umwelt-online: Verordnung (EU) Nr. 575/2013 über Aufsichtsanforderungen an Kreditinstitute und Wertpapierfirmen und zur Änderung der VO (EU) Nr. 646/2012 (5)
![]() |
zurück | ![]() |
Abschnitt 9
Eigenmittelanforderungen für Forderungen an eine zentrale Gegenpartei
Artikel 300 Begriffsbestimmungen
Für die Zwecke dieses Abschnitts bezeichnet der Ausdruck
(1) "insolvenzgeschützt" in Bezug auf Kundenvermögenswerte den Umstand, dass wirksame Vereinbarungen bestehen, die verhindern, dass bei Insolvenz einer zentralen Gegenpartei (ZGP) oder eines Clearingmitglieds die Gläubiger dieser zentralen Gegenpartei bzw. dieses Clearingmitglieds auf jene Vermögenswerte zugreifen können, oder dass das Clearingmitglied auf die Vermögenswerte zugreifen kann, um Verluste abzudecken, die es aufgrund des Ausfalls eines oder mehrerer anderer Kunden als jener, die diese Vermögenswerte eingebracht haben, erlitten hat;
(2) "ZGP-bezogenes Geschäft" einen Kontrakt oder ein Geschäft nach Artikel 301 Absatz 1 zwischen einem Kunden und einem Clearingmitglied, der/das unmittelbar mit einem Kontrakt oder einem Geschäft nach jenem Absatz zwischen diesem Clearingmitglied und einer ZGP in Beziehung steht;
(3) "Clearingmitglied" ein Clearingmitglied im Sinne des Artikels 2 Nummer 14 der Verordnung (EU) Nr. 648/2012;
(4) "Kunde" einen Kunden im Sinne des Artikels 2 Nummer 15 der Verordnung (EU) Nr. 648/2012 oder ein Unternehmen, das gemäß Artikel 4 Absatz 3 der Verordnung (EU) Nr. 648/2012 eine indirekte Clearingvereinbarung mit einem Clearingmitglied getroffen hat
Artikel 301 Sachlicher Geltungsbereich
(1) Dieser Abschnitt gilt für die nachstehend genannten Kontrakte und Geschäfte, solange sie bei einer ZGP ausstehend sind:
(2) Institute können für die in Absatz 1 bezeichneten bei einer qualifizierten ZGP ausstehenden Kontrakte und Geschäfte eine der beiden nachstehenden Behandlungen wählen:
(3) Institute wenden auf die in Absatz 1 genannten bei einer nicht qualifizierten ZGP ausstehenden Kontrakte und Geschäfte die Behandlung nach Artikel 306 - ausgenommen die Behandlung nach Absatz 1 Buchstabe a jenes Artikels - bzw. Artikel 309 an.
Artikel 302 Überwachung der Forderungen an zentrale Gegenparteien
(1) Institute überwachen alle ihre Forderungen gegenüber zentralen Gegenparteien und richten Verfahren zur regelmäßigen Information der Geschäftsleitung sowie des/der zuständigen Ausschusses/Ausschüsse des Leitungsorgans über diese Forderungen ein.
(2) Institute bewerten anhand geeigneter Szenarioanalysen und Stresstests, ob die Höhe der Eigenmittel zur Unterlegung der Risikopositionen gegenüber einer zentralen Gegenpartei, einschließlich der potenziellen künftigen Wiederbeschaffungswerte, Risikopositionen aus Beiträgen zu Ausfallfonds und - wenn das Institut als Clearingmitglied auftritt - Risikopositionen aus vertraglichen Vereinbarungen gemäß Artikel 304 die diesen Geschäften innewohnenden Risiken angemessen widerspiegelt.
Artikel 303 Behandlung der Risikopositionen von Clearingmitgliedern gegenüber zentralen Gegenparteien
(1) Tritt ein Institut entweder für eigene Zwecke oder als Finanzintermediär zwischen einem Kunden und einer ZGP als Clearingmitglied auf, so berechnet es die Eigenmittelanforderungen für seine Risikopositionen gegenüber der ZGP nach Artikel 301 Absätze 2 und 3.
(2) Tritt ein Institut als Clearingmitglied und in dieser Funktion als Finanzintermediär zwischen einem Kunden und einer ZGP auf, so berechnet es die Eigenmittelanforderungen für seine ZGP-bezogenen Geschäfte mit dem Kunden nach den Abschnitten 1 bis 8 dieses Kapitels, wie jeweils maßgebend.
(3) Ist ein Institut Kunde eines Clearingmitglieds, so berechnet es die Eigenmittelanforderungen für seine ZGP-bezogenen Geschäfte mit dem Clearingmitglied nach den Abschnitten 1 bis 8 dieses Kapitels, wie jeweils maßgebend.
(4) Alternativ zu der Vorgehensweise nach Absatz 3 darf ein Institut, das Kunde ist, die Eigenmittelanforderungen für seine ZGP-bezogenen Geschäfte mit dem Clearingmitglied nach Artikel 305 Absatz 2 berechnen, sofern die beiden folgenden Bedingungen erfüllt sind:
(5) Schließt ein Institut, das als Clearingmitglied auftritt, mit dem Kunden eines anderen Clearingmitglieds eine vertragliche Vereinbarung, um für diesen Kunden die Übertragbarkeit der Vermögenswerte und Positionen nach Absatz 4 Buchstabe b zu gewährleisten, so darf das Institut für die aus dieser vertraglichen Vereinbarung resultierende Eventualverbindlichkeit einen Risikopositionswert von Null ansetzen.
Artikel 304 Behandlung der Risikopositionen von Clearingmitgliedern gegenüber Kunden
(1) Tritt ein Institut als Clearingmitglied und in dieser Funktion als Finanzintermediär zwischen einem Kunden und einer ZGP auf, berechnet es die Eigenmittelanforderungen für seine ZGP-bezogenen Geschäfte mit dem Kunden gemäß den Abschnitten 1 bis 8 dieses Kapitels bzw. nach Teil III Titel VI.
(2) Schließt ein Institut, das als Clearingmitglied auftritt, mit dem Kunden eines anderen Clearingmitglieds eine vertragliche Vereinbarung, die für diesen Kunden im Einklang mit Artikel 48 Absätze 5 und 6 der Verordnung (EU) Nr. 648/2012 die Übertragung von Positionen und Sicherheiten nach Artikel 305 Absatz 2 Buchstabe b erleichtert, und ergibt sich aus dieser vertraglichen Vereinbarung eine Eventualverbindlichkeit für das Institut, so darf es dieser Eventualverbindlichkeit einen Risikopositionswert von Null zuweisen.
(3) Ein Institut, das als Clearingmitglied auftritt, darf eine kürzere Nachschuss-Risikoperiode zugrundelegen, wenn es die Eigenmittelanforderungen für seine Risikopositionen gegenüber einem Kunden nach der auf einem internen Modell beruhenden Methode berechnet.
(4) Ein Institut, das als Clearingmitglied auftritt, darf seine Forderungshöhe bei Ausfall (EAD) mit einem Skalar multiplizieren, wenn es die Eigenmittelanforderungen für seine Risikopositionen gegenüber einem Kunden nach der Marktbewertungs-, der Standard- oder der Ursprungsrisikomethode berechnet. Die Institute dürfen folgende Skalare anwenden:
(5) Die EBa arbeitet Entwürfe technischer Regulierungsstandards aus, um die Nachschuss-Risikoperioden zu präzisieren, die Institute für die Zwecke der Absätze 3 und 4 zugrundelegen dürfen.
Bei der Ausarbeitung dieser Entwürfe technischer Regulierungsstandards wendet die EBa folgende Grundsätze an:
Die EBa legt der Kommission diese Entwürfe technischer Regulierungsstandards bis zum 30. Juni 2014 vor.
Der Kommission wird die Befugnis übertragen, die technischen Regulierungsstandards nach Unterabsatz 1 gemäß den Artikeln 10 bis 14 der Verordnung (EU) Nr. 1093/2010 zu erlassen.
Artikel 305 Behandlung der Risikopositionen von Kunden
(1) Ist ein Institut Kunde eines Clearingmitglieds, so berechnet es die Eigenmittelanforderungen für seine ZGP-bezogenen Geschäfte mit seinem Clearingmitglied nach den Abschnitten 1 bis 8 dieses Kapitels und gegebenenfalls nach Teil III Titel VI.
(2) Unbeschadet der Vorgehensweise gemäß Absatz 1 darf ein Institut, das Kunde ist, die Eigenmittelanforderungen für seine Handelsrisikopositionen aus ZGP-bezogenen Geschäften mit seinem Clearingmitglied nach Artikel 306 berechnen, sofern alle nachstehenden Bedingungen erfüllt sind:
(3) Unbeschadet der Bedingungen nach Absatz 2 gilt Folgendes: Ist ein Institut, das Kunde ist, nicht gegen Verlust geschützt, falls das Clearingmitglied und einer von dessen anderen Kunden gemeinsam ausfallen, alle anderen Bedingungen des Absatzes 2 jedoch erfüllt sind, darf der Kunde die Eigenmittelanforderungen für seine Handelspositionen aus ZGP-bezogenen Geschäften mit seinem Clearingmitglied nach Artikel 306 berechnen, wenn er dabei anstelle des Risikogewichts von 2 % gemäß Absatz 1 Buchstabe a jenes Artikels eines von 4 % ansetzt.
(4) Nimmt ein Institut, das Kunde ist, die Dienste einer ZGP durch indirekte Clearingvereinbarungen im Sinne des Artikels 4 Absatz 3 der Verordnung (EU) Nr. 648/2012 in Anspruch, darf es die Behandlung nach Absatz 2 oder nach Absatz 3 nur anwenden, wenn die Bedingungen des jeweiligen Absatzes auf jeder Stufe der Kette zwischengeschalteter Stellen eingehalten werden.
Artikel 306 Eigenmittelanforderungen für Handelsrisikopositionen
(1) Ein Institut behandelt seine Handelsrisikopositionen gegenüber ZGP wie folgt:
(2) Ungeachtet des Absatzes 1 darf ein Institut für den Fall, dass die für eine ZGP oder ein Clearingmitglied gestellten Sicherheiten bei Insolvenz der ZGP, des Clearingmitglieds oder eines oder mehrerer Kunden des Clearingmitglieds geschützt sind, für die bei diesen Vermögenswerten vom Gegenparteiausfallrisiko betroffenen Positionen einen Risikopositionswert von Null ansetzen.
(3) Ein Institut berechnet die Risikopositionswerte seiner Handelsrisikopositionen gegenüber einer ZGP nach den Abschnitten 1 bis 8 dieses Kapitels, wie jeweils maßgebend.
(4) Für die Zwecke des Artikels 92 Absatz 3 berechnet ein Institut die risikogewichteten Positionsbeträge für seine Handelsrisikopositionen gegenüber ZGP, indem es die Summe der nach den Absätzen 2 und 3 berechneten Risikopositionswerte seiner Handelsrisikopositionen gegenüber ZGP mit dem nach Absatz 1 bestimmten Risikogewicht multipliziert.
Artikel 307 Eigenmittelanforderungen für vorfinanzierte Beiträge zum Ausfallfonds einer ZGP
Ein Institut, das als Clearingmitglied auftritt, behandelt die aus seinen Beiträgen zum Ausfallfonds einer ZGP resultierenden Risikopositionen wie folgt:
Artikel 308 Eigenmittelanforderungen für vorfinanzierte Beiträge zum Ausfallfonds einer qualifizierten ZGP
(1) Der Risikopositionswert des vorfinanzierten Beitrags eines Instituts zum Ausfallfonds einer qualifizierten ZGP (DFi) ist der eingezahlte Betrag oder der Marktwert der von dem betreffenden Institut gelieferten Vermögenswerte, abzüglich des Teil des Beitrags, den die qualifizierte ZGP bereits verwendet hat, um ihre Verluste infolge des Ausfalls eines oder mehrerer ihrer Clearingmitglieder aufzufangen.
(2) Ein Institut berechnet die Eigenmittelanforderung (Ki) zur Unterlegung der aus seinem vorfinanzierten Beitrag (DFi) resultierenden Risikopositions nach folgender Formel:
(3) Ein Institut berechnet KCM wie folgt:
KCM = c1 · DF*CM;
KCM = c2 · (KCCP - DFCCP) + c1 · (DF* - KCCP);
KCM = c2 · µ · (KCCP - DF*) + c2 · DF*CM
dabei entspricht
DFCCP = den aus den vorfinanzierten Beiträgen gebildeten finanziellen Ressourcen der ZGP, die dem Institut von der ZGP mitgeteilt wurden,
(4) Für die Zwecke des Artikels 92 Absatz 3 berechnet ein Institut die risikogewichteten Positionsbeträge für die aus seinen vorfinanzierten Beiträgen resultierenden Risikopositionen, indem es die nach Absatz 2 ermittelte Eigenmittelanforderung (Ki) mit 12,5 multipliziert.
(5) Wenn KCCP gleich Null ist, setzen die Institute bei der Berechnung nach Absatz 3 für c1 den Wert 0,16 % ein.
Artikel 309 Eigenmittelanforderungen für vorfinanzierte Beiträge zum Ausfallfonds einer nicht qualifizierten ZGP und für nicht vorfinanzierte Beiträge zu einer nicht qualifizierten ZGP
(1) Ein Institut berechnet die Eigenmittelanforderung (Ki) für die Risikopositionen aus seinen vorfinanzierten Beiträgen zum Ausfallfonds einer nicht qualifizierten ZGP (DFi) und aus nicht vorfinanzierten Beiträgen zu einer solchen ZGP (UCi) nach folgender Formel:
Ki = c2 · µ · (DFi+ UCi)
wobei für c2 und µ die jeweilige Definition des Artikels 308 Absatz 3 gilt.
(2) Für die Zwecke des Absatzes 1 bezeichnet "nicht vorfinanzierte Beiträge" Beiträge, deren Zahlung ein als Clearingmitglied auftretendes Institut einer ZGP vertraglich zugesagt hat, wenn diese die Mittel ihres Ausfallfonds verbraucht hat, um nach dem Ausfall eines oder mehrerer ihrer Clearingmitglieder die dadurch bedingten Verluste abzudecken.
(3) Für die Zwecke des Artikels 92 Absatz 3 berechnet ein Institut die risikogewichteten Positionsbeträge für die aus seinen vorfinanzierten Beiträgen resultierenden Risikopositionen, indem es die nach Absatz 1 ermittelte Eigenmittelanforderung (Ki) mit 12,5 multipliziert.
Artikel 310 Alternative Berechnung der Eigenmittelanforderung für Risikopositionen gegenüber einer qualifizierten ZGP
Ein Institut berechnet die Eigenmittelanforderung (Ki) zur Unterlegung des aus eigenen Handelsrisikopositionen und Handelsrisikopostionen seiner Kunden (TEi) sowie vorfinanzierten Beiträgen (DFi) zum Ausfallfonds einer qualifizierten ZGP resultierenden Risikos nach folgender Formel:
Ki = 8% · min [ 2% · TEi + 1.250% · DFi; 20% · TEi ]
Artikel 311 Eigenmittelanforderungen für Risikopositionen gegenüber ZGP, die bestimmte Bedingungen nicht mehr erfüllen
(1) Ein Institut wendet die Behandlung gemäß diesem Artikel an, wenn mindestens eine der beiden folgenden Bedingungen erfüllt ist:
(2) Trifft nur der Sachverhalt nach Absatz 1 Buchstabe a zu, überprüft die zuständige Behörde, warum die ZGP KCCP nicht länger berechnet.
Ist die zuständige Behörde der Ansicht, dass die Gründe für den Sachverhalt nach Unterabsatz 1 triftig sind, kann sie Instituten in ihrem Mitgliedstaat gestatten, ihre Handelsrisikopositionen und Beiträge zum Ausfallfonds der ZGP gemäß Artikel 310 zu behandeln. Gibt sie diese Erlaubnis, begründet sie ihre Entscheidung.
Ist die zuständige Behörde der Ansicht, dass die Gründe für den Sachverhalt nach Unterabsatz 1 nicht triftig sind, müssen alle Institute in ihrem Mitgliedstaat unabhängig davon, welche Behandlung sie nach Artikel 301 Absatz 2 gewählt haben, die Behandlung nach Absatz 3 Buchstaben a bis d anwenden.
(3) Ist der Umstand nach Absatz 1 Buchstabe b eingetreten, muss ein Institut - unabhängig davon, ob der Sachverhalt nach Absatz 1 Buchstabe a zutrifft oder nicht - innerhalb von drei Monaten nach Eintreten des Umstands nach Absatz 1 Buchstabe b oder früher, wenn die zuständige Behörde des Instituts dies verlangt, hinsichtlich seiner Forderungen an die betreffende ZGP Folgendes tun:
Titel III
Eigenmittelanforderungen für das operationelle Risiko
Kapitel 1
Allgemeine Grundsätze für die Verwendung der verschiedenen Ansätze
Artikel 312 Genehmigung und Anzeige
(1) Den Standardansatz dürfen nur Institute verwenden, die die Bedingungen des Artikels 320 und außerdem die allgemeinen Risikomanagement-Standards nach den Artikeln 74 und 85 der Richtlinie 2013/36/EU erfüllen. Die Institute setzen die zuständigen Behörden vor einer Verwendung des Standardansatzes in Kenntnis.
Die zuständigen Behörden gestatten den Instituten, für die Geschäftsfelder "Privatkundengeschäft" und "Firmenkundengeschäft" einen alternativen maßgeblichen Indikator zu verwenden, sofern die Bedingungen des Artikels 308 Absatz 2 und des Artikels 309 erfüllt sind.
(2) Die zuständigen Behörden gestatten den Instituten, fortgeschrittene Messansätze zu verwenden, die auf ihrem eigenen System für die Messung des operationellen Risikos basieren, sofern sämtliche qualitativen und quantitativen Anforderungen der Artikel 321 bzw. 322 erfüllt sind und die Institute die allgemeinen Risikomanagement-Standards der Artikeln 74 und 85 der Richtlinie 2013/36/EU und des Titels VII Kapitel 3 Abschnitt 2 jener Richtlinie einhalten.
Beabsichtigen Institute, diese fortgeschrittenen Messansätze wesentlich zu erweitern oder zu ändern, so beantragen sie bei ihren zuständigen Behörden ebenfalls eine Erlaubnis. Die zuständigen Behörden geben die Erlaubnis nur, wenn die Institute die in Unterabsatz 1 genannten Anforderungen und Standards nach diesen wesentlichen Erweiterungen und Änderungen weiterhin erfüllen.
(3) Institute zeigen den zuständigen Behörden jede Änderung ihrer Modelle fortgeschrittener Messansätze an.
(4) Die EBa arbeitet Entwürfe technischer Regulierungsstandards aus, in denen Folgendes präzisiert wird:
Die EBa legt der Kommission diese Entwürfe technischer Regulierungsstandards bis zum 31. Dezember 2014 vor.
Der Kommission wird die Befugnis übertragen, die technischen Regulierungsstandards nach Unterabsatz 1 gemäß den Artikeln 10 bis 14 der Verordnung (EU) Nr. 1093/2010 zu erlassen.
Artikel 313 Rückkehr zu weniger komplizierten Ansätzen
(1) Institute, die den Standardansatz verwenden, kehren nicht zur Anwendung des Basisindikatoransatzes zurück, es sei denn, die Voraussetzungen nach Absatz 3 sind erfüllt.
(2) Institute, die fortgeschrittene Messansätze verwenden, kehren nicht zur Anwendung des Standardansatzes oder des Basisindikatoransatzes zurück, es sei denn, die Voraussetzungen nach Absatz 3 sind erfüllt.
(3) Ein Institut darf nur dann zu einem weniger komplizierten Ansatz für das operationelle Risiko zurückkehren, wenn die beiden folgenden Voraussetzungen erfüllt sind:
Artikel 314 Kombination verschiedener Ansätze
(1) Institute dürfen verschiedene Ansätze kombinieren, sofern die zuständigen Behörden dies gestatten. Die zuständigen Behörden geben eine solche Erlaubnis, sofern die einschlägigen Voraussetzungen der Absätze 2 bis 4 erfüllt sind.
(2) Ein Institut darf einen fortgeschrittenen Messansatz mit dem Basisindikatoransatz oder dem Standardansatz kombinieren, sofern die beiden folgenden Voraussetzungen erfüllt sind:
(3) Die zuständigen Behörden verlangen von Instituten, die einen fortgeschrittenen Messansatz mit dem Basisindikatoransatz oder mit dem Standardansatz kombinieren wollen, dass für die Erteilung einer Genehmigung zusätzlich folgende Voraussetzungen erfüllt sind:
(4) Ein Institut darf nur im Ausnahmefall bei einer zuständigen Behörde eine Genehmigung für die Verwendung einer Kombination aus dem Basisindikatoransatz und dem Standardansatz beantragen, beispielsweise bei der Übernahme eines neuen Geschäfts, auf das der Standardansatz möglicherweise erst nach einer Übergangszeit angewandt werden kann.
Eine zuständige Behörde erteilt eine solche Genehmigung nur, wenn das Institut sich verpflichtet hat, den Standardansatz nach dem den zuständigen Behörden vorgelegten und durch diese genehmigten Zeitplan anzuwenden.
(5) Die EBa arbeitet Entwürfe technischer Regulierungsstandards aus, in denen Folgendes präzisiert wird:
Die EBa legt der Kommission diese Entwürfe technischer Regulierungsstandards bis zum 31. Dezember 2016 vor.
Der Kommission wird die Befugnis übertragen, die technischen Regulierungsstandards nach Unterabsatz 1 gemäß den Artikeln 10 bis 14 der Verordnung (EU) Nr. 1093/2010 zu erlassen.
Kapitel 2
Basisindikatoransatz
Artikel 315 Eigenmittelanforderung
(1) Beim Basisindikatoransatz beträgt die Eigenmittelanforderung für das operationelle Risiko 15 % des Dreijahresdurchschnitts des maßgeblichen Indikators gemäß Artikel 316.
Die Institute berechnen den Dreijahresdurchschnitt des maßgeblichen Indikators aus den letzten drei Zwölfmonatsbeobachtungen zum Abschluss des Geschäftsjahres. Liegen keine geprüften Zahlen vor, so können die Institute Schätzungen heranziehen.
(2) Ist ein Institut seit weniger als drei Jahren tätig, kann es bei der Berechnung des maßgeblichen Indikators zukunftsgerichtete Schätzungen verwenden, sofern es zur Verwendung historischer Daten übergeht, sobald diese verfügbar sind.
(3) Kann ein Institut seiner zuständigen Behörde nachweisen, dass die Verwendung eines Dreijahresdurchschnitts zur Berechnung des maßgeblichen Indikators wegen einer Verschmelzung, einem Erwerb oder einer Veräußerung von Unternehmen oder Geschäftsbereichen die Schätzung der Eigenmittelanforderung für das operationelle Risiko verzerren würde, kann die zuständige Behörde dem Institut gestatten, die Berechnung dahin gehend anzupassen, dass solche Ereignisse berücksichtigt werden; sie zeigt dies der EBa ordnungsgemäß an. Unter solchen Umständen kann die zuständige Behörde auch von sich aus von einem Institut verlangen, die Berechnung anzupassen.
(4) Ist der maßgebliche Indikator in einem der Beobachtungszeiträume negativ oder gleich Null, so beziehen die Institute diesen Wert nicht in die Berechnung des Dreijahresdurchschnitts ein. Die Institute berechnen den Dreijahresdurchschnitt als die Summe der positiven Werte, geteilt durch die Anzahl der positiven Werte.
Artikel 316 Maßgeblicher Indikator
(1) Für Institute, die die Rechnungslegungsvorschriften der Richtlinie 86/635/EWG unter Zugrundelegung der Gliederung der Gewinn- und Verlustrechnung von Instituten nach Artikel 27 jener Richtlinie anwenden, ist der maßgebliche Indikator die Summe der in Tabelle 1 genannten Posten. Die Institute berücksichtigen in der Summe jeden Wert mit seinem positiven oder negativen Vorzeichen.
| 1 | Zinserträge und ähnliche Erträge |
| 2 | Zinsaufwendungen und ähnliche Aufwendungen |
| 3 | Erträge aus Aktien, anderen Anteilsrechten und nicht festverzinslichen/festverzinslichen Wertpapieren |
| 4 | Erträge aus Provisionen und Gebühren |
| 5 | Aufwendungen für Provisionen und Gebühren |
| 6 | Ertrag/Aufwand aus Finanzgeschäften |
| 7 | Sonstige betriebliche Erträge |
Die Institute passen diese Posten an, um den folgenden Bestimmungen gerecht zu werden:
(2) Wenden die Institute andere Rechnungslegungsvorschriften als die der Richtlinie 86/635/EWG an, so berechnen sie den maßgeblichen Indikator anhand von Daten, die der Definition dieses Artikels am nächsten kommen.
(3) Die EBa arbeitet Entwürfe technischer Regulierungsstandards aus, um die Methodik zur Berechnung des maßgeblichen Indikators gemäß Absatz 2 zu präzisieren.
Die EBa legt der Kommission diese Entwürfe technischer Regulierungsstandards bis zum 31. Dezember 2017 vor.
Der Kommission wird die Befugnis übertragen, die technischen Regulierungsstandards nach Unterabsatz 1 gemäß den Artikeln 10 bis 14 der Verordnung (EU) Nr. 1093/2010 zu erlassen.
Kapitel 3
Standardansatz
Artikel 317 Eigenmittelanforderung
(1) Beim Standardansatz ordnen die Institute ihre Tätigkeiten den in der Tabelle 2 in Absatz 4 genannten Geschäftsfeldern und gemäß den Grundsätzen nach Artikel 318 zu.
(2) Die Institute berechnen die Eigenmittelanforderung für das operationelle Risiko als Dreijahresdurchschnitt der Summe der jährlichen Eigenmittelanforderungen in sämtlichen Geschäftsfeldern der Tabelle 2 in Absatz 4. Die jährliche Eigenmittelanforderung jedes Geschäftsfelds entspricht dem Produkt des einschlägigen in der Tabelle enthaltenen Beta-Faktors und dem Anteil des maßgeblichen Indikators, der dem betreffenden Geschäftsfeld zugeordnet wird.
(3) In jedem Jahr können die Institute eine aus einem negativen Anteil des maßgeblichen Indikators resultierende negative Eigenmittelanforderung in einem Geschäftsfeld unbegrenzt mit den positiven Eigenmittelanforderungen in anderen Geschäftsfeldern verrechnen. Ist jedoch die gesamte Eigenmittelanforderung für alle Geschäftsfelder in einem bestimmten Jahr negativ, so setzen die Institute den Beitrag zum Zähler für dieses Jahr mit Null an.
(4) Die Institute berechnen den Dreijahresdurchschnitt der Summe im Sinne von Absatz 2 aus den letzten drei Zwölfmonatsbeobachtungen zum Abschluss des Geschäftsjahres. Liegen keine geprüften Zahlen vor, so können die Institute Schätzungen heranziehen.
Kann ein Institut seiner zuständigen Behörde nachweisen, dass die Verwendung eines Dreijahresdurchschnitts zur Berechnung des maßgeblichen Indikators wegen einer Verschmelzung, eines Erwerbs oder einer Veräußerung von Unternehmen oder Geschäftsbereichen die Schätzung der Eigenmittelanforderung für das operationelle Risiko verzerren würde, kann die zuständige Behörde dem Institut gestatten, die Berechnung dahin gehend anzupassen, dass solche Ereignisse berücksichtigt werden; sie zeigt dies der EBa ordnungsgemäß an. Unter solchen Umständen kann die zuständige Behörde auch von sich aus von einem Institut verlangen, die Berechnung anzupassen.
Ist ein Institut seit weniger als drei Jahren tätig, kann es bei der Berechnung des maßgeblichen Indikators zukunftsgerichtete Schätzungen verwenden, sofern es zur Verwendung historischer Daten übergeht, sobald diese verfügbar sind.
| Geschäftsfeld | Liste der Tätigkeiten | Prozentsatz (Beta-Faktor) |
| Unternehmensfinanzierung/-beratung (Corporate Finance) | Emission oder Platzierung von Finanzinstrumenten mit fester Übernahmeverpflichtung
Dienstleistungen im Zusammenhang mit dem Emissionsgeschäft Anlageberatung Beratung von Unternehmen bezüglich Kapitalstruktur, Geschäftsstrategie und damit verbundenen Fragen sowie Beratungs- und sonstige Serviceleistungen im Zusammenhang mit Verschmelzungen und Übernahmen Investment Research und Finanzanalyse sowie andere Arten von allgemeinen Empfehlungen zu Transaktionen mit Finanzinstrumenten |
18 % |
| Handel (Trading and Sales) | Eigenhandel
Geldmaklergeschäfte Entgegennahme und Weiterleitung von Aufträgen im Zusammenhang mit einem oder mehreren Finanzinstrumenten Auftragsausführung für Kunden Platzierung von Finanzinstrumenten ohne feste Übernahmeverpflichtung Betrieb multilateraler Handelssysteme |
18 % |
| Wertpapierprovisionsgeschäft (Retail Brokerage)
(Geschäfte mit natürlichen Personen oder KMU, die nach Artikel 123 als Mengengeschäft einzustufen sind) |
Entgegennahme und Weiterleitung von Aufträgen im Zusammenhang mit einem oder mehreren Finanzinstrumenten
Auftragsausführung für Kunden Platzierung von Finanzinstrumenten ohne feste Übernahmeverpflichtung |
12 % |
| Firmenkundengeschäft (Commercial Banking) | Annahme von Einlagen und sonstigen rückzahlbaren Geldern Kreditvergabe
Finanzierungsleasing Bürgschaften und Verpflichtungen |
15 % |
| Privatkundengeschäft (Retail Banking) (Geschäfte mit natürlichen Personen oder KMU, die nach Artikel 123 als Mengengeschäft einzustufen sind) | Annahme von Einlagen und sonstigen rückzahlbaren Geldern Kreditvergabe
Finanzierungsleasing Bürgschaften und Verpflichtungen |
12 % |
| Zahlungsverkehr und Verrechnung (Payment and Settlement) | Geldtransferdienstleistungen Ausgabe und Verwaltung von Zahlungsmitteln | 18 % |
| Depot- und Treuhandgeschäfte (Agency Services) | Verwahrung und Verwaltung von Finanzinstrumenten für Rechnung von Kunden, einschließlich Depotverwahrung und verbundene Dienstleistungen wie Liquiditätsmanagement und Sicherheitenverwaltung | 15 % |
| Vermögensverwaltung (Asset Management) | Portfoliomanagement OGAW-Verwaltung
Sonstige Arten der Vermögensverwaltung |
12 % |
Artikel 318 Grundsätze für die Zuordnung zu Geschäftsfeldern
(1) Die Institute erarbeiten und dokumentieren spezifische Vorschriften und Kriterien für die Zuordnung des maßgeblichen Indikators aus den eigenen aktuellen Geschäftsfeldern und Tätigkeiten in das Grundgerüst des Standardansatzes gemäß Artikel 317. Sie überprüfen diese Vorschriften und Kriterien und passen sie gegebenenfalls an neue oder sich verändernde Geschäftstätigkeiten und -risiken an.
(2) Die Institute wenden für die Zuordnung zu Geschäftsfeldern folgende Grundsätze an:
(3) Die EBa arbeitet Entwürfe technischer Durchführungsstandards aus, um die Kriterien für die Anwendung der in diesem Artikel vorgesehenen Grundsätze für die Zuordnung nach Geschäftsfeldern zu bestimmen.
Die EBa legt der Kommission diese Entwürfe technischer Durchführungsstandards bis 31. Dezember 2017 vor.
Der Kommission wird die Befugnis übertragen, die technischen Durchführungsstandards nach Unterabsatz 1 gemäß Artikel 15 der Verordnung (EU) Nr. 1093/2010 zu erlassen.
Artikel 319 Alternativer Standardansatz
(1) Beim alternativen Standardansatz berücksichtigen die Institute für die Geschäftsfelder "Privatkundengeschäft" und "Firmenkundengeschäft" Folgendes:
(2) Für die Anwendung des alternativen Standardansatzes muss ein Institut sämtliche der folgenden Voraussetzungen erfüllen:
Artikel 320 Bedingungen für die Verwendung des Standardansatzes
Bei den Bedingungen nach Artikel 312 Absatz 1 Unterabsatz 1 handelt es sich um Folgende:
Kapitel 4
Fortgeschrittene Messansätze
Artikel 321 Qualitative Anforderungen
Die qualitativen Anforderungen nach Artikel 312 Absatz 2 sind Folgende:
Artikel 322 Quantitative Anforderungen
(1) Die quantitativen Anforderungen nach Artikel 312 Absatz 2 umfassen die Anforderungen der Absätze 2 bis 6 hinsichtlich Verfahren, internen Daten, externen Daten, Szenarioanalysen und Faktoren, die das Geschäftsumfeld und die internen Kontrollsysteme betreffen.
(2) Die Anforderungen hinsichtlich Verfahren sind Folgende:
(3) Die Anforderungen hinsichtlich interner Daten sind Folgende:
(4) Die Anforderungen hinsichtlich externer Daten sind Folgende:
(5) Ein Institut setzt auf der Grundlage von Expertenmeinungen in Verbindung mit externen Daten Szenarioanalysen ein, um seine Gefährdung durch sehr schwerwiegende Risikoereignisse zu bewerten. Diese Bewertungen werden von dem Institut im Laufe der Zeit überprüft und durch Vergleich mit den tatsächlichen Verlusterfahrungen angepasst, um ihre Aussagekraft sicherzustellen.
(6) Die Anforderungen hinsichtlich Faktoren, die das Geschäftsumfeld und die internen Kontrollsysteme betreffen, sind Folgende:
Artikel 323 Auswirkung von Versicherungen und anderen Risikoübertragungsmechanismen
(1) Die zuständigen Behörden gestatten Instituten, die Auswirkungen von Versicherungen, sofern die Bedingungen der Absätze 2 bis 5 erfüllt sind, sowie anderer Risikoübertragungsmechanismen, zu berücksichtigen, sofern sie nachweisen können, dass ein nennenswerter Risikominderungseffekt erzielt wird.
(2) Der Versicherungsgeber verfügt über die Zulassung zum Versicherungs- oder Rückversicherungsgeschäft und besitzt eine von einer ECAI abgegebene Mindest-Bonitätsbeurteilung der Zahlungsfähigkeit, die von der EBa gemäß den Bestimmungen für die Risikogewichtung bei Forderungen von Instituten nach Titel II Kapitel 2 der Bonitätsstufe 3 oder höher zugeordnet wurde.
(3) Die Versicherung und der Versicherungsrahmen der Institute müssen sämtliche der folgenden Voraussetzungen erfüllen:
(4) Bei der Methodik für die Anerkennung von Versicherungen werden mittels Abzügen oder Abschlägen sämtliche der folgenden Faktoren berücksichtigt:
(5) Die aus der Anerkennung von Versicherungsschutz und sonstigen Risikoübertragungsmechanismen resultierende Verringerung der Eigenmittelanforderung darf 20 % der gesamten Eigenmittelanforderung für das operationelle Risiko vor Anerkennung von Risikominderungstechniken nicht übersteigen.
Artikel 324 Klassifizierung der Verlustereignisse
Die Verlustereignisse nach Artikel 322 Absatz 3 Buchstabe b sind Folgende:
| Ereigniskategorie | Begriffsbestimmung |
| Interner Betrug | Verluste aufgrund von Handlungen mit betrügerischer Absicht, Veruntreuung von Eigentum, Umgehung von Verwaltungs-, Rechts- oder internen Vorschriften, mit Ausnahme von Verlusten aufgrund von Diskriminierung oder sozialer und kultureller Verschiedenheit, wenn mindestens eine interne Partei beteiligt ist. |
| Externer Betrug | Verluste aufgrund von Handlungen mit betrügerischer Absicht, Veruntreuung von Eigentum oder Umgehung von Rechtsvorschriften durch einen Dritten. |
| Beschäftigungspraxis und Arbeitsplatzsicherheit | Verluste aufgrund von Handlungen, die gegen Beschäftigungs-, Gesundheitsschutz- oder Sicherheitsvorschriften bzw. -vereinbarungen verstoßen, Verluste aufgrund von Schadenersatzzahlungen wegen Körperverletzung, Verluste aufgrund von Diskriminierung bzw. sozialer und kultureller Verschiedenheit. |
| Kunden, Produkte und Geschäftsgepflogenheiten | Verluste aufgrund einer unbeabsichtigten oder fahrlässigen Nichterfüllung geschäftlicher Verpflichtungen gegenüber bestimmten Kunden (einschließlich Anforderungen an Treuhänder und in Bezug auf Angemessenheit der Dienstleistung), Verluste aufgrund der Art oder Struktur eines Produkts. |
| Sachschäden | Verluste aufgrund von Beschädigungen oder des Verlustes von Sachvermögen durch Naturkatastrophen oder andere Ereignisse. |
| Geschäftsunterbrechungen und Systemausfälle | Verluste aufgrund von Geschäftsunterbrechungen oder Systemstörungen. |
| Ausführung, Lieferung und Prozessmanagement | Verluste aufgrund von Fehlern bei der Geschäftsabwicklung oder im Prozessmanagement, Verluste aus Beziehungen zu Geschäftspartnern und Lieferanten/Anbietern. |
Titel IV
Eigenmittelanforderungen für das Marktrisiko
Kapitel 1
Allgemeine Bestimmungen
Artikel 325 Anwendung der Anforderungen auf konsolidierter Basis
(1) Vorbehaltlich des Absatzes 2 und nur für die Zwecke der Berechnung der Nettopositionen und Eigenmittelanforderungen auf konsolidierter Basis gemäß diesem Titel dürfen Institute Positionen in einem Institut oder Unternehmen verwenden, um sie gegen Positionen in einem anderen Institut oder Unternehmen aufzurechnen.
(2) Die Institute dürfen Absatz 1 nur vorbehaltlich der Genehmigung der zuständigen Behörden anwenden, die gewährt wird, sofern sämtliche der folgenden Voraussetzungen erfüllt sind:
(3) Handelt es sich um in Drittländern niedergelassene Unternehmen, sind zusätzlich zu den in Absatz 2 genannten Voraussetzungen sämtliche der folgenden Voraussetzungen zu erfüllen:
Kapitel 2
Eigenmittelanforderungen für das Positionsrisiko
Abschnitt 1
Allgemeine Bestimmungen und spezifische Instrumente
Artikel 326 Eigenmittelanforderungen für das Positionsrisiko
Die Eigenmittelanforderungen des Instituts für das Positionsrisiko entsprechen der Summe der Eigenmittelanforderungen für das allgemeine und das spezifische Risiko seiner Positionen in Schuldtiteln und Aktieninstrumenten. Verbriefungspositionen im Handelsbuch werden wie Schuldtitel behandelt.
Artikel 327 Berechnung der Nettoposition
(1) Der absolute Wert des Überschusses der Kauf-(Verkaufs- )positionen des Instituts über seine Verkaufs-(Kauf-)positionen in den gleichen Aktien, Schuldtiteln und Wandelanleihen sowie in identischen Finanzterminkontrakten, Optionen, Optionsscheinen und Fremdoptionsscheinen ist seine Nettoposition in Bezug auf jedes dieser Instrumente. Bei der Berechnung der Nettoposition werden die Positionen in Derivaten wie in den Artikeln 328 bis 330 dargelegten Weise behandelt. Der von den Instituten gehaltene Bestand an eigenen Schuldtiteln wird bei der Berechnung der Eigenmittelanforderungen für das spezifische Risiko gemäß Artikel 336 nicht berücksichtigt.
(2) Eine Aufrechnung der Positionen in Wandelanleihen gegen Positionen in den zugrunde liegenden Instrumenten ist nicht zulässig, es sei denn, die zuständigen Behörden wählen ein Verfahren, das die Wahrscheinlichkeit, dass eine bestimmte Wandelanleihe umgewandelt wird, berücksichtigt, oder sie legen eine Eigenmittelanforderung zur Deckung möglicher Verluste, die bei der Umwandlung entstehen könnten, fest. Derartige Ansätze oder Eigenmittelanforderungen sind der EBa mitzuteilen. Die EBa überwacht die Bandbreite der Praxis in diesem Bereich und gibt im Einklang mit Artikel 16 der Verordnung (EU) Nr. 1093/2010 Leitlinien heraus.
(3) Alle Nettopositionen werden unabhängig von ihrem Vorzeichen vor der Summierung auf Tagesbasis zum jeweiligen Devisenkassakurs in die Währung der Rechnungslegung des Instituts umgerechnet.
Artikel 328 Zinsterminkontrakte und Terminpositionen
(1) Zinsterminkontrakte, Zinsausgleichsvereinbarungen ("Forward Rate Agreements", FRA) und Terminpositionen bezüglich des Kaufs oder Verkaufs von Schuldtiteln werden als Kombination von Kauf- und Verkaufspositionen behandelt. Eine Kaufposition in Zinsterminkontrakten wird demnach als Kombination einer Kreditaufnahme, die zum Liefertag des Terminkontrakts fällig wird, und dem Halten eines Vermögenswerts mit einem Fälligkeitstermin, der dem des Basisinstruments oder der dem betreffenden Terminkontrakt zugrunde liegenden fiktiven Position entspricht, behandelt. Ebenso wird eine verkaufte Zinsausgleichsvereinbarung als eine Kaufposition mit einem Fälligkeitstermin behandelt, der dem Abwicklungstermin zuzüglich des Vertragszeitraums entspricht, und als eine Verkaufsposition mit einem Fälligkeitstermin, der dem Abwicklungstermin entspricht. Sowohl die Kreditaufnahme als auch der Besitz von Vermögenswerten wird bei der Berechnung der Eigenmittelanforderung für das spezifische Risiko der Zinsterminkontrakte und der Zinsausgleichsvereinbarungen in die erste Kategorie der Tabelle 1 in Artikel 336 eingeordnet. Eine Terminposition für den Kauf eines Schuldtitels wird als Kombination einer Kreditaufnahme, die zum Liefertag fällig wird, und einer (Kassa-) Kaufposition in dem Schuldtitel selbst behandelt. Die Kreditaufnahme wird in die erste Kategorie der Tabelle 1 in Artikel 336 für das spezifische Risiko und der Schuldtitel in die entsprechende Spalte derselben Tabelle eingeordnet.
(2) Für die Zwecke dieses Artikels ist eine "Kaufposition" eine Position, für die ein Institut den Zinssatz festgesetzt hat, den es zu einem bestimmten Zeitpunkt in der Zukunft erhalten wird, und eine "Verkaufsposition" eine Position, für die es den Zinssatz festgesetzt hat, den es zu einem bestimmten Zeitpunkt in der Zukunft zahlen wird.
Artikel 329 Optionen und Optionsscheine
(1) Zinsoptionen und -optionsscheine sowie Optionen und Optionsscheine auf Schuldtitel, Aktien, Aktienindizes, Finanzterminkontrakte, Swaps und Fremdwährungen werden wie Positionen behandelt, deren Wert dem Wert des zugrunde liegenden Instruments entspricht, nachdem dieser für die Zwecke dieses Kapitels mit dessen Delta-Faktor multipliziert wurde. Die letztgenannten Positionen können gegen jede entgegengesetzte Position in dem gleichen zugrunde liegenden Wertpapier oder Derivat aufgerechnet werden. Als Delta-Faktor ist derjenige der betreffenden Börse zu verwenden. Bei nicht börsengehandelten Optionen oder wenn der Delta-Faktor von der betreffenden Börse nicht erhältlich ist, darf das Institut den Delta-Faktor vorbehaltlich der Genehmigung durch die zuständigen Behörden unter Verwendung eines geeigneten Modells selbst berechnen. Die Genehmigung wird erteilt, sofern mit dem Modell eine angemessene Schätzung der Änderungsrate für den Wert der Option oder des Optionsscheins bei geringfügigen Änderungen des Marktpreises des Basiswerts vorgenommen wurde.
(2) Die Institute spiegeln - abgesehen vom Delta-Faktor-Risiko - andere Risiken, die mit Optionen im Bereich der Eigenmittelanforderungen verbunden sind, adäquat wider.
(3) Die EBa arbeitet Entwürfe technischer Regulierungsstandards aus, um in einer dem Umfang und der Komplexität der Tätigkeiten der Institute im Bereich Optionen und Optionsscheine angemessenen Weise die verschiedenen Methoden zur Berücksichtigung anderer Risiken nach Absatz 2 - abgesehen vom Delta-Faktor-Risiko - im Bereich der Eigenmittelanforderungen zu präzisieren.
Die EBa legt der Kommission diese Entwürfe technischer Regulierungsstandards bis zum 31. Dezember 2013 vor.
Der Kommission wird die Befugnis übertragen, die technischen Regulierungsstandards nach Unterabsatz 1 gemäß den Artikeln 10 bis 14 der Verordnung (EU) Nr. 1093/2010 zu erlassen.
(4) Vor dem Inkrafttreten der technischen Standards nach Absatz 3 dürfen die zuständigen Behörden weiterhin bestehende nationale Behandlungen anwenden, wenn sie diese vor dem 31. Dezember 2013 angewandt haben.
Artikel 330 Swaps
Swaps werden hinsichtlich des Zinsrisikos ebenso behandelt wie bilanzwirksame Instrumente. Ein Zinsswap, bei dem ein Institut variable Zinsen erhält und feste Zinsen zahlt, wird daher behandelt wie eine Kaufposition in einem zinsvariablen Instrument mit der gleichen Laufzeit wie die Frist bis zur nächsten Zinsfestsetzung und eine Verkaufsposition in einem festverzinslichen Instrument mit der gleichen Laufzeit wie der Swap selbst.
Artikel 331 Zinsrisiko von Derivaten
(1) Institute, die ihre Positionen täglich zum Marktpreis neu bewerten und das Zinsrisiko von Derivaten gemäß Artikel 328 bis 330 nach einer Diskontierungsmethode steuern, dürfen vorbehaltlich der Genehmigung der zuständigen Behörden zur Berechnung der in jenen Artikeln genannten Positionen Sensitivitätsmodelle anwenden; sie dürfen derartige Modelle auf Schuldverschreibungen anwenden, die über die Restlaufzeit und nicht durch eine einzige Rückzahlung am Ende der Laufzeit getilgt werden. Die Genehmigung wird erteilt, wenn die Modelle zu Positionen führen, die mit derselben Sensitivität auf Zinsänderungen reagieren wie die zugrunde liegenden Zahlungsströme. Bei der Bewertung dieser Sensitivität ist die unabhängige Entwicklung ausgewählter Zinssätze entlang der Zinsertragskurve zugrunde zu legen, wobei in jedes der Laufzeitbänder der Tabelle 2 in Artikel 339 zumindest ein Sensitivitätspunkt fallen muss. Die Positionen gehen in die Berechnung der Eigenmittelanforderungen für das allgemeine Risiko von Schuldtiteln ein.
(2) Institute, die keine Modelle gemäß Absatz 1 verwenden, können stattdessen alle Positionen in abgeleiteten Instrumenten gemäß Artikel 328 bis 330 vollständig gegeneinander aufrechnen, wenn sie zumindest folgende Bedingungen erfüllen:
Artikel 332 Kreditderivate
(1) Bei der Berechnung der Eigenmittelanforderung für das allgemeine und das spezifische Risiko derjenigen Partei, die das Kreditrisiko übernimmt ("Sicherungsgeber"), ist, soweit nicht anders bestimmt, der Nominalwert des Kreditderivatekontrakts zugrunde zu legen. Unbeschadet des Satzes 1 darf das Institut beschließen, den Nominalwert durch den Nominalwert zuzüglich der Nettomarktwertveränderung des Kreditderivats seit Geschäftsabschluss zu ersetzen, so dass eine Nettowertverringerung aus der Sicht des Sicherungsgebers ein negatives Vorzeichen trägt. Bei der Berechnung der Eigenmittelanforderung für das spezifische Risiko wird, außer für Gesamtrenditeswaps, die Laufzeit des Kreditderivatekontrakts und nicht die Laufzeit der Verbindlichkeit zugrunde gelegt. Die Positionen werden wie folgt bestimmt:
bei einem n-ter-Ausfall-Kreditderivat ("nth-assetto-default credit derivative") wird eine Position in einer Verbindlichkeit gegenüber einer jeden Referenzeinheit in Höhe des Nominalwertes, ausgenommen die n-1 Referenzeinheit mit der niedrigsten Eigenmittelanforderung für das spezifische Risiko, geschaffen. Ist das Volumen der maximalen Kreditereigniszahlung niedriger als die Eigenmittelanforderung aufgrund der im ersten Satz genannten Methode, kann dieser Zahlungsbetrag als Eigenmittelanforderung für das spezifische Risiko angesehen werden.
Liegt für ein n-ter-Ausfall-Kreditderivat eine externe Bonitätsbeurteilung vor, muss der Sicherungsgeber die Eigenmittelanforderung für das spezifische Risiko unter Berücksichtigung der Bonitätsbeurteilung des Derivats berechnen und die jeweils geltenden Risikogewichte für Verbriefungen anwenden.
(2) Für die Partei, die das Kreditrisiko überträgt ("Sicherungsnehmer"), werden die Positionen genau spiegelbildlich ("mirror principle") zu denen des Sicherungsgebers bestimmt, ausgenommen bei einer synthetischen Unternehmensanleihe (die in Bezug auf den Emittenten keine Verkaufsposition schafft). Bei der Berechnung der Eigenmittelanforderung für den Sicherungsnehmer ist der Nominalwert des Kreditderivatekontrakts zugrunde zu legen. Unbeschadet des Satzes 1 kann das Institut beschließen, den Nominalwert durch den Nominalwert zuzüglich der Nettomarktwertänderung des Kreditderivats seit Geschäftsabschluss zu ersetzen, so dass eine Nettowertverringerung aus der Sicht des Sicherungsgebers ein negatives Vorzeichen trägt. Existiert zu einem bestimmten Zeitpunkt ein Kündigungsrecht (Kaufoption) in Verbindung mit einer Kostenanstiegsklausel, so wird dieser Zeitpunkt als die Fälligkeit der Sicherung angesehen.
(3) Kreditderivate gemäß Artikel 338 Absatz 1 oder 3 werden nur in die Bestimmung der Eigenmittelanforderung für das spezifische Risiko gemäß Artikel 338 Absatz 4 einbezogen.
Artikel 333 Im Rahmen von Pensionsgeschäften übertragene oder verliehene Wertpapiere
Die Wertpapiere oder garantierte Rechtsansprüche auf Wertpapiere übertragende Partei im Rahmen eines Pensionsgeschäfts und die verleihende Partei in einem Wertpapierverleihgeschäft beziehen die betreffenden Wertpapiere in die Berechnung ihrer Eigenmittelanforderungen gemäß diesem Kapitel ein, sofern diese Wertpapiere Handelsbuchpositionen sind.
Abschnitt 2
Schuldtitel
Artikel 334 Nettopositionen in Schuldtiteln
Nettopositionen werden jeweils in der Währung bewertet, auf die sie lauten, und die Eigenmittelanforderungen werden für das allgemeine und das spezifische Risiko für jede Währung getrennt berechnet.
Unterabschnitt 1
Spezifisches risiko
Artikel 335 Obergrenze der Eigenmittelanforderung für eine Nettoposition
Das Institut kann die Eigenmittelanforderung für das spezifische Risiko einer Nettoposition in einem Schuldtitel auf den höchstmöglichen Verlust aus dem Ausfallrisiko beschränken. Für eine Verkaufsposition kann diese Obergrenze als die Wertänderung berechnet werden, die sich ergeben würde, wenn der Schuldtitel bzw. die zugrunde liegenden Referenzwerte sofort ausfallrisikofrei würden.
Artikel 336 Eigenmittelanforderung für Schuldtitel, die keine Verbriefungspositionen darstellen
(1) Das Institut ordnet seine gemäß Artikel 327 berechneten Nettopositionen im Handelsbuch, die aus Instrumenten resultieren, die keine Verbriefungspositionen sind, in die entsprechenden Kategorien der Tabelle 1 ein, und zwar auf der Grundlage des Emittenten oder Schuldners, der externen oder internen Bonitätsbeurteilung und der Restlaufzeit, und multipliziert sie anschließend mit den in dieser Tabelle angegebenen Gewichtungen. Die gewichteten Positionen, die sich aus der Anwendung dieses Artikels ergeben, werden - unabhängig davon, ob es sich um eine Kauf- oder um eine Verkaufsposition handelt - addiert, um die Eigenmittelanforderung für das spezifische Risiko zu berechnen.
| Kategorien | Eigenmittelanforderung für das spezifische Risiko |
| Schuldverschreibungen, bei denen gemäß dem Standardansatz für Kreditrisiken ein Risikogewicht von 0 % anzusetzen ist | 0 % |
| Schuldverschreibungen, bei denen gemäß dem Standardansatz für Kreditrisiken ein Risikogewicht von 20 % oder 50 % anzusetzen ist, und andere qualifizierte Positionen gemäß Absatz 4 | 0,25 % (Restlaufzeit von höchstens 6 Monaten)
1,00 % (Restlaufzeit zwischen 6 und 24 Monaten) 1,60 % (Restlaufzeit von mehr als 24 Monaten) |
| Schuldverschreibungen, bei denen gemäß dem Standardansatz für Kreditrisiken ein Risikogewicht von 100 % anzusetzen ist | 8,00 % |
| Schuldverschreibungen, bei denen gemäß dem Standardansatz für Kreditrisiken ein Risikogewicht von 150 % anzusetzen ist | 12,00 % |
(2) Damit Institute, die auf die Forderungsklasse, zu der der Emittent des Schuldtitels gehört, den IRB-Ansatz anwenden, gemäß dem Standardansatz für Kreditrisiken ein Risikogewicht im Einklang mit Absatz 1 zuordnen können, muss der Emittent der Forderung bei der internen Beurteilung entweder die gleiche PD erhalten haben, wie sie nach dem Standardansatz für die entsprechende Bonitätsstufe vorgesehen ist, oder einer darunter liegenden PD zugeordnet worden sein.
(3) Institute dürfen die Eigenmittelanforderungen für das spezifische Risiko für Schuldverschreibungen, bei denen entsprechend der Behandlung nach Artikel 129 Absätze 4, 5 und 6 ein Risikogewicht von 10 % angesetzt werden kann, als die Hälfte der anzuwendenden Eigenmittelanforderungen für das spezifische Risiko für die zweite Kategorie in Tabelle 1 berechnen.
(4) Andere qualifizierte Positionen sind
Institute, die von der Möglichkeit nach Buchstabe a oder b Gebrauch machen, verfügen über eine dokumentierte Methodik zur Bewertung, ob Vermögenswerte die unter diesen Buchstaben erläuterten Anforderungen erfüllen, und geben diese Methodik den zuständigen Behörden an.
Artikel 337 Eigenmittelanforderung für Verbriefungsinstrumente17
(1) Bei Instrumenten im Handelsbuch, bei denen es sich um Verbriefungspositionen handelt, gewichtet das Institut die nach Artikel 327 Absatz 1 berechneten Nettopositionen mit 8 % des Risikogewichts, das es diesen Positionen gemäß Titel II Kapitel 5 Abschnitt 3 außerhalb des Handelsbuchs zuweisen würde.
(2) Bei der Bestimmung der Risikogewichte für die Zwecke des Absatzes 1 dürfen PD- und LGD-Schätzungen sich auch auf Schätzungen stützen, die von einem internen Modell für das zusätzliche Ausfall- und Migrationsrisiko (IRC-Modell) eines Instituts abgeleitet sind, dem die Erlaubnis erteilt wurde, für das spezifische Risiko von Schuldtiteln ein internes Modell zu verwenden. Diese Alternative darf nur nach der Genehmigung durch die zuständigen Behörden angewandt werden, die erteilt wird, sofern die Schätzungen die quantitativen Anforderungen an den IRB-Ansatz nach Titel II Kapitel 3 erfüllen.
Die EBa gibt im Einklang mit Artikel 16 der Verordnung (EU) Nr. 1093/2010 Leitlinien zur Verwendung von einfließenden PD- und LGD-Schätzungen heraus, wenn diese auf der Grundlage eines IRC-Modells ermittelt wurden.
(3) Für Verbriefungspositionen, für die ein zusätzliches Risikogewicht gemäß Artikel 247 Absatz 6 vorgegeben ist, wird ein Wert von 8 % des gesamten Risikogewichts angewandt.
(4) Zur Berechnung der Eigenmittelanforderungen für das spezifische Risiko addiert das Institut bis auf die unter Artikel 338 Absatz 4 fallenden Verbriefungspositionen seine gewichteten Positionen, die sich aus der Anwendung der Absätze 1, 2 und 3 ergeben, unabhängig davon, ob es sich um Kauf- oder Verkaufspositionen handelt.
(5) Wenn der Originator einer traditionellen Verbriefung die in Artikel 244 genannten Bedingungen für die Übertragung eines signifikanten Risikos nicht erfüllt, so bezieht er die der Verbriefung zugrunde liegenden Risikopositionen in die Berechnung seiner Eigenmittelanforderung ein, als wären diese nicht verbrieft worden.
Wenn der Originator einer synthetischen Verbriefung die in Artikel 245 genannten Bedingungen für die Übertragung eines signifikanten Risikos nicht erfüllt, so bezieht er die der Verbriefung zugrunde liegenden Risikopositionen in die Berechnung seiner Eigenmittelanforderung ein, als wären diese nicht verbrieft worden, und lässt die Auswirkungen der synthetischen Verbriefung für Besicherungszwecke außer Acht.)
Artikel 338 Eigenmittelanforderung für das Korrelationshandelsportfolio
(1) Das Korrelationshandelsportfolio umfasst Verbriefungspositionen und n-ter-Ausfall-Kreditderivate, die sämtliche nachstehende Kriterien erfüllen:
Ein aus Käufer- und Verkäufersicht hinreichend liquider Markt wird als vorhanden angenommen, wenn unabhängige ernsthafte Kauf- und Verkaufsangebote existieren, sodass ein mit den letzten Verkaufspreisen oder gegenwärtigen konkurrenzfähigen ernsthaften Kauf- und Verkaufsquotierungen angemessen in Verbindung stehender Preis innerhalb eines Tages bestimmt werden kann und zu einem solchen Preis innerhalb relativ kurzer Zeit ein Geschäft im Einklang mit den Handelsusancen abgewickelt werden kann.
(2) Eine Position kann nicht Bestandteil des Korrelationshandelsportfolios sein, wenn ihre Referenz
(3) Ein Institut darf in sein Korrelationshandelsportfolio Positionen aufnehmen, die weder Verbriefungspositionen noch n-ter-Ausfall-Kreditderivate sind, jedoch andere Positionen dieses Portfolios absichern, sofern für das Instrument oder die ihm zugrunde liegenden Risikopositionen ein aus Käufer- und Verkäufersicht hinreichend liquider Markt im Sinne von Absatz 1 letzter Unterabsatz besteht.
(4) Ein Institut ermittelt den größeren der folgenden Beträge als Eigenmittelanforderung für das spezifische Risiko des Korrelationshandelsportfolios:
Unterabschnitt 2
Allgemeines Risiko
Artikel 339 Laufzeitbezogene Berechnung des allgemeinen Risikos
(1) Zur Berechnung der Eigenmittelanforderungen für das allgemeine Risiko sind alle Positionen wie in Absatz 2 erläutert gemäß ihrer Laufzeit zu gewichten, um den Betrag der erforderlichen Eigenmittel zu ermitteln. Diese Eigenmittelanforderung wird verringert, wenn sich innerhalb des gleichen Laufzeitbands gewichtete Positionen mit entgegengesetzten Vorzeichen gegenüberstehen. Die Eigenmittelanforderung darf auch gesenkt werden, wenn die gewichteten Positionen mit entgegengesetzten Vorzeichen in unterschiedliche Laufzeitbänder fallen, wobei der Umfang dieser Senkung einerseits davon abhängt, ob die beiden Positionen in die gleiche Zone fallen, und andererseits von den jeweiligen Zonen abhängig ist, in die sie fallen.
(2) Das Institut ordnet seine Nettopositionen in die entsprechenden Laufzeitbänder in der zweiten bzw. dritten Spalte von Tabelle 2 in Absatz 4 ein. Dabei legt es im Fall festverzinslicher Wertpapiere die Restlaufzeit zugrunde und im Fall von Wertpapieren, deren Zinssatz bis zur Tilgung variabel ist, den Zeitraum bis zur nächsten Zinsfestsetzung. Außerdem unterscheidet es zwischen Schuldtiteln mit einem Coupon von 3 % oder mehr und solchen mit einem Coupon von weniger als 3 % und ordnet diese entsprechend in die zweite oder dritte Spalte von Tabelle 2 ein. Dann multipliziert es jedes Wertpapier mit der in der vierten Spalte von Tabelle 2 für das betreffende Laufzeitband angegebenen Gewichtung.
(3) Anschließend ermittelt das Institut für jedes Laufzeitband die Summe der gewichteten Kaufpositionen sowie die Summe der gewichteten Verkaufspositionen. Der Betrag der erstgenannten Positionen, die innerhalb jedes Laufzeitbands gegen die letztgenannten aufgerechnet werden, entspricht der ausgeglichenen gewichteten Position für das betreffende Laufzeitband, während die verbleibende Kauf- oder Verkaufsposition die nicht ausgeglichene gewichtete Position für das Laufzeitband darstellt. Anschließend wird die Gesamtsumme der ausgeglichenen gewichteten Positionen sämtlicher Laufzeitbänder errechnet.
(4) Das Institut errechnet die Gesamtbeträge der nicht ausgeglichenen gewichteten Kaufpositionen für die in den einzelnen Zonen von Tabelle 2 enthaltenen Bänder, um für jede Zone die nicht ausgeglichene gewichtete Kaufposition zu ermitteln. Entsprechend wird die Summe der nicht ausgeglichenen gewichteten Verkaufspositionen für jedes Laufzeitband in einer bestimmten Zone ermittelt, um die nicht ausgeglichene gewichtete Verkaufsposition für diese Zone zu erhalten. Der Teil der nicht ausgeglichenen gewichteten Kaufpositionen für eine bestimmte Zone, der durch die nicht ausgeglichene gewichtete Verkaufsposition für dieselbe Zone ausgeglichen wird, ist die ausgeglichene gewichtete Position für die betreffende Zone. Der Teil der nicht ausgeglichenen gewichteten Kaufposition bzw. nicht ausgeglichenen gewichteten Verkaufsposition für eine Zone, der nicht in dieser Weise ausgeglichen werden kann, stellt die nicht ausgeglichene gewichtete Position für die betreffende Zone dar.
| Zone | Laufzeitband | Gewicht (in %) | Angenommene Zinssatzänderung (in %) |
|
| Coupon von 3 % oder mehr | Coupon von weniger als 3 % | |||
| Eins | 0< 1 Monat | 0<1 Monat | 0,00 | - |
| > 1< 3 Monate | > 1< 3 Monate | 0,20 | 1,00 | |
| > 3< 6 Monate | > 3< 6 Monate | 0,40 | 1,00 | |
| > 6< 12 Monate | > 6<12 Monate | 0,70 | 1,00 | |
| Zwei | 1< 2 Jahre | 1,0< 1,9 Jahre | 1,25 | 0,90 |
| 2< 3 Jahre | 1,9< 2,8 Jahre | 1,75 | 0,80 | |
| 3< 4 Jahre | 2,8< 3,6 Jahre | 2,25 | 0,75 | |
| Drei | 4< 5 Jahre | 3,6< 4,3 Jahre | 2,75 | 0,75 |
| 5< 7 Jahre | 4,3< 5,7 Jahre | 3,25 | 0,70 | |
| 7< 10 Jahre | 5,7< 7,3 Jahre | 3,75 | 0,65 | |
| 10< 15 Jahre | 7,3< 9,3 Jahre | 4,50 | 0,60 | |
| 15< 20 Jahre | 9,3< 10,6 Jahre | 5,25 | 0,60 | |
| > 20 Jahre | 10,6< 12,0 Jahre | 6,00 | 0,60 | |
| 12,0< 20,0 Jahre | 8,00 | 0,60 | ||
| > 20 Jahre | 12,50 | 0,60 | ||
(5) Der Betrag der nicht ausgeglichenen gewichteten Kauf- oder Verkaufsposition in Zone eins, der durch die nicht ausgeglichene gewichtete Verkaufs- oder Kaufposition in Zone zwei ausgeglichen wird, entspricht dann der ausgeglichenen gewichteten Position zwischen Zone eins und zwei. Dann wird die gleiche Rechenoperation für jenen Teil der nicht ausgeglichenen gewichteten Position in Zone zwei, der übrig geblieben ist, und die nicht ausgeglichene gewichtete Position in Zone drei durchgeführt, um die ausgeglichene gewichtete Position zwischen den Zonen zwei und drei zu erhalten.
(6) Das Institut kann die Reihenfolge nach Absatz 5 umkehren und zunächst die ausgeglichene gewichtete Position zwischen Zone zwei und drei berechnen, bevor es die entsprechende Position zwischen Zone eins und zwei berechnet.
(7) Der Restbetrag der nicht ausgeglichenen gewichteten Position in Zone eins wird dann mit dem Restbetrag für Zone drei ausgeglichen, nachdem letztere Zone mit Zone zwei ausgeglichen wurde, um die ausgeglichene gewichtete Position zwischen den Zonen eins und drei zu ermitteln.
(8) Die Restpositionen aus den drei gesonderten Ausgleichsrechnungen gemäß den Absätzen 5, 6 und 007 werden addiert.
(9) Die Eigenmittelanforderung des Instituts errechnet sich als die Summe aus
Artikel 340 Durationsbasierte Berechnung des allgemeinen Risikos
(1) Die Institute dürfen zur Berechnung der Eigenmittelanforderung für das allgemeine Risiko von Schuldtiteln anstelle des Ansatzes nach Artikel 339 einen auf der Duration aufbauenden Ansatz verwenden, sofern das Institut durchgängig so verfährt.
(2) Wenn ein durationsbasierter Ansatz nach Maßgabe des Absatzes 1 verwendet wird, berechnet das Institut unter Zugrundelegung des Marktwerts der einzelnen festverzinslichen Schuldtitel deren Endfälligkeitsrendite, die zugleich dem internen Zinsfluss des Schuldtitels entspricht. Bei Wertpapieren mit variabler Verzinsung berechnet das Institut unter Zugrundelegung des Marktwerts jedes Wertpapiers dessen Rendite unter der Annahme, dass das Kapital fällig wird, sobald der Zinssatz (für den darauf folgenden Zeitraum) geändert werden darf.
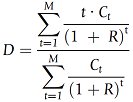
(3) Im Anschluss daran berechnet das Institut für jeden Schuldtitel die modifizierte Duration nach folgender Formel:
modifiziete Duration = D / (1 + R)
dabei entspricht
D = der nach folgender Formel berechneten Duration:
dabei entspricht
R = der Endfälligkeitsrendite,
Ct = den Barzahlungen im Zeitraum t,
M = der Gesamtlaufzeit.
Für Schuldtitel, die einem Vorauszahlungsrisiko unterliegen, wird die Berechnung der modifizierten Duration berichtigt. Die EBa gibt im Einklang mit Artikel 16 der Verordnung (EU) Nr. 1093/2010 Leitlinien über die Anwendung derartiger Berichtigungen heraus.
(4) Das Institut ordnet dann jeden Schuldtitel der entsprechenden Zone der Tabelle 3 zu. Dabei legt es die modifizierte Duration der Schuldtitel zugrunde.
| Zone | Modifizierte Duration (in Jahren) | Angenommene Zinssatzänderung (in %) |
| Eins | > 0< 1,0 | 1,0 |
| Zwei | > 1,0< 3,6 | 0,85 |
| Drei | > 3,6 | 0,7 |
(5) Anschließend ermittelt das Institut die durationsgewichtete Position jedes Wertpapiers durch Multiplikation seines Marktwertes mit der modifizierten Duration sowie mit der angenommenen Zinssatzänderung bei einem Instrument mit der betreffenden modifizierten Duration (siehe Spalte 3 der Tabelle 3 ).
(6) Das Institut berechnet seine durationsgewichteten Kaufpositionen und seine durationsgewichteten Verkaufspositionen innerhalb jeder Zone. Der Betrag der erstgenannten Positionen, die gegen die letztgenannten innerhalb jeder Zone aufgerechnet werden, entspricht der ausgeglichenen durationsgewichteten Position für diese Zone.
Das Institut berechnet sodann die nicht ausgeglichenen durationsgewichteten Positionen für jede Zone. Anschließend wird das Verfahren für nicht ausgeglichene gewichtete Positionen nach Artikel 339 Absätze 5 bis 8 angewandt.
(7) Die Eigenmittelanforderung des Instituts errechnet sich dann als die Summe aus
Abschnitt 3
Eigenkapitalinstrumente
Artikel 341 Nettopositionen in Eigenkapitalinstrumenten
(1) Das Institut addiert all seine gemäß Artikel 327 ermittelten Nettokaufpositionen und Nettoverkaufspositionen getrennt voneinander. Die Summe der absoluten Werte dieser beiden Zahlen ergibt seine Bruttogesamtposition.
(2) Das Institut berechnet die Differenz zwischen der Summe des Nettogesamtbetrags der Kaufpositionen und des Nettogesamtbetrags der Verkaufspositionen für jeden Markt getrennt. Die Summe der absoluten Werte dieser Differenzbeträge ergibt seine Nettogesamtposition.
(3) Die EBa arbeitet Entwürfe technischer Regulierungsstandards aus, um den in Absatz 2 aufgeführten Terminus "Markt" zu definieren.
Die EBa legt der Kommission diese Entwürfe technischer Regulierungsstandards bis zum 31. Januar 2014 vor.
Der Kommission wird die Befugnis übertragen, die technischen Regulierungsstandards nach dem vorstehenden Unterabsatz gemäß den Artikeln 10 bis 14 der Verordnung (EU) Nr. 1093/2010 zu erlassen.
Artikel 342 Spezifisches Risiko von Eigenkapitalinstrumenten
Zur Errechnung seiner Eigenmittelanforderung für das spezifische Risiko multipliziert das Institut seine Bruttogesamtposition mit 8 %.
Artikel 343 Allgemeines Risiko von Eigenkapitalinstrumenten
Die Eigenmittelanforderung für das allgemeine Risiko ist die mit 8 % multiplizierte Nettogesamtposition eines Instituts.
Artikel 344 Aktienindizes
(1) Die EBa arbeitet Entwürfe technischer Durchführungsstandards mit einem Verzeichnis der Aktienindizes aus, für die nach Absatz 4 Satz 2 verfahren werden kann.
Die EBa legt der Kommission diese Entwürfe technischer Durchführungsstandards bis 1. Januar 2014 vor.
Der Kommission wird die Befugnis übertragen, die technischen Durchführungsstandards nach Unterabsatz 1 gemäß Artikel 15 der Verordnung (EU) Nr. 1093/2010 zu erlassen.
(2) Vor dem Inkrafttreten der technischen Durchführungsstandards nach Absatz 1 dürfen Institute die Behandlung nach den Absätzen 3 und 4 weiter anwenden, sofern die zuständigen Behörden diese Behandlung vor dem 1. Januar 2014 angewandt haben.
(3) Aktienindex-Terminkontrakte und der deltagewichtete Gegenwert von Aktienindex-Terminkontraktoptionen und Aktienindex-Optionen, die sämtlich im Folgenden als "Aktienindex-Terminkontrakte" bezeichnet werden, können nach den Positionen in den einzelnen Aktien aufgeschlüsselt werden. Diese Positionen können als zugrunde liegende Positionen in den betreffenden Aktien behandelt werden und gegen die entgegengesetzten Positionen in den zugrunde liegenden Aktien selbst aufgerechnet werden. Die Institute unterrichten die zuständigen Behörden, inwieweit sie von dieser Behandlung Gebrauch machen.
(4) Wird ein Aktienindex-Terminkontrakt nicht in seine zugrunde liegenden Positionen aufgeschlüsselt, so wird er wie eine einzelne Aktie behandelt. Das spezifische Risiko für diese einzelne Aktie kann jedoch außer Betracht bleiben, wenn der betreffende Aktienindex-Terminkontrakt an der Börse gehandelt wird und einen relevanten angemessen breit gestreuten Index darstellt.
Abschnitt 4
Übernahmegarantien
Artikel 345 Verringerung von Nettopositionen
(1) Bei Übernahmegarantien für Schuldtitel und Eigenkapitalinstrumente darf ein Institut das folgende Verfahren für die Berechnung seiner Eigenmittelanforderungen anwenden. Es berechnet zunächst die Nettopositionen, indem die mit einer Übernahmegarantie versehenen Positionen, die von Dritten auf der Grundlage einer förmlichen Vereinbarung gezeichnet oder mitgarantiert werden, in Abzug gebracht werden. Anschließend verringert das Institut die Nettopositionen durch Anwendung der Faktoren in Tabelle 4 und berechnet seine Eigenmittelanforderungen anhand der durch Anwendung der genannten Faktoren verringerten Übernahmepositionen.
| Arbeitstag Null: | 100 % |
| erster Arbeitstag: | 90 % |
| zweiter und dritter Arbeitstag: | 75 % |
| vierter Arbeitstag: | 50 % |
| fünfter Arbeitstag: | 25 % |
| nach dem fünften Arbeitstag: | 0 %. |
Der "Arbeitstag Null" ist der Arbeitstag, an dem das Institut die uneingeschränkte Verpflichtung eingegangen ist, eine bestimmte Menge von Wertpapieren zu einem vereinbarten Preis zu übernehmen.
(2) Die Institute teilen den zuständigen Behörden mit, inwieweit sie von der Möglichkeit nach Absatz 1 Gebrauch machen.
Abschnitt 5
Eigenmittelanforderungen für das spezifische Risiko bei über Kreditderivate abgesicherten Positionen
Artikel 346 Anerkennung von Absicherungen über Kreditderivate
(1) Absicherungen über Kreditderivate werden entsprechend den Grundsätzen der Absätze 2 bis 6 anerkannt.
(2) Institute behandeln die Position im Kreditderivat als eine Positionsseite und die abgesicherte Position, die denselben Nominalbetrag oder gegebenenfalls fiktiven Nominalbetrag hat, als die andere Positionsseite.
(3) Die Absicherung wird vollständig anerkannt, wenn sich die Werte der beiden Positionsseiten stets und in der Regel im gleichen Umfang in entgegengesetzte Richtungen entwickeln. Dies ist in den nachstehenden Situationen der Fall:
In diesen Situationen wird auf keine der beiden Positionsseiten eine Eigenmittelanforderung für das spezifische Risiko angewandt.
(4) Eine 80 %ige Reduzierung wird dann angewandt, wenn sich die Werte der beiden Positionsseiten stets in entgegengesetzte Richtungen entwickeln und eine exakte Übereinstimmung hinsichtlich der Referenzverbindlichkeit, der Fälligkeit der Referenzverbindlichkeit und des Kreditderivats sowie der Währung der zugrunde liegenden Forderung besteht. Darüber hinaus bewirken Hauptmerkmale des Kreditderivatekontrakts nicht, dass die Kursbewegung des Kreditderivats wesentlich von den Kursbewegungen der Kassaposition abweicht. In dem Maße, wie mit dem Geschäft Risiko übertragen wird, wird eine 80 %ige Reduzierung der Eigenmittelanforderungen für das spezifische Risiko auf die Seite des Geschäfts angewandt, die mit der höheren Eigenmittelanforderung behaftet ist, wohingegen die Eigenmittelanforderungen für das spezifische Risiko auf der Gegenseite mit Null angesetzt werden.
(5) Abgesehen von den Fällen nach den Absätzen 3 und 4 wird eine Absicherung unter folgenden Umständen teilweise anerkannt:
Für eine teilweise Anerkennung wird anstelle der Addierung der Eigenmittelanforderungen für das spezifische Risiko für jede Seite der Transaktion lediglich die jeweils höhere der beiden Eigenmittelanforderungen angewandt.
(6) In allen Situationen, die nicht unter die Absätze 3 bis 5 fallen, werden die Eigenmittelanforderungen für das spezifische Risiko für beide Positionsseiten getrennt berechnet.
Artikel 347 Anerkennung von Absicherungen über Erstausfall-Kreditderivate und n-ter-Ausfall-Kreditderivate
Bei Erstausfall-Kreditderivaten und n-ter-Ausfall-Kreditderivaten wird für die Anerkennung nach Artikel 346 wie folgt verfahren:
Abschnitt 6
Eigenmittelanforderungen für OGA
Artikel 348 Eigenmittelanforderungen für OGA
(1) Unbeschadet anderer Bestimmungen dieses Abschnitts wird auf OGA-Positionen eine Eigenmittelanforderung für das Positionsrisiko, das das spezifische und das allgemeine Risiko umfasst, von 32 % angewandt. Unbeschadet des Artikels 353 in Verbindung mit der modifizierten Behandlung von Gold nach Artikel 352 Absatz 4 und Artikel 367 Absatz 2 Buchstabe b unterliegen OGA-Positionen einer Eigenmittelanforderung für das Positionsrisiko, das das spezifische und das allgemeine Risiko umfasst, und für das Fremdwährungsrisiko von 40 %.
(2) Sofern Artikel 350 nichts anderes vorsieht, ist keine Aufrechnung zwischen den zugrunde liegenden Anlagen eines OGa und anderen vom Institut gehaltenen Positionen erlaubt.
Artikel 349 Allgemeine Anforderungen an OGA
Der Ansatz nach Artikel 350 darf auf OGa angewandt werden, sofern sämtliche der folgenden Bedingungen erfüllt sind:
Artikel 350 Spezifische Methoden für OGA
(1) Sofern dem Institut die zugrunde liegenden Anlagen des OGa auf Tagesbasis bekannt sind, kann das Institut die zugrunde liegenden Anlagen unmittelbar berücksichtigen, um die Eigenmittelanforderungen für das Positionsrisiko, das das allgemeine und das spezifische Risiko umfasst, zu berechnen. Nach diesem Ansatz werden Positionen in OGa wie Positionen in den zugrunde liegenden Anlagen des OGa behandelt. Eine Aufrechnung ist zwischen Positionen in den zugrunde liegenden Anlagen des OGa und anderen vom Institut gehaltenen Positionen gestattet, sofern das Institut eine ausreichende Zahl von Anteilen hält, um eine Einlösung/Kreierung im Austausch für die zugrunde liegenden Anlagen zu ermöglichen.
(2) Die Institute können die Eigenmittelanforderungen für das Positionsrisiko, das das allgemeine und das spezifische Risiko umfasst, für Positionen in OGa berechnen, indem Positionen angenommen werden, die jene repräsentieren, die erforderlich wären, um die Zusammensetzung und die Wertentwicklung eines extern geschaffenen Indexes oder eines festen Korbs von Aktien oder Schuldtiteln gemäß Buchstabe a nachzubilden, sofern die folgenden Bedingungen erfüllt sind:
(3) Sind dem Institut die zugrunde liegenden Anlagen des OGa auf Tagesbasis nicht bekannt, kann das Institut die Eigenmittelanforderungen für das Positionsrisiko, das das allgemeine und das spezifische Risiko umfasst, berechnen, wobei folgende Bedingungen zu erfüllen sind:
(4) Die Institute können folgende Dritte damit beauftragen, die Eigenmittelanforderungen für das Positionsrisiko für OGA- Positionen, die unter die Absätze 1 bis 4 fallen, gemäß den in diesem Kapitel beschriebenen Methoden zu berechnen und zu melden:
Die Richtigkeit der Berechnung wird von einem externen Prüfer bestätigt.
Kapitel 3
Eigenmittelanforderungen für das Fremdwährungsrisiko
Artikel 351 Schwellenwert und Gewichtung für das Fremdwährungsrisiko
Übersteigt die nach dem Verfahren des Artikels 352 berechnete Summe des Nettogesamtbetrags der Fremdwährungspositionen und der Nettogoldposition eines Instituts, einschließlich Devisen- und Goldpositionen, für die Eigenmittelanforderungen mit Hilfe eines internen Modells berechnet werden, 2 % des Gesamtbetrags seiner Eigenmittel, so berechnet das Institut eine Eigenmittelanforderung für das Fremdwährungsrisiko. Die Eigenmittelanforderung für das Fremdwährungsrisiko ist die Summe der gesamten Netto-Fremdwährungsposition und der Nettogoldposition in der Währung der Rechnungslegung mit 8 % multipliziert.
Artikel 352 Berechnung der gesamten Netto-Fremdwährungsposition
(1) Der Nettobetrag der offenen Positionen des Instituts wird in den einzelnen Währungen (einschließlich der Währung der Rechnungslegung) und in Gold als Summe der folgenden Elemente (positiv oder negativ) berechnet:
Der Delta-Faktor für die Zwecke des Buchstabens d ist derjenige der betreffenden Börse. Bei nicht börsengehandelten Optionen oder wenn der Delta-Faktor von der betreffenden Börse nicht erhältlich ist, darf das Institut den Delta-Faktor vorbehaltlich der Erlaubnis der zuständigen Behörden unter Verwendung eines geeigneten Modells selbst berechnen. Die Erlaubnis wird erteilt, sofern mit dem Modell eine angemessene Schätzung der Änderungsrate für den Wert der Option oder des Optionsscheins bei geringfügigen Änderungen des Marktpreises des Basiswerts vorgenommen wurde.
Das Institut darf dabei den Nettobetrag der künftigen, noch nicht angefallenen, aber bereits voll abgesicherten Einnahmen und Ausgaben berücksichtigen, sofern es durchgängig so vorgeht.
Das Institut darf Nettopositionen in Korbwährungen gemäß den geltenden Quoten in die verschiedenen Währungen, aus denen sich diese zusammensetzen, zerlegen.
(2) Alle Positionen, die ein Institut bewusst eingegangen ist, um sich gegen die nachteilige Auswirkung einer Wechselkursänderung auf seine Eigenmittelquoten gemäß Artikel 92 Absatz 1 abzusichern, können vorbehaltlich der Genehmigung der zuständigen Behörden bei der Errechnung der offenen Netto-Fremdwährungspositionen ausgeschlossen werden. Solche Positionen sind keine Handelspositionen oder sind struktureller Art, und jegliche Änderung der Bedingungen für ihren Ausschluss erfordert eine gesonderte Erlaubnis der zuständigen Behörden. Positionen eines Instituts im Zusammenhang mit Posten, die bereits bei der Berechnung der Eigenmittel in Abzug gebracht wurden, können unter denselben Bedingungen genauso behandelt werden.
(3) Ein Institut darf bei der Berechnung der offenen Nettopositionen in den einzelnen Währungen und in Gold den jeweiligen Nettogegenwartswert heranziehen, sofern das Institut diesen Ansatz durchgängig einsetzt.
(4) Die Nettobeträge der Kauf- und Verkaufspositionen in den einzelnen Währungen, mit Ausnahme der Währung der Rechnungslegung, und die Nettokauf- und Verkaufsposition in Gold werden zum Kassakurs in die Währung der Rechnungslegung umgerechnet. Anschließend werden diese getrennt addiert, um den Nettogesamtbetrag der Kaufpositionen und den Nettogesamtbetrag der Verkaufspositionen zu ermitteln. Der höhere dieser beiden Gesamtbeträge entspricht dem Nettogesamtbetrag der Devisenpositionen des Instituts.
(5) Die Institute spiegeln andere Risiken, die mit Optionen verbunden sind - abgesehen vom Delta-Faktor-Risiko - in den Eigenmittelanforderungen adäquat wider.
(6) Die EBa arbeitet Entwürfe technischer Regulierungsstandards aus, in denen verschiedene Methoden festgelegt werden, um andere Risiken - abgesehen vom Delta-Faktor-Risiko - in den Eigenmittelanforderungen in einer dem Umfang und der Komplexität der Tätigkeiten der Institute im Bereich Optionen angemessenen Weise zu berücksichtigen.
Die EBa legt der Kommission diese Entwürfe technischer Regulierungsstandards bis zum 31. Dezember 2013 vor.
Der Kommission wird die Befugnis übertragen, die technischen Regulierungsstandards nach dem Unterabsatz 1 gemäß den Artikeln 10 bis 14 der Verordnung (EU) Nr. 1093/2010 zu erlassen.
Vor dem Inkrafttreten der technischen Standards nach Unterabsatz 1 dürfen die zuständigen Behörden weiterhin bestehende nationale Behandlungen anwenden, wenn sie diese vor dem 31. Dezember 2013 angewandt haben.
Artikel 353 Fremdwährungsrisiko von OGA
(1) Für die Zwecke des Artikels 352 werden in Bezug auf OGa die tatsächlichen Fremdwährungspositionen des OGa berücksichtigt.
(2) Die Institute können den Ausweis von Fremdwährungspositionen in OGa heranziehen, der vonseiten folgender Dritter vorgenommen wird:
Die Richtigkeit der Berechnung wird von einem externen Prüfer bestätigt.
(3) Kennt ein Institut die Fremdwährungspositionen in einem OGa nicht, wird davon ausgegangen, dass dieser bis zur im Rahmen seines Mandats möglichen Höchstgrenze in Fremdwährungspositionen investiert hat; die Institute tragen hierbei bei der Berechnung ihrer Eigenmittelanforderung für Fremdwährungsrisiken im Hinblick auf ihre Handelsbuchpositionen dem maximalen indirekten Risiko Rechnung, das sie erreichen könnten, wenn sie mittels des OGa Fremdkapitalpositionen aufnehmen würden. Dies erfolgt, indem die Position im OGa proportional bis zum Höchstrisiko angehoben wird, das in Bezug auf die zugrunde liegenden Positionen eingegangen werden kann, die sich aus dem Anlagemandat ergeben. Die angenommene Position des OGa in Fremdwährungen wird wie eine gesonderte Währung behandelt, d. h. wie Anlagen in Gold, wobei allerdings die Gesamtkaufposition zur offenen Gesamtfremdwährungskaufposition und die Gesamtverkaufsposition zur offenen Gesamtfremdwährungsverkaufsposition hinzuaddiert werden kann, sofern die Ausrichtung der Anlagen des OGa bekannt ist. Eine Aufrechnung derartiger Positionen vor der Berechnung ist nicht zulässig.
Artikel 354 Eng verbundene Währungen
(1) Die Institute dürfen für Positionen in relevanten eng verbundenen Währungen niedrigere Eigenmittelanforderungen erfüllen. Eine enge Verbindung zwischen zwei Währungen darf nur unterstellt werden, wenn bei Zugrundelegung der täglichen Wechselkurse für die vorangegangenen drei Jahre eine Wahrscheinlichkeit von mindestens 99 % - und für die vorangegangenen fünf Jahre eine solche von 95 % - besteht, dass aus gleich hohen und entgegengesetzten Positionen in diesen Währungen über die folgenden zehn Arbeitstage ein Verlust entsteht, der höchstens 4 % des Werts der betreffenden ausgeglichenen Position (in der Währung der Rechnungslegung) beträgt. Für die ausgeglichene Position in zwei eng verbundenen Währungen beträgt die Eigenmittelanforderung 4 % des Werts der ausgeglichenen Position.
(2) Bei der Berechnung der Anforderungen gemäß diesem Kapitel dürfen Institute Positionen in Währungen vernachlässigen, für die eine rechtlich bindende zwischenstaatliche Vereinbarung besteht, die deren Schwankung gegenüber anderen in dieser Vereinbarung erfassten Währungen begrenzt. Die Institute haben ihre ausgeglichenen Positionen in diesen Währungen zu berechnen und dafür eine Eigenmittelanforderung zu erfüllen, die mindestens der Hälfte der in der zwischenstaatlichen Vereinbarung für die betreffenden Währungen festgelegten höchstzulässigen Schwankung entspricht.
(3) Die EBa arbeitet Entwürfe technischer Durchführungsstandards mit einem Verzeichnis der Währungen aus, für die denen nach Absatz 1 verfahren werden darf.
Die EBa legt der Kommission diese Entwürfe technischer Durchführungsstandards bis 1. Januar 2014 vor.
Der Kommission wird die Befugnis übertragen, die technischen Durchführungsstandards nach Unterabsatz 1 gemäß Artikel 15 der Verordnung (EU) Nr. 1093/2010 zu erlassen.
(4) Die Eigenmittelanforderung für die ausgeglichenen Positionen in Währungen der Mitgliedstaaten, die an der zweiten Stufe der Wirtschafts- und Währungsunion teilnehmen, darf als 1,6 % des Werts dieser ausgeglichenen Positionen berechnet werden.
(5) Nur die nicht ausgeglichenen Positionen in Währungen gemäß diesem Artikel werden in den Nettobetrag der offenen Position nach Artikel 352 Absatz 4 einbezogen.
(6) Geht aus den täglichen Wechselkursen der vorangegangenen drei oder fünf Jahre bei gleich hohen und entgegengesetzten Positionen in zwei Währungen über die jeweils folgenden zehn Arbeitstage hervor, dass die beiden Währungen perfekt positiv korrelieren und das Institut jederzeit eine Geld-Brief-Spanne von Null für die jeweiligen Abschlüsse erwarten kann, darf es mit ausdrücklicher Genehmigung seiner zuständigen Behörde bis Ende 2017 eine Eigenmittelanforderung von 0 % ansetzen.
Kapitel 4
Eigenmittelanforderungen für das Warenpositionsrisiko
Artikel 355 Wahl der Methode für das Warenpositionsrisiko
Vorbehaltlich der Artikel 356 bis 358 berechnen die Institute die Eigenmittelanforderung für das Warenpositionsrisiko anhand einer der in den Artikeln 359, 360 oder 361 festgelegten Methoden.
Artikel 356 Ergänzende Warengeschäfte
(1) Institute, die ergänzende Geschäfte mit Agrarerzeugnissen betreiben, dürfen zum Jahresende die Eigenmittelanforderungen für ihren physischen Warenbestand für das Folgejahr bestimmen, sofern sämtliche der folgenden Voraussetzungen erfüllt sind:
(2) Institute teilen den zuständigen Behörden mit, inwieweit sie von der Möglichkeit nach Absatz 1 Gebrauch machen.
Artikel 357 Positionen in Waren
(1) Jede Position in Waren oder warenunterlegten Derivaten wird in Standardmaßeinheiten ausgedrückt. Der Kassakurs der einzelnen Waren wird in der Währung der Rechnungslegung angegeben.
(2) Positionen in Gold oder goldunterlegten Derivaten gelten als dem Fremdwährungsrisiko unterliegend und werden für die Zwecke der Berechnung des Warenpositionsrisikos gegebenenfalls gemäß Kapitel 3 oder 5 behandelt.
(3) Der Überschuss der Kauf-(Verkaufs-) positionen eines Instituts über seine Verkaufs- (Kauf-) positionen in derselben Ware und in identischen Warenterminkontrakten, Optionen und Optionsscheinen ist seine Nettoposition für die Zwecke des Artikels 360 Absatz 1 in Bezug auf diese Ware. Positionen in Derivaten werden - wie in Artikel 358 erläutert - als Positionen in der zugrunde liegenden Ware behandelt.
(4) Für die Zwecke der Berechnung einer Position in Waren werden folgende Positionen als Positionen in derselben Ware behandelt:
Artikel 358 Spezifische Instrumente
(1) Warenterminkontrakte und Terminpositionen bezüglich des Kaufs oder Verkaufs bestimmter Waren sind als fiktive, in einer Standardmaßeinheit ausgedrückte Nominalbeträge in das Risikomesssystem aufzunehmen und gemäß ihrem Fälligkeitstermin in das entsprechende Laufzeitband einzustellen.
(2) Warenswaps, bei denen eine Seite der Transaktion ein fester Preis und die andere der jeweilige Marktpreis ist, sind als eine Reihe von dem Nominalwert des Geschäfts entsprechenden Positionen zu behandeln, wobei gegebenenfalls eine Position jeweils einer Zahlung aus dem Swap entspricht und in das entsprechende Laufzeitband nach Artikel 359 Absatz 1 eingestellt wird. Dabei handelt es sich um Kaufpositionen, wenn das Institut einen festen Preis zahlt und einen variablen Preis erhält, und um Verkaufspositionen, wenn das Institut einen festen Preis erhält und einen variablen Preis zahlt. Warenswaps, bei denen die beiden Seiten der Transaktion verschiedene Waren betreffen, sind beim Laufzeitbandverfahren für beide Waren getrennt in den jeweiligen Laufzeitbandfächer einzustellen.
(3) Optionen und Optionsscheine auf Waren oder auf warenunterlegte Derivate sind für die Zwecke dieses Kapitels wie Positionen zu behandeln, deren Wert dem mit dem Delta-Faktor multiplizierten Basiswert entspricht. Die letztgenannten Positionen können gegen entgegengesetzte Positionen in identischen zugrunde liegenden Waren oder warenunterlegten Derivaten aufgerechnet werden. Als Delta-Faktor ist derjenige der betreffenden Börse zu verwenden. Bei nicht börsengehandelten Optionen oder wenn der Delta-Faktor von der betreffenden Börse nicht erhältlich ist, darf das Institut den Delta-Faktor vorbehaltlich der Genehmigung durch die zuständigen Behörden unter Verwendung eines geeigneten Modells selbst berechnen. Die Genehmigung wird erteilt, sofern mit dem Modell eine angemessene Schätzung der Änderungsrate für den Wert der Option oder des Optionsscheins bei geringfügigen Änderungen des Marktpreises des Basiswerts vorgenommen wurde.
Die Institute spiegeln andere Risiken, die mit Optionen verbunden sind - abgesehen vom Delta-Faktor-Risiko - in den Eigenmittelanforderungen adäquat wider.
(4) Die EBa arbeitet Entwürfe technischer Regulierungsstandards aus, in denen verschiedene Methoden festgelegt werden, um andere Risiken - abgesehen vom Delta-Faktor-Risiko - in den Eigenmittelanforderungen in einer dem Umfang und der Komplexität der Tätigkeiten der Institute im Bereich Optionen angemessenen Weise zu berücksichtigen.
Die EBa legt der Kommission diese Entwürfe technischer Regulierungsstandards bis zum 31. Dezember 2013 vor.
Der Kommission wird die Befugnis übertragen, die technischen Regulierungsstandards nach Unterabsatz 1 gemäß den Artikeln 10 bis 14 der Verordnung (EU) Nr. 1093/2010 zu erlassen.
Vor dem Inkrafttreten der technischen Standards nach Unterabsatz 1 dürfen die zuständigen Behörden weiterhin bestehende nationale Behandlungen anwenden, wenn sie diese vor dem 31. Dezember 2013 angewandt haben.
(5) Das Institut bezieht die betreffenden Warenpositionen in die Berechnung seiner Eigenmittelanforderungen für Warenpositionsrisiken ein, wenn es sich bei dem Institut um Folgendes handelt:
Artikel 359 Laufzeitbandverfahren
(1) Das Institut legt für jede Ware einen gesonderten Laufzeitbandfächer entsprechend der Tabelle 1 zugrunde. Alle Positionen in der betreffenden Ware werden in die entsprechenden Laufzeitbänder eingestellt. Warenbestände sind in das erste Laufzeitband zwischen 0 bis zu einschließlich einem Monat einzuordnen.
| Laufzeitband (1) |
Spread-Satz (in %) (2) |
| 0< 1 Monat | 1,50 |
| > 1< 3 Monate | 1,50 |
| > 3< 6 Monate | 1,50 |
| > 6< 12 Monate | 1,50 |
| 1< 2 Jahre | 1,50 |
| 2< 3 Jahre | 1,50 |
| > 3 Jahre | 1,50 |
(2) Positionen in derselben Ware dürfen gegeneinander aufgerechnet und als Nettoposition in das entsprechende Laufzeitband eingestellt werden, wenn
(3) Anschließend errechnet das Institut für jedes Laufzeitband die Summe der Kaufpositionen sowie die Summe der Verkaufspositionen. Der Betrag der ersteren Summe, der innerhalb eines gegebenen Laufzeitbands durch den der letzteren Summe ausgeglichen wird, ist in jenem Band die ausgeglichene Position, während die verbleibende Kauf- oder Verkaufsposition die nicht ausgeglichene Position für dasselbe Laufzeitband darstellt.
(4) Der Teil der nicht ausgeglichenen Kauf-(Verkaufs-)position für ein gegebenes Laufzeitband, der durch die nicht ausgeglichene Verkaufs-(Kauf-)position für ein Laufzeitband mit längerer Fristigkeit ausgeglichen wird, stellt die ausgeglichene Position zwischen zwei Laufzeitbändern dar. Der Teil der nicht ausgeglichenen Kaufposition oder der nicht ausgeglichenen Verkaufsposition, der nicht auf diese Weise ausgeglichen werden kann, stellt die nicht ausgeglichene Position dar.
(5) Die Eigenmittelanforderung eines Instituts für jede Ware errechnet sich auf der Grundlage des entsprechenden Laufzeitbandfächers als die Summe aus
(6) Die Gesamteigenmittelanforderung eines Instituts zur Unterlegung des Warenpositionsrisikos errechnet sich als die Summe der gemäß Absatz 5 berechneten Eigenmittelanforderungen für jede Ware.
Artikel 360 Vereinfachtes Verfahren
(1) Die Eigenmittelanforderung des Instituts für jede Ware errechnet sich hier als die Summe aus
(2) Die Gesamteigenmittelanforderung eines Instituts zur Unterlegung des Warenpositionsrisikos errechnet sich als die Summe der gemäß Absatz 1 berechneten Eigenmittelanforderungen für jede Ware.
Artikel 361 Erweitertes Laufzeitbandverfahren
Institute dürfen anstelle der in Artikel 359 genannten Sätze die Mindestsätze für den Spread-, den Vortrags- und den einfachen Koeffizienten der nachstehenden Tabelle 2 verwenden, sofern sie
| Edelmetalle (ausgenommen Gold) | Andere Metalle | Agrarerzeugnisse | Sonstige Erzeugnisse, einschließlich Energieprodukte | |
| "Spread"-Satz (in %) | 1,0 | 1,2 | 1,5 | 1,5 |
| Gewichtungssatz für vorgetragene Positionen(in %) | 0,3 | 0,5 | 0,6 | 0,6 |
| einfacher Gewichtungssatz (in %) | 8 | 10 | 12 | 15 |
Die Institute zeigen den zuständigen Behörden an, inwieweit sie von dem Verfahren nach diesem Artikel Gebrauch machen und legen dabei Nachweise für ihre Bemühungen vor, ein internes Modell für die Berechnung der Eigenmittelanforderung für das Warenpositionsrisiko einzuführen.
Kapitel 5
Verwendung interner Modelle zur Berechnung der Eigenmittelanforderungen
Abschnitt 1
Erlaubnis und Eigenmittelanforderungen
Artikel 362 Spezifische und allgemeine Risiken
Das Positionsrisiko börsengehandelter Schuldtitel oder Eigenkapitalinstrumente oder davon abgeleiteter Derivate darf für die Zwecke dieses Kapitels in zwei Komponenten aufgeteilt werden. Die erste Komponente ist die spezifische Risikokomponente, sie erfasst das Risiko einer Preisänderung bei dem betreffenden Instrument aufgrund von Faktoren, die auf seinen Emittenten oder im Fall eines Derivats auf den Emittenten des zugrunde liegenden Instruments zurückzuführen sind. Die zweite Komponente betrifft das allgemeine Risiko und erfasst das Risiko einer Preisänderung bei dem betreffenden Wertpapier, die im Fall börsengehandelter Schuldtitel oder davon abgeleiteter Instrumente einer Änderung des Zinsniveaus oder im Fall von Aktien oder davon abgeleiteter Instrumente einer allgemeinen Bewegung am Aktienmarkt zuzuschreiben ist, die in keinem Zusammenhang mit den spezifischen Merkmalen einzelner Wertpapiere steht.
Artikel 363 Erlaubnis zur Verwendung interner Modelle
(1) Nachdem sie überprüft haben, dass ein Institut die einschlägigen Anforderungen der Abschnitte 2, 3 und 4 erfüllt, geben die zuständigen Behörden dem Institut die Erlaubnis, die Eigenmittelanforderungen für eine oder mehrere der folgenden Risikokategorien mit Hilfe seines internen Modells anstelle oder in Verbindung mit den Verfahren nach den Kapiteln 2 bis 4 zu berechnen:
(2) Für Risikokategorien, für die dem Institut keine Erlaubnis nach Absatz 1 zur Verwendung interner Modelle erteilt wurde, berechnet das Institut die Eigenmittelanforderungen weiterhin erforderlichenfalls gemäß den Kapiteln 2, 3 und 4. Für die Verwendung interner Modelle ist für jede Risikokategorie eine Erlaubnis der zuständigen Behörden erforderlich, die nur gegeben wird, wenn das interne Modell einen signifikanten Anteil der Positionen einer bestimmten Risikokategorie erfasst.
(3) Wesentliche Änderungen in der Verwendung der internen Modelle, deren Verwendung dem Institut gestattet wurde, und die Ausdehnung der Verwendung dieser statteten Modelle, insbesondere auf zusätzliche Risikokategorien, sowie die erste Berechnung des Risikopotenzials unter Stressbedingungen ("Stressed Valueat-Risk") nach Artikel 365 Absatz 2 erfordern eine gesonderte Erlaubnis der zuständigen Behörden.
Institute zeigen den zuständigen Behörden alle sonstigen Ausweitungen und Änderungen der Verwendung der internen Modelle, deren Verwendung ihnen gestattet wurde, an.
(4) Die EBa arbeitet Entwürfe technischer Regulierungsstandards aus, in denen Folgendes präzisiert wird:
Die EBa legt der Kommission diese Entwürfe technischer Regulierungsstandards bis zum 31. Dezember 2014 vor.
Der Kommission wird die Befugnis übertragen, die technischen Regulierungsstandards nach Unterabsatz 1 gemäß den Artikeln 10 bis 14 der Verordnung (EU) Nr. 1093/2010 zu erlassen.
Artikel 364 Eigenmittelanforderungen bei der Verwendung interner Modelle
(1) Jedes Institut, das ein internes Modell verwendet, erfüllt für Risikokategorien, für die die zuständigen Behörden keine Erlaubnis zur Verwendung eines internen Modells gegeben haben, zusätzlich zu den nach den Kapiteln 2, 3 und 4 berechneten Eigenmittelanforderungen eine Eigenmittelanforderung, die der Summe der Werte nach den Buchstaben a und b entspricht:
(2) Institute, die zur Berechnung ihrer Eigenmittelanforderung für das spezifische Risiko von Schuldtiteln interne Modelle verwenden, erfüllen eine zusätzliche Eigenmittelanforderung, die der Summe der Werte nach den Buchstaben a und b entspricht:
(3) Institute, die ein den Anforderungen des Artikels 338 Absätze 1 bis 3 entsprechendes Korrelationshandelsportfolio besitzen, dürfen eine auf Artikel 377 anstatt Artikel 338 Absatz 4 gestützte Eigenmittelanforderung erfüllen, die dem höheren der nachstehenden Werte entspricht:
Abschnitt 2
Allgemeine Anforderungen
Artikel 365 Berechnung des Risikopotenzials und des Risikopotenzials unter Stressbedingungen
(1) Für die Berechnung der Maßzahl des Risikopotenzials im Sinne des Artikels 364 gelten folgende Anforderungen:
Das Institut darf Risikopotenzial-Maßzahlen verwenden, die ausgehend von einer Haltedauer von weniger als zehn Tagen errechnet und auf zehn Tage hochgerechnet werden, sofern dazu eine angemessene und regelmäßig überprüfte Methode verwendet wird.
(2) Zusätzlich berechnet das Institut im Einklang mit den in Absatz 1 aufgeführten Anforderungen mindestens wöchentlich das Risikopotenzial unter Stressbedingungen des aktuellen Portfolios, wobei die Modellparameter für das Risikopotenzial unter Stressbedingungen aus historischen Daten eines ununterbrochenen Zwölfmonatszeitraums mit signifikantem und für das Portfolio des Instituts maßgeblichem Finanzstress ermittelt werden. Die Auswahl dieser historischen Daten unterliegt der mindestens jährlichen Überprüfung durch das Institut, das den zuständigen Behörden das Ergebnis mitteilt. Die EBa überwacht die Bandbreite der Praxis für die Berechnung des Risikopotenzials unter Stressbedingungen und gibt im Einklang mit Artikel 16 der Verordnung (EU) Nr. 1093/2010 Leitlinien dazu heraus.
Artikel 366 Aufsichtliche Rückvergleiche und Multiplikationsfaktoren
(1) Die Ergebnisse der Berechnungen nach Artikel 365 werden durch die Multiplikationsfaktoren (mc) und (ms) heraufskaliert.
(2) Jeder der Multiplikationsfaktoren (mc) und (ms) entspricht der Summe aus mindestens 3 und einem Zuschlagsfaktor zwischen 0 und 1 gemäß Tabelle 1. Dieser Zuschlagsfaktor richtet sich nach der Zahl der Überschreitungen, die sich bei den Rückvergleichen der gemäß Artikel 365 Absatz 1 berechneten Maßzahl des Risikopotenzials des Instituts während der unmittelbar vorausgegangenen 250 Geschäftstage ergeben haben.
| Anzahl der Überschreitungen | Zuschlagsfaktor |
| Weniger als 5 | 0,00 |
| 5 | 0,40 |
| 6 | 0,50 |
| 7 | 0,65 |
| 8 | 0,75 |
| 9 | 0,85 |
| 10 oder mehr | 1,00 |
(3) Die Institute zählen die Überschreitungen bei täglichen Rückvergleichen der hypothetischen und tatsächlichen Änderungen des Portfoliowerts. Eine Überschreitung liegt vor, wenn eine Eintagesänderung des Portfoliowerts die mit Hilfe des internen Modells des Instituts errechnete Maßzahl des Risikopotenzials für denselben Eintageszeitraum überschreitet. Zur Ermittlung des Zuschlagsfaktors wird die Zahl der Überschreitungen zumindest einmal pro Quartal berechnet und entspricht der Höchstzahl der Überschreitungen bei den hypothetischen und den tatsächlichen Änderungen des Portfoliowerts.
Ein Rückvergleich der hypothetischen Änderungen des Portfoliowerts beruht auf dem Vergleich zwischen dem Tagesendwert des Portfolios und seinem Wert am Ende des darauf folgenden Tages unter der Annahme unveränderter Tagesendpositionen.
Ein Rückvergleich der tatsächlichen Änderungen des Portfoliowerts beruht auf dem Vergleich zwischen dem Tagesendwert des Portfolios und seinem tatsächlichen Wert am Ende des darauf folgenden Tages, ohne Gebühren, Provisionen und Nettozinserträge.
(4) Die zuständigen Behörden können in Einzelfällen den Zuschlagsfaktor auf einen Wert beschränken, der sich aus den Überschreitungen bei hypothetischen Änderungen ergibt, sofern die Anzahl der Überschreitungen bei den tatsächlichen Änderungen nicht auf Schwächen des internen Modells zurückzuführen ist.
(5) Damit die zuständigen Behörden die Angemessenheit der Multiplikationsfaktoren laufend überwachen können, melden die Institute unverzüglich und in jedem Fall binnen fünf Arbeitstagen, wenn aufgrund ihrer Rückvergleiche Überschreitungen ausgewiesen werden.
Artikel 367 Anforderungen an die Risikomessung
(1) Jedes interne Modell zur Berechnung der Eigenmittelanforderung für das Positionsrisiko, das Fremdwährungsrisiko oder das Warenpositionsrisiko und jedes interne Modell für Korrelationshandelsaktivitäten erfüllt sämtliche der folgenden Bedingungen:
(2) Jedes interne Modell zur Berechnung der Eigenmittelkapitalanforderung für das Positionsrisiko, das Fremdwährungsrisiko oder das Warenpositionsrisiko erfüllt sämtliche der folgenden Bedingungen:
(3) Die Institute dürfen in jedem für die Zwecke dieses Kapitels verwendeten internen Modell empirische Korrelationen innerhalb und zwischen den einzelnen Risikokategorien nur dann anwenden, wenn der Ansatz des Instituts für die Korrelationsmessung solide ist und richtig und vollständig angewandt wird.
Artikel 368 Qualitative Anforderungen
(1) Jedes für die Zwecke dieses Kapitels verwendete interne Modell beruht auf einem soliden Konzept und wird nach Treu und Glauben umgesetzt; insbesondere werden sämtliche der folgenden qualitativen Anforderungen erfüllt:
(2) In die unter Absatz 1 Buchstabe h genannte Prüfung sind sowohl die Tätigkeiten der Handelsabteilungen als auch die der unabhängigen Abteilung zur Risikosteuerung und -überwachung einzubeziehen. Das Institut prüft mindestens einmal im Jahr sein gesamtes Risikomanagementsystem. In diese Prüfung ist Folgendes einzubeziehen:
(3) Sollten neue Techniken und vorbildliche Verfahren entwickelt werden, so wenden die Institute diese neuen Techniken und Verfahren auf jedes für die Zwecke dieses Kapitels verwendete Modell an.
Artikel 369 Interne Validierung
(1) Institute verfügen über Verfahren, die gewährleisten, dass alle ihre für die Zwecke dieses Kapitels verwendeten internen Modelle angemessen von entsprechend qualifizierten Dritten, die von der Entwicklung unabhängig sind, validiert wurden, damit sichergestellt ist, dass sie konzeptionell solide sind und alle wesentlichen Risiken erfassen. Die Validierung erfolgt sowohl bei der Einführung als auch bei jeder wesentlichen Änderung des internen Modells. Darüber hinaus werden von Zeit zu Zeit Validierungen durchgeführt, insbesondere jedoch nach jedem wesentlichen Strukturwandel auf dem Markt oder jeder Änderung der Portfoliozusammensetzung, wenn die Gefahr besteht, dass das interne Modell diesen nicht länger gerecht wird. Sollten neue Techniken und vorbildliche Praktiken für die interne Validierung entwickelt werden, so wenden die Institute diese an. Die Modellvalidierung ist nicht auf Rückvergleiche beschränkt, umfasst zumindest aber Folgendes:
(2) Das Institut führt sowohl für tatsächliche als auch für hypothetische Änderungen des Portfoliowerts Rückvergleiche durch.
Abschnitt 3
Besondere Anforderungen an die Entwicklung von Modellen für spezifische Risiken
Artikel 370 Anforderungen an die Entwicklung von Modellen für spezifische Risiken
Interne Modelle zur Berechnung der Eigenmittelanforderungen für das spezifische Risiko und interne Modelle für Korrelationshandelsaktivitäten müssen folgenden zusätzlichen Anforderungen genügen:
Artikel 371 Ausschlüsse aus Modellen für das spezifische Risiko
(1) Ein Institut darf sich dafür entscheiden, bei der Berechnung der Eigenmittelanforderung für das spezifische Risiko anhand eines internen Modells die Positionen auszuschließen, für die es die Eigenmittelanforderung für das spezifische Risiko nach Artikel 332 Absatz 1 Buchstabe e oder Artikel 337, mit Ausnahme der Positionen, für die der Ansatz gemäß Artikel 377 gilt, erfüllt,
(2) Ein Institut darf sich dafür entscheiden, keine Ausfall- und Migrationsrisiken für börsengehandelte Schuldtitel in seinem internen Modell zu erfassen, wenn es diese Risiken durch die Anforderungen gemäß Abschnitt 4 erfasst.
Abschnitt 4
Internes Modell für das zusätzliche Ausfall- und Migrationsrisiko
Artikel 372 Pflicht zur Bereitstellung eines internen Modells für das zusätzliche Ausfall- und Migrationsrisiko (IRC-Modell)
Ein Institut, das zur Berechnung der Eigenmittelanforderungen für das spezifische Risiko börsengehandelter Schuldtitel ein
internes Modell verwendet, verfügt auch über ein internes Modell für das zusätzliche Ausfall- und Migrationsrisiko (IRC), um die Ausfall- und Migrationsrisiken seiner Handelsbuchpositionen zu erfassen, die über die Risiken hinausgehen, die im Wert des Risikopotenzials gemäß Artikel 365 Absatz 1 enthalten sind. Das Institut muss nachweisen, dass sein internes Modell - unter der Annahme eines unveränderten Risikoniveaus - die folgenden Standards erfüllt und erforderlichenfalls angepasst wurde, um den Auswirkungen der Liquidität, sowie von Konzentrationen, Absicherungsgeschäften und Optionalität Rechnung zu tragen:
Die EBa gibt Leitlinien zu den Anforderungen der Artikel 373, 374, 375 und 376 heraus.
Artikel 373 Anwendungsbereich des internen IRC-Modells
Das interne IRC-Modell erfasst alle Positionen, die einer Eigenmittelanforderung für das spezielle Zinsänderungsrisiko unterliegen, einschließlich der Positionen, die gemäß Artikel 336 einer Eigenmittelanforderung für das spezifische Risiko von 0 % unterliegen, darf aber keine Verbriefungspositionen und n-ter-Ausfall-Kreditderivate erfassen.
Das Institut darf sich vorbehaltlich der Genehmigung der zuständigen Behörden dafür entscheiden, sämtliche Positionen in börsennotierten Aktien und sämtliche auf börsennotierten Aktien basierenden Derivatepositionen konsequent in den Anwendungsbereich einzubeziehen. Eine Genehmigung wird erteilt, sofern eine solche Einbeziehung im Einklang mit der institutsinternen Risikomessung und dem institutsinternen Risikomanagement steht.
Artikel 374 Parameter des internen IRC-Modells
(1) Institute verwenden ein internes Modell zur Berechnung einer Zahl, die die Verluste aufgrund von Ausfällen und der Migration interner oder externer Bonitätsbeurteilungen mit einem Konfidenzniveau von 99,9 % über einen Zeithorizont von einem Jahr misst. Die Institute berechnen diese Zahl mindestens wöchentlich.
(2) Die Korrelationsannahmen werden durch die Analyse objektiver Daten in einem konzeptionell soliden Rahmen gestützt. Das interne Modell spiegelt Emittentenkonzentrationen angemessen wider. Dabei werden auch Konzentrationen abgebildet, die innerhalb von Produktklassen und über Produktklassen hinweg unter Stressbedingungen entstehen können.
(3) Das interne IRC-Modell muss die Auswirkung von Korrelationen zwischen Ausfall- und Migrationsereignissen darstellen. Die Auswirkung einer Diversifizierung zwischen Ausfall- und Migrationsereignissen einerseits und anderen Risikofaktoren andererseits wird nicht berücksichtigt.
(4) Das interne Modell basiert auf der Annahme, dass das Risiko über den einjährigen Zeithorizont hinweg konstant bleibt, d. h. dass Einzelpositionen oder Positionsgruppen im Handelsbuch, bei denen über den Liquiditätshorizont Ausfälle oder Migration aufgetreten sind, am Ende ihres Liquiditätshorizonts wieder ausgeglichen werden, sodass das Risiko wieder sein ursprüngliches Niveau erreicht. Alternativ dazu können die Institute auch durchgängig über ein Jahr hinweg konstante Positionen annehmen.
(5) Die Liquiditätshorizonte werden danach festgelegt, wie viel Zeit erforderlich ist, um die Position unter Stressbedingungen am Markt zu verkaufen oder alle damit verbundenen wesentlichen Preisrisiken abzusichern, wobei insbesondere die Höhe der Position zu berücksichtigen ist. Die Liquiditätshorizonte spiegeln die tatsächliche Praxis und die während Phasen mit systematischem und spezifischem Stress gesammelten Erfahrungen wider. Der Liquiditätshorizont wird unter konservativen Annahmen bestimmt und ist so lang, dass der Akt des Verkaufs oder der Absicherung selbst den Preis, zu dem der Verkauf oder die Absicherung erfolgen würde, nicht wesentlich beeinflussen würde.
(6) Bei der Bestimmung des angemessenen Liquiditätshorizonts für eine Position oder eine Positionsgruppe gilt eine Untergrenze von drei Monaten.
(7) Bei der Bestimmung des angemessenen Liquiditätshorizonts für eine Position oder eine Positionsgruppe werden die internen Vorschriften des Instituts für Bewertungsanpassungen und das Management von Altbeständen berücksichtigt. Bestimmt ein Institut die Liquiditätshorizonte nicht für Einzelpositionen, sondern für Positionsgruppen, so werden die Kriterien für die Definition von Positionsgruppen so festgelegt, dass sie Liquiditätsunterschiede realistisch widerspiegeln. Die Liquiditätshorizonte für konzentrierte Positionen sind länger, da zur Auflösung solcher Positionen ein längerer Zeitraum erforderlich ist. Bei der Zwischenfinanzierung des Ankaufs von Forderungen im Hinblick auf ihre Verbriefung (Warehousing) spiegelt der Liquiditätshorizont den Zeitraum wider, der benötigt wird, um die Vermögenswerte aufzubauen, zu verkaufen und zu verbriefen oder die damit verbundenen wesentlichen Risikofaktoren unter Stressbedingungen am Markt abzusichern.
Artikel 375 Anerkennung von Absicherungen im internen IRC-Modell
(1) Absicherungsgeschäfte dürfen in das interne Modell eines Instituts zur Erfassung der zusätzlichen Ausfall- und Migrationsrisiken einbezogen werden. Kauf- und Verkaufspositionen in Bezug auf dasselbe Finanzinstrument dürfen gegeneinander aufgerechnet werden. Absicherungs- oder Diversifizierungseffekte bei Kauf- und Verkaufspositionen in Bezug auf verschiedene Instrumente oder verschiedene Wertpapiere desselben Schuldners sowie Kauf- und Verkaufspositionen gegenüber verschiedenen Emittenten dürfen nur berücksichtigt werden, indem die Bruttokauf- und -verkaufspositionen über die verschiedenen Instrumente explizit modelliert werden. Institute bilden die Auswirkungen wesentlicher Risiken, die im Zeitraum zwischen dem Ablauf des Absicherungsgeschäfts und dem Liquiditätshorizont eintreten könnten, sowie das Potenzial für signifikante Basisrisiken in den Absicherungsstrategien aufgrund von Unterschieden zwischen den Instrumenten hinsichtlich unter anderem Produkt, Rang in der Kapitalstruktur, interner oder externer Bonitätsbeurteilung, Laufzeit, Jahrgang der originären Kreditgewährung (Vintage) ab. Ein Institut bildet ein Absicherungsgeschäft nur ab, soweit es auch dann haltbar ist, wenn sich der Schuldner einem Kredit- oder sonstigen Ereignis nähert.
(2) Bei Positionen, die über dynamische Absicherungsstrategien abgesichert werden, kann eine Anpassung des Absicherungsgeschäfts innerhalb des Liquiditätshorizonts der abgesicherten Position berücksichtigt werden, wenn das Institut
Artikel 376 Besondere Anforderungen an das interne IRC-Modell
(1) Das interne Modell zur Erfassung der zusätzlichen Ausfall- und Migrationsrisiken muss den nichtlinearen Auswirkungen von Optionen, strukturierten Kreditderivaten und anderen Positionen mit wesentlichem nichtlinearem Verhalten in Bezug auf Preisveränderungen Rechnung tragen. Das inhärente Modellierungsrisiko der Bewertung und Schätzung der mit diesen Produkten verbundenen Preisrisiken wird von den Instituten ebenfalls gebührend berücksichtigt.
(2) Das interne Modell basiert auf objektiven und aktuellen Daten.
(3) Im Rahmen der unabhängigen Prüfung und der Validierung seiner internen Modelle, die für die Zwecke dieses Kapitels, einschließlich für die Zwecke des Risikomesssystems, verwendet werden, nimmt ein Institut insbesondere Folgendes vor:
(4) Das interne Modell muss mit den internen Risikomanagement-Methoden des Instituts für die Ermittlung, Messung und Steuerung von Handelsrisiken in Einklang stehen.
(5) Die Institute dokumentieren ihre internen Modelle, sodass die Korrelations- und anderen Modellannahmen für die zuständigen Behörden transparent sind.
(6) Bei dem internen Modell wird das aus weniger liquiden Positionen und Positionen mit begrenzter Preistransparenz erwachsende Risiko unter Zugrundelegung realistischer Marktszenarien konservativ bewertet. Darüber hinaus erfüllt das interne Modell die Mindestanforderungen an Daten. Näherungswerte werden mit der notwendigen Vorsicht bestimmt und dürfen nur verwendet werden, wenn die verfügbaren Daten nicht ausreichen oder die Volatilität einer Position oder eines Portfolios nicht realistisch widerspiegeln.
Abschnitt 5
Internes Modell für Korrelationshandelsaktivitäten
Artikel 377 Anforderungen an ein internes Modell für Korrelationshandelsaktivitäten
(1) Die zuständigen Behörden erteilen Instituten, die ein internes Modell für das spezifische Risiko von Schuldtiteln verwenden dürfen und die Anforderungen der Absätze 2 bis 6 dieses Artikels sowie der Artikel 367 Absätze 1 und 3, Artikel 368, 369 Absatz 1 und 370 Buchstaben a, b, c, e und f erfüllen, die Erlaubnis, anstelle der Eigenmittelanforderung gemäß Artikel 338 ein internes Modell für die Eigenmittelanforderung für das Korrelationshandelsportfolio zu verwenden.
(2) Die Institute verwenden dieses interne Modell zur Berechnung einer Zahl, die alle Preisrisiken mit einem Konfidenzniveau von 99,9 % über einen Zeithorizont von einem Jahr adäquat erfasst, wobei von einem unveränderten Risikoniveau ausgegangen und erforderlichenfalls eine Anpassung vorgenommen wird, um die Auswirkungen der Liquidität, sowie von Konzentrationen, Absicherungsgeschäften und Optionalität widerzuspiegeln. Die Institute berechnen diese Zahl mindestens wöchentlich.
(3) Das Modell gemäß Absatz 1 muss folgende Risiken angemessen erfassen:
(4) Das Institut muss im Rahmen des Modells gemäß Absatz 1 ausreichende Marktdaten verwenden, die gewährleisten, dass es die Hauptrisiken dieser Risikopositionen in seinem internen Ansatz gemäß den in diesem Artikel beschriebenen Anforderungen vollständig erfasst. Es muss gegenüber den zuständigen Behörden durch Rückvergleiche oder andere geeignete Methoden nachweisen, dass das Modell die historischen Preisschwankungen dieser Produkte in angemessener Weise erklären kann.
Das Institut verfügt über angemessene Vorschriften und Verfahren, um die Positionen, für die es die Erlaubnis zur Einbeziehung in die Eigenmittelanforderung gemäß diesem Artikel hat, von denen zu trennen, für die es keine solche Erlaubnis hat.
(5) Hinsichtlich des Portfolios aller in das Modell gemäß Absatz 1 einbezogenen Positionen wendet das Institut regelmäßig eine Reihe spezifischer, vorgegebener Stressszenarien an. Derartige Stressszenarien analysieren die Auswirkungen angespannter Situationen auf Ausfallquoten, Erlösquoten, Risikoprämien (Kreditspreads), Basisrisiken, Korrelationen und andere einschlägige Risikofaktoren auf das Korrelationshandelsportfolio. Das Institut wendet diese Stressszenarien mindestens einmal wöchentlich an und meldet den zuständigen Behörden mindestens einmal vierteljährlich die Ergebnisse, einschließlich Vergleichen mit der Eigenmittelanforderung des Instituts gemäß diesem Artikel. Jeder Fall, in dem die Stresstests eine wesentliche Unzulänglichkeit der Eigenmittelanforderung für das Korrelationshandelsportfolio anzeigen, muss den zuständigen Behörden zeitnah gemeldet werden. Die EBa gibt Leitlinien zur Anwendung von Stressszenarien für das Korrelationshandelsportfolio heraus.
(6) Bei dem internen Modell wird das aus weniger liquiden Positionen und Positionen mit begrenzter Preistransparenz erwachsende Risiko unter Zugrundelegung realistischer Marktszenarien konservativ bewertet. Darüber hinaus erfüllt das interne Modell die Mindestanforderungen an Daten. Näherungswerte werden mit der notwendigen Vorsicht bestimmt und dürfen nur verwendet werden, wenn die verfügbaren Daten nicht ausreichen oder die Volatilität einer Position oder eines Portfolios nicht realistisch widerspiegeln.
Titel V
Eigenmittelanforderungen für das Abwicklungsrisiko
Artikel 378 Abwicklungs-/Lieferrisiko
Im Fall von Geschäften, bei denen Schuldtitel, Eigenkapitalinstrumente, Fremdwährungen und Waren, mit Ausnahme von Pensionsgeschäften und Wertpapier- oder Warenverleih- und Wertpapier- oder Warenleihgeschäften, nach dem festgesetzten Liefertag noch nicht abgewickelt wurden, muss das Institut die Preisdifferenz berechnen, die sich daraus ergibt.
Die Preisdifferenz wird berechnet als die Differenz zwischen dem vereinbarten Abrechnungspreis für die betreffenden Schuldtitel, Eigenkapitalinstrumente, Fremdwährungen oder Waren und ihrem aktuellen Marktwert, wenn die Differenz mit einem Verlust für das Institut verbunden sein könnte.
Zur Berechnung seiner Eigenmittelanforderung für das Abwicklungsrisiko multipliziert das Institut diesen Differenzbetrag mit dem entsprechenden Faktor in der rechten Spalte der nachstehenden Tabelle 1.
| Anzahl der Arbeitstage nach dem festgesetzten Abwicklungstermin | (%) |
| 5 - 15 | 8 |
| 16 - 30 | 50 |
| 31 - 45 | 75 |
| 46 oder mehr | 100 |
Artikel 379 Vorleistungen
(1) Ein Institut muss über Eigenmittel nach Maßgabe von Tabelle 2 verfügen, falls Folgendes eintritt:
Tabelle 2 Eigenmittelunterlegung bei Vorleistungen
| Spalte 1 | Spalte 2 | Spalte 3 | Spalte 4 |
| Art des Geschäfts | Bis zur ersten vertraglich vereinbarten Zahlung oder zum ersten vertraglich vereinbarten Lieferabschnitt | Von der ersten vertraglich vereinbarten Zahlung/vom ersten vertraglich vereinbarten Lieferabschnitt bis zu vier Tagen nach der zweiten vertraglich vereinbarten Zahlung oder dem zweiten vertraglich vereinbarten Lieferabschnitt | Vom fünften Geschäftstag nach der zweiten vertraglich vereinbarten Zahlung oder dem zweiten vertraglich vereinbarten Lieferabschnitt bis zur Abwicklung des Geschäfts |
| Vorleistung | Keine Eigenmittelunterlegung | Behandlung als Risikoposition | Behandlung als Risikoposition mit einem Risikogewicht von 1.250 % |
(2) Institute, die den in Teil 3 Titel II Kapitel 3 beschriebenen IRB-Ansatz anwenden, dürfen bei der Ansetzung eines Risikogewichts für Positionen aus nicht abgewickelten Geschäften gemäß der dritten Spalte der Tabelle 2 bei Gegenparteien, gegenüber denen sie keine andere Risikoposition im Anlagebuch haben, die Zuordnung der PD anhand einer externen Bonitätsbeurteilung der Gegenpartei vornehmen. Institute, die eigene LGD-Schätzungen verwenden, dürfen die LGD nach Artikel 161 Absatz 1 für alle Risikopositionen aus nicht abgewickelten Geschäften, die nach Maßgabe der dritten Spalte der Tabelle 2 behandelt werden, anwenden, sofern sie die LGD auf alle derartigen Risikopositionen anwenden. Alternativ dazu dürfen Institute, die den IRB-Ansatz nach Teil 3 Titel II Kapitel 3 anwenden, das Risikogewicht gemäß dem Standardansatz nach Teil 3 Titel II Kapitel 2 ansetzen, sofern sie es auf alle derartigen Risikopositionen anwenden, oder ein Risikogewicht von 100 % auf alle derartigen Risikopositionen anwenden.
Resultiert aus nicht abgewickelten Geschäften kein nennenswerter positiver Risikopositionsbetrag, so dürfen die Institute für diese Risikopositionen ein Risikogewicht von 100 % ansetzen, sofern nicht gemäß der vierten Spalte von Tabelle 2 in Absatz 1 eine Risikogewichtung von 1.250 % erforderlich ist.
(3) Alternativ zu einer Risikogewichtung von 1.250 % von Positionen aus nicht abgewickelten Geschäften gemäß Absatz 1 Tabelle 2 Spalte 4 können die Institute den übertragenen Wert zuzüglich des aktuellen positiven Risikopositionsbetrags von Posten des harten Kernkapitals im Einklang mit Artikel 36 Absatz 1 Buchstabe k in Abzug bringen.
Artikel 380 Aussetzung der Eigenmittelanforderungen
Bei einem systemweiten Ausfall eines Abwicklungssystems, eines Clearingsystems oder einer zentralen Gegenpartei können die zuständigen Behörden die gemäß den Artikeln 378 und 379 berechneten Eigenmittelanforderungen bis zur Behebung des Schadens aussetzen. In diesem Falle wird das Versäumnis einer Gegenpartei, ein Geschäft abzuwickeln, nicht als kreditrisikorelevanter Ausfall angesehen.
Titel VI
Eigenmittelanforderungen für das Risiko einer Anpassung der Kreditbewertung (CVA-Risiko)
Artikel 381 Begriff der Anpassung der Kreditbewertung
Für die Zwecke dieses Titels und des Titels II Kapitel 6 ist die "Anpassung der Kreditbewertung" oder "CVA" die Anpassung der Bewertung eines Portfolios von Geschäften mit einer Gegenpartei an die Bewertung zum mittleren Marktwert. Diese Anpassung spiegelt den Marktwert des Kreditrisikos der Gegenpartei gegenüber dem Institut wider, jedoch nicht den Marktwert des Kreditrisikos des Instituts gegenüber der Gegenpartei.
Artikel 382 Anwendungsbereich
(1) Ein Institut berechnet in Bezug auf all seine Geschäftstätigkeiten für alle OTC-Derivate ausgenommen Kreditderivate, die anerkanntermaßen die risikogewichteten Positionsbeträge für das Kreditrisiko verringern, die Eigenmittelanforderungen für das CVA-Risiko gemäß diesem Titel.
(2) Ein Institut bezieht in die Berechnung der Eigenmittelanforderungen nach Absatz 1 Wertpapierfinanzierungsgeschäfte mit ein, sofern die zuständige Behörde feststellt, dass die aus diesen Geschäften erwachsenden CVA-Risikopositionen des Instituts wesentlich ist.
(3) Geschäfte mit einer qualifizierten zentralen Gegenpartei und Geschäfte eines Kunden mit einem Clearingmitglied, bei denen das Clearingmitglied als Vermittler zwischen dem Kunden und einer qualifizierten zentralen Gegenpartei auftritt und das Geschäft eine Handelsforderung des Clearingmitglieds gegenüber der qualifizierten zentralen Gegenpartei begründet, fließen nicht in die Eigenmittelanforderung für das CVA-Risiko ein.
(4) Die folgenden Geschäfte fließen nicht in die Eigenmittelanforderung für das CVA-Risiko ein:
Die Ausnahme von der Eigenmittelunterlegung des CVA-Risikos für diejenigen Geschäfte im Sinne des Buchstabens c, die während des Übergangszeitraums nach Artikel 89 Absatz 1 der Verordnung (EU) Nr. 648/2012 getätigt werden, gilt für die Vertragsdauer des betreffenden Geschäfts.
(5) Die EBa führt bis 1. Januar 2015 und danach alle zwei Jahre im Lichte der internationalen Entwicklungen bei der Beaufsichtigung eine Überprüfung durch, in die sie auch mögliche Techniken der Kalibrierung und Schwellenwerte für die Eigenmittelunterlegung des CVA-Risikos nichtfinanzieller Gegenparteien in Drittländern einbezieht.
Die EBa arbeitet in Zusammenarbeit mit der ESMa Entwürfe technischer Regulierungsstandards aus, in denen das Verfahren festgelegt wird, um Geschäfte mit nichtfinanziellen Gegenparteien in Drittländern von der Eigenmittelanforderung für das CVA-Risiko auszunehmen.
Die EBa legt der Kommission diese Entwürfe technischer Regulierungsstandards innerhalb von sechs Monaten nach dem Datum der Überprüfung nach Unterabsatz 1 vor.
Der Kommission wird die Befugnis übertragen, die technischen Regulierungsstandards nach Unterabsatz 2 gemäß dem den Artikeln 10 bis 14 der Verordnung (EU) Nr. 1093/2010 zu erlassen.
Artikel 383 Fortgeschrittene Methode
(1) Ein Institut, dem gestattet wurde, ein internes Modell für das spezifische Risiko von Schuldtiteln gemäß Artikel 363 Absatz 1 Buchstabe d zu verwenden, legt für sämtliche Geschäfte, für die es die IMM zur Bestimmung des Risikopositionswerts des Gegenparteiausfallrisikos gemäß Artikel 283 verwenden darf, die Eigenmittelanforderung für das CVA-Risiko fest, indem es die Auswirkungen von Veränderungen der Kreditspreads seiner Gegenparteien auf die CVA-Werte sämtlicher Gegenparteien dieser Geschäfte - unter Berücksichtigung der nach Maßgabe von Artikel 386 anerkannten CVA-Absicherungsgeschäfte - abbildet.
Ein Institut verwendet sein internes Modell zur Ermittlung der Eigenmittelanforderungen für das mit gehandelten Schuldinstrumenten verbundene spezifische Risiko und wendet ein 99 %iges Konfidenzniveau und eine zehn Tagen entsprechende Haltedauer an. Das interne Modell wird so verwendet, dass es Veränderungen der Kreditspreads von Gegenparteien simuliert, nicht jedoch die Sensitivität der CVa gegenüber Veränderungen anderer Marktfaktoren, einschließlich Änderungen des Werts von Referenzaktivum, -ware, -währung oder -zinssatz eines Derivats, abbildet.
Die Eigenmittelanforderung für das CVA-Risiko für jede Gegenpartei wird nach der nachstehenden Formel berechnet:
dabei entspricht
| ti | = der Zeit des iten Neubewertungszeitraums ab t0 =0; |
| tT | = der längsten vertraglichen Laufzeit bei allen Netting-Sätzen mit der Gegenpartei; |
| si | = dem zur Berechnung der CVa der Gegenpartei herangezogenen Kreditspread der Gegenpartei für die Laufzeit ti. Liegt der CDS-Spread der Gegenpartei vor, so verwendet das Institut diesen. Ist kein CDS-Spread der Gegenpartei verfügbar, so verwendet das Institut einen unter Berücksichtigung von Bonitätsbeurteilung, Branche und Region der Gegenpartei angemessenen Näherungswert; |
| LGDMKT | = der LGD der Gegenpartei, die auf der Risikoprämie (Spread) eines am Markt gehandelten Instruments der Gegenpartei basiert, falls eine solche verfügbar ist. Ist kein entsprechendes Instrument der Gegenpartei verfügbar, basiert der Wert auf einem unter Berücksichtigung von Bonitätsbeurteilung, Branche und Region der Gegenpartei angemessenen Näherungswert.
Der erste Faktor in der Summe ist ein Näherungswert für die vom Markt implizierte Grenzwahrscheinlichkeit für den Eintritt des Ausfalls zwischen den Zeitpunkten ti-1 und ti ; |
| EEi | = dem erwarteten Forderungsbetrag gegenüber der Gegenpartei zum Neubewertungszeitpunkt ti, bei dem die Forderungsbeträge der unterschiedlichen Netting-Sätze für die betreffende Gegenpartei addiert werden und die längste Fälligkeit jedes Netting-Satzes durch die längste darin enthaltene vertragliche Restlaufzeit definiert wird. Ein Institut wendet das Verfahren nach Absatz 3 auf Geschäfte mit Nachschussvereinbarung an, sofern es die EPE-Messgröße gemäß Artikel 285 Absatz 1 Buchstabe a oder b für nachschussunterlegte Geschäfte verwendet; |
| Di | = dem Diskontierungsfaktor für Ausfallrisikofreiheit zum Zeitpunkt ti, wobei D0 =1. |
(2) Bei der Berechnung der Eigenmittelanforderungen für das CVA-Risiko für eine Gegenpartei stützt sich ein Institut hinsichtlich sämtlicher Eingangsparameter für sein internes Modell für das spezifische Risiko von Schuldtiteln (je nach Fall) auf folgende Formeln:
Regulatory CS01i = 0.0001 · ti · exp [- (si · ti) / (LGDMKT)] · ((Eei-1 · Di-1- EEi+1· Di+1) / 2)
Für das letzte Laufzeitband i=T lautet die entsprechende Formel:
Regulatory CS01T = 0.0001 · tT · exp [- (sT · tT) / (LGDMKT)] · ((EET - 1 · DT -1· EET · DT) / 2)
![]()
(3) Ein Institut, das die EPE-Messgröße für besicherte OTC-Derivate gemäß Artikel 285 Absatz 1 Buchstabe a oder b verwendet, geht bei der Festlegung der Eigenmittelanforderungen für das CVA-Risiko im Einklang mit Absatz 1 wie folgt vor:
(4) Ein Institut, das mit Erlaubnis der zuständigen Behörden gemäß Artikel 283 die IMM zur Berechnung der Forderungswerte für den Großteil seiner Geschäfte verwenden darf, aber die in Titel II Kapitel 6 Abschnitt 3, 4 oder 5 genannten Methoden für kleinere Portfolios verwendet und die Erlaubnis hat, interne Modelle für den Marktrisiko für das spezifische Risiko von Schuldtiteln im Einklang mit Artikel 363 Absatz 1 zu verwenden, darf vorbehaltlich der Erlaubnis der zuständigen Behörden die Eigenmittelanforderung für das CVA-Risiko im Einklang mit Absatz 1 für die Nicht-IMM-Netting-Sätze berechnen. Die zuständigen Behörden geben diese Erlaubnis nur, wenn das Institut die in Titel II Kapitel 6 Abschnitt 3, 4 oder 5 beschriebene Methode für eine begrenzte Anzahl kleinerer Portfolios verwendet.
Für die Zwecke der Berechnung gemäß vorstehendem Unterabsatz und in Fällen, in denen die IMM kein Profil eines erwarteten Wiederbeschaffungswerts generiert, geht ein Institut wie folgt vor:
(5) Ein Institut bestimmt die Eigenmittelanforderung für das CVA-Risiko gemäß Artikel 364 Absatz 1 und den Artikeln 365 und 367 als Summe des Risikopotenzials ("Value-at-Risk", VaR) und des Risikopotenzials unter Stressbedingungen ("Stressed Value-at-Risk", stressed VaR), die wie folgt berechnet werden:
(6) Für Forderungen an eine Gegenpartei, für die das gestattete institutsinterne Modell für das spezifische Risiko von Schuldtiteln keinen Näherungswert für die Risikoprämie (Spread) generiert, der hinsichtlich der Kriterien Bonitätsbeurteilung, Branche und Region der Gegenpartei angemessen ist, geht das Institut nach Artikel 384 vor, um Eigenmittelanforderung für das CVA-Risiko zu berechnen.
(7) Die EBa arbeitet Entwürfe technischer Regulierungsstandards aus, in denen Folgendes präzisiert wird:
Die EBa legt der Kommission diese Entwürfe technischer Regulierungsstandards bis zum 1. Januar 2014 vor.
Der Kommission wird die Befugnis übertragen, die technischen Regulierungsstandards nach Unterabsatz 1 gemäß den Artikeln 10 bis 14 der Verordnung (EU) Nr. 1093/2010 zu erlassen.
Artikel 384 Standardmethode
(1) Nimmt ein Institut keine Berechnung der Eigenmittelanforderung für das CVA-Risiko für seine Gegenparteien nach Artikel 383 vor, so berechnet es eine Portfolio- Eigenmittelanforderung für das CVA-Risiko für jede Gegenpartei anhand der folgenden Formel und berücksichtigt dabei die gemäß Artikel 386 anerkennungsfähigen CVA-Sicherungsgeschäfte:
(2) Ist eine Gegenpartei in einem Index enthalten, auf dem ein zur Absicherung des Kreditrisikos der Gegenpartei eingesetzter Kreditausfallswap basiert, darf das Institut den dieser Gegenpartei im Einklang mit der Referenzeinheit-Gewichtung zuzuordnenden Nominalwert vom Nominalwert des Index-Kreditausfallswap abziehen und als Einzeladressen-Absicherung (Bi) dieser Gegenpartei mit einer der Laufzeit des Indexes entsprechenden Laufzeit behandeln.
| Bonitätsstufe | Gewichtung wi |
| 1 | 0,7 % |
| 2 | 0,8 % |
| 3 | 1,0 % |
| 4 | 2,0 % |
| 5 | 3,0 % |
| 6 | 10,0 % |
Artikel 385 Alternative zur Verwendung der LVA-Methoden für die Berechnung der Eigenmittelanforderungen
Alternativ zu Artikel 384 dürfen Institute, die die Ursprungsrisikomethode nach Artikel 275 verwenden, nach vorheriger Genehmigung durch die zuständige Behörde für die in Artikel 382 genannten Instrumente einen Multiplikationsfaktor von 10 auf die sich ergebenden risikogewichteten Forderungsbeträge für das Gegenparteiausfallrisiko dieser Forderungen anwenden, anstatt die Eigenmittelanforderung für das CVA-Risiko zu berechnen.
Artikel 386 Anerkennungsfähige Absicherungsgschäfte
(1) Absicherungsgeschäfte sind nur dann für die Zwecke der Berechnung der Eigenmittelanforderungen für das CVA-Risiko nach den Artikeln 383 und 384 anerkennungsfähig, wenn sie zur Minderung des CVA-Risikos verwendet werden, als solche behandelt werden und in eine der folgenden Kategorien fallen:
Die Anforderung nach Buchstabe b, dass die Basis zwischen dem Spread einer einzelnen Gegenpartei und den Spreads von Absicherungen über Index-Krditausfallswaps im Risikopotenzial abzubilden ist, gilt auch für Fälle, in denen ein Näherungswert für den Spread einer Gegenpartei verwendet wird.
Bei allen Gegenparteien, für die ein Näherungswert eingesetzt wird, verwendet das Institut eine angemessene Basiszeitreihe einer repräsentativen Gruppe ähnlicher Adressen, für die ein Spread verfügbar ist.
Wird die Basis zwischen dem Spread für eine einzelne Gegenpartei und den Spreads der Absicherung über Index-Kreditausfallswaps nach Auffassung der zuständigen Behörde nicht hinreichend abgebildet, darf das Institut lediglich 50 % des Nominalwerts der Indexabsicherungen im Risikopotenzial berücksichtigen.
Eine Übersicherung der Forderungen mit Einzeladressen-Kreditausfallswaps nach der Methode gemäß Artikel 383 ist nicht gestattet.
(2) Ein Institut berücksichtigt in der Berechnung der Eigenmittelanforderungen für das CVA-Risiko keine anderen Arten von Gegenparteirisiko-Sicherungsgeschäften. Insbesondere sind Tranchen von Kreditausfallswaps oder n-ter-Ausfall-Swaps und synthetische Unternehmensanleihen (Credit Linked Notes) für die Zwecke der Berechnung der Eigenmittelanforderungen für das CVA-Risiko keine anerkennungsfähigen Sicherungsgeschäfte.
(3) Anerkennungsfähige Sicherungsgeschäfte, die in der Berechnung der Eigenmittelanforderungen für das CVA-Risiko berücksichtigt werden, dürfen nicht in der Berechnung der Eigenmittelanforderungen für das spezifische Risiko nach Titel IV berücksichtigt werden oder als Kreditrisikominderung behandelt werden, außer im Zusammenhang mit dem Gegenparteiausfallrisiko für dasselbe Transaktionsportfolio.
Teil 4
Grosskredite
Artikel 387 Gegenstand
Großkredite werden von den Instituten gemäß diesem Teil überwacht und kontrolliert.
Artikel 388 Ausnahmen von der Anwendung
Dieser Teil findet keine Anwendung auf Wertpapierfirmen, die die Kriterien des Artikels 95 Absatz 1 oder des Artikels 96 Absatz 1 erfüllen.
Dieser Teil findet keine Anwendung auf eine Gruppe auf der Grundlage ihrer konsolidierten Lage, wenn der Gruppe nur in Artikel 95 Absatz 1 oder Artikel 96 Absatz 1 genannte Wertpapierfirmen sowie Anbieter von Nebendienstleistungen, nicht aber Kreditinstitute angehören.
Artikel 389 Begriffsbestimmung
Im Sinne dieses Teils sind "Risikopositionen" alle Aktiva und außerbilanziellen Posten im Sinne von Teil 3 Titel II Kapitel 2 ohne Anwendung der Risikogewichte und -grade.
Artikel 390 Berechnung des Risikopositionswerts
(1) Risikopositionen, die aus den in Anhang II genannten Gschäften resultieren, werden nach einer der in Teil 3 Titel II Kapitel 6 vorgesehenen Methoden berechnet.
(2) Institute mit der Erlaubnis zur Verwendung der IMM im Einklang mit Artikel 283 dürfen diese Methode zur Berechnung des Risikopositionswerts für Pensions- und Wertpapier- oder Warenleihgeschäfte, Lombardgeschäfte und Geschäfte mit langer Abwicklungsfrist verwenden.
(3) Die Institute, die die Eigenmittelanforderungen für ihr Handelsbuch gemäß Teil 3 Titel IV Kapitel 2 Artikel 299 und Teil 3 Titel V sowie gegebenenfalls Teil 3 Titel IV Kapitel 5 berechnen, berechnen die aus dem Handelsbuch herrührenden Risikopositionen gegenüber Einzelkunden, indem folgende Werte addiert werden:
Für die Zwecke von Buchstabe b wird die Nettorisikoposition berechnet, indem die mit einer Übernahmegarantie versehenen, von Dritten gezeichneten oder von Dritten auf der Grundlage einer förmlichen Vereinbarung mitgarantierten Positionen abgezogen werden, vermindert um die in Artikel 345 genannten Faktoren.
Für die Zwecke von Buchstabe b richten die Institute Systeme zur Überwachung und Kontrolle ihrer Übernahmegarantierisiken von dem Zeitpunkt, zu dem die Verpflichtung übernommen wird, bis zum nächsten Geschäftstag ein, wobei der Art der auf den betreffenden Märkten eingegangenen Risiken Rechnung zu tragen ist.
Für die Zwecke von Buchstabe c ist Teil 3 Titel II Kapitel 3 von dem Verweis in Artikel 299 ausgenommen.
(4) Die Gesamtrisikopositionen gegenüber Einzelkunden oder Gruppen verbundener Kunden werden berechnet, indem die Risikopositionen aus dem Handelsbuch und aus dem Anlagebuch addiert werden.
(5) Die Risikopositionen gegenüber Gruppen verbundener Kunden werden durch Addition der Risikopositionen gegenüber den Einzelkunden einer Gruppe ermittelt.
(6) Folgendes ist nicht in Risikopositionen enthalten:
(7) Um in Bezug auf Kunden, gegenüber denen ein Institut Risikopositionen aus Geschäften im Sinne des Artikels 112 Buchstaben m und o oder aus anderen Geschäften hat, bei denen Risikopositionen aus zugrunde liegenden Vermögenswerten resultieren, die Gesamtrisikoposition gegenüber einem Kunden oder einer Gruppe verbundener Kunden zu ermitteln, bewertet das Institut seine zugrunde liegenden Risikopositionen und berücksichtigt dabei die wirtschaftliche Substanz der Struktur des Geschäfts und die dieser selbst innewohnenden Risiken, um zu entscheiden, ob die Struktur eine zusätzliche Risikoposition darstellt.
(8) Die EBa arbeitet Entwürfe technischer Regulierungsstandards aus, in denen Folgendes präzisiert wird:
Die EBa legt der Kommission diese Entwürfe technischer Regulierungsstandards bis zum 1. Januar 2014 vor.
Der Kommission wird die Befugnis übertragen, die technischen Regulierungsstandards nach Unterabsatz 1 gemäß den Artikeln 10 bis 14 der Verordnung (EU) Nr. 1093/2010 zu erlassen.
Artikel 391 Begriffsbestimmung des Instituts für die Zwecke von Großkrediten
Für die Zwecke der Berechnung des Risikopositionswerts gemäß diesem Teil bezeichnet "Institut" auch private oder öffentliche Unternehmen, einschließlich ihrer Zweigstellen, die, wenn sie in der Union niedergelassen wären, unter die Definition des Begriffs "Institut" fallen würden und die in einem Drittland zugelassen wurden, dessen aufsichtliche und rechtliche Anforderungen denen der Union mindestens gleichwertig sind.
Artikel 392 Begriffsbestimmung des Großkredits
Eine Risikoposition eines Instituts an einen Kunden oder eine Gruppe verbundener Kunden ist ein Großkredit, wenn sein Wert 10 % der anrechenbaren Eigenmittel des Instituts erreicht oder überschreitet.
Artikel 393 Kapazitäten zur Ermittlung und Verwaltung von Großkrediten
Ein Institut verfügt über ordnungsgemäße Verwaltungs- und Rechnungslegungsverfahren sowie angemessene interne Kontrollmechanismen zur Ermittlung, Verwaltung, Überwachung, Erfassung und Meldung aller Großkredite und ihrer späteren Änderungen im Einklang mit dieser Verordnung.
Artikel 394 Meldepflichten
(1) Ein Institut meldet den zuständigen Behörden sämtliche Großkredite, auch wenn diese von der Anwendung des Artikels 395 Absatz 1 ausgenommen sind, und gibt dabei Folgendes an:
Institute, die Teil 3 Titel II Kapitel 3 unterliegen, melden den zuständigen Behörden ihre 20 größten Kredite auf konsolidierter Basis, ohne Berücksichtigung derjenigen, die von der Anwendung des Artikels 395 Absatz 1 ausgenommenen sind.
(2) Zusätzlich zu den Angaben nach Absatz 1 meldet ein Institut den zuständigen Behörden in Bezug seine zehn größten Kredite auf konsolidierter Basis gegenüber Finanzinstituten und seine zehn größten Kredite auf konsolidierter Basis gegenüber nicht beaufsichtigten Finanzunternehmen, einschließlich von der Anwendung des Artikels 395 Absatz 1 ausgenommene Großkredite Folgendes:
(3) Die Meldung erfolgt mindestens zweimal jährlich.
(4) Die EBa arbeitet Entwürfe technischer Durchführungsstandards aus, in denen Folgendes präzisiert wird:
Die EBa legt der Kommission diese Entwürfe technischer Durchführungsstandards bis 1. Januar 2014 vor.
Der Kommission wird die Befugnis übertragen, die technischen Durchführungsstandards nach Unterabsatz 1 gemäß Artikel 15 der Verordnung (EU) Nr. 1093/2010 zu erlassen.
Artikel 395 Obergrenze für Großkredite
(1) Ein Institut hält gegenüber einem Kunden oder einer Gruppe verbundener Kunden nach Berücksichtigung der Wirkung der Kreditrisikominderung gemäß den Artikeln 399 bis 403 keine Risikoposition, deren Wert 25 % seiner anrechenbaren Eigenmittel übersteigt. Ist der Kunde ein Institut oder gehört zu einer Gruppe verbundener Kunden ein oder mehr als ein Institut, so darf der Risikopositionswert den jeweils höheren Wert von entweder 25 % der anrechenbaren Eigenmittel oder 150 Mio. EUR nicht übersteigen, sofern nach Berücksichtigung der Wirkung der Kreditrisikominderung gemäß den Artikeln 399 bis 403 die Summe der Risikopositionswerte gegenüber sämtlichen verbundenen Kunden, die keine Institute sind, 25 % der anrechenbaren Eigenmittel des Instituts nicht übersteigt.
Ist der Betrag von 150 Mio. EUR höher als 25 % der anrechenbaren Eigenmittel des Instituts, so darf der Risikopositionswert nach Berücksichtigung der Wirkung der Kreditrisikominderung gemäß den Artikeln 399 bis 403 nicht über eine angemessene Obergrenze in Bezug auf die anrechenbaren Eigenmittel des Instituts hinausgehen. Diese Obergrenze wird von den Instituten im Einklang mit den Grundsätzen und Verfahren gemäß Artikel 81 der Richtlinie 2013/36/EU zur Steuerung und Begrenzung des Konzentrationsrisikos festgelegt. Die Obergrenze darf 100 % der anrechenbaren Eigenmittel des Instituts nicht überschreiten.
Die zuständigen Behörden können eine niedrigere Obergrenze als 150 Mio. EUR festlegen und setzen die EBa und die Kommission davon in Kenntnis.
(2) Die EBa arbeitet gemäß Artikel 16 der Verordnung (EU) Nr. 1093/2010 unter Berücksichtigung der Auswirkung von Kreditrisikominderungen nach den Artikeln 399 bis 403 sowie der Ergebnisse der Entwicklungen im Bereich Schattenbanken und Großkredite auf Unionsebene und auf internationaler Ebene bis zum 31. Dezember 2014 Leitlinien aus, um geeignete Gesamtobergrenzen für Großkredite oder niedrigere Obergrenzen für Einzelkredite an Schattenbankunternehmen festzusetzen, die außerhalb eines Regelungsrahmens Banktätigkeiten ausüben.
Bei der Ausarbeitung dieser Leitlinien prüft die EBA, ob die Einführung zusätzlicher Obergrenzen eine wesentliche nachteilige Auswirkung auf das Risikoprofil europäischer Institute, die Kreditvergabe an die Realwirtschaft oder die Stabilität und das reibungslose Funktionieren der Finanzmärkte hätte.
Die Kommission prüft bis zum 31. Dezember 2015 die Angemessenheit und Auswirkung von Obergrenzen für Kredite an Schattenbankunternehmen, die außerhalb eines Regelungsrahmens Banktätigkeiten ausüben, unter Berücksichtigung der Entwicklungen im Bereich Schattenbanken und Großkredite auf europäischer und internationaler Ebene sowie der Auswirkung von Kreditrisikominderungen nach den Artikeln 399 bis 403. Sie unterbreitet ihren Bericht dem Europäischen Parlament und dem Rat, gegebenenfalls zusammen mit einen Gesetzgebungsvorschlag zu Obergrenzen für Kredite an Schattenbankunternehmen, die außerhalb eines Regelungsrahmens Banktätigkeiten ausüben.
(3) Vorbehaltlich des Artikels 396 halten die Institute die einschlägige nach Absatz 1 festgelegte Obergrenze jederzeit ein.
(4) Auf Vermögenswerte, die Forderungen und sonstige Risikopositionen gegenüber anerkannten Drittland-Wertpapierfirmen darstellen, darfdieselbe Behandlung, wie die nach Absatz 1 angewandt werden.
(5) Die Obergrenzen gemäß diesem Artikel dürfen für Risikopositionen im Handelsbuch des Instituts überschritten werden, sofern die folgenden Bedingungen erfüllt sind:
In jedem Fall, in dem die Obergrenze überschritten worden ist, meldet das Institut den zuständigen Behörden unverzüglich die Höhe der Überschreitung und den Namen des betreffenden Kunden.
(6) Lediglich für die Zwecke dieses Absatzes sind "strukturelle Maßnahmen" von einem Mitgliedstaat erlassene und von seinen einschlägigen zuständigen Behörden durchgeführte Maßnahmen, mit denen von in dem betreffenden Mitgliedstaat zugelassenen Kreditinstituten verlangt wird, ihre Risikopositionen gegenüber verschiedenen Rechtsträgern je nach deren Tätigkeiten, aber unabhängig vom Ort, and dem diese ausgeübt werden, zu verringern, um Einleger zu schützen und die Finanzstabilität zu wahren, und zwar bis zum Inkrafttreten eines Gesetzgebungsvorschlags zur ausdrücklichen Harmonisierung solcher Maßnahmen.
Erlässt ein Mitgliedstaat einzelstaatliche Rechtsvorschriften, mit denen einer Bankengruppe vorgeschrieben wird, strukturelle Maßnahmen zu ergreifen, so können die zuständigen Behörden unbeschadet des Absatzes 1 dieses Artikels und des Artikels 400 Absatz 1 Buchstabe f den Instituten der Gruppe, die Einlagen halten, die durch ein Einlagensicherungssystem im Sinne der Richtlinie 94/19/EG des Europäischen Parlaments und des Rates vom 30. Mai 1994 über Einlagensicherungssysteme 30 oder ein vergleichbares Einlagensicherungssystem eines Drittlandes geschützt sind, auf teilkonsolidierter Basis gemäß Artikel 10 Absatz 5 für gruppeninterne Kredite eine Obergrenze für Großkredite von höchstens 25 %, aber mindestens 15 % zwischen dem 28. Juni 2013 und dem 30. Juni 2015 und von mindestens 10 % ab dem 1. Juli auferlegen, wenn diese Risikopositionen gegenüber einem Unternehmen bestehen, das in Bezug auf die strukturellen Maßnahmen nicht derselben Teilgruppe angehört.
Für die Zwecke dieses Absatzes sind die folgenden Bedingungen zu erfüllen:
Die Anwendung dieses Ansatzes darf die wirksame Aufsicht auf konsolidierter Basis nicht berühren und keine unverhältnismäßig nachteiligen Auswirkungen auf das Finanzsystem anderer Mitgliedstaaten insgesamt oder auf Teile davon oder das Finanzsystem der Union insgesamt nach sich ziehen oder ein Hindernis für das Funktionieren des Binnenmarktes bilden oder schaffen.
(7) Bevor die zuständigen Behörden in Bezug auf Großkredite die spezifischen strukturellen Maßnahmen im Sinne des Absatzes 6 erlassen, zeigen sie dies dem Rat, der Kommission, den betroffenen zuständigen Behörden und der EBa mindestens zwei Monate vor der Veröffentlichung der Entscheidung über den Erlass der strukturellen Maßnahmen an und legen einschlägige quantitative und qualitative Nachweise für alle nachstehenden Punkte vor:
(8) Der Kommission wird die Befugnis übertragen, im Einklang mit dem in Artikel 464 Absatz 2 genannten Verfahren einen Durchführungsrechtsakt zu erlassen, um die nach Absatz 7 vorgeschlagenen nationalen Maßnahmen billigen oder zurückzuweisen.
Binnen eines Monats nach Erhalt der Anzeige nach Absatz 7 leitet die EBa dem Rat, der Kommission und dem betroffenen Mitgliedstaat ihre Stellungnahme zu den in jenem Absatz genannten Punkten zu. Betroffene zuständige Behörden können dem Rat, der Kommission und dem betroffenen Mitgliedstaat gleichfalls ihre Stellungnahmen zu den in jenem Absatz genannten Punkten zuleiten.
Unter weitestgehender Berücksichtigung der Stellungnahmen nach Unterabsatz 2 und wenn belastbare und unabweisbare Nachweise dafür vorliegen, dass die Maßnahmen nachteilige Auswirkungen auf den Binnenmarkt haben wird, die den Nutzen für die Finanzstabilität überwiegen, weist die Kommission innerhalb von zwei Monaten nach Eingang der Anzeige die vorgeschlagenen nationalen Maßnahmen zurück. Andernfalls billigt sie die vorgeschlagenen nationalen Maßnahmen, gegebenenfalls mit Änderungen, für einen ersten Zeitraum von zwei Jahren.
Die Kommission weist die vorgeschlagenen nationalen Maßnahmen nur zurück, wenn diese Maßnahmen ihrer Ansicht nach unverhältnismäßig nachteilige Auswirkungen auf das Finanzsystem anderer Mitgliedsstaaten insgesamt oder auf Teile davon oder das Finanzsystem in der Union insgesamt nach sich ziehen und so ein Hindernis für das Funktionieren des Binnenmarkts oder den freien Kapitalverkehr gemäß dem AUEV bilden oder schaffen.
Bei ihrer Prüfung berücksichtigt die Kommission die Stellungnahme der EBa sowie die gemäß Absatz 7 vorgelegten Nachweise.
Die zuständigen Behörden können vor dem Auslaufen der Maßnahmen neue Maßnahmen vorschlagen, um die Geltungsdauer um jeweils zwei weitere Jahre zu verlängern. In diesem Fall zeigen sie dies der Kommission, dem Rat, den betroffenen zuständigen Behörden und der EBa an. Neue Maßnahmen werden nach dem Verfahren dieses Artikels gebilligt. Dieser Artikel berührt nicht Artikel 458.
Artikel 396 Einhaltung der Anforderungen für Großkredite
(1) Wird bei Krediten die Obergrenze nach Artikel 395 Absatz 1 ausnahmsweise überschritten, so meldet das Institut den Forderungswert unverzüglich den zuständigen Behörden, die, sofern es die Umstände rechtfertigen, dem Institut eine begrenzte Frist einräumen können, bis zu deren Ablauf die Obergrenze wieder eingehalten werden muss.
Kommt der in Artikel 395 Absatz 1 genannte Betrag von 150 Mio. EUR zur Anwendung, so können die zuständigen Behörden auf Einzelfallbasis gestatten, dass die Obergrenze von 100 % in Bezug auf die anrechenbaren Eigenmittel des Instituts überschritten werden darf.
(2) Ist ein Institut nach Artikel 7 Absatz 1 auf Einzelbasis oder teilkonsolidierter Basis von den Pflichten gemäß diesem Teil freigestellt, oder werden die Bestimmungen des Artikels 9 auf ein Mutterinstitut in einem Mitgliedstaat angewandt, so sind Maßnahmen zu ergreifen, die eine angemessene Risikoverteilung innerhalb der Gruppe ermöglichen.
Artikel 397 Berechnung zusätzlicher Eigenmittelanforderungen für Großkredite im Handelsbuch
(1) Die Berechnung der in Artikel 395 Absatz 5 Buchstabe b genannten Überschreitung erfolgt anhand der Elemente des gesamten Handelsbuchrisikos gegenüber dem Kunden oder der Gruppe verbundener Kunden, auf welche die höchsten spezifischen Risikoanforderungen gemäß Teil 3 Titel IV Kapitel 2 und/oder die Anforderungen gemäß Artikel 299 und Teil 3 Titel V zutreffen und deren Summe dem Betrag der Überschreitung gemäß Artikel 395 Absatz 5 Buchstabe a entspricht.
(2) Ist die Obergrenze nicht länger als zehn Tage überschritten worden, entspricht die zusätzliche Eigenmittelanforderung 200 % der in Absatz 1 genannten Anforderungen für diese Elemente.
(3) Nach Ablauf von zehn Tagen nach Eintreten der Überschreitung werden die nach Absatz 1 bestimmten Elemente der Überschreitung der entsprechenden Zeile in Spalte 1 der Tabelle 1 in aufsteigender Reihenfolge der spezifischen Risikoanforderungen gemäß Teil 3 Titel IV Kapitel 2 und/oder der Anforderungen gemäß Artikel 299 und Teil 3 Titel V zugeordnet. Die zusätzliche Eigenmittelanforderung entspricht der Summe der spezifischen Risikoanforderungen gemäß Teil 3 Titel IV Kapitel 2 und/oder der Anforderungen gemäß Artikel 299 und Teil 3 Titel V für diese Elemente, multipliziert mit dem entsprechenden Faktor in Spalte 2 der Tabelle 1.
| Spalte 1: Überschreitung der Obergrenzen (in % der anrechenbaren Eigenmittel) | Spalte 2: Faktor |
| bis 40 % | 200 % |
| zwischen 40 % und 60 % | 300 % |
| zwischen 60 % und 80 % | 400 % |
| zwischen 80 % und 100 % | 500 % |
| zwischen 100 % und 250 % | 600 % |
| über 250 % | 900 % |
![]() |
weiter . | ![]() |
(Stand: 25.10.2019)
Alle vollständigen Texte in der aktuellen Fassung im Jahresabonnement
Nutzungsgebühr: 90.- € netto (Grundlizenz)
(derzeit ca. 7200 Titel s.Übersicht - keine Unterteilung in Fachbereiche)
Die Zugangskennung wird kurzfristig übermittelt
? Fragen ?
Abonnentenzugang/Volltextversion