umwelt-online: Verordnung (EU) Nr. 582/2011 zur Durchführung und Änderung der VO (EG) Nr. 595/2009 hinsichtlich der Emissionen von schweren Nutzfahrzeugen (Euro VI) und zur Änderung der Anhänge I und III der RL 2007/46/EG (4)

zurück

.

Bewertung der Betriebsleistung des On-Board-Diagnosesystems während der Übergangszeit Anlage 5

1. Allgemeines

1.1 Nachfolgend ist der Prozess beschrieben, der für die Bewertung der Betriebsleistung des OBD-Systems hinsichtlich der Bestimmungen in Abschnitt 6 wahrend der in Artikel 4 Absatz 7 festgelegten Übergangszeit zu befolgen ist.

2. Verfahren zur Bewertung der Betriebsleistung des OBD-Systems

2.1 Die Bewertung der Betriebsleistung wahrend der in Artikel 4 Absatz 7 festgelegten Übergangszeit besteht aus einem Untersuchungsprogramm, das mindestens zwei Betriebsleistungsuntersuchungen beinhaltet, von einer Dauer von jeweils 9 Monaten. Diese beiden Untersuchungen müssen vor dem 1. Juli 2015 abgeschlossen werden.

2.2 Der Hersteller muss mit seiner ersten Untersuchung beginnen, wenn das erste vollständige oder vervollständigte Fahrzeug, das mit einem Motor dieses Herstellers ausgestattet ist und gemäß dieser Verordnung typgenehmigt wurde, in Betrieb genommen wird.

2.3 Die Untersuchungen sind vom Hersteller in enger Zusammenarbeit mit der Genehmigungsbehörde zu organisieren und durchzuführen, die die Typgenehmigung für die betroffenen Fahrzeuge oder Motoren erteilt hat.

2.4 Datenverarbeitung während der in Artikel 4 Absatz 7 festgelegten Übergangszeit

2.4.1. Um das Ziel der in Artikel 4 Absatz 7 festgelegten Übergangszeit hinsichtlich von Verbesserungen bei der Bewertung der Anforderungen an die Betriebsleistung des OBD-Systems, die in Anlage 4 dieses Anhangs festgelegt sind, zu erreichen, muss der Hersteller den Genehmigungsbehörden und der Kommission die folgenden Informationen zur Verfügung stellen:

  1. die IUPR-Daten, die der Hersteller gemäß Abschnitt 6 dieser Anlage vorlegen muss;
  2. zusätzliche OBD-Informationen, die der Hersteller nach dieser Verordnung vorlegen müssen und die als vertraulich erachtet werden können oder nicht;
  3. zusätzliche Daten, die freiwillig vom Hersteller zur Verfügung gestellt werden, um zur Verwirklichung des Ziels der Übergangzeit beizutragen, und die der Hersteller möglicherweise als wirtschaftlich sensibel erachtet.

2.4.2 Die Weitergabe von Informationen, die gemäß den Bestimmungen dieser Verordnung als vertraulich oder wirtschaftlich sensibel gelten und in die in Abschnitt 2.4.1 Buchstabe b oder c genannte Kategorie fallen, an andere Dritte als diejenigen, die in den Abschnitten 2.4.1 und 2.4.3 genannt werden, unterliegt der Zustimmung des Herstellers.

2.4.3 Beispiele dieser Art von Aspekten der ergänzenden Daten, innerhalb der in Abschnitt 2.4.1 Buchstabe c definierten Kategorie, welche vernünftigerweise als wirtschaftlich sensibel erachtet werden könnten, beinhalten Folgendes:

  1. Informationen, die ermöglichen würden, dass die Identität des Fahrzeugs- oder Motorherstellers oder des Fahrzeugbetreibers festgestellt oder hinreichend zuverlässig erschlossen würde;
  2. Informationen zu Messtechniken, die sich in der Entwicklung befinden.

2.5 Anlage 4 Abschnitt 2.4 gilt für die Probleme, die durch fehlerhafte oder nicht übereinstimmende Kommunikationsschnittstellen verursacht werden.

2.6 Motor- oder Fahrzeugtypen, bei denen die Erfassung von Betriebsleistungsdaten die Überwachungsleistung des OBD-Systems beeinflusst, gelten als nicht übereinstimmend.

3. Betriebsleistungsdaten des OBD-Systems

3.1 Die für die Bewertung der Übereinstimmung einer OBD-Motorenfamilie zu untersuchenden Betriebsleistungsdaten des OBD-Systems entsprechen denen, die von dem OBD-System gemäß Anhang 9C Abschnitt 6 der UN/ECE- Regelung Nr. 49 aufgezeichnet werden und gemäß den Anforderungen in Abschnitt 7 des genannten Anhangs zugänglich gemacht werden.

4. Auswahl des Fahrzeugs und des Motors

4.1. Auswahl des Motors

4.1.1 Bei den beiden nach Abschnitt 2.1 erforderlichen Untersuchungen sind jeweils nur eine Motorenfamilie und eine OBD-Motorenfamilie zu betrachten.

4.1.2 Wenn ein Hersteller vor dem 1. Juli 2015 mehr als eine Motorenfamilie oder OBD-Motorenfamilie auf den Markt gebracht hat, müssen die beiden Untersuchungen verschiedene Motorenfamilien bzw. verschiedene OBD-Motorenfamilien abdecken.

4.1.3 Eine der Untersuchungen ist unter Verwendung von Fahrzeugen durchzuführen, die mit Motoren der Motorenfamilie ausgestattet sind, welche nach Informationen des Herstellers nach dem 31. Dezember 2013 voraussichtlich die höchsten Verkaufszahlen haben wird.

4.1.4 Motoren einer einzelnen Motorenfamilie oder OBD-Motorenfamilie können weiterhin derselben Untersuchung unterliegen, auch wenn die Überwachungssysteme, mit denen sie ausgestattet sind, verschiedenen Generationen angehören oder in einem unterschiedlichen Modifikationszustand sind.

4.2. Auswahl des Fahrzeugs

4.2.1 Die Regeln für die Auswahl der Fahrzeuge entsprechen denen in Anlage 4 Abschnitt 4.2 dieses Anhangs.

5. Untersuchungen der Betriebsleistung

5.1. Erfassung von Betriebsleistungsdaten

5.1.1 Die Regeln bezüglich der Erfassung von Betriebsleistungsdaten entsprechen denen, die in Anlage 4 Abschnitt 5.1 angegeben sind.

Unbeschadet der Bestimmungen in Anlage 4 Abschnitt 5.1.2 sind die Ergebnisse der bewerteten Gruppe von Überwachungsfunktionen nicht zu berücksichtigen, wenn für deren Nenner der Mindestwert von 25 nicht erreicht wurde, es sei denn, das Augerachtlassen dieser Daten würde dazu führen, dass für die Probenahme bei der Untersuchung während des Untersuchungszeitraums von 9 Monaten weniger als 10 Fahrzeuge berücksichtigt würden.

5.2. Bewertung der Betriebsleistung

5.2.1 Eine Bewertung der Betriebsleistung ist für jede Gruppe von Überwachungsfunktionen innerhalb der OBD-Motorenfamilie, die in einem Fahrzeugsegment berücksichtigt wird, vorzunehmen.

5.2.2 Das tatsächliche Leistungsverhältnis pro Gruppe von Überwachungsfunktionen für einen einzelnen Motor (IUPRg) ist aus dem Zählerg und dem Nennerg zu berechnen, die von dem in das Fahrzeug eingebauten OBD-System abgerufen wurden.

5.2.3 Die Bewertung der Betriebsleistung der OBD-Motorenfamilie ist gemäß den Bestimmungen in Abschnitt 6.5.1 dieses Anhangs für jede Gruppe von Überwachungsfunktionen innerhalb der in einem Fahrzeugsegment berücksichtigten OBD-Motorenfamilie durchzuführen.

5.2.4 Wird eine der in Abschnitt 6.5.1 dieses Anhangs genannten Bedingungen nicht erfüllt, so ist dies der Genehmigungsbehörde mitzuteilen, und zwar zusammen mit einer Bewertung der Gründe für diese Situation durch den Hersteller und, gegebenenfalls, einem Plan der Maßnahmen, die der Hersteller ergreifen wird, um das Problem für alle Fahrzeuge, die zum ersten Mal in der Union zugelassen sind, spätestens nach Ablauf der Übergangszeit zu beheben.

6. Bericht an die Genehmigungsbehörde und die Kommission

Für jede Untersuchung, die gemäß den Bestimmungen dieser Anlage durchgeführt wurde, muss der Hersteller der Genehmigungsbehörde und der Kommission einen Bericht über die Betriebsleistung der OBD-Motorenfamilie vorzulegen, der die folgenden Informationen enthält:

6.1 Die Liste der bei der Untersuchung geprüften Motorenfamilien und OBD-Motorenfamilien.

6.2. Die folgenden Informationen über die bei der Untersuchung geprüften Fahrzeuge:

  1. Die Zahl der bei der Untersuchung geprüften Fahrzeuge insgesamt;
  2. die Zahl und die Art der Fahrzeugsegmente;
  3. die VIN und eine kurze Beschreibung (Typ-Modell-Version) jedes Fahrzeugs;
  4. das Segment, zu dem ein einzelnes Fahrzeug gehört;
  5. die übliche Betriebsart oder den üblichen Betriebsmodus jedes einzelnen Fahrzeugs;
  6. den Gesamtkilometerstand jedes einzelnen Fahrzeugs und/oder die Gesamtbetriebsstunden des jeweiligen Motors.

6.3. Betriebsleistungsinformationen für jedes Fahrzeug, einschließlich der folgenden Informationen:

  1. den Zählerg, den Nennerg und den Betriebsleistungskoeffizienten (IUPRg) für jede Gruppe von Überwachungsfunktionen;
  2. den Generalnenner, den Wert des Zündzykluszählers, die Motorbetriebsstunden insgesamt.

6.4. Die Ergebnisse der Betriebsleistungsstatistiken, einschließlich der folgenden Ergebnisse:

  1. der Mittelwert der IUPRg-Werte der Stichprobe;
  2. die Zahl und der Prozentsatz der Motoren in der Stichprobe, die über einen IUPRg-Wert verfügen, der gleich oder über IUPRm (min) ist.

.

- gestrichen - Anlage 614

.

EG-Typgenehmigung von emissionsmindernden Einrichtungen für den Austausch als selbstständige technische Einheit Anhang XI12 14 16

1. Einleitung

1.1 Dieser Anhang enthält ergänzende Anforderungen für die Typgenehmigung von emissionsmindernden Einrichtungen für den Austausch als selbstständige technische Einheiten.

2. Allgemeine Anforderungen

2.1. Kennzeichnung

2.1.1. Jede emissionsmindernde Einrichtung für den Austausch muss mindestens folgende Kennzeichnungen tragen:

  1. Herstellername oder Handelsmarke;
  2. Fabrikmarke und Teilenummer der emissionsmindernden Einrichtung für den Austausch, wie in dem Beschreibungsbogen angegeben, der in Übereinstimmung mit dem Muster in Anlage 1 ausgestellt wurde.

2.1.2. Jede emissionsmindernde Original-Einrichtung für den Austausch muss mindestens folgende Kennzeichnungen tragen:

  1. Name oder Handelsmarke des Fahrzeug- oder Motorherstellers;
  2. die Fabrikmarke und die Teilenummer der emissionsmindernden Original-Einrichtung für den Austausch wie in den in Abschnitt 2.3 genannten Informationen angegeben.

2.2. Unterlagen

2.2.1. Jeder emissionsmindernden Einrichtung für den Austausch müssen folgende Informationen beiliegen:

  1. Herstellername oder Handelsmarke;
  2. Fabrikmarke und Teilenummer der emissionsmindernden Einrichtung für den Austausch, wie in dem Beschreibungsbogen angegeben, der in Übereinstimmung mit dem Muster in Anlage 1 ausgestellt wurde;
  3. Angabe der Fahrzeuge oder der Motoren (einschließlich Herstellungsjahr), für die die emissionsmindernde Einrichtung für den Austausch zugelassen ist, und gegebenenfalls die Angabe, ob die emissionsmindernde Einrichtung für den Austausch für den Einbau in ein mit ODB-System ausgestattetes Fahrzeug geeignet ist;
  4. Einbauanweisungen.

Die in diesem Abschnitt genannten Informationen sind in den Produktkatalog aufzunehmen, den der Hersteller der emissionsmindernden Einrichtungen für den Austausch den Verkaufsstellen zur Verfugung stellt.

2.2.2. Jeder emissionsmindernden Original-Einrichtung für den Austausch müssen folgende Informationen beiliegen:

  1. Name oder Handelsmarke des Fahrzeug- oder Motorherstellers;
  2. Fabrikmarke und Teilenummer der emissionsmindernden Original-Einrichtung für den Austausch wie in den in Abschnitt 2.3 genannten Informationen angegeben;
  3. Angabe der Fahrzeuge oder Motoren, für die die emissionsmindernde Original-Einrichtung für den Austausch einem in Anhang I Anlage 4 Abschnitt 3.2.12.2.1 angegebenen Typ entspricht, und gegebenenfalls die Angabe, ob die emissionsmindernde Original-Einrichtung für den Austausch zum Einbau in ein mit ODB- System ausgestattetes Fahrzeug geeignet ist;
  4. Einbauanweisungen.

Die in diesem Abschnitt genannten Informationen sind in den Produktkatalog aufzunehmen, den der Fahrzeug- oder Motorhersteller den Verkaufsstellen zur Verfugung stellt.

2.3 für eine emissionsmindernde Original-Einrichtung für den Austausch muss der Fahrzeug- oder Motorhersteller der Genehmigungsbehörde in elektronischer Form die notwendigen Informationen zur Verfugung stellen, die die Verknüpfung der Teilenummern mit den entsprechenden Typgenehmigungsunterlagen ermöglichen.

Diese Informationen bestehen aus:

  1. Fabrikmarke(n) und Typ(en) des Fahrzeugs oder Motors;
  2. Fabrikmarke(n) und Typ(en) der emissionsmindernden Original-Einrichtung für den Austausch;
  3. Teilenummer(n) der emissionsmindernden Original-Einrichtung für den Austausch;
  4. Typgenehmigungsnummer(n) des/der entsprechenden Fahrzeug- oder Motortyps/Fahrzeug- oder Motortypen.

3. EG-Typgenehmigungszeichen für eine selbstständige technische Einheit13

3.1 Jede emissionsmindernde Einrichtung für den Austausch, die dem nach dieser Verordnung als selbstständige technische Einheit genehmigten Typ entspricht, muss ein EG-Typgenehmigungszeichen tragen.

3.2 Dieses Zeichen besteht aus einem Rechteck, das den Kleinbuchstaben "e" umgibt, gefolgt von der Kennziffer des Mitgliedstaats, der die EG-Typgenehmigung als selbstständige technische Einheit erteilt hat:

1. für Deutschland

2. für Frankreich

3. für Italien

4. für die Niederlande

5. für Schweden

6. für Belgien

7. für Ungarn

8. für die Tschechische Republik

9. für Spanien

11. für das Vereinigte Königreich

12. für Österreich

13. für Luxemburg

17. für Finnland

18. für Dänemark

19. für Rumänien

20. für Polen

21. für Portugal

23. für Griechenland

24. für Irland

25 für Kroatien

26. für Slowenien

27. für die Slowakei

29. für Estland

32. für Lettland

34. für Bulgarien

36. für Litauen

49. für Zypern

50. für Malta

Das EG-Typgenehmigungszeichen muss in der Nahe des Rechtecks die "Basis-Typgenehmigungsnummer" angeben, die Abschnitt 4 der im Anhang VII der Richtlinie 2007/46/EG angeführten Typgenehmigungsnummer entspricht; davor steht die zweistellige laufende Nummer, die die jeweils letzte wesentliche technische Änderung der Verordnung (EG) Nr. 595/2009 oder dieser Verordnung zum Zeitpunkt der Erteilung der EG-Typgenehmigung für eine selbständige technische Einheit angibt. Die laufende Nummer für die vorliegende Verordnung ist 00.

3.3 Das Typgenehmigungszeichen ist auf der emissionsmindernden Einrichtung für den Austausch dauerhaft und deutlich lesbar anzubringen. Nach dem Einbau der emissionsmindernden Einrichtung für den Austausch in das Fahrzeug muss es möglichst sichtbar bleiben.

3.4 Ein Beispiel für das EG-Typgenehmigungszeichen für eine selbstständige technische Einheit befindet sich in Anhang I Anlage 8.

4. Technische Anforderungen

4.1. Allgemeine Anforderungen

4.1.1 Die emissionsmindernde Einrichtung für den Austausch muss so ausgelegt, gebaut sein und montiert werden können, dass der Motor und das Fahrzeug in der Lage sind, die Bestimmungen, die sie ursprünglich eingehalten haben, zu erfüllen. Außerdem müssen die Schadstoffemissionen wahrend der gesamten normalen Lebensdauer des Fahrzeugs unter normalen Benutzungsbedingungen wirksam begrenzt werden.

4.1.2 Die emissionsmindernde Einrichtung für den Austausch muss an der gleichen Stelle wie die emissionsmindernde Einrichtung für die Erstausrüstung eingebaut werden, und die Position der Abgas-, Temperatur- und Druckfühler an der Abgasleitung darf nicht verändert werden.

4.1.3 Weist die emissionsmindernde Einrichtung für die Erstausrüstung Wärmeschutzvorrichtungen auf, so muss auch die emissionsmindernde Einrichtung für den Austausch entsprechende Schutzvorrichtungen haben.

4.1.4 Auf Ersuchen des Antragstellers, der eine Typgenehmigung für das Ersatzteil beantragt, stellt die Typgenehmigungsbehörde, die die ursprüngliche Typgenehmigung des Motorsystems erteilt hat, zu gleichen Bedingungen für jeden geprüften Motor die Informationen zur Verfügung, die in den Abschnitten 3.2.12.2.6.8.1 und 3.2.12.2.6.8.2 in Teil 1 des Beschreibungsbogens in Anhang I Anlage 4 genannt sind.

4.2 Allgemeine Anforderungen an die Dauerhaltbarkeit

Die emissionsmindernde Einrichtung für den Austausch muss dauerhaft sein, das heißt, sie muss so ausgelegt, gebaut sein und montiert werden können, dass sie gegen Korrosions- und Oxidationseinflüsse, denen sie je nach der Benutzung des Fahrzeugs ausgesetzt ist, hinreichend geschützt ist.

Die emissionsmindernde Einrichtung für den Austausch muss so ausgelegt sein, dass die aktiven Elemente der emissionsmindernden Einrichtung angemessen vor mechanischen Erschütterungen geschützt sind, um sicherzustellen, dass Schadstoffemissionen wahrend der normalen Lebensdauer des Fahrzeugs unter normalen Benutzungsbedingungen wirksam begrenzt werden.

Der Antragsteller, der eine Typgenehmigung beantragt, muss der Genehmigungsbehörde Details der Prüfung, mit der der Schutz gegen mechanische Erschütterungen festgestellt wird, sowie die Ergebnisse dieser Prüfung, zur Verfügung stellen.

4.3. Anforderungen hinsichtlich der Emissionen

4.3.1. Beschreibung des Bewertungsverfahrens für Emissionen

Die in Artikel 16 Absatz 4 Buchstabe a angegebenen Motoren mit einem vollständigen Emissionsminderungssystem einschließlich der emissionsmindernden Einrichtung für den Austausch des Typs, für den die Genehmigung beantragt wird, sind Prüfungen zu unterziehen, die für den Verwendungszweck gemäß Anhang 4 der UNECE-Regelung Nr. 49 angemessen sind, um ihre Leistung mit dem Original-Emissionsminderungssystem gemäß dem in den Nummern 4.3.1.1 und 4.3.1.2 beschriebenen Verfahren zu vergleichen.

4.3.1.1 Umfasst die emissionsmindernde Einrichtung für den Austausch nicht das vollständige Emissionsminderungssystem, so sind nur neue Einrichtungen für die Erstausrüstung oder neue emissionsmindernde Originalbauteile für den Austausch zu verwenden, um das Emissionsminderungssystem zu vervollständigen.

4.3.1.2 Das Emissionsminderungssystem ist gemäß dem in Abschnitt 4.3.2.4 beschriebenen Verfahren zu altern und erneut zu prüfen, um die Dauerhaltbarkeit seiner Emissionsminderungsleistung festzustellen.

Die Dauerhaltbarkeit einer emissionsmindernden Einrichtung für den Austausch wird anhand eines Vergleichs von zwei aufeinanderfolgenden Sätzen von Abgasemissionsprüfungen bestimmt.

  1. Der erste Satz wird mit einer emissionsmindernden Einrichtung für den Austausch durchgeführt, die wahrend 12 WHSC-Zyklen eingefahren wurde.
  2. Der zweite Satz wird mit einer emissionsmindernden Einrichtung für den Austausch durchgeführt, die gemäß den unten beschriebenen Verfahren gealtert wurde.

Wird ein Genehmigungsantrag für verschiedene Motortypen desselben Motorherstellers gestellt und sind diese unterschiedlichen Motortypen mit einem identischen Emissionsminderungssystem für die Erstausrüstung ausgestattet, kann die Prüfung auf minimal zwei Motoren begrenzt werden, die nach Zustimmung der Genehmigungsbehörde ausgewählt werden.

4.3.2. Verfahren zur Bewertung der Emissionsminderungsleistung einer emissionsmindernden Einrichtung für den Austausch

4.3.2.1 Der Motor oder die Motoren sind gemäß Artikel 16 Absatz 4 mit einer neuen emissionsmindernden Einrichtung für die Erstausrüstung auszustatten.

Das Abgasnachbehandlungssystem ist mit zwölf WHSC-Zyklen vorzukonditionieren. Nach dieser Vorkonditionierung sind die Motoren gemäß den WHDC-Prüfverfahren zu prüfen, die in Anhang 4 der UNECE-Regelung Nr. 49 beschrieben sind. Für jeden Typ sind drei entsprechende Abgasprüfungen durchzuführen.

Die Prüfmotoren mit dem Original-Abgasnachbehandlungssystem oder dem Original-Abgasnachbehandlungssystem für den Austausch müssen die Grenzwerte gemäß der Typgenehmigung des Motors oder des Fahrzeugs einhalten.

4.3.2.2. Abgasprüfung mit der emissionsmindernden Einrichtung für den Austausch

Die zu bewertende emissionsmindernde Einrichtung für den Austausch ist an dem Abgasnachbehandlungssystem anzubringen, welches gemäß den Anforderungen in Abschnitt 4.3.2.1 geprüft wird, und ersetzt die entsprechende Originaleinrichtung.

Das Abgasnachbehandlungssystem mit der emissionsmindernden Einrichtung für den Austausch ist dann mit zwölf WHSC-Zyklen vorzukonditionieren. Nach dieser Vorkonditionierung sind die Motoren gemäß den WHDC- Verfahren zu prüfen, die in Anhang 4 der UNECE-Regelung Nr. 49 beschrieben sind. Für jeden Typ sind drei entsprechende Abgasprüfungen durchzuführen.

4.3.2.3 Ursprüngliche Bewertung der Schadstoffemissionen von Motoren, die mit emissionsmindernden Einrichtungen für den Austausch ausgestattet sind

Die Anforderungen an die Emissionen von Motoren, die mit emissionsmindernden Einrichtungen für den Austausch ausgestattet sind, gelten als erfüllt, wenn die Ergebnisse für jeden regulierten Schadstoff (CO, HC, NMHC, Methan, NOx, NH3, Partikelmasse und Partikelzahl je nach Typgenehmigung des Motors) den folgenden Bedingungen entsprechen:

  1. M ≤ 0,85S + 0,4G
  2. M ≤ G

Dabei ist:

M: der Mittelwert der Emissionen eines Schadstoffs, der aus den drei Prüfungen mit der emissionsmindernden Einrichtung für den Austausch errechnet wurde

S: der Mittelwert der Emissionen eines Schadstoffs, der aus den drei Prüfungen mit der emissionsmindernden Einrichtung für die Erstausrüstung oder der emissionsmindernden Original-Einrichtung für den Austausch errechnet wurde

G: der Grenzwert der Emissionen eines Schadstoffs gemäß der Typgenehmigung des Fahrzeugs

4.3.2.4. Dauerhaltbarkeit der Emissionsminderungsleistung16

Das nach Abschnitt 4.3.2.2 geprüfte Abgasnachbehandlungssystem mit der emissionsmindernden Einrichtung für den Austausch ist den Dauerhaltbarkeitsprüfverfahren gemäß Anlage 3 zu unterziehen.

4.3.2.5. Abgasprüfung mit der gealterten emissionsmindernden Einrichtung für den Austausch

Das gealterte Abgasnachbehandlungssystem mit der gealterten emissionsmindernden Einrichtung für den Austausch ist an den gemäß den Abschnitten 4.3.2.1 und 4.3.2.2 verwendeten Prüfmotor anzubringen.

Das gealterte Abgasnachbehandlungssystem ist mit zwölf WHSC-Zyklen vorzukonditionieren und anschließend unter Verwendung der WHDC-Verfahren, die in Anhang 4 der UNECE-Regelung Nr. 49 beschrieben sind, zu prüfen. Für jeden Typ sind drei entsprechende Abgasprüfungen durchzuführen.

4.3.2.6. Bestimmung des Alterungsfaktors (AF) für die emissionsmindernde Einrichtung für den Austausch

Der Alterungsfaktor für jeden Schadstoff ist das Verhältnis des angewendeten Emissionswertes am Ende der Lebensdauer und am Anfang der Betriebsakkumulation (Beispiel: Wenn die Emissionen des Schadstoffs a am Anfang der Betriebsakkumulation 1,50 g/kWh und am Ende der Lebensdauer 1,82 g/kWh betragen, dann beträgt der Alterungsfaktor 1,82/1,50 = 1,21.).

4.3.2.7. Bewertung der Schadstoffemissionen von Motoren, die mit emissionsmindernden Einrichtungen für den Austausch ausgestattet sind

Die Anforderungen an die Emissionen von Motoren, die mit gealterten emissionsmindernden Einrichtungen für den Austausch ausgestattet sind (wie in Abschnitt 4.3.2.5 beschrieben), gelten als erfüllt, wenn die Ergebnisse für jeden regulierten Schadstoff (CO, HC, NMHC, Methan, NOx, NH3, Partikelmasse und Partikelzahl je nach Typgenehmigung des Motors) der folgenden Bedingung entsprechen:

M x AF ≤ G

Dabei ist:

M: der Mittelwert der Emissionen eines Schadstoffs, der aus den drei Prüfungen mit der vorkonditionierten emissionsmindernden Einrichtung für den Austausch vor ihrer Alterung errechnet wurde (d. h. die Ergebnisse aus Abschnitt 4.3.2)

AF: der Alterungsfaktor für einen Schadstoff

G: der Grenzwert der Emissionen eines Schadstoffs gemäß der Typgenehmigung des/der Fahrzeugs/Fahrzeuge

4.3.3. Technologiefamilie für emissionsmindernde Einrichtungen für den Austausch

Der Hersteller kann anhand von grundlegenden Eigenschaften, die die Einrichtungen einer Familie gemeinsam haben, eine Technologiefamilie für emissionsmindernde Einrichtungen für den Austausch festlegen.

Um zu derselben Technologiefamilie für emissionsmindernde Einrichtungen für den Austausch zu gehören, müssen die emissionsmindernden Einrichtungen für den Austausch folgende Merkmale haben:

  1. die gleichen emissionsmindernden Mechanismen (Oxidationskatalysator, Dreiwegekatalysator, Partikelfilter, selektive katalytische Reduktion für NOx usw.);
  2. dasselbe Substratmaterial (selbe Art von Keramik oder selbe Art von Metall);
  3. dieselbe Substratart und Zellendichte;
  4. dieselben katalytisch aktiven Materialien und, bei mehreren, dasselbe Verhältnis an katalytisch aktiven Materialien;
  5. dieselbe Gesamtbeschichtung mit katalytisch aktiven Materialien;
  6. dieselbe Art von Zwischenschicht, die durch dasselbe Verfahren aufgebracht wird.

4.3.4. Bewertung der Dauerhaltbarkeit der Emissionsminderungsleistung einer emissionsmindernden Einrichtung für den Austausch unter Verwendung des Alterungsfaktors einer Technologiefamilie

Hat der Hersteller eine Technologiefamilie für emissionsmindernde Einrichtungen für den Austausch festgelegt, können die in Abschnitt 4.3.2 beschriebenen Verfahren verwendet werden, um die Alterungsfaktoren für jeden Schadstoff für die Stammeinrichtung dieser Familie zu bestimmen. Der Motor, an dem diese Prüfungen durchgeführt werden, muss über einen Mindesthubraum von [0,75 dm3] pro Zylinder verfügen.

4.3.4.1. Bestimmung der dauerhaften Leistung der Einrichtungen einer Familie

Für eine emissionsmindernde Einrichtung für den Austausch a in einer Familie, die für die Anbringung an einen Motor mit einem Hubraum CA ausgelegt ist, gelten dieselben Alterungsfaktoren wie für die emissionsmindernde Stammeinrichtung P, die an einem Motor mit einem Hubraum CP bestimmt wurden, wenn die folgenden Bedingungen erfüllt sind:

VA/CA³ VP/CP

Dabei ist:

VA: das Substratvolumen (in dm3) der emissionsmindernden Einrichtung für den Austausch A,

VP: das Substratvolumen (in dm3) der emissionsmindernden Stammeinrichtung für den Austausch P derselben Familie und

beide Motoren verwenden dieselbe Methode für die Regenerierung jeglicher emissionsmindernder Einrichtungen, die am Original-Abgasnachbehandlungssystem angebracht sind. Diese Anforderung gilt nur, wenn Einrichtungen, die eine Regenerierung erfordern, an das Original-Abgasnachbehandlungssystem angebracht sind.

Wenn diese Bedingungen erfüllt sind, kann die Dauerhaltbarkeit der Emissionsminderungsleistung der anderen Einrichtungen der Familie anhand der Emissionsergebnisse (S) derjenigen Einrichtung einer Familie bestimmt werden, die nach den Anforderungen in den Abschnitten 4.3.2.1, 4.3.2.2 und 4.3.2.3 festgelegt wird und für die die Alterungsfaktoren der Stammeinrichtung dieser Familie verwendet werden.

4.3.5. Kraftstoffe16

In dem in Abschnitt 1.1.2 des Anhangs I beschriebenen Fall ist das in den Abschnitten 4.3.1 bis 4.3.2.7 dieses Anhangs festgelegte Prüfverfahren mit den vom Hersteller des ursprünglichen Motorsystems angegebenen Kraftstoffen durchzuführen. Im Einvernehmen mit der Typgenehmigungsbehörde darf jedoch das in Anlage 3 beschriebene und in Abschnitt 4.3.2.4 genannte Dauerhaltbarkeitsprüfverfahren nur mit dem Kraftstoff durchgeführt werden, der den ungünstigsten Fall im Hinblick auf die Alterung repräsentiert.

4.4. Anforderungen hinsichtlich des Abgasgegendrucks

Der Abgasgegendruck darf nicht dazu führen, dass das vollständige Abgassystem den in Anhang I Abschnitt 4.1.2 angegebenen Wert übersteigt.

4.5. Anforderungen an die OBD-Kompatibilität (gilt nur für emissionsmindernde Einrichtungen für den Austausch, die für den Einbau in Fahrzeuge mit OBD-System bestimmt sind)

4.5.1 Der Nachweis der OBD-Kompatibilität ist nur erforderlich, wenn die emissionsmindernde Einrichtung für die Erstausrüstung in der ursprünglichen Konfiguration überwacht wurde.

4.5.2 Die Kompatibilität der emissionsmindernden Einrichtung für den Austausch mit dem OBD-System ist unter Verwendung der Verfahren des Anhangs X dieser Verordnung und des Anhangs 9B der UN/ECE-Regelung Nr. 49 für emissionsmindernde Einrichtungen für den Austausch, die für den Einbau in Motoren oder Fahrzeuge ausgelegt sind, welche gemäß Verordnung (EG) Nr. 595/2009 und dieser Verordnung genehmigt wurden, nachzuweisen.

4.5.3 Die Bestimmungen in der UN/ECE-Regelung Nr. 49, die für andere Bauteile als für emissionsmindernde Einrichtungen gelten, finden keine Anwendung.

4.5.4 Der Hersteller von emissionsmindernden Einrichtungen für den Austausch kann das gleiche Vorkonditionierungs- und Prüfverfahren wie bei der ursprünglichen Typgenehmigung anwenden. In diesem Fall muss die Genehmigungsbehörde, die die ursprüngliche Typgenehmigung eines Motors eines Fahrzeugs erteilt hat, auf Anfrage und zu gleichen Bedingungen die Anlage "Angaben zu den Prüfbedingungen" zu Anhang I Anlage 4 vorlegen, welche die Zahl und den Typ der Vorkonditionierungs-Zyklen enthält sowie den Typ des Prüfzyklus, der vom Hersteller der Erstausrüstung für die OBD-Prüfung der emissionsmindernden Einrichtung genutzt wurde.

4.5.5 Damit der ordnungsgemäße Einbau und das ordnungsgemäße Funktionieren aller anderen vom OBD-System überwachten Bauteile überprüft werden kann, darf das OBD-System vor dem Einbau einer emissionsmindernden Einrichtung für den Austausch keine Fehlfunktion und keine gespeicherten Fehlercodes anzeigen. Um das festzustellen, kann der Status des OBD-Systems nach Abschluss der in den Abschnitten 4.3.2 bis 4.3.2.7 beschriebenen Prüfungen bewertet werden.

4.5.6 Die Fehlfunktionsanzeige darf sich während des nach den Abschnitten 4.3.2 bis 4.3.2.7 erforderlichen Fahrzeugbetriebs nicht aktivieren.

4.6. Anforderungen an die Kompatibilität der Einrichtungen zur Begrenzung von NOx (gilt nur für emissionsmindernde Einrichtungen für den Austausch, die für den Einbau in Fahrzeuge mit Sensoren zur direkten Messung der NOx-Konzentration im Abgas bestimmt sind)16

4.6.1. Der Nachweis der Kompatibilität der Einrichtungen zur Begrenzung von NOx ist nur erforderlich, wenn die emissionsmindernde Einrichtung für die Erstausrüstung in der ursprünglichen Konfiguration überwacht wurde.

4.6.2. Die Kompatibilität der emissionsmindernden Einrichtung für den Austausch mit den Einrichtungen zur Begrenzung von NOx ist unter Verwendung der Verfahren des Anhangs XIII dieser Verordnung für emissionsmindernde Einrichtungen für den Austausch, die für den Einbau in Motoren oder Fahrzeuge ausgelegt sind, welche gemäß Verordnung (EG) Nr. 595/2009 und dieser Verordnung genehmigt wurden, nachzuweisen.

4.6.3. Die Bestimmungen in der UNECE-Regelung Nr. 49, die für andere Bauteile als für emissionsmindernde Einrichtungen gelten, finden keine Anwendung.

4.6.4. Der Hersteller von emissionsmindernden Einrichtungen für den Austausch kann das gleiche Vorkonditionierungs- und Prüfverfahren wie bei der ursprünglichen Typgenehmigung anwenden. In diesem Fall muss die Genehmigungsbehörde, die die ursprüngliche Typgenehmigung eines Motors eines Fahrzeugs erteilt hat, auf Anfrage und zu gleichen Bedingungen einen Beschreibungsbogen als Anlage zu dem in Anhang I Anlage 4 enthaltenen Beschreibungsbogen vorlegen, in dem Angaben zur Zahl und zum Typ der Vorkonditionierungs-Zyklen sowie zum Typ des Prüfzyklus, der vom Hersteller der Erstausrüstung für die Prüfung der emissionsmindernden Einrichtung im Hinblick auf die Einrichtungen zur Begrenzung von NOx genutzt wurde.

4.6.5. Abschnitt 4.5.5 gilt für Einrichtungen zur Begrenzung von NOx, die vom OBD-System überwacht werden.

5. Übereinstimmung der Produktion

5.1 Es werden Maßnahmen zur Gewährleistung der Übereinstimmung der Produktion nach Artikel 12 der Richtlinie 2007/46/EG getroffen.

5.2. Besondere Bestimmungen

5.2.1 Die Überprüfungen nach Anhang X, Abschnitt 2.2 der Richtlinie 2007/46/EG müssen die Übereinstimmung mit den Eigenschaften, die unter "Typ der emissionsmindernden Einrichtung" in Artikel 2 Nummer 8 der Verordnung (EG) Nr. 692/2008 definiert sind, umfassen.

5.2.2 Zur Anwendung von Artikel 12 Absatz 2 der Richtlinie 2007/46/EG können die in Abschnitt 4.3 dieses Anhangs (Anforderungen hinsichtlich der Emissionen) beschriebenen Prüfungen durchgeführt werden. In diesem Fall kann, falls der Inhaber der Typgenehmigung dies wünscht, statt der emissionsmindernden Einrichtung für die Erstausrüstung die emissionsmindernde Einrichtung für den Austausch, die bei den Typgenehmigungsprüfungen verwendet wurde, als Vergleichsbasis genommen werden (oder ein anderes Muster, das nachweislich mit dem genehmigten Typ übereinstimmt). Die gemessenen Emissionswerte des zu beurteilenden Musters dürfen durchschnittlich nicht mehr als 15 % über den Mittelwerten liegen, die beim Bezugsmuster gemessen werden.

.

Muster Anlage 1


Beschreibungsbogen Nr. ...
betreffend die EG-Typgenehmigung von emissionsmindernden Einrichtungen für den Austausch

Die nachstehenden Angaben sind zusammen mit dem Verzeichnis der beiliegenden Unterlagen in dreifacher Ausfertigung einzureichen. Liegen Zeichnungen bei, so müssen diese im Format A4 ausgeführt oder auf dieses Format gefaltet sein und hinreichende Einzelheiten in geeignetem Maßstab enthalten. Liegen Fotografien bei, so müssen diese hinreichende Einzelheiten enthalten.

Weisen die Systeme, Bauteile oder selbständigen technischen Einheiten elektronisch gesteuerte Funktionen auf, so sind Angaben zu ihren Leistungsmerkmalen zu machen.

0. Allgemeines

0.1. Fabrikmarke (Firmenname des Herstellers):

0.2. Typ:

0.2.1. Handelsname(n), sofern vorhanden:

0.3. Merkmale zur Typidentifizierung:

0.5. Name und Anschrift des Herstellers:

0.7. Bei Bauteilen und selbstständigen technischen Einheiten Lage und Anbringungsart des EG-Typgenehmigungszeichens:

0.8. Name(n) und Anschrift(en) der Fertigungsstätte(n):

0.9. (Ggf.) Name und Anschrift des Bevollmächtigten des Herstellers:

1. Beschreibung der Einrichtung

1.1 Typ der emissionsmindernden Einrichtung für den Austausch: (Oxidations-, Dreiwegekatalysator, SCR-Katalysator, Partikelfilter usw.)

1.2 Zeichnungen der emissionsmindernden Einrichtung für den Austausch, aus denen sämtliche unter der Begriffsbestimmung "Typ der emissionsmindernden Einrichtung" in Artikel 2 der Verordnung (EU) Nr. 582/2011 genannten Merkmale hervorgehen:

1.3. Beschreibung des Fahrzeugtyps/der Fahrzeugtypen, für den/die die emissionsmindernde Einrichtung für den Austausch bestimmt ist:

1.3.1. Nummer(n) und/oder Zeichen, die den Motor- und den (die) Fahrzeugtyp(en) kennzeichnen:

1.3.2. Nummer(n) und/oder Zeichen, die die emissionsmindernde(n) Einrichtung(en) für die Erstausrüstung kennzeichnen, die durch die emissionsmindernde Einrichtung für den Austausch ersetzt werden soll:

1.3.3. Soll die emissionsmindernde Einrichtung für den Austausch mit den Anforderungen für OBD-Systeme kompatibel sein: (ja/nein)1

1.3.4. Soll die emissionsmindernde Einrichtung für den Austausch mit bestehenden Fahrzeug-/Motorsteuerungssystemen kompatibel sein: (ja/nein)1

1.4. Beschreibung und Zeichnungen, aus denen die Lage der emissionsmindernden Einrichtung für den Austausch zum (zu den) Abgaskrümmer(n) des Motors ersichtlich ist:

2. Zugang zu Reparatur- und Wartungsinformationen

2.1. Wichtigste Website für den Zugang zu Reparatur- und Wartungsinformationen

2.1.1. Zeitpunkt, ab dem sie aufgerufen werden kann (spätestens sechs Monate nach dem Zeitpunkt der Typgenehmigung)

2.2. Bedingungen für den Zugang zur Website

2.3. Format der Reparatur- und Wartungsinformationen, die auf der Website zur Verfügung stehen

______
1) Nichtzutreffendes streichen.

.

Muster eines EG-Typgenehmigungsbogens Anlage 2


(Größformat: A4 (210 X 297 mm))

EG-Typgenehmigungsbogen

Stempel der Behörde

Benachrichtigung über

eines Bauteiltyps /eines Typs einer selbstständigen technischen Einheit 1

in Bezug auf die Verordnung (EG) Nr. 595/2009, nach Größt der Verordnung (EU) Nr. 582/2011

Verordnung (EG) Nr. 595/2009 oder Verordnung (EU) Nr. 582/2011, zuletzt geändert durch ...

EG-Typgenehmigungsnummer:

Grund für die Erweiterung:

Abschnitt I

0.1. Fabrikmarke (Firmenname des Herstellers):

0.2. Typ:

0.3. Merkmale zur Typidentifizierung, sofern auf dem Bauteil/ der selbstständigen technischen Einheit vorhanden 2 (Teilenummer):

0.3.1. Anbringungsstelle dieser Merkmale:

0.5. Name und Anschrift des Herstellers:

0.7. Bei Bauteilen und selbstständigen technischen Einheiten Lage und Anbringungsart des EG-Typgenehmigungszeichens:

0.8. Name(n) und Anschrift(en) der Fertigungsstätte(n):

0.9. Name und Anschrift des Bevollmächtigten des Herstellers:

Abschnitt II

1. Zusätzliche Angaben

1.1. Fabrikmarke und Typ der emissionsmindernden Einrichtung für den Austausch: (Oxidations-, Dreiwegekatalysator, SCR-Katalysator, Partikelfilter usw.)

1.2. Motor- und Fahrzeugtyp(en), für den (die) der Typ der emissionsmindernden Einrichtung als Ersatzteil geeignet ist:

1.3. Motortyp(en), in dem (denen) die emissionsmindernde Einrichtung für den Austausch geprüft wurde:

1.3.1 Wurde die Kompatibilität der emissionsmindernden Einrichtung für den Austausch mit den Anforderungen für OBD-Systeme nachgewiesen (ja/nein) 1:

2. Technischer Dienst, der für die Durchführung der Prüfungen zuständig ist:

3. Datum des Prüfberichts:

4. Nummer des Prüfberichts:

5. Anmerkungen:

6. Ort:

7. Datum:

8. Unterschrift:

Anlagen: Beschreibungsunterlagen Prüfbericht

________

1) Nichtzutreffendes streichen.

2) Enthalten die Merkmale zur Typidentifizierung Zeichen, die für die Beschreibung des Fahrzeugs, des Bauteils oder der selbstständigen technischen Einheit gemäß diesem Informationsdokument nicht relevant sind, so werden diese Schriftzeichen in den Unterlagen durch das Symbol "?" wiedergegeben (z.B. ABC??123??).

.

Prüfverfahren für die Dauerhaltbarkeit zur Bewertung der Emissionsminderungsleistung einer emissionsmindernden Einrichtung für den Austausch Anlage 316

1. Nachfolgend ist das in Anhang XI Abschnitt 4.3.2.4 genannte Prüfverfahren für die Dauerhaltbarkeit zur Bewertung der Emissionsminderungsleistung einer emissionsmindernden Einrichtung für den Austausch beschrieben.

2. Beschreibung des Prüfverfahrens für die Dauerhaltbarkeit

2.1 Das Prüfverfahren für die Dauerhaltbarkeit besteht aus einer Phase der Datenerfassung und einem Betriebsakkumulationsprogramm.

2.2. Phase der Datenerfassung

2.2.1. Der ausgewählte Motor, der mit dem vollständigen Abgasnachbehandlungssystem mit der emissionsmindernden Einrichtung für den Austausch ausgerüstet ist, ist auf Umgebungstemperatur abzukühlen und gemäß Anhang 4 Absätze 7.6.1 und 7.6.2 der UNECE-Regelung Nr. 49 einem WHTC-Kaltstart-Prüfzyklus zu unterziehen.

2.2.2. Unmittelbar nach dem WHTC-Kaltstart-Prüfzyklus ist der neun aufeinanderfolgenden WHTC-Warmstart-Prüfzyklen Motor gemäß Anhang 4 Absatz 7.6.4 der UNECE-Regelung Nr. 49 zu unterziehen.

2.2.3. Die in den Abschnitten 2.2.1 und 2.2.2 genannte Prüfsequenz muss gemäß den in Anhang 4 Absatz 7.6.5 der UNECE-Regelung Nr. 49 enthaltenen Anweisungen erfolgen.

2.2.4. Wahlweise können die relevanten Daten auch erfasst werden, indem ein vollbeladenes, mit dem ausgewählten Abgasnachbehandlungssystem mit emissionsmindernder Einrichtung für den Austausch ausgerüstetes Fahrzeug einer Fahrprüfung unterzogen wird. Die Prüfung kann entweder auf der Straße unter Einhaltung der in Anhang II Abschnitte 4.5 bis 4.5.5 dieser Verordnung enthaltenen Anforderungen an die Fahrt und umfassender Aufzeichnung der Fahrdaten erfolgen, oder auf einem geeigneten Rollenprüfstand. Wird eine Straßenprüfung gewählt, so ist das Fahrzeug mittels eines Kaltstart-Prüfzyklus gemäß Anlage 5 dieses Anhangs zu prüfen, der von neun Warmstart-Zyklen gefolgt wird, die vollständig dem Kaltstart-Prüfzyklus entsprechen, so dass die erzielte Motorarbeit die gleiche ist, wie die in den Abschnitten 2.2.1 und 2.2.2 genannte. Wird ein Rollenprüfstand gewählt, so ist die Simulation der Steigung oder des Gefälles des Prüfzyklus gemäß Anlage 5 derart anzupassen, dass sie der über den WHTC-Zyklus erzielten Motorarbeit entspricht.

2.2.5. Die Typgenehmigungsbehörde muss die gemäß Abschnitt 2.2.4 aufgezeichneten Temperaturdaten ablehnen, wenn sie diese für unrealistisch hält, und entweder die Wiederholung der Prüfung oder die Durchführung einer Prüfung gemäß den Abschnitten 2.2.1, 2.2.2 und 2.2.3 verlangen.

2.2.6. Die Temperaturen in der emissionsmindernden Einrichtung für den Austausch sind während der gesamten Prüfsequenz an der Stelle der höchsten Temperaturentwicklung aufzuzeichnen.

2.2.7. Verlagert sich die Stelle der höchsten Temperaturentwicklung während der Prüfdauer oder ist es schwierig, diese Stelle zu bestimmen, so sind mehrfache Betttemperaturen an geeigneten Stellen aufzuzeichnen.

2.2.8. Die Anzahl und Stellen der Temperaturmessungen sind im Einvernehmen mit der Typgenehmigungsbehörde vom Hersteller nach bestem technischem Ermessen auszuwählen.

2.2.9. Mit Zustimmung der Typgenehmigungsbehörde kann eine einzige Temperaturmessung im Katalysatorbett oder die Katalysator-Eingangstemperatur verwendet werden, wenn die Messung mehrfacher Betttemperaturen sich als undurchführbar oder zu schwierig erweist.

Abbildung 1
Beispiel für die Lage von Temperatursensoren in einem schematisch dargestellten Abgasnachbehandlungssystem

Abbildung 2
Beispiel für die Lage von Temperatursensoren in einem DPF

2.2.10. Die Temperaturen sind mit einer Mindestfrequenz von einer Messung pro Sekunde (1 Hz) während der Prüfsequenz zu messen und aufzuzeichnen.

2.2.11. Die gemessenen Temperaturen sind in einem Histogramm darzustellen, wobei die Temperaturklassen nicht größer als 10 °C sind. Bei dem in Abschnitt 2.2.7 genannten Fall muss die jede Sekunde gemessene höchste Temperatur der im Histogramm aufgezeichneten entsprechen. Jede Säule des Histogramms muss die kumulierte Häufigkeit in Sekunden der gemessenen Temperaturen, die in die jeweilige Temperaturklasse fallen, repräsentieren.

2.2.12. Die Zeit in Stunden, die jeder Temperaturklasse entspricht, ist zu ermitteln und auf die Lebensdauer der emissionsmindernden Einrichtung für den Austausch gemäß den in Tabelle 1 enthaltenen Werten zu extrapolieren. Die Extrapolation erfolgt unter der Annahme, dass ein WHTC-Zyklus einer Fahrstrecke von 20 km entspricht.

Tabelle 1: Lebensdauer der emissionsmindernden Einrichtung für den Austausch für jede Fahrzeugklasse sowie entsprechende Anzahl an WHTC-Prüfzyklen und Betriebsstunden

Fahrzeugklasse Fahrstrecke (km) Entsprechende Anzahl an WHTC-Prüfzyklen Entsprechende Anzahl an Betriebsstunden
Motoren, die in Fahrzeuge der Klassen M1, N1 und N2 eingebaut sind 114.286 5.714 2.857
Motoren, die in Fahrzeuge der Klassen N2, N3 mit einer technisch zulässigen Gesamtmasse bis 16 t und M3 Klassen I und II sowie Klasse a und Klasse B mit einer technisch zulässigen Gesamtmasse über 7,5 t eingebaut sind 214.286 10.714 5.357
Motoren, die in Fahrzeuge der Klasse N3 mit einer technisch zulässigen Gesamtmasse über 16 t und M3 Klasse III sowie Klasse B mit einer technisch zulässigen Gesamtmasse über 7,5 t eingebaut sind 500.000 25.000 12.500

2.2.13. Es ist zulässig, die Phase der Datenerfassung gleichzeitig für verschiedene Einrichtungen durchzuführen.

2.2.14. Bei Systemen, die mit aktiver Regenerierung betrieben werden, sind die Anzahl, Länge und Temperaturen der Regenerierungen, die bei der in den Abschnitten 2.2.1 und 2.2.2 beschriebenen Prüfsequenz auftreten, aufzuzeichnen. Ist keine aktive Regenerierung aufgetreten, so ist die in Abschnitt 2.2.2 festgelegte Warmstart-Prüfsequenz zu verlängern, um mindestens zwei aktive Regenerierungen einzuschließen.

2.2.15. Die während der Phase der Datenerfassung verbrauchte Gesamtmenge an Schmiermittel in g/h ist unter Verwendung einer geeigneten Methode aufzuzeichnen, beispielsweise nach dem in Anlage 6 beschriebenen Verfahren zum Ablassen und Wiegen des Öls. Zu diesem Zweck ist der Motor 24 Stunden lang aufeinanderfolgenden WHTC-Prüfzyklen zu unterziehen. Kann der Ölverbrauch nicht präzise gemessen werden, darf der Hersteller im Einvernehmen mit der Typgenehmigungsbehörde die folgenden Optionen zur Bestimmung des Schmiermittelverbrauchs anwenden:

  1. den Standardwert 30 g/h,
  2. einen vom Hersteller beantragten Wert, der sich auf eine solide Daten- und Informationsgrundlage stützt und mit der Typgenehmigungsbehörde vereinbart ist.

2.3. Berechnung der gleichwertigen, einer Bezugstemperatur entsprechenden Alterungszeit

2.3.1. Die gemäß den Abschnitten 2.2 bis 2.2.15 aufgezeichneten Temperaturen werden auf Antrag des Herstellers im Einvernehmen mit der Typgenehmigungsbehörde auf die Bezugstemperatur Tr verringert, die innerhalb der Bandbreite der in der Phase der Datenerfassung aufgezeichneten Temperaturen liegen muss.

2.3.2. Bei dem in Abschnitt 2.2.13 genannten Fall darf der Wert Tr für jede Einrichtung variieren.

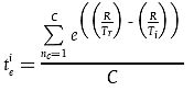
2.3.3. Die gleichwertige, einer Bezugstemperatur entsprechende Alterungszeit ist für jede in Abschnitt 2.2.11 aufgeführte Temperaturklasse anhand folgender Gleichung zu berechnen:

Gleichung 1:

Dabei sind:

R = thermische Reaktivität der emissionsmindernden Einrichtung für den Austausch

Es sind folgende Werte zu verwenden:

Tr = Bezugstemperatur, in K = die mittlere Temperatur in K der Temperaturklasse i, der die emissionsmindernde Einrichtung für den Austausch während der Datenerfassungsphase ausgesetzt ist (Histogramm)= die Zeit in Stunden, die der Temperatur entspricht und auf die volle Lebensdauer hochgerechnet ist; wenn z.B. das Histogramm 5 Stunden abbildet und die Lebensdauer 4.000 Stunden beträgt, werden nach Tabelle 1 alle im Temperatur-Histogramm eingetragenen Zeiten mit dem Faktor (4.000 / 5) = 800 multipliziert= die gleichwertige Alterungszeit in Stunden, die bei einer Exposition der emissionsmindernden Einrichtung für den Austausch gegenüber der Temperatur Tr erforderlich ist, um die gleiche Alterung zu erzielen, wie bei der Exposition der emissionsmindernden Einrichtung für den Austausch gegenüber der Temperatur für die Dauer von.

i = die Nummer der Temperaturklasse, wobei 1 die Nummer der Klasse mit der niedrigsten Temperatur und n der Wert für die Klasse mit der höchsten Temperatur ist

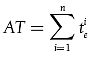
2.3.4. Die gleichwertige Gesamtalterungszeit wird gemäß folgender Gleichung berechnet:

Gleichung 2:

Dabei sind:

AT = die gleichwertige Gesamtalterungszeit in Stunden, die bei einer Exposition der emissionsmindernden Einrichtung für den Austausch gegenüber der Temperatur Tr erforderlich ist, um die gleiche Alterung zu erzielen wie bei der Exposition der emissionsmindernden Einrichtung für den Austausch gegenüber der Temperatur während ihrer Lebensdauer für die Dauer von für jede der im Histogramm enthaltenen Klassen i. = die gleichwertige Alterungszeit in Stunden, die bei einer Exposition der emissionsmindernden Einrichtung für den Austausch gegenüber der Temperatur Tr erforderlich ist, um die gleiche Alterung zu erzielen wie bei der Exposition der emissionsmindernden Einrichtung für den Austausch gegenüber der Temperatur für die Dauer von.

i = die Nummer der Temperaturklasse, wobei 1 die Nummer der Klasse mit der niedrigsten Temperatur und n der Wert für die Klasse mit der höchsten Temperatur ist

n = Gesamtanzahl der Temperaturklassen

2.3.5. Bei dem in Abschnitt 2.2.13 genannten Fall ist AT für jede Einrichtung zu berechnen.

2.4. Betriebsakkumulationsprogramm

2.4.1. Allgemeine Anforderungen

2.4.1.1. Das Betriebsakkumulationsprogramm soll die Beschleunigung der Alterung der emissionsmindernden Einrichtung für den Austausch ermöglichen, indem die in der Datenerfassungsphase gemäß Abschnitt 2.2 gesammelten Daten verwendet werden.

2.4.1.2. Das Betriebsakkumulationsprogramm besteht aus einem thermischen Akkumulationsprogramm und einem Schmiermittelverbrauchsakkumulationsprogramm gemäß Abschnitt 2.4.4.6. Der Hersteller kann im Einvernehmen mit der Typgenehmigungsbehörde auf die Durchführung eines Schmiermittelverbrauchsakkumulationsprogramms verzichten, wenn die emissionsmindernden Einrichtungen für den Austausch einem filternden Bauteil des Nachbehandlungssystems (z.B. einem Dieselpartikelfilter) nachgelagert sind. Sowohl das thermische Akkumulationsprogramm als auch das Schmiermittelverbrauchsakkumulationsprogramm bestehen jeweils aus einer Serie thermischer Akkumulationen und einer Serie Schmiermittelverbrauchsabfolgen.

2.4.1.3. Bei emissionsmindernden Einrichtungen für den Austausch mit aktiver Regenerierung ist die thermische Abfolge mit der Betriebsart der aktiven Regenerierung zu ergänzen.

2.4.1.4. Bei Betriebsakkumulationsprogrammen, die sowohl aus einem thermischen als auch einem Schmiermittelverbrauchsakkumulationsprogramm bestehen, sind die jeweiligen Abfolgen abwechselnd so durchzuführen, dass für jede thermische Abfolge die darauffolgende Abfolge dem Schmiermittelverbrauch entspricht.

2.4.1.5. Es ist zulässig, das Betriebsakkumulationsprogramm gleichzeitig für verschiedene Einrichtungen durchzuführen. In diesem Fall wird nur ein einziges Betriebsakkumulationsprogramm für alle Einrichtungen festgelegt.

2.4.2. Thermisches Akkumulationsprogramm

2.4.2.1. Mit dem thermischen Akkumulationsprogramm soll die Wirkung der thermischen Alterung auf die Leistung der emissionsmindernden Einrichtung für den Austausch bis zum Ende ihrer Lebensdauer simuliert werden.

2.4.2.2. Der zur Durchführung des Betriebsakkumulationsprogramms verwendete und mit dem Abgasnachbehandlungssystem mit emissionsmindernder Einrichtung für den Austausch ausgerüstete Motor wird über mindestens drei aufeinanderfolgende thermische Abfolgen gemäß Anlage 4 betrieben.

2.4.2.3. Die Temperaturen sind während mindestens zwei thermischen Abfolgen aufzuzeichnen. Die erste Abfolge, die dem Vorwärmen dient, ist bei der Sammlung der Temperaturdaten nicht zu berücksichtigen.

2.4.2.4. Die Temperaturen sind an geeigneten Stellen, die gemäß den Abschnitten 2.2.6 bis 2.2.9 ausgewählt wurden, mit einer Mindestfrequenz von einer Messung pro Sekunde (1 Hz) zu messen und aufzuzeichnen.

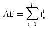
2.4.2.5. Die tatsächliche Alterungszeit, die den in Abschnitt 2.4.2.3 genannten thermischen Abfolgen entspricht, ist gemäß den folgenden Gleichungen zu berechnen:

Gleichung 3:

Gleichung 4:

Dabei sind: = die effektive Alterungszeit in Stunden, die bei einer Exposition der emissionsmindernden Einrichtung für den Austausch gegenüber der Temperatur Tr erforderlich ist, um die gleiche Alterung zu erzielen wie bei der Exposition der emissionsmindernden Einrichtung für den Austausch gegenüber der Temperatur Ti für die Dauer einer Sekunde i

Ti = die Temperatur in K, die in der Sekunde i in jeder einzelnen der thermischen Abfolgen gemessen wird

R = die thermische Reaktivität der emissionsmindernden Einrichtung für den Austausch. Der Hersteller verwendet einen im Einvernehmen mit der Typgenehmigungsbehörde festgelegten Wert für R. Es ist auch möglich, einen der folgenden Standardwerte zu verwenden:

Tr = Bezugstemperatur in K, die dem Wert in Gleichung 1 entspricht.

AE = die effektive Alterungszeit in Stunden, die bei einer Exposition der emissionsmindernden Einrichtung für den Austausch gegenüber der Temperatur Tr erforderlich ist, um die gleiche Alterung zu erzielen wie bei der Exposition der emissionsmindernden Einrichtung für den Austausch während der thermischen Abfolge

AT = die gleichwertige Gesamtalterungszeit in Stunden, die bei einer Exposition der emissionsmindernden Einrichtung für den Austausch gegenüber der Temperatur Tr erforderlich ist, um die gleiche Alterung zu erzielen wie bei der Exposition der emissionsmindernden Einrichtung für den Austausch gegenüber der Temperatur während ihrer Lebensdauer für die Dauer von für jede der im Histogramm enthaltenen Klassen i

i = Nummer der Temperaturmessung

p = Gesamtanzahl der Temperaturmessungen

nc = Nummer der thermischen Abfolge, die zum Zweck der Sammlung von Temperaturdaten gemäß Abschnitt 2.4.2.3 erfolgt

C = Gesamtanzahl der thermischen Abfolgen, die zum Zweck der Sammlung von Temperaturdaten erfolgen.

2.4.2.6. Die Gesamtanzahl der thermischen Abfolgen, die im Betriebsakkumulationsprogramm zu berücksichtigen sind, wird mittels folgender Gleichung bestimmt:

Gleichung 5:

NTS = AT/AE

Dabei sind:

NTS = die Gesamtanzahl der thermischen Abfolgen, die im Betriebsakkumulationsprogramm erfolgen müssen

AT = die gleichwertige Gesamtalterungszeit in Stunden, die bei einer Exposition der emissionsmindernden Einrichtung für den Austausch gegenüber der Temperatur Tr erforderlich ist, um die gleiche Alterung zu erzielen wie bei der Exposition der emissionsmindernden Einrichtung für den Austausch gegenüber der Temperatur während ihrer Lebensdauer für die Dauer von für jede der im Histogramm enthaltenen Klassen i

AE = die effektive Alterungszeit in Stunden, die bei einer Exposition der emissionsmindernden Einrichtung für den Austausch gegenüber der Temperatur Tr erforderlich ist, um die gleiche Alterung zu erzielen wie bei der Exposition der emissionsmindernden Einrichtung für den Austausch während der thermischen Abfolge

2.4.2.7. Es ist zulässig, den Wert für NTS - und damit das Betriebsakkumulationsprogramm - zu verringern, indem die Temperaturen, denen jede Einrichtung in jedem Modus des Alterungszyklus ausgesetzt wird, durch Anwendung einer oder mehrerer der folgenden Maßnahmen erhöht werden:

  1. Isolierung des Auspuffrohrs
  2. Verlagerung der emissionsmindernden Einrichtung für den Austausch in Richtung Auspuffkrümmer
  3. künstliches Vorwärmen der Abgastemperatur
  4. Optimierung der Motoreinstellungen ohne wesentliche Änderung des Abgasverhaltens des Motors.

2.4.2.8. Werden die in den Abschnitten 2.4.4.6 und 2.4.4.7 Maßnahmen angewendet, so darf die auf der Grundlage von NTSberechnete Gesamtalterungszeit nicht weniger als 10 % der in Tabelle 1 genannten Lebensdauer betragen; z.B. muss für ein Fahrzeug der Klasse N1der Wert für NTS mindestens 286 thermische Abfolgen betragen, wenn jede Abfolge die Dauer einer Stunde hat.

2.4.2.9. Es ist zulässig, den Wert für NTS - und damit die Dauer des Betriebsakkumulationsprogramms - zu erhöhen, indem die Temperaturen, denen jede Einrichtung in jedem Modus des Alterungszyklus ausgesetzt wird, durch Anwendung einer oder mehrerer der folgenden Maßnahmen verringert werden:

  1. Verlagerung der emissionsmindernden Einrichtung für den Austausch vom Auspuffkrümmer weg
  2. künstliches Abkühlen der Abgastemperatur
  3. Optimierung der Motoreinstellungen

2.4.2.10. In dem in Abschnitt 2.4.1.5 genannten Fall gilt Folgendes:

2.4.2.10.1. Der Wert für NTS muss für jede Einrichtung der gleiche sein, so dass ein einziges Betriebsakkumulationsprogramm festgelegt werden kann.

2.4.2.10.2. Um für jede Einrichtung den gleichen Wert für NTS verwenden zu können, muss für jede Einrichtung anhand ihrer jeweiligen AT- und AE-Werte ein erster Wert für NTS berechnet werden.

2.4.2.10.3. Sind die für NTS berechneten Werte unterschiedlich, dann kann in den in Abschnitt 2.4.2.3 genannten thermischen Abfolgen eine der in den Abschnitten 2.4.2.7 bis 2.4.2.10 genannten Maßnahmen für die Einrichtungen angewendet werden, bei denen NTS zu ändern ist, um den berechneten Wert für Ti zu beeinflussen und auf diese Weise praktisch die künstliche Alterung der betreffenden Einrichtungen zu beschleunigen oder zu verlangsamen.

2.4.2.10.4. Die neuen Werte für NTS, die den neuen, nach Abschnitt 2.4.2.10.3 ermittelten Temperaturen entsprechen, sind zu berechnen.

2.4.2.10.5. Die in den Abschnitten 2.4.2.10.3 und 2.4.2.10.4 genannten Schritte sind zu wiederholen, bis die für jede Einrichtung im System ermittelten Werte für NTS übereinstimmen.

2.4.2.10.6. Die Werte für Tr, die zur Bestimmung der verschiedenen Werte für NTS gemäß den Abschnitten 2.4.2.10.4 und 2.4.2.10.5 verwendet werden, müssen die gleichen sein, wie die gemäß den Abschnitten 2.3.2 und 2.3.5. zur Berechnung des Wertes für AT für jede Einrichtung verwendeten.

2.4.2.11. Handelt es sich um eine aus mehreren emissionsmindernden Einrichtungen für den Austausch bestehende Baugruppe, die ein System im Sinne von Artikel 3 Absatz 25 der Richtlinie 2007/46/EG bilden, so kann eine der beiden folgenden Optionen für die thermische Alterung der Einrichtungen angewendet werden:

2.4.2.11.1. Die Einrichtungen dieser Baugruppe können entweder einzeln oder zusammen gemäß Abschnitt 2.4.2.10 gealtert werden.

2.4.2.11.2. Ist die Baugruppe so gebaut, dass die Einrichtungen nicht getrennt werden können (z.B. DOC + SCR in einem Gehäuse), dann ist die thermische Alterung mit dem höchsten Wert für NTS durchzuführen.

2.4.3. Modifiziertes thermisches Akkumulationsprogramm für Einrichtungen, die mit aktiver Regenerierung betrieben werden

2.4.3.1. Das modifizierte thermische Akkumulationsprogramm für Einrichtungen, die mit aktiver Regenerierung betrieben werden, soll die Alterungswirkung aufgrund sowohl thermischer Belastung als auch aktiver Regenerierung bei einer emissionsmindernden Einrichtung für den Austausch am Ende ihrer Lebensdauer simulieren.

2.4.3.2. Der zur Durchführung des Betriebsakkumulationsprogramms verwendete und mit dem Abgasnachbehandlungssystem mit emissionsmindernder Einrichtung für den Austausch ausgerüstete Motor wird über mindestens drei modifizierte thermische Abfolgen betrieben; jede Abfolge besteht aus einer thermischen Abfolge gemäß Anlage 4 und einer darauffolgenden vollständigen aktiven Regenerierung, während der die im Abgasnachbehandlungssystem erreichte Höchsttemperatur nicht niedriger als die in der Datenerfassungsphase aufgezeichnete Höchsttemperatur sein darf.

2.4.3.3. Die Temperaturen sind während mindestens zweier modifizierter thermischer Abfolgen aufzuzeichnen. Die erste Abfolge, die dem Vorwärmen dient, ist bei der Sammlung der Temperaturdaten nicht zu berücksichtigen.

2.4.3.4. Zur Minimierung des Zeitraums zwischen der thermischen Abfolge gemäß Anlage 4 und der darauf folgenden aktiven Regenerierung kann der Hersteller die aktive Regenerierung künstlich auslösen, indem nach jeder thermischen Abfolge gemäß Anlage 4 der Motor in einer stetigen Betriebsart, die die Entstehung einer großen Menge an Ruß ermöglicht, betrieben wird. In diesem Fall ist die stetige Betriebsart auch als Teil der modifizierten thermischen Abfolge gemäß Abschnitt 2.4.3.2 zu betrachten.

2.4.3.5. Die tatsächliche, jeder modifizierten thermischen Abfolge entsprechende Alterungszeit ist anhand der Gleichungen 3 und 4 zu berechnen.

2.4.3.6. Die Gesamtanzahl der modifizierten thermischen Abfolgen, die im Betriebsakkumulationsprogramm durchzuführen sind, wird anhand der Gleichung 5 bestimmt.

2.4.3.7. Es ist zulässig, den Wert für NTS - und damit die Dauer des Betriebsakkumulationsprogramms - zu verringern, indem die Temperaturen in jedem Modus der modifizierten thermischen Abfolge durch Anwendung einer oder mehrerer der in Abschnitt 2.4.2.7 genannten Maßnahmen erhöht werden.

2.4.3.8. Zusätzlich zu den in Abschnitt 2.4.3.7 genannten Maßnahmen kann der Wert für NTS auch verringert werden, indem die Höchsttemperatur der aktiven Regenerierung in der modifizierten thermischen Abfolge erhöht, wobei unter keinen Umständen eine Betttemperatur von 800 °C überschritten werden darf.

2.4.3.9. Der Wert für NTS darf nie weniger als 50 % der Anzahl der aktiven Regenerierungen, denen die emissionsmindernde Einrichtung für den Austausch während ihrer Lebensdauer ausgesetzt ist, betragen; die Anzahl der aktiven Regenerierungen wird anhand folgender Gleichung berechnet:

Gleichung 5:

NAR = (tWHTC / tAR + tBAR)

Dabei sind:

NAR = Anzahl der aktiven Regenerierungen, der die emissionsmindernde Einrichtung für den Austausch während ihrer Lebensdauer ausgesetzt ist

tWHTC = gleichwertige Anzahl an Stunden gemäß Tabelle 1 entsprechend der Fahrzeugklasse, für die die emissionsmindernde Einrichtung für den Austausch bestimmt ist

tAR = Dauer der aktiven Regenerierung in Stunden

tBAR = Zeit zwischen zwei aufeinanderfolgenden aktiven Regenerierungen in Stunden

2.4.3.10. Übersteigt aufgrund der Verwendung der Mindestanzahl an modifizierten thermischen Abfolgen gemäß Abschnitt 2.4.3.9 der anhand der Gleichung 4 berechnete Wert für AE × NTS den anhand der Gleichung 2 berechneten Wert für AT, so kann die gemäß Anlage 4 für jeden Modus der thermischen Abfolge geltende und gemäß Abschnitt 2.4.3.2 in die modifizierte thermische Abfolge gebettete Zeit proportional verringert werden, damit AE × NTS = AT.

2.4.3.11. Es ist zulässig, den Wert für NTS - und damit die Dauer des Betriebsakkumulationsprogramms - zu erhöhen, indem die Temperaturen in jedem Modus der thermischaktiven Regenerierungsabfolge durch Anwendung einer oder mehrerer der in Abschnitt 2.4.2.9 genannten Maßnahmen verringert werden.

2.4.3.12. In dem in Abschnitt 2.4.1.5 genannten Fall gelten die Abschnitte 2.4.2.10 und 2.4.2.11.

2.4.4. Schmiermittelverbrauchsakkumulationsprogramm

2.4.4.1. Das Schmiermittelverbrauchsakkumulationsprogramm soll die Wirkung der Alterung aufgrund chemischer Vergiftung oder Ablagerungen als Folge von Schmiermittelverbrauch auf die Leistung einer emissionsmindernden Einrichtung für den Austausch am Ende ihrer Lebensdauer simulieren.

2.4.4.2. Der Schmiermittelverbrauch in g/h ist über mindestens 24 thermische Abfolgen oder eine entsprechende Anzahl modifizierter thermischer Abfolgen mit einer geeigneten Methode, beispielsweise nach dem in Anlage 6 beschriebenen Verfahren zum Ablassen und Wiegen, zu ermitteln. Es ist frisches Schmiermittel zu verwenden.

2.4.4.3. Der Motor muss mit einem Ölsumpf mit konstantem Volumen ausgerüstet sein, um ein Auffüllen zu vermeiden, da der Ölstand die Ölverbrauchsrate beeinflusst. Es ist eine geeignete Methode, beispielsweise die in der Norm ASTM D7156-09 beschrieben, zu verwenden.

2.4.4.4. Die theoretische Zeit in Stunden, während der das thermische Akkumulationsprogramm oder das modifizierte thermische Akkumulationsprogramm durchzuführen wären, um den Schmiermittelverbrauch zu erzielen, der der Lebensdauer der emissionsmindernden Einrichtung für den Austausch entspricht, ist anhand folgender Gleichung zu berechnen:

Gleichung 6:

tTAS = (LCRWHTC× tWHTC / LCRTAS)

Dabei sind:

tTAS = die theoretische Dauer des Betriebsakkumulationsprogramms in Stunden, die erforderlich ist, um den Schmiermittelverbrauch zu erzielen, der der Lebensdauer der emissionsmindernden Einrichtung für den Austausch entspricht, vorausgesetzt, das Betriebsakkumulationsprogramm besteht nur aus einer Reihe aufeinanderfolgender thermischer Abfolgen oder aufeinanderfolgender modifizierter thermischer Abfolgen

LCRWHTC = die gemäß Abschnitt 2.2.15 ermittelte Schmiermittelverbrauchsrate in g/h

tWHTC = gleichwertige Anzahl an Stunden gemäß Tabelle 1 entsprechend der Fahrzeugklasse, für die die emissionsmindernde Einrichtung für den Austausch bestimmt ist

LCRTAS = die gemäß Abschnitt 2.4.4.2 ermittelte Schmiermittelverbrauchsrate in g/h

2.4.4.5. Die dem Wert für tTAS entsprechende Anzahl thermischer Abfolgen oder modifizierter thermischer Abfolgen ist anhand folgender Gleichung zu berechnen:

Gleichung 7:

N = tTAS / tTS

Dabei sind:

N = die dem Wert für tTAS entsprechende Anzahl thermischer Abfolgen oder modifizierter thermischer Abfolgen

tTAS = die theoretische Dauer des Betriebsakkumulationsprogramms in Stunden, die erforderlich ist, um den Schmiermittelverbrauch zu erzielen, der der Lebensdauer der emissionsmindernden Einrichtung für den Austausch entspricht, vorausgesetzt, das Betriebsakkumulationsprogramm bestand nur aus einer Reihe aufeinanderfolgender thermischer Abfolgen oder aufeinanderfolgender modifizierter thermischer Abfolgen

tTS = die Dauer einer einzelnen thermischen Abfolge oder modifizierten thermischen Abfolge in Stunden

2.4.4.6. Der Wert für N ist mit dem gemäß Abschnitt 2.4.2.6 oder, bei die mit aktiver Regenerierung betrieben werden, gemäß Abschnitt 2.4.3.5 berechneten Wert für NTS zu vergleichen. Wenn N ≤ NTS, dann ist es nicht erforderlich, dem thermischen Akkumulationsprogramm ein Schmiermittelverbrauchsakkumulationsprogramm hinzuzufügen. Wenn N > NTS, dann ist dem thermischen Akkumulationsprogramm ein Schmiermittelverbrauchsakkumulationsprogramm hinzuzufügen.

2.4.4.7. Es muss kein Schmiermittelverbrauchsakkumulationsprogramm hinzugefügt werden, wenn durch eine Steigerung des Schmiermittelverbrauchs gemäß Abschnitt 2.4.4.8.4 der erforderliche Schmiermittelverbrauch bereits im Zuge der Durchführung des entsprechenden thermischen Akkumulationsprogramms, das aus thermischen Abfolgen oder modifizierten thermischen Abfolgen der Anzahl NTS besteht, erreicht wurde.

2.4.4.8. Grundlegende Anforderungen für das Schmiermittelverbrauchsakkumulationsprogramm

2.4.4.8.1. Das Schmiermittelverbrauchsakkumulationsprogramm muss aus einer Anzahl an mehrmals zu wiederholenden Schmiermittelverbrauchsabfolgen bestehen, wobei jede Schmiermittelverbrauchsabfolge mit einer thermischen Abfolge oder einer modifizierten thermischen Abfolge abwechselt.

2.4.4.8.2. Jede Schmiermittelverbrauchsabfolge muss aus einer stetigen Betriebsart bei konstanter Last und Drehzahl bestehen, wobei Last und Geschwindigkeit so auszuwählen sind, dass der Schmiermittelverbrauch maximiert und die tatsächliche Alterung minimiert werden. Die Betriebsart ist im Einvernehmen mit der Typgenehmigungsbehörde vom Hersteller nach bestem technischem Ermessen auszuwählen.

2.4.4.8.3. Die Dauer jeder Schmiermittelverbrauchsabfolge ist folgendermaßen zu bestimmen:

2.4.4.8.3.1. Der Motor ist über einen geeigneten Zeitraum mit vom Hersteller gemäß Abschnitt 2.4.4.8.4 gewählten Last- und Geschwindigkeitswerten zu betreiben und der in g/h gemessene Schmiermittelerbrauch ist mit einer geeigneten Methode, beispielsweise nach dem in Anlage 6 beschriebenen Verfahren zum Ablassen und Wiegen, zu ermitteln. Schmiermittelwechsel sind in den empfohlenen Abständen durchzuführen.

2.4.4.8.3.2. Die Dauer jeder Schmiermittelverbrauchsabfolge ist mit folgender Gleichung zu bestimmen:

Gleichung 8:

TLS = (LCRWHTC × tWHTC - LCRTAS × NTS × tTS) / (LCRLAS × NTS)

Dabei sind:

tLS = die Dauer einer einzelnen Schmiermittelverbrauchsabfolge in Stunden

LCRWHTC = die gemäß Abschnitt 2.2.15 ermittelte Schmiermittelverbrauchsrate in g/h

tWHTC = gleichwertige Anzahl an Stunden gemäß Tabelle 1 entsprechend der Fahrzeugklasse, für die die emissionsmindernde Einrichtung für den Austausch bestimmt ist

LCRTAS = die gemäß Abschnitt 2.4.4.2 ermittelte Schmiermittelverbrauchsrate in g/h

LCRLAS = die gemäß Abschnitt 2.4.4.8.3.1 ermittelte Schmiermittelverbrauchsrate in g/h

tTS = die Dauer einer einzelnen thermischen Abfolge in Stunden gemäß Anlage 4 oder einer modifizierten thermischen Abfolge gemäß Abschnitt 2.4.3.2

NTS = die Gesamtanzahl der thermischen Abfolgen oder modifizierten thermischen Abfolgen, die im Betriebsakkumulationsprogramm erfolgen müssen.

2.4.4.8.4. Die Schmiermittelverbrauchsrate muss stets weniger als 0,5 % der Kraftstoffverbrauchsrate des Motors betragen, um eine übermäßige Anhäufung von Asche auf der Vorderseite der emissionsmindernden Einrichtung für den Austausch zu vermeiden.

2.4.4.8.5. Es ist zulässig, die durch die Schmiermittelverbrauchsabfolge entstandene thermische Alterung dem gemäß Gleichung 4 berechneten Wert für AE hinzuzufügen.

2.4.5. Grundlegende Anforderungen für das vollständige Betriebsakkumulationsprogramm

2.4.5.1. Das Betriebsakkumulationsprogramm muss aus einem Wechsel von thermischer oder gegebenenfalls modifizierter thermischer Abfolge und einer Schmiermittelverbrauchsabfolge bestehen. Dieses Muster ist NTS -mal zu wiederholen, wobei der Wert für NTS dem entweder gemäß Abschnitt 2.4.2 oder gegebenenfalls gemäß Abschnitt 2.4.3 berechneten Wert entspricht. Ein Beispiel für ein vollständiges Betriebsakkumulationsprogramm ist in Anlage 7 enthalten. Ein Ablaufdiagramm für ein vollständiges Betriebsakkumulationsprogramm ist in Anlage 8 enthalten.

2.4.6. Durchführung des vollständigen Betriebsakkumulationsprogramms

2.4.6.1. Der mit dem Abgasnachbehandlungssystem mit emissionsmindernder Einrichtung für den Austausch ausgerüstete Motor ist dem in Abschnitt 2.4.5.1 genannten Betriebsakkumulationsprogramm zu unterziehen.

2.4.6.2. Der für das Betriebsakkumulationsprogramm verwendete Motor kann ein anderer als der in der Datenerfassungsphase verwendete sein, wobei Letzterer stets derjenige sein muss, für den die emissionsmindernde Einrichtung für den Austausch, für die die Typgenehmigung beantragt wurde, bestimmt ist, und der gemäß Abschnitt 2.4.3.2 den Emissionsprüfungen zu unterziehen ist.

2.4.6.3. Ist der Hubraum des für das Betriebsakkumulationsprogramm verwendeten Motors um 20 % größer als der Hubraum des in der Datenerfassungsphase verwendeten Motors, dann ist das Abgassystem des ersteren mit einem Bypass auszurüsten, um so genau wie möglich den Abgasdurchsatz des in der Datenerfassungsphase verwendeten Motors unter den ausgewählten Alterungsbedingungen zu reproduzieren.

2.4.6.4. Bei dem in Abschnitt 2.4.6.2 genannten Fall muss der für die Durchführung des Betriebsakkumulationsprogramms verwendete Motor eine Typgenehmigung nach der Verordnung (EG) Nr. 595/2009 aufweisen. Sind die zu prüfenden Einrichtungen für den Einbau in einen Motor mit Abgasrückführungssystem (AGR) bestimmt, dann muss der für das Betriebsakkumulationsprogramm verwendete Motor ebenfalls mit einem AGR ausgerüstet sein. Sind die zu prüfenden Einrichtungen nicht für den Einbau in einen Motor mit Abgasrückführungssystem (AGR) bestimmt, dann darf der für das Betriebsakkumulationsprogramm verwendete Motor ebenfalls nicht mit einem AGR ausgerüstet sein.

2.4.6.5. Das im Betriebsakkumulationsprogramm verwendete Schmiermittel und der Kraftstoff müssen den in der Datenerfassungsphase nach Abschnitt 2.2 verwendeten Betriebsstoffen so weit wie möglich entsprechen. Das Schmiermittel muss der Empfehlung des Motorenherstellers, für den die emissionsmindernde Einrichtung bestimmt ist, entsprechen. Bei den verwendeten Kraftstoffen muss es sich um handelsübliche Kraftstoffe handeln, die die Anforderungen der Richtlinie 98/70/EG erfüllen. Auf Antrag des Herstellers können auch Bezugskraftstoffe nach dieser Verordnung verwendet werden.

2.4.6.6. Das Schmiermittel ist zu Wartungszwecken in den Abständen zu wechseln, die vom Hersteller des in der Datenerfassungsphase verwendeten Motors vorgesehen sind.

2.4.6.7. Bei einem SCR ist die Harnstoff-Eindüsung gemäß der vom Hersteller der emissionsmindernden Einrichtung für den Austausch festgelegten Strategie durchzuführen.

.

Abfolge der thermischen Alterung Anlage 4


Modus Drehzahl (% der hohen Leerlaufdrehzahl) Last (% für eine vorgegebene Geschwindigkeit) Zeit (s)
1 2,92 0,58 626
2 45,72 1,58 418
3 38,87 3,37 300
4 20,23 11,36 102
5 11,37 14,90 62
6 32,78 18,52 370
7 53,12 20,19 410
8 59,53 34,73 780
9 78,24 54,38 132
10 39,07 62,85 212
11 47,82 62,94 188
Regenerierungsmodus (ggf.) festzulegen (siehe Abschnitt 2.4.3.4) festzulegen (siehe Abschnitt 2.4.3.4) festzulegen (siehe Abschnitt 2.4.3.4)
Schmiermittelverbrauchsmodus (ggf.) gemäß Abschnitt 2.4.4.8.2 festzulegen gemäß Abschnitt 2.4.4.8.2 festzulegen gemäß Abschnitt 2.4.4.8.3 festzulegen

Anmerkung: Die Abfolge von Modus 1 bis Modus 11 erfolgt nach aufsteigender Last, um die Temperatur des Abgases im Hochlastbetrieb zu maximieren. Mit Zustimmung der Typgenehmigungsbehörde kann diese Reihenfolge geändert werden, um die Temperatur des Abgases zu optimieren, falls dies für die Verringerung der tatsächlichen Alterungszeit von Nutzen ist.

.

Prüfzyklus für Datenerfassung auf Rollenprüfstand oder Straße Anlage 5


Zeit Geschwindig- keit Zeit Geschwindig-
keit
Zeit Geschwindig-
keit
Zeit Geschwindig-
keit
Zeit Geschwindig-
keit
Zeit Geschwindig-
keit
Zeit Geschwindig-
keit
s km/h s km/h s km/h s km/h s km/h s km/h s km/h
1 0 261 22,38 521 35,46 781 18,33 1.041 39,88 1.301 66,39 1.561 86,88
2 0 262 24,75 522 36,81 782 18,31 1.042 41,25 1.302 66,74 1.562 86,7
3 0 263 25,55 523 37,98 783 18,05 1.043 42,07 1.303 67,43 1.563 86,81
44, 0 264 25,18 524 38,84 784 17,39 1.044 43,03 1.304 68,44 1.564 86,81
5 0 265 23,94 525 39,43 785 16,35 1.045 44,4 1.305 69,52 1.565 86,81
6 0 266 22,35 526 39,73 786 14,71 1.046 45,14 1.306 70,53 1.566 86,81
7 2,35 267 21,28 527 39,8 787 11,71 1.047 45,44 1.307 71,47 1.567 86,99
8 5,57 268 20,86 528 39,69 788 7,81 1.048 46,13 1.308 72,32 1.568 87,03
9 8,18 269 20,65 529 39,29 789 5,25 1.049 46,79 1.309 72,89 1.569 86,92
10 9,37 270 20,18 530 38,59 790 4,62 1.050 47,45 1.310 73,07 1.570 87,1
11 9,86 271 19,33 531 37,63 791 5,62 1.051 48,68 1.311 73,03 1.571 86,85
12 10,18 272 18,23 532 36,22 792 8,24 1.052 50,13 1.312 72,94 1.572 87,14
13 10,38 273 16,99 533 34,11 793 10,98 1.053 51,16 1.313 73,01 1.573 86,96
14 10,57 274 15,56 534 31,16 794 13,15 1.054 51,37 1.314 73,44 1.574 86,85
15 10,95 275 13,76 535 27,49 795 15,47 1.055 51,3 1.315 74,19 1.575 86,77
16 11,56 276 11,5 536 23,63 796 18,19 1.056 51,15 1.316 74,81 1.576 86,81
17 12,22 277 8,68 537 20,16 797 20,79 1.057 50,88 1.317 75,01 1.577 86,85
18 12,97 278 5,2 538 17,27 798 22,5 1.058 50,63 1.318 74,99 1.578 86,74
19 14,33 279 1,99 539 14,81 799 23,19 1.059 50,2 1.319 74,79 1.579 86,81
20 16,38 280 0 540 12,59 800 23,54 1.060 49,12 1.320 74,41 1.580 86,7
21 18,4 281 0 541 10,47 801 24,2 1.061 48,02 1.321 74,07 1.581 86,52
22 19,86 282 0 542 8,85 802 25,17 1.062 47,7 1.322 73,77 1.582 86,7
23 20,85 283 0,5 543 8,16 803 26,28 1.063 47,93 1.323 73,38 1.583 86,74
24 21,52 284 0,57 544 8,95 804 27,69 1.064 48,57 1.324 72,79 1.584 86,81
25 21,89 285 0,6 545 11,3 805 29,72 1.065 48,88 1.325 71,95 1.585 86,85
26 21,98 286 0,58 546 14,11 806 32,17 1.066 49,03 1.326 71,06 1.586 86,92
27 21,91 287 0 547 15,91 807 34,22 1.067 48,94 1.327 70,45 1.587 86,88
28 21,68 288 0 548 16,57 808 35,31 1.068 48,32 1.328 70,23 1.588 86,85
29 21,21 289 0 549 16,73 809 35,74 1.069 47,97 1.329 70,24 1.589 87,1
30 20,44 290 0 550 17,24 810 36,23 1.070 47,92 1.330 70,32 1.590 86,81
31 19,24 291 0 551 18,45 811 37,34 1.071 47,54 1.331 70,3 1.591 86,99
32 17,57 292 0 552 20,09 812 39,05 1.072 46,79 1.332 70,05 1.592 86,81
33 15,53 293 0 553 21,63 813 40,76 1.073 46,13 1.333 69,66 1.593 87,14
34 13,77 294 0 554 22,78 814 41,82 1.074 45,73 1.334 69,26 1.594 86,81
35 12,95 295 0 555 23,59 815 42,12 1.075 45,17 1.335 68,73 1.595 86,85
36 12,95 296 0 556 24,23 816 42,08 1.076 44,43 1.336 67,88 1.596 87,03
37 13,35 297 0 557 24,9 817 42,27 1.077 43,59 1.337 66,68 1.597 86,92
38 13,75 298 0 558 25,72 818 43,03 1.078 42,68 1.338 65,29 1.598 87,14
39 13,82 299 0 559 26,77 819 44,14 1.079 41,89 1.339 63,95 1.599 86,92
40 13,41 300 0 560 28,01 820 45,13 1.080 41,09 1.340 62,84 1.600 87,03
41 12,26 301 0 561 29,23 821 45,84 1.081 40,38 1.341 62,21 1.601 86,99
42 9,82 302 0 562 30,06 822 46,4 1.082 39,99 1.342 62,04 1.602 86,96
43 5,96 303 0 563 30,31 823 46,89 1.083 39,84 1.343 62,26 1.603 87,03
44 2,2 304 0 564 30,29 824 47,34 1.084 39,46 1.344 62,87 1.604 86,85
45 0 305 0 565 30,05 825 47,66 1.085 39,15 1.345 63,55 1.605 87,1
46 0 306 0 566 29,44 826 47,77 1.086 38,9 1.346 64,12 1.606 86,81
47 0 307 0 567 28,6 827 47,78 1.087 38,67 1.347 64,73 1.607 87,03
48 0 308 0 568 27,63 828 47,64 1.088 39,03 1.348 65,45 1.608 86,77
49 0 309 0 569 26,66 829 47,23 1.089 40,37 1.349 66,18 1.609 86,99
50 1,87 310 0 570 26,03 830 46,66 1.090 41,03 1.350 66,97 1.610 86,96
51 4,97 311 0 571 25,85 831 46,08 1.091 40,76 1.351 67,85 1.611 86,96
52 8,4 312 0 572 26,14 832 45,45 1.092 40,02 1.352 68,74 1.612 87,07
53 9,9 313 0 573 27,08 833 44,69 1.093 39,6 1.353 69,45 1.613 86,96
54 11,42 314 0 574 28,42 834 43,73 1.094 39,37 1.354 69,92 1.614 86,92
55 15,11 315 0 575 29,61 835 42,55 1.095 38,84 1.355 70,24 1.615 87,07
56 18,46 316 0 576 30,46 836 41,14 1.096 37,93 1.356 70,49 1.616 86,92
57 20,21 317 0 577 30,99 837 39,56 1.097 37,19 1.357 70,63 1.617 87,14
58 22,13 318 0 578 31,33 838 37,93 1.098 36,21 1.358 70,68 1.618 86,96
59 24,17 319 0 579 31,65 839 36,69 1.099 35,32 1.359 70,65 1.619 87,03
60 25,56 320 0 580 32,02 840 36,27 1.100 35,56 1.360 70,49 1.620 86,85
61 26,97 321 0 581 32,39 841 36,42 1.101 36,96 1.361 70,09 1.621 86,77
62 28,83 322 0 582 32,68 842 37,14 1.102 38,12 1.362 69,35 1.622 87,1
63 31,05 323 0 583 32,84 843 38,13 1.103 38,71 1.363 68,27 1.623 86,92
64 33,72 324 3,01 584 32,93 844 38,55 1.104 39,26 1.364 67,09 1.624 87,07
65 36 325 8,14 585 33,22 845 38,42 1.105 40,64 1.365 65,96 1.625 86,85
66 37,91 326 13,88 586 33,89 846 37,89 1.106 43,09 1.366 64,87 1.626 86,81
67 39,65 327 18,08 587 34,96 847 36,89 1.107 44,83 1.367 63,79 1.627 87,14
68 41,23 328 20,01 588 36,28 848 35,53 1.108 45,33 1.368 62,82 1.628 86,77
69 42,85 329 20,3 589 37,58 849 34,01 1.109 45,24 1.369 63,03 1.629 87,03
70 44,1 330 19,53 590 38,58 850 32,88 1.110 45,14 1.370 63,62 1.630 86,96
71 44,37 331 17,92 591 39,1 851 32,52 1.111 45,06 1.371 64,8 1.631 87,1
72 44,3 332 16,17 592 39,22 852 32,7 1.112 44,82 1.372 65,5 1.632 86,99
73 44,17 333 14,55 593 39,11 853 33,48 1.113 44,53 1.373 65,33 1.633 86,92
74 44,13 334 12,92 594 38,8 854 34,97 1.114 44,77 1.374 63,83 1.634 87,1
75 44,17 335 11,07 595 38,31 855 36,78 1.115 45,6 1.375 62,44 1.635 86,85
76 44,51 336 8,54 596 37,73 856 38,64 1.116 46,28 1.376 61,2 1.636 86,92
77 45,16 337 5,15 597 37,24 857 40,48 1.117 47,18 1.377 59,58 1.637 86,77
78 45,64 338 1,96 598 37,06 858 42,34 1.118 48,49 1.378 57,68 1.638 86,88
79 46,16 339 0 599 37,1 859 44,16 1.119 49,42 1.379 56,4 1.639 86,63
80 46,99 340 0 600 37,42 860 45,9 1.120 49,56 1.380 54,82 1.640 86,85
81 48,19 341 0 601 38,17 861 47,55 1.121 49,47 1.381 52,77 1.641 86,63
82 49,32 342 0 602 39,19 862 49,09 1.122 49,28 1.382 52,22 1.642 86,77
83 49,7 343 0 603 40,31 863 50,42 1.123 48,58 1.383 52,48 1.643 86,77
84 49,5 344 0 604 41,46 864 51,49 1.124 48,03 1.384 52,74 1.644 86,55
85 48,98 345 0 605 42,44 865 52,23 1.125 48,2 1.385 53,14 1.645 86,59
86 48,65 346 0 606 42,95 866 52,58 1.126 48,72 1.386 53,03 1.646 86,55
87 48,65 347 0 607 42,9 867 52,63 1.127 48,91 1.387 52,55 1.647 86,7
88 48,87 348 0 608 42,43 868 52,49 1.128 48,93 1.388 52,19 1.648 86,44
89 48,97 349 0 609 41,74 869 52,19 1.129 49,05 1.389 51,09 1.649 86,7
90 48,96 350 0 610 41,04 870 51,82 1.130 49,23 1.390 49,88 1.650 86,55
91 49,15 351 0 611 40,49 871 51,43 1.131 49,28 1.391 49,37 1.651 86,33
92 49,51 352 0 612 40,8 872 51,02 1.132 48,84 1.392 49,26 1.652 86,48
93 49,74 353 0 613 41,66 873 50,61 1.133 48,12 1.393 49,37 1.653 86,19
94 50,31 354 0,9 614 42,48 874 50,26 1.134 47,8 1.394 49,88 1.654 86,37
95 50,78 355 2 615 42,78 875 50,06 1.135 47,42 1.395 50,25 1.655 86,59
96 50,75 356 4,08 616 42,39 876 49,97 1.136 45,98 1.396 50,17 1.656 86,55
97 50,78 357 7,07 617 40,78 877 49,67 1.137 42,96 1.397 50,5 1.657 86,7
98 51,21 358 10,25 618 37,72 878 48,86 1.138 39,38 1.398 50,83 1.658 86,63
99 51,6 359 12,77 619 33,29 879 47,53 1.139 35,82 1.399 51,23 1.659 86,55
100 51,89 360 14,44 620 27,66 880 45,82 1.140 31,85 1.400 51,67 1.660 86,59
101 52,04 361 15,73 621 21,43 881 43,66 1.141 26,87 1.401 51,53 1.661 86,55
102 51,99 362 17,23 622 15,62 882 40,91 1.142 21,41 1.402 50,17 1.662 86,7
103 51,99 363 19,04 623 11,51 883 37,78 1.143 16,41 1.403 49,99 1.663 86,55
104 52,36 364 20,96 624 9,69 884 34,89 1.144 12,56 1.404 50,32 1.664 86,7
105 52,58 365 22,94 625 9,46 885 32,69 1.145 10,41 1.405 51,05 1.665 86,52
106 52,47 366 25,05 626 10,21 886 30,99 1.146 9,07 1.406 51,45 1.666 86,85
107 52,03 367 27,31 627 11,78 887 29,31 1.147 7,69 1.407 52 1.667 86,55
108 51,46 368 29,54 628 13,6 888 27,29 1.148 6,28 1.408 52,3 1.668 86,81
109 51,31 369 31,52 629 15,33 889 24,79 1.149 5,08 1.409 52,22 1.669 86,74
110 51,45 370 33,19 630 17,12 890 21,78 1.150 4,32 1.410 52,66 1.670 86,63
111 51,48 371 34,67 631 18,98 891 18,51 1.151 3,32 1.411 53,18 1.671 86,77
112 51,29 372 36,13 632 20,73 892 15,1 1.152 1,92 1.412 53,8 1.672 87,03
113 51,12 373 37,63 633 22,17 893 11,06 1.153 1,07 1.413 54,53 1.673 87,07
114 50,96 374 39,07 634 23,29 894 6,28 1.154 0,66 1.414 55,37 1.674 86,92
115 50,81 375 40,08 635 24,19 895 2,24 1.155 0 1.415 56,29 1.675 87,07
116 50,86 376 40,44 636 24,97 896 0 1.156 0 1.416 57,31 1.676 87,18
117 51,34 377 40,26 637 25,6 897 0 1.157 0 1.417 57,94 1.677 87,32
118 51,68 378 39,29 638 25,96 898 0 1.158 0 1.418 57,86 1.678 87,36
119 51,58 379 37,23 639 25,86 899 0 1.159 0 1.419 57,75 1.679 87,29
120 51,36 380 34,14 640 24,69 900 0 1.160 0 1.420 58,67 1.680 87,58
121 51,39 381 30,18 641 21,85 901 0 1.161 0 1.421 59,4 1.681 87,61
122 50,98 382 25,71 642 17,45 902 2,56 1.162 0 1.422 59,69 1.682 87,76
123 48,63 383 21,58 643 12,34 903 4,81 1.163 0 1.423 60,02 1.683 87,65
124 44,83 384 18,5 644 7,59 904 6,38 1.164 0 1.424 60,21 1.684 87,61
125 40,3 385 16,56 645 44, 905 8,62 1.165 0 1.425 60,83 1.685 87,65
126 35,65 386 15,39 646 1,76 906 10,37 1.166 0 1.426 61,16 1.686 87,65
127 30,23 387 14,77 647 0 907 11,17 1.167 0 1.427 61,6 1.687 87,76
128 24,08 388 14,58 648 0 908 13,32 1.168 0 1.428 62,15 1.688 87,76
129 18,96 389 14,72 649 0 909 15,94 1.169 0 1.429 62,7 1.689 87,8
130 14,19 390 15,44 650 0 910 16,89 1.170 0 1.430 63,65 1.690 87,72
131 8,72 391 16,92 651 0 911 17,13 1.171 0 1.431 64,27 1.691 87,69
132 3,41 392 18,69 652 0 912 18,04 1.172 0 1.432 64,31 1.692 87,54
133 0,64 393 20,26 653 0 913 19,96 1.173 0 1.433 64,13 1.693 87,76
134 0 394 21,63 654 0 914 22,05 1.174 0 1.434 64,27 1.694 87,5
135 0 395 22,91 655 0 915 23,65 1.175 0 1.435 65,22 1.695 87,43
136 0 396 24,13 656 0 916 25,72 1.176 0 1.436 66,25 1.696 87,47
137 0 397 25,18 657 0 917 28,62 1.177 0 1.437 67,09 1.697 87,5
138 0 398 26,16 658 2,96 918 31,99 1.178 0 1.438 68,37 1.698 87,5


Zeit Geschwindig-
keit
Zeit Geschwindig-
keit
Zeit Geschwindig-
keit
Zeit Geschwindig-
keit
Zeit Geschwindig-
keit
Zeit Geschwindig-
keit
Zeit Geschwindig-
keit
s km/h s km/h s km/h s km/h s km/h s km/h s km/h
139 0 399 27,41 659 7,9 919 35,07 1.179 0 1.439 69,36 1.699 87,18
140 0 400 29,18 660 13,49 920 37,42 1.180 0 1.440 70,57 1.700 87,36
141 0 401 31,36 661 18,36 921 39,65 1.181 0 1.441 71,89 1.701 87,29
142 0,63 402 33,51 662 22,59 922 41,78 1.182 0 1.442 73,35 1.702 87,18
143 1,56 403 35,33 663 26,26 923 43,04 1.183 0 1.443 74,64 1.703 86,92
144 2,99 404 36,94 664 29,4 924 43,55 1.184 0 1.444 75,81 1.704 87,36
145 4,5 405 38,6 665 32,23 925 42,97 1.185 0 1.445 77,24 1.705 87,03
146 5,39 406 40,44 666 34,91 926 41,08 1.186 0 1.446 78,63 1.706 87,07
147 5,59 407 42,29 667 37,39 927 40,38 1.187 0 1.447 79,32 1.707 87,29
148 5,45 408 43,73 668 39,61 928 40,43 1.188 0 1.448 80,2 1.708 86,99
149 5,2 409 44,47 669 41,61 929 40,4 1.189 0 1.449 81,67 1.709 87,25
150 4,98 410 44,62 670 43,51 930 40,25 1.190 0 1.450 82,11 1.710 87,14
151 4,61 411 44,41 671 45,36 931 40,32 1.191 0 1.451 82,91 1.711 86,96
152 3,89 412 43,96 672 47,17 932 40,8 1.192 0 1.452 83,43 1.712 87,14
153 3,21 413 43,41 673 48,95 933 41,71 1.193 0 1.453 83,79 1.713 87,07
154 2,98 414 42,83 674 50,73 934 43,16 1.194 0 1.454 83,5 1.714 86,92
155 3,31 415 42,15 675 52,36 935 44,84 1.195 0 1.455 84,01 1.715 86,88
156 4,18 416 41,28 676 53,74 936 46,42 1.196 1,54 1.456 83,43 1.716 86,85
157 5,07 417 40,17 677 55,02 937 47,91 1.197 4,85 1.457 82,99 1.717 86,92
158 5,52 418 38,9 678 56,24 938 49,08 1.198 9,06 1.458 82,77 1.718 86,81
159 5,73 419 37,59 679 57,29 939 49,66 1.199 11,8 1.459 82,33 1.719 86,88
160 6,06 420 36,39 680 58,18 940 50,15 1.200 12,42 1.460 81,78 1.720 86,66
161 6,76 421 35,33 681 58,95 941 50,94 1.201 12,07 1.461 81,81 1.721 86,92
162 7,7 422 34,3 682 59,49 942 51,69 1.202 11,64 1.462 81,05 1.722 86,48
163 8,34 423 33,07 683 59,86 943 53,5 1.203 11,69 1.463 80,72 1.723 86,66
164 8,51 424 31,41 684 60,3 944 55,9 1.204 12,91 1.464 80,61 1.724 86,74
165 8,22 425 29,18 685 61,01 945 57,11 1.205 15,58 1.465 80,46 1.725 86,37
166 7,22 426 26,41 686 61,96 946 57,88 1.206 18,69 1.466 80,42 1.726 86,48
167 5,82 427 23,4 687 63,05 947 58,63 1.207 21,04 1.467 80,42 1.727 86,33
168 4,75 428 20,9 688 64,16 948 58,75 1.208 22,62 1.468 80,24 1.728 86,3
169 4,24 429 19,59 689 65,14 949 58,26 1.209 24,34 1.469 80,13 1.729 86,44
170 4,05 430 19,36 690 65,85 950 58,03 1.210 26,74 1.470 80,39 1.730 86,33
171 3,98 431 19,79 691 66,22 951 58,28 1.211 29,62 1.471 80,72 1.731 86
172 3,91 432 20,43 692 66,12 952 58,67 1.212 32,65 1.472 81,01 1.732 86,33
173 3,86 433 20,71 693 65,01 953 58,76 1.213 35,57 1.473 81,52 1.733 86,22
174 4,17 434 20,56 694 62,22 954 58,82 1.214 38,07 1.474 82,4 1.734 86,08
175 5,32 435 19,96 695 57,44 955 59,09 1.215 39,71 1.475 83,21 1.735 86,22
176 7,53 436 20,22 696 51,47 956 59,38 1.216 40,36 1.476 84,05 1.736 86,33
177 10,89 437 21,48 697 45,98 957 59,72 1.217 40,6 1.477 84,85 1.737 86,33
178 14,81 438 23,67 698 41,72 958 60,04 1.218 41,15 1.478 85,42 1.738 86,26
179 17,56 439 26,09 699 38,22 959 60,13 1.219 42,23 1.479 86,18 1.739 86,48
180 18,38 440 28,16 700 34,65 960 59,33 1.220 43,61 1.480 86,45 1.740 86,48
181 17,49 441 29,75 701 30,65 961 58,52 1.221 45,08 1.481 86,64 1.741 86,55
182 15,18 442 30,97 702 26,46 962 57,82 1.222 46,58 1.482 86,57 1.742 86,66
183 13,08 443 31,99 703 22,32 963 56,68 1.223 48,13 1.483 86,43 1.743 86,66
184 12,23 444 32,84 704 18,15 964 55,36 1.224 49,7 1.484 86,58 1.744 86,59
185 12,03 445 33,33 705 13,79 965 54,63 1.225 51,27 1.485 86,8 1.745 86,55
186 11,72 446 33,45 706 9,29 966 54,04 1.226 52,8 1.486 86,65 1.746 86,74
187 10,69 447 33,27 707 4,98 967 53,15 1.227 54,3 1.487 86,14 1.747 86,21
188 8,68 448 32,66 708 1,71 968 52,02 1.228 55,8 1.488 86,36 1.748 85,96
189 6,2 449 31,73 709 0 969 51,37 1.229 57,29 1.489 86,32 1.749 85,5
190 4,07 450 30,58 710 0 970 51,41 1.230 58,73 1.490 86,25 1.750 84,77
191 2,65 451 29,2 711 0 971 52,2 1.231 60,12 1.491 85,92 1.751 84,65
192 1,92 452 27,56 712 0 972 53,52 1.232 61,5 1.492 86,14 1.752 84,1
193 1,69 453 25,71 713 0 973 54,34 1.233 62,94 1.493 86,36 1.753 83,46
194 1,68 454 23,76 714 0 974 54,59 1.234 64,39 1.494 86,25 1.754 82,77
195 1,66 455 21,87 715 0 975 54,92 1.235 65,52 1.495 86,5 1.755 81,78
196 1,53 456 20,15 716 0 976 55,69 1.236 66,07 1.496 86,14 1.756 81,16
197 1,3 457 18,38 717 0 977 56,51 1.237 66,19 1.497 86,29 1.757 80,42
198 1 458 15,93 718 0 978 56,73 1.238 66,19 1.498 86,4 1.758 79,21
199 0,77 459 12,33 719 0 979 56,33 1.239 66,43 1.499 86,36 1.759 78,48
200 0,63 460 7,99 720 0 980 55,38 1.240 67,07 1.500 85,63 1.760 77,49
201 0,59 461 4,19 721 0 981 54,99 1.241 68,04 1.501 86,03 1.761 76,69
202 0,59 462 1,77 722 0 982 54,75 1.242 69,12 1.502 85,92 1.762 75,92
203 0,57 463 0,69 723 0 983 54,11 1.243 70,08 1.503 86,14 1.763 75,08
204 0,53 464 1,13 724 0 984 53,32 1.244 70,91 1.504 86,32 1.764 73,87
205 0,5 465 2,2 725 0 985 52,41 1.245 71,73 1.505 85,92 1.765 72,15
206 0 466 3,59 726 0 986 51,45 1.246 72,66 1.506 86,11 1.766 69,69
207 0 467 4,88 727 0 987 50,86 1.247 73,67 1.507 85,91 1.767 67,17
208 0 468 5,85 728 0 988 50,48 1.248 74,55 1.508 85,83 1.768 64,75
209 0 469 6,72 729 0 989 49,6 1.249 75,18 1.509 85,86 1.769 62,55
210 0 470 8,02 730 0 990 48,55 1.250 75,59 1.510 85,5 1.770 60,32
211 0 471 10,02 731 0 991 47,87 1.251 75,82 1.511 84,97 1.771 58,45
212 0 472 12,59 732 0 992 47,42 1.252 75,9 1.512 84,8 1.772 56,43
213 0 473 15,43 733 0 993 46,86 1.253 75,92 1.513 84,2 1.773 54,35
214 0 474 18,32 734 0 994 46,08 1.254 75,87 1.514 83,26 1.774 52,22
215 0 475 21,19 735 0 995 45,07 1.255 75,68 1.515 82,77 1.775 50,25
216 0 476 24 736 0 996 43,58 1.256 75,37 1.516 81,78 1.776 48,23
217 0 477 26,75 737 0 997 41,04 1.257 75,01 1.517 81,16 1.777 46,51
218 0 478 29,53 738 0 998 38,39 1.258 74,55 1.518 80,42 1.778 44,35
219 0 479 32,31 739 0 999 35,69 1.259 73,8 1.519 79,21 1.779 41,97
220 0 480 34,8 740 0 1.000 32,68 1.260 72,71 1.520 78,83 1.780 39,33
221 0 481 36,73 741 0 1.001 29,82 1.261 71,39 1.521 78,52 1.781 36,48
222 0 482 38,08 742 0 1.002 26,97 1.262 70,02 1.522 78,52 1.782 33,8
223 0 483 39,11 743 0 1.003 24,03 1.263 68,71 1.523 78,81 1.783 31,09
224 0 484 40,16 744 0 1.004 21,67 1.264 67,52 1.524 79,26 1.784 28,24
225 0 485 41,18 745 0 1.005 20,34 1.265 66,44 1.525 79,61 1.785 26,81
226 0,73 486 41,75 746 0 1.006 18,9 1.266 65,45 1.526 80,15 1.786 23,33
227 0,73 487 41,87 747 0 1.007 16,21 1.267 64,49 1.527 80,39 1.787 19,01
228 0 488 41,43 748 0 1.008 13,84 1.268 63,54 1.528 80,72 1.788 15,05
229 0 489 39,99 749 0 1.009 12,25 1.269 62,6 1.529 81,01 1.789 12,09
230 0 490 37,71 750 0 1.010 10,4 1.270 61,67 1.530 81,52 1.790 9,49
231 0 491 34,93 751 0 1.011 7,94 1.271 60,69 1.531 82,4 1.791 6,81
232 0 492 31,79 752 0 1.012 6,05 1.272 59,64 1.532 83,21 1.792 4,28
233 0 493 28,65 753 0 1.013 5,67 1.273 58,6 1.533 84,05 1.793 2,09
234 0 494 25,92 754 0 1.014 6,03 1.274 57,64 1.534 85,15 1.794 0,88
235 0 495 23,91 755 0 1.015 7,68 1.275 56,79 1.535 85,92 1.795 0,88
236 0 496 22,81 756 0 1.016 10,97 1.276 55,95 1.536 86,98 1.796 0
237 0 497 22,53 757 0 1.017 14,72 1.277 55,09 1.537 87,45 1.797 0
238 0 498 22,62 758 0 1.018 17,32 1.278 54,2 1.538 87,54 1.798 0
239 0 499 22,95 759 0 1.019 18,59 1.279 53,33 1.539 87,25 1.799 0
240 0 500 23,51 760 0 1.020 19,35 1.280 52,52 1.540 87,04 1.800 0
241 0 501 24,04 761 0 1.021 20,54 1.281 51,75 1.541 86,98
242 0 502 24,45 762 0 1.022 21,33 1.282 50,92 1.542 87,05
243 0 503 24,81 763 0 1.023 22,06 1.283 49,9 1.543 87,1
244 0 504 25,29 764 0 1.024 23,39 1.284 48,68 1.544 87,25
245 0 505 25,99 765 0 1.025 25,52 1.285 47,41 1.545 87,25
246 0 506 26,83 766 0 1.026 28,28 1.286 46,5 1.546 87,07
247 0 507 27,6 767 0 1.027 30,38 1.287 46,22 1.547 87,29
248 0 508 28,17 768 0 1.028 31,22 1.288 46,44 1.548 87,14
249 0 509 28,63 769 0 1.029 32,22 1.289 47,35 1.549 87,03
250 0 510 29,04 770 0 1.030 33,78 1.290 49,01 1.550 87,25
251 0 511 29,43 771 0 1.031 35,08 1.291 50,93 1.551 87,03
252 0 512 29,78 772 1,6 1.032 35,91 1.292 52,79 1.552 87,03
253 1,51 513 30,13 773 5,03 1.033 36,06 1.293 54,66 1.553 87,07
254 4,12 514 30,57 774 9,49 1.034 35,5 1.294 56,6 1.554 86,81
255 7,02 515 31,1 775 13 1.035 34,76 1.295 58,55 1.555 86,92
256 9,45 516 31,65 776 14,65 1.036 34,7 1.296 60,47 1.556 86,66
257 11,86 517 32,14 777 15,15 1.037 35,41 1.297 62,28 1.557 86,92
258 14,52 518 32,62 778 15,67 1.038 36,65 1.298 63,9 1.558 86,59
259 17,01 519 33,25 779 16,76 1.039 37,57 1.299 65,2 1.559 86,92
260 19,48 520 34,2 780 17,88 1.040 38,51 1.300 66,02 1.560 86,59

.

Ablass- und Wiegeverfahren Anlage 6

1. Der Motor ist mit neuem Öl zu befüllen. Wird ein Ölsumpf mit konstantem Volumen gemäß der Norm ASTM standard D7156-09 verwendet, so ist beim Befüllen des Motors die Ölpumpe einzuschalten. Es ist so viel Öl hinzuzufügen, bis sowohl der Motor als auch die externe Ölwanne gefüllt sind.

2. Der Motor ist zu starten und im jeweiligen Prüfzyklus für mindestens eine Stunde zu betreiben (siehe Abschnitte 2.2.15 und 2.4.4.8.3.1).

3. Wenn der Zyklus abgeschlossen ist, soll sich die Öltemperatur unter konstanten Motor-Bedingungen stabilisieren, bevor der Motor abgestellt wird.

4. Eine saubere, leere Ölwechselpfanne ist zu wiegen.

5. Jegliches saubere, beim Ölwechsel zu verwendende Zubehör (z.B. Lappen) ist ebenfalls zu wiegen.

6. Das Öl ist zehn Minuten lang mit der eingeschalteten externen Ölpumpe (falls vorhanden) und anschließend für weitere zehn Minuten bei ausgeschalteter Pumpe abzulassen. Wird kein Ölsumpf mit konstantem Volumen verwendet, dann ist das Öl für insgesamt zwanzig Minuten aus dem Motor abzulassen.

7. Das abgelassene Öl ist zu wiegen.

8. Das gemäß Nummer 4 ermittelte Gewicht ist von dem gemäß Nummer 7 ermittelten Gewicht abzuziehen. Die Differenz entspricht dem Gesamtgewicht des dem Motor entnommenen und in der Ablasspfanne aufgefangenen Öls.

9. Der Motor ist sodann vorsichtig mit dem Öl wiederzubefüllen.

10. Die leere Ablasspfanne ist zu wiegen.

11. Das gemäß Nummer 10 ermittelte Gewicht ist von dem gemäß Nummer 4 ermittelten Gewicht abzuziehen. Das Ergebnis entspricht dem Gewicht des restlichen Öl in der Ablasspfanne, das nicht wieder in den Motor gefüllt wurde.

12. Jegliches verschmutzte Zubehör, das zuvor gemäß Nummer 5 gewogen wurde, ist erneut zu wiegen.

13. Das gemäß Nummer 12 ermittelte Gewicht ist von dem gemäß Nummer 5 ermittelten Gewicht abzuziehen. Das Ergebnis entspricht dem Gewicht des restlichen Öls auf dem verschmutzen Zubehör, das nicht wieder in den Motor gefüllt wurde.

14. Das gemäß den Nummern 11 und 13 berechnete Gewicht des restlichen Öls ist vom Gesamtgewicht des entfernten und gemäß Nummer 8 berechneten Öls abzuziehen. Die Differenz der beiden Gewichtswerte entspricht dem Gesamtgewicht des dem Motor wieder hinzugefügten Öls.

15. Der Motor ist im jeweiligen Prüfzyklus zu betreiben (siehe Abschnitte 2.2.15 und 2.4.4.8.3.1).

16. Die unter den Nummern 3 bis 8 beschriebenen Schritte sind zu wiederholen.

17. Das gemäß Nummer 16 abgelassene Gewicht ist von dem gemäß Nummer 14 ermittelten Gewicht abzuziehen. Die Differenz dieser Gewichtswerte entspricht dem Gesamtgewicht des verbrauchten Öls.

18. Das Gesamtgewicht des verbrauchten und gemäß Nummer 14 berechneten Öls ist durch die Dauer (in Stunden) der gemäß Nummer 15 durchgeführten Prüfzyklen zu teilen. Das Ergebnis entspricht der Schmiermittelverbrauchsrate.

.

Beispiel für ein Betriebsakkumulationsprogramm mit thermischen, Schmiermittelverbrauchs- und Regenerierungsabfolgen Anlage 7

.

Ablaufdiagramm für das Betriebsakkumulationsprogramm Anlage 8

.

Übereinstimmung in Betrieb befindlicher Motoren und Fahrzeuge, die nach Richtlinie 2005/55/EG typgenehmigt wurden Anhang XII14

1. Einleitung

1.1 Nachfolgend sind die Anforderungen für die Übereinstimmung in Betrieb befindlicher Motoren und Fahrzeuge beschrieben, die nach Richtlinie 2005/55/EG typgenehmigt wurden.

2. Verfahren für die Prüfung der Übereinstimmung im Betrieb

2.1 Für die Prüfung der Übereinstimmung im Betrieb gelten die Bestimmungen von Anhang 8 der UNECE-Regelung Nr. 49, Änderung 5.

2.2 Auf Antrag des Herstellers kann die Genehmigungsbehörde, welche die ursprüngliche Typgenehmigung erteilt hat, entscheiden, gemäß Anhang II dieser Verordnung das Verfahren zur Prüfung der Übereinstimmung in Betrieb befindlicher Motoren und Fahrzeuge zu verwenden, die nach Richtlinie 2005/55/EG typgenehmigt wurden.

2.3. Werden die in Anhang II beschriebenen Verfahren verwendet, gelten die folgenden Ausnahmen:

2.3.1 Alle Bezugnahmen auf WHTC und WHSC sind als Bezugnahmen auf ETC beziehungsweise ESC im Sinne von Anhang 4a von UNECE-Regelung Nr. 49, Änderung 5 zu verstehen.

2.3.2 Abschnitt 2.2 in Anhang II dieser Verordnung findet keine Anwendung.

2.3.3 Gelten die normalen Betriebsbedingungen eines bestimmten Fahrzeugs als nicht kompatibel mit der ordnungsgemäßen Durchführung der Prüfungen, können der Hersteller oder die Genehmigungsbehörde beantragen, dass alternative Fahrstrecken und Nutzlasten verwendet werden. Die Anforderungen in den Abschnitten 4.1 und 4.5 in Anhang II dieser Verordnung sind als Leitlinien zu verwenden, um zu ermitteln, ob das Fahrmuster und die Nutzlasten für die Prüfung der Übereinstimmung im Betrieb akzeptabel sind.

Wenn das Fahrzeug von einem anderen Fahrer als dem üblichen Berufskraftfahrer des bestimmten Fahrzeugs betrieben wird, muss dieser andere Fahrer ausgebildet und geschult werden, um schwere Nutzfahrzeuge der zu prüfenden Klasse zu führen.

2.3.4 Abschnitte 2.3 und 2.4 von Anhang II finden keine Anwendung.

2.3.5 Abschnitt 3.1 von Anhang II findet keine Anwendung.

2.3.6 Der Hersteller muss Prüfungen der Übereinstimmung im Betrieb an dieser Motorenfamilie durchführen. Das Prüfprogramm ist von der Genehmigungsbehörde zu genehmigen.

Auf Antrag des Herstellers können die Prüfungen fünf Jahre nach Ende der Herstellung eingestellt werden.

2.3.7 Auf Antrag des Herstellers kann die Genehmigungsbehörde sich für einen Stichprobenplan gemäß den Nummern 3.1.1, 3.1.2 und 3.1.3 von Anhang II oder gemäß Anlage 3 zu Anhang 8 zu UNECE- Regelung Nr. 49, Änderung 5 entscheiden.

2.3.8 Abschnitt 4.4.2 von Anhang II dieser Verordnung findet keine Anwendung.

2.3.9 Der Kraftstoff kann auf Antrag des Herstellers durch den entsprechenden Bezugskraftstoff ersetzt werden.

2.3.10 Die Werte in Anhang II Abschnitt 4.5 können als Leitlinie verwendet werden, um zu ermitteln, ob das Fahrmuster und die Nutzlasten für die Prüfung der Übereinstimmung im Betrieb akzeptabel sind.

2.3.11 Abschnitt 4.6.5 in Anhang II findet keine Anwendung.

2.3.12 Die Mindest-Prüfdauer muss drei Mal der Arbeit des ETC-Zyklus oder der CO2-Bezugsmasse in kg/Zyklus des ETC-Zyklus entsprechen.

2.3.13 Abschnitt 5.1.1.1.2 von Anhang II findet keine Anwendung.

2.3.14 Können die in Anhang II Abschnitt 5.1.1 genannten Streaming-Daten nicht mittels eines Lesegeräts, das einwandfrei funktioniert, bei zwei Fahrzeugen mit Motoren derselben Motorenfamilie ordnungsgemäß abgerufen werden, so ist der Motor gemäß den Verfahren in Anhang 8 der UN/ECE-Regelung Nr. 49 zu prüfen.

2.3.15 Die Bestätigungsprüfung kann auf einem Motorprüfstand gemäß Anhang 8 der UN/ECE-Regelung Nr. 49 durchgeführt werden.

2.3.16 Der Hersteller kann beantragen, dass die Genehmigungsbehörde die Bestätigungsprüfung auf einem Motorprüfstand gemäß Anhang 8 der UN/ECE-Regelung Nr. 49 durchführt, wenn die folgenden Bedingungen erfüllt sind:

  1. für die gemäß Abschnitt 2.3.7 geprüften Fahrzeuge wurde eine negative Entscheidung getroffen,
  2. der kumulative 90-Perzentil-Wert der Übereinstimmungsfaktoren der Abgasemissionen des geprüften Motorsystems, der gemäß den Mess- und Berechnungsverfahren in Anhang II Anlage 1 ermittelt wurde, überschreitet den Wert von 2,0 nicht.

.

Vorschriften zur Gewährleistung des ordnungsgemäßen Arbeitens von Einrichtungen zur Begrenzung der NOx-Emissionen Anhang XIII12 14 16

1. Einleitung

Nachfolgend sind die Anforderungen beschrieben, durch die das ordnungsgemäße Arbeiten von Einrichtungen zur Begrenzung der NOx-Emissionen gewährleistet wird. Dies beinhaltet auch Anforderungen für Fahrzeuge, die mit einem Reagens arbeiten, um Emissionen zu reduzieren.

2. Allgemeine Anforderungen

Die allgemeinen Anforderungen entsprechen denjenigen, die in Anhang 11 Absatz 2 der UNECE- Regelung Nr. 49 angegeben sind, mit den in den Nummern 2.1 bis 2.1.5 dieser Verordnung beschriebenen Ausnahmen.

2.1. Alternativgenehmigung

2.1.1. Auf Antrag des Herstellers wird für Fahrzeuge der Klassen M2 und N1, für Fahrzeuge der Klassen M1 und N 2 mit einer zulässigen Gesamtmasse von höchstens 7,5 Tonnen sowie für Fahrzeuge der Klasse M3 Unterklassen I, II, a und B gemäß Anhang I der Richtlinie 2001/85/EG mit einer zulässigen Masse von höchstens 7,5 Tonnen die Einhaltung der Anforderungen in Anhang XVI der Verordnung (EG) Nr. 692/2008 als gleichwertig mit der Einhaltung der Anforderungen dieses Anhangs angesehen.

2.1.2. Wird von einer Alternativgenehmigung Gebrauch gemacht, gilt Folgendes:

2.1.2.1. Die Angaben zum ordnungsgemäßen Arbeiten von Einrichtungen zur Begrenzung der NOx-Emissionen gemäß den Nummern 3.2.12.2.8.1 bis 3.2.12.2.8.5 von Teil 2 der Anlage 4 zu Anhang I dieser Verordnung werden durch die Angaben in Nummer 3.2.12.2.8 der Anlage 3 zu Anhang I der Regelung (EG) Nr. 692/2008 ersetzt.

2.1.2.2. Hinsichtlich der Anwendung der Anforderungen von Anhang XVI der Verordnung (EG) Nr. 692/2008 und dieses Anhangs gelten folgende Ausnahmen:

2.1.2.2.1. Es gelten die Bestimmungen zur Überwachung der Reagensqualität gemäß den Abschnitten 7 bis 7.1.3 dieses Anhangs anstelle der Abschnitte 4.1 und 4.2 des Anhangs XVI der Verordnung (EG) Nr. 692/2008.

2.1.2.2.2. Es gelten die Bestimmungen zur Überwachung des Reagensverbrauchs und der Dosierung gemäß den Nummern 8, 8.1 und 8.1.1 dieses Anhangs anstelle der Abschnitte 5 bis 5.5 des Anhangs XVI der Verordnung (EG) Nr. 692/2008.

2.1.2.2.3. Das in den Abschnitten 4, 7 und 8 dieses Anhangs beschriebene Fahrerwarnsystem ist als das in Abschnitt 3 des Anhangs XVI der Verordnung (EG) Nr. 692/2008 erwähnte Fahrerwarnsystem zu verstehen.

2.1.2.2.4. Abschnitt 6 von Anhang XVI der Verordnung (EG) Nr. 692/2008 findet keine Anwendung.

2.1.2.2.5. Für Fahrzeuge zur Verwendung durch Rettungsdienste oder für Motoren oder Fahrzeuge, die in Artikel 2 Absatz 3 Buchstabe b der Richtlinie 2007/46/EG genannt werden, gelten die Bestimmungen von Nummer 5.2 dieses Anhangs.

2.1.3. Absatz 2.2.1 von Anhang 11 der UNECE-Regelung Nr. 49 ist folgendermaßen zu verstehen:

'2.2.1. Für von diesem Anhang erfasste Motorsysteme muss der Hersteller die in der Anlage 4 zu Anhang I dieser Verordnung genannten ausführlichen Angaben über die Funktions- und Betriebsmerkmale machen.'

2.1.4. Der erste Absatz von Nummer 2.2.4 von Anhang 11 der UNECE-Regelung Nr. 49 ist folgendermaßen zu verstehen:

'2.2.4. Wenn ein Hersteller die Genehmigung eines Motors oder einer Motorenfamilie als selbständige technische Einheit beantragt, so muss er in die in Artikel 5 Absatz 3, Artikel 7 Absatz 3 oder Artikel 9 Absatz 3 dieser Verordnung genannte Dokumentation die Vorschriften aufnehmen, die zu beachten sind, damit das Fahrzeug bei Betrieb auf der Straße oder gegebenenfalls andernorts den Anforderungen dieses Anhangs entspricht. Diese Dokumentation muss Folgendes enthalten:'

2.1.5. Absatz 2.3.1 von Anhang 11 der UNECE-Regelung Nr. 49 ist folgendermaßen zu verstehen:

'2.3.1. Jedes Motorsystem, für das dieser Anhang gilt, muss seine emissionsmindernde Funktion unter allen auf dem Gebiet der Union regelmäßig anzutreffenden Bedingungen und insbesondere bei niedrigen Umgebungstemperaturen gemäß Anhang VI beibehalten.'

2.2. - gestrichen -

2.2.1 - gestrichen -

2.2.2 - gestrichen -

2.2.3 - gestrichen -

2.2.4 - gestrichen -

2.3. - gestrichen -

2.3.1 - gestrichen -

2.3.2. - gestrichen -

2.4. - gestrichen -

2.4.1 - gestrichen -

2.4.1.1 - gestrichen -

2.4.2. - gestrichen -

2.4.2.1 - gestrichen -

2.4.2.2. - gestrichen -

2.4.2.2.1 - gestrichen -

2.4.2.2.2 - gestrichen -

2.4.2.2.3 - gestrichen -

2.4.2.2.4 - gestrichen -

2.4.3. - gestrichen -

2.4.3.1 - gestrichen -

2.4.3.2 - gestrichen -

2.5 - gestrichen -

3. Instandhaltungsanforderungen

3.1 Die Instandhaltungsanforderungen entsprechen denen, die in Anhang 11 Absatz 3 der UNECE-Regelung Nr. 49 angegeben sind.

3.2 - gestrichen -

3.3 - gestrichen -

3.4 - gestrichen -

3.5 - gestrichen -

3.6 - gestrichen -

3.7 - gestrichen -

4. Fahrerwarnsystem

4.1 Die Eigenschaften und der Betrieb des Fahrerwarnsystems müssen so sein wie in Anhang 11 Absatz 4 der UNECE-Regelung Nr. 49 angegeben, mit den in Nummer 4.1.1 dieser Verordnung beschriebenen Ausnahmen.

4.1.1. Absatz 4.8 von Anhang 11 der UNECE-Regelung Nr. 49 ist folgendermaßen zu verstehen:

,4.8. Eine Einrichtung, die dem Fahrer ermöglicht, die optischen Signale des Warnsystems zu dimmen, kann in Fahrzeugen zur Verfügung gestellt werden, die von Rettungskräften genutzt werden, oder in Fahrzeugen der Kategorien, die in Artikel 2 Absatz 3 Buchstabe b der Richtlinie 2007/46/EG festgelegt sind.'

4.2 - gestrichen -

4.3. - gestrichen -

4.4 - gestrichen -

4.5 - gestrichen -

4.6 - gestrichen -

4.7 - gestrichen -

4.8 - gestrichen -

4.9 - gestrichen -

4.10 - gestrichen -

5. Fahreraufforderungssystem

5.1 Die Eigenschaften und der Betrieb des Fahreraufforderungssystems müssen so sein wie in Anhang 11 Absatz 5 der UNECE-Regelung Nr. 49 angegeben, mit den in Nummer 5.1.1 dieser Verordnung beschriebenen Ausnahmen.

5.1.1. Absatz 5.2 von Anhang 11 der UNECE-Regelung Nr. 49 ist folgendermaßen zu verstehen:

'5.2. Die Anforderungen für ein Fahreraufforderungssystem gelten nicht für Motoren oder Fahrzeuge, die von Rettungskräften genutzt werden, oder für Motoren oder Fahrzeuge, die in Artikel 2 Absatz 3 Buchstabe b der Richtlinie 2007/46/EG festgelegt sind. Die dauerhafte Deaktivierung des Fahreraufforderungssystems darf nur vom Motor- oder Fahrzeughersteller vorgenommen werden.'

5.2 - gestrichen -

5.3. - gestrichen -

5.4. - gestrichen -

5.4.1 - gestrichen -

5.4.2 - gestrichen -

5.4.3 - gestrichen -

5.4.4 - gestrichen -

5.5 - gestrichen -

5.5.1 - gestrichen -

5.6 - gestrichen -

5.7 - gestrichen -

5.8 - gestrichen -

6. Verfügbarkeit des Reagensmittels

6.1. Die Maßnahmen hinsichtlich des Reagensmittels entsprechen denen, die in Anhang 11 Absatz 6 der UNECE-Regelung Nr. 49 angegeben sind.

6.2. - gestrichen -

6.2.1 - gestrichen -

6.2.2 - gestrichen -

6.2.3 - gestrichen -

6.2.4 - gestrichen -

6.2.5 - gestrichen -

6.3. - gestrichen -

6.3.1 - gestrichen -

6.3.2 - gestrichen -

6.3.3 - gestrichen -

7. Überwachung der Reagensqualität

7.1 Die Maßnahmen zur Überwachung der Reagensqualität entsprechen denjenigen, die in Anhang 11 Absatz 7 der UNECE-Regelung Nr. 49 angegeben sind, mit den in den Nummern 7.1.1 bis 7.1.3 dieser Verordnung beschriebenen Ausnahmen.

7.1.1 Absatz 7.1.1 von Anhang 11 der UNECE-Regelung Nr. 49 ist folgendermaßen zu verstehen:

'7.1.1. Der Hersteller muss eine minimal akzeptable Reagenskonzentration CDmin festlegen, die bedingt, dass die Abgasemissionen die in Anhang I der Verordnung (EG) Nr. 595/2009 angegebenen Grenzwerte nicht überschreiten.'

7.1.1.1 - gestrichen -

7.1.1.2 - gestrichen -

7.1.2 Absatz 7.1.1.1 von Anhang 11 der UNECE-Regelung Nr. 49 ist folgendermaßen zu verstehen:

'7.1.1.1. Während der in Artikel 4 Absatz 7 angegebenen Übergangszeit und auf Antrag des Herstellers für die Zwecke der Nummer 7.1 ist die Bezugnahme auf den in Anhang I der Verordnung (EG) Nr. 595/2009 angegebenen NOx-Emissionsgrenzwert durch den Wert 900 mg/kWh zu ersetzen.'

7.1.3 Absatz 7.1.1.2 von Anhang 11 der UNECE-Regelung Nr. 49 ist folgendermaßen zu verstehen:

'7.1.1.2. Der korrekte Wert von CDmin ist während der Typgenehmigung durch das in Anlage 6 zu Anhang 11 der UNECE-Regelung Nr. 49 festgelegte Verfahren nachzuweisen und in der erweiterten Dokumentation gemäß Artikel 3 und Abschnitt 8 von Anhang I dieser Verordnung aufzuzeichnen.'

7.1.4 - gestrichen -

7.1.5 - gestrichen -

7.2. - gestrichen -

7.3. - gestrichen -

7.3.1 - gestrichen -

7.3.2 - gestrichen -

7.3.3 - gestrichen -

8. Reagensverbrauch und -Dosierung16

8.1 Die Maßnahmen hinsichtlich der Überwachung des Reagensverbrauchs und der Reagensdosierung entsprechen denen, die in Anhang 11 Absatz 8 der UNECE-Regelung Nr. 49 angegeben sind.

8.1.1. Absatz 8.4.1.1 von Anhang 11 der UNECE-Regelung Nr. 49 ist folgendermaßen zu verstehen:

'8.4.1.1 Bis zum Ende der in Artikel 4 Absatz 7 dieser Verordnung beschriebenen Übergangszeit aktiviert sich das in Abschnitt 4 von Anhang 11 der UNECE-Regelung Nr. 49 beschriebene Fahrerwarnsystem, wenn eine Abweichung von über 50 % zwischen dem durchschnittlichen Reagensverbrauch und dem durchschnittlichen Reagensbedarf des Motorsystems über einen vom Hersteller definierten Zeitraum erkannt wird, der nicht länger ist als der in Absatz 8.3.1 von Anhang 11 der UNECE-Regelung Nr. 49 beschriebene maximale Zeitraum.'

8.2. - gestrichen -

8.2.1 - gestrichen -

8.2.2 - gestrichen -

8.2.3 - gestrichen -

8.3. - gestrichen -

8.3.1 - gestrichen -

8.3.2 - gestrichen -

8.4. - gestrichen -

8.4.1 - gestrichen -

8.4.1.1 - gestrichen -

8.4.2 - gestrichen -

8.5. - gestrichen -

8.5.1 - gestrichen -

8.5.2 - gestrichen -

8.5.3 - gestrichen -

9. Überwachungsfehler, die auf Manipulation zurückzuführen sein könnten

9.1. Die Maßnahmen hinsichtlich Überwachungsfehlern, die auf Manipulation zurückzuführen sein könnten, entsprechen denen, die in Anhang 11 Absatz 6 der UNECE-Regelung Nr. 49 angegeben sind.

9.2. - gestrichen -

9.2.1 - gestrichen -

9.2.2. - gestrichen -

9.2.2.1 - gestrichen -

9.2.2.2 - gestrichen -

9.2.2.3 - gestrichen -

9.2.3. - gestrichen -

9.2.3.1 - gestrichen -

9.2.3.2 - gestrichen -

9.2.3.3 - gestrichen -

9.3. - gestrichen -

9.4. - gestrichen -

9.4.1 - gestrichen -

9.4.2 - gestrichen -

9.4.3 - gestrichen -

10. Zweistoffmotoren und -fahrzeuge

Die Anforderungen, durch die das ordnungsgemäße Arbeiten von Einrichtungen zur Begrenzung der NOx-Emissionen von Zweistoffmotoren und -fahrzeugen gewährleistet wird, müssen denen entsprechen, die in Anhang 15 Absatz 8 der UNECE-Regelung Nr. 49 angegeben sind, mit den in Nummer 10.1 dieser Verordnung beschriebenen Ausnahmen:

10.1. Absatz 8.1 von Anhang 15 der UNECE-Regelung Nr. 49 ist folgendermaßen zu verstehen:

'8.1. Die Abschnitte 1 bis 9 dieses Anhangs gelten für HDDF-Motoren und Fahrzeuge, unabhängig davon, ob sie in Zweistoff- oder Dieselbetrieb laufen.'

11. Anhang 11 Anlage 1 Absatz A.1.4.3 Buchstabe c der UNECE-Regelung Nr. 49 ist folgendermaßen zu verstehen:

'c) Das Erreichen der Drehmomentreduzierung, die für eine schwache Aufforderung erforderlich ist, kann zu dem Zeitpunkt nachgewiesen werden, wenn der allgemeine Prozess zur Genehmigung der Motorleistung gemäß dieser Verordnung durchgeführt wird. Eine separate Drehmomentmessung im Laufe des Nachweises für das Aufforderungssystem ist in diesem Fall nicht erforderlich. Die für die starke Aufforderung erforderliche Geschwindigkeitsbegrenzung ist gemäß den Anforderungen in Abschnitt 5 dieses Anhangs nachzuweisen.'

12. Die ersten beiden Absätze von Anlage 4 zu Anhang 11 der UNECE-Regelung Nr. 49 sind folgendermaßen zu verstehen:

,Diese Anlage findet Anwendung, wenn der Fahrzeughersteller eine EG-Typgenehmigung eines Fahrzeugs mit einem genehmigten Motor hinsichtlich der Emissionen und des Zugangs zu Reparatur- und Wartungsinformationen gemäß Verordnung (EG) Nr. 595/2009 und dieser Verordnung beantragt.

In diesem Falle ist zusätzlich zu den Einbauanforderungen in Anhang I dieser Verordnung ein Nachweis über den ordnungsgemäßen Einbau erforderlich. Der Nachweis ist zu erbringen, indem der Genehmigungsbehörde eine technische Fallstudie unter Verwendung von Belegen wie technischen Zeichnungen, Funktionsanalysen und den Ergebnissen von vorherigen Prüfungen vorlegt wird.'

.

- gestrichen - Anlage 114

.

- gestrichen - Anlage 214

.

- gestrichen - Anlage 314

.

- gestrichen - Anlage 414

.

- gestrichen - Anlage 514

.

Nachweis der minimal akzeptablen Reagenskonzentration CDmin Anlage 614


1. Der Hersteller muss den Nachweis der minimal akzeptablen Reagenskonzentration CDmin während der Typgenehmigung im Einklang mit den Bestimmungen von Anhang 11 Anlage 6 der UNECE-Regelung Nr. 49 erbringen, mit den in Nummer 1.1 dieser Anlage vorgesehenen Ausnahmen:

1.1. Absatz A.6.3 ist folgendermaßen zu verstehen:

'A.6.3. Die Schadstoffemissionen bei dieser Prüfung müssen unter den in den Absätzen 7.1.1 und 7.1.1.1 dieses Anhangs festgelegten Emissionsgrenzwerten liegen.'

.

Messung der Nennleistung des Motors Anhang XIV14 16

1. Einleitung

1.1 Nachfolgend sind die Anforderungen zur Messung der Nennleistung des Motors beschrieben.

2. Allgemeines

2.1 Die allgemeinen Spezifikationen für die Durchführung der Prüfungen und die Auswertung der Ergebnisse entsprechen denen von Abschnitt 5 der UN/ECE-Regelung Nr. 85 mit den in diesem Anhang beschriebenen Ausnahmen.

2.1.1 Die Messung der Nennleistung gemäß diesem Anhang ist bei allen Motoren einer Motorenfamilie durchzuführen.

2.2. Prüfkraftstoff

2.2.1. für Fremdzündungsmotoren, die mit Benzin oder E85 betrieben werden, ist Absatz 5.2.3.1 der UNECE-Regelung Nr. 85 folgendermaßen zu verstehen:

'Der verwendete Kraftstoff ist der handelsübliche Kraftstoff. In Zweifelsfällen muss der entsprechende Bezugskraftstoff verwendet werden, der in Anhang IX der Verordnung (EU) Nr. 582/2011 festgelegt ist.'

2.2.2. für mit Flüssiggas betriebene Fremdzündungs- und Zweistoffmotoren:

2.2.2.1 Im Fall von Motoren mit Kraftstoff-Selbstanpassung ist Absatz 5.2.3.2.1 der UNECE-Regelung Nr. 85 folgendermaßen zu verstehen:

'Der verwendete Kraftstoff ist der handelsübliche Kraftstoff. In Zweifelsfällen muss der entsprechende Bezugskraftstoff verwendet werden, der in Anhang IX dieser Verordnung festgelegt ist. Anstatt der in Anhang IX dieser Verordnung genannten Bezugskraftstoffe können die in Anhang 8 der UNECE- Regelung Nr. 85 genannten Bezugskraftstoffe verwendet werden.'

2.2.2.2 Im Fall von Motoren ohne Kraftstoff-Selbstanpassung ist Absatz 5.2.3.2.2 der UNECE-Regelung Nr. 85 folgendermaßen zu verstehen:

,Der verwendete Kraftstoff muss der in Anhang IX dieser Verordnung spezifizierte Bezugskraftstoff sein; es können auch die in Anhang 8 der UNECE-Regelung Nr. 85 genannten Bezugskraftstoffe mit dem niedrigsten C3-Gehalt verwendet werden oder'

2.2.3. für mit Erdgas/Biomethan betriebene Fremdzündungs- und Zweistoffmotoren:

2.2.3.1 Im Fall von Motoren mit Kraftstoff-Selbstanpassung ist Absatz 5.2.3.3.1 der UNECE-Regelung Nr. 85 folgendermaßen zu verstehen:

'Der verwendete Kraftstoff ist der handelsübliche Kraftstoff. In Zweifelsfällen muss der entsprechende Bezugskraftstoff verwendet werden, der in Anhang IX dieser Verordnung festgelegt ist. Anstatt der in Anhang IX dieser Verordnung genannten Bezugskraftstoffe können die in Anhang 8 der UNECE- Regelung Nr. 85 genannten Bezugskraftstoffe verwendet werden.'

2.2.3.2 Im Fall von Motoren ohne Kraftstoff-Selbstanpassung ist Absatz 5.2.3.3.2 der UNECE-Regelung Nr. 85 folgendermaßen zu verstehen:

'Der verwendete Kraftstoff ist der handelsübliche Kraftstoff mit einem Wobbe-Index von mindestens 52,6 MJm-3 (bei 20 °C und 101,3 kPa). In Zweifelsfällen muss der entsprechende Bezugskraftstoff GR verwendet werden, der in Anhang IX dieser Verordnung festgelegt ist.'

2.2.3.3. Wenn für einen Motor eine bestimmte Kraftstoffgruppe angegeben ist, so ist Absatz 5.2.3.3.3 der UNECE-Regelung Nr. 85 folgendermaßen zu verstehen:

'Der verwendete Kraftstoff ist der handelsübliche Kraftstoff mit einem Wobbe-Index von mindestens 52,6 MJm-3 (20 °C, 101,3 kPa), wenn für den Motor Gasgruppe H angegeben ist, oder mindestens 47,2 MJm-3 (20 °C, 101,3 kPa), wenn Gasgruppe L angegeben ist. In Zweifelsfällen ist der in Anhang IX dieser Verordnung spezifizierte Bezugskraftstoff GR zu verwenden, wenn für den Motor Gasgruppe H angegeben ist, oder der Bezugskraftstoff G23, wenn für den Motor Gasgruppe L angegeben ist, d. h. der Kraftstoff mit dem höchsten Wobbe-Index für die jeweilige Gasgruppe, oder'

2.2.4. Für Selbstzündungsmotoren ist Absatz 5.2.3.4 der UNECE-Regelung Nr. 85 folgendermaßen zu verstehen:

'Der verwendete Kraftstoff ist der handelsübliche Kraftstoff. In Zweifelsfällen muss der entsprechende Bezugskraftstoff verwendet werden, der in Anhang IX der Verordnung (EU) Nr. 582/2011 festgelegt ist.'

2.3 Vom Motor angetriebene Nebenaggregate

UN/ECE-Regelung Nr. 85 (Leistungsprüfung) und UN/ECE-Regelung Nr. 49 (Emissionsprüfung) enthalten unterschiedliche Anforderungen an vom Motor angetriebene Nebenaggregate.

2.3.1 Für die Messung der Nennleistung des Motors gelten Bestimmungen hinsichtlich der Prüfbedingungen und Hilfseinrichtungen, die in Anhang 5 der UN/ECE-Regelung Nr. 85 festgelegt sind.

2.3.2 Für die Emissionsprüfung gemäß den in Anhang III dieser Verordnung genannten Verfahren gelten die Bestimmungen hinsichtlich der Motorleistung, die in Anhang 4 Absatz 6.3 der UNECE-Regelung Nr. 49 festgelegt sind.

.

Änderung der Verordnung (EG) Nr. 595/2009  Anhang XV

Anhang I der Verordnung (EG) Nr. 595/2009 erhält folgende Fassung:

" Anhang I Euro-VI-Emissionsgrenzwerte

Grenzwerte
CO
(mg/kWh)
THC
(mg/kWh)
NMHC
(mg/kWh)
CH4
(mg/kWh)
NOx1
(mg/kWh)
NH3
(ppm)
Partikelmasse
(mg/kWh)
Partikelzahl2
(#/kWh)
WHSC (CI) 1.500 130 400 10 10 8,0 x 1011
WHTC (CI) 4.000 160 460 10 10 6,0 x 1011
WHTC (PI) 4.000 160 500 460 10 10 3
PI = Fremdzündungsmotor.

CI = Selbstzündungsmotor.

(1) Der Wert des zulässigen NO2-Anteils am NOx-Grenzwert kann zu einem späteren Zeitpunkt festgelegt werden.

(2) Vor dem 31. Dezember 2012 wird ein neues Messverfahren eingeführt.

(3) Vor dem 31. Dezember 2012 wird ein Grenzwert für die Partikelzahl eingeführt.

."

.

Änderung der Richtlinie 2007/46/EG Anhang XVI

Die Richtlinie 2007/46/EG wird wie folgt geändert:

1. Anhang I erhält folgende Fassung:

a) Folgende Nummer 3.2.1.11 wird eingefügt:

"3.2.1.11. (nur Euro VI) Herstellerverweise auf die Dokumentation gemäß den Artikeln 5, 7 und 9 der Verordnung (EU) Nr. 582/2011, die der Genehmigungsbehörde ermöglicht, die Emissionsminderungsstrategien und die Motorsysteme zu bewerten, die ein ordnungsgemäßes Arbeiten der Einrichtungen zur Begrenzung der NOx-Emissionen gewährleisten"

b) Nummer 3.2.2.2 erhält folgende Fassung:

"3.2.2.2. Schwere Nutzfahrzeuge Diesel/Benzin/Flüssiggas/NG-H/NG-L/NG-HL/Ethanol (ED95)/Ethanol (E85)1, 6"

c) Folgende Nummer 3.2.2.2.1 wird eingefügt:

"3.2.2.2.1. (nur Euro VI) vom Hersteller als für den Motor geeignet erklärte Kraftstoffe gemäß Anhang I Abschnitt 1.1.2 der Verordnung (EU) Nr. 582/2011 (falls zutreffend)"

d) Folgende Nummer 3.2.8.3.3 wird eingefügt:

"3.2.8.3.3. (nur Euro VI) Tatsächlicher Ansaugunterdruck bei Motornenndrehzahl und bei Volllast: ... kPA"

e) Folgende Nummer 3.2.9.2.1 wird eingefügt:

"3.2.9.2.1. (nur Euro VI) Beschreibung und/oder Zeichnungen der Teile des Auspuffsystems, die nicht Bestandteil des Motorsystems sind"

f) Folgende Nummer 3.2.9.3.1 wird eingefügt:

"3.2.9.3.1. (nur Euro VI) Tatsächlicher Abgasgegendruck bei Nenndrehzahl und Volllast (nur bei Selbstzündungsmotoren): ... kPa"

g) Folgende Nummer 3.2.9.7.1 wird eingefügt:

"3.2.9.7.1. (nur Euro VI) Zulässiges Volumen der Auspuffanlage: ... dm3"

h) Folgende Nummer 3.2.12.1.1 wird eingefügt:

"3.2.12.1.1. (nur Euro VI) Einrichtung zur Rückführung der Kurbelgehäusegase: ja/nein2

Falls ja, Beschreibung und Zeichnungen:

Falls nein, ist die Übereinstimmung mit Anhang V der Verordnung (EU) Nr. 582/2011 erforderlich."

i) In Nummer 3.2.12.2.6.8.1 wird Folgendes angefügt:

"(gilt nicht für Euro VI)"

j) Folgende Nummer 3.2.12.2.6.8.1.1 wird eingefügt:

"3.2.12.2.6.8.1.1. (nur Euro VI) Zahl der WHTC-Prüfzyklen ohne Regenerierungsvorgang (n):"

k) In Nummer 3.2.12.2.6.8.2 wird Folgendes angefügt:

"(gilt nicht für Euro VI)"

l) Folgende Nummer 3.2.12.2.6.8.2.1 wird eingefügt:

"3.2.12.2.6.8.2.1. (nur Euro VI) Zahl der WHTC-Prüfzyklen mit Regenerierungsvorgang (n R):"

m) Die folgenden Nummern 3.2.12.2.6.9 und 3.2.12.2.6.9.1 werden eingefügt:

"3.2.12.2.6.9. Andere Einrichtungen: ja/nein1

3.2.12.2.6.9.1. Beschreibung, Wirkungsweise"

n) Die folgenden Nummern 3.2.12.2.7.0.1 bis 3.2.12.2.7.0.8 werden eingefügt:

"3.2.12.2.7.0.1. (nur Euro VI) Zahl der OBD-Motorenfamilien innerhalb der Motorenfamilie 3.2.12.2.7.0.2. Liste der OBD-Motorenfamilien (falls zutreffend)

3.2.12.2.7.0.3. Nummer der OBD-Motorenfamilie, zu der der Stammmotor/Motor gehört:

3.2.12.2.7.0.4. Herstellerverweise auf die OBD-Dokumentation gemäß Artikel 5 Absatz 4 Buchstabe c und Artikel 9 Absatz 4 der Verordnung (EU) Nr. 582/2011, für die Zwecke der Genehmigung des OBD-Systems in Anhang X der genannten Verordnung angegeben.

3.2.12.2.7.0.5. Gegebenenfalls Herstellerverweis auf die Dokumentation über den Einbau eines Motorsystems mit OBD in ein Fahrzeug

3.2.12.2.7.0.6. Gegebenenfalls Herstellerverweis auf die Dokumentation für den Einbau des OBD-Systems eines genehmigten Motors in ein Fahrzeug

3.2.12.2.7.0.7. Schriftliche und/oder bildliche Darstellung der Fehlfunktionsanzeige (MI)6

3.2.12.2.7.0.8. Schriftliche und/oder bildliche Darstellung der externen OBD-Kommunikationsschnittstelle6"

o) Die folgenden Nummern 3.2.12.2.7.6.5., 3.2.12.2.7.7 und 3.2.12.2.7.7.1 werden eingefügt:

"3.2.12.2.7.6.5. (nur Euro VI) OBD-Kommunikationsprotokoll nach Norm:4

3.2.12.2.7.7. (nur Euro VI) Herstellerverweis auf die OBD-bezogenen Angaben gemäß Artikel 5 Absatz 4 Buchstabe d und Artikel 9 Absatz 4 der Verordnung (EU) Nr. 582/2011, für die Zwecke der Übereinstimmung mit den Vorschriften für den Zugang zu Informationen über OBD-Systeme sowie Reparatur- und Wartungsinformationen von Fahrzeugen, oder

3.2.12.2.7.7.1. alternativ zu einem Herstellerverweis nach Abschnitt 3.2.12.2.7.7 Verweis auf den Anhang des Beschreibungsbogens in Anlage 4 zu Anhang I der Verordnung (EU) Nr. 582/2011, die folgende Tabelle enthält, die einmal entsprechend dem nachstehenden Beispiel auszufüllen ist:

Bauteil - Fehlercode - Überwachungsstrategie - Kriterien für die Meldung von Fehlfunktionen - Kriterien für die Aktivierung der Fehlfunktionsanzeige - Sekundärparameter - Vorkonditionierung - Nachweisprüfung

Katalysator - PO420 - Signale von Sauerstoffsensor 1 und 2 - Unterschied zwischen den Signalen von Sensor 1 und Sensor 2 - 3. Zyklus - Motordrehzahl, Motorlast, A/F-Modus, Katalysatortemperatur - Zwei Typ-1-Zyklen - Typ 1"

p) Die folgenden Nummern 3.2.12.2.8.1 bis 3.2.12.2.8.8.3 werden eingefügt:

"3.2.12.2.8.1. (nur Euro VI) Systeme, die das ordnungsgemäße Arbeiten von Einrichtungen zur Begrenzung der NOx-Emissionen sicherstellen

3.2.12.2.8.2. (nur Euro VI) Motor mit ständiger Deaktivierung des Fahreraufforderungssystems, zur Verwendung durch Rettungsdienste oder in Fahrzeugen gemäß Artikel 2 Absatz 3 Buchstabe b der Richtlinie 2007/46/EG: ja/nein

3.2.12.2.8.3. (nur Euro VI) Zahl der OBD-Motorenfamilien innerhalb der betreffenden Motorenfamilie bezüglich des ordnungsgemäßen Arbeitens der Einrichtungen zur Begrenzung der NO x -Emissionen

3.2.12.2.8.4. (nur Euro VI) Liste der OBD-Motorenfamilien (falls zutreffend)

3.2.12.2.8.5. (nur Euro VI) Nummer der OBD-Motorenfamilie, zu der der Stammmotor/Motor gehört:

3.2.12.2.8.6. (nur Euro VI) Niedrigste Konzentration des Reagenswirkstoffs, die das Warnsystem nicht aktiviert (CDmin): (% vol.)

3.2.12.2.8.7. (nur Euro VI) Ggf. Herstellerverweis auf die Dokumentation über den Einbau von Systemen in ein Fahrzeug, die das ordnungsgemäße Arbeiten von Einrichtungen zur Begrenzung der NOx-Emissionen sicherstellen

3.2.12.2.8.8. Fahrzeuginterne Bauteile der Systeme, die sicherstellen, dass die Einrichtungen zur Begrenzung der NOx-Emissionen ordnungsgemäß arbeiten

3.2.12.2.8.8.1. Aktivierung des Kriechmodus:

'nach Neustart deaktivieren'/'nach dem Tanken deaktivieren'/'nach dem Parken deaktivieren'7

3.2.12.2.8.8.2. Gegebenenfalls Herstellerverweis auf die Dokumentation für den Einbau des Systems, das sicherstellt, dass die Einrichtungen eines genehmigten Motors zur Begrenzung der NOx-Emissionen ordnungsgemäß arbeiten, in das Fahrzeug

3.2.12.2.8.8.3. Schriftliche und/oder bildliche Darstellung des Warnsignals6"

q) Die folgenden Nummern 3.2.17.8.1.0.1 und 3.2.17.8.1.0.2 werden eingefügt:

"3.2.17.8.1.0.1. (nur Euro VI) Selbstanpassung? ja/nein1

3.2.17.8.1.0.2. (nur Euro VI) Kalibrierung für eine bestimmte Gaszusammensetzung NG-H/NG-L/NG-HL1

Umwandlung für eine bestimmte Gaszusammensetzung NG-H t /NG-L t /NG-HL t1"

r) Die folgenden Nummern 3.5.4 bis 3.5.5.2 werden eingefügt:

"3.5.4. (nur Euro VI) CO2-Emissionen für Motoren für schwere Nutzfahrzeuge

3.5.4.1. Emissionsmenge CO2 WHSC-Prüfung: .... g/kWh

3.5.4.2. Emissionsmenge CO2 WHTC-Prüfung: .... g/kWh

3.5.5. Kraftstoffverbrauch von Motoren für schwere Nutzfahrzeuge (nur Euro VI)

3.5.5.1. Kraftstoffverbrauch WHSC-Prüfung: ... g/kWh

3.5.5.2. Kraftstoffverbrauch WHTC-Prüfung: ... g/kWh"

2. Anhang III Teil I Unterteil a wird wie folgt geändert:

a) Folgende Nummer 3.2.1.11 wird eingefügt:

"3.2.1.11. (nur Euro VI) Herstellerverweise auf die Dokumentation gemäß den Artikeln 5, 7 und 9 der Verordnung (EU) Nr. 582/2011, die der Genehmigungsbehörde ermöglicht, die Emissionsminderungsstrategien und die Motorsysteme zu bewerten, die ein ordnungsgemäßes Arbeiten der Einrichtungen zur Begrenzung der NOx-Emissionen gewährleisten"

b) Nummer 3.2.2.2 erhält folgende Fassung:

"3.2.2.2 Schwere Nutzfahrzeuge Diesel/Benzin/Flüssiggas/NG-H/NG-L/NG-HL/Ethanol (ED95)/Ethanol (E85)1, 6"

c) Folgende Nummer 3.2.2.2.1 wird eingefügt:

"3.2.2.2.1. (nur Euro VI) vom Hersteller als für den Motor geeignet erklärte Kraftstoffe gemäß Anhang I Abschnitt 1.1.3 der Verordnung (EU) Nr. 582/2011 (falls zutreffend)"

d) Folgende Nummer 3.2.8.3.3 wird eingefügt:

"3.2.8.3.3. (nur Euro VI) Tatsächlicher Ansaugunterdruck bei Motornenndrehzahl und bei Volllast: ... kPA"

e) Folgende Nummer 3.2.9.2.1 wird eingefügt:

"3.2.9.2.1. (nur Euro VI) Beschreibung und/oder Zeichnungen der Teile des Auspuffsystems, die nicht Bestandteil des Motorsystems sind"

f) Folgende Nummer 3.2.9.3.1 wird eingefügt:

"3.2.9.3.1. (nur Euro VI) Tatsächlicher Abgasgegendruck bei Nenndrehzahl und Volllast (nur bei Selbstzündungsmotoren) : ... kPa"

g) Folgende Nummer 3.2.9.7.1 wird eingefügt:

"3.2.9.7.1. (nur Euro VI) Zulässiges Volumen der Auspuffanlage: ... dm3"

h) Folgende Nummer 3.2.12.1.1. wird eingefügt:

"3.2.12.1.1. (nur Euro VI) Einrichtung zur Rückführung der Kurbelgehäusegase: ja/nein2

Falls ja, Beschreibung und Zeichnungen:

Falls nein, ist die Übereinstimmung mit Anhang V der Verordnung (EU) Nr. 582/2011 erforderlich."

i) Die folgenden Nummern 3.2.12.2.6.9 und 3.2.12.2.6.9.1 werden eingefügt:

"3.2.12.2.6.9. Andere Einrichtungen: ja/nein1

3.2.12.2.6.9.1. Beschreibung, Wirkungsweise"

j) Die folgenden Nummern 3.2.12.2.7.0.1 bis 3.2.12.2.7.0.8 werden eingefügt:

"3.2.12.2.7.0.1. (nur Euro VI) Zahl der OBD-Motorenfamilien innerhalb der Motorenfamilie

3.2.12.2.7.0.2. (nur Euro VI) Liste der OBD-Motorenfamilien (falls zutreffend)

3.2.12.2.7.0.3. (nur Euro VI) Nummer der OBD-Motorenfamilie, zu der der Stammmotor/Motor gehört

3.2.12.2.7.0.4. (nur Euro VI) Herstellerverweise auf die OBD-Dokumentation gemäß Artikel 5 Absatz 4 Buchstabe c und Artikel 9 Absatz 4 der Verordnung (EU) Nr. 582/2011, für die Zwecke der Genehmigung des OBD-Systems in Anhang X der genannten Verordnung angegeben

3.2.12.2.7.0.5. (nur Euro VI) Gegebenenfalls Herstellerverweis auf die Dokumentation über den Einbau eines Motorsystems mit OBD in ein Fahrzeug

3.2.12.2.7.0.6. (nur Euro VI) Gegebenenfalls Herstellerverweis auf die Dokumentation für den Einbau des OBD- Systems eines genehmigten Motors in ein Fahrzeug

3.2.12.2.7.0.7. (nur Euro VI) Schriftliche und/oder bildliche Darstellung der Fehlfunktionsanzeige (MI)6

3.2.12.2.7.0.8. (nur Euro VI) Schriftliche und/oder bildliche Darstellung der externen OBD-Kommunikationsschnittstelle6"

k) Die folgenden Nummern 3.2.12.2.7.6.5, 3.2.12.2.7.7 und 3.2.12.2.7.7.1 werden eingefügt:

"3.2.12.2.7.6.5. (nur Euro VI) OBD-Datenübertragungsprotokoll nach Norm:4

3.2.12.2.7.7. (nur Euro VI) Herstellerverweis auf die OBD-bezogenen Angaben gemäß Artikel 5 Absatz 4 Buchstabe d und Artikel 9 Absatz 4 der Verordnung (EU) Nr. 582/2011, für die Zwecke der Übereinstimmung mit den Vorschriften für den Zugang zu Informationen über OBD-Systeme sowie Reparatur- und Wartungsinformationen von Fahrzeugen, oder

3.2.12.2.7.7.1. alternativ zu einem Herstellerverweis nach Abschnitt 3.2.12.2.7.7 Verweis auf die den Anhang des Beschreibungsbogens in Anlage 4 zu Anhang I der Verordnung (EU) Nr. 582/2011, die folgende Tabelle enthält, die einmal entsprechend dem nachstehenden Beispiel auszufüllen ist:

Bauteil - Fehlercode - Überwachungsstrategie - Kriterien für die Meldung von Fehlfunktionen - Kriterien für die Aktivierung der Fehlfunktionsanzeige -- Sekundärparameter - Vorkonditionierung - Nachweisprüfung

Katalysator - PO420 - Signale von Sauerstoffsensor 1 und 2 - Unterschied zwischen den Signalen von Sensor 1 und Sensor 2 - 3. Zyklus - Motordrehzahl, Motorlast, A/F-Modus, Katalysatortemperatur - Zwei Typ-1-Zyklen - Typ 1"

l) Die folgenden Nummern 3.2.12.2.8.1 bis 3.2.12.2.8.8.3 werden eingefügt:

"3.2.12.2.8.1. (nur Euro VI) Systeme, die das ordnungsgemäße Arbeiten von Einrichtungen zur Begrenzung der NOx-Emissionen sicherstellen

3.2.12.2.8.2. (nur Euro VI) Motor mit ständiger Deaktivierung des Fahreraufforderungssystems, zur Verwendung durch Rettungsdienste oder in Fahrzeugen gemäß Artikel 2 Absatz 3 Buchstabe b der Richtlinie 2007/46/EG: ja/nein

3.2.12.2.8.3. (nur Euro VI) Zahl der OBD-Motorenfamilien innerhalb der betreffenden Motorenfamilie bezüglich des ordnungsgemäßen Arbeitens der Einrichtungen zur Begrenzung der NOx-Emissionen

3.2.12.2.8.4. (nur Euro VI) Liste der OBD-Motorenfamilien (falls zutreffend)

3.2.12.2.8.5. (nur Euro VI) Nummer der OBD-Motorenfamilie, zu der der Stammmotor/Motor gehört

3.2.12.2.8.6. (nur Euro VI) Niedrigste Konzentration des Reagenswirkstoffs, die das Warnsystem nicht aktiviert (CDmin): (% vol.)

3.2.12.2.8.7. (nur Euro VI) Ggf. Herstellerverweis auf die Dokumentation über den Einbau von Systemen in ein Fahrzeug, die das ordnungsgemäße Arbeiten von Einrichtungen zur Begrenzung der NOx-Emissionen sicherstellen

3.2.12.2.8.8. Fahrzeuginterne Bauteile der Systeme, die sicherstellen, dass die Einrichtungen zur Begrenzung der NOx-Emissionen ordnungsgemäß arbeiten

3.2.12.2.8.8.1. Aktivierung des Kriechmodus:

'nach Neustart deaktivieren'/'nach dem Tanken deaktivieren'/'nach dem Parken deaktivieren'7

3.2.12.2.8.8.2. Ggf. Herstellerverweis auf die Dokumentation für den Einbau des Systems, das sicherstellt, dass die Einrichtungen eines genehmigten Motors zur Begrenzung der NOx-Emissionen ordnungsgemäß arbeiten, in das Fahrzeug

3.2.12.2.8.8.3. Schriftliche und/oder bildliche Darstellung des Warnsignals6"

m) Die folgenden Nummern 3.2.17.8.1.0.1 und 3.2.17.8.1.0.2 werden eingefügt:

"3.2.17.8.1.0.1. (nur Euro VI) Selbstanpassung? ja/nein1

3.2.17.8.1.0.2. (nur Euro VI) Kalibrierung für eine bestimmte Gaszusammensetzung NG-H/NG-L/NG-HL1

Umwandlung für eine bestimmte Gaszusammensetzung NG-Ht/NG-Lt/NG-HLt1"

n) Die folgenden Nummern 3.5.4 bis 3.5.5.2 werden eingefügt:

"3.5.4. (nur Euro VI) CO2-Emissionen für Motoren für schwere Nutzfahrzeuge

3.5.4.1. (nur Euro VI) Emissionsmenge CO2 WHSC-Prüfung: ... g/kWh

3.5.4.2. (nur Euro VI) Emissionsmenge CO2 WHTC-Prüfung: ... g/kWh

3.5.5. (nur Euro VI) Kraftstoffverbrauch von Motoren für schwere Nutzfahrzeuge

3.5.5.1. (nur Euro VI) Kraftstoffverbrauch WHSC-Prüfung: ... g/kWh

3.5.5.2 (nur Euro VI) Kraftstoffverbrauch WHTC-Prüfung: ... g/kWh"

.

Zugang zu Informationen über OBD-Systeme sowie Reparatur- und Wartungsinformationen von Fahrzeugen Anhang XVII 12

1. Einführung

1.1. Dieser Anhang enthält die technischen Vorschriften für den Zugang zu Informationen über OBD-Systeme sowie Reparatur- und Wartungsinformationen von Fahrzeugen.

2. Anforderungen

2.1. Aus dem Internet abrufbare Informationen über OBD-Systeme sowie Reparatur- und Wartungsinformationen müssen der in der Verordnung (EG) Nr. 595/2009 Artikel 6 Absatz 1 genannten Norm entsprechen. Bis zur Annahme dieser Norm stellen Hersteller Informationen über OBD-Systeme sowie Reparatur- und Wartungsinformationen von Fahrzeugen in standardisierter Form zur Verfügung; dies muss im Hinblick auf die bestehenden Vorschriften und den Zugang, der autorisierten Händlern und Reparaturbetrieben gewährt wird, in nichtdiskriminierender Form erfolgen.

Über Genehmigungen für eine Reproduktion oder Republikation der Informationen ist unmittelbar mit dem betreffenden Hersteller zu verhandeln. Auch Informationen über Ausbildungsmaterialien müssen verfügbar sein, können aber auf anderem Weg als über Websites bereitgestellt werden.

Informationen über alle Fahrzeugteile, mit denen das durch Fahrzeug-Identifizierungsnummer (VIN) und zusätzliche Merkmale wie Radstand, Motorleistung, Ausstattungsvariante oder Optionen identifizierbare Fahrzeug vom Hersteller ausgerüstet ist, und die durch Ersatzteile - vom Fahrzeughersteller seinen Vertragshändlern und -werkstätten oder Dritten zur Verfügung gestellt - anhand der Originalteil-Nummer ausgetauscht werden können, sind in einer unabhängigen, Marktteilnehmern leicht zugänglichen Datenbank bereitzustellen.

Solche Datenbanken enthalten die VIN, die Originalteil-Nummern, die Originalteilbezeichnungen, Gültigkeitsangaben (Gültigkeitsdaten vonbis), Einbaumerkmale und gegebenenfalls strukturbezogene Merkmale.

Die in den Datenbanken enthaltenen Angaben sind regelmäßig zu aktualisieren. Die Aktualisierungen müssen insbesondere alle an Einzelfahrzeugen nach ihrer Herstellung vorgenommenen Veränderungen enthalten, sofern diese Vertragshändlern zur Verfügung stehen.

2.2. Der von Vertragshändlern und -werkstätten verwendete Zugang zu Sicherheitsmerkmalen der Fahrzeuge muss auch unabhängigen Marktteilnehmern offen stehen, wobei für den Schutz durch Sicherheitstechnik nach folgenden Anforderungen zu sorgen ist:

  1. für den Datenaustausch müssen Vertraulichkeit, Datenintegrität und Schutz vor Wiedereinspielen gewährleistet sein;
  2. die Norm https//ssltls (RFC4346) ist zu verwenden;
  3. Sicherheitszertifikate nach ISO 20828 sind für die gegenseitige Authentisierung von unabhängigen Marktteilnehmern und Herstellern zu verwenden;
  4. der private Schlüssel eines unabhängigen Marktteilnehmers ist durch eine sichere Hardware zu schützen.

Das in Artikel 2h genannte Forum für Fragen des Zugangs zu Fahrzeuginformationen legt die Parameter zur Erfüllung dieser Anforderungen in Übereinstimmung mit dem Stand der Technik fest. Der unabhängige Marktteilnehmer muss zu diesem Zweck über eine Genehmigung verfügen und sich autorisieren lassen, wozu er anhand von Dokumenten nachweisen muss, dass er einer legalen Geschäftstätigkeit nachgeht und nicht wegen einer Straftat verurteilt worden ist.

2.3. Eine Reprogrammierung von Steuergeräten muss entweder nach ISO 22900-2, SAE J2534 oder TMC RP1210B unter Verwendung nichtherstellereigener Hardware erfolgen. Ethernet, serielles Kabel oder LAN-Schnittstelle (Local Area Network) sowie alternative Medien wie Compact Disc (CD), Digital Versatile Disc (DVD) und Halbleiterspeichergeräte (solid state memory device) für Infotainment-Systeme (z.B. Navigationssysteme, Telefon) können ebenfalls verwendet werden, vorausgesetzt, es ist keine herstellereigene Kommunikationssoftware (z.B. Treiber oder Plugins) erforderlich. Für die Validierung der Kompatibilität der herstellerseitigen Anwendung und der Schnittstellen für die Fahrzeugkommunikation (VCI = vehicle communication interface) gemäß ISO 22900-2, SAE J2534 oder TMC RP1210B muss der Hersteller entweder eine Validierung von unabhängig entwickelten VCIs oder die Informationen und die Ausleihe etwaiger besonderer Hardware anbieten, die ein VCI-Hersteller benötigt, um eine solche Validierung selbst durchzuführen. Hinsichtlich der für eine solche Validierung oder die Informationen und Hardware anfallenden Gebühren gelten die Bedingungen von Artikel 2f Absatz 1.

2.4. Die Anforderungen von Abschnitt 2.3 gelten nicht im Falle der Reprogrammierung von Geschwindigkeitsbegrenzern und Kontrollgeräten.

2.5. Alle emissionsbezogenen Diagnose-Fehlercodes müssen mit Anhang X übereinstimmen.

2.6. Für den Zugang eines unabhängigen Marktteilnehmers zu Informationen über OBD-Systeme sowie zu Reparatur- und Wartungsinformationen, die nicht mit gesicherten Fahrzeugbereichen zusammenhängen, dürfen zur Registrierung für die Benutzung der Website des Herstellers nur solche Angaben verlangt werden, die für die Abwicklung der Zahlung für diese Informationen erforderlich sind. Um Informationen über den Zugang zu gesicherten Fahrzeugbereichen zu erhalten, muss der unabhängige Marktteilnehmer ein Zertifikat nach ISO 20828 vorweisen und sich und die Organisation, der er angehört, damit identifizieren; daraufhin muss der Hersteller sein eigenes Zertifikat nach ISO 20828 vorweisen und dem unabhängigen Marktteilnehmer damit bestätigen, dass dieser eine rechtmäßige Website des gewünschten Herstellers aufruft. Beide Parteien müssen über alle derartigen Transaktionen Aufzeichnungen führen, die Aufschluss über die Fahrzeuge und die daran nach dieser Vorschrift vorgenommenen Veränderungen geben.

2.7. Die Hersteller müssen auf ihren Websites mit Reparaturinformationen die Typgenehmigungsnummer für jedes Modell angeben.

2.8. Auf Antrag des Herstellers gilt die Übereinstimmung mit den Anforderungen von Anhang I Anlage 5 und von Anhang XIV der Verordnung (EG) Nr. 692/2008 für Fahrzeuge der Klassen M1, M2, N1 und N2 mit einer höchstzulässigen Gesamtmasse von bis zu 7,5 t und M 3 Klasse I, Klasse II sowie Klasse a und Klasse B gemäß der Begriffsbestimmung in Anhang I der Richtlinie 2001/85/EG mit einer zulässigen Masse von bis zu 7,5 t als gleichwertig mit der Übereinstimmung mit diesem Anhang.

2.9. Die Genehmigungsbehörde unterrichtet die Kommission von den Rahmenbedingungen jeder Typgenehmigung, die nach dem Abschnitt 2.8 erteilt wird.

.

Anlage 1


Bescheinigung des Herstellers über den Zugang zu Informationen über OBD-Systeme sowie zu Reparatur- und Wartungsinformationen von Fahrzeugen

(Hersteller):...

(Anschrift des Herstellers):...

bescheinigt, dass

für die Fahrzeugtypen, die in dieser Bescheinigung beiliegend aufgeführt sind, gemäß den Bestimmungen von - Artikel 6 der Verordnung (EG) Nr. 595/2009 und Artikel 2a der Verordnung (EU) Nr. 582/2011;

  • Artikel 4 Absatz 6 der Verordnung (EU) Nr. 582/2011;

  • Anhang I Anlage 4 Abschnitt 16 der Verordnung (EU) Nr. 582/2011;

  • Anhang X Abschnitt 2.1 der Verordnung (EU) Nr. 582/2011;

  • Anhang XVII der Verordnung (EU) Nr. 582/2011

Zugang zu den Informationen über OBD-Systeme sowie zu den Reparatur- und Wartungsinformationen hinsichtlich der in der Anlage zu dieser Bescheinigung aufgeführten Fahrzeug- und Motortypen sowie der emissionsmindernden Einrichtung gewährt wird.

Es gelten die folgenden Ausnahmen: kundenspezifische Anpassungen1 - Kleinserien1 - übertragene Systeme1.

Die Adressen der wichtigsten Websites, über welche die betreffenden Informationen abgerufen werden können und deren
Übereinstimmung mit den obigen Bestimmungen hiermit bestätigt wird, sind in der Anlage zu dieser Bescheinigung
zusammen mit den Kontaktdaten des nachstehend unterzeichneten, verantwortlichen Vertreters des Herstellers aufgeführt.

Falls zutreffend: Der Hersteller bestätigt hiermit zudem, dass er der Verpflichtung gemäß Artikel 3 Absatz 1 Buchstabe a der Verordnung (EU) Nr. 582/2011 nachgekommen ist und die betreffenden Informationen für frühere Genehmigungen dieser Fahrzeugtypen spätestens sechs Monate nach dem Datum der Typgenehmigung vorgelegt hat.

Ort:................................................................................................

Datum:................................................................................................

[Unterschrift] [Funktion]

_________
1) Nichtzutreffendes streichen.

Anhänge:

  • Adressen der Websites

  • Kontaktdaten.


Anhang I
zur Bescheinigung des Herstellers über den Zugang zu Informationen über OBD-Systeme sowie zu Reparatur- und Wartungsinformationen von Fahrzeugen

Adressen der Websites, auf die in dieser Bescheinigung verwiesen wird:

Anhang II
zur Bescheinigung des Herstellers über den Zugang zu Informationen über OBD-Systeme sowie zu Reparatur- und Wartungsinformationen von Fahrzeugen

Kontaktdaten des Vertreters des Herstellers, auf den in dieser Bescheinigung verwiesen wird:

.

OBD-Informationen Anlage 2

1. Die gemäß dieser Anlage erforderlichen Informationen sind vom Fahrzeughersteller bereitzustellen, damit die Herstellung von OBD-kompatiblen Ersatzteilen oder Diagnose- und Prüfgeräten ermöglicht wird.

2. Die folgenden Informationen sind allen interessierten Herstellern von Bauteilen oder Diagnose- und Prüfgeräten auf Anfrage zu gleichen Bedingungen zur Verfügung zu stellen.

Werden andere Normen für Kommunikationsprotokolle verwendet, so sind gleichwertige ausführliche Erläuterungen vorzulegen.

Diese Angaben können in tabellarischer Form wie folgt gemacht werden:

Bauteil | Fehlercode | Überwachungsstrategie | Kriterien für die Meldung von Funktionsstörungen | Kriterien für die Aktivierung des Störungsmelders | Sekundärparameter | Konditionierung | Nachweisprüfung |

Katalysator | P0420 | Signale der Sauerstoffsonde 1 und 2 | Unterschied zwischen Signalen von Sonde 1 und 2 | Dritter Zyklus | Motordrehzahl, Motorlast, A/F-Modus, Katalysatortemperatur | Zwei Typ-I-Zyklen | Typ 1 |

3. Für die Herstellung von Diagnosegeräten erforderliche Informationen

Um die Bereitstellung universeller Diagnosegeräte für Mehrmarken-Reparaturbetriebe zu vereinfachen, müssen Fahrzeughersteller die Informationen gemäß den Abschnitten 3.1, 3.2. und 3.3 auf ihren Reparaturinformations-Websites zugänglich machen. Diese Informationen müssen alle Diagnosefunktionen sowie alle Links zu Reparaturinformationen und Anweisungen zur Störungsbehebung umfassen. Für den Zugang zu diesen Informationen kann eine angemessene Gebühr erhoben werden.

3.1. Informationen über das Kommunikationsprotokoll

Folgende Informationen sind erforderlich und werden anhand Fahrzeugmarke, -modell und -variante oder anderer praktikabler Definitionen wie VIN oder Fahrzeug- und Systemkennnummern indexiert:

  1. alle zusätzlichen Protokollinformationssysteme, die für eine vollständige Diagnose über die in der UN/ECE- Regelung Nr. 49 Anhang 9B Absatz 4.7.3 beschriebenen Normen hinaus erforderlich sind, einschließlich zusätzlicher Hardware- oder Software-Protokollinformationen, Parameteridentifizierung, Übertragungsfunktionen, Keepalive-Anforderungen oder Fehlerzuständen;
  2. ausführliche Angaben dazu, wie sämtliche Fehlercodes, die nicht den in der UN/ECE-Regelung Nr. 49 Anhang 9B Absatz 4.7.3 beschriebenen Normen entsprechen, ausgelesen und ausgewertet werden;
  3. ein Verzeichnis aller verfügbaren Live-Datenparameter, einschließlich Skalierungs- und Zugangsinformationen;
  4. ein Verzeichnis aller verfügbaren funktionellen Prüfungen, einschließlich Aktivierung oder Steuerung des Geräts und deren Durchführung;
  5. ausführliche Angaben dazu, wie sämtliche Informationen über Bauteile und Zustand, Zeitstempel, vorläufige Fehlercodes und Freezeframe-Bereich abgerufen werden können;
  6. Rückstellen von adaptiven Lernparametern, Variantencodierung und Ersatzteil-Setup sowie Kundenpräferenzen;
  7. Identifizierung elektronischer Steuereinheiten und Variantencodierung;
  8. ausführliche Angaben zum Rückstellen der Serviceleuchten;
  9. Position der Diagnosesteckverbindung und genaue Angaben zur Steckverbindung;
  10. Motoridentifizierung durch Baumusterbezeichnung.

3.2. Prüfung und Diagnose bei vom OBD-System überwachten Bauteilen

Folgende Angaben sind erforderlich:

  1. eine Beschreibung der Prüfungen zur Kontrolle der Funktionsfähigkeit am Bauteil oder am Kabelstrang;
  2. Prüfverfahren, einschließlich Prüfkennwerte und Bauteildaten;
  3. Verbindungsdetails, einschließlich minimale und maximale Eingangs- und Ausgangswerte sowie Fahr- und Lastwerte;
  4. unter bestimmten Betriebsbedingungen, einschließlich Leerlauf, erwartete Werte;
  5. elektronische Werte des Bauteils in statischem und dynamischem Zustand;
  6. Werte des fehlerhaften Betriebszustands für jedes der genannten Szenarien;
  7. Diagnosesequenzen des fehlerhaften Betriebszustands, einschließlich Fehlerbäumen und gelenkte Diagnosebeseitigung.

3.3. Für die Reparatur erforderliche Daten

Folgende Angaben sind erforderlich:

  1. Initialisierung der elektronischen Steuereinheit und des Bauteils (beim Einbau von Ersatzteilen);
  2. Initialisierung neuer elektronischer Steuereinheiten oder von elektronischen Steuereinheiten für den Austausch, gegebenenfalls durch Pass-Through-Reprogrammierungstechniken.

.

Aufstellung der durch Artikel 2e erfassten übertragenen Systeme Anlage 3


1. Temperatur-, Heizungs- und Klimaanlagen a) Temperaturregelsysteme;
b) motorunabhängige Heizung;
c) motorunabhängige Klimaanlage.
2. Systeme für Kraftomnibusse a) Türsteuerungssysteme;
b) Drehgelenksteuerungssysteme;
c) Regelung der Innenbeleuchtung.

.

Besondere technische Anforderungen für Zweistoffmotoren und -Fahrzeuge Anhang XVIII

1. Geltungsbereich

Dieser Anhang gilt für die unter diese Verordnung fallenden Zweistoffmotoren und -fahrzeuge und beschreibt die zusätzlichen Anforderungen und Ausnahmeregelungen, die für den Hersteller für die Typgenehmigung von Zweistoffmotoren und -fahrzeugen gelten.

1.1 Zweistoffmotoren, die über den heißen Teil des WHTC-Prüfzyklus mit einem durchschnittlichen Gasanteil von höchstens 10 % (GERWHTC d 10 %) betrieben werden und die über keine Dieselbetriebsart verfügen, sind nicht zulässig.

2. Ein Verzeichnis der typen von Zweistoffmotoren, die unter diese Verordnung fallen, und der wichtigsten Betriebsanforderungen findet sich in der Anlage.

3. Zweistoffspezifische Genehmigungsanforderungen

3.1. Die zweistoffspezifischen Genehmigungsanforderungen entsprechen denen, die in Anhang 15 Absatz 3 der UNECE-Regelung Nr. 49 angegeben sind.

4. Allgemeine Anforderungen

4.1. Zweistoffmotoren und -fahrzeuge müssen den allgemeinen Anforderungen der Absätze 4.1 bis 4.7 von Anhang 15 der UNECE-Regelung Nr. 49 entsprechen.

5. Leistungsanforderungen

5.1. Für Zweistoffmotoren vom Typ 1a und 1B geltende Emissionsgrenzwerte

5.1.1. Für im Zweistoffbetrieb arbeitende Zweistoffmotoren des Typs 1a und 1B gelten die Emissionsgrenzwerte, die in Anhang I der Verordnung (EG) Nr. 595/2009 für Fremdzündungsmotoren vorgesehen sind.

5.1.2. Für im Dieselbetrieb arbeitende Zweistoffmotoren des Typs 1B gelten die Emissionsgrenzwerte, die in Anhang I der Verordnung (EG) Nr. 595/2009 für Selbstzündungsmotoren vorgesehen sind.

5.2. Für Zweistoffmotoren vom Typ 2 a und 2 B geltende Emissionsgrenzwerte

5.2.1. Im WHSC-Prüfzyklus geltende Emissionsgrenzwerte

Für Zweistoffmotoren des Typs 2a und 2B, die sowohl im Diesel- als auch im Zweistoffbetrieb laufen, gelten im WHSC-Prüfzyklus die Emissionsgrenzwerte einschließlich des Grenzwertes für die Partikelzahl, die in Anhang I der Verordnung (EG) Nr. 595/2009 für Selbstzündungsmotoren vorgesehen sind.

5.2.2. Im WHTC-Prüfzyklus geltende Emissionsgrenzwerte

5.2.2.1. Emissionsgrenzwerte für CO, NOx, NH3 und die Partikelmasse im Zweistoffbetrieb

Für Zweistoffmotoren vom Typ 2a und 2B im Zweistoffbetrieb gelten im WHTC-Prüfzyklus für CO, NOx, NH3 und die Partikelmasse die Emissionsgrenzwerte, die in Anhang I der Verordnung (EG) Nr. 595/2009 für Selbstzündungsmotoren und Fremdzündungsmotoren im WHTC-Prüfzyklus festgelegt sind.

5.2.2.2. Emissionsgrenzwerte für Kohlenwasserstoffe im Zweistoffbetrieb

5.2.2.2.1. Erdgas-/Biomethanmotoren

Die Emissionsgrenzwerte für THC, NMHC und CH4, die im WHTC-Prüfzyklus für mit Erdgas/Biomethan betriebene Zweistoffmotoren vom Typ 2a und 2B im Zweistoffbetrieb gelten, werden auf der Grundlage der in Anhang I der Verordnung (EG) Nr. 595/2009 für Selbstzündungsmotoren und Fremdzündungsmotoren im WHTC-Prüfzyklus festgelegten Emissionsgrenzwerte berechnet, entsprechend dem Berechnungsverfahren von Absatz 5.2.3 von Anhang 15 der UNECE-Regelung Nr. 49.

5.2.2.2.2. LPG-Motoren

Für mit LPG betriebene Zweistoffmotoren vom Typ 2a und 2B im Zweistoffbetrieb gelten im WHTC-Prüfzyklus die Emissionsgrenzwerte für THC, die in Anhang I der Verordnung (EG) Nr. 595/2009 für Selbstzündungsmotoren im WHTC-Prüfzyklus festgelegt sind.

5.2.2.3. Emissionsgrenzwerte für die Partikelzahl im Zweistoffbetrieb

Der Grenzwert für die Partikelzahl, der für im WHTC-Prüfzyklus im Zweistoffbetrieb betriebene Zweistoffmotoren vom Typ 2a und 2B gilt, wird auf der Grundlage der in Anhang I der Verordnung (EG) Nr. 595/2009 für Selbstzündungsmotoren und Fremdzündungsmotoren im WHTC-Prüfzyklus festgelegten Emissionsgrenzwerte berechnet, entsprechend dem Berechnungsverfahren von Absatz 5.2.4 von Anhang 15 der UNECE- Regelung Nr. 49.

5.2.2.4. Emissionsgrenzwerte im Dieselbetrieb

Für im Dieselbetrieb arbeitende Zweistoffmotoren des Typs 2B gelten die Emissionsgrenzwerte, einschließlich des Grenzwerts für die Partikelzahl, die in Anhang I der Verordnung (EG) Nr. 595/2009 für Selbstzündungsmotoren vorgesehen sind.

5.3. Für Zweistoffmotoren vom Typ 3B geltende Emissionsgrenzwerte

Für im Zweistoff- oder Dieselbetrieb arbeitende Zweistoffmotoren des Typs 3B gelten die Emissionsgrenzwerte, die in Anhang I der Verordnung (EG) Nr. 595/2009 für Selbstzündungsmotoren vorgesehen sind.

6. Nachweisanforderungen

6.1. Zweistoffmotoren und -fahrzeuge müssen zusätzlich zu den Anforderungen und Ausnahmeregelungen hinsichtlich des Nachweises gemäß Anhang 15 Absatz 6 der UNECE-Regelung Nr. 49 entsprechen;

7. Dokumentation zum Einbau eines typgenehmigten Zweistoffmotors in ein Fahrzeug

7.1. Der Hersteller eines Zweistoffmotors, der als selbständige technische Einheit typgenehmigt ist, muss in die Dokumentation zum Einbau seines Motorsystems die Vorschriften aufnehmen, die zu beachten sind, damit das Fahrzeug bei Betrieb auf der Straße oder gegebenenfalls andernorts den zweistoffspezifischen Anforderungen dieser Verordnung entspricht. Die Dokumentation muss u. a. Folgendes umfassen:

  1. ausführliche technische Vorschriften für den Einbau einschließlich der Voraussetzungen für die Kompatibilität des Einbaus mit dem OBD-System;
  2. das Verfahren zur Überprüfung der Einhaltung dieser Vorschriften.

Das Vorhandensein von Einbauvorschriften und ihre Angemessenheit können im Zuge des Verfahrens für die Genehmigung des Motorsystems überprüft werden.

7.2. Handelt es sich beim Hersteller, der eine EG-Typgenehmigung für den Einbau des Motorsystems in das Fahrzeug beantragt, um denselben Hersteller, der die Typgenehmigung für den Zweistoffmotor als selbständige technische Einheit erhalten hat, so ist die in Absatz 7.1 genannte Dokumentation nicht erforderlich.

.

Typen von Zweistoffmotoren und -fahrzeugen - Verzeichnis der wichtigsten Betriebsanforderungen Anlage 1


GERWHTC Leerlauf bei Dieselbetrieb Warmlauf mit
Diesel
Betrieb nur mit
Diesel
Betrieb bei
Fehlen von Gas
Anmerkungen
Typ 1A GERWHTC ≥ 90 % NICHT zulässig. Nur im Wartungsbetrieb zulässig. Nur im Wartungsbetrieb zulässig. Wartungsbetrieb
Typ 1 B GERWHTC ≥ 90 % Nur im Dieselbetrieb zulässig. Nur im Dieselbetrieb zulässig. Nur im Diesel- und Wartungsbetrieb zulässig. Dieselbetrieb
Typ 2A 10 % < GERWHTC < 90 % Zulässig. Nur im Wartungsbetrieb zulässig. Nur im Wartungsbetrieb zulässig. Wartungsbetrieb GERWHTC ≥ 90 % zulässig.
Typ 2B 10 % < GERWHTC < 90 % Zulässig. Nur im Dieselbetrieb zulässig. Nur im Diesel- und Wartungsbetrieb zulässig. Dieselbetrieb GERWHTC ≥ 90 % zulässig.
Typ 3A WEDER FESTGELEGT NOCH ERLAUBT.


ENDE

umwelt-online - Demo-Version


(Stand: 04.02.2020)

Alle vollständigen Texte in der aktuellen Fassung im Jahresabonnement
Nutzungsgebühr: 90.- € netto (Grundlizenz)

(derzeit ca. 7200 Titel s.Übersicht - keine Unterteilung in Fachbereiche)

Preise & Bestellung

Die Zugangskennung wird kurzfristig übermittelt

? Fragen ?
Abonnentenzugang/Volltextversion