4) Gegebenenfalls ausfüllen.

(5) Bitte angeben.

(6) Bitte eine der in Anhang IV Kapitel III der Verordnung (EU) Nr. 142/2011 genannten Verarbeitungsmethoden angeben.

(7) Für die zuständige Behörde: Zutreffendes bitte ankreuzen.

(8) Datum des Ablaufs der Genehmigung einfügen.

Abschnitt 1115
Amtliche Kontrollen in Bezug auf Hydrolyse mit anschließender Beseitigung

Die zuständige Behörde führt an Standorten, an denen Hydrolyse mit anschließender Beseitigung durchgeführt wird, Kontrollen gemäß Anhang IX Kapitel V Abschnitt 2 Buchstabe B durch.

Bei solchen Kontrollen ist zum Zwecke des Abgleichs der versandten und der beseitigten Mengen hydrolisierten Materials eine Dokumentenprüfung vorzunehmen

  1. betreffend die Menge des Materials, das in der Anlage hydrolisiert wird;
  2. in den Betrieben oder Anlagen, in denen hydrolisiertes Material beseitigt wird. Die Kontrollen müssen regelmäßig auf der Grundlage einer Risikoanalyse durchgeführt werden.

Während der ersten zwölf Betriebsmonate ist am Standort des Behälters für die Hydrolyse ein Kontrollbesuch jedes Mal dann durchzuführen, wenn dem Behälter hydrolisiertes Material entnommen wird.

Nach diesen ersten zwölf Betriebsmonaten findet ein solcher Kontrollbesuch jedes Mal dann statt, wenn der Behälter geleert und auf Korrosion und Leckage gemäß Anhang IX Kapitel V Abschnitt 2 Buchstabe B Nummer 3 Buchstabe j untersucht wird.

Abschnitt 1214 17
Amtliche Kontrollen in Bezug auf für die Verbrennung von tierischen Nebenprodukten zugelassene Anlagen

Die zuständige Behörde nimmt in zugelassenen Anlagen gemäß Anhang III Kapitel V im Einklang mit den in Artikel 6 Absatz 7 und Artikel 8 genannten Verfahren Dokumentenprüfungen vor.

ENDE

umwelt-online - Demo-Version


(Stand: 18.07.2025)

Alle vollständigen Texte in der aktuellen Fassung im Jahresabonnement
Nutzungsgebühr: 90.- € netto (Grundlizenz)

(derzeit ca. 7200 Titel s.Übersicht - keine Unterteilung in Fachbereiche)

Preise & Bestellung

Die Zugangskennung wird kurzfristig übermittelt

? Fragen ?
Abonnentenzugang/Volltextversion