umwelt-online: Verordnung (EU) Nr. 575/2013 über Aufsichtsanforderungen an Kreditinstitute und zur Änderung der Verordnung (EU) Nr. 648/2012 (5)
![]() |
zurück | ![]() |
Abschnitt 9
Eigenmittelanforderungen für Risikopositionen gegenüber einer zentralen Gegenpartei
Artikel 300 Begriffsbestimmungen
Für die Zwecke dieses Abschnitts und des Teils 7 bezeichnet der Ausdruck
1. "insolvenzgeschützt" in Bezug auf Kundenvermögenswerte den Umstand, dass wirksame Vereinbarungen bestehen, die verhindern, dass bei Insolvenz einer zentralen Gegenpartei (ZGP) oder eines Clearingmitglieds die Gläubiger dieser zentralen Gegenpartei bzw. dieses Clearingmitglieds auf jene Vermögenswerte zugreifen können, oder dass das Clearingmitglied auf die Vermögenswerte zugreifen kann, um Verluste abzudecken, die es aufgrund des Ausfalls eines oder mehrerer anderer Kunden als jener, die diese Vermögenswerte eingebracht haben, erlitten hat;2. "ZGP-bezogenes Geschäft" einen Kontrakt oder ein Geschäft nach Artikel 301 Absatz 1 zwischen einem Kunden und einem Clearingmitglied, der/das unmittelbar mit einem Kontrakt oder einem Geschäft nach jenem Absatz zwischen diesem Clearingmitglied und einer ZGP in Beziehung steht;
3. "Clearingmitglied" ein Clearingmitglied im Sinne des Artikels 2 Nummer 14 der Verordnung (EU) Nr. 648/2012;
4. "Kunde" einen Kunden im Sinne des Artikels 2 Nummer 15 der Verordnung (EU) Nr. 648/2012 oder ein Unternehmen, das gemäß Artikel 4 Absatz 3 der Verordnung (EU) Nr. 648/2012 eine indirekte Clearingvereinbarung mit einem Clearingmitglied getroffen hat;
5. "Bargeschäft" ein Geschäft in Barmitteln, Schuldtiteln oder Beteiligungsinstrumenten, ein Fremdwährungskassageschäft oder ein Warenkassageschäft; Pensionsgeschäfte, Wertpapier- oder Warenverleihgeschäfte und Wertpapier- oder Warenleihgeschäfte sind jedoch keine Bargeschäfte;
6. "indirekte Clearingvereinbarung" eine Regelung, die die Bedingungen von Artikel 4 Absatz 3 Unterabsatz 2 der Verordnung (EU) Nr. 648/2012 erfüllt;
7. "Kunde auf höherer Ebene" ein Unternehmen, das Clearingdienstleistungen für Kunden auf niedrigerer Ebene erbringt;
8. "Kunde auf niedrigerer Ebene" ein Unternehmen, das Dienstleistungen einer ZGP über einen Kunden auf höherer Ebene in Anspruch nimmt;
9. "mehrstufige Kundenstruktur" eine indirekte Clearingvereinbarung, unter der für ein Institut Clearingdienstleistungen durch ein Unternehmen erbracht werden, das selbst kein Clearingmitglied, aber Kunde eines Clearingmitglieds oder eines Kunden auf höherer Ebene ist;
10. "nicht vorfinanzierter Beitrag zu einem Ausfallfonds" einen Beitrag, dessen Zahlung ein als Clearingmitglied auftretendes Institut einer ZGP vertraglich zugesagt hat, wenn diese die Mittel ihres Ausfallfonds verbraucht hat, um nach dem Ausfall eines oder mehrerer ihrer Clearingmitglieder die dadurch bedingten Verluste abzudecken;
11. "vollständig garantiertes Einlagenverleih- oder -leihgeschäft" ein vollständig besichertes Geldmarktgeschäft, bei dem zwei Gegenparteien Einlagen austauschen und eine ZGP als Mittler auftritt, um die Ausführung der Zahlungsverpflichtungen der beiden Gegenparteien zu gewährleisten.
Artikel 301 Sachlicher Geltungsbereich
(1) Dieser Abschnitt gilt für die nachstehend genannten Kontrakte und Geschäfte, solange sie bei einer ZGP ausstehend sind:
Dieser Abschnitt gilt nicht für Risikopositionen, die aus der Abwicklung von Bargeschäften entstehen. Institute wenden auf aus diesen Geschäften entstehende Handelsrisikopositionen die Behandlung gemäß Titel V und auf Beiträge zum Ausfallfonds zur ausschließlichen Deckung dieser Geschäfte ein Risikogewicht von 0 % an. Institute wenden auf Beiträge zum Ausfallfonds, die ergänzend zu Bargeschäften der Deckung der in Unterabsatz 1 dieses Absatzes aufgeführten Kontrakte dienen, die Behandlung nach Artikel 307 an.
(2) Für die Zwecke dieses Abschnitts gelten die folgenden Anforderungen:
Artikel 302 Überwachung der Risikopositionen gegenüber zentralen Gegenparteien
(1) Institute überwachen alle ihre Risikopositionen gegenüber zentralen Gegenparteien und richten Verfahren zur regelmäßigen Information der Geschäftsleitung sowie des/der zuständigen Ausschusses/Ausschüsse des Leitungsorgans über diese Risikopositionen ein.
(2) Institute bewerten anhand geeigneter Szenarioanalysen und Stresstests, ob die Höhe der Eigenmittel zur Unterlegung der Risikopositionen gegenüber einer zentralen Gegenpartei, einschließlich der potenziellen künftigen oder eventuellen Kreditrisikopositionen, Risikopositionen aus Beiträgen zu Ausfallfonds und - wenn das Institut als Clearingmitglied auftritt - Risikopositionen aus vertraglichen Vereinbarungen gemäß Artikel 304 die diesen Geschäften innewohnenden Risiken angemessen widerspiegelt.
Artikel 303 Behandlung der Risikopositionen von Clearingmitgliedern gegenüber zentralen Gegenparteien
(1) Ein Institut, das entweder für eigene Zwecke oder als Finanzintermediär zwischen einem Kunden und einer ZGP als Clearingmitglied auftritt, berechnet die Eigenmittelanforderungen für seine Risikopositionen gegenüber einer ZGP wie folgt:
(2) Für die Zwecke von Absatz 1 darf die Summe der Eigenmittelanforderungen eines Instituts für Risikopositionen gegenüber einer qualifizierten ZGP aufgrund von Handelsrisikopositionen und Beiträgen zum Ausfallfonds eine Obergrenze in Höhe der Summe der Eigenmittelanforderungen, die auf diese Risikopositionen angewandt würden, wenn die ZGP keine qualifizierte ZGP wäre, nicht überschreiten.
Artikel 304 Behandlung der Risikopositionen von Clearingmitgliedern gegenüber Kunden
(1) Ein Institut, das als Clearingmitglied und in dieser Funktion als Finanzintermediär zwischen einem Kunden und einer ZGP auftritt, berechnet die Eigenmittelanforderungen für seine ZGP-bezogenen Geschäfte mit diesem Kunden gemäß den Abschnitten 1 bis 8 dieses Kapitels, gemäß Kapitel 4 Abschnitt 4 dieses Titels bzw. gemäß Titel VI.
(2) Schließt ein Institut, das als Clearingmitglied auftritt, mit dem Kunden eines anderen Clearingmitglieds eine vertragliche Vereinbarung, die für diesen Kunden im Einklang mit Artikel 48 Absätze 5 und 6 der Verordnung (EU) Nr. 648/2012 die Übertragung von Positionen und Sicherheiten nach Artikel 305 Absatz 2 Buchstabe b erleichtert, und ergibt sich aus dieser vertraglichen Vereinbarung eine Eventualverbindlichkeit für das Institut, so darf es dieser Eventualverbindlichkeit einen Risikopositionswert von Null zuweisen.
(3) Für ein Institut, das als Clearingmitglied auftritt und die Eigenmittelanforderung für seine Risikopositionen anhand der Methoden nach den Abschnitten 3 oder 6 dieses Kapitels berechnet, gelten folgende Bestimmungen:
(4) Abweichend von Artikel 281 Absatz 2 Buchstabe i darf ein Institut, das als Clearingmitglied auftritt und die Eigenmittelanforderungen für seine Risikopositionen gegenüber Kunden anhand der Methode nach Abschnitt 4 berechnet, seiner Berechnung einen Laufzeitfaktor von 0,21 zugrunde legen.
(5) Abweichend von Artikel 282 Absatz 4 Buchstabe d darf ein Institut, das als Clearingmitglied auftritt und die Eigenmittelanforderungen für seine Risikopositionen gegenüber Kunden anhand der Methode nach Abschnitt 5 berechnet, seiner Berechnung einen Laufzeitfaktor von 0,21 zugrunde legen.
(6) Ein Institut, das als Clearingmitglied auftritt, darf für die Zwecke der Berechnung seiner Eigenmittelanforderungen für das CVA-Risiko im Einklang mit Titel VI die aus den Berechnungen gemäß den Absätzen 3, 4 und 5 resultierende verringerte Risikoposition bei Ausfall anwenden.
(7) Ein als Clearingmitglied auftretendes Institut, das von einem Kunden Sicherheiten für ein ZGP-bezogenes Geschäft entgegennimmt und diese an die ZGP weitergibt, kann diese Sicherheiten zur Verringerung seiner Risikoposition gegenüber dem Kunden in Bezug auf das ZGP-bezogene Geschäft anerkennen.
Bei einer mehrstufigen Kundenstruktur kann die Behandlung gemäß Unterabsatz 1 auf jeder Ebene dieser Struktur angewandt werden.
Artikel 305 Behandlung der Risikopositionen von Kunden
(1) Ist ein Institut Kunde, so berechnet es die Eigenmittelanforderungen für seine ZGP-bezogenen Geschäfte mit seinem Clearingmitglied gemäß den Abschnitten 1 bis 8 dieses Kapitels, gemäß Kapitel 4 Abschnitt 4 dieses Titels bzw. gemäß Titel VI.
(2) Unbeschadet der Vorgehensweise gemäß Absatz 1 darf ein Institut, das Kunde ist, die Eigenmittelanforderungen für seine Handelsrisikopositionen aus ZGP-bezogenen Geschäften mit seinem Clearingmitglied nach Artikel 306 berechnen, sofern alle nachstehenden Bedingungen erfüllt sind:
Ein Institut kann bei der Bewertung der Erfüllung der Bedingung nach Unterabsatz 1 Buchstabe b eindeutige Präzedenzfälle für die Übertragung von Kundenpositionen und der entsprechenden Sicherheiten an eine ZGP sowie jegliche Absicht der Branche, diese Praxis fortzusetzen, berücksichtigen.
(3) Abweichend von Absatz 2 gilt Folgendes: Ist ein Institut, das Kunde ist, nicht gegen Verlust geschützt, falls das Clearingmitglied und einer von dessen anderen Kunden gemeinsam ausfallen, und erfüllt deshalb nicht die Bedingung nach Buchstabe a, so darf es, sofern alle anderen Bedingungen nach den Buchstaben a bis d des genannten Absatzes erfüllt sind, die Eigenmittelanforderungen für seine Handelsrisikopositionen aus ZGP-bezogenen Geschäften mit seinem Clearingmitglied nach Artikel 306 berechnen, wenn es dabei anstelle des Risikogewichts von 2 % gemäß Artikel 306 Absatz 1 Buchstabe a ein Risikogewicht von 4 % ansetzt.
(4) Im Falle einer mehrstufigen Kundenstruktur kann ein Institut, das Kunde auf niedrigerer Ebene ist und die Dienstleistungen einer ZGP über einen Kunden auf höherer Ebene in Anspruch nimmt, die Behandlung nach Absatz 2 oder nach Absatz 3 nur dann anwenden, wenn die darin enthaltenen Bedingungen auf allen Ebenen der Kundenstruktur erfüllt sind.
Artikel 306 Eigenmittelanforderungen für Handelsrisikopositionen
(1) Ein Institut behandelt seine Handelsrisikopositionen gegenüber ZGP wie folgt:
(2) Abweichend von Absatz 1 darf ein Institut für den Fall, dass die für eine ZGP oder ein Clearingmitglied als Sicherheit gestellten Vermögenswerte bei Insolvenz der ZGP, des Clearingmitglieds oder eines oder mehrerer Kunden des Clearingmitglieds geschützt sind, für die bei diesen Vermögenswerten vom Gegenparteiausfallrisiko betroffenen Positionen einen Risikopositionswert von Null ansetzen.
(3) Ein Institut berechnet die Risikopositionswerte seiner Handelsrisikopositionen gegenüber einer ZGP gemäß den Abschnitten 1 bis 8 dieses Kapitels bzw. gemäß Kapitel 4 Abschnitt 4.
(4) Für die Zwecke des Artikels 92 Absatz 3 berechnet ein Institut die risikogewichteten Positionsbeträge für seine Handelsrisikopositionen gegenüber ZGP, indem es die Summe der nach den Absätzen 2 und 3 berechneten Risikopositionswerte seiner Handelsrisikopositionen gegenüber ZGP mit dem nach Absatz 1 bestimmten Risikogewicht multipliziert.
Artikel 307 Eigenmittelanforderungen für Beiträge zum Ausfallfonds einer ZGP
Ein Institut, das als Clearingmitglied auftritt, behandelt die aus seinen Beiträgen zum Ausfallfonds einer ZGP resultierenden Risikopositionen wie folgt:
Artikel 308 Eigenmittelanforderungen für vorfinanzierte Beiträge zum Ausfallfonds einer qualifizierten ZGP
(1) Der Risikopositionswert des vorfinanzierten Beitrags eines Instituts zum Ausfallfonds einer qualifizierten ZGP (DFi) ist der eingezahlte Betrag oder der Marktwert der von dem betreffenden Institut gelieferten Vermögenswerte, abzüglich des Teils des Beitrags, den die qualifizierte ZGP bereits verwendet hat, um ihre Verluste infolge des Ausfalls eines oder mehrerer ihrer Clearingmitglieder aufzufangen.
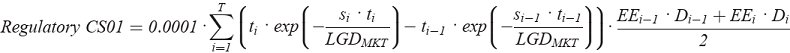
(2) Ein Institut berechnet die Eigenmittelanforderung zur Unterlegung der aus ihrem vorfinanzierten Beitrag resultierenden Risikopositionen nach folgender Formel:
dabei gilt:
| Ki | = | die Eigenmittelanforderung; |
| i | = | der Index für das Clearingmitglied; |
| KCCP | = | das hypothetische Kapital der qualifizierten ZGP, das dem Institut von der qualifizierten ZGP gemäß Artikel 50c der Verordnung (EU) Nr. 648/2012 mitgeteilt wird; |
| DFi | = | der vorfinanzierte Beitrag; |
| DFCCP | = | die vorfinanzierten finanziellen Mittel der ZGP, die dem Institut von der ZGP gemäß Artikel 50c der Verordnung (EU) Nr. 648/2012 mitgeteilt werden; und |
| DFCM | = | die Summe der vorfinanzierten Beiträge aller Clearingmitglieder der qualifizierten ZGP, die dem Institut von der qualifizierten ZGP gemäß Artikel 50c der Verordnung (EU) Nr. 648/2012 mitgeteilt wird. |
(3) Für die Zwecke des Artikels 92 Absatz 3 berechnet ein Institut die risikogewichteten Positionsbeträge für die aus seinem vorfinanzierten Beitrag zum Ausfallfonds einer qualifizierten ZGP resultierenden Risikopositionen, indem es die nach Absatz 2 des vorliegenden Artikels berechnete Eigenmittelanforderung mit 12,5 multipliziert.
Artikel 309 Eigenmittelanforderungen für vorfinanzierte Beiträge zum Ausfallfonds einer nicht qualifizierten ZGP und für nicht vorfinanzierte Beiträge zu einer nicht qualifizierten ZGP
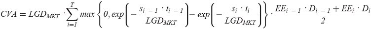
(1) Ein Institut berechnet die Eigenmittelanforderung für die Risikopositionen aus seinen vorfinanzierten Beiträgen zum Ausfallfonds einer nicht qualifizierten ZGP und aus nicht vorfinanzierten Beiträgen zu einer solchen ZGP nach folgender Formel:
K = DF + UC
dabei gilt:
| K | = | die Eigenmittelanforderung; |
| DF | = | die vorfinanzierten Beiträge zum Ausfallfonds einer nicht qualifizierten ZGP; und |
| UC | = | die nicht vorfinanzierten Beiträge zum Ausfallfonds einer nicht qualifizierten ZGP. |
(2) Für die Zwecke des Artikels 92 Absatz 3 berechnet ein Institut die risikogewichteten Positionsbeträge für die aus seinem Beitrag zum Ausfallfonds einer nicht qualifizierten ZGP resultierenden Risikopositionen, indem es die nach Absatz 1 des vorliegenden Artikels berechnete Eigenmittelanforderung mit 12,5 multipliziert.
Artikel 310 Eigenmittelanforderungen für nicht vorfinanzierte Beiträge zum Ausfallfonds einer qualifizierten ZGP
Ein Institut wendet auf seine nicht vorfinanzierten Beiträge zum Ausfallfonds einer qualifizierten ZGP ein Risikogewicht von 0 % an.
Artikel 311 Eigenmittelanforderungen für Risikopositionen gegenüber ZGP, die bestimmte Bedingungen nicht mehr erfüllen
(1) Die Institute wenden die Behandlung gemäß diesem Artikel an, wenn sie - nach einer öffentlichen Bekanntmachung oder durch eine Mitteilung der für eine von ihnen genutzte ZGP zuständigen Behörde oder der betreffenden ZGP selbst - davon Kenntnis erhalten, dass die ZGP die Bedingungen für ihre Zulassung bzw. Anerkennung nicht länger erfüllen wird.
(2) Ist die Bedingung nach Absatz 1 erfüllt, gehen die Institute innerhalb von drei Monaten, nachdem sie von dem darin genannten Umstand Kenntnis erhalten haben, oder zu einem früheren Zeitpunkt, wenn ihre zuständigen Behörden dies verlangen, hinsichtlich ihrer Risikopositionen gegenüber der betreffenden ZGP wie folgt vor:
Titel III
Eigenmittelanforderungen für das operationelle Risiko
Kapitel 1
Allgemeine Grundsätze für die Verwendung der verschiedenen Ansätze
Artikel 312 Genehmigung und Anzeige
(1) Den Standardansatz dürfen nur Institute verwenden, die die Bedingungen des Artikels 320 und außerdem die allgemeinen Risikomanagement-Standards nach den und der Richtlinie 2013/36/EU erfüllen. Die Institute setzen die zuständigen Behörden vor einer Verwendung des Standardansatzes in Kenntnis.
Die zuständigen Behörden gestatten den Instituten, für die Geschäftsfelder "Privatkundengeschäft" und "Firmenkundengeschäft" einen alternativen maßgeblichen Indikator zu verwenden, sofern die Bedingungen des Artikels 319 Absatz 2 und des Artikels 320 erfüllt sind.
(2) Die zuständigen Behörden gestatten den Instituten, fortgeschrittene Messansätze zu verwenden, die auf ihrem eigenen System für die Messung des operationellen Risikos basieren, sofern sämtliche qualitativen und quantitativen Anforderungen der Artikel 321 bzw. 322 erfüllt sind und die Institute die allgemeinen Risikomanagement-Standards der und der Richtlinie 2013/36/EU und des Titels VII Kapitel 3 jener Richtlinie einhalten.
Beabsichtigen Institute, diese fortgeschrittenen Messansätze wesentlich zu erweitern oder zu ändern, so beantragen sie bei ihren zuständigen Behörden ebenfalls eine Erlaubnis. Die zuständigen Behörden geben die Erlaubnis nur, wenn die Institute die in Unterabsatz 1 genannten Anforderungen und Standards nach diesen wesentlichen Erweiterungen und Änderungen weiterhin erfüllen.
(3) Institute zeigen den zuständigen Behörden jede Änderung ihrer Modelle fortgeschrittener Messansätze an.
(4) Die EBa arbeitet Entwürfe technischer Regulierungsstandards aus, in denen Folgendes präzisiert wird:
Die EBa legt der Kommission diese Entwürfe technischer Regulierungsstandards bis zum 31. Dezember 2014 vor.
Der Kommission wird die Befugnis übertragen, die technischen Regulierungsstandards nach Unterabsatz 1 gemäß den Artikeln 10 bis 14 der Verordnung (EU) Nr. 1093/2010 zu erlassen.
Artikel 313 Rückkehr zu weniger komplizierten Ansätzen
(1) Institute, die den Standardansatz verwenden, kehren nicht zur Anwendung des Basisindikatoransatzes zurück, es sei denn, die Voraussetzungen nach Absatz 3 sind erfüllt.
(2) Institute, die fortgeschrittene Messansätze verwenden, kehren nicht zur Anwendung des Standardansatzes oder des Basisindikatoransatzes zurück, es sei denn, die Voraussetzungen nach Absatz 3 sind erfüllt.
(3) Ein Institut darf nur dann zu einem weniger komplizierten Ansatz für das operationelle Risiko zurückkehren, wenn die beiden folgenden Voraussetzungen erfüllt sind:
Artikel 314 Kombination verschiedener Ansätze
(1) Institute dürfen verschiedene Ansätze kombinieren, sofern die zuständigen Behörden dies gestatten. Die zuständigen Behörden geben eine solche Erlaubnis, sofern die einschlägigen Voraussetzungen der Absätze 2 bis 4 erfüllt sind.
(2) Ein Institut darf einen fortgeschrittenen Messansatz mit dem Basisindikatoransatz oder dem Standardansatz kombinieren, sofern die beiden folgenden Voraussetzungen erfüllt sind:
(3) Die zuständigen Behörden verlangen von Instituten, die einen fortgeschrittenen Messansatz mit dem Basisindikatoransatz oder mit dem Standardansatz kombinieren wollen, dass für die Erteilung einer Genehmigung zusätzlich folgende Voraussetzungen erfüllt sind:
(4) Ein Institut darf nur im Ausnahmefall bei einer zuständigen Behörde eine Genehmigung für die Verwendung einer Kombination aus dem Basisindikatoransatz und dem Standardansatz beantragen, beispielsweise bei der Übernahme eines neuen Geschäfts, auf das der Standardansatz möglicherweise erst nach einer Übergangszeit angewandt werden kann.
Eine zuständige Behörde erteilt eine solche Genehmigung nur, wenn das Institut sich verpflichtet hat, den Standardansatz nach dem den zuständigen Behörden vorgelegten und durch diese genehmigten Zeitplan anzuwenden.
(5) Die EBa arbeitet Entwürfe technischer Regulierungsstandards aus, in denen Folgendes präzisiert wird:
Die EBa legt der Kommission diese Entwürfe technischer Regulierungsstandards bis zum 31. Dezember 2016 vor.
Der Kommission wird die Befugnis übertragen, die technischen Regulierungsstandards nach Unterabsatz 1 gemäß den Artikeln 10 bis 14 der Verordnung (EU) Nr. 1093/2010 zu erlassen.
Kapitel 2
Basisindikatoransatz
Artikel 315 Eigenmittelanforderung
(1) Beim Basisindikatoransatz beträgt die Eigenmittelanforderung für das operationelle Risiko 15 % des Dreijahresdurchschnitts des maßgeblichen Indikators gemäß Artikel 316.
Die Institute berechnen den Dreijahresdurchschnitt des maßgeblichen Indikators aus den letzten drei Zwölfmonatsbeobachtungen zum Abschluss des Geschäftsjahres. Liegen keine geprüften Zahlen vor, so können die Institute Schätzungen heranziehen.
(2) Ist ein Institut seit weniger als drei Jahren tätig, kann es bei der Berechnung des maßgeblichen Indikators zukunftsgerichtete Schätzungen verwenden, sofern es zur Verwendung historischer Daten übergeht, sobald diese verfügbar sind.
(3) Kann ein Institut seiner zuständigen Behörde nachweisen, dass die Verwendung eines Dreijahresdurchschnitts zur Berechnung des maßgeblichen Indikators wegen einer Verschmelzung, einem Erwerb oder einer Veräußerung von Unternehmen oder Geschäftsbereichen die Schätzung der Eigenmittelanforderung für das operationelle Risiko verzerren würde, kann die zuständige Behörde dem Institut gestatten, die Berechnung dahin gehend anzupassen, dass solche Ereignisse berücksichtigt werden; sie zeigt dies der EBa ordnungsgemäß an. Unter solchen Umständen kann die zuständige Behörde auch von sich aus von einem Institut verlangen, die Berechnung anzupassen.
(4) Ist der maßgebliche Indikator in einem der Beobachtungszeiträume negativ oder gleich Null, so beziehen die Institute diesen Wert nicht in die Berechnung des Dreijahresdurchschnitts ein. Die Institute berechnen den Dreijahresdurchschnitt als die Summe der positiven Werte, geteilt durch die Anzahl der positiven Werte.
Artikel 316 Maßgeblicher Indikator
(1) Für Institute, die die Rechnungslegungsvorschriften der Richtlinie 86/635/EWG unter Zugrundelegung der Gliederung der Gewinn- und Verlustrechnung von Instituten nach Artikel 27 jener Richtlinie anwenden, ist der maßgebliche Indikator die Summe der in Tabelle 1 genannten Posten. Die Institute berücksichtigen in der Summe jeden Wert mit seinem positiven oder negativen Vorzeichen.
| 1 | Zinserträge und ähnliche Erträge |
| 2 | Zinsaufwendungen und ähnliche Aufwendungen |
| 3 | Erträge aus Aktien, anderen Anteilsrechten und nicht festverzinslichen/festverzinslichen Wertpapieren |
| 4 | Erträge aus Provisionen und Gebühren |
| 5 | Aufwendungen für Provisionen und Gebühren |
| 6 | Ertrag/Aufwand aus Finanzgeschäften |
| 7 | Sonstige betriebliche Erträge |
Die Institute passen diese Posten an, um den folgenden Bestimmungen gerecht zu werden:
Abweichend von Unterabsatz 1 dieses Absatzes können die Institute anstelle der Gliederung der Gewinn- und Verlustrechnung nach Artikel 27 der Richtlinie 86/635/EWG für Finanzierungsleasing und operatives Leasing für die Zwecke der Berechnung des maßgeblichen Indikators
(2) Wenden die Institute andere Rechnungslegungsvorschriften als die der Richtlinie 86/635/EWG an, so berechnen sie den maßgeblichen Indikator anhand von Daten, die der Definition dieses Artikels am nächsten kommen.
(3) Die EBa arbeitet Entwürfe technischer Regulierungsstandards aus, um die Methodik zur Berechnung des maßgeblichen Indikators gemäß Absatz 2 zu präzisieren.
Die EBa legt der Kommission diese Entwürfe technischer Regulierungsstandards bis zum 31. Dezember 2017 vor.
Der Kommission wird die Befugnis übertragen, die technischen Regulierungsstandards nach Unterabsatz 1 gemäß den Artikeln 10 bis 14 der Verordnung (EU) Nr. 1093/2010 zu erlassen.
Kapitel 3
Standardansatz
Artikel 317 Eigenmittelanforderung
(1) Beim Standardansatz ordnen die Institute ihre Tätigkeiten den in der Tabelle 2 in Absatz 4 genannten Geschäftsfeldern und gemäß den Grundsätzen nach Artikel 318 zu.
(2) Die Institute berechnen die Eigenmittelanforderung für das operationelle Risiko als Dreijahresdurchschnitt der Summe der jährlichen Eigenmittelanforderungen in sämtlichen Geschäftsfeldern der Tabelle 2 in Absatz 4. Die jährliche Eigenmittelanforderung jedes Geschäftsfelds entspricht dem Produkt des einschlägigen in der Tabelle enthaltenen Beta-Faktors und dem Anteil des maßgeblichen Indikators, der dem betreffenden Geschäftsfeld zugeordnet wird.
(3) In jedem Jahr können die Institute eine aus einem negativen Anteil des maßgeblichen Indikators resultierende negative Eigenmittelanforderung in einem Geschäftsfeld unbegrenzt mit den positiven Eigenmittelanforderungen in anderen Geschäftsfeldern verrechnen. Ist jedoch die gesamte Eigenmittelanforderung für alle Geschäftsfelder in einem bestimmten Jahr negativ, so setzen die Institute den Beitrag zum Zähler für dieses Jahr mit Null an.
(4) Die Institute berechnen den Dreijahresdurchschnitt der Summe im Sinne von Absatz 2 aus den letzten drei Zwölfmonatsbeobachtungen zum Abschluss des Geschäftsjahres. Liegen keine geprüften Zahlen vor, so können die Institute Schätzungen heranziehen.
Kann ein Institut seiner zuständigen Behörde nachweisen, dass die Verwendung eines Dreijahresdurchschnitts zur Berechnung des maßgeblichen Indikators wegen einer Verschmelzung, eines Erwerbs oder einer Veräußerung von Unternehmen oder Geschäftsbereichen die Schätzung der Eigenmittelanforderung für das operationelle Risiko verzerren würde, kann die zuständige Behörde dem Institut gestatten, die Berechnung dahin gehend anzupassen, dass solche Ereignisse berücksichtigt werden; sie zeigt dies der EBa ordnungsgemäß an. Unter solchen Umständen kann die zuständige Behörde auch von sich aus von einem Institut verlangen, die Berechnung anzupassen.
Ist ein Institut seit weniger als drei Jahren tätig, kann es bei der Berechnung des maßgeblichen Indikators zukunftsgerichtete Schätzungen verwenden, sofern es zur Verwendung historischer Daten übergeht, sobald diese verfügbar sind.
| Geschäftsfeld | Liste der Tätigkeiten | Prozentsatz (Beta-Faktor) |
| Unternehmensfinanzierung/-beratung (Corporate Finance) | Emission oder Platzierung von Finanzinstrumenten mit fester Übernahmeverpflichtung Dienstleistungen im Zusammenhang mit dem Emissionsgeschäft Anlageberatung Beratung von Unternehmen bezüglich Kapitalstruktur, Geschäftsstrategie und damit verbundenen Fragen sowie Beratungs- und sonstige Serviceleistungen im Zusammenhang mit Verschmelzungen und Übernahmen Investment Research und Finanzanalyse sowie andere Arten von allgemeinen Empfehlungen zu Transaktionen mit Finanzinstrumenten |
18 % |
| Handel (Trading and Sales) | Eigenhandel Geldmaklergeschäfte Entgegennahme und Weiterleitung von Aufträgen im Zusammenhang mit einem oder mehreren Finanzinstrumenten Auftragsausführung für Kunden Platzierung von Finanzinstrumenten ohne feste Übernahmeverpflichtung Betrieb multilateraler Handelssysteme |
18 % |
| Wertpapierprovisionsgeschäft (Retail Brokerage)
(Geschäfte mit natürlichen Personen oder KMU, die nach Artikel 123 als Mengengeschäft einzustufen sind) |
Entgegennahme und Weiterleitung von Aufträgen im Zusammenhang mit einem oder mehreren Finanzinstrumenten Auftragsausführung für Kunden Platzierung von Finanzinstrumenten ohne feste Übernahmeverpflichtung |
12 % |
| Firmenkundengeschäft (Commercial Banking) | Annahme von Einlagen und sonstigen rückzahlbaren Geldern Kreditvergabe Finanzierungsleasing Bürgschaften und Verpflichtungen |
15 % |
| Privatkundengeschäft (Retail Banking)
(Geschäfte mit natürlichen Personen oder KMU, die nach Artikel 123 als Mengengeschäft einzustufen sind) |
Annahme von Einlagen und sonstigen rückzahlbaren Geldern Kreditvergabe Finanzierungsleasing Bürgschaften und Verpflichtungen |
12 % |
| Zahlungsverkehr und Verrechnung (Payment and Settlement) | Geldtransferdienstleistungen Ausgabe und Verwaltung von Zahlungsmitteln |
18 % |
| Depot- und Treuhandgeschäfte (Agency Services) | Verwahrung und Verwaltung von Finanzinstrumenten für Rechnung von Kunden, einschließlich Depotverwahrung und verbundene Dienstleistungen wie Liquiditätsmanagement und Sicherheitenverwaltung | 15 % |
| Vermögensverwaltung (Asset Management) | Portfoliomanagement OGAW-Verwaltung Sonstige Arten der Vermögensverwaltung |
12 % |
Artikel 318 Grundsätze für die Zuordnung zu Geschäftsfeldern
(1) Die Institute erarbeiten und dokumentieren spezifische Vorschriften und Kriterien für die Zuordnung des maßgeblichen Indikators aus den eigenen aktuellen Geschäftsfeldern und Tätigkeiten in das Grundgerüst des Standardansatzes gemäß Artikel 317. Sie überprüfen diese Vorschriften und Kriterien und passen sie gegebenenfalls an neue oder sich verändernde Geschäftstätigkeiten und -risiken an.
(2) Die Institute wenden für die Zuordnung zu Geschäftsfeldern folgende Grundsätze an:
(3) Die EBa arbeitet Entwürfe technischer Durchführungsstandards aus, um die Kriterien für die Anwendung der in diesem Artikel vorgesehenen Grundsätze für die Zuordnung nach Geschäftsfeldern zu bestimmen.
Die EBa legt der Kommission diese Entwürfe technischer Durchführungsstandards bis 31. Dezember 2017 vor.
Der Kommission wird die Befugnis übertragen, die technischen Durchführungsstandards nach Unterabsatz 1 gemäß Artikel 15 der Verordnung (EU) Nr. 1093/2010 zu erlassen.
Artikel 319 Alternativer Standardansatz
(1) Beim alternativen Standardansatz berücksichtigen die Institute für die Geschäftsfelder "Privatkundengeschäft" und "Firmenkundengeschäft" Folgendes:
(2) Für die Anwendung des alternativen Standardansatzes muss ein Institut sämtliche der folgenden Voraussetzungen erfüllen:
Artikel 320 Bedingungen für die Verwendung des Standardansatzes
Bei den Bedingungen nach Artikel 312 Absatz 1 Unterabsatz 1 handelt es sich um Folgende:
Kapitel 4
Fortgeschrittene Messansätze
Artikel 321 Qualitative Anforderungen
Die qualitativen Anforderungen nach Artikel 312 Absatz 2 sind Folgende:
Artikel 322 Quantitative Anforderungen
(1) Die quantitativen Anforderungen nach Artikel 312 Absatz 2 umfassen die Anforderungen der Absätze 2 bis 6 hinsichtlich Verfahren, internen Daten, externen Daten, Szenarioanalysen und Faktoren, die das Geschäftsumfeld und die internen Kontrollsysteme betreffen.
(2) Die Anforderungen hinsichtlich Verfahren sind Folgende:
(3) Die Anforderungen hinsichtlich interner Daten sind Folgende:
(4) Die Anforderungen hinsichtlich externer Daten sind Folgende:
(5) Ein Institut setzt auf der Grundlage von Expertenmeinungen in Verbindung mit externen Daten Szenarioanalysen ein, um seine Gefährdung durch sehr schwerwiegende Risikoereignisse zu bewerten. Diese Bewertungen werden von dem Institut im Laufe der Zeit überprüft und durch Vergleich mit den tatsächlichen Verlusterfahrungen angepasst, um ihre Aussagekraft sicherzustellen.
(6) Die Anforderungen hinsichtlich Faktoren, die das Geschäftsumfeld und die internen Kontrollsysteme betreffen, sind Folgende:
Artikel 323 Auswirkung von Versicherungen und anderen Risikoübertragungsmechanismen
(1) Die zuständigen Behörden gestatten Instituten, die Auswirkungen von Versicherungen, sofern die Bedingungen der Absätze 2 bis 5 erfüllt sind, sowie anderer Risikoübertragungsmechanismen, zu berücksichtigen, sofern sie nachweisen können, dass ein nennenswerter Risikominderungseffekt erzielt wird.
(2) Der Versicherungsgeber verfügt über die Zulassung zum Versicherungs- oder Rückversicherungsgeschäft und besitzt eine von einer ECAI abgegebene Mindest-Bonitätsbeurteilung der Zahlungsfähigkeit, die von der EBa gemäß den Bestimmungen für die Risikogewichtung bei Risikopositionen gegenüber Instituten nach Titel II Kapitel 2 der Bonitätsstufe 3 oder höher zugeordnet wurde.
(3) Die Versicherung und der Versicherungsrahmen der Institute müssen sämtliche der folgenden Voraussetzungen erfüllen:
(4) Bei der Methodik für die Anerkennung von Versicherungen werden mittels Abzügen oder Abschlägen sämtliche der folgenden Faktoren berücksichtigt:
(5) Die aus der Anerkennung von Versicherungsschutz und sonstigen Risikoübertragungsmechanismen resultierende Verringerung der Eigenmittelanforderung darf 20 % der gesamten Eigenmittelanforderung für das operationelle Risiko vor Anerkennung von Risikominderungstechniken nicht übersteigen.
Artikel 324 Klassifizierung der Verlustereignisse
Die Verlustereignisse nach Artikel 322 Absatz 3 Buchstabe b sind Folgende:
| Ereigniskategorie | Begriffsbestimmung |
| Interner Betrug | Verluste aufgrund von Handlungen mit betrügerischer Absicht, Veruntreuung von Eigentum, Umgehung von Verwaltungs-, Rechts- oder internen Vorschriften, mit Ausnahme von Verlusten aufgrund von Diskriminierung oder sozialer und kultureller Verschiedenheit, wenn mindestens eine interne Partei beteiligt ist. |
| Externer Betrug | Verluste aufgrund von Handlungen mit betrügerischer Absicht, Veruntreuung von Eigentum oder Umgehung von Rechtsvorschriften durch einen Dritten. |
| Beschäftigungspraxis und Arbeitsplatzsicherheit | Verluste aufgrund von Handlungen, die gegen Beschäftigungs-, Gesundheitsschutz- oder Sicherheitsvorschriften bzw. -vereinbarungen verstoßen, Verluste aufgrund von Schadenersatzzahlungen wegen Körperverletzung, Verluste aufgrund von Diskriminierung auch aufgrund sozialer und kultureller Verschiedenheit. |
| Kunden, Produkte und Geschäftsgepflogenheiten | Verluste aufgrund einer unbeabsichtigten oder fahrlässigen Nichterfüllung geschäftlicher Verpflichtungen gegenüber bestimmten Kunden (einschließlich Anforderungen an Treuhänder und in Bezug auf Angemessenheit der Dienstleistung), Verluste aufgrund der Art oder Struktur eines Produkts. |
| Sachschäden | Verluste aufgrund von Beschädigungen oder des Verlustes von Sachvermögen durch Naturkatastrophen oder andere Ereignisse. |
| Geschäftsunterbrechungen und Systemstörungen | Verluste aufgrund von Geschäftsunterbrechungen oder Systemstörungen. |
| Ausführung, Lieferung und Prozessmanagement | Verluste aufgrund von Fehlern bei der Geschäftsabwicklung oder im Prozessmanagement, Verluste aus Beziehungen zu Geschäftspartnern und Lieferanten/Anbietern. |
Titel IV
Eigenmittelanforderungen für das Marktrisiko
Kapitel 1
Allgemeine Bestimmungen
Artikel 325 Ansätze für die Berechnung der Eigenmittelanforderungen für das Marktrisiko
(1) Ein Institut berechnet die Eigenmittelanforderungen für das Marktrisiko aller Handelsbuchpositionen und aller Anlagebuchpositionen, die einem Fremdwährungs- oder Warenpositionsrisiko unterliegen, nach folgenden Ansätzen:
(2) Die gemäß dem Standardansatz nach Absatz 1 Buchstabe a berechneten Eigenmittelanforderungen für das Marktrisiko entsprechen der Summe der folgenden jeweils anwendbaren Eigenmittelanforderungen:
(3) Ein Institut, das nicht gemäß Artikel 325a von den Meldepflichten nach Artikel 430b ausgenommen ist, meldet die Berechnung gemäß Artikel 430b für alle Handelsbuchpositionen und alle Anlagebuchpositionen, die einem Fremdwährungs- oder Warenpositionsrisiko unterliegen, nach folgenden Ansätzen:
(4) Ein Institut kann gemäß Artikel 363 innerhalb einer Gruppe dauerhaft eine Kombination der Ansätze nach Absatz 1 Buchstaben a und b des vorliegenden Artikels anwenden.
(5) Institute wenden den Ansatz nach Absatz 3 Buchstabe b nicht für Instrumente in ihrem Handelsbuch an, bei denen es sich um Verbriefungspositionen oder gemäß den Absätzen 6, 7 und 8 in das alternative Korrelationshandelsportfolio einbezogene Positionen handelt.
(6) In das alternative Korrelationshandelsportfolio werden Verbriefungspositionen und n-ter-Ausfall-Kreditderivate einbezogen, die sämtliche nachstehenden Kriterien erfüllen:
Ein aus Käufer- und Verkäufersicht hinreichend liquider Markt wird als vorhanden angenommen, wenn unabhängige ernsthafte Kauf- und Verkaufsangebote existieren, sodass innerhalb eines Tages ein Preis bestimmt werden kann, der mit den letzten Verkaufspreisen oder gegenwärtigen konkurrenzfähigen ernsthaften Kauf- und Verkaufsquotierungen angemessen in Verbindung steht, und zu diesem Preis innerhalb relativ kurzer Zeit ein Geschäft im Einklang mit den Handelsusancen abgewickelt werden kann.
(7) Positionen mit einem der folgenden zugrunde liegenden Instrumente werden nicht in das alternative Korrelationshandelsportfolio aufgenommen:
(8) Institute dürfen in ihr alternatives Korrelationshandelsportfolio Positionen aufnehmen, die weder Verbriefungspositionen noch n-ter-Ausfall-Kreditderivate sind, jedoch andere Positionen in diesem Portfolio absichern, sofern für das Instrument oder die ihm zugrunde liegenden Instrumente ein aus Käufer- und Verkäufersicht hinreichend liquider Markt gemäß Absatz 6 Unterabsatz 2 besteht.
(9) Die EBa arbeitet Entwürfe technischer Regulierungsstandards aus, in denen festgelegt wird, wie die Institute die Eigenmittelanforderungen für das Marktrisiko bezüglich Anlagebuchpositionen, die einem Fremdwährungs- oder Warenpositionsrisiko unterliegen, gemäß den Ansätzen nach Absatz 3 Buchstaben a und b berechnen.
Die EBa übermittelt der Kommission diese Entwürfe technischer Regulierungsstandards bis zum 28. September 2020.
Der Kommission wird die Befugnis übertragen, die in Unterabsatz 1 genannten technischen Regulierungsstandards gemäß den Artikeln 10 bis 14 der Verordnung (EU) Nr. 1093/2010 zur Ergänzung dieser Verordnung zu erlassen.
Artikel 325a Befreiungen von den besonderen Meldepflichten für das Marktrisiko
(1) Ein Institut wird von der Meldepflicht gemäß Artikel 430b befreit, sofern der Umfang seiner bilanziellen und außerbilanziellen Geschäfte, die einem Marktrisiko unterliegen, auf der Grundlage einer monatlichen Bewertung anhand der Daten zum letzten Tag des Monats keinen der folgenden Schwellenwerte überschreitet:
(2) Institute berechnen den Umfang ihrer bilanziellen und außerbilanziellen Geschäfte, die einem Marktrisiko unterliegen, anhand der Daten zum letzten Tag jeden Monats gemäß den folgenden Anforderungen:
(3) Institute, die ihre Eigenmittelanforderungen für das Marktrisiko nach Maßgabe dieses Artikels berechnen oder nicht mehr berechnen, unterrichten die zuständigen Behörden entsprechend.
(4) Ein Institut das eine oder mehrere der Bedingungen nach Absatz 1 nicht mehr erfüllt, teilt dies der zuständigen Behörde unverzüglich mit.
(5) Die Geltungsdauer der Befreiung von den Meldepflichten gemäß Artikel 430b endet innerhalb von drei Monaten, nachdem einer der folgenden Fälle eingetreten ist:
(6) Ist ein Institut gemäß Absatz 5 des vorliegenden Artikels den Meldepflichten gemäß Artikel 430b unterstellt worden, so wird es von diesen Meldepflichten nur befreit, wenn es gegenüber der zuständigen Behörde nachweist, dass alle in Absatz 1 des vorliegenden Artikels genannten Bedingungen während eines Zeitraums von einem Jahr ununterbrochen erfüllt wurden.
(7) Die Institute gehen keine Position ein noch kaufen oder verkaufen sie eine Position allein zum Zweck der Einhaltung der in Absatz 1 genannten Bedingungen während der monatlichen Bewertung.
(8) Ein Institut, das für die Behandlung gemäß Artikel 94 in Frage kommt, wird von der Meldepflicht gemäß Artikel 430b befreit.
Artikel 325b Genehmigung von Anforderungen auf konsolidierter Basis
(1) Vorbehaltlich des Absatzes 2 und nur für die Zwecke der Berechnung der Nettopositionen und Eigenmittelanforderungen auf konsolidierter Basis gemäß diesem Titel dürfen Institute Positionen in einem Institut oder Unternehmen verwenden, um sie gegen Positionen in einem anderen Institut oder Unternehmen aufzurechnen.
(2) Institute dürfen Absatz 1 nur mit der Genehmigung der zuständigen Behörden anwenden, die gewährt wird, sofern alle folgenden Voraussetzungen erfüllt sind:
(3) Handelt es sich um in Drittländern niedergelassene Unternehmen, so sind zusätzlich zu den in Absatz 2 genannten Voraussetzungen alle folgenden Voraussetzungen zu erfüllen:
Kapitel 1A
Alternativer Standardansatz
Abschnitt 1
Allgemeine Bestimmungen
Artikel 325c Anwendungsbereich und Struktur des alternativen Standardansatzes
(1) Der alternative Standardansatz gemäß diesem Kapitel darf nur für die Zwecke der in Artikel 430b Absatz 1 festgelegten Meldepflichten angewandt werden.
(2) Die Institute berechnen die Eigenmittelanforderungen für das Marktrisiko gemäß dem alternativen Standardansatz für ein Portfolio von Handelsbuchpositionen oder Anlagebuchpositionen, die Fremdwährungs- oder Warenpositionsrisiken unterliegen, als Summe der folgenden drei Komponenten:
Abschnitt 2
Sensitivitätsgestützte Methode zur Berechnung der Eigenmittelanforderung
Artikel 325d Begriffsbestimmungen
Für die Zwecke dieses Kapitels bezeichnet der Ausdruck
1. "Risikoklasse" eine der folgenden sieben Kategorien:
- allgemeines Zinsrisiko;
- Kreditspreadrisiko (CSR) bei Nicht-Verbriefungspositionen;
- Kreditspreadrisiko bei nicht in das alternative Korrelationshandelsportfolio einbezogenen Verbriefungspositionen (CSR außerhalb des alternativen Korrelationshandelsportfolios);
- Kreditspreadrisiko bei in das alternative Korrelationshandelsportfolio einbezogenen Verbriefungspositionen (CSR des alternativen Korrelationshandelsportfolios);
- Aktienkursrisiko;
- Warenpositionsrisiko;
- Fremdwährungsrisiko;
2. "Sensitivität" die relative Veränderung des Werts einer Position infolge einer Veränderung des Werts einer der relevanten Risikofaktoren der Position, berechnet nach dem Bewertungsmodell des Instituts gemäß Abschnitt 3 Unterabschnitt 2;
3. "Unterklasse" eine Unterkategorie von Positionen innerhalb einer Risikoklasse mit ähnlichem Risikoprofil, der ein Risikogewicht gemäß Abschnitt 3 Unterabschnitt 1 zugewiesen wird.
Artikel 325e Komponenten der sensitivitätsgestützten Methode
(1) Institute berechnen die Eigenmittelanforderungen für das Marktrisiko anhand der sensitivitätsgestützten Methode durch Aggregation der drei folgenden Eigenmittelanforderungen gemäß Artikel 325h:
(2) Für die Zwecke der Berechnung nach Absatz 1 gilt Folgendes:
Für die Zwecke dieses Kapitels umfassen Instrumente mit Optionalität u. a. Kaufoptionen, Verkaufsoptionen, Optionen mit Ober- und Untergrenzen, Swaptions, Barrier-Optionen und exotische Optionen. Eingebettete Optionen, wie vorzeitige Rückzahlungsoptionen oder verhaltensabhängige Optionen, gelten für die Zwecke der Berechnung der Eigenmittelanforderungen für das Marktrisiko als eigenständige Positionen in Optionen.
Für die Zwecke dieses Kapitels werden Instrumente, deren Zahlungsströme als lineare Funktion des Nominalbetrags des Basiswerts geschrieben werden können, als Instrumente ohne Optionalität betrachtet.
(3) Abweichend von Absatz 2 Buchstabe b kann ein Institut sich dafür entscheiden, alle Positionen von Instrumenten ohne Optionalität mit den in Absatz 1 Buchstaben a und c genannten Eigenmittelanforderungen zu belegen.
Entscheidet sich ein Institut für die in Unterabsatz 1 dargelegte Vorgehensweise, teilt es dies der zuständigen Behörde mindestens drei Monate im Voraus mit. Nach Ablauf dieser drei Monate kann das Institut, sofern die zuständige Behörde dies nicht abgelehnt hat, wie beschrieben verfahren, bis die zuständige Behörde die Erlaubnis widerruft.
Will ein Institut die in Unterabsatz 1 dargelegte Vorgehensweise einstellen, so teilt es dies der zuständigen Behörde mindestens drei Monate im Voraus mit. Sofern die zuständige Behörde dies nicht innerhalb der drei Monate abgelehnt hat, kann das Institut diese Vorgehensweise einstellen.
Artikel 325f Eigenmittelanforderungen für Delta-Faktor- und Vega-Risiken
(1) Institute wenden bei der Berechnung der Eigenmittelanforderungen für die Delta-Faktor- und Vega-Risiken die in Abschnitt 3 Unterabschnitt 1 beschriebenen Delta- und Vega-Risikofaktoren an.
(2) Institute berechnen die Eigenmittelanforderungen für die Delta-Faktor- und Vega-Risiken nach dem Verfahren gemäß den Absätzen 3 bis 8.
(3) Die Sensitivität aller den Eigenmittelanforderungen für Delta-Faktor- und Vega-Risiken unterliegenden Instrumente gegenüber den anwendbaren Delta- oder Vega-Risikofaktoren der betreffenden Risikoklasse wird für jede Risikoklasse anhand der entsprechenden Formeln nach Abschnitt 3 Unterabschnitt 2 berechnet. Wenn der Wert eines Instruments von mehreren Risikofaktoren abhängt, wird die Sensitivität getrennt für jeden Risikofaktor ermittelt.
(4) Die Sensitivitäten werden innerhalb jeder Risikoklasse einer Unterklasse "b" zugeordnet.
(5) Innerhalb jeder Unterklasse "b" werden die positiven und negativen Sensitivitäten gegenüber dem gleichen Risikofaktor zu Netto-Sensitivitäten (sk) für jeden Risikofaktor k innerhalb einer Unterklasse aufgerechnet.
(6) Die Netto-Sensitivitäten jedes Risikofaktors innerhalb jeder Unterklasse werden mit den Risikogewichten nach Abschnitt 6 multipliziert, sodass jeder Risikofaktor der betreffenden Unterklasse eine gewichtete Sensitivität erhält, die nach folgender Formel berechnet wird:
WSk = RWk . sk
dabei gilt:
| WSk | = | die gewichteten Sensitivitäten; |
| RWk | = | die Risikogewichte; und |
| sk | = | der Risikofaktor. |
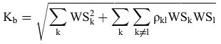
(7) Die gewichteten Sensitivitäten gegenüber den verschiedenen Risikofaktoren innerhalb jeder Unterklasse werden gemäß nachstehender Formel zur unterklassespezifischen Sensitivität aggregiert, wobei der Wert innerhalb der Quadratwurzelfunktion nicht niedriger als Null sein kann. Dabei werden die Korrelationen für gewichtete Sensitivitäten innerhalb der gleichen Unterklasse ρkl) nach Abschnitt 6 verwendet.
dabei gilt:
| Kb | = | die unterklassespezifische Sensitivität; und |
| WS | = | die gewichteten Sensitivitäten. |
(8) Die unterklassespezifische Sensitivität wird für jede Unterklasse innerhalb einer Risikoklasse gemäß den Absätzen 5, 6 und 7 berechnet. Nach Berechnung der unterklassespezifischen Sensitivität für alle Unterklassen werden die gewichteten Sensitivitäten aller Risikofaktoren über die einzelnen Unterklassen hinweg gemäß der nachstehenden Formel und unter Verwendung der entsprechenden Korrelationen γbc für gewichtete Sensitivitäten in verschiedenen Unterklassen nach Abschnitt 6 zu einer risikoklassespezifische Eigenmittelanforderung für ein Delta-Faktor- oder Vega-Risiko aggregiert:
Risikoklassespezifische Eigenmittelanforderung für ein Delta - Faktor - oder Vega - Risiko =
dabei entspricht
| Sb | = | Σk WSk allen Risikofaktoren der Unterklasse b und Sc = Σk WSk allen Risikofaktoren der Unterklasse c. Ergeben diese Werte für Sb und Sc eine negative Gesamtsumme von |
| Sb | = | max [min (Σk WSk, Kb), - Kb] allen Risikofaktoren der Unterklasse b und |
| Sc | = | max [min (Σk WSk, Kc), - Kc] allen Risikofaktoren der Unterklasse c entspricht. |
Die risikoklassespezifischen Eigenmittelanforderungen für das Delta-Faktor- oder Vega-Risiko werden für die einzelnen Risikoklassen gemäß den Absätzen 1 bis 8 berechnet.
Artikel 325g Eigenmittelanforderungen für das Krümmungsrisiko
(1) Außer für die in Absatz 3 genannten Risikofaktoren führen die Institute die in Absatz 2 festgelegten Berechnungen für jeden Risikofaktor der Instrumente durch, die der Eigenmittelanforderung für das Krümmungsrisiko unterliegen.
Die Institute führen diese Berechnungen für einen gegebenen Risikofaktor bei Instrumenten, die der Eigenmittelanforderung für das Krümmungsrisiko unterliegen und den betreffenden Risikofaktor aufweisen, über alle Positionen hinweg auf Nettobasis durch.
(2) Für einen gegebenen Risikofaktor k bei einem oder mehreren der in Absatz 1 genannten Instrumente berechnen die Institute die Aufwärts-Nettokrümmungsrisikoposition
und die Abwärts-Nettokrümmungsrisikoposition
wie folgt:
Dabei gilt:
| i | = | Index aller Positionen der in Absatz 1 genannten Instrumente mit dem Risikofaktor k; |
| xk | = | aktueller Wert des Riskofaktors k; |
| Vi (xk) | = | Wert des Instruments i gemäß dem Bewertungsmodell des Instituts unter Zugrundelegung des aktuellen Werts des Risikofaktors k; |
![]() |
Wert des Instruments i gemäß dem Bewertungsmodell des Instituts unter Zugrundelegung eines Wertanstiegs bei Risikofaktor k; | |
![]() |
= | Wert des Instruments i gemäß dem Bewertungsmodell des Instituts unter Zugrundelegung eines Wertverlusts bei Risikofaktor k; |
![]() |
= | gemäß Abschnitt 6 bestimmtes Risikogewicht für Risikofaktor k; |
| sik | = | gemäß Artikel 325r berechnete Delta-Sensitivität des Instruments i gegenüber dem Risikofaktor k. |
(3) Abweichend von Absatz 2 führen die Institute die in Absatz 6 festgelegten Berechnungen bei Kurven von Risikofaktoren, die den Risikoklassen allgemeines Zinsrisiko (GIRR), Kreditspreadrisiko (CSR) und Warenpositionsrisiko zuzuordnen sind, auf Ebene der gesamten Kurve und nicht auf Ebene der einzelnen Risikofaktoren der Kurve durch.
Für die Zwecke der in Absatz 2 genannten Berechnung istsik für den Fall, dassxk eine Kurve von Risikofaktoren der Risikoklassen GIRR, CSR und Warenpositionsrisiko ist, die Summe der Delta-Sensitivitäten gegenüber dem Risikofaktor der Kurve über alle Laufzeiten der Kurve hinweg.
(4) Um auf Ebene der Unterklasse eine Eigenmittelanforderung für das Krümmungsrisiko zu bestimmen, aggregieren die Institute die gemäß Absatz 2 berechneten Aufwärts- und Abwärts-Nettokrümmungsrisikopositionen aller Risikofaktoren, die dieser Unterklasse gemäß Abschnitt 3 Unterabschnitt 1 zugeordnet werden, nach folgender Formel:
Dabei gilt:
| b | = | Index einer Unterklasse einer bestimmten Risikoklasse; |
| Kb | = | Eigenmittelanforderungen für das Krümmungsrisiko bei Unterklasse b; |
| pkl | = | in Abschnitt 6 vorgeschriebene Korrelationen zwischen den Risikofaktoren k und l innerhalb der Unterklasse; |
| k, l | = | Indizes aller Risikofaktoren der in Absatz 1 genannten Instrumente, die der Unterklasse b zugeordnet werden; |
![]() |
= | Aufwärts-Nettokrümmungsrisikoposition; |
![]() |
= | Abwärts-Nettokrümmungsrisikoposition. |
(5) Abweichend von Absatz 4 werden bei Unterklasse 18 des Artikels 325ah, Unterklasse 18 des Artikels 325ak, Unterklasse 25 des Artikels 325am und Unterklasse 11 des Artikels 325ap die Eigenmittelanforderungen für das Krümmungsrisiko auf Ebene der Unterklasse nach folgender Formel berechnet:
(6) Die Institute berechnen die Risikoklasse-Eigenmittelanforderungen (RCCR) für das Krümmungsrisiko, indem sie alle in der betreffenden Risikoklasse auf Ebene der Unterklasse bestehenden Eigenmittelanforderungen für das Krümmungsrisiko wie folgt aggregieren:
Dabei gilt:
| b, c | = | Indizes aller Unterklassen einer bestimmten Risikoklasse, die den in Absatz 1 genannten Instrumenten entspricht; |
| Kb | = | Eigenmittelanforderungen für das Krümmungsrisiko bei Unterklasse b; |
| γbc | = | in Abschnitt 6 festgelegte, zwischen den Unterklassen bestehende Korrelationen zwischen den Unterklassen b und c. |
(7) Die Eigenmittelanforderung für das Krümmungsrisiko ist die Summe der Risikoklasse-Eigenmittelanforderungen für das Krümmungsrisiko, die gemäß Absatz 6 über all diejenigen Risikoklassen hinweg berechnet werden, die zumindest einen Risikofaktor der in Absatz 1 genannten Instrumente aufweisen.
Artikel 325h Aggregation der risikoklassespezifischen Eigenmittelanforderungen für Delta-Faktor-, Vega- und Krümmungsrisiken
(1) Institute aggregieren die risikoklassespezifischen Eigenmittelanforderungen für Delta-Faktor-, Vega- und Krümmungsrisiken nach dem Verfahren gemäß den Absätzen 2, 3 und 4.
(2) Das in den Artikeln 325f und 325g beschriebene Verfahren zur Berechnung der risikoklassespezifischen Eigenmittelanforderungen für Delta-Faktor-, Vega- und Krümmungsrisiken wird für jede Risikoklasse drei Mal unter Verwendung eines jeweils unterschiedlichen Satzes von Korrelationsparametern ρkl (Korrelation zwischen Risikofaktoren innerhalb einer Unterklasse) und γbc (Korrelation zwischen Unterklassen einer Risikoklasse) durchgeführt. Jeder dieser drei Sätze entspricht einem unterschiedlichen Szenario wie im Folgenden dargelegt:
ersetzt werden.(3) Institute berechnen zur Bestimmung der drei szenariospezifischen Eigenmittelanforderungen die Summe der risikoklassespezifischen Eigenmittelanforderungen für Delta-Faktor-, Vega- und Krümmungsrisiken für jedes Szenario.
(4) Die gemäß der sensitivitätsgestützten Methode ermittelte Eigenmittelanforderung ist die höchste der drei szenariospezifischen Eigenmittelanforderungen nach Absatz 3.
Artikel 325i Behandlung von Indexinstrumenten und Instrumenten mit multiplen Basiswerten
(1) Bei Indexinstrumenten und Instrumenten mit multiplen Basiswerten verfahren die Institute nach dem Transparenzansatz und gehen dabei wie folgt vor:
(2) Abweichend von Absatz 1 Buchstabe a können die Institute für die Berechnung der Eigenmittelanforderungen für das Delta-Faktor- und das Krümmungsrisiko eine einzige Sensitivität gegenüber einer Position in einem börsennotierten Aktien- oder Kreditindex berechnen, wenn der börsennotierte Aktien- oder Kreditindex die in Absatz 3 festgelegten Bedingungen erfüllt. In diesem Fall ordnen die Institute die einzige Sensitivität gemäß Abschnitt 6 Unterabschnitt 1 der betreffenden Unterklasse zu und verfahren dabei wie folgt:
(3) Bei Instrumenten, die auf einen börsennotierten Aktien- oder Kreditindex bezogen sind, können die Institute gemäß Absatz 2 verfahren, wenn alle folgenden Bedingungen erfüllt sind:
(4) Ein Institut verfährt mit allen Instrumenten, die auf einen börsennotierten Aktien- oder Kreditindex bezogen sind, der die in Absatz 3 genannten Bedingungen erfüllt, durchgängig nur nach Absatz 1 oder nur nach Absatz 2. Bevor ein Institut von einem Ansatz zum anderen wechselt, holt es die Erlaubnis der zuständigen Behörde ein.
(5) Wenn für einen Index oder ein sonstiges Instrument mit multiplen Basiswerten das Delta-Faktor und das Krümmungsrisiko berechnet werden, müssen die eingegebenen Sensitivitäten konsistent sein, unabhängig davon, nach welchem Ansatz bei diesem Instrument verfahren wird.
(6) Indexinstrumente oder Instrumente mit multiplen Basiswerten, die wie in Artikel 325u Absatz 5 dargelegt mit Restrisiken verbunden sind, werden mit dem in Abschnitt 4 vorgesehenen Aufschlag für Restrisiken belegt."
Artikel 325j Behandlung von Organismen für Gemeinsame Anlagen (OGA)
(1) Ein Institut berechnet die Eigenmittelanforderungen für das Marktrisiko einer OGA-Position nach einem der folgenden Ansätze:
Verfährt ein Institut nach einem der unter Buchstabe b festgelegten Ansätze, so wendet es die in Abschnitt 5 dieses Kapitels festgelegte Eigenmittelanforderung für das Ausfallrisiko und den in Abschnitt 4 dieses Kapitels festgelegten Aufschlag für Restrisiken an, wenn das Mandat des OGa impliziert, dass einige Risikopositionen im OGa mit den genannten Eigenmittelanforderungen zu belegen sind.
Verfährt ein Institut nach dem unter Buchstabe b Ziffer ii festgelegten Ansatz, so kann es die Eigenmittelanforderungen für das Gegenparteiausfallrisiko und die Eigenmittelanforderungen für das Risiko einer Anpassung der Kreditbewertung bei Derivatpositionen des OGa anhand des in Artikel 132a Absatz 3 festgelegten vereinfachten Verfahrens berechnen.
(2) Abweichend von Absatz 1 kann ein Institut, das eine Position in einem OGa hält, der eine Index-Benchmark nachbildet, sodass die Differenz zwischen der Jahresrendite des OGa und der von diesem nachgebildeten Index-Benchmark in den vorangegangenen zwölf Monaten ohne Gebühren und Provisionen in absoluten Zahlen unter 1 % liegt, diese Position als eine einzelne Position in der nachgebildeten Index-Benchmark behandeln. Ob diese Bedingung erfüllt ist, überprüft das Institut, wenn es die Position eingeht und danach mindestens einmal jährlich.
Liegen nicht für den gesamten vorangegangenen Zwölfmonatszeitraum Daten vor, kann ein Institut mit Erlaubnis der zuständigen Behörde hinsichtlich der Differenz zwischen den Jahresrenditen Daten aus einem Zeitraum von weniger als zwölf Monaten verwenden.
(3) Ein Institut kann für seine OGA-Positionen auf eine Kombination der in Absatz 1 Buchstaben a, b und c dargelegten Ansätze zurückgreifen. Allerdings darf ein Institut bei den Positionen in ein und demselben OGa nur nach einem dieser Ansätze verfahren.
(4) Für die Zwecke von Absatz 1 Buchstabe b führt ein Institut seine Berechnungen wie folgt durch:
Die Eigenmittelanforderungen für sämtliche Positionen in ein und demselben OGA, für die auf die in Unterabsatz 1 genannten Berechnungen zurückgegriffen wird, werden für sich genommen als separates Portfolio nach dem in diesem Kapitel festgelegten Ansatz berechnet.
(5) Ein Institut darf nur nach den in Absatz 1 Buchstaben a oder b genannten Ansätzen verfahren, wenn der OGa alle in Artikel 132 Absatz 3 und Artikel 132 Absatz 4 Buchstabe a genannten Bedingungen erfüllt.
Artikel 325k Mit einer Übernahmegarantie versehene Positionen
(1) Institute können die Eigenmittelanforderungen für das Marktrisiko von mit einer Übernahmegarantie versehenen Positionen in Schuld- oder Eigenkapitalinstrumenten nach dem in diesem Artikel beschriebenen Verfahren berechnen.
(2) Institute wenden einen der einschlägigen Multiplikationsfaktoren gemäß Tabelle 1 auf die Netto-Sensitivitäten aller mit einer Übernahmegarantie versehenen Positionen in den einzelnen Emittenten an, außer bei Übernahmepositionen, die Dritte auf der Grundlage einer förmlichen Vereinbarung gezeichnet oder mitgarantiert haben, und berechnen die Eigenmittelanforderungen für das Marktrisiko gemäß dem in diesem Kapitel dargelegten Ansatz auf der Grundlage der bereinigten Netto-Sensitivitäten.
| Geschäftstag 0 | 0 % |
| Geschäftstag 1 | 10 % |
| Geschäftstage 2 und 3 | 25 % |
| Geschäftstag 4 | 50 % |
| Geschäftstag 5 | 75 % |
| nach Geschäftstag 5 | 100 % |
Für die Zwecke dieses Artikels bezeichnet "Geschäftstag 0" den Geschäftstag, an dem das Institut die uneingeschränkte Verpflichtung eingegangen ist, eine bestimmte Menge von Wertpapieren zu einem vereinbarten Preis zu übernehmen.
(3) Institute benachrichtigen die zuständigen Behörden über die Anwendung des in diesem Artikel festgelegten Verfahrens.
Abschnitt 3
Bestimmung der Begriffe "Risikofaktor" und "Sensitivität"
Unterabschnitt 1
Bestimmung des Begriffs "Risikofaktor"
Artikel 325l Risikofaktoren des allgemeinen Zinsrisikos
(1) Für alle Risikofaktoren des allgemeinen Zinsrisikos, einschließlich des Inflationsrisikos und des Basis-Währungsrisikos, gibt es eine Unterklasse pro Währung mit jeweils anderen Arten von Risikofaktoren.
Die für zinsreagible Instrumente geltenden Delta-Risikofaktoren des allgemeinen Zinsrisikos sind die maßgeblichen risikofreien Zinssätze pro Währung für jede der folgenden Laufzeiten: 0,25 Jahre, 0,5 Jahre, 1 Jahr, 2 Jahre, 3 Jahre, 5 Jahre, 10 Jahre, 15 Jahre, 20 Jahre, 30 Jahre. Institute weisen den spezifizierten Punkten Risikofaktoren zu, und zwar entweder per linearer Interpolation oder mittels einer Methode, die am besten mit den Bewertungsfunktionen der unabhängigen Risikokontrollstelle des Instituts zur Meldung des Marktrisikos oder von Gewinnen und Verlusten an das höhere Management vereinbar ist.
(2) Institute bestimmen die risikofreien Renditesätze pro Währung aus den im Handelsbuch des Instituts geführten Geldmarktinstrumenten mit dem niedrigsten Kreditrisiko, wie Tagesgeldsatz-Swaps.
(3) Können Institute den Ansatz nach Absatz 2 nicht anwenden, so basieren die risikofreien Zinssätze auf einer oder mehreren marktimplizierten Swapkurven, die das Institut zur Bewertung von Positionen am Markt verwendet, wie die Zins-Swapkurven des Interbankengeschäfts.
Gibt es keine ausreichenden Daten über marktimplizierte Swapkurven gemäß Absatz 2 und Unterabsatz 1, so können die risikofreien Zinssätze für eine bestimmte Währung aus der am besten geeigneten Kurve für Staatsanleihen abgeleitet werden.
Verwenden Institute für öffentliche Schuldtitel die gemäß dem Verfahren nach Unterabsatz 2 abgeleiteten Risikofaktoren des allgemeinen Zinsrisikos, so wird das betreffende öffentliche Schuldinstrument nicht von den Eigenmittelanforderungen für das Kreditspreadrisiko ausgenommen. Ist es in diesen Fällen nicht möglich, den risikofreien Zinssatz von der Komponente des Kreditspreadrisikos zu trennen, so wird die Sensitivität gegenüber dem Risikofaktor beiden Risikoklassen ("allgemeines Zinsrisiko" und "Kreditspreadrisiko") zugeordnet.
(4) Bei Risikofaktoren des allgemeinen Zinsrisikos stellt jede Währung eine eigene Unterklasse dar. Institute weisen Risikofaktoren innerhalb der gleichen Unterklasse, aber mit unterschiedlichen Laufzeiten unterschiedliche Risikogewichte gemäß Abschnitt 6 zu.
Institute wenden auf Schuldtitel, deren Zahlungsströme funktional von Inflationsraten abhängig sind, zusätzliche Risikofaktoren des Inflationsrisikos an. Diese zusätzlichen Risikofaktoren bestehen aus einem Vektor für marktimplizierte Inflationsraten verschiedener Laufzeiten pro Währung. Der Vektor enthält für jedes Instrument so viele Komponenten wie Inflationsraten im Bewertungsmodell des Instituts für dieses Instrument als Variablen verwendet werden.
(5) Institute berechnen die Sensitivität des Instruments gegenüber dem zusätzlichen Risikofaktor des Inflationsrisikos nach Absatz 4 als Veränderung des Werts des Instruments gemäß ihrem Bewertungsmodell infolge einer Verschiebung jeder Komponente des Vektors um einen Basispunkt. Jede Währung stellt eine eigene Unterklasse dar. Institute behandeln, ungeachtet der Anzahl der Komponenten jedes Vektors, die Inflation innerhalb jeder Unterklasse als eigenen Risikofaktor. Institute nehmen innerhalb der Unterklassen eine Aufrechnung der gemäß diesem Absatz berechneten Inflationssensitivitäten vor, um pro Unterklasse eine einzige Netto-Sensitivität zu erhalten.
(6) Schuldtitel, die Zahlungen in verschiedenen Währungen implizieren, unterliegen in Bezug auf diese Währungen auch einem Basis-Währungsrisiko. Für die Zwecke der sensitivitätsgestützten Methode wenden Institute als Risikofaktoren das Basis-Währungsrisiko jeder Währung gegenüber dem US-Dollar oder Euro an. Institute rechnen die Währungsbasen, die sich nicht auf die Basis zu US-Dollar oder die Basis zu Euro beziehen, entweder als Basis zu US-Dollar oder Basis zu Euro.
Die Risikofaktoren des Basis-Währungsrisikos bestehen aus je einem Vektor für eine Währungsbasis mit verschiedenen Laufzeiten pro Währung. Der Vektor enthält für jedes Schuldinstrument so viele Komponenten wie Währungsbasen im Bewertungsmodell des Instituts für dieses Instrument als Variablen verwendet werden. Jede Währung stellt eine unterschiedliche Unterklasse dar.
Institute berechnen die Sensitivität des Instruments gegenüber dem Risikofaktor des Basis-Währungsrisikos als Veränderung des gemäß ihrem Bewertungsmodell ermittelten Werts des Instruments infolge einer Verschiebung jeder Komponente des Vektors um einen Basispunkt. Jede Währung stellt eine eigene Unterklasse dar. Innerhalb jeder Unterklasse gibt es unabhängig von der Anzahl der Komponenten der einzelnen Währungsbasisvektoren zwei mögliche getrennte Risikofaktoren: Basis zu Euro und Basis zu US-Dollar. Pro Unterklasse kann es höchstens zwei Netto-Sensitivitäten geben.
(7) Die für Optionen mit zinsreagiblen Basiswerten geltenden Vega-Risikofaktoren des allgemeinen Zinsrisikos entsprechen den impliziten Volatilitäten der maßgeblichen risikofreien Zinssätze gemäß den Absätzen 2 und 3, die je nach Währung Unterklassen zugeteilt und innerhalb der Unterklasse folgenden Laufzeiten zugeordnet werden: 0,5 Jahre, 1 Jahr, 3 Jahre, 5 Jahre, 10 Jahre. Es gibt eine Unterklasse pro Währung.
Für Netting-Zwecke betrachten Institute implizite Volatilitäten, die den gleichen risikofreien Zinssätzen und den gleichen Laufzeiten zugeordnet sind, als gleichen Risikofaktor.
Wenn Institute implizite Volatilitäten den Laufzeiten gemäß diesem Absatz zuordnen, gelten folgende Anforderungen:
(8) Die von den Instituten anzuwendenden Krümmungsrisikofaktoren des allgemeinen Zinsrisikos bestehen aus einem Vektor für die im Hinblick auf eine spezifische risikofreie Ertragskurve repräsentativen risikofreien Zinssätze pro Währung. Jede Währung stellt eine unterschiedliche Unterklasse dar. Der Vektor enthält für jedes Instrument so viele Komponenten wie unterschiedliche Laufzeiten risikofreier Zinssätze im Bewertungsmodell des Instituts für dieses Instrument als Variablen verwendet werden.
(9) Institute berechnen die Sensitivität des Instruments gegenüber jedem Risikofaktor, der in der Krümmungsrisikoformel gemäß Artikel 325g verwendet wird. Für die Zwecke des Krümmungsrisikos betrachten Institute Vektoren unterschiedlicher Ertragskurven und mit unterschiedlicher Anzahl von Komponenten als gleichen Risikofaktor, sofern die Vektoren sich auf die gleiche Währung beziehen. Institute nehmen eine Aufrechnung der Sensitivitäten gegenüber dem gleichen Risikofaktor vor. Es gibt nur eine Netto-Sensitivität pro Unterklasse.
Es gibt keine Eigenmittelanforderungen in Bezug auf das Krümmungsrisiko für das Inflations- und das Basis-Währungsrisiko.
Artikel 325m Risikofaktoren des Kreditspreadrisikos bei Nicht-Verbriefungspositionen
(1) Bei Nicht-Verbriefungsinstrumenten mit Sensitivität gegenüber dem Kreditspreadrisiko wenden Institute als Delta-Risikofaktoren des Kreditspreadrisikos die Kreditspread-Sätze der Emittenten für diese Instrumente an, die aus den betreffenden Schuldtiteln und Kreditausfallswaps abgeleitet und den folgenden Laufzeiten zugeordnet werden: 0,5 Jahre, 1 Jahr, 3 Jahre, 5 Jahre, 10 Jahre. Institute wenden einen Risikofaktor pro Emittent und Laufzeit an, unabhängig davon, ob die Kreditspread-Sätze des Emittenten aus Schuldtiteln oder Kreditausfallswaps abgeleitet sind. Die Unterklassen sind sektorale Unterklassen gemäß Abschnitt 6, und jede Unterklasse enthält alle dem jeweiligen Sektor zugeordneten Risikofaktoren.
(2) Bei Optionen, denen Nicht-Verbriefungspositionen mit Sensitivität gegenüber dem Kreditspreadrisiko zugrunde liegen, wenden Institute als Vega-Risikofaktoren des Kreditspreadrisikos die impliziten Volatilitäten der gemäß Absatz 1 abgeleiteten Kreditspread-Sätze des Emittenten der Basiswerte an, die je nach Laufzeit der den Eigenmittelanforderungen unterliegenden Option folgenden Laufzeiten zugeordnet werden: 0,5 Jahre, 1 Jahr, 3 Jahre, 5 Jahre, 10 Jahre. Verwendet werden die gleichen Unterklassen wie für das Delta-Kreditspreadrisiko bei Nicht-Verbriefungspositionen.
(3) Bei Nicht-Verbriefungsinstrumenten wenden Institute als Krümmungsrisikofaktoren des Kreditspreadrisikos einen Vektor für im Hinblick auf eine Kreditspread-Kurve eines bestimmten Emittenten repräsentative Kreditspread-Sätze an. Der Vektor enthält für jedes Instrument so viele Komponenten wie unterschiedliche Laufzeiten von Kreditspread-Sätzen im Bewertungsmodell des Instituts für dieses Instrument als Variablen verwendet werden. Verwendet werden die gleichen Unterklassen wie für das Delta-Kreditspreadrisiko bei Nicht-Verbriefungspositionen.
(4) Institute berechnen die Sensitivität des Instruments gegenüber jedem Risikofaktor, der in der Krümmungsrisikoformel gemäß Artikel 325g verwendet wird. Für die Zwecke des Krümmungsrisikos betrachten Institute von einschlägigen Schuldtiteln oder Kreditausfallswaps abgeleitete Vektoren mit einer unterschiedlichen Anzahl von Komponenten als gleichen Risikofaktor, sofern die Vektoren sich auf den gleichen Emittenten beziehen.
Artikel 325n Risikofaktoren des Kreditspreadrisikos bei Verbriefungspositionen
(1) Institute wenden auf Verbriefungspositionen, die in das alternative Korrelationshandelsportfolio gemäß Artikel 325 Absätze 6, 7 und 8 einbezogen sind, die Risikofaktoren des Kreditspreadrisikos nach Absatz 3 an.
Institute wenden auf Verbriefungspositionen, die nicht in das alternative Korrelationshandelsportfolio gemäß Artikel 325 Absätze 6, 7 und 8 einbezogen sind, die Risikofaktoren des Kreditspreadrisikos nach Absatz 5 an.
(2) Für das Kreditspreadrisiko bei Verbriefungspositionen, die in das alternative Korrelationshandelsportfolio einbezogen sind, gelten die gleichen Unterklassen wie für das Kreditspreadrisiko bei Nicht-Verbriefungspositionen gemäß Abschnitt 6.
Für das Kreditspreadrisiko bei nicht in das alternative Korrelationshandelsportfolio einbezogenen Verbriefungspositionen gelten spezifische Unterklassen für die betreffende Risikoklassenkategorie gemäß Abschnitt 6.
(3) Institute wenden auf in das alternative Korrelationshandelsportfolio einbezogene Verbriefungspositionen folgende Risikofaktoren des Kreditspreadrisikos an:
(4) Institute berechnen die Sensitivität der Verbriefungsposition gegenüber jedem Risikofaktor, der in der Krümmungsrisikoformel gemäß Artikel 325g verwendet wird. Für die Zwecke des Krümmungsrisikos betrachten Institute von einschlägigen Schuldtiteln oder Kreditausfallswaps abgeleitete Vektoren mit einer unterschiedlichen Anzahl von Komponenten als gleichen Risikofaktor, sofern die Vektoren sich auf den gleichen Emittenten beziehen.
(5) Die Risikofaktoren des Kreditspreadrisikos, die von Instituten auf nicht in das alternative Korrelationshandelsportfolio einbezogene Verbriefungspositionen anzuwenden sind, beziehen sich nicht auf den Spread der zugrunde liegenden Instrumente, sondern auf den Spread der Tranche und entsprechen folgenden Risikofaktoren:
Artikel 325o Risikofaktoren des Aktienkursrisikos
(1) Für alle Risikofaktoren des Aktienkursrisikos gelten die Unterklassen gemäß Abschnitt 6.
(2) Institute wenden als Delta-Risikofaktoren des Aktienkursrisikos alle Eigenkapital-Kassakurse und alle Eigenkapital-Reposätze an.
Für die Zwecke des Aktienkursrisikos gilt eine spezifische Eigenkapital-Repokurve als ein einziger Risikofaktor, der als Vektor von Reposätzen unterschiedlicher Laufzeiten ausgedrückt wird. Der Vektor enthält für jedes Instrument so viele Komponenten wie unterschiedliche Laufzeiten von Reposätzen im Bewertungsmodell des Instituts für dieses Instrument als Variablen verwendet werden.
Institute berechnen die Sensitivität eines Instruments gegenüber einem Risikofaktor des Aktienkursrisikos als Veränderung des gemäß ihrem Bewertungsmodell ermittelten Werts des Instruments infolge einer Verschiebung jeder Komponente des Vektors um einen Basispunkt. Institute nehmen unabhängig von der Anzahl der Komponenten der einzelnen Vektoren eine Aufrechnung der Sensitivitäten gegenüber dem Reposatz-Risikofaktor des gleichen Eigenkapitaltitels vor.
(3) Bei Optionen, deren Basiswerte eine Sensitivität gegenüber dem Aktienkursrisiko aufweisen, wenden Institute als Vega-Risikofaktoren die impliziten Volatilitäten der Aktien-Kassakurse an, die je nach Laufzeit der Eigenmittelanforderungen unterliegenden Optionen folgenden Laufzeiten zugeordnet werden: 0,5 Jahre, 1 Jahr, 3 Jahre, 5 Jahre, 10 Jahre. Es gibt keine Eigenmittelanforderungen für das Vega-Risiko von Eigenkapital-Reposätzen.
(4) Bei Optionen, deren Basiswerte eine Sensitivität gegenüber dem Aktienkursrisiko aufweisen, wenden Institute als Krümmungsrisikofaktoren alle Aktien-Kassakurse, unabhängig von der Laufzeit der entsprechenden Optionen, an. Es gibt keine Eigenmittelanforderungen für das Krümmungsrisiko von Eigenkapital-Reposätzen.
Artikel 325p Risikofaktoren des Warenpositionsrisikos
(1) Für alle Risikofaktoren des Warenpositionsrisikos gelten die sektoralen Unterklassen gemäß Abschnitt 6.
(2) Bei Instrumenten mit Sensitivität gegenüber dem Warenpositionsrisiko wenden Institute als Delta-Risikofaktoren des Warenpositionsrisikos alle Waren-Kassakurse pro Warenart für jede der folgenden Laufzeiten an: 0,25 Jahre, 0,5 Jahre, 1 Jahr, 2 Jahre, 3 Jahre, 5 Jahre, 10 Jahre, 15 Jahre, 20 Jahre, 30 Jahre. Institute betrachten zwei Rohstoffpreise der gleichen Warenart mit gleicher Laufzeit nur dann als gleichen Risikofaktor, wenn die rechtlichen Bestimmungen in Bezug auf den Lieferort identisch sind.
(3) Bei Optionen, deren Basiswerte eine Sensitivität gegenüber dem Warenpositionsrisiko aufweisen, wenden Institute als Vega-Risikofaktoren des Warenpositionsrisikos die impliziten Volatilitäten der Rohstoffpreise pro Warenart an, die je nach Laufzeit der Eigenmittelanforderungen unterliegenden Optionen folgenden Laufzeiten zugeordnet werden: 0,5 Jahre, 1 Jahr, 3 Jahre, 5 Jahre, 10 Jahre. Institute betrachten Sensitivitäten gegenüber der gleichen Warenart mit der gleichen Laufzeit als einen einzigen Risikofaktor, den sie aufrechnen.
(4) Bei Optionen, deren Basiswerte eine Sensitivität gegenüber dem Warenpositionsrisiko aufweisen, wenden Institute als Krümmungsrisikofaktoren des Warenpositionsrisikos einen Satz von Rohstoffpreisen mit unterschiedlichen Laufzeiten pro Warenart an, ausgedrückt als Vektor. Der Vektor enthält für jedes Instrument so viele Komponenten wie Preise für diesen Rohstoff im Bewertungsmodell des Instituts für dieses Instrument als Variablen verwendet werden. Institute nehmen bei den Rohstoffpreisen keine Unterscheidung nach dem Lieferort vor.
Die Sensitivität des Instruments gegenüber jedem in der Krümmungsrisikoformel verwendeten Risikofaktor wird gemäß Artikel 325g berechnet. Für die Zwecke des Krümmungsrisikos betrachten Institute Vektoren mit einer unterschiedlichen Anzahl von Komponenten als gleichen Risikofaktor, sofern sich diese Vektoren auf die gleiche Warenart beziehen.
Artikel 325q Risikofaktoren des Fremdwährungsrisikos
(1) Bei Instrumenten mit Sensitivität gegenüber dem Fremdwährungsrisiko wenden Institute als Delta-Faktor-Risikofaktoren des Fremdwährungsrisikos alle Devisenkassakurse zwischen der Währung, auf die ein Instrument lautet, und der Währung der Rechnungslegung des Instituts oder für den Fall, dass das Institut gemäß Absatz 7 eine Basiswährung verwendet, der Basiswährung des Instituts an. Es gibt eine Unterklasse pro Währungspaar mit einem einzigen Risikofaktor und einer einzigen Netto-Sensitivität.
(2) Bei Optionen, deren Basiswerte eine Sensitivität gegenüber dem Fremdwährungsrisiko aufweisen, wenden Institute als Vega-Risikofaktoren des Fremdwährungsrisikos die impliziten Volatilitäten der Wechselkurse zwischen den Währungspaaren gemäß Absatz 1 an. Diese impliziten Volatilitäten der Wechselkurse werden je nach Laufzeit der Eigenmittelanforderungen unterliegenden Optionen folgenden Laufzeiten zugeordnet: 0,5 Jahre, 1 Jahr, 3 Jahre, 5 Jahre, 10 Jahre.
(3) Bei Instrumenten, deren Basiswerte eine Sensitivität gegenüber dem Fremdwährungsrisiko aufweisen, wenden Institute als Krümmungsrisikofaktoren des Fremdwährungsrisikos die in Absatz 1 genannten Delta-Faktor-Risikofaktoren des Fremdwährungsrisikos an.
(4) Die Institute sind nicht dazu verpflichtet, bei allen Delta,- Vega- und Krümmungsrisikofaktoren des Fremdwährungsrisikos zwischen Onshore- und Offshore-Varianten einer Währung zu unterscheiden.
(5) Bezieht sich ein Wechselkurs, der einem Instrument i zugrunde liegt, das mit Eigenmittelanforderungen für das Krümmungsrisiko belegt ist, weder auf die Rechnungslegungswährung noch auf die Basiswährung des Instituts, kann das Institut die in Artikel 325g Absatz 2 festgelegten entsprechenden Komponenten
und
, bei denenxk der Fremdwährungsrisikofaktor zwischen einer der beiden Währungen des zugrunde liegenden Wechselkurses und der Rechnungslegungswährung oder gegebenenfalls der Basiswährung des Instituts ist, durch 1,5 dividieren.
(6) Bei entsprechender Erlaubnis der zuständigen Behörde kann ein Institut die in Artikel 325g Absatz 2 festgelegten Komponenten
und
bei allen Fremdwährungsrisikofaktoren von Instrumenten, die sich auf einen Wechselkurs beziehen und einer Eigenmittelanforderung für das Krümmungsrisiko unterliegen, durchgängig durch 1,5 dividieren, sofern alle etwaigen Fremdwährungsrisikofaktoren im Zusammenhang mit der Rechnungslegungswährung des Instituts oder gegebenenfalls der Basiswährung des Instituts, die in die Berechnung dieser Komponenten einbezogen werden, gleichzeitig verschoben werden.
(7) Abweichend von den Absätzen 1 und 3 kann ein Institut bei entsprechender Erlaubnis der zuständigen Behörde bei allen Devisenkassakursen für die Angabe der Delta-Faktor- und Krümmungsrisikofaktoren des Fremdwährungsrisikos seine Rechnungslegungswährung durch eine andere Währung ("die Basiswährung") ersetzen, wenn alle nachstehend genannten Voraussetzungen erfüllt sind:
Ein Institut, dem gemäß Unterabsatz 1 die Verwendung einer Basiswährung gestattet wurde, rechnet die daraus resultierenden Eigenmittelanforderungen für das Fremdwährungsrisiko in die Rechnungslegungswährung um und verwendet dabei den aktuellen Devisenkassakurs für den Umtausch zwischen Basiswährung und Rechnungslegungswährung.
Unterabschnitt 2
Begriffsbestimmungen von Sensitivitäten
Artikel 325r Delta-Risikosensitivitäten
(1) Institute berechnen die Delta-Sensitivitäten gegenüber dem allgemeinen Zinsrisiko wie folgt:
dabei gilt:
| = | die Sensitivitäten gegenüber Risikofaktoren aus risikofreien Zinssätzen; | |
| rkt | = | der Satz einer risikofreien Kurve k mit der Laufzeit t; |
| Vi (.) | = | die Bewertungsfunktion des Instruments i; und |
| x,y | = | andere Risikofaktoren als rkt in der Bewertungsfunktion Vi; |
dabei gilt:
![]() |
= | die Sensitivitäten gegenüber Risikofaktoren aus Inflationsrisiko und Basis-Währungsrisiko; |
![]() |
= | ein Vektor mit m Komponenten für die implizite Inflationskurve oder die Währungsbasiskurve einer bestimmten Währung j, wobei m der Anzahl der im Bewertungsmodell des Instruments i verwendeten inflations- oder währungsrelevanten Variablen entspricht; |
![]() |
= | die Einheitsmatrix der Dimension (1 . m); |
| Vi (.) | = | die Bewertungsfunktion des Instruments i; und |
| y, z | = | sonstige Variablen des Bewertungsmodells. |
(2) Institute berechnen die Delta-Risikosensitivitäten gegenüber dem Kreditspreadrisiko für alle Verbriefungs- und Nicht-Verbriefungspositionen wie folgt:
dabei gilt:
![]() |
= | die Delta-Risikosensitivitäten gegenüber dem Kreditspreadrisiko für alle Verbriefungs- und Nicht-Verbriefungspositionen; |
| cskt | = | der Wert des Kreditspread-Satzes eines Emittenten j bei Fälligkeit t; |
| Vi (.) | = | die Bewertungsfunktion des Instruments i; und |
| x,y | = | andere Risikofaktoren als cskt in der Bewertungsfunktion Vi. |
(3) Institute berechnen die Delta-Risikosensitivitäten gegenüber dem Aktienkursrisiko wie folgt:
dabei gilt:
| sk | = | die Sensitivitäten gegenüber den Risikofaktoren aus Eigenkapital-Kassakursen; |
| k | = | ein spezifischer Eigenkapitaltitel; |
| EQk | = | der Wert des Kassakurses dieses Eigenkapitaltitels; |
| Vi (.) | = | die Bewertungsfunktion des Instruments i; und |
| x,y | = | andere Risikofaktoren als EQk in der Bewertungsfunktion Vi; |
dabei gilt:
![]() |
= | die Sensitivitäten gegenüber Risikofaktoren aus Eigenkapital-Reposätzen; |
| k | = | der Index des Eigenkapitals; |
![]() |
= | ein Vektor mit m Komponenten zur Darstellung der Struktur der Repo-Laufzeit für ein bestimmtes Eigenkapital k, wobei m der Anzahl der im Bewertungsmodell des Instruments i verwendeten Repo-Sätze für verschiedene Laufzeiten entspricht; |
![]() |
= | die Einheitsmatrix der Dimension (1 . m); |
| Vi (.) | = | die Bewertungsfunktion des Instruments i; und |
| y,z | = | andere Risikofaktoren als in der Bewertungsfunktion Vi. |
(4) Institute berechnen die Delta-Risikosensitivitäten gegenüber dem Warenpositionsrisiko für jeden Risikofaktor k wie folgt:
dabei gilt:
| sk | = | die Delta-Risikosensitivitäten gegenüber dem Warenpositionsrisiko; |
| k | = | ein bestimmter Risikofaktor des Warenpositionsrisikos; |
| CTYk | = | der Wert des Risikofaktors k; |
| Vi (.) | = | die Bewertungsfunktion des Instruments i; und |
| y, z | = | andere Risikofaktoren als CTYk im Bewertungsmodell des Instruments i. |
(5) Institute berechnen die Delta-Risikosensitivitäten gegenüber dem Fremdwährungsrisiko für jeden Risikofaktor k wie folgt:
dabei gilt:
| sk | = | die Delta-Risikosensitivitäten gegenüber dem Fremdwährungsrisiko; |
| k | = | ein bestimmter Risikofaktor des Fremdwährungsrisikos; |
| FXk | = | der Wert des Risikofaktors; |
| Vi (.) | = | die Bewertungsfunktion des Instruments i; und |
| y, z | = | andere Risikofaktoren als FXk im Bewertungsmodell des Instruments i. |
Artikel 325s Vega-Risikosensitivitäten
(1) Institute berechnen die Vega-Risikosensitivitäten einer Option gegenüber einem Risikofaktor k wie folgt:
dabei gilt:
| sk | = | die Vega-Risikosensitivität einer Option; |
| k | = | ein spezifischer Vega-Risikofaktor aus einer impliziten Volatilität; |
| volk | = | der als Prozentsatz auszudrückende Wert dieses Risikofaktors; und |
| x,y | = | andere Risikofaktoren als volk in der Bewertungsfunktion Vi. |
(2) Im Falle von Risikokategorien, bei denen die Vega-Risikofaktoren zwar eine Laufzeitdimension haben, die Vorschriften für die Zuordnung der Risikofaktoren aber nicht anwendbar sind, weil die Optionen keine Laufzeit haben, ordnen Institute diese Risikofaktoren der längsten vorgeschriebenen Laufzeit zu. Diese Optionen unterliegen dem Aufschlag für Restrisiken.
(3) Bei anderen Optionen als Strike- oder Barrier-Optionen und bei Optionen mit multiplen Strike- oder Barrier-Möglichkeiten wenden Institute zur Bewertung der Option die intern vom Institut verwendete Zuordnung zu Strikes und Laufzeiten an. Diese Optionen unterliegen ebenfalls dem Aufschlag für Restrisiken.
(4) Institute berechnen kein Vega-Risiko für Verbriefungstranchen des alternativen Korrelationshandelsportfolios gemäß Artikel 325 Absätze 6, 7 und 8, für die es keine implizite Volatilität gibt. Die Eigenmittelanforderungen für Delta-Faktor- und Krümmungsrisiken werden für diese Verbriefungstranchen berechnet.
Artikel 325t Anforderungen bezüglich der Berechnung von Sensitivitäten
(1) Institute leiten Sensitivitäten unter Verwendung der in diesem Unterabschnitt festgelegten Formeln aus den Bewertungsmodellen des Instituts ab, die als Grundlage für die Meldung von Gewinnen und Verlusten an das höhere Management dienen.
Abweichend von Unterabsatz 1 können die zuständigen Behörden einem Institut, dem die Erlaubnis zur Verwendung des alternativen auf internen Modellen basierenden Ansatzes gemäß Kapitel 1b erteilt worden ist, vorschreiben, bei der Berechnung von Sensitivitäten gemäß diesem Kapitel für die Berechnung und Meldung der Eigenmittelanforderungen für das Marktrisiko gemäß Artikel 430b Absatz 3 die Bewertungsfunktionen des Risikomesssystems ihres auf internen Modellen basierenden Ansatzes zu verwenden.
(2) Institute können bei der Berechnung von Delta-Risikosensitivitäten der Instrumente mit Optionalität nach Artikel 325e Absatz 2 Buchstabe a von konstanten impliziten volatilitätsbedingten Risikofaktoren ausgehen.
(3) Bei der Berechnung von Vega-Risikosensitivitäten der Instrumente mit Optionalität nach Artikel 325e Absatz 2 Buchstabe b gelten die folgenden Anforderungen:
(4) Institute berechnen alle Sensitivitäten mit Ausnahme der Sensitivitäten gegenüber Anpassungen der Kreditbewertung (CVA).
(5) Abweichend von Absatz 1 kann ein Institut vorbehaltlich der Erlaubnis der zuständigen Behörden bei der Berechnung der Eigenmittelanforderungen für eine Handelsbuchposition gemäß diesem Kapitel alternative Begriffsbestimmungen für Delta-Risikosensitivitäten verwenden, sofern es alle folgenden Voraussetzungen erfüllt:
(6) Abweichend von Absatz 1 kann ein Institut vorbehaltlich der Erlaubnis der zuständigen Behörden bei der Berechnung der Eigenmittelanforderungen für eine Handelsbuchposition gemäß diesem Kapitel Vega-Sensitivitäten auf der Grundlage einer linearen Transformation der alternativen Begriffsbestimmungen für Sensitivitäten berechnen, sofern es die beiden folgenden Voraussetzungen erfüllt:
Abschnitt 4
Aufschlag für Restrisiken
Artikel 325u Eigenmittelanforderungen für Restrisiken
(1) Neben den Eigenmittelanforderungen für das Marktrisiko gemäß Abschnitt 2 wenden Institute auf Instrumente, die gemäß diesem Artikel Restrisiken ausgesetzt sind, zusätzliche Eigenmittelanforderungen an.
(2) Es ist davon auszugehen, dass Instrumente Restrisiken ausgesetzt sind, wenn eine der folgenden Voraussetzungen erfüllt ist:
(3) Institute berechnen die zusätzlichen Eigenmittelanforderungen nach Absatz 1 als Summe des Brutto-Nominalwerts der Instrumente nach Absatz 2, multipliziert mit folgenden Risikogewichten:
(4) Abweichend von Absatz 1 wenden die Institute keine Eigenmittelanforderungen für Restrisiken auf Instrumente an, die eine der folgenden Voraussetzungen erfüllen:
(5) Die EBa arbeitet Entwürfe technischer Regulierungsstandards aus, in denen festgelegt wird, was ein exotischer Basiswert ist und welche Instrumente für die Zwecke von Absatz 2 als Instrumente gelten, die Restrisiken ausgesetzt sind.
Bei der Ausarbeitung dieser Entwürfe technischer Regulierungsstandards prüft die EBa zumindest, ob Langlebigkeitsrisiko, Wetter, Naturkatastrophen und künftig realisierte Volatilität als exotische Basiswerte betrachtet werden sollten.
Die EBa übermittelt der Kommission diese Entwürfe technischer Regulierungsstandards bis zum 28. Juni 2021.
Der Kommission wird die Befugnis übertragen, die in Unterabsatz 1 genannten technischen Regulierungsstandards gemäß den Artikeln 10 bis 14 der Verordnung (EU) Nr. 1093/2010 zur Ergänzung dieser Verordnung zu erlassen.
Abschnitt 5
Eigenmittelanforderungen für das Ausfallrisiko
Artikel 325v Begriffsbestimmungen und allgemeine Bestimmungen
(1) Für die Zwecke dieses Abschnitts bezeichnet der Ausdruck
a."Short-Risikoposition" eine Position, die bei Ausfall eines Emittenten oder einer Gruppe von Emittenten unabhängig von der Art des Instruments oder Geschäfts, aus dem diese Risikoposition entsteht, zu einem Gewinn für das Institut führt;b. "Long-Risikoposition" eine Position, die bei Ausfall eines Emittenten oder einer Gruppe von Emittenten unabhängig von der Art des Instruments oder Geschäfts, aus dem diese Risikoposition entsteht, zu einem Verlust für das Institut führt;
c. "Jump-to-Default-Bruttobetrag" oder "JTD-Bruttobetrag" den geschätzten Umfang des Verlusts oder Gewinns, den der Ausfall des Schuldners in einer bestimmten Risikoposition bewirken würde;
d. "Jump-to-Default-Nettobetrag" oder "JTD-Nettobetrag" den geschätzten Umfang des Verlusts oder Gewinns, der einem Institut aufgrund des Ausfalls eines Schuldners nach Aufrechnung der JTD-Bruttobeträge entstehen würde;
e. "Verlustquote bei Ausfall" oder "LGD" die Verlustquote bei Ausfall des Schuldners in Bezug auf ein von diesem Schuldner begebenes Instrument, ausgedrückt als Anteil am Nominalbetrag des Instruments;
f. "Ausfallrisikogewicht" die in Prozent angegebene, geschätzte Ausfallwahrscheinlichkeit der einzelnen Schuldner entsprechend ihrer Bonität.
(2) Eigenmittelanforderungen für das Ausfallrisiko gelten für Schuldtitel und Eigenkapitalinstrumente, Derivate, denen solche Instrumente zugrunde liegen, und Derivate, deren Erträge oder beizulegenden Zeitwerte bei Ausfall eines anderen Schuldners als der Gegenpartei des Derivats selbst beeinträchtigt werden. Institute berechnen die Anforderungen für das Ausfallrisiko für jede der folgenden Arten von Instrumenten getrennt: Nicht-Verbriefungspositionen, Verbriefungspositionen, die nicht in das alternative Korrelationshandelsportfolio einbezogen wurden, und Verbriefungspositionen, die in das alternative Korrelationshandelsportfolio einbezogen wurden. Die endgültigen von einem Institut anzuwendenden Eigenmittelanforderungen für das Ausfallrisiko ergeben sich aus der Summe dieser drei Komponenten.
Unterabschnitt 1
Eigenmittelanforderungen für das Ausfallrisiko bei Nicht-Verbriefungspositionen
Artikel 325w Jump-to-Default-Bruttobeträge
(1) Institute berechnen die JTD-Bruttobeträge für jede Long-Risikoposition in Schuldtiteln wie folgt:
JTDlong = max {LGD Vnotional + P&Llong + Adjustmentlong; 0}
dabei gilt:
| JTDlong | = | der JTD-Bruttobetrag für die Long-Risikoposition; |
| Vnotional | = | der Nominalbetrag des Instruments, aus dem sich die Risikoposition ergibt; |
| P&Llong | = | ein Term für die Anpassung von Gewinnen oder Verlusten, die das Institut durch Änderungen des beizulegenden Zeitwerts des Instruments, das die Long-Risikoposition begründet, bereits einbezogen hat; Gewinne erhalten in der Formel ein positives, Verluste ein negatives Vorzeichen; und |
| Adjustmentlong | = | wenn es sich bei dem Instrument, aus dem sich die Risikoposition ergibt, um ein Derivat handelt, der Betrag, um den der Verlust des Instituts aufgrund der Struktur des Derivats im Falle eines Ausfalls im Vergleich zu einem vollständigen Verlust des zugrunde liegenden Instruments steigen oder sinken würde; ein gestiegener Betrag erhält in der Form ein positives, ein gesunkener Betrag ein negatives Vorzeichen. |
(2) Institute berechnen die JTD-Bruttobeträge für jede Short-Risikoposition in Schuldtiteln wie folgt:
JTDshort = min {LGD Vnotional + P&Lshort + Adjustmentshort; 0}
dabei gilt:
| JTDshort | = | der JTD-Bruttobetrag für die Short-Risikoposition; |
| Vnotional | = | der Nominalbetrag des Instruments, aus dem sich die Risikoposition ergibt, der in der Formel ein negatives Vorzeichen erhält; |
| P&Lshort | = | ein Term für die Anpassung von Gewinnen oder Verlusten, die das Institut durch Änderungen des beizulegenden Zeitwerts des Instruments, das die Short-Risikoposition begründet, bereits einbezogen hat; Gewinne erhalten in der Formel ein positives, Verluste ein negatives Vorzeichen; und |
| Adjustmentshort | = | wenn es sich bei dem Instrument, aus dem sich die Risikoposition ergibt, um ein Derivat handelt, der Betrag, um den der Gewinn des Instituts aufgrund der Struktur des Derivats im Falle eines Ausfalls im Vergleich zu einem vollständigen Verlust des zugrunde liegenden Instruments steigen oder sinken würde; ein gesunkener Betrag erhält in der Formel ein positives, ein gestiegener Betrag ein negatives Vorzeichen. |
(3) Für die Zwecke der Berechnung gemäß den Absätzen 1 und 2 wenden Institute auf Schuldtitel die folgenden LGD an:
(4) Für die Zwecke der Berechnungen nach den Absätzen 1 und 2 werden die Nominalbeträge wie folgt ermittelt:
(5) Für Risikopositionen in Eigenkapitalinstrumenten berechnen Institute die JTD-Bruttobeträge wie folgt:
JTDlong = max {LGD . Vnotional + P&Llong + Adjustmentlong; 0}
JTDshort = min {LGD . VVnotional + P&Lshort + Adjustmentshort; 0}
dabei gilt:
| JTDlong | = | der JTD-Bruttobetrag für die Long-Risikoposition; |
| Vnotional | = | der Nominalbetrag des Instruments, aus dem sich die Risikoposition ergibt; der Nominalbetrag ist der beizulegende Zeitwert des Eigenkapitals der Barmittelinstrumente; für die Formel JTDshorterhält der Nominalbetrag des Instruments in der Formel ein negatives Vorzeichen; |
| P&Llong | = | ein Term für die Anpassung von Gewinnen oder Verlusten, die das Institut durch Änderungen des beizulegenden Zeitwerts des Instruments, das die Long-Risikoposition begründet, bereits einbezogen hat; Gewinne erhalten in der Formel ein positives, Verluste ein negatives Vorzeichen; |
| Adjustmentlong | = | der Betrag, um den der Verlust des Instituts aufgrund der Struktur des Derivats im Falle eines Ausfalls im Vergleich zu einem vollständigen Verlust des zugrunde liegenden Instruments steigen oder sinken würde; ein gestiegener Betrag erhält in der Formel ein positives, ein gesunkener Betrag ein negatives Vorzeichen; |
| JTDshort | = | der JTD-Bruttobetrag für die Short-Risikoposition; |
| P&Lshort | = | ein Term für die Anpassung von Gewinnen oder Verlusten, die das Institut durch Änderungen des beizulegenden Zeitwerts des Instruments, das die Short-Risikoposition begründet, bereits einbezogen hat; Gewinne erhalten in der Formel ein positives, Verluste ein negatives Vorzeichen; |
| Adjustmentshort | = | der Betrag, um den der Gewinn des Instituts aufgrund der Struktur des Derivats im Falle eines Ausfalls im Vergleich zu einem vollständigen Verlust des zugrunde liegenden Instruments steigen oder sinken würde; ein gesunkener Betrag erhält in der Formel ein positives, ein gestiegener Betrag ein negatives Vorzeichen. |
(6) Institute weisen Eigenkapitalinstrumenten für die Zwecke der Berechnung nach Absatz 5 eine LGD von 100 % zu.
(7) Im Fall von Risikopositionen mit Ausfallrisiko in Derivaten, deren Auszahlungen bei Ausfall des Schuldners nicht im Zusammenhang mit dem Nominalbetrag eines spezifischen, von diesem Schuldner begebenen Instruments oder der LGD des Schuldners oder einem von diesem Schuldner begebenen Instrument stehen, verwenden Institute alternative Methoden, um die JTD-Bruttobeträge zu schätzen.
(8) Die EBa arbeitet Entwürfe technischer Regulierungsstandards aus, in denen Folgendes festgelegt wird:
Die EBa übermittelt der Kommission diese Entwürfe technischer Regulierungsstandards bis zum 28. Juni 2021.
Der Kommission wird die Befugnis übertragen, die in Unterabsatz 1 genannten technischen Regulierungsstandards gemäß den Artikeln 10 bis 14 der Verordnung (EU) Nr. 1093/2010 zur Ergänzung dieser Verordnung zu erlassen.
Artikel 325x Jump-to-Default-Nettobeträge
(1) Institute berechnen die JTD-Nettobeträge durch Aufrechnung der JTD-Bruttobeträge von Short-Risikopositionen und Long-Risikopositionen. Eine Aufrechnung ist nur zwischen Risikopositionen gegenüber demselben Schuldner möglich, wenn die Short-Risikopositionen den gleichen Rang wie die Long-Risikopositionen oder einen niedrigeren Rang als die Long-Risikopositionen haben.
(2) Die Aufrechnung wird je nach Laufzeiten der aufzurechnenden Risikopositionen vollständig oder teilweise vorgenommen:
(3) Wenn keine Aufrechnung möglich ist, werden die JTD-Bruttobeträge bei Risikopositionen mit einer Laufzeit von mindestens einem Jahr mit den JTD-Nettobeträgen gleichgesetzt. JTD-Bruttobeträge mit einer Laufzeit von weniger als einem Jahr werden für die Berechnung der JTD-Nettobeträge mit dem Verhältnis zwischen der Laufzeit der Risikoposition und einem Jahr bei einer Untergrenze von drei Monaten multipliziert.
(4) Für die Zwecke der Absätze 2 und 3 werden die Laufzeiten der Derivatkontrakte, nicht die Laufzeiten ihrer Basiswerte, betrachtet. Beteiligungspositionen in Barmitteln wird nach Ermessen des Instituts eine Laufzeit von entweder einem Jahr oder von drei Monaten zugewiesen.
Artikel 325y Berechnung der Eigenmittelanforderungen für das Ausfallrisiko
(1) Die JTD-Nettobeträge werden unabhängig von der Art der Gegenpartei mit den ihrer Bonität entsprechenden, in Tabelle 2 spezifizierten Ausfallrisikogewichten multipliziert:
| Bonitätskategorie | Ausfallrisikogewicht |
| Bonitätsstufe 1 | 0,5 % |
| Bonitätsstufe 2 | 3 % |
| Bonitätsstufe 3 | 6 % |
| Bonitätsstufe 4 | 15 % |
| Bonitätsstufe 5 | 30 % |
| Bonitätsstufe 6 | 50 % |
| Nicht bewertet | 15 % |
| Ausgefallen | 100 % |
(2) Risikopositionen, denen gemäß dem Standardansatz für das Kreditrisiko gemäß Titel II Kapitel 2 ein Risikogewicht von 0 % zugewiesen würde, erhalten bezüglich der Eigenmittelanforderungen für das Ausfallrisiko ein Risikogewicht von 0 %.
(3) Der gewichtete Netto-JTD wird in folgende Unterklassen eingeteilt: Unternehmen, Staaten und Gebietskörperschaften/Kommunen.
(4) Die gewichteten JTD-Nettobeträge werden innerhalb jeder Unterklasse nach folgender Formel aggregiert:
DRCb = max {(ΣiÎ long RWi . net JTDi) WtS . (ΣiÎ shortRWi |net JTDi|); 0}
dabei gilt:
| DRCb | = | die Eigenmittelanforderung für das Ausfallrisiko für Unterklasse b; |
| i | = | der Index eines Instruments der Unterklasse b; |
| RWi | = | das Risikogewicht; und |
| WtS | = | eine Quote zur Berücksichtigung der Vorteile von Sicherungsbeziehungen innerhalb einer Unterklasse, berechnet wie folgt:
|
Für die Zwecke der Berechnung von DRCb und WtS werden die Kauf- und Verkaufspositionen für alle Positionen einer Unterklasse unabhängig von der Bonitätsstufe der betreffenden Positionen zu unterklassespezifischen Eigenmittelanforderungen für das Ausfallrisiko aggregiert.
(5) Die endgültige Eigenmittelanforderung für das Ausfallrisiko bei Nicht-Verbriefungspositionen wird als einfache Summe der Eigenmittelanforderungen auf Ebene der Unterklasse berechnet.
Unterabschnitt 2
Eigenmittelanforderungen für das Ausfallrisiko bei nicht in das alternative Korrelationshandelsportfolio einbezogenen Verbriefungspositionen
Artikel 325z Jump-to-Default-Beträge
(1) Die Jump-to-Default-Bruttobeträge für Verbriefungspositionen sind ihre Marktwerte oder, wenn sich ihre Marktwerte nicht ermitteln lassen, ihre gemäß dem geltenden Rechnungslegungsrahmen bestimmten beizulegenden Zeitwerte.
(2) Die Jump-to-Default-Nettobeträge werden durch Aufrechnung der Jump-to-Default-Bruttobeträge von Kaufpositionen und der Jump-to-Default-Bruttobeträge von Verkaufspositionen bestimmt. Eine Aufrechnung ist nur zwischen Verbriefungspositionen möglich, denen die gleichen Aktiva-Pools zugrunde liegen und die zu derselben Tranche gehören. Nicht zulässig ist die Aufrechnung zwischen Verbriefungspositionen mit unterschiedlichen zugrunde liegenden Aktiva-Pools, selbst wenn der untere und der obere Tranchierungspunkt gleich sind.
(3) Wenn durch Aufschlüsselung oder Kombination bestehender Verbriefungspositionen andere bestehende Verbriefungspositionen - mit Ausnahme der Laufzeitdimension - perfekt nachgebildet werden können, dürfen für die Zwecke der Aufrechnung anstelle der bestehenden Verbriefungspositionen die Risikopositionen verwendet werden, die sich aus dieser Aufschlüsselung oder Kombination ergeben.
(4) Wenn durch Aufschlüsselung oder Kombination bestehender Risikopositionen in zugrunde liegenden Referenzwerten die gesamte Tranchenstruktur einer bestehenden Verbriefungsposition perfekt nachgebildet werden kann, dürfen für die Zwecke der Aufrechnung anstelle der bestehenden Verbriefungspositionen die Risikopositionen verwendet werden, die sich aus dieser Aufschlüsselung oder Kombination ergeben. Wenn zugrunde liegende Referenzwerte auf diese Weise genutzt werden, werden sie bei der Behandlung der Ausfallrisiken von Nicht-Verbriefungspositionen nicht mehr berücksichtigt.
(5) Artikel 325x gilt sowohl für bestehende Verbriefungspositionen als auch für gemäß Absatz 3 oder 4 des vorliegenden Artikels verwendete Verbriefungspositionen. Die relevanten Laufzeiten sind die Laufzeiten der Verbriefungstranchen.
Artikel 325aa Berechnung der Eigenmittelanforderung für das Ausfallrisiko bei Verbriefungspositionen
(1) Die JTD-Nettobeträge von Verbriefungspositionen werden mit 8 % des Risikogewichts der einschlägigen Verbriefungsposition, einschließlich STS-Verbriefungen, im Anlagebuch gemäß der Rangfolge der Ansätze gemäß Titel II Kapitel 5 Abschnitt 3 multipliziert, und zwar unabhängig von der Art der Gegenpartei.
(2) Für alle Tranchen, deren Risikogewichte nach SEC-IRBa und SEC-ERBa berechnet werden, wird eine Laufzeit von einem Jahr angewendet.
(3) Die risikogewichteten JTD-Beträge der einzelnen Barverbriefungspositionen können den beizulegenden Zeitwert der Position nicht überschreiten.
(4) Die risikogewichteten JTD-Nettobeträge werden folgenden Unterklassen zugeordnet:
Für die Zwecke des Unterabsatzes 1 sind die elf Anlageklassen ABCP, Kfz-Darlehen und -Leasings, durch private Wohnimmobilien besicherte Wertpapiere (RMBS), Kreditkarten, durch Gewerbeimmobilien besicherte Wertpapiere (CMBS), durch einen Anleihepool besicherte Wertpapiere, quadrierte forderungsbesicherte Schuldverschreibungen (CDO-squared), Darlehen an kleine und mittlere Unternehmen (KMU), Studiendarlehen, sonstige Privat- und sonstige Großkundenkredite. Die vier Regionen sind Asien, Europa, Nordamerika und übrige Welt.
(5) Institute nehmen die Zuordnung von Verbriefungspositionen zu einer Unterklasse anhand einer marktüblichen Klassifizierung vor. Institute ordnen jede Verbriefungsposition nur einer der in Absatz 4 genannten Unterklassen zu. Verbriefungspositionen, die ein Institut keiner Unterklasse für eine Anlageklasse oder Region zuordnen kann, werden den Kategorien "sonstige Privatkredite" oder "sonstige Großkundenkredite" bzw. der Region "übrige Welt" zugeordnet.
(6) Gewichtete JTD-Nettobeträge werden innerhalb jeder Unterklasse gemäß der Formel nach Artikel 325y Absatz 4 in gleicher Weise wie beim Ausfallrisiko von Nicht-Verbriefungspositionen zu einer Eigenmittelanforderung für das Ausfallrisiko jeder Unterklasse aggregiert.
(7) Die endgültige Eigenmittelanforderung für das Ausfallrisiko von nicht in das alternative Korrelationshandelsportfolio einbezogenen Verbriefungspositionen wird als einfache Summe der Eigenmittelanforderungen auf Ebene der Unterklasse berechnet.
Unterabschnitt 3
Eigenmittelanforderungen für das Ausfallrisiko bei in das alternative Korrelationshandelsportfolio einbezogenen Verbriefungspositionen
Artikel 325ab Geltungsbereich
(1) Für das alternative Korrelationshandelsportfolio umfassen die Eigenmittelanforderungen das Ausfallrisiko bei Verbriefungspositionen und Absicherungen, die keine Verbriefungsposition darstellen. Diese Absicherungen werden bei den Berechnungen des Ausfallrisikos bei Nicht-Verbriefungspositionen nicht berücksichtigt. Es werden keine Diversifizierungsvorteile zwischen den Eigenmittelanforderungen für das Ausfallrisiko bei Nicht-Verbriefungspositionen, den Eigenmittelanforderungen für das Ausfallrisiko bei nicht in das alternative Korrelationshandelsportfolio einbezogenen Verbriefungspositionen und den Eigenmittelanforderungen für das Ausfallrisiko bei in das alternative Korrelationshandelsportfolio einbezogenen Verbriefungspositionen gewährt.
(2) Bei gehandelten Kredit- und Eigenkapitalderivaten, die keine Verbriefungsposition darstellen, werden die JTD-Beträge für die einzelnen Komponenten anhand des Transparenzansatzes bestimmt.
Artikel 325ac Jump-to-Default-Beträge für das alternative Korrelationshandelsportfolio
(1) Für die Zwecke dieses Artikels bedeutet
(2) Die JTD-Bruttobeträge für Verbriefungspositionen und Nicht-Verbriefungspositionen des alternativen Korrelationshandelsportfolios sind ihre Marktwerte oder, wenn sich ihre Marktwerte nicht ermitteln lassen, ihre gemäß dem geltenden Rechnungslegungsrahmen bestimmten beizulegenden Zeitwerte.
(3) N-te-Ausfall-Produkte werden als tranchierte Produkte mit dem folgenden unteren und oberen Tranchierungspunkt behandelt:
dabei bezeichnet "Gesamtadressen" die Gesamtzahl der Adressen des zugrunde liegenden Korbs oder Pools.
(4) Die JTD-Nettobeträge werden durch Aufrechnung der JTD-Bruttobeträge von Kaufpositionen und der JTD-Bruttobeträge von Verkaufspositionen bestimmt. Eine Aufrechnung ist nur zwischen Risikopositionen möglich, die abgesehen von der Laufzeit völlig identisch sind. Eine Aufrechnung ist nur wie folgt möglich:
Artikel 325ad Berechnung der Eigenmittelanforderungen für das Ausfallrisiko des alternativen Korrelationshandelsportfolios
(1) JTD-Nettobeträge werden
(2) Risikogewichtete JTD-Nettobeträge werden Unterklassen zugewiesen, die einem Index entsprechen.
(3) Gewichtete JTD-Nettobeträge werden innerhalb jeder Unterklasse nach folgender Formel berechnet:
DRCb = max {(ΣiÎ long RWi . net JTDi) - WtSACTP . (ΣiÎ shortRWi . |net JTDi|); 0}
dabei gilt:
| DRCb | = | die Eigenmittelanforderung für das Ausfallrisiko für Unterklasse b; |
| i | = | ein Instrument der Unterklasse b; und |
| WtSACTP | = | die Quote zur Berücksichtigung der Vorteile von Sicherungsbeziehungen innerhalb einer Unterklasse, berechnet gemäß der WtS-Formel nach Artikel 325y Absatz 4, wobei allerdings nicht nur die Positionen der entsprechenden Unterklasse, sondern die Kaufpositionen und Verkaufspositionen des gesamten alternativen Korrelationshandelsportfolios verwendet werden. |
(4) Institute berechnen die Eigenmittelanforderungen für das Ausfallrisiko des alternativen Korrelationshandelsportfolios nach folgender Formel:
dabei gilt:
| DRCACTP | = | die Eigenmittelanforderung für das Ausfallrisiko des alternativen Korrelationshandelsportfolios; und |
| DRCb | = | die Eigenmittelanforderung für das Ausfallrisiko für die Unterklasse b. |
Abschnitt 6
Risikogewichte und Korrelationen
Unterabschnitt 1
Risikogewichte und Korrelationen für das Delta-Faktor-Risiko
Artikel 325ae Risikogewichte für das allgemeine Zinsrisiko
(1) Bei Währungen, die nicht gemäß Artikel 325bd Absatz 7 Buchstabe b in die Untergruppe der liquidesten Währungen aufgenommen wurden, sind die Risikogewichte der Sensitivitäten gegenüber Risikofaktoren des risikolosen Zinssatzes folgende:
| Unterklasse | Laufzeit | Risikogewicht |
| 1 | 0,25 Jahre | 1,7 % |
| 2 | 0,5 Jahre | 1,7 % |
| 3 | 1 Jahr | 1,6 % |
| 4 | 2 Jahre | 1,3 % |
| 5 | 3 Jahre | 1,2 % |
| 6 | 5 Jahre | 1,1 % |
| 7 | 10 Jahre | 1,1 % |
| 8 | 15 Jahre | 1,1 % |
| 9 | 20 Jahre | 1,1 % |
| 10 | 30 Jahre | 1,1 % |
(2) Die Institute weisen allen Sensitivitäten gegenüber Risikofaktoren des Inflationsrisikos sowie des Basis-Währungsrisikos ein Risikogewicht von 1,6 % zu.
(3) Für die Währungen, die in die liquideste Währungsunterkategorie gemäß Artikel 325bd Absatz 7 Buchstabe b aufgenommen sind, und die Landeswährung des Instituts gelten die Risikogewichte der Risikofaktoren des risikolosen Zinssatzes gemäß Tabelle 3, geteilt durch √2.
Artikel 325af Innerhalb der Unterklasse anwendbare Korrelationen des allgemeinen Zinsrisikos
(1) Zwischen zwei gewichteten Sensitivitäten gegenüber Risikofaktoren des allgemeinen Zinsrisikos WSk und WSl der gleichen Unterklasse und mit gleicher zugeordneter Laufzeit, aber mit unterschiedlichen Kurven gilt eine Korrelation ρkl von 99,90 %.
(2) Zwischen zwei gewichteten Sensitivitäten gegenüber Risikofaktoren des allgemeinen Zinsrisikos WSk und WSl der gleichen Unterklasse mit gleicher Kurve, aber unterschiedlichen Laufzeiten wird die Korrelation gemäß folgender Formel berechnet:
dabei gilt:
| Tk (bzw. Tl) | = | die Laufzeit bezüglich des risikofreien Zinssatzes; |
| θ | = | 3 %. |
(3) Zwischen zwei gewichteten Sensitivitäten gegenüber Risikofaktoren des allgemeinen Zinsrisikos WSk und WSl der gleichen Unterklasse mit unterschiedlichen Kurven und unterschiedlichen Laufzeiten entspricht die Korrelation ρkl dem Korrelationsparameter nach Absatz 2, multipliziert mit 99,90 %.
(4) Zwischen jeder gewichteten Sensitivität gegenüber Risikofaktoren des allgemeinen Zinsrisikos WSk und jeder gewichteten Sensitivität gegenüber Risikofaktoren des Inflationsrisikos WSl gilt eine Korrelation von 40 %.
(5) Zwischen jeder gewichteten Sensitivität gegenüber Risikofaktoren des Basis-Währungsrisikos WSk und jeder gewichteten Sensitivität gegenüber Risikofaktoren des allgemeinen Zinsrisikos WSl, einschließlich eines weiteren Risikofaktors des Basis-Währungsrisikos, gilt eine Korrelation von 0 %.
Artikel 325ag Über Unterklassen hinweg anwendbare Korrelationen des allgemeinen Zinsrisikos
(1) Zur Aggregation von Risikofaktoren verschiedener Unterklassen wird der Parameter γbc = 50 % angewandt.
(2) Zur Aggregation eines Risikofaktors des Zinsrisikos in einer Währung nach Artikel 325av Absatz 3 und eines Risikofaktors des Zinsrisikos in Euro wird der Parameter γbc = 80 % angewandt.
Artikel 325ah Risikogewichte des Kreditspreadrisikos bei Nicht-Verbriefungspositionen
(1) Für alle Laufzeiten (0,5 Jahre, 1 Jahr, 3 Jahre, 5 Jahre, 10 Jahre) gelten die gleichen Risikogewichte für die Sensitivitäten gegenüber Kreditspreadrisikofaktoren bei Nicht-Verbriefungspositionen innerhalb jeder Unterklasse in Tabelle 4:
| Unterklasse | Bonität | Sektor | Risiko-gewicht |
| 1 | Sämtliche Bonitätsstufen | Zentralstaat, einschließlich Zentralbanken, eines Mitgliedstaats | 0,5 % |
| 2 | Bonitätsstufen 1 bis 3 | Zentralstaat, einschließlich Zentralbanken, eines Drittlands sowie in Artikel 117 Absatz 2 bzw. Artikel 118 genannte multilaterale Entwicklungsbanken und internationale Organisationen | 0,5 % |
| 3 | Regionale oder lokale Gebietskörperschaften und öffentliche Stellen | 1,0 % | |
| 4 | Unternehmen der Finanzbranche, einschließlich von einem Zentralstaat, einer regionalen oder einer lokalen Gebietskörperschaft gegründeter Kreditinstitute, und Geber von Förderdarlehen | 5,0 % | |
| 5 | Grundstoffe, Energie, Industriegüter, Landwirtschaft, verarbeitendes Gewerbe/Herstellung von Waren, Bergbau und Gewinnung von Steinen und Erden | 3,0 % | |
| 6 | Verbrauchsgüter und Dienstleistungen, Verkehr und Lagerung, Erbringung sonstiger wirtschaftlicher Dienstleistungen | 3,0 % | |
| 7 | Technologie, Telekommunikation | 2,0 % | |
| 8 | Gesundheitswesen, Versorgungsunternehmen, freiberufliche und technische Tätigkeiten | 1,5 % | |
| 9 | Von Kreditinstituten mit Sitz in einem Mitgliedstaat begebene gedeckte Schuldverschreibungen | 1,0 % | |
| 10 | Bonitätsstufe 1 | Von Kreditinstituten in Drittländern begebene gedeckte Schuldverschreibungen | 1,5 % |
| Bonitätsstufen 2 bis 3 | 2,5 % | ||
| 11 | Bonitätsstufen 4 bis 6 (ohne Rating) | Zentralstaat, einschließlich Zentralbanken, eines Drittlands sowie in Artikel 117 Absatz 2 bzw. Artikel 118 genannte multilaterale Entwicklungsbanken und internationale Organisationen | 2 % |
| 12 | Regionale oder lokale Gebietskörperschaften und öffentliche Stellen | 4,0 % | |
| 13 | Unternehmen der Finanzbranche, einschließlich von einem Zentralstaat, einer regionalen oder einer lokalen Gebietskörperschaft gegründeter Kreditinstitute, und Geber von Förderdarlehen | 12,0 % | |
| 14 | Grundstoffe, Energie, Industriegüter, Landwirtschaft, verarbeitendes Gewerbe/Herstellung von Waren, Bergbau und Gewinnung von Steinen und Erden | 7,0 % | |
| 15 | Verbrauchsgüter und Dienstleistungen, Verkehr und Lagerung, Erbringung sonstiger wirtschaftlicher Dienstleistungen | 8,5 % | |
| 16 | Technologie, Telekommunikation | 5,5 % | |
| 17 | Gesundheitswesen, Versorgungsunternehmen, freiberufliche und technische Tätigkeiten | 5,0 % | |
| 18 | Sonstige Sektoren | 12,0 % | |
| 19 | Börsennotierte Kreditindizes, deren einzelne Bestandteile mehrheitlich als "Investment Grade" eingestuft sind | 1,5 % | |
| 20 | Börsennotierte Kreditindizes, deren einzelne Bestandteile mehrheitlich nicht als "Investment Grade" eingestuft sind oder nicht über ein Rating verfügen | 5 % | |
(2) Institute stützen sich bei der Zuordnung von Risikopositionen zu einem Sektor auf eine marktübliche Klassifikation für die Zuordnung von Emittenten zu Sektoren. Institute ordnen jeden Emittenten jeweils nur einer der Sektor-Unterklassen in Tabelle 4 zu. Risikopositionen in Emittenten, die ein Institut nicht auf diese Weise einem Sektor zuordnen kann, werden der Unterklasse 18 in Tabelle 4 zugewiesen.
Artikel 325ai Innerhalb der Unterklasse anwendbare Korrelationen des Kreditspreadrisikos bei Nicht-Verbriefungspositionen
(1) Zwischen zwei der gleichen Unterklasse zugehörigen Sensitivitäten WSk und WSl wird der Korrelationsparameter ρkl wie folgt festgelegt:
ρkl = ρkl(name) . ρkl(tenor) . ρkl(basis)
ρkl(name) entspricht dem Wert 1, wenn die beiden Namen der Sensitivitäten k und l identisch sind, und in allen anderen Fällen 35 %;
ρkl(tenor) entspricht dem Wert 1, wenn die beiden Scheitelpunkte der Sensitivitäten k und l identisch sind, und in allen anderen Fällen 65 %; und
ρkl(basis) entspricht dem Wert 1, wenn sich die beiden Sensitivitäten auf die gleichen Kurven beziehen, und in allen anderen Fällen 99,90 %.
(2) Die Korrelationsparameter nach Absatz 1 gelten nicht für die Unterklasse 18 in der Tabelle 4 in Artikel 325ah Absatz 1. Die Kapitalanforderung für die Delta-Faktor-Risiko-Aggregationsformel innerhalb der Unterklasse 18 entspricht der Summe der absoluten Werte der gewichteten Netto-Sensitivitäten dieser Unterklasse:
Artikel 325aj Über Unterklassen hinweg anwendbare Korrelationen des Kreditspreadrisikos bei Nicht-Verbriefungspositionen
Der Korrelationsparameter γbc für die Aggregation von Sensitivitäten zwischen verschiedenen Unterklassen wird wie folgt festgelegt:
γbc = γbc(rating) . γbc(sector)
dabei gilt:
γbc(rating) entspricht dem Wert 1, wenn die beiden Unterklassen der gleichen Bonitätskategorie (Bonitätsstufe 1 bis 3 oder Bonitätsstufe 4 bis 6) zugehören, und in allen anderen Fällen 50 %; für die Zwecke dieser Berechnung wird die Unterklasse 1 als der gleichen Bonitätskategorie zugehörig betrachtet wie Unterklassen der Bonitätsstufen 1 bis 3; und
γbc(sector) entspricht dem Wert 1, wenn die beiden Unterklassen dem gleichen Sektor zugehören, und in allen anderen Fällen dem entsprechenden Prozentsatz gemäß
Tabelle 5:| Unterklasse | 1, 2 und 11 | 3 und 12 | 4 und 13 | 5 und 14 | 6 und 15 | 7 und 16 | 8 und 17 | 9 und 10 | 18 | 19 | 20 |
| 1, 2 und 11 | 75 % | 10 % | 20 % | 25 % | 20 % | 15 % | 10 % | 0 % | 45 % | 45 % | |
| 3 und 12 | 5 % | 15 % | 20 % | 15 % | 10 % | 10 % | 0 % | 45 % | 45 % | ||
| 4 und 13 | 5 % | 15 % | 20 % | 5 % | 20 % | 0 % | 45 % | 45 % | |||
| 5 und 14 | 20 % | 25 % | 5 % | 5 % | 0 % | 45 % | 45 % | ||||
| 6 und 15 | 25 % | 5 % | 15 % | 0 % | 45 % | 45 % | |||||
| 7 und 16 | 5 % | 20 % | 0 % | 45 % | 45 % | ||||||
| 8 und 17 | 5 % | 0 % | 45 % | 45 % | |||||||
| 9 und 10 | 0 % | 45 % | 45 % | ||||||||
| 18 | 0 % | 0 % | |||||||||
| 19 | 75 % | ||||||||||
| 20 |
Artikel 325ak Risikogewichte für das Kreditspreadrisiko bei in das alternative Korrelationshandelsportfolio einbezogenen Verbriefungspositionen
Innerhalb jeder Unterklasse gelten für alle Laufzeiten (0,5 Jahre, 1 Jahr, 3 Jahre, 5 Jahre, 10 Jahre) die gleichen Risikogewichte für die Sensitivitäten gegenüber Kreditspreadrisikofaktoren bei in das alternative Korrelationshandelsportfolio einbezogenen Verbriefungspositionen, und diese Risikogewichte werden für jede Unterklasse in Tabelle 6 gemäß dem delegierten Rechtsakt nach Artikel 461a spezifiziert.
| Unterklasse | Bonität | Sektor | Risikogewicht |
| 1 | Sämtliche Bonitätsstufen | Zentralstaat, einschließlich Zentralbanken, eines Mitgliedstaats | 4,0 % |
| 2 | Bonitätsstufen 1 bis 3 | Zentralstaat, einschließlich Zentralbanken, eines Drittlands sowie in Artikel 117 Absatz 2 bzw. Artikel 118 genannte multilaterale Entwicklungsbanken und internationale Organisationen | 4,0 % |
| 3 | Regionale oder lokale Gebietskörperschaften und öffentliche Stellen | 4,0 % | |
| 4 | Unternehmen der Finanzbranche, einschließlich von einem Zentralstaat, einer regionalen oder einer lokalen Gebietskörperschaft gegründeter Kreditinstitute, und Geber von Förderdarlehen | 8,0 % | |
| 5 | Grundstoffe, Energie, Industriegüter, Landwirtschaft, verarbeitendes Gewerbe/Herstellung von Waren, Bergbau und Gewinnung von Steinen und Erden | 5,0 % | |
| 6 | Verbrauchsgüter und Dienstleistungen, Verkehr und Lagerung, Erbringung sonstiger wirtschaftlicher Dienstleistungen | 4,0 % | |
| 7 | Technologie, Telekommunikation | 3,0 % | |
| 8 | Gesundheitswesen, Versorgungsunternehmen, freiberufliche und technische Tätigkeiten | 2,0 % | |
| 9 | Von Kreditinstituten mit Sitz in einem Mitgliedstaat begebene gedeckte Schuldverschreibungen | 3,0 % | |
| 10 | Von Kreditinstituten in Drittländern begebene gedeckte Schuldverschreibungen | 6,0 % | |
| 11 | Bonitätsstufen 4 bis 6 (ohne Rating) | Zentralstaat, einschließlich Zentralbanken, eines Drittlands sowie in Artikel 117 Absatz 2 bzw. Artikel 118 genannte multilaterale Entwicklungsbanken und internationale Organisationen | 13,0 % |
| 12 | Regionale oder lokale Gebietskörperschaften und öffentliche Stellen | 13,0 % | |
| 13 | Unternehmen der Finanzbranche, einschließlich von einem Zentralstaat, einer regionalen oder einer lokalen Gebietskörperschaft gegründeter Kreditinstitute, und Geber von Förderdarlehen | 16,0 % | |
| 14 | Grundstoffe, Energie, Industriegüter, Landwirtschaft, verarbeitendes Gewerbe/Herstellung von Waren, Bergbau und Gewinnung von Steinen und Erden | 10,0 % | |
| 15 | Verbrauchsgüter und Dienstleistungen, Verkehr und Lagerung, Erbringung sonstiger wirtschaftlicher Dienstleistungen | 12,0 % | |
| 16 | Technologie, Telekommunikation | 12,0 % | |
| 17 | Gesundheitswesen, Versorgungsunternehmen, freiberufliche und technische Tätigkeiten | 12,0 % | |
| 18 | Sonstige Sektoren | 13,0 % | |
Artikel 325al Korrelationen für das Kreditspreadrisiko von in das alternative Korrelationshandelsportfolio einbezogenen Verbriefungspositionen
(1) Die Delta-Faktor-Risiko-Korrelation ρkl wird gemäß Artikel 325ai abgeleitet; für die Zwecke dieses Absatzes entspricht ρkl (basis) jedoch dem Wert 1, wenn sich die beiden Sensitivitäten auf die gleichen Kurven beziehen, und in allen anderen Fällen 99,00 %.
(2) Die Korrelation γbc wird gemäß Artikel 325aj abgeleitet.
Artikel 325am Risikogewichte für das Kreditspreadrisiko bei nicht in das alternative Korrelationshandelsportfolio einbezogenen Verbriefungspositionen
(1) Innerhalb jeder Unterklasse gelten für alle Laufzeiten (0,5 Jahre, 1 Jahr, 3 Jahre, 5 Jahre, 10 Jahre) die gleichen Risikogewichte für die Sensitivitäten gegenüber Kreditspreadrisikofaktoren bei nicht in das alternative Korrelationshandelsportfolio einbezogenen Verbriefungspositionen, und diese Risikogewichte werden für jede Unterklasse in Tabelle 7 gemäß dem delegierten Rechtsakt nach Artikel 461a spezifiziert:
| Unterklasse | Bonität | Sektor | Risikogewicht |
| 1 | Erstrangig und Bonitätsstufen 1 bis 3 | RMBS - Prime | 0,9 % |
| 2 | RMBS - Mid-Prime | 1,5 % | |
| 3 | RMBS - Sub-Prime | 2,0 % | |
| 4 | CMBS | 2,0 % | |
| 5 | Forderungsbesicherte Wertpapiere (ABS) - Studiendarlehen | 0,8 % | |
| 6 | ABS - Kreditkarten | 1,2 % | |
| 7 | ABS - Kfz-Darlehen | 1,2 % | |
| 8 | Nicht in das alternative Korrelationshandelsportfolio einbezogene, durch einen Anleihepool besicherte Wertpapiere (CLO) | 1,4 % | |
| 9 | Nicht erstrangig und Bonitätsstufen 1 bis 3 | RMBS - Prime | 1,125 % |
| 10 | RMBS - Mid-Prime | 1,875 % | |
| 11 | RMBS - Sub-Prime | 2,5 % | |
| 12 | CMBS | 2,5 % | |
| 13 | ABS - Studiendarlehen | 1 % | |
| 14 | ABS - Kreditkarten | 1,5 % | |
| 15 | ABS - Kfz-Darlehen | 1,5 % | |
| 16 | Nicht in das alternative Korrelationshandelsportfolio einbezogene CLO | 1,75 % | |
| 17 | Bonitätsstufen 4 bis 6 (ohne Rating) | RMBS - Prime | 1,575 % |
| 18 | RMBS - Mid-Prime | 2,625 % | |
| 19 | RMBS - Sub-Prime | 3,5 % | |
| 20 | CMBS | 3,5 % | |
| 21 | ABS - Studiendarlehen | 1,4 % | |
| 22 | ABS - Kreditkarten | 2,1 % | |
| 23 | ABS - Kfz-Darlehen | 2,1 % | |
| 24 | Nicht in das alternative Korrelationshandelsportfolio einbezogene CLO | 2,45 % | |
| 25 | Sonstige Sektoren | 3,5 % | |
(2) Die Institute stützen sich bei der Zuordnung von Risikopositionen zu einem Sektor auf eine marktübliche Klassifikation für die Zuordnung von Emittenten zu Sektoren. Die Institute ordnen jede Tranche jeweils nur einer der Sektor-Unterklassen in Tabelle 7 zu. Risikopositionen in einer Tranche, die ein Institut nicht auf diese Weise einem Sektor zuordnen kann, werden der Unterklasse 25 zugewiesen.
Artikel 325an Innerhalb der Unterklasse anwendbare Korrelationen für das Kreditspreadrisiko von nicht in das alternative Korrelationshandelsportfolio einbezogenen Verbriefungspositionen
(1) Zwischen zwei der gleichen Unterklasse zugehörigen Sensitivitäten WSk und WSl wird der Korrelationsparameter ρkl wie folgt festgelegt:
ρkl = ρkl(tranche) . ρkl(tenor) . ρkl(basis)
dabei gilt:
ρkl(tranche) entspricht dem Wert 1, wenn die beiden Namen der Sensitivitäten k und l der gleichen Unterklasse zugehören und sich auf die gleiche Verbriefungstranche (Überschneidung von mindestens 80 % nominal) beziehen, und in allen anderen Fällen 40 %;
ρkl(tenor) entspricht dem Wert 1, wenn die beiden Scheitelpunkte der Sensitivitäten k und l identisch sind, und in allen anderen Fällen 80 %; und
ρkl(basis) entspricht dem Wert 1, wenn sich die beiden Sensitivitäten auf die gleichen Kurven beziehen, und in allen anderen Fällen 99,90 %.
(2) Die Korrelationsparameter nach Absatz 1 gelten nicht für die Unterklasse 25. Die Eigenmittelanforderung der Aggregationsformel für das Delta-Faktor-Risiko innerhalb der Unterklasse 25 entspricht der Summe der absoluten Werte der gewichteten Netto-Sensitivitäten dieser Unterklasse:
Artikel 325ao Über Unterklassen hinweg anwendbare Korrelationen für das Kreditspreadrisiko bei nicht in das alternative Korrelationshandelsportfolio einbezogenen Verbriefungspositionen19
(1) Der Korrelationsparameter γbc wird für die Aggregation von Sensitivitäten zwischen verschiedenen Unterklassen auf 0 % festgesetzt.
(2) Die Eigenmittelanforderung der Unterklasse 25 wird dem Gesamtkapital der Risikoklasse hinzuaddiert; es werden keine Diversifizierungs- oder Absicherungseffekte mit anderen Unterklassen anerkannt.
Artikel 325ap Risikogewichte des Aktienkursrisikos
(1) Die Risikogewichte für die Sensitivitäten gegenüber Risikofaktoren des Aktienkursrisikos und des Eigenkapital-Reposatzes werden für jede Unterklasse in Tabelle 8 gemäß dem delegierten Rechtsakt nach Artikel 461a spezifiziert.
| Unterklasse | Marktkapitalisierung | Art der Volkswirtschaft | Sektor | Risikogewicht Aktienkassakurs | Risikogewicht Aktien-Reposatz |
| 1 | Hohe Marktkapitalisierung | Aufstrebende Volkswirtschaft | Verbrauchsgüter und Dienstleistungen, Verkehr und Lagerung, Erbringung sonstiger wirtschaftlicher Dienstleistungen, Gesundheitswesen, Versorgungsunternehmen | 55 % | 0,55 % |
| 2 | Telekommunikation, Industriegüter | 60 % | 0,60 % | ||
| 3 | Grundstoffe, Energie, Landwirtschaft, verarbeitendes Gewerbe/Herstellung von Waren, Bergbau und Gewinnung von Steinen und Erden | 45 % | 0,45 % | ||
| 4 | Finanzunternehmen, einschließlich staatlich geförderter Unternehmen, Grundstücks- und Wohnungswesen, Technologie | 55 % | 0,55 % | ||
| 5 | Fortschrittliche Volkswirtschaft | Verbrauchsgüter und Dienstleistungen, Verkehr und Lagerung, Erbringung sonstiger wirtschaftlicher Dienstleistungen, Gesundheitswesen, Versorgungsunternehmen | 30 % | 0,30 % | |
| 6 | Telekommunikation, Industriegüter | 35 % | 0,35 % | ||
| 7 | Grundstoffe, Energie, Landwirtschaft, verarbeitendes Gewerbe/Herstellung von Waren, Bergbau und Gewinnung von Steinen und Erden | 40 % | 0,40 % | ||
| 8 | Finanzunternehmen, einschließlich staatlich geförderter Unternehmen, Grundstücks- und Wohnungswesen, Technologie | 50 % | 0,50 % | ||
| 9 | Geringe Marktkapitalisierung | Aufstrebende Volkswirtschaft | Alle Sektoren der Unterklassen 1, 2, 3 und 4 | 70 % | 0,70 % |
| 10 | Fortschrittliche Volkswirtschaft | Alle Sektoren der Unterklassen 5, 6, 7 und 8 | 50 % | 0,50 % | |
| 11 | Sonstige Sektoren | 70 % | 0,70 % | ||
| 12 | Indizes hohe Marktkapitalisierung, fortschrittliche Volkswirtschaften | 15 % | 0,15 % | ||
| 13 | Sonstige Indizes | 25 % | 0,25 % | ||
(2) Für die Zwecke dieses Artikels wird in den technischen Regulierungsstandards nach Artikel 325bd Absatz 7 festgelegt, was unter einer geringen und einer hohen Marktkapitalisierung zu verstehen ist.
(3) Für die Zwecke dieses Artikels arbeitet die EBa Entwürfe technischer Regulierungsstandards aus, in denen festgelegt wird, was unter einer aufstrebenden und was unter einer fortschrittlichen Volkswirtschaft zu verstehen ist.
Die EBa übermittelt der Kommission diese Entwürfe technischer Regulierungsstandards bis zum 28. Juni 2021.
Der Kommission wird die Befugnis übertragen, die in Unterabsatz 1 genannten technischen Regulierungsstandards gemäß den Artikeln 10 bis 14 der Verordnung (EU) Nr. 1093/2010 zur Ergänzung dieser Verordnung zu erlassen.
(4) Die Institute stützen sich bei der Zuordnung von Risikopositionen zu einem Sektor auf eine marktübliche Klassifikation für die Zuordnung von Emittenten zu Sektoren. Die Institute ordnen jeden Emittenten einer der Unterklassen in Tabelle 8 zu und ordnen jeden Emittenten der gleichen Branche dem gleichen Sektor zu. Risikopositionen in Emittenten, die ein Institut nicht auf diese Weise einem Sektor zuordnen kann, werden der Unterklasse 11 in Tabelle 8 zugewiesen. In mehreren Ländern oder Sektoren tätige Emittenten werden ihrer Unterklasse auf der Grundlage der wichtigsten Region und des wichtigsten Sektors, in dem sie tätig sind, zugeordnet.
Artikel 325aq Innerhalb der Unterklasse anwendbare Korrelationen für das Aktienkursrisiko
(1) Der Delta-Faktor-Risiko-Korrelationsparameter ρkl
wird zwischen zwei der gleichen Unterklasse zugehörigen Sensitivitäten S und S auf 99,90 % festgesetzt, wobei sich eine der Sensitivitäten auf den Aktien-Kassakurs und die andere auf den Aktien-Reposatz bezieht und sich beide Sensitivitäten auf die gleiche Emittenten-Adresse beziehen.(2) In anderen Fällen als den in Absatz 1 genannten wird der Korrelationsparameter ρkl zwischen zwei der gleichen Unterklasse zugehörigen Sensitivitäten WSk und WSl gegenüber dem Aktien-Kassakurs wie folgt festgelegt:
(3) Der Korrelationsparameterρkl zwischen zwei der gleichen Unterklasse zugehörigen SensitivitätenWSk undWSl gegenüber dem Aktien-Reposatz wird gemäß Absatz 2 Buchstaben a bis d festgelegt.
(4) Bezieht sich von den beiden der gleichen Unterklasse zugehörigen Sensitivitäten WSk und WSl eine auf einen Aktien-Kassakurs und die andere auf einen Eigenkapital-Reposatz und beziehen sich beide Sensitivitäten auf eine unterschiedliche Emittenten-Adresse, so entspricht der Korrelationsparameter ρkl den Korrelationsparametern nach Absatz 2, multipliziert mit 99,90 %.
(5) Die Korrelationsparameter nach den Absätzen 1 bis 4 gelten nicht für die Unterklasse 11. Die Kapitalanforderung der Aggregationsformel für das Delta-Faktor-Risiko innerhalb der Unterklasse 11 entspricht der Summe der absoluten Werte der gewichteten Netto-Sensitivitäten dieser Unterklasse:
Artikel 325ar Über Unterklassen hinweg anwendbare Korrelationen des Aktienkursrisikos
Der Korrelationsparameterc gilt für die Aggregation von Sensitivitäten zwischen verschiedenen Unterklassen.
Für die in Artikel 325ap Tabelle 8 genannten Unterklassen wird er wie folgt festgesetzt:
Artikel 325as Risikogewichte für das Warenpositionsrisiko
Den Sensitivitäten gegenüber Warenpositionsrisikofaktoren werden folgende Risikogewichte zugewiesen:
| Unterklasse | Bezeichnung der Unterklasse | Risikogewicht |
| 1 | Energie - feste Brennstoffe | 30 % |
| 2 | Energie - flüssige Brennstoffe | 35 % |
| 3 | Energie - Strom- und Emissionshandel | 60 % |
| 4 | Güterbeförderung | 80 % |
| 5 | Unedle Metalle | 40 % |
| 6 | Gasförmige Brennstoffe | 45 % |
| 7 | Edelmetalle (einschließlich Gold) | 20 % |
| 8 | Körner und Ölsaaten | 35 % |
| 9 | Vieh- und Milchwirtschaft | 25 % |
| 10 | Weichwaren und andere Agrarerzeugnisse | 35 % |
| 11 | Sonstige Waren | 50 % |
Artikel 325at Innerhalb der Unterklasse anwendbare Korrelationen für das Warenpositionsrisiko
(1) Für die Zwecke dieses Artikels werden zwei Waren als getrennte Waren betrachtet, wenn es auf dem Markt zwei Kontrakte gibt, die sich ausschließlich im Hinblick auf die zugrunde liegende Ware, die vertragsgemäß zu liefern ist, unterscheiden.
(2) Zwischen zwei der gleichen Unterklasse zugehörigen Sensitivitäten WSk und WSl wird der Korrelationsparameter ρkl wie folgt festgelegt:
ρkl = ρkl(commodity) . ρkl(tenor) . ρkl(basis)
dabei gilt:
ρkl(commodity) entspricht dem Wert 1, wenn die beiden Waren der Sensitivitäten k und l identisch sind, und in allen anderen Fällen den innerhalb der Unterklasse anwendbaren Korrelationen in Tabelle 10;
ρkl(tenor) entspricht dem Wert 1, wenn die beiden Scheitelpunkte der Sensitivitäten k und l identisch sind, und in allen anderen Fällen 99 %; und
ρkl(basis) entspricht dem Wert 1, wenn die beiden Sensitivitäten hinsichtlich des Lieferorts der Ware identisch sind, und in allen anderen Fällen 99,90 %.
(3) Die innerhalb der Unterklasse anwendbaren Korrelationen ρkl(commodity) sind
| Unterklasse | Bezeichnung der Unterklasse | Korrelation ρkl(commodity) |
| 1 | Energie - feste Brennstoffe | 55 % |
| 2 | Energie - flüssige Brennstoffe | 95 % |
| 3 | Energie - Elektrizität und Emissionshandel | 40 % |
| 4 | Güterbeförderung | 80 % |
| 5 | unedle Metalle | 60 % |
| 6 | gasförmige Brennstoffe | 65 % |
| 7 | Edelmetalle (einschließlich Gold) | 55 % |
| 8 | Körner und Ölsaat | 45 % |
| 9 | Vieh- und Milchwirtschaft | 15 % |
| 10 | Weichwaren und andere Agrarerzeugnisse | 40 % |
| 11 | andere Erzeugnisse | 15 % |
(4) Ungeachtet des Absatzes 1 gilt Folgendes:
Artikel 325au Über Unterklassen hinweg anwendbare Korrelationen des Warenpositionsrisikos
Der Korrelationsparameter γbc wird für die Aggregation von Sensitivitäten zwischen verschiedenen Unterklassen wie folgt festgesetzt:
Artikel 325av Risikogewichte des Fremdwährungsrisikos
(1) Allen Sensitivitäten von Fremdwährungsrisikofaktoren wird ein Risikogewicht von 15 % zugewiesen.
(2) Das Risikogewicht für Risikofaktoren des Fremdwährungsrisikos bei Währungspaaren aus dem Euro und der Währung eines an der zweiten Stufe der Wirtschafts- und Währungsunion (WKM II) teilnehmenden Mitgliedstaats ist entweder
(3) Ungeachtet des Absatzes 2 ist für Risikofaktoren des Fremdwährungsrisikos bei in Absatz 2 genannten Währungen, die mit einer offiziell vereinbarten Schwankungsbandbreite am WKM II teilnehmen, die kleiner ist als die Standardbandbreite von +/- 15 %, das Risikogewicht gleich der prozentualen Höchstschwankung innerhalb dieser kleineren Bandbreite.
(4) Das Risikogewicht für Risikofaktoren des Fremdwährungsrisikos der liquidesten Währungspaarunterkategorie gemäß Artikel 325bd Absatz 7 Buchstabe c ist das Risikogewicht nach Absatz 1 des vorliegenden Artikels, dividiert durch √2.
(5) Geht aus den täglichen Wechselkursen der vorangegangenen drei Jahre hervor, dass ein Währungspaar, das aus Euro und einer anderen Währung als Euro eines Mitgliedstaats besteht, konstant ist und das Institut jederzeit eine Geld-Brief-Spanne von Null für die jeweiligen Abschlüsse in Bezug auf dieses Währungspaar erwarten kann, so darf das Institut das Risikogewicht nach Absatz 1 dividiert durch 2 anwenden, sofern ihm dies von seiner zuständigen Behörde ausdrücklich genehmigt wurde.
Artikel 325aw Korrelationen des Fremdwährungsrisikos
Für die Aggregation von Wechselkurs-Sensitivitäten gilt ein einheitlicher Korrelationsparameter γbc von 60 %.
Unterabschnitt 2
Risikogewichte und Korrelationen für Vega- und Krümmungsrisiken
Artikel 325ax Risikogewichte für Vega- und Krümmungsrisiken
(1) Für Vega-Risikofaktoren gelten die Delta-Unterklassen nach Unterabschnitt 1.
(2) Das Risikogewicht für einen bestimmten Vega-Risikofaktor k wird als Anteil am aktuellen Wert dieses Risikofaktors k bestimmt, der die implizite Volatilität des Basiswerts gemäß Abschnitt 3 angibt.
(3) Der in Absatz 2 genannte Anteil ist abhängig von der angenommenen Liquidität des jeweiligen Risikofaktortyps gemäß folgender Formel:
dabei gilt:
RWk = das Risikogewicht für einen bestimmten Vega-Risikofaktor k;
RWσ wird auf 55 % festgesetzt; und
LHrisk class entspricht dem regulierungsrechtlichen Liquiditätshorizont, der bei der Bestimmung jedes Vega-Risikofaktors k vorgegeben wird.
LHriskclass wird gemäß folgender Tabelle bestimmt:
| Risikoklasse | LHRisikoklasse | Risikogewichte |
| Allgemeines Zinsrisiko | 60 | 100 % |
| Kreditspreadrisiko bei Nicht-Verbriefungspositionen | 120 | 100 % |
| Kreditspreadrisiko bei in das alternative Korrelationshandelsportfolio einbezogenen Verbriefungspositionen | 120 | 100 % |
| Kreditspreadrisiko bei nicht in das alternative Korrelationshandelsportfolio einbezogenen Verbriefungspositionen | 120 | 100 % |
| Aktienkurs (hohe Marktkapitalisierung und Indizes) | 20 | 77,78 % |
| Aktienkurs (geringe Marktkapitalisierung und sonstige Sektoren) | 60 | 100 % |
| Waren | 120 | 100 % |
| Fremdwährung | 40 | 100 % |
(4) Im Hinblick auf das Krümmungsrisiko werden - vorbehaltlich anderer Vorgaben in diesem Kapitel - die im Zusammenhang mit dem Delta-Faktor-Risiko gemäß Unterabschnitt 1 verwendeten Unterklassen angewandt.
(5) Im Hinblick auf Krümmungsrisikofaktoren des Fremdwährungsrisikos und des Aktienkursrisikos werden die Risikogewichte des Krümmungsrisikos als relative Verschiebungen entsprechend den Risikogewichten des Delta-Faktor-Risikos gemäß Unterabschnitt 1 angewandt.
(6) Im Hinblick auf Krümmungsrisikofaktoren des allgemeinen Zinsrisikos, Kreditspreadrisikos und Warenpositionsrisikos werden die Risikogewichte des Krümmungsrisikos als parallele Verschiebungen aller Scheitelpunkte jeder Kurve auf der Grundlage des höchsten, in Unterabschnitt 1 für die jeweilige Risikoklasse genannten Delta-Risikogewichts angewandt.
Artikel 325ay Korrelationen für Vega- und Krümmungsrisiko
(1) Zwischen Vega-Risikosensitivitäten innerhalb derselben Unterklasse der Klasse des allgemeinen Zinsrisikos (GIRR-Risikoklasse) wird der Korrelationsparameter ρkl wie folgt festgelegt:

(2) Zwischen Vega-Risikosensitivitäten innerhalb einer Unterklasse der anderen Risikoklassen wird der Korrelationsparameter ρkl wie folgt festgesetzt:
dabei gilt:
entspricht der innerhalb der Unterklasse anwendbaren Delta-Korrelation für die Unterklasse, der die Vega-Risikofaktoren k und l zugewiesen würden; und
wird gemäß Absatz 1 festgesetzt.
(3) Im Hinblick auf über Unterklassen hinweg anwendbare Vega-Risikosensitivitäten innerhalb einer Risikoklasse (GIRR und Nicht-GIRR) wird im Zusammenhang mit dem Vega-Risiko der in Abschnitt 4 für Delta-Korrelationen jeder Risikoklasse festgelegte Korrelationsparameter für γbc angewandt.
(4) Es wird zwischen Vega-Risikofaktoren und Delta-Risikofaktoren keine im Standardansatz anerkannte Diversifizierungs- oder Absicherungseffekte geben. Vega-Risikoanforderungen und Delta-Risikoanforderungen werden mittels einfacher Summierung aggregiert.
(5) Die Korrelationen des Krümmungsrisikos entsprechen dem Quadrat der entsprechenden Delta-Risikokorrelationen ρkl und γbc nach Unterabschnitt 1.
Kapitel 1B
Alternativer auf einem internen Modell beruhender Ansatz
Abschnitt 1
Erlaubnis und Eigenmittelanforderungen
Artikel 325az Alternativer auf einem internen Modell beruhender Ansatz und Erlaubnis zur Verwendung alternativer interner Modelle
(1) Der alternative auf einem internen Modell beruhende Ansatz gemäß diesem Kapitel darf nur für die Zwecke der in Artikel 430b Absatz 3 festgelegten Meldepflicht angewandt werden.
(2) Nachdem die zuständigen Behörden überprüft haben, dass die Institute die Anforderungen der Artikel 325bh, 325bi und 325bj erfüllen, erteilen sie diesen die Erlaubnis, für das Portfolio sämtlicher Positionen, die einem Handelstisch zugewiesen sind, ihre Eigenmittelanforderungen anhand ihrer alternativen internen Modelle nach Artikel 325ba zu berechnen, sofern alle folgenden Anforderungen erfüllt sind:
Für die Zwecke von Unterabsatz 1 Buchstabe b des vorliegenden Absatzes darf die Nicht-Einbeziehung eines Handelstisches im Rahmen des alternativen auf einem internen Modell beruhenden Ansatzes nicht damit begründet werden, dass dadurch die Eigenmittelanforderung, die anhand des alternativen Standardansatzes gemäß Artikel 325 Absatz 3 Buchstabe a berechnet wird, niedriger wäre als die Eigenmittelanforderung, die anhand des alternativen auf einem internen Modell beruhenden Ansatzes berechnet wird.
(3) Institute, denen die Erlaubnis zur Verwendung des alternativen auf einem internen Modell beruhenden Ansatzes erteilt wurde, erstatten den zuständigen Behörden gemäß Artikel 430b Absatz 3 Meldung.
(4) Ein Institut, dem die Erlaubnis nach Absatz 2 erteilt wurde, meldet den zuständigen Behörden unverzüglich, dass einer seiner Handelstische zumindest eine der in dem genannten Absatz festgelegten Anforderungen nicht mehr erfüllt. Ab dem nächsten Meldestichtag und solange das Institut den zuständigen Behörden gegenüber nicht nachweist, dass dieser Handelstisch erneut alle in Absatz 2 festgelegten Anforderungen erfüllt, darf es das vorliegende Kapitel auf keine der diesem Handelstisch zugewiesenen Positionen mehr anwenden und berechnet die Eigenmittelanforderungen für das Marktrisiko für alle diesem Handelstisch zugewiesenen Positionen gemäß dem in Kapitel 1a dargelegten Ansatz.
(5) Abweichend von Absatz 4 und unter außergewöhnlichen Umständen können die zuständigen Behörden einem Institut, wenn ein Handelstisch die in Absatz 2 Buchstabe c des vorliegenden Artikels und in Artikel 325bg Absatz 1 festgelegten Anforderungen nicht mehr erfüllt, erlauben, seine Eigenmittelanforderungen für das Marktrisiko dieses Handelstisches weiterhin anhand seiner alternativen internen Modelle zu berechnen. Wenn eine zuständige Behörde eine solche Erlaubnis erteilt, unterrichtet sie die EBa und begründet ihre Entscheidung.
(6) Für die Positionen, die den Handelstischen zugewiesen sind, für die einem Institut keine Erlaubnis nach Absatz 2 erteilt wurde, berechnet dieses Institut die Eigenmittelanforderungen für das Marktrisiko gemäß Kapitel 1a dieses Titels. Für die Zwecke dieser Berechnung werden alle diese Positionen als eigenständige Einzelportfolios betrachtet.
(7) Wesentliche Änderungen bei der Verwendung der alternativen internen Modelle, deren Verwendung einem Institut gestattet wurde, die Erweiterung der Verwendung dieser gestatteten Modelle sowie wesentliche Änderungen bei der durch das Institut getroffenen Auswahl der Untergruppe der modellierbaren Risikofaktoren nach Artikel 325bc Absatz 2 erfordern eine gesonderte Erlaubnis der zuständigen Behörden.
Die Institute melden den zuständigen Behörden alle sonstigen Erweiterungen und Änderungen bei der den Instituten gestatteten Verwendung der alternativen internen Modelle.
(8) Die EBa arbeitet Entwürfe technischer Regulierungsstandards aus, in denen Folgendes festgelegt wird:
Die EBa übermittelt der Kommission diese Entwürfe technischer Regulierungsstandards bis zum 28. Juni 2024.
Der Kommission wird die Befugnis übertragen, die in Unterabsatz 1 genannten technischen Regulierungsstandards gemäß den Artikeln 10 bis 14 der Verordnung (EU) Nr. 1093/2010 zur Ergänzung dieser Verordnung zu erlassen.
(9) Die EBa arbeitet Entwürfe technischer Regulierungsstandards aus, in denen festgelegt wird, unter welchen außergewöhnlichen Umständen die zuständigen Behörden einem Institut erlauben können,
Die EBa übermittelt der Kommission diese Entwürfe technischer Regulierungsstandards bis zum 28. Juni 2024.
Der Kommission wird die Befugnis übertragen, die in Unterabsatz 1 genannten technischen Regulierungsstandards gemäß den Artikeln 10 bis 14 der Verordnung (EU) Nr. 1093/2010 zur Ergänzung dieser Verordnung zu erlassen.
Artikel 325ba Eigenmittelanforderungen bei der Verwendung alternativer interner Modelle
(1) Jedes Institut, das ein alternatives internes Modell verwendet, berechnet für das Portfolio sämtlicher Positionen, die den Handelstischen zugewiesen sind, für die dem Institut eine Erlaubnis nach Artikel 325az Absatz 2 erteilt wurde, eine Eigenmittelanforderung, die dem höheren der folgenden Werte entspricht:
(2) Institute, die den Handelstischen nach Absatz 1 zugewiesene Positionen in gehandelten Schuldtiteln und Aktieninstrumenten halten, die im internen Modell zur Erfassung von Ausfallrisiken berücksichtigt werden, erfüllen eine zusätzliche Eigenmittelanforderung, die dem höheren der folgenden Werte entspricht:
Abschnitt 2
Allgemeine Anforderungen
Artikel 325bb Risikomaß Expected Shortfall
(1) Die Institute berechnen den in Artikel 325ba Absatz 1 Buchstabe a genannten Expected Shortfall für jeden Tag t und jedes Portfolio von Handelsbuchpositionen und Positionen im Anlagebuch, die einem Fremdwährungs- oder Warenpositionsrisiko unterliegen, wie folgt:
dabei gilt:
| ESt | = | der Expected Shortfall; | ||||||||||||
| i | = | der Index der Risikofaktorgruppe gemäß den fünf in der ersten Spalte von Tabelle 2 in Artikel 325bd angeführten Risikofaktorgruppen; | ||||||||||||
| UESt | = | der undiversifizierte Expected Shortfall gemäß folgender Berechnung:
|
||||||||||||
![]() |
= | der undiversifizierte Expected Shortfall für die Risikofaktorgruppe i gemäß folgender Berechnung:
|
||||||||||||
|
||||||||||||||
![]() |
= | der partielle Expected Shortfall für die Risikofaktorgruppe i, der für alle Positionen des Portfolios gemäß Artikel 325bc Absatz 2 berechnet wird; | ||||||||||||
![]() |
= | der partielle Expected Shortfall für die Risikofaktorgruppe i, der für alle Positionen des Portfolios gemäß Artikel 325bc Absatz 3 berechnet wird; und | ||||||||||||
![]() |
= | der partielle Expected Shortfall für die Risikofaktorgruppe i, der für alle Positionen des Portfolios gemäß Artikel 325bc Absatz 4 berechnet wird. | ||||||||||||
(2) Bei der Bestimmung der jeweiligen in die Berechnung des Expected Shortfall nach Absatz 1 einfließenden partiellen Expected Shortfalls wenden die Institute nach Artikel 325bc Szenarien künftiger Schocks jeweils nur auf die Untergruppe der modellierbaren Risikofaktoren des jeweiligen partiellen Expected Shortfall an.
(3) Wenn mindestens eine Transaktion des Portfolios mindestens einen modellierbaren Risikofaktor aufweist, der der Risikofaktorgruppe i gemäß Artikel 325bd zugeordnet werden kann, berechnet das Institut den undiversifizierten Expected Shortfall für die Risikofaktorgruppe i und setzt diesen in die in Absatz 1 des vorliegenden Artikels angegebene Formel für den Expected Shortfall ein.
(4) Abweichend von Absatz 1 kann ein Institut die Häufigkeit der Berechnung der undiversifizierten Expected Shortfalls
und der partiellen Expected Shortfalls
,
und
für alle Risikofaktorgruppen i von täglich zu wöchentlich verringern, sofern die beiden folgenden Bedingungen erfüllt sind:
nicht unterschätzt wird;
,
,
und
von wöchentlich zu täglich zu erhöhen, wenn dies von der zuständigen Behörde verlangt wird.Artikel 325bc Berechnung der partiellen Expected Shortfalls
(1) Für die Berechnung sämtlicher in Artikel 325bb Absatz 1 genannten partiellen Expected Shortfalls gehen die Institute wie folgt vor:
dabei gilt:
| PESt | = | der partielle Expected Shortfall zum Zeitpunkt t; |
| j | = | der Index des Liquiditätshorizonts gemäß den fünf in der ersten Spalte von Tabelle 1 aufgeführten Liquiditätshorizonten; |
| LHj | = | die Dauer des Liquiditätshorizonts j in Tagen gemäß Tabelle 1; |
| T | = | der Basishorizont; dabei gilt T = 10 Tage; |
| PESt(T) | = | der partielle Expected Shortfall, der sich ergibt, wenn gemäß den Absätzen 2, 3 und 4 für jeden partiellen Expected Shortfall nach Artikel 325bb Absatz 1 Szenarien künftiger Schocks mit einem Zeithorizont von 10 Tagen nur auf die Untergruppe modellierbarer Risikofaktoren der Positionen des Portfolios angewandt werden; und |
| PESt(T, j) | = | der partielle Expected Shortfall, der sich ergibt, wenn gemäß den Absätzen 2, 3 und 4 für jeden partiellen Expected Shortfall nach Artikel 325bb Absatz 1 Szenarien künftiger Schocks mit einem Zeithorizont von 10 Tagen nur auf die Untergruppe modellierbarer Risikofaktoren der Positionen des Portfolios angewandt werden, deren effektiver Liquiditätshorizont nach Artikel 325bd Absatz 2 mindestens LHj beträgt. |
| Liquiditätshorizont j | Dauer des Liquiditätshorizonts j (in Tagen) |
| 1 | 10 |
| 2 | 20 |
| 3 | 40 |
| 4 | 60 |
| 5 | 120 |
(2) Für die Berechnung der in Artikel 325bb Absatz 1 genannten partiellen Expected Shortfalls
und
erfüllen die Institute neben den Anforderungen nach Absatz 1 des vorliegenden Artikels die folgenden Anforderungen:
wenden die Institute die Szenarien künftiger Schocks lediglich auf die modellierbaren Risikofaktoren derjenigen Positionen des Portfolios an, die der Untergruppe der modellierbaren Risikofaktoren angehören, die das Institut im Einvernehmen mit der zuständigen Behörde in einer Weise ausgewählt hat, die sicherstellt, dass auf der Grundlage der über die letzten 60 Geschäftstage gebildeten Summe die folgende Bedingung erfüllt wird:
Wenn ein Institut die in Absatz 1 genannte Anforderung nicht mehr erfüllt, unterrichtet es unverzüglich die zuständigen Behörden und aktualisiert die Untergruppe der modellierbaren Risikofaktoren innerhalb von zwei Wochen, sodass die Anforderung erneut erfüllt wird; erfüllt das Institut die Anforderung nach Ablauf von zwei Wochen nicht, so berechnet das Institut die Eigenmittelanforderungen für das Marktrisiko für bestimmte Handelstische gemäß dem in Kapitel 1a dargelegten Ansatz, bis es der zuständigen Behörde gegenüber nachweisen kann, dass es die in Unterabsatz 1 genannte Anforderung erfüllt;
wenden die Institute die Szenarien künftiger Schocks lediglich auf die modellierbaren Risikofaktoren derjenigen Positionen des Portfolios an, die der Untergruppe der modellierbaren Risikofaktoren angehören, die das Institut für die Zwecke des Buchstabens a des vorliegenden Absatzes ausgewählt hat und die der Risikofaktorgruppe i gemäß Artikel 325bd zugeordnet wurden;
maximiert wird. Für die Ermittlung der Stressphase legen die Institute im Einvernehmen mit den zuständigen Behörden einen Beobachtungszeitraum zugrunde, der spätestens am 1. Januar 2007 beginnt; und
einfließenden Daten anhand des Zwölfmonatszeitraums mit Finanzstress, den es für die Zwecke des Buchstabens c festgelegt hat.(3) Für die Berechnung der in Artikel 325bb Absatz 1 genannten partiellen Expected Shortfalls
und
erfüllen die Institute neben den Anforderungen nach Absatz 1 des vorliegenden Artikels die folgenden Anforderungen:
wenden die Institute die Szenarien künftiger Schocks lediglich auf die modellierbaren Risikofaktoren derjenigen Positionen des Portfolios an, die der Untergruppe der modellierbaren Risikofaktoren gemäß Absatz 2 Buchstabe a angehören;
wenden die Institute die Szenarien künftiger Schocks lediglich auf die modellierbaren Risikofaktoren derjenigen Positionen des Portfolios an, die der Untergruppe der modellierbaren Risikofaktoren gemäß Absatz 2 Buchstabe b angehören;(4) Für die Berechnung der in Artikel 325bb Absatz 1 genannten partiellen Expected Shortfalls
und
erfüllen die Institute neben den Anforderungen nach Absatz 1 des vorliegenden Artikels die folgenden Anforderungen:
wenden die Institute die Szenarien künftiger Schocks auf sämtliche modellierbaren Risikofaktoren der Positionen des Portfolios an;
wenden die Institute die Szenarien künftiger Schocks auf sämtliche modellierbaren Risikofaktoren der Positionen des Portfolios an, die der Risikofaktorgruppe i gemäß Artikel 325bd zugeordnet wurden;(5) Bei der Berechnung eines partiellen Expected Shortfall nach Artikel 325bb Absatz 1 behalten die Institute für partielle Expected Shortfalls, auf deren modellierbare Risikofaktoren sie nicht gemäß den Absätzen 2, 3 oder 4 des vorliegenden Artikels Szenarien künftiger Schocks anwenden müssen, die Werte der modellierbaren Risikofaktoren bei.
Artikel 325bd Liquiditätshorizonte
(1) Die Institute ordnen jeden Risikofaktor von Positionen, die den Handelstischen zugewiesen sind, für die ihnen die in Artikel 325az Absatz 2 genannte Erlaubnis erteilt wurde oder eine Erlaubnis beantragt wurde, einer der in Tabelle 2 aufgeführten Risikofaktorgruppen sowie einer der dort aufgeführten Risikofaktor-Untergruppen zu.
(2) Der Liquiditätshorizont eines Risikofaktors für Positionen nach Absatz 1 ist der Liquiditätshorizont der entsprechenden Risikofaktor-Untergruppe, der dieser Faktor zugeordnet wurde.
(3) Abweichend von Absatz 1 des vorliegenden Artikels kann ein Institut für einen bestimmten Handelstisch beschließen, anstelle des Liquiditätshorizonts der Risikofaktor-Untergruppe nach Tabelle 2 des vorliegenden Artikels einen längeren Liquiditätshorizont nach Tabelle 1 des Artikels 325bc zu verwenden. Beschließt ein Institut diese Vorgehensweise, so gilt für die Zwecke der Berechnung der partiellen Expected Shortfalls gemäß Artikel 325bc Absatz 1 Buchstabe c dieser längere Liquiditätshorizont für sämtliche modellierbaren Risikofaktoren der diesem Handelstisch zugewiesenen Positionen, die dieser Risikofaktor-Untergruppe zugeordnet wurden.
Die Institute melden den zuständigen Behörden, für welche Handelstische und welche Risikofaktor-Untergruppen sie die in Unterabsatz 1 beschriebene Vorgehensweise beschließen.
(4) Zum Zwecke der Berechnung der partiellen Expected Shortfalls gemäß Artikel 325bc Absatz 1 Buchstabe c wird der effektive Liquiditätshorizont jedes modellierbaren Risikofaktors einer Handelsbuchposition oder einer Position im Anlagebuch, die einem Fremdwährungs- oder Warenpositionsrisiko unterliegt, wie folgt berechnet:
|
EffectiveLH = |
SubCatLH if Mat > LH5 | |
| min (SubCatLH, minj{LHj/LHj ≥ Mat}) if LH1 ≤ Mat ≤ LH5 | ||
| LH1 if Mat < LH1 |
dabei gilt:
| EffectiveLH | = | der effektive Liquiditätshorizont; |
| Mat | = | die Laufzeit der Handelsbuchposition; |
| SubCatLH | = | der Liquiditätshorizont des gemäß Absatz 1 ermittelten modellierbaren Risikofaktors; und |
| minj {LHj/LHj ≥ Mat} | = | der in Artikel 325bc Tabelle 1 aufgeführte Liquiditätshorizont, der als erster Liquiditätshorizont auf die Laufzeit der Handelsbuchposition folgt. |
(5) Innerhalb der Risikofaktorgruppe "Fremdwährung" in Tabelle 2 zählen Währungspaare aus dem Euro und der Währung eines Mitgliedstaats, der am WKM II teilnimmt, zu der Untergruppe der liquidesten Währungspaare.
(6) Die Institute überprüfen die Angemessenheit der Zuordnung nach Absatz 1 mindestens monatlich.
(7) Die EBa arbeitet Entwürfe technischer Regulierungsstandards aus, in denen Folgendes festgelegt wird:
Die EBa übermittelt der Kommission diese Entwürfe technischer Regulierungsstandards bis zum 28. März 2020.
Der Kommission wird die Befugnis übertragen, die in Unterabsatz 1 genannten technischen Regulierungsstandards gemäß den Artikeln 10 bis 14 der Verordnung (EU) Nr. 1093/2010 zur Ergänzung dieser Verordnung zu erlassen.
| Risikofaktorgruppe | Risikofaktor-Untergruppe | Liquiditätshorizont | Dauer des Liquiditätshorizonts (in Tagen) |
| Zinssatz | Liquideste Währungen und Landeswährung | 1 | 10 |
| Sonstige Währungen (ohne die liquidesten Währungen) | 2 | 20 | |
| Volatilität | 4 | 60 | |
| Sonstige Arten | 4 | 60 | |
| Kreditspread | Zentralstaat, einschließlich Zentralbanken, der Mitgliedstaaten | 2 | 20 |
| Gedeckte Schuldverschreibungen, die von Kreditinstituten mit Sitz in einem Mitgliedstaat begeben wurden ("Investment grade") | 2 | 20 | |
| Forderungen gegenüber Staaten ("Investment grade") | 2 | 20 | |
| Forderungen gegenüber Staaten ("High yield") | 3 | 40 | |
| Forderungen gegenüber Unternehmen ("Investment grade") | 3 | 40 | |
| Forderungen gegenüber Unternehmen ("High yield") | 4 | 60 | |
| Volatilität | 5 | 120 | |
| Sonstige Arten | 5 | 120 | |
| Aktien | Aktiennotierung (hohe Marktkapitalisierung) | 1 | 10 |
| Aktiennotierung (geringe Marktkapitalisierung) | 2 | 20 | |
| Volatilität (hohe Marktkapitalisierung) | 2 | 20 | |
| Volatilität (geringe Marktkapitalisierung) | 4 | 60 | |
| Sonstige Arten | 4 | 60 | |
| Fremdwährung | Liquideste Währungspaare | 1 | 10 |
| Sonstige Währungspaare (ohne die liquidesten Währungspaare) | 2 | 20 | |
| Volatilität | 3 | 40 | |
| Sonstige Arten | 3 | 40 | |
| Warenpositionen | Energiepreis und Kohlenstoffemissionspreis | 2 | 20 |
| Edelmetallpreis und Buntmetallpreis | 2 | 20 | |
| Sonstige Rohstoffpreise (ohne Energie, Kohlenstoff, Edelmetalle und Buntmetalle) | 4 | 60 | |
| Volatilität der Energie- und Kohlenstoffemissionspreise | 4 | 60 | |
| Volatilität der Edelmetall- und Buntmetallpreise | 4 | 60 | |
| Volatilität der sonstigen Rohstoffpreise (ohne Energie, Kohlenstoff, Edelmetalle und Buntmetalle) | 5 | 120 | |
| Sonstige Arten | 5 | 120 |
Artikel 325be Bewertung der Modellierbarkeit von Risikofaktoren
(1) Die Institute bewerten die Modellierbarkeit sämtlicher Risikofaktoren für Positionen, die den Handelstischen zugewiesen sind, für die ihnen die in Artikel 325ba Absatz 2 genannte Erlaubnis erteilt wurde oder eine Erlaubnis beantragt wurde.
(2) Im Rahmen der in Absatz 1 des vorliegenden Artikels genannten Bewertung berechnen die Institute die Eigenmittelanforderungen für Marktrisiken für die nicht modellierbaren Risikofaktoren gemäß Artikel 325bk.
(3) Die EBa arbeitet Entwürfe technischer Regulierungsstandards aus, in denen die Kriterien für die Bewertung der Modellierbarkeit der Risikofaktoren gemäß Absatz 1 und die Häufigkeit dieser Bewertung festgelegt werden.
Die EBa übermittelt der Kommission diese Entwürfe technischer Regulierungsstandards bis zum 28. März 2020.
Der Kommission wird die Befugnis übertragen, die in Unterabsatz 1 genannten technischen Regulierungsstandards gemäß den Artikeln 10 bis 14 der Verordnung (EU) Nr. 1093/2010 zur Ergänzung dieser Verordnung zu erlassen.
Artikel 325bf Anforderungen an aufsichtliche Rückvergleiche und Multiplikationsfaktoren
(1)Für die Zwecke dieses Artikels liegt eine Überschreitung dann vor, wenn die Eintagesänderung des Werts eines Portfolios, das aus sämtlichen dem Handelstisch zugewiesenen Positionen besteht, die entsprechende Maßzahl des Risikopotenzials überschreitet, die auf der Grundlage des alternativen internen Modells des Instituts gemäß den folgenden Anforderungen errechnet wird:
(2) Die Institute zählen die täglichen Überschreitungen durch Rückvergleiche der hypothetischen und tatsächlichen Änderungen des Werts des Portfolios, das aus sämtlichen dem Handelstisch zugewiesenen Positionen besteht.
(3) Es ist davon auszugehen, dass ein Handelstisch eines Instituts die Rückvergleichsanforderung erfüllt, wenn er in den unmittelbar vorausgegangenen 250 Geschäftstagen nicht mehr als die folgende Höchstzahl von Überschreitungen verzeichnen musste:
(4) Die Institute ermitteln die täglichen Überschreitungen gemäß den folgenden Grundsätzen:
(5) Die Institute berechnen für das Portfolio sämtlicher Positionen, die den Handelstischen zugewiesen sind, für die ihnen eine Erlaubnis zur Verwendung alternativer interner Modelle nach Artikel 325az Absatz 2 erteilt wurde, gemäß den Absätzen 6 und 7 des vorliegenden Artikels den in Artikel 325ba genannten Multiplikationsfaktor mc.
(6) Der Multiplikationsfaktor mc entspricht der Summe aus 1,5 und einem Aufschlag zwischen 0 und 0,5 gemäß Tabelle 3. Für das in Absatz 5 genannte Portfolio errechnet sich dieser Aufschlag auf der Grundlage der Zahl der Überschreitungen, die bei den Rückvergleichen der gemäß Buchstabe a des vorliegenden Unterabsatzes berechneten Maßzahl des Risikopotenzials des Instituts während der unmittelbar vorausgegangenen 250 Geschäftstage zu verzeichnen waren. Die Berechnung des Aufschlags erfüllt die folgenden Bedingungen:
| Zahl der Überschreitungen | Aufschlag |
| Weniger als 5 | 0,00 |
| 5 | 0,20 |
| 6 | 0,26 |
| 7 | 0,33 |
| 8 | 0,38 |
| 9 | 0,42 |
| Mehr als 9 | 0,50 |
Unter außergewöhnlichen Umständen können die zuständigen Behörden den Aufschlag auf den Wert beschränken, der sich für die Überschreitungen bei Rückvergleichen der hypothetischen Änderungen ergibt, wenn die Zahl der Überschreitungen bei Rückvergleichen der tatsächlichen Änderungen nicht auf Defekte des internen Modells zurückzuführen sind.
(7) Die zuständigen Behörden überwachen die Angemessenheit des Multiplikationsfaktors nach Absatz 5 und die Einhaltung der Rückvergleichsanforderungen nach Absatz 3 durch die Handelstische. Die Institute melden den zuständigen Behörden unverzüglich und in jedem Fall binnen fünf Geschäftstagen nach einer Überschreitung, wenn bei ihren Rückvergleichen Überschreitungen ausgewiesen werden, und begründen diese Überschreitungen.
(8) Abweichend von den Absätzen 2 und 6 des vorliegenden Artikels können die zuständigen Behörden einem Institut gestatten, eine Überschreitung nicht zu berücksichtigen, wenn eine Eintagesänderung des Wertes seines Portfolios, die die entsprechende, nach dem internen Modell des Instituts berechnete Maßzahl des Risikopotenzials übersteigt, auf einen nicht modellierbaren Risikofaktor zurückzuführen ist. In diesem Fall weist das Institut der zuständigen Behörde gegenüber nach, dass das gemäß Artikel 325bk berechnete Stressszenario-Risikomaß des nicht modellierbaren Risikofaktors größer ist als die positive Differenz zwischen der Änderung des Portfoliowerts des Instituts und der entsprechenden Maßzahl des Risikopotenzials.
(9) Die EBa arbeitet Entwürfe technischer Regulierungsstandards aus, in denen festgelegt wird, welche konkreten Elemente für die Zwecke dieses Artikels in den hypothetischen und tatsächlichen Änderungen des Portfoliowerts eines Instituts zu berücksichtigen sind.
Die EBa übermittelt der Kommission diese Entwürfe technischer Regulierungsstandards bis zum 28. März 2020.
Der Kommission wird die Befugnis übertragen, die in Unterabsatz 1 genannten technischen Regulierungsstandards gemäß den Artikeln 10 bis 14 der Verordnung (EU) Nr. 1093/2010 zur Ergänzung dieser Verordnung zu erlassen.
Artikel 325bg Anforderung hinsichtlich der Gewinn- und Verlustzuweisung (P&L-Attribution)
(1) Die Anforderungen hinsichtlich der Gewinn- und Verlustzuweisung eines Handelstisches eines Instituts gelten als erfüllt, wenn dieser Handelstisch den im vorliegenden Artikel genannten Anforderungen genügt.
(2) Die Anforderung hinsichtlich der Gewinn- und Verlustzuweisung stellt sicher, dass die auf dem Risikomessmodell des Instituts beruhenden theoretischen Änderungen des Werts des Portfolios eines Handelstisches den auf dem Bewertungsmodell des Instituts beruhenden hypothetischen Änderungen des Werts des Portfolios dieses Handelstisches ausreichend gut entsprechen.
(3) Erfüllt ein Institut die Anforderung hinsichtlich der Gewinn- und Verlustzuweisung, so werden für jede Position eines Handelstisches bestimmte Risikofaktoren ermittelt, anhand deren sich überprüfen lässt, ob das Institut der in Artikel 325bf genannten Rückvergleichsanforderung genügt.
(4) Die EBa arbeitet Entwürfe technischer Regulierungsstandards aus, in denen Folgendes festgelegt wird:
Die EBa übermittelt der Kommission diese Entwürfe technischer Regulierungsstandards bis zum 28. März 2020.
Der Kommission wird die Befugnis übertragen, die in Unterabsatz 1 genannten technischen Regulierungsstandards gemäß den Artikeln 10 bis 14 der Verordnung (EU) Nr. 1093/2010 zur Ergänzung dieser Verordnung zu erlassen.
Artikel 325bh Anforderungen an die Risikomessung
(1) Sofern ein Institut zur Berechnung der Eigenmittelanforderungen für das Marktrisiko nach Artikel 325ba ein internes Risikomessmodell einsetzt, stellt es sicher, dass dieses Modell alle folgenden Anforderungen erfüllt:
(2) Die Institute können innerhalb der Risikofaktorgruppen - und für die Zwecke der Berechnung des undiversifizierten Expected Shortfall UESt nach Artikel 325bb Absatz 1 auch risikofaktorgruppenübergreifend - empirische Korrelationen verwenden, sofern ihr Ansatz zur Korrelationsmessung solide ist, den anwendbaren Liquiditätshorizonten Rechnung trägt und unter Sicherstellung seiner Integrität angewandt wird.
(3) Die EBa gibt bis zum 28. September 2020 gemäß Artikel 16 der Verordnung (EU) Nr. 1093/2010 Leitlinien heraus, in denen Kriterien für die Verwendung der in das Risikomessmodell einfließenden Daten nach Artikel 325bc festgelegt werden.
Artikel 325bi Qualitative Anforderungen
(1) Jedes für die Zwecke dieses Kapitels verwendete interne Risikomessmodell beruht auf einem soliden Ansatz, wird unter Sicherstellung seiner Integrität berechnet und angewandt und erfüllt alle folgenden qualitativen Anforderungen:
Für die Zwecke des Buchstabens h des Unterabsatzes 1 ist ein Dritter ein Unternehmen, das Prüfungs- oder Beratungsdienste für Institute anbietet und dessen Mitarbeiter über ausreichende Qualifikationen im Bereich des Marktrisikos im Handelsgeschäft verfügen.
(2) Die unter Absatz 1 Buchstabe h genannte Prüfung erstreckt sich sowohl auf die Tätigkeiten der Handelstische als auch auf die Tätigkeiten der unabhängigen Abteilung zur Risikosteuerung und -überwachung. Die Institute prüfen mindestens jährlich ihr gesamtes Risikomanagementsystem. Bei dieser Prüfung wird Folgendes bewertet:
(3) Die Institute aktualisieren die Techniken und Verfahren, die sie bei den für die Zwecke dieses Kapitels verwendeten internen Risikomessmodellen einsetzen, um der Entwicklung neuer Techniken und bewährter Verfahren, die sich in Bezug auf diese internen Risikomessmodelle herausbilden, Rechnung zu tragen.
Artikel 325bj Interne Validierung
(1) Die Institute verfügen über Verfahren, die gewährleisten, dass ihre für die Zwecke dieses Kapitels verwendeten internen Risikomessmodelle von entsprechend qualifizierten Stellen, die von der Entwicklung unabhängig sind, angemessen validiert wurden, damit sichergestellt ist, dass sie konzeptionell solide sind und alle wesentlichen Risiken angemessen erfassen.
(2) In den folgenden Fällen nehmen die Institute die in Absatz 1 genannte Validierung vor:
(3) Die Validierung der internen Risikomessmodelle eines Instituts beschränkt sich nicht auf die Rückvergleichsanforderungen und die Anforderungen hinsichtlich der Gewinn- und Verlustzuweisung, sondern umfasst zusätzlich mindestens Folgendes:
Artikel 325bk Berechnung des Stressszenario-Risikomaßes
(1) Das Stressszenario-Risikomaß eines bestimmten nicht modellierbaren Risikofaktors gibt den Verlust an, der für alle im Portfolio enthaltenen Handelsbuchpositionen oder Anlagebuchpositionen, die einem Fremdwährungs- oder Warenpositionsrisiko unterliegen, die diesen nicht modellierbaren Risikofaktor enthalten, entsteht, wenn auf diesen Risikofaktor ein extremes Szenario künftiger Schocks angewandt wird.
(2) Die Institute entwickeln für alle nicht modellierbaren Risikofaktoren geeignete extreme Szenarien künftiger Schocks, für die sie die Einwilligung der zuständigen Behörden erlangen.
(3) Die EBa arbeitet Entwürfe technischer Regulierungsstandards aus, in denen Folgendes festgelegt wird:
Bei der Ausarbeitung dieser Entwürfe technischer Regulierungsstandards berücksichtigt die EBa die Anforderung, dass die Eigenmittelanforderungen für das Marktrisiko für einen nicht modellierbaren Risikofaktor gemäß diesem Artikel genauso hoch sein müssen wie die Eigenmittelanforderungen für das Marktrisiko, die sich aus den Berechnungen nach diesem Kapitel ergeben würden, wenn der Risikofaktor modellierbar wäre.
Die EBa übermittelt der Kommission diese Entwürfe technischer Regulierungsstandards bis zum 28. September 2020.
Der Kommission wird die Befugnis übertragen, die in Unterabsatz 1 genannten technischen Regulierungsstandards gemäß den Artikeln 10 bis 14 der Verordnung (EU) Nr. 1093/2010 zur Ergänzung dieser Verordnung zu erlassen.
Abschnitt 3
Internes Modell zur Erfassung von Ausfallrisiken
Artikel 325bl Anwendungsbereich des internen Modells zur Erfassung von Ausfallrisiken
(1) Sämtliche Positionen, die den Handelstischen zugewiesen sind, für die einem Institut die in Artikel 325az Absatz 2 genannte Erlaubnis erteilt wurde, unterliegen einer Eigenmittelanforderung für das Ausfallrisiko, sofern sie mindestens einen Risikofaktor enthalten, der gemäß Artikel 325bd Absatz 1 einer der beiden Risikofaktorgruppen "Aktien" oder "Kreditspread" zugeordnet wurde. Diese Eigenmittelanforderung, die zu den Anforderungen für Risiken, die durch die Eigenmittelanforderungen nach Artikel 325ba Absatz 1 erfasst werden, hinzukommt, wird anhand des internen Modells zur Erfassung von Ausfallrisiken des Instituts berechnet. Dieses Modell muss die Anforderungen des vorliegenden Abschnitts erfüllen.
(2) Für jede der in Absatz 1 genannten Positionen geben die Institute in Bezug auf mindestens einen Risikofaktor einen Emittenten von gehandelten Schuldtiteln oder Aktieninstrumenten an.
Artikel 325bm Erlaubnis zur Verwendung eines internen Modells zur Erfassung von Ausfallrisiken
(1) Die zuständigen Behörden erteilen einem Institut die Erlaubnis, für alle Handelsbuchpositionen eines Handelstisches nach Artikel 325bl, für die das interne Modell zur Erfassung von Ausfallrisiken die Bestimmungen der Artikel 325bi, 325bj, 325bn, 325bo und 325bp erfüllt, ein internes Modell zur Erfassung von Ausfallrisiken zu verwenden, um die in Artikel 325ba Absatz 2 genannten Eigenmittelanforderungen zu berechnen.
(2) Erfüllt der Handelstisch eines Instituts, dem mindestens eine der Handelsbuchpositionen nach Artikel 325bl zugewiesen wurde, die Anforderungen nach Absatz 1 des vorliegenden Artikels nicht, so werden für alle Positionen dieses Handelstisches die Eigenmittelanforderungen für das Marktrisiko nach dem in Kapitel 1a beschriebenen Ansatz berechnet.
Artikel 325bn Eigenmittelanforderungen für das Ausfallrisiko bei der Verwendung eines internen Modells zur Erfassung von Ausfallrisiken
(1) Für das Portfolio sämtlicher Handelsbuchpositionen nach Artikel 325bl berechnen die Institute die Eigenmittelanforderungen für das Ausfallrisiko anhand ihres internen Modells zur Erfassung von Ausfallrisiken in folgender Weise:
(2) Die Institute berechnen die Eigenmittelanforderungen für das Ausfallrisiko anhand ihres internen Modells zur Erfassung von Ausfallrisiken gemäß Absatz 1 mindestens wöchentlich.
(3) Abweichend von Absatz 1 Buchstaben a und c kann ein Institut für die Zwecke der Berechnung des Ausfallrisikos von einigen oder allen Aktienpositionen anstelle des Zeithorizonts von einem Jahr gegebenenfalls einen Zeithorizont von 60 Tagen zugrunde legen. In einem solchen Fall muss die Berechnung der Ausfallkorrelationen zwischen Aktiennotierungen und Ausfallwahrscheinlichkeiten einem Zeithorizont von 60 Tagen entsprechen und die Berechnung der Ausfallkorrelationen zwischen Aktiennotierungen und Anleihekursen mit einem Zeithorizont von einem Jahr vorgenommen werden.
Artikel 325bo Anerkennung von Absicherungen im internen Modell zur Erfassung von Ausfallrisiken
(1) Die Institute dürfen Absicherungsgeschäfte in ihrem internen Modell zur Erfassung von Ausfallrisiken berücksichtigen und Kaufpositionen und Verkaufspositionen desselben Finanzinstruments gegeneinander aufrechnen.
(2) In ihren internen Modellen zur Erfassung von Ausfallrisiken dürfen die Institute Absicherungs- oder Diversifizierungseffekte bei Kauf- und Verkaufspositionen in Bezug auf verschiedene Instrumente oder verschiedene Wertpapiere desselben Schuldners sowie Kauf- und Verkaufspositionen gegenüber verschiedenen Emittenten nur berücksichtigen, wenn sie die Bruttokauf- und -verkaufspositionen der verschiedenen Instrumente und die Basisrisiken zwischen verschiedenen Emittenten explizit modellieren.
(3) In ihren internen Modellen zur Erfassung von Ausfallrisiken erfassen die Institute die wesentlichen Risiken zwischen einem Absicherungsinstrument und einem abgesicherten Instrument, die im Zeitraum zwischen dem Ablauf des Absicherungsinstruments und dem einjährigen Zeithorizont eintreten könnten, sowie das Potenzial für signifikante Basisrisiken in den Absicherungsstrategien aufgrund von Unterschieden hinsichtlich Produktart, Rang in der Kapitalstruktur, interner oder externer Bonitätsbeurteilungen, Laufzeit, Jahrgang der originären Kreditgewährung (Vintage) und anderen Unterschieden. Die Institute erfassen ein Absicherungsinstrument nur, soweit es auch dann haltbar ist, wenn sich der Schuldner einem Kreditereignis oder sonstigen Ereignis nähert.
Artikel 325bp Besondere Anforderungen für interne Modelle zur Erfassung von Ausfallrisiken
(1) Das interne Modell zur Erfassung von Ausfallrisiken nach Artikel 325bm Absatz 1 kann den Ausfall einzelner Emittenten sowie den gleichzeitigen Ausfall mehrerer Emittenten modellieren und berücksichtigt die Auswirkungen dieser Ausfälle bei den Marktwerten der von diesem Modell abgedeckten Positionen. Zu diesem Zweck wird der Ausfall jedes einzelnen Emittenten unter Verwendung von zwei verschiedenartigen systematischen Risikofaktoren modelliert.
(2) Das interne Modell zur Erfassung von Ausfallrisiken trägt der Konjunkturentwicklung Rechnung und berücksichtigt insbesondere die Abhängigkeiten zwischen Erlösquoten und systematischen Risikofaktoren nach Absatz 1.
(3) Das interne Modell zur Erfassung von Ausfallrisiken trägt den nichtlinearen Auswirkungen von Optionen und anderen Positionen mit wesentlichem nichtlinearem Verhalten in Bezug auf Preisveränderungen Rechnung. Das inhärente Modellrisiko der Bewertung und Schätzung der mit diesen Produkten verbundenen Preisrisiken wird von den Instituten ebenfalls gebührend berücksichtigt.
(4) Das interne Modell zur Erfassung von Ausfallrisiken basiert auf objektiven und aktuellen Daten.
(5) Für die Simulation von Emittentenausfällen verwenden die Institute in ihrem internen Modell zur Erfassung von Ausfallrisiken Ausfallwahrscheinlichkeitsschätzungen, die die folgenden Anforderungen erfüllen:
(6) Für die Simulation von Emittentenausfällen verwenden die Institute in ihrem internen Modell zur Erfassung von Ausfallrisiken Schätzungen für die Verlustquote bei Ausfall, die die folgenden Anforderungen erfüllen:
(7) Im Rahmen der unabhängigen Prüfung und der Validierung der internen Modelle, die sie für die Zwecke dieses Kapitels, einschließlich für die Zwecke des Risikomesssystems, verwenden, nehmen die Institute Folgendes vor:
Die unter Buchstabe b genannten Tests werden nicht auf in der Vergangenheit eingetretene Ereignisse beschränkt.
(8) Das interne Modell zur Erfassung von Ausfallrisiken spiegelt Emittentenkonzentrationen und Konzentrationen, die innerhalb von Produktklassen und über Produktklassen hinweg unter Stressbedingungen entstehen können, angemessen wider.
(9) Das interne Modell zur Erfassung von Ausfallrisiken steht mit den internen Risikomanagement-Methoden des Instituts für die Ermittlung, Messung und Steuerung von Handelsrisiken in Einklang.
(10) Die Institute verfügen über eindeutig definierte Regeln und Verfahren für die Bestimmung der Annahmen für Ausfallkorrelationen zwischen verschiedenen Emittenten gemäß Artikel 325bn Absatz 1 Buchstabe c und die Wahl der Methode, die für die Schätzung der Ausfallwahrscheinlichkeiten gemäß Absatz 5 Buchstabe e des vorliegenden Artikels und der Verlustquote bei Ausfall gemäß Absatz 6 Buchstabe d des vorliegenden Artikels bevorzugt wird.
(11) Die Institute dokumentieren ihre internen Modelle, sodass die Korrelationsannahmen und anderen Modellannahmen für die zuständigen Behörden transparent sind.
(12) Die EBa arbeitet Entwürfe technischer Regulierungsstandards aus, in denen die Anforderungen festgelegt werden, die die interne Methode des Instituts und die externen Quellen erfüllen müssen, die für die Schätzung der Ausfallwahrscheinlichkeiten gemäß Absatz 5 Buchstabe e und der Verlustquoten bei Ausfall gemäß Absatz 6 Buchstabe d herangezogen werden.
Die EBa übermittelt der Kommission diese Entwürfe technischer Regulierungsstandards bis zum 28. September 2020.
Der Kommission wird die Befugnis übertragen, die in Unterabsatz 1 genannten technischen Regulierungsstandards gemäß den Artikeln 10 bis 14 der Verordnung (EU) Nr. 1093/2010 zur Ergänzung dieser Verordnung zu erlassen.
Kapitel 2
Eigenmittelanforderungen für das Positionsrisiko
Abschnitt 1
Allgemeine Bestimmungen und spezifische Instrumente
Artikel 326 Eigenmittelanforderungen für das Positionsrisiko
Die Eigenmittelanforderungen des Instituts für das Positionsrisiko entsprechen der Summe der Eigenmittelanforderungen für das allgemeine und das spezifische Risiko seiner Positionen in Schuldtiteln und Aktieninstrumenten. Verbriefungspositionen im Handelsbuch werden wie Schuldtitel behandelt.
Artikel 327 Berechnung der Nettoposition
(1) Der absolute Wert des Überschusses der Kauf-(Verkaufs-)positionen des Instituts über seine Verkaufs-(Kauf-)positionen in den gleichen Aktien, Schuldtiteln und Wandelanleihen sowie in identischen Finanzterminkontrakten, Optionen, Optionsscheinen und Fremdoptionsscheinen ist seine Nettoposition in Bezug auf jedes dieser Instrumente. Bei der Berechnung der Nettoposition werden Positionen in Derivaten wie in den Artikeln 328 bis 330 dargelegt behandelt. Der von den Instituten gehaltene Bestand an eigenen Schuldtiteln wird bei der Berechnung der Eigenmittelanforderungen für das spezifische Risiko gemäß Artikel 336 nicht berücksichtigt.
(2) Eine Aufrechnung der Positionen in Wandelanleihen gegen Positionen in den zugrunde liegenden Instrumenten ist nicht zulässig, es sei denn, die zuständigen Behörden wählen ein Verfahren, das die Wahrscheinlichkeit, dass eine bestimmte Wandelanleihe umgewandelt wird, berücksichtigt, oder sie legen eine Eigenmittelanforderung zur Deckung möglicher Verluste, die bei der Umwandlung entstehen könnten, fest. Derartige Ansätze oder Eigenmittelanforderungen sind der EBa mitzuteilen. Die EBa überwacht die Bandbreite der Praxis in diesem Bereich und gibt im Einklang mit Artikel 16 der Verordnung (EU) Nr. 1093/2010 Leitlinien heraus.
(3) Alle Nettopositionen werden unabhängig von ihrem Vorzeichen vor der Summierung auf Tagesbasis zum jeweiligen Devisenkassakurs in die Währung der Rechnungslegung des Instituts umgerechnet.
Artikel 328 Zinsterminkontrakte und Terminpositionen
(1) Zinsterminkontrakte, Zinsausgleichsvereinbarungen ("Forward Rate Agreements", FRA) und Terminpositionen bezüglich des Kaufs oder Verkaufs von Schuldtiteln werden als Kombination von Kauf- und Verkaufspositionen behandelt. Eine Kaufposition in Zinsterminkontrakten wird demnach als Kombination einer Kreditaufnahme, die zum Liefertag des Terminkontrakts fällig wird, und dem Halten eines Vermögenswerts mit einem Fälligkeitstermin, der dem des Basisinstruments oder der dem betreffenden Terminkontrakt zugrunde liegenden fiktiven Position entspricht, behandelt. Ebenso wird eine verkaufte Zinsausgleichsvereinbarung als eine Kaufposition mit einem Fälligkeitstermin behandelt, der dem Abwicklungstermin zuzüglich des Vertragszeitraums entspricht, und als eine Verkaufsposition mit einem Fälligkeitstermin, der dem Abwicklungstermin entspricht. Sowohl die Kreditaufnahme als auch der Besitz von Vermögenswerten wird bei der Berechnung der Eigenmittelanforderung für das spezifische Risiko der Zinsterminkontrakte und der Zinsausgleichsvereinbarungen in die erste Kategorie der Tabelle 1 in Artikel 336 eingeordnet. Eine Terminposition für den Kauf eines Schuldtitels wird als Kombination einer Kreditaufnahme, die zum Liefertag fällig wird, und einer (Kassa-) Kaufposition in dem Schuldtitel selbst behandelt. Die Kreditaufnahme wird in die erste Kategorie der Tabelle 1 in Artikel 336 für das spezifische Risiko und der Schuldtitel in die entsprechende Spalte derselben Tabelle eingeordnet.
(2) Für die Zwecke dieses Artikels ist eine "Kaufposition" eine Position, für die ein Institut den Zinssatz festgesetzt hat, den es zu einem bestimmten Zeitpunkt in der Zukunft erhalten wird, und eine "Verkaufsposition" eine Position, für die es den Zinssatz festgesetzt hat, den es zu einem bestimmten Zeitpunkt in der Zukunft zahlen wird.
Artikel 329 Optionen und Optionsscheine
(1) Zinsoptionen und -optionsscheine sowie Optionen und Optionsscheine auf Schuldtitel, Aktien, Aktienindizes, Finanzterminkontrakte, Swaps und Fremdwährungen werden wie Positionen behandelt, deren Wert dem Wert des zugrunde liegenden Instruments entspricht, nachdem dieser für die Zwecke dieses Kapitels mit dessen Delta-Faktor multipliziert wurde. Die letztgenannten Positionen können gegen jede entgegengesetzte Position in dem gleichen zugrunde liegenden Wertpapier oder Derivat aufgerechnet werden. Als Delta-Faktor ist derjenige der betreffenden Börse zu verwenden. Bei nicht börsengehandelten Optionen oder wenn der Delta-Faktor von der betreffenden Börse nicht erhältlich ist, darf das Institut den Delta-Faktor vorbehaltlich der Genehmigung durch die zuständigen Behörden unter Verwendung eines geeigneten Modells selbst berechnen. Die Genehmigung wird erteilt, sofern mit dem Modell eine angemessene Schätzung der Änderungsrate für den Wert der Option oder des Optionsscheins bei geringfügigen Änderungen des Marktpreises des Basiswerts vorgenommen wurde.
(2) Die Institute spiegeln - abgesehen vom Delta-Faktor-Risiko - andere Risiken, die mit Optionen im Bereich der Eigenmittelanforderungen verbunden sind, adäquat wider.
(3) Die EBa arbeitet Entwürfe technischer Regulierungsstandards aus, um in einer dem Umfang und der Komplexität der Tätigkeiten der Institute im Bereich Optionen und Optionsscheine angemessenen Weise die verschiedenen Methoden zur Berücksichtigung anderer Risiken nach Absatz 2 - abgesehen vom Delta-Faktor-Risiko - im Bereich der Eigenmittelanforderungen zu präzisieren.
Die EBa legt der Kommission diese Entwürfe technischer Regulierungsstandards bis zum 31. Dezember 2013 vor.
Der Kommission wird die Befugnis übertragen, die technischen Regulierungsstandards nach Unterabsatz 1 gemäß den Artikeln 10 bis 14 der Verordnung (EU) Nr. 1093/2010 zu erlassen.
(4) Vor dem Inkrafttreten der technischen Standards nach Absatz 3 dürfen die zuständigen Behörden weiterhin bestehende nationale Behandlungen anwenden, wenn sie diese vor dem 31. Dezember 2013 angewandt haben.
Artikel 330 Swaps
Swaps werden hinsichtlich des Zinsrisikos ebenso behandelt wie bilanzwirksame Instrumente. Ein Zinsswap, bei dem ein Institut variable Zinsen erhält und feste Zinsen zahlt, wird daher behandelt wie eine Kaufposition in einem zinsvariablen Instrument mit der gleichen Laufzeit wie die Frist bis zur nächsten Zinsfestsetzung und eine Verkaufsposition in einem festverzinslichen Instrument mit der gleichen Laufzeit wie der Swap selbst.
Artikel 331 Zinsrisiko von Derivaten
(1) Institute, die ihre Positionen täglich zum Marktpreis neu bewerten und das Zinsrisiko von Derivaten gemäß Artikel 328 bis 330 nach einer Diskontierungsmethode steuern, dürfen vorbehaltlich der Genehmigung der zuständigen Behörden zur Berechnung der in jenen Artikeln genannten Positionen Sensitivitätsmodelle anwenden; sie dürfen derartige Modelle auf Schuldverschreibungen anwenden, die über die Restlaufzeit und nicht durch eine einzige Rückzahlung am Ende der Laufzeit getilgt werden. Die Genehmigung wird erteilt, wenn die Modelle zu Positionen führen, die mit derselben Sensitivität auf Zinsänderungen reagieren wie die zugrunde liegenden Zahlungsströme. Bei der Bewertung dieser Sensitivität ist die unabhängige Entwicklung ausgewählter Zinssätze entlang der Zinsertragskurve zugrunde zu legen, wobei in jedes der Laufzeitbänder der Tabelle 2 in Artikel 339 zumindest ein Sensitivitätspunkt fallen muss. Die Positionen gehen in die Berechnung der Eigenmittelanforderungen für das allgemeine Risiko von Schuldtiteln ein.
(2) Institute, die keine Modelle gemäß Absatz 1 verwenden, können stattdessen alle Positionen in abgeleiteten Instrumenten gemäß Artikel 328 bis 330 vollständig gegeneinander aufrechnen, wenn sie zumindest folgende Bedingungen erfüllen:
Artikel 332 Kreditderivate
(1) Bei der Berechnung der Eigenmittelanforderung für das allgemeine und das spezifische Risiko derjenigen Partei, die das Kreditrisiko übernimmt ("Sicherungsgeber"), ist, soweit nicht anders bestimmt, der Nominalwert des Kreditderivatekontrakts zugrunde zu legen. Unbeschadet des Satzes 1 darf das Institut beschließen, den Nominalwert durch den Nominalwert zuzüglich der Nettomarktwertveränderung des Kreditderivats seit Geschäftsabschluss zu ersetzen, wobei eine Nettowertverringerung aus der Sicht des Sicherungsgebers ein negatives Vorzeichen trägt. Bei der Berechnung der Eigenmittelanforderung für das spezifische Risiko wird, außer für Gesamtrenditeswaps, die Laufzeit des Kreditderivatekontrakts und nicht die Laufzeit der Verbindlichkeit zugrunde gelegt. Die Positionen werden wie folgt bestimmt:
bei einem n-ter-Ausfall-Kreditderivat ("n-th-asset-to-default credit derivative") wird eine Position in einer Verbindlichkeit gegenüber einer jeden Referenzeinheit in Höhe des Nominalwertes, ausgenommen die n-1 Referenzeinheit mit der niedrigsten Eigenmittelanforderung für das spezifische Risiko, geschaffen. Ist das Volumen der maximalen Kreditereigniszahlung niedriger als die Eigenmittelanforderung aufgrund der im ersten Satz genannten Methode, kann dieser Zahlungsbetrag als Eigenmittelanforderung für das spezifische Risiko angesehen werden.
Liegt für ein n-ter-Ausfall-Kreditderivat eine externe Bonitätsbeurteilung vor, muss der Sicherungsgeber die Eigenmittelanforderung für das spezifische Risiko unter Berücksichtigung der Bonitätsbeurteilung des Derivats berechnen und die jeweils geltenden Risikogewichte für Verbriefungen anwenden.
(2) Für die Partei, die das Kreditrisiko überträgt ("Sicherungsnehmer"), werden die Positionen genau spiegelbildlich ("mirror principle") zu denen des Sicherungsgebers bestimmt, ausgenommen bei einer synthetischen Unternehmensanleihe (die in Bezug auf den Emittenten keine Verkaufsposition schafft). Bei der Berechnung der Eigenmittelanforderung für den Sicherungsnehmer ist der Nominalwert des Kreditderivatekontrakts zugrunde zu legen. Unbeschadet des Satzes 1 kann das Institut beschließen, den Nominalwert durch den Nominalwert zuzüglich der Nettomarktwertänderung des Kreditderivats seit Geschäftsabschluss zu ersetzen, wobei eine Nettowertverringerung aus der Sicht des Sicherungsgebers ein negatives Vorzeichen trägt. Existiert zu einem bestimmten Zeitpunkt ein Kündigungsrecht (Kaufoption) in Verbindung mit einer Kostenanstiegsklausel, so wird dieser Zeitpunkt als die Fälligkeit der Sicherung angesehen.
(3) Kreditderivate gemäß Artikel 338 Absatz 1 oder 3 werden nur in die Bestimmung der Eigenmittelanforderung für das spezifische Risiko gemäß Artikel 338 Absatz 4 einbezogen.
Artikel 333 Im Rahmen von Rückkaufsvereinbarungen übertragene oder verliehene Wertpapiere
Die Wertpapiere oder garantierte Rechtsansprüche auf Wertpapiere übertragende Partei im Rahmen einer Rückkaufsvereinbarung und die verleihende Partei in einem Wertpapierverleihgeschäft beziehen die betreffenden Wertpapiere in die Berechnung ihrer Eigenmittelanforderungen gemäß diesem Kapitel ein, sofern diese Wertpapiere Handelsbuchpositionen sind.
Abschnitt 2
Schuldtitel
Artikel 334 Nettopositionen in Schuldtiteln
Nettopositionen werden jeweils in der Währung bewertet, auf die sie lauten, und die Eigenmittelanforderungen werden für das allgemeine und das spezifische Risiko für jede Währung getrennt berechnet.
Unterabschnitt 1
Spezifisches Risiko
Artikel 335 Obergrenze der Eigenmittelanforderung für eine Nettoposition
Das Institut kann die Eigenmittelanforderung für das spezifische Risiko einer Nettoposition in einem Schuldtitel auf den höchstmöglichen Verlust aus dem Ausfallrisiko beschränken. Für eine Verkaufsposition kann diese Obergrenze als die Wertänderung berechnet werden, die sich ergeben würde, wenn der Schuldtitel bzw. die zugrunde liegenden Referenzwerte sofort ausfallrisikofrei würden.
Artikel 336 Eigenmittelanforderung für Schuldtitel, die keine Verbriefungspositionen darstellen
(1) Das Institut ordnet seine gemäß Artikel 327 berechneten Nettopositionen im Handelsbuch, die aus Instrumenten resultieren, die keine Verbriefungspositionen sind, in die entsprechenden Kategorien der Tabelle 1 ein, und zwar auf der Grundlage des Emittenten oder Schuldners, der externen oder internen Bonitätsbeurteilung und der Restlaufzeit, und multipliziert sie anschließend mit den in dieser Tabelle angegebenen Gewichtungen. Die gewichteten Positionen, die sich aus der Anwendung dieses Artikels ergeben, werden - unabhängig davon, ob es sich um eine Kauf- oder um eine Verkaufsposition handelt - addiert, um die Eigenmittelanforderung für das spezifische Risiko zu berechnen.
| Kategorien | Eigenmittelanforderung für das spezifische Risiko |
| Schuldverschreibungen, bei denen gemäß dem Standardansatz für Kreditrisiken ein Risikogewicht von 0 % anzusetzen ist |
0 % |
| Schuldverschreibungen, bei denen gemäß dem Standardansatz für Kreditrisiken ein Risikogewicht von 20 % oder 50 % anzusetzen ist, und andere qualifizierte Positionen gemäß Absatz 4 | 0,25 % (Restlaufzeit von höchstens 6 Monaten)
1,00 % (Restlaufzeit zwischen 6 und 24 Monaten) 1,60 % (Restlaufzeit von mehr als 24 Monaten) |
| Schuldverschreibungen, bei denen gemäß dem Standardansatz für Kreditrisiken ein Risikogewicht von 100 % anzusetzen ist |
8,00 % |
| Schuldverschreibungen, bei denen gemäß dem Standardansatz für Kreditrisiken ein Risikogewicht von 150 % anzusetzen ist |
12,00 % |
(2) Damit Institute, die auf die Risikopositionsklasse, zu der der Emittent des Schuldtitels gehört, den IRB-Ansatz anwenden, gemäß dem Standardansatz für Kreditrisiken ein Risikogewicht im Einklang mit Absatz 1 zuordnen können, muss der Emittent der Risikoposition bei der internen Beurteilung entweder die gleiche PD erhalten haben, wie sie nach dem Standardansatz für die entsprechende Bonitätsstufe vorgesehen ist, oder einer darunter liegenden PD zugeordnet worden sein.
(3) Institute dürfen die Eigenmittelanforderungen für das spezifische Risiko für Schuldverschreibungen, bei denen entsprechend der Behandlung nach Artikel 129 Absätze 4, 5 und 6 ein Risikogewicht von 10 % angesetzt werden kann, als die Hälfte der anzuwendenden Eigenmittelanforderungen für das spezifische Risiko für die zweite Kategorie in Tabelle 1 berechnen.
(4) Andere qualifizierte Positionen sind
Institute, die von der Möglichkeit nach Buchstabe a oder b Gebrauch machen, verfügen über eine dokumentierte Methodik zur Bewertung, ob Vermögenswerte die unter diesen Buchstaben erläuterten Anforderungen erfüllen, und geben diese Methodik den zuständigen Behörden an.
Artikel 337 Eigenmittelanforderung für Verbriefungsinstrumente
(1) Bei Instrumenten im Handelsbuch, bei denen es sich um Verbriefungspositionen handelt, gewichtet das Institut die nach Artikel 327 Absatz 1 berechneten Nettopositionen mit 8 % des Risikogewichts, das es diesen Positionen gemäß Titel II Kapitel 5 Abschnitt 3 außerhalb des Handelsbuchs zuweisen würde.
(2) Bei der Bestimmung der Risikogewichte für die Zwecke des Absatzes 1 dürfen PD- und LGD-Schätzungen sich auch auf Schätzungen stützen, die von einem internen Modell für das zusätzliche Ausfall- und Migrationsrisiko (IRC-Modell) eines Instituts abgeleitet sind, dem die Erlaubnis erteilt wurde, für das spezifische Risiko von Schuldtiteln ein internes Modell zu verwenden. Diese Alternative darf nur nach der Genehmigung durch die zuständigen Behörden angewandt werden, die erteilt wird, sofern die Schätzungen die quantitativen Anforderungen an den IRB-Ansatz nach Titel II Kapitel 3 erfüllen.
Die EBa gibt im Einklang mit Artikel 16 der Verordnung (EU) Nr. 1093/2010 Leitlinien zur Verwendung von einfließenden PD- und LGD-Schätzungen heraus, wenn diese auf der Grundlage eines IRC-Modells ermittelt wurden.
(3) Für Verbriefungspositionen, für die ein zusätzliches Risikogewicht gemäß Artikel 247 Absatz 6 vorgegeben ist, wird ein Wert von 8 % des gesamten Risikogewichts angewandt.
(4) Zur Berechnung der Eigenmittelanforderungen für das spezifische Risiko addiert das Institut bis auf die unter Artikel 338 Absatz 4 fallenden Verbriefungspositionen seine gewichteten Positionen, die sich aus der Anwendung der Absätze 1, 2 und 3 ergeben, unabhängig davon, ob es sich um Kauf- oder Verkaufspositionen handelt.
(5) Wenn der Originator einer traditionellen Verbriefung die in Artikel 244 genannten Bedingungen für die Übertragung eines signifikanten Risikos nicht erfüllt, so bezieht er die der Verbriefung zugrunde liegenden Risikopositionen in die Berechnung seiner Eigenmittelanforderung ein, als wären diese nicht verbrieft worden.
Wenn der Originator einer synthetischen Verbriefung die in Artikel 245 genannten Bedingungen für die Übertragung eines signifikanten Risikos nicht erfüllt, so bezieht er die der Verbriefung zugrunde liegenden Risikopositionen in die Berechnung seiner Eigenmittelanforderung ein, als wären diese nicht verbrieft worden, und lässt die Auswirkungen der synthetischen Verbriefung für Besicherungszwecke außer Acht.
Artikel 338 Eigenmittelanforderung für das Korrelationshandelsportfolio
(1) Das Korrelationshandelsportfolio umfasst Verbriefungspositionen und n-ter-Ausfall-Kreditderivate, die sämtliche nachstehende Kriterien erfüllen:
Ein aus Käufer- und Verkäufersicht hinreichend liquider Markt wird als vorhanden angenommen, wenn unabhängige ernsthafte Kauf- und Verkaufsangebote existieren, sodass ein mit den letzten Verkaufspreisen oder gegenwärtigen konkurrenzfähigen ernsthaften Kauf- und Verkaufsquotierungen angemessen in Verbindung stehender Preis innerhalb eines Tages bestimmt werden kann und zu einem solchen Preis innerhalb relativ kurzer Zeit ein Geschäft im Einklang mit den Handelsusancen abgewickelt werden kann.
(2) Eine Position kann nicht Bestandteil des Korrelationshandelsportfolios sein, wenn ihre Referenz
(3) Ein Institut darf in sein Korrelationshandelsportfolio Positionen aufnehmen, die weder Verbriefungspositionen noch n-ter-Ausfall-Kreditderivate sind, jedoch andere Positionen dieses Portfolios absichern, sofern für das Instrument oder die ihm zugrunde liegenden Risikopositionen ein aus Käufer- und Verkäufersicht hinreichend liquider Markt im Sinne von Absatz 1 letzter Unterabsatz besteht.
(4) Ein Institut ermittelt den größeren der folgenden Beträge als Eigenmittelanforderung für das spezifische Risiko des Korrelationshandelsportfolios:
Unterabschnitt 2
Allgemeines Risiko
Artikel 339 Laufzeitbezogene Berechnung des allgemeinen Risikos
(1) Zur Berechnung der Eigenmittelanforderungen für das allgemeine Risiko sind alle Positionen wie in Absatz 2 erläutert gemäß ihrer Laufzeit zu gewichten, um den Betrag der erforderlichen Eigenmittel zu ermitteln. Diese Eigenmittelanforderung wird verringert, wenn sich innerhalb des gleichen Laufzeitbands gewichtete Positionen mit entgegengesetzten Vorzeichen gegenüberstehen. Die Eigenmittelanforderung darf auch gesenkt werden, wenn die gewichteten Positionen mit entgegengesetzten Vorzeichen in unterschiedliche Laufzeitbänder fallen, wobei der Umfang dieser Senkung einerseits davon abhängt, ob die beiden Positionen in die gleiche Zone fallen, und andererseits von den jeweiligen Zonen abhängig ist, in die sie fallen.
(2) Das Institut ordnet seine Nettopositionen in die entsprechenden Laufzeitbänder in der zweiten bzw. dritten Spalte von Tabelle 2 in Absatz 4 ein. Dabei legt es im Fall festverzinslicher Wertpapiere die Restlaufzeit zugrunde und im Fall von Wertpapieren, deren Zinssatz bis zur Tilgung variabel ist, den Zeitraum bis zur nächsten Zinsfestsetzung. Außerdem unterscheidet es zwischen Schuldtiteln mit einem Coupon von 3 % oder mehr und solchen mit einem Coupon von weniger als 3 % und ordnet diese entsprechend in die zweite oder dritte Spalte von Tabelle 2 ein. Dann multipliziert es jedes Wertpapier mit der in der vierten Spalte von Tabelle 2 für das betreffende Laufzeitband angegebenen Gewichtung.
(3) Anschließend ermittelt das Institut für jedes Laufzeitband die Summe der gewichteten Kaufpositionen sowie die Summe der gewichteten Verkaufspositionen. Der Betrag der erstgenannten Positionen, die innerhalb jedes Laufzeitbands gegen die letztgenannten aufgerechnet werden, entspricht der ausgeglichenen gewichteten Position für das betreffende Laufzeitband, während die verbleibende Kauf- oder Verkaufsposition die nicht ausgeglichene gewichtete Position für das Laufzeitband darstellt. Anschließend wird die Gesamtsumme der ausgeglichenen gewichteten Positionen sämtlicher Laufzeitbänder errechnet.
(4) Das Institut errechnet die Gesamtbeträge der nicht ausgeglichenen gewichteten Kaufpositionen für die in den einzelnen Zonen von Tabelle 2 enthaltenen Bänder, um für jede Zone die nicht ausgeglichene gewichtete Kaufposition zu ermitteln. Entsprechend wird die Summe der nicht ausgeglichenen gewichteten Verkaufspositionen für jedes Laufzeitband in einer bestimmten Zone ermittelt, um die nicht ausgeglichene gewichtete Verkaufsposition für diese Zone zu erhalten. Der Teil der nicht ausgeglichenen gewichteten Kaufpositionen für eine bestimmte Zone, der durch die nicht ausgeglichene gewichtete Verkaufsposition für dieselbe Zone ausgeglichen wird, ist die ausgeglichene gewichtete Position für die betreffende Zone. Der Teil der nicht ausgeglichenen gewichteten Kaufposition bzw. nicht ausgeglichenen gewichteten Verkaufsposition für eine Zone, der nicht in dieser Weise ausgeglichen werden kann, stellt die nicht ausgeglichene gewichtete Position für die betreffende Zone dar.
| Zone | Laufzeitband | Gewicht (in %) | Angenommene Zinssatzänderung (in %) | |
| Coupon von 3 % oder mehr | Coupon von weniger als 3 % | |||
| Eins | 0 ≤ 1 Monat | 0 ≤ 1 Monat | 0,00 | - |
| > 1 ≤ 3 Monate | > 1 ≤ 3 Monate | 0,20 | 1,00 | |
| > 3 ≤ 6 Monate | > 3 ≤ 6 Monate | 0,40 | 1,00 | |
| > 6 ≤ 12 Monate | > 6 ≤ 12 Monate | 0,70 | 1,00 | |
| Zwei | 1 ≤ 2 Jahre | 1,0 ≤ 1,9 Jahre | 1,25 | 0,90 |
| 2 ≤ 3 Jahre | 1,9 ≤ 2,8 Jahre | 1,75 | 0,80 | |
| 3 ≤ 4 Jahre | 2,8 ≤ 3,6 Jahre | 2,25 | 0,75 | |
| Drei | 4 ≤ 5 Jahre | 3,6 ≤ 4,3 Jahre | 2,75 | 0,75 |
| 5 ≤ 7 Jahre | 4,3 ≤ 5,7 Jahre | 3,25 | 0,70 | |
| 7 ≤ 10 Jahre | 5,7 ≤ 7,3 Jahre | 3,75 | 0,65 | |
| 10 ≤ 15 Jahre | 7,3 ≤ 9,3 Jahre | 4,50 | 0,60 | |
| 15 ≤ 20 Jahre | 9,3 ≤ 10,6 Jahre | 5,25 | 0,60 | |
| > 20 Jahre | 10,6 ≤ 12,0 Jahre | 6,00 | 0,60 | |
| 12,0 ≤ 20,0 Jahre | 8,00 | 0,60 | ||
| > 20 Jahre | 12,50 | 0,60 | ||
(5) Der Betrag der nicht ausgeglichenen gewichteten Kauf- oder Verkaufsposition in Zone eins, der durch die nicht ausgeglichene gewichtete Verkaufs- oder Kaufposition in Zone zwei ausgeglichen wird, entspricht dann der ausgeglichenen gewichteten Position zwischen Zone eins und zwei. Dann wird die gleiche Rechenoperation für jenen Teil der nicht ausgeglichenen gewichteten Position in Zone zwei, der übrig geblieben ist, und die nicht ausgeglichene gewichtete Position in Zone drei durchgeführt, um die ausgeglichene gewichtete Position zwischen den Zonen zwei und drei zu erhalten.
(6) Das Institut kann die Reihenfolge nach Absatz 5 umkehren und zunächst die ausgeglichene gewichtete Position zwischen Zone zwei und drei berechnen, bevor es die entsprechende Position zwischen Zone eins und zwei berechnet.
(7) Der Restbetrag der nicht ausgeglichenen gewichteten Position in Zone eins wird dann mit dem Restbetrag für Zone drei ausgeglichen, nachdem letztere Zone mit Zone zwei ausgeglichen wurde, um die ausgeglichene gewichtete Position zwischen den Zonen eins und drei zu ermitteln.
(8) Die Restpositionen aus den drei gesonderten Ausgleichsrechnungen gemäß den Absätzen 5, 6 und 7 werden addiert.
(9) Die Eigenmittelanforderung des Instituts errechnet sich als die Summe aus
Artikel 340 Durationsbasierte Berechnung des allgemeinen Risikos
(1) Die Institute dürfen zur Berechnung der Eigenmittelanforderung für das allgemeine Risiko von Schuldtiteln anstelle des Ansatzes nach Artikel 339 einen auf der Duration aufbauenden Ansatz verwenden, sofern das Institut durchgängig so verfährt.
(2) Wenn ein durationsbasierter Ansatz nach Maßgabe des Absatzes 1 verwendet wird, berechnet das Institut unter Zugrundelegung des Marktwerts der einzelnen festverzinslichen Schuldtitel deren Endfälligkeitsrendite, die zugleich dem internen Zinsfuß des Schuldtitels entspricht. Bei Wertpapieren mit variabler Verzinsung berechnet das Institut unter Zugrundelegung des Marktwerts jedes Wertpapiers dessen Rendite unter der Annahme, dass das Kapital fällig wird, sobald der Zinssatz (für den darauf folgenden Zeitraum) geändert werden darf.
(3) Im Anschluss daran berechnet das Institut für jeden Schuldtitel die modifizierte Duration nach folgender Formel:
modifiziete Duration = D / (1 + R)
dabei entspricht
D = der nach folgender Formel berechneten Duration:
dabei entspricht
| R | = | der Endfälligkeitsrendite, |
| Ct | = | den Barzahlungen im Zeitraum t, |
| M | = | der Gesamtlaufzeit. |
Für Schuldtitel, die einem Vorauszahlungsrisiko unterliegen, wird die Berechnung der modifizierten Duration berichtigt. Die EBa gibt im Einklang mit Artikel 16 der Verordnung (EU) Nr. 1093/2010 Leitlinien über die Anwendung derartiger Berichtigungen heraus.
(4) Das Institut ordnet dann jeden Schuldtitel der entsprechenden Zone der Tabelle 3 zu. Dabei legt es die modifizierte Duration der Schuldtitel zugrunde.
| Zone | Modifizierte Duration (in Jahren) |
Angenommene Zinssatzänderung (in %) |
| Eins | > 0 ≤ 1,0 | 1,0 |
| Zwei | > 1,0 ≤ 3,6 | 0,85 |
| Drei | > 3,6 | 0,7 |
(5) Anschließend ermittelt das Institut die durationsgewichtete Position jedes Wertpapiers durch Multiplikation seines Marktwertes mit der modifizierten Duration sowie mit der angenommenen Zinssatzänderung bei einem Instrument mit der betreffenden modifizierten Duration (siehe Spalte 3 der Tabelle 3).
(6) Das Institut berechnet seine durationsgewichteten Kaufpositionen und seine durationsgewichteten Verkaufspositionen innerhalb jeder Zone. Der Betrag der erstgenannten Positionen, die gegen die letztgenannten innerhalb jeder Zone aufgerechnet werden, entspricht der ausgeglichenen durationsgewichteten Position für diese Zone.
Das Institut berechnet sodann die nicht ausgeglichenen durationsgewichteten Positionen für jede Zone. Anschließend wird das Verfahren für nicht ausgeglichene gewichtete Positionen nach Artikel 339 Absätze 5 bis 8 angewandt.
(7) Die Eigenmittelanforderung des Instituts errechnet sich dann als die Summe aus
Abschnitt 3
Aktieninstrumente
Artikel 341 Nettopositionen in Aktieninstrumenten
(1) Das Institut addiert all seine gemäß Artikel 327 ermittelten Nettokaufpositionen und Nettoverkaufspositionen getrennt voneinander. Die Summe der absoluten Werte dieser beiden Zahlen ergibt seine Bruttogesamtposition.
(2) Das Institut berechnet die Differenz zwischen der Summe des Nettogesamtbetrags der Kaufpositionen und des Nettogesamtbetrags der Verkaufspositionen für jeden Markt getrennt. Die Summe der absoluten Werte dieser Differenzbeträge ergibt seine Nettogesamtposition.
(3) Die EBa arbeitet Entwürfe technischer Regulierungsstandards aus, um den in Absatz 2 aufgeführten Terminus "Markt" zu definieren.
Die EBa legt der Kommission diese Entwürfe technischer Regulierungsstandards bis zum 31. Januar 2014 vor.
Der Kommission wird die Befugnis übertragen, die technischen Regulierungsstandards nach dem vorstehenden Unterabsatz gemäß den Artikeln 10 bis 14 der Verordnung (EU) Nr. 1093/2010 zu erlassen.
Artikel 342 Spezifisches Risiko von Aktieninstrumenten
Zur Errechnung seiner Eigenmittelanforderung für das spezifische Risiko multipliziert das Institut seine Bruttogesamtposition mit 8 %.
Artikel 343 Allgemeines Risiko von Aktieninstrumenten
Die Eigenmittelanforderung für das allgemeine Risiko ist die mit 8 % multiplizierte Nettogesamtposition eines Instituts.
Artikel 344 Aktienindizes
(1) Die EBa arbeitet Entwürfe technischer Durchführungsstandards mit einem Verzeichnis der Aktienindizes aus, für die nach Absatz 4 Satz 2 verfahren werden kann.
Die EBa legt der Kommission diese Entwürfe technischer Durchführungsstandards bis 1. Januar 2014 vor.
Der Kommission wird die Befugnis übertragen, die technischen Durchführungsstandards nach Unterabsatz 1 gemäß Artikel 15 der Verordnung (EU) Nr. 1093/2010 zu erlassen.
(2) Vor dem Inkrafttreten der technischen Durchführungsstandards nach Absatz 1 dürfen Institute die Behandlung nach Absatz 4 Satz 2 weiter anwenden, sofern die zuständigen Behörden diese Behandlung vor dem 1. Januar 2014 angewandt haben.
(3) Aktienindex-Terminkontrakte und der deltagewichtete Gegenwert von Aktienindex-Terminkontraktoptionen und Aktienindex-Optionen, die sämtlich im Folgenden als "Aktienindex-Terminkontrakte" bezeichnet werden, können nach den Positionen in den einzelnen Aktien aufgeschlüsselt werden. Diese Positionen können als zugrunde liegende Positionen in den betreffenden Aktien behandelt werden und gegen die entgegengesetzten Positionen in den zugrunde liegenden Aktien selbst aufgerechnet werden. Die Institute unterrichten die zuständigen Behörden, inwieweit sie von dieser Behandlung Gebrauch machen.
(4) Wird ein Aktienindex-Terminkontrakt nicht in seine zugrunde liegenden Positionen aufgeschlüsselt, so wird er wie eine einzelne Aktie behandelt. Das spezifische Risiko für diese einzelne Aktie kann jedoch außer Betracht bleiben, wenn der betreffende Aktienindex-Terminkontrakt an der Börse gehandelt wird und einen relevanten angemessen breit gestreuten Index darstellt.
Abschnitt 4
Übernahmegarantien
Artikel 345 Verringerung von Nettopositionen
(1) Bei Übernahmegarantien für Schuldtitel und Aktieninstrumente darf ein Institut das folgende Verfahren für die Berechnung seiner Eigenmittelanforderungen anwenden. Es berechnet zunächst die Nettopositionen, indem die mit einer Übernahmegarantie versehenen Positionen, die von Dritten auf der Grundlage einer förmlichen Vereinbarung gezeichnet oder mitgarantiert werden, in Abzug gebracht werden. Anschließend verringert das Institut die Nettopositionen durch Anwendung der Faktoren in Tabelle 4 und berechnet seine Eigenmittelanforderungen anhand der durch Anwendung der genannten Faktoren verringerten Übernahmepositionen.
| Arbeitstag Null: | 100 % |
| erster Arbeitstag: | 90 % |
| zweiter und dritter Arbeitstag: | 75 % |
| vierter Arbeitstag: | 50 % |
| fünfter Arbeitstag: | 25 % |
| nach dem fünften Arbeitstag: | 0 %. |
Der "Arbeitstag Null" ist der Arbeitstag, an dem das Institut die uneingeschränkte Verpflichtung eingegangen ist, eine bestimmte Menge von Wertpapieren zu einem vereinbarten Preis zu übernehmen.
(2) Die Institute teilen den zuständigen Behörden mit, inwieweit sie von der Möglichkeit nach Absatz 1 Gebrauch machen.
Abschnitt 5
Eigenmittelanforderungen für das spezifische Risiko bei über Kreditderivate abgesicherten Positionen
Artikel 346 Anerkennung von Absicherungen über Kreditderivate
(1) Absicherungen über Kreditderivate werden entsprechend den Grundsätzen der Absätze 2 bis 6 anerkannt.
(2) Institute behandeln die Position im Kreditderivat als eine Positionsseite und die abgesicherte Position, die denselben Nominalbetrag oder gegebenenfalls fiktiven Nominalbetrag hat, als die andere Positionsseite.
(3) Die Absicherung wird vollständig anerkannt, wenn sich die Werte der beiden Positionsseiten stets in entgegengesetzter Richtung und in der Regel im gleichen Umfang entwickeln. Dies ist in den nachstehenden Situationen der Fall:
In diesen Situationen wird auf keine der beiden Positionsseiten eine Eigenmittelanforderung für das spezifische Risiko angewandt.
(4) Eine 80 %ige Reduzierung wird dann angewandt, wenn sich die Werte der beiden Positionsseiten stets in entgegengesetzte Richtungen entwickeln und eine exakte Übereinstimmung hinsichtlich der Referenzverbindlichkeit, der Fälligkeit der Referenzverbindlichkeit und des Kreditderivats sowie der Währung der zugrunde liegenden Risikoposition besteht. Darüber hinaus bewirken Hauptmerkmale des Kreditderivatekontrakts nicht, dass die Kursbewegung des Kreditderivats wesentlich von den Kursbewegungen der Kassaposition abweicht. In dem Maße, wie mit dem Geschäft Risiko übertragen wird, wird eine 80 %ige Reduzierung der Eigenmittelanforderungen für das spezifische Risiko auf die Seite des Geschäfts angewandt, die mit der höheren Eigenmittelanforderung behaftet ist, wohingegen die Eigenmittelanforderungen für das spezifische Risiko auf der Gegenseite mit Null angesetzt werden.
(5) Abgesehen von den Fällen nach den Absätzen 3 und 4 wird eine Absicherung unter folgenden Umständen teilweise anerkannt:
Für eine teilweise Anerkennung wird anstelle der Addierung der Eigenmittelanforderungen für das spezifische Risiko für jede Seite der Transaktion lediglich die jeweils höhere der beiden Eigenmittelanforderungen angewandt.
(6) In allen Situationen, die nicht unter die Absätze 3 bis 5 fallen, werden die Eigenmittelanforderungen für das spezifische Risiko für beide Positionsseiten getrennt berechnet.
Artikel 347 Anerkennung von Absicherungen über Erstausfall-Kreditderivate und n-ter-Ausfall-Kreditderivate
Bei Erstausfall-Kreditderivaten und n-ter-Ausfall-Kreditderivaten wird für die Anerkennung nach Artikel 346 wie folgt verfahren:
Abschnitt 6
Eigenmittelanforderungen für OGA
Artikel 348 Eigenmittelanforderungen für OGA
(1) Unbeschadet anderer Bestimmungen dieses Abschnitts wird auf OGA-Positionen eine Eigenmittelanforderung für das Positionsrisiko, das das spezifische und das allgemeine Risiko umfasst, von 32 % angewandt. Unbeschadet des Artikels 353 in Verbindung mit der modifizierten Behandlung von Gold nach Artikel 352 Absatz 4 und Artikel 367 Absatz 2 Buchstabe b unterliegen OGA-Positionen einer Eigenmittelanforderung für das Positionsrisiko, das das spezifische und das allgemeine Risiko umfasst, und für das Fremdwährungsrisiko von 40 %.
(2) Sofern Artikel 350 nichts anderes vorsieht, ist keine Aufrechnung zwischen den zugrunde liegenden Anlagen eines OGa und anderen vom Institut gehaltenen Positionen erlaubt.
Artikel 349 Allgemeine Anforderungen an OGA
Der Ansatz nach Artikel 350 darf auf OGa angewandt werden, sofern sämtliche der folgenden Bedingungen erfüllt sind:
Artikel 350 Spezifische Methoden für OGA
(1) Sofern dem Institut die zugrunde liegenden Anlagen des OGa auf Tagesbasis bekannt sind, kann das Institut die zugrunde liegenden Anlagen unmittelbar berücksichtigen, um die Eigenmittelanforderungen für das Positionsrisiko, das das allgemeine und das spezifische Risiko umfasst, zu berechnen. Nach diesem Ansatz werden Positionen in OGa wie Positionen in den zugrunde liegenden Anlagen des OGa behandelt. Eine Aufrechnung ist zwischen Positionen in den zugrunde liegenden Anlagen des OGa und anderen vom Institut gehaltenen Positionen gestattet, sofern das Institut eine ausreichende Zahl von Anteilen hält, um eine Einlösung/Kreierung im Austausch für die zugrunde liegenden Anlagen zu ermöglichen.
(2) Die Institute können die Eigenmittelanforderungen für das Positionsrisiko, das das allgemeine und das spezifische Risiko umfasst, für Positionen in OGa berechnen, indem Positionen angenommen werden, die jene repräsentieren, die erforderlich wären, um die Zusammensetzung und die Wertentwicklung eines extern geschaffenen Indexes oder eines festen Korbs von Aktien oder Schuldtiteln gemäß Buchstabe a nachzubilden, sofern die folgenden Bedingungen erfüllt sind:
(3) Sind dem Institut die zugrunde liegenden Anlagen des OGa auf Tagesbasis nicht bekannt, kann das Institut die Eigenmittelanforderungen für das Positionsrisiko, das das allgemeine und das spezifische Risiko umfasst, berechnen, wobei folgende Bedingungen zu erfüllen sind:
(4) Die Institute können folgende Dritte damit beauftragen, die Eigenmittelanforderungen für das Positionsrisiko für OGA-Positionen, die unter die Absätze 1 bis 4 fallen, gemäß den in diesem Kapitel beschriebenen Methoden zu berechnen und zu melden:
Die Richtigkeit der Berechnung wird von einem externen Prüfer bestätigt.
Kapitel 3
Eigenmittelanforderungen für das Fremdwährungsrisiko
Artikel 351 Schwellenwert und Gewichtung für das Fremdwährungsrisiko
Übersteigt die nach dem Verfahren des Artikels 352 berechnete Summe der gesamten Nettofremdwährungsposition und der Nettogoldposition eines Instituts, einschließlich Fremdwährungs- und Goldpositionen, für die Eigenmittelanforderungen mit Hilfe eines internen Modells berechnet werden, 2 % des Gesamtbetrags seiner Eigenmittel, so berechnet das Institut eine Eigenmittelanforderung für das Fremdwährungsrisiko. Die Eigenmittelanforderung für das Fremdwährungsrisiko ist die Summe der gesamten Netto-Fremdwährungsposition und der Nettogoldposition in der Währung der Rechnungslegung mit 8 % multipliziert.
Artikel 352 Berechnung der gesamten Netto-Fremdwährungsposition
(1) Die offene Nettoposition des Instituts wird in den einzelnen Währungen (einschließlich der Währung der Rechnungslegung) und in Gold als Summe der folgenden Elemente (positiv oder negativ) berechnet:
Der Delta-Faktor für die Zwecke des Buchstabens d ist derjenige der betreffenden Börse. Bei nicht börsengehandelten Optionen oder wenn der Delta-Faktor von der betreffenden Börse nicht erhältlich ist, darf das Institut den Delta-Faktor vorbehaltlich der Erlaubnis der zuständigen Behörden unter Verwendung eines geeigneten Modells selbst berechnen. Die Erlaubnis wird erteilt, sofern mit dem Modell eine angemessene Schätzung der Änderungsrate für den Wert der Option oder des Optionsscheins bei geringfügigen Änderungen des Marktpreises des Basiswerts vorgenommen wurde.
Das Institut darf dabei den Nettobetrag der künftigen, noch nicht angefallenen, aber bereits voll abgesicherten Einnahmen und Ausgaben berücksichtigen, sofern es durchgängig so vorgeht.
Das Institut darf Nettopositionen in Korbwährungen gemäß den geltenden Quoten in die verschiedenen Währungen, aus denen sich diese zusammensetzen, zerlegen.
(2) Alle Positionen, die ein Institut bewusst eingegangen ist, um sich gegen die nachteilige Auswirkung einer Wechselkursänderung auf seine Eigenmittelquoten gemäß Artikel 92 Absatz 1 abzusichern, können vorbehaltlich der Genehmigung der zuständigen Behörden bei der Errechnung der offenen Netto-Fremdwährungspositionen ausgeschlossen werden. Solche Positionen sind keine Handelspositionen oder sind struktureller Art, und jegliche Änderung der Bedingungen für ihren Ausschluss erfordert eine gesonderte Erlaubnis der zuständigen Behörden. Positionen eines Instituts im Zusammenhang mit Posten, die bereits bei der Berechnung der Eigenmittel in Abzug gebracht wurden, können unter denselben Bedingungen genauso behandelt werden.
(3) Ein Institut darf bei der Berechnung der offenen Nettoposition in den einzelnen Währungen und in Gold den jeweiligen Nettogegenwartswert heranziehen, sofern das Institut diesen Ansatz durchgängig einsetzt.
(4) Die Netto-Kauf- und Verkaufspositionen in den einzelnen Währungen, mit Ausnahme der Währung der Rechnungslegung, und die Netto-Kauf- oder Verkaufsposition in Gold werden zum Kassakurs in die Währung der Rechnungslegung umgerechnet. Anschließend werden diese getrennt addiert, um die gesamte Netto-Kaufposition und die gesamte Netto-Verkaufsposition zu ermitteln. Der höhere dieser beiden Gesamtbeträge entspricht der gesamten Netto-Fremdwährungsposition des Instituts.
(5) Die Institute spiegeln andere Risiken, die mit Optionen verbunden sind - abgesehen vom Delta-Faktor-Risiko - in den Eigenmittelanforderungen adäquat wider.
(6) Die EBa arbeitet Entwürfe technischer Regulierungsstandards aus, in denen verschiedene Methoden festgelegt werden, um andere Risiken - abgesehen vom Delta-Faktor-Risiko - in den Eigenmittelanforderungen in einer dem Umfang und der Komplexität der Tätigkeiten der Institute im Bereich Optionen angemessenen Weise zu berücksichtigen.
Die EBa legt der Kommission diese Entwürfe technischer Regulierungsstandards bis zum 31. Dezember 2013 vor.
Der Kommission wird die Befugnis übertragen, die technischen Regulierungsstandards nach dem Unterabsatz 1 gemäß den Artikeln 10 bis 14 der Verordnung (EU) Nr. 1093/2010 zu erlassen.
Vor dem Inkrafttreten der technischen Standards nach Unterabsatz 1 dürfen die zuständigen Behörden weiterhin bestehende nationale Behandlungen anwenden, wenn sie diese vor dem 31. Dezember 2013 angewandt haben.
Artikel 353 Fremdwährungsrisiko von OGA
(1) Für die Zwecke des Artikels 352 werden in Bezug auf OGa die tatsächlichen Fremdwährungspositionen des OGa berücksichtigt.
(2) Die Institute können den Ausweis von Fremdwährungspositionen in OGa heranziehen, der vonseiten folgender Dritter vorgenommen wird:
Die Richtigkeit der Berechnung wird von einem externen Prüfer bestätigt.
(3) Kennt ein Institut die Fremdwährungspositionen in einem OGa nicht, wird davon ausgegangen, dass dieser bis zur im Rahmen seines Mandats möglichen Höchstgrenze in Fremdwährungspositionen investiert hat; die Institute tragen hierbei bei der Berechnung ihrer Eigenmittelanforderung für Fremdwährungsrisiken im Hinblick auf ihre Handelsbuchpositionen dem maximalen indirekten Risiko Rechnung, das sie erreichen könnten, wenn sie mittels des OGa Fremdkapitalpositionen aufnehmen würden. Dies erfolgt, indem die Position im OGa proportional bis zum Höchstrisiko angehoben wird, das in Bezug auf die zugrunde liegenden Positionen eingegangen werden kann, die sich aus dem Anlagemandat ergeben. Die angenommene Position des OGa in Fremdwährungen wird wie eine gesonderte Währung behandelt, d. h. wie Anlagen in Gold, wobei allerdings die Gesamtkaufposition zur offenen Gesamtfremdwährungskaufposition und die Gesamtverkaufsposition zur offenen Gesamtfremdwährungsverkaufsposition hinzuaddiert werden kann, sofern die Ausrichtung der Anlagen des OGa bekannt ist. Eine Aufrechnung derartiger Positionen vor der Berechnung ist nicht zulässig.
Artikel 354 Eng verbundene Währungen
(1) Die Institute dürfen für Positionen in relevanten eng verbundenen Währungen niedrigere Eigenmittelanforderungen erfüllen. Eine enge Verbindung zwischen zwei Währungen darf nur unterstellt werden, wenn bei Zugrundelegung der täglichen Wechselkurse für die vorangegangenen drei Jahre eine Wahrscheinlichkeit von mindestens 99 % - und für die vorangegangenen fünf Jahre eine solche von 95 % - besteht, dass aus gleich hohen und entgegengesetzten Positionen in diesen Währungen über die folgenden zehn Arbeitstage ein Verlust entsteht, der höchstens 4 % des Werts der betreffenden ausgeglichenen Position (in der Währung der Rechnungslegung) beträgt. Für die ausgeglichene Position in zwei eng verbundenen Währungen beträgt die Eigenmittelanforderung 4 % des Werts der ausgeglichenen Position.
(2) Bei der Berechnung der Anforderungen gemäß diesem Kapitel dürfen Institute Positionen in Währungen vernachlässigen, für die eine rechtlich bindende zwischenstaatliche Vereinbarung besteht, die deren Schwankung gegenüber anderen in dieser Vereinbarung erfassten Währungen begrenzt. Die Institute haben ihre ausgeglichenen Positionen in diesen Währungen zu berechnen und dafür eine Eigenmittelanforderung zu erfüllen, die mindestens der Hälfte der in der zwischenstaatlichen Vereinbarung für die betreffenden Währungen festgelegten höchstzulässigen Schwankung entspricht.
(3) Die EBa arbeitet Entwürfe technischer Durchführungsstandards mit einem Verzeichnis der Währungen aus, für die nach Absatz 1 verfahren werden darf.
Die EBa legt der Kommission diese Entwürfe technischer Durchführungsstandards bis 1. Januar 2014 vor.
Der Kommission wird die Befugnis übertragen, die technischen Durchführungsstandards nach Unterabsatz 1 gemäß Artikel 15 der Verordnung (EU) Nr. 1093/2010 zu erlassen.
(4) Die Eigenmittelanforderung für die ausgeglichenen Positionen in Währungen der Mitgliedstaaten, die an der zweiten Stufe der Wirtschafts- und Währungsunion teilnehmen, darf als 1,6 % des Werts dieser ausgeglichenen Positionen berechnet werden.
(5) Nur die nicht ausgeglichenen Positionen in Währungen gemäß diesem Artikel werden in die gesamte offene Nettoposition nach Artikel 352 Absatz 4 einbezogen.
(6) Geht aus den täglichen Wechselkursen der vorangegangenen drei oder fünf Jahre bei gleich hohen und entgegengesetzten Positionen in zwei Währungen über die jeweils folgenden zehn Arbeitstage hervor, dass die beiden Währungen perfekt positiv korrelieren und das Institut jederzeit eine Geld-Brief-Spanne von Null für die jeweiligen Abschlüsse erwarten kann, darf es mit ausdrücklicher Genehmigung seiner zuständigen Behörde bis Ende 2017 eine Eigenmittelanforderung von 0 % ansetzen.
Kapitel 4
Eigenmittelanforderungen für das Warenpositionsrisiko
Artikel 355 Wahl der Methode für das Warenpositionsrisiko
Vorbehaltlich der Artikel 356 bis 358 berechnen die Institute die Eigenmittelanforderung für das Warenpositionsrisiko anhand einer der in den Artikeln 359, 360 oder 361 festgelegten Methoden.
Artikel 356 Ergänzende Warengeschäfte
(1) Institute, die ergänzende Geschäfte mit Agrarerzeugnissen betreiben, dürfen zum Jahresende die Eigenmittelanforderungen für ihren physischen Warenbestand für das Folgejahr bestimmen, sofern sämtliche der folgenden Voraussetzungen erfüllt sind:
(2) Institute teilen den zuständigen Behörden mit, inwieweit sie von der Möglichkeit nach Absatz 1 Gebrauch machen.
Artikel 357 Positionen in Waren
(1) Jede Position in Waren oder warenunterlegten Derivaten wird in Standardmaßeinheiten ausgedrückt. Der Kassakurs der einzelnen Waren wird in der Währung der Rechnungslegung angegeben.
(2) Positionen in Gold oder goldunterlegten Derivaten gelten als dem Fremdwährungsrisiko unterliegend und werden für die Zwecke der Berechnung des Warenpositionsrisikos gegebenenfalls gemäß Kapitel 3 oder 5 behandelt.
(3) Der Überschuss der Kauf-(Verkaufs-) positionen eines Instituts über seine Verkaufs- (Kauf-) positionen in derselben Ware und in identischen Warenterminkontrakten, Optionen und Optionsscheinen ist seine Nettoposition für die Zwecke des Artikels 360 Absatz 1 in Bezug auf diese Ware. Positionen in Derivaten werden - wie in Artikel 358 erläutert - als Positionen in der zugrunde liegenden Ware behandelt.
(4) Für die Zwecke der Berechnung einer Position in Waren werden folgende Positionen als Positionen in derselben Ware behandelt:
Artikel 358 Spezifische Instrumente
(1) Warenterminkontrakte und Terminpositionen bezüglich des Kaufs oder Verkaufs bestimmter Waren sind als fiktive, in einer Standardmaßeinheit ausgedrückte Nominalbeträge in das Risikomesssystem aufzunehmen und gemäß ihrem Fälligkeitstermin in das entsprechende Laufzeitband einzustellen.
(2) Warenswaps, bei denen eine Seite der Transaktion ein fester Preis und die andere der jeweilige Marktpreis ist, sind als eine Reihe von dem Nominalwert des Geschäfts entsprechenden Positionen zu behandeln, wobei gegebenenfalls eine Position jeweils einer Zahlung aus dem Swap entspricht und in das entsprechende Laufzeitband nach Artikel 359 Absatz 1 eingestellt wird. Dabei handelt es sich um Kaufpositionen, wenn das Institut einen festen Preis zahlt und einen variablen Preis erhält, und um Verkaufspositionen, wenn das Institut einen festen Preis erhält und einen variablen Preis zahlt. Warenswaps, bei denen die beiden Seiten der Transaktion verschiedene Waren betreffen, sind beim Laufzeitbandverfahren für beide Waren getrennt in den jeweiligen Laufzeitbandfächer einzustellen.
(3) Optionen und Optionsscheine auf Waren oder auf warenunterlegte Derivate sind für die Zwecke dieses Kapitels wie Positionen zu behandeln, deren Wert dem mit dem Delta-Faktor multiplizierten Basiswert entspricht. Die letztgenannten Positionen können gegen entgegengesetzte Positionen in identischen zugrunde liegenden Waren oder warenunterlegten Derivaten aufgerechnet werden. Als Delta-Faktor ist derjenige der betreffenden Börse zu verwenden. Bei nicht börsengehandelten Optionen oder wenn der Delta-Faktor von der betreffenden Börse nicht erhältlich ist, darf das Institut den Delta-Faktor vorbehaltlich der Genehmigung durch die zuständigen Behörden unter Verwendung eines geeigneten Modells selbst berechnen. Die Genehmigung wird erteilt, sofern mit dem Modell eine angemessene Schätzung der Änderungsrate für den Wert der Option oder des Optionsscheins bei geringfügigen Änderungen des Marktpreises des Basiswerts vorgenommen wurde.
Die Institute spiegeln andere Risiken, die mit Optionen verbunden sind - abgesehen vom Delta-Faktor-Risiko - in den Eigenmittelanforderungen adäquat wider.
(4) Die EBa arbeitet Entwürfe technischer Regulierungsstandards aus, in denen verschiedene Methoden festgelegt werden, um andere Risiken - abgesehen vom Delta-Faktor-Risiko - in den Eigenmittelanforderungen in einer dem Umfang und der Komplexität der Tätigkeiten der Institute im Bereich Optionen angemessenen Weise zu berücksichtigen.
Die EBa legt der Kommission diese Entwürfe technischer Regulierungsstandards bis zum 31. Dezember 2013 vor.
Der Kommission wird die Befugnis übertragen, die technischen Regulierungsstandards nach Unterabsatz 1 gemäß den Artikeln 10 bis 14 der Verordnung (EU) Nr. 1093/2010 zu erlassen.
Vor dem Inkrafttreten der technischen Standards nach Unterabsatz 1 dürfen die zuständigen Behörden weiterhin bestehende nationale Behandlungen anwenden, wenn sie diese vor dem 31. Dezember 2013 angewandt haben.
(5) Das Institut bezieht die betreffenden Warenpositionen in die Berechnung seiner Eigenmittelanforderungen für Warenpositionsrisiken ein, wenn es sich bei dem Institut um Folgendes handelt:
Artikel 359 Laufzeitbandverfahren
(1) Das Institut legt für jede Ware einen gesonderten Laufzeitbandfächer entsprechend der Tabelle 1 zugrunde. Alle Positionen in der betreffenden Ware werden in die entsprechenden Laufzeitbänder eingestellt. Warenbestände sind in das erste Laufzeitband zwischen 0 bis zu einschließlich einem Monat einzuordnen.
| Laufzeitband
(1) |
Spread-Satz (in %)
(2) |
| 0 ≤ 1 Monat | 1,50 |
| > 1 ≤ 3 Monate | 1,50 |
| > 3 ≤ 6 Monate | 1,50 |
| > 6 ≤ 12 Monate | 1,50 |
| 1 ≤ 2 Jahre | 1,50 |
| 2 ≤ 3 Jahre | 1,50 |
| > 3 Jahre | 1,50 |
(2) Positionen in derselben Ware dürfen gegeneinander aufgerechnet und als Nettoposition in das entsprechende Laufzeitband eingestellt werden, wenn
(3) Anschließend errechnet das Institut für jedes Laufzeitband die Summe der Kaufpositionen sowie die Summe der Verkaufspositionen. Der Betrag der ersteren Summe, der innerhalb eines gegebenen Laufzeitbands durch den der letzteren Summe ausgeglichen wird, ist in jenem Band die ausgeglichene Position, während die verbleibende Kauf- oder Verkaufsposition die nicht ausgeglichene Position für dasselbe Laufzeitband darstellt.
(4) Der Teil der nicht ausgeglichenen Kauf-(Verkaufs-)position für ein gegebenes Laufzeitband, der durch die nicht ausgeglichene Verkaufs-(Kauf-)position für ein Laufzeitband mit längerer Fristigkeit ausgeglichen wird, stellt die ausgeglichene Position zwischen zwei Laufzeitbändern dar. Der Teil der nicht ausgeglichenen Kaufposition oder der nicht ausgeglichenen Verkaufsposition, der nicht auf diese Weise ausgeglichen werden kann, stellt die nicht ausgeglichene Position dar.
(5) Die Eigenmittelanforderung eines Instituts für jede Ware errechnet sich auf der Grundlage des entsprechenden Laufzeitbandfächers als die Summe aus
(6) Die Gesamteigenmittelanforderung eines Instituts zur Unterlegung des Warenpositionsrisikos errechnet sich als die Summe der gemäß Absatz 5 berechneten Eigenmittelanforderungen für jede Ware.
Artikel 360 Vereinfachtes Verfahren
(1) Die Eigenmittelanforderung des Instituts für jede Ware errechnet sich hier als die Summe aus
(2) Die Gesamteigenmittelanforderung eines Instituts zur Unterlegung des Warenpositionsrisikos errechnet sich als die Summe der gemäß Absatz 1 berechneten Eigenmittelanforderungen für jede Ware.
Artikel 361 Erweitertes Laufzeitbandverfahren
Institute dürfen anstelle der in Artikel 359 genannten Sätze die Mindestsätze für den Spread-, den Vortrags- und den einfachen Gewichtungssatz der nachstehenden Tabelle 2 verwenden, sofern sie
| Edelmetalle (ausgenommen Gold) | Andere Metalle | Agrarerzeugnisse (Agrarrohstoffe) | Sonstige, einschließlich Energieprodukte | |
| "Spread"-Satz (in %) |
1,0 |
1,2 |
1,5 |
1,5 |
| Gewichtungssatz für vorgetragene Positionen(in %) |
0,3 |
0,5 |
0,6 |
0,6 |
| einfacher Gewichtungssatz (in %) |
8 |
10 |
12 |
15 |
Die Institute zeigen den zuständigen Behörden an, inwieweit sie von dem Verfahren nach diesem Artikel Gebrauch machen und legen dabei Nachweise für ihre Bemühungen vor, ein internes Modell für die Berechnung der Eigenmittelanforderung für das Warenpositionsrisiko einzuführen.
Kapitel 5
Verwendung interner Modelle zur Berechnung der Eigenmittelanforderungen
Abschnitt 1
Erlaubnis und Eigenmittelanforderungen
Artikel 362 Spezifische und allgemeine Risiken
Das Positionsrisiko gehandelter Schuldtitel oder Aktieninstrumente oder davon abgeleiteter Derivate darf für die Zwecke dieses Kapitels in zwei Komponenten aufgeteilt werden. Die erste Komponente ist die spezifische Risikokomponente, sie erfasst das Risiko einer Preisänderung bei dem betreffenden Instrument aufgrund von Faktoren, die auf seinen Emittenten oder im Fall eines Derivats auf den Emittenten des zugrunde liegenden Instruments zurückzuführen sind. Die zweite Komponente betrifft das allgemeine Risiko und erfasst das Risiko einer Preisänderung bei dem betreffenden Wertpapier, die im Fall gehandelter Schuldtitel oder davon abgeleiteter Instrumente einer Änderung des Zinsniveaus oder im Fall von Aktien oder davon abgeleiteter Instrumente einer allgemeinen Bewegung am Aktienmarkt zuzuschreiben ist, die in keinem Zusammenhang mit den spezifischen Merkmalen einzelner Wertpapiere steht.
Artikel 363 Erlaubnis zur Verwendung interner Modelle
(1) Nachdem sie überprüft haben, dass ein Institut die einschlägigen Anforderungen der Abschnitte 2, 3 und 4 erfüllt, geben die zuständigen Behörden dem Institut die Erlaubnis, die Eigenmittelanforderungen für eine oder mehrere der folgenden Risikokategorien mit Hilfe seiner internen Modelle anstelle oder in Verbindung mit den Verfahren nach den Kapiteln 2 bis 4 zu berechnen:
(2) Für Risikokategorien, für die dem Institut keine Erlaubnis nach Absatz 1 zur Verwendung interner Modelle erteilt wurde, berechnet das Institut die Eigenmittelanforderungen weiterhin erforderlichenfalls gemäß den Kapiteln 2, 3 und 4. Für die Verwendung interner Modelle ist für jede Risikokategorie eine Erlaubnis der zuständigen Behörden erforderlich, die nur gegeben wird, wenn das interne Modell einen signifikanten Anteil der Positionen einer bestimmten Risikokategorie erfasst.
(3) Wesentliche Änderungen in der Verwendung der internen Modelle, deren Verwendung dem Institut gestattet wurde, und die Ausdehnung der Verwendung dieser gestatteten Modelle, insbesondere auf zusätzliche Risikokategorien, sowie die erste Berechnung des Risikopotenzials unter Stressbedingungen ("Stressed Value-at-Risk") nach Artikel 365 Absatz 2 erfordern eine gesonderte Erlaubnis der zuständigen Behörden.
Institute zeigen den zuständigen Behörden alle sonstigen Ausweitungen und Änderungen der Verwendung der internen Modelle, deren Verwendung ihnen gestattet wurde, an.
(4) Die EBa arbeitet Entwürfe technischer Regulierungsstandards aus, in denen Folgendes präzisiert wird:
Die EBa legt der Kommission diese Entwürfe technischer Regulierungsstandards bis zum 31. Dezember 2014 vor.
Der Kommission wird die Befugnis übertragen, die technischen Regulierungsstandards nach Unterabsatz 1 gemäß den Artikeln 10 bis 14 der Verordnung (EU) Nr. 1093/2010 zu erlassen.
Artikel 364 Eigenmittelanforderungen bei der Verwendung interner Modelle
(1) Jedes Institut, das ein internes Modell verwendet, erfüllt - zusätzlich zu den nach den Kapiteln 2, 3 und 4 berechneten Eigenmittelanforderungen für Risikokategorien, für die die zuständigen Behörden keine Erlaubnis zur Verwendung eines internen Modells gegeben haben - eine Eigenmittelanforderung, die der Summe der Werte nach den Buchstaben a und b entspricht:
(2) Institute, die zur Berechnung ihrer Eigenmittelanforderung für das spezifische Risiko von Schuldtiteln interne Modelle verwenden, erfüllen eine zusätzliche Eigenmittelanforderung, die der Summe der Werte nach den Buchstaben a und b entspricht:
(3) Institute, die ein den Anforderungen des Artikels 338 Absätze 1 bis 3 entsprechendes Korrelationshandelsportfolio besitzen, dürfen eine auf Artikel 377 anstatt Artikel 338 Absatz 4 gestützte Eigenmittelanforderung erfüllen, die dem höheren der nachstehenden Werte entspricht:
Abschnitt 2
Allgemeine Anforderungen
Artikel 365 Berechnung des Risikopotenzials und des Risikopotenzials unter Stressbedingungen
(1) Für die Berechnung der Maßzahl des Risikopotenzials im Sinne des Artikels 364 gelten folgende Anforderungen:
Das Institut darf Risikopotenzial-Maßzahlen verwenden, die ausgehend von einer Haltedauer von weniger als zehn Tagen errechnet und auf zehn Tage hochgerechnet werden, sofern dazu eine angemessene und regelmäßig überprüfte Methode verwendet wird.
(2) Zusätzlich berechnet das Institut im Einklang mit den in Absatz 1 aufgeführten Anforderungen mindestens wöchentlich das Risikopotenzial unter Stressbedingungen des aktuellen Portfolios, wobei die Modellparameter für das Risikopotenzial unter Stressbedingungen aus historischen Daten eines ununterbrochenen Zwölfmonatszeitraums mit signifikantem und für das Portfolio des Instituts maßgeblichem Finanzstress ermittelt werden. Die Auswahl dieser historischen Daten unterliegt der mindestens jährlichen Überprüfung durch das Institut, das den zuständigen Behörden das Ergebnis mitteilt. Die EBa überwacht die Bandbreite der Praxis für die Berechnung des Risikopotenzials unter Stressbedingungen und gibt im Einklang mit Artikel 16 der Verordnung (EU) Nr. 1093/2010 Leitlinien dazu heraus.
Artikel 366 Aufsichtliche Rückvergleiche und Multiplikationsfaktoren
(1) Die Ergebnisse der Berechnungen nach Artikel 365 werden durch die Multiplikationsfaktoren (mc) und (ms) heraufskaliert.
(2) Jeder der Multiplikationsfaktoren (mc) und (ms) entspricht der Summe aus mindestens 3 und einem Zuschlagsfaktor zwischen 0 und 1 gemäß Tabelle 1. Dieser Zuschlagsfaktor richtet sich nach der Zahl der Überschreitungen, die sich bei den Rückvergleichen der gemäß Artikel 365 Absatz 1 berechneten Maßzahl des Risikopotenzials des Instituts während der unmittelbar vorausgegangenen 250 Geschäftstage ergeben haben.
| Anzahl der Überschreitungen | Zuschlagsfaktor |
| Weniger als 5 | 0,00 |
| 5 | 0,40 |
| 6 | 0,50 |
| 7 | 0,65 |
| 8 | 0,75 |
| 9 | 0,85 |
| 10 oder mehr | 1,00 |
(3) Die Institute zählen die Überschreitungen bei täglichen Rückvergleichen der hypothetischen und tatsächlichen Änderungen des Portfoliowerts. Eine Überschreitung liegt vor, wenn eine Eintagesänderung des Portfoliowerts die mit Hilfe des internen Modells des Instituts errechnete Maßzahl des Risikopotenzials für denselben Eintageszeitraum überschreitet. Zur Ermittlung des Zuschlagsfaktors wird die Zahl der Überschreitungen zumindest einmal pro Quartal berechnet und entspricht der Höchstzahl der Überschreitungen bei den hypothetischen und den tatsächlichen Änderungen des Portfoliowerts.
Ein Rückvergleich der hypothetischen Änderungen des Portfoliowerts beruht auf dem Vergleich zwischen dem Tagesendwert des Portfolios und seinem Wert am Ende des darauf folgenden Tages unter der Annahme unveränderter Tagesendpositionen.
Ein Rückvergleich der tatsächlichen Änderungen des Portfoliowerts beruht auf dem Vergleich zwischen dem Tagesendwert des Portfolios und seinem tatsächlichen Wert am Ende des darauf folgenden Tages, ohne Gebühren, Provisionen und Nettozinserträge.
(4) Die zuständigen Behörden können in Einzelfällen den Zuschlagsfaktor auf einen Wert beschränken, der sich aus den Überschreitungen bei hypothetischen Änderungen ergibt, sofern die Anzahl der Überschreitungen bei den tatsächlichen Änderungen nicht auf Schwächen des internen Modells zurückzuführen ist.
(5) Damit die zuständigen Behörden die Angemessenheit der Multiplikationsfaktoren laufend überwachen können, melden die Institute unverzüglich und in jedem Fall binnen fünf Arbeitstagen, wenn aufgrund ihrer Rückvergleiche Überschreitungen ausgewiesen werden.
Artikel 367 Anforderungen an die Risikomessung
(1) Jedes interne Modell zur Berechnung der Eigenmittelanforderung für das Positionsrisiko, das Fremdwährungsrisiko oder das Warenpositionsrisiko und jedes interne Modell für Korrelationshandelsaktivitäten erfüllt sämtliche der folgenden Bedingungen:
(2) Jedes interne Modell zur Berechnung der Eigenmittelanforderung für das Positionsrisiko, das Fremdwährungsrisiko oder das Warenpositionsrisiko erfüllt sämtliche der folgenden Bedingungen:
(3) Die Institute dürfen in jedem für die Zwecke dieses Kapitels verwendeten internen Modell empirische Korrelationen innerhalb und zwischen den einzelnen Risikokategorien nur dann anwenden, wenn der Ansatz des Instituts für die Korrelationsmessung solide ist und unter Sicherstellung seiner Integrität angewandt wird.
Artikel 368 Qualitative Anforderungen
(1) Jedes für die Zwecke dieses Kapitels verwendete interne Modell beruht auf einem soliden Konzept und wird unter Sicherstellung seiner Integrität angewandt; insbesondere werden sämtliche der folgenden qualitativen Anforderungen erfüllt:
(2) In die unter Absatz 1 Buchstabe h genannte Prüfung sind sowohl die Tätigkeiten der Handelsabteilungen als auch die der unabhängigen Abteilung zur Risikosteuerung und -überwachung einzubeziehen. Das Institut prüft mindestens einmal im Jahr sein gesamtes Risikomanagementsystem. In diese Prüfung ist Folgendes einzubeziehen:
(3) Sollten neue Techniken und vorbildliche Verfahren entwickelt werden, so wenden die Institute diese neuen Techniken und Verfahren auf jedes für die Zwecke dieses Kapitels verwendete Modell an.
Artikel 369 Interne Validierung
(1) Institute verfügen über Verfahren, die gewährleisten, dass alle ihre für die Zwecke dieses Kapitels verwendeten internen Modelle angemessen von entsprechend qualifizierten Dritten, die von der Entwicklung unabhängig sind, validiert wurden, damit sichergestellt ist, dass sie konzeptionell solide sind und alle wesentlichen Risiken erfassen. Die Validierung erfolgt sowohl bei der Einführung als auch bei jeder wesentlichen Änderung des internen Modells. Darüber hinaus werden regelmäßig Validierungen durchgeführt, insbesondere jedoch nach jedem wesentlichen Strukturwandel am Markt oder jeder Änderung der Portfoliozusammensetzung, wenn die Gefahr besteht, dass das interne Modell infolgedessen nicht länger angemessen ist. Sollten neue Techniken und vorbildliche Praktiken für die interne Validierung entwickelt werden, so wenden die Institute diese an. Die Modellvalidierung ist nicht auf Rückvergleiche beschränkt, umfasst zumindest aber Folgendes:
(2) Das Institut führt sowohl für tatsächliche als auch für hypothetische Änderungen des Portfoliowerts Rückvergleiche durch.
Abschnitt 3
Besondere Anforderungen an die Entwicklung von Modellen für spezifische Risiken
Artikel 370 Anforderungen an die Entwicklung von Modellen für spezifische Risiken
Interne Modelle zur Berechnung der Eigenmittelanforderungen für das spezifische Risiko und interne Modelle für Korrelationshandelsaktivitäten müssen folgenden zusätzlichen Anforderungen genügen:
Artikel 371 Ausschlüsse aus Modellen für das spezifische Risiko
(1) Ein Institut darf sich dafür entscheiden, bei der Berechnung der Eigenmittelanforderung für das spezifische Risiko anhand eines internen Modells die Positionen auszuschließen, für die es die Eigenmittelanforderung für das spezifische Risiko nach Artikel 332 Absatz 1 Buchstabe e oder Artikel 337, mit Ausnahme der Positionen, auf die der Ansatz gemäß Artikel 377 angewandt wird, erfüllt,
(2) Ein Institut darf sich dafür entscheiden, keine Ausfall- und Migrationsrisiken für gehandelte Schuldtitel in seinem internen Modell zu erfassen, wenn es diese Risiken durch die Anforderungen gemäß Abschnitt 4 erfasst.
Abschnitt 4
Internes Modell für das zusätzliche Ausfall- und Migrationsrisiko
Artikel 372 Pflicht zur Bereitstellung eines internen Modells für das zusätzliche Ausfall- und Migrationsrisiko (IRC-Modell)
Ein Institut, das zur Berechnung der Eigenmittelanforderungen für das spezifische Risiko gehandelter Schuldtitel ein internes Modell verwendet, verfügt auch über ein internes Modell für das zusätzliche Ausfall- und Migrationsrisiko (IRC), um die Ausfall- und Migrationsrisiken seiner Handelsbuchpositionen zu erfassen, die über die Risiken hinausgehen, die im Wert des Risikopotenzials gemäß Artikel 365 Absatz 1 enthalten sind. Das Institut muss nachweisen, dass sein internes Modell - unter der Annahme eines unveränderten Risikoniveaus - die folgenden Standards erfüllt und erforderlichenfalls angepasst wurde, um den Auswirkungen der Liquidität, sowie von Konzentrationen, Absicherungsgeschäften und Optionalität Rechnung zu tragen:
Die EBa gibt Leitlinien zu den Anforderungen der Artikel 373, 374, 375 und 376 heraus.
Artikel 373 Anwendungsbereich des internen IRC-Modells
Das interne IRC-Modell erfasst alle Positionen, die einer Eigenmittelanforderung für das spezielle Zinsänderungsrisiko unterliegen, einschließlich der Positionen, die gemäß Artikel 336 einer Eigenmittelanforderung für das spezifische Risiko von 0 % unterliegen, darf aber keine Verbriefungspositionen und n-ter-Ausfall-Kreditderivate erfassen.
Das Institut darf sich vorbehaltlich der Genehmigung der zuständigen Behörden dafür entscheiden, sämtliche Positionen in börsennotierten Aktien und sämtliche auf börsennotierten Aktien basierenden Derivatepositionen konsequent in den Anwendungsbereich einzubeziehen. Eine Genehmigung wird erteilt, sofern eine solche Einbeziehung im Einklang mit der institutsinternen Risikomessung und dem institutsinternen Risikomanagement steht.
Artikel 374 Parameter des internen IRC-Modells
(1) Institute verwenden ein internes Modell zur Berechnung einer Zahl, die die Verluste aufgrund von Ausfällen und der Migration interner oder externer Bonitätsbeurteilungen mit einem Konfidenzniveau von 99,9 % über einen Zeithorizont von einem Jahr misst. Die Institute berechnen diese Zahl mindestens wöchentlich.
(2) Die Korrelationsannahmen werden durch die Analyse objektiver Daten in einem konzeptionell soliden Rahmen gestützt. Das interne Modell spiegelt Emittentenkonzentrationen angemessen wider. Dabei werden auch Konzentrationen abgebildet, die innerhalb von Produktklassen und über Produktklassen hinweg unter Stressbedingungen entstehen können.
(3) Das interne IRC-Modell muss die Auswirkung von Korrelationen zwischen Ausfall- und Migrationsereignissen darstellen. Die Auswirkung einer Diversifizierung zwischen Ausfall- und Migrationsereignissen einerseits und anderen Risikofaktoren andererseits wird nicht berücksichtigt.
(4) Das interne Modell basiert auf der Annahme, dass das Risiko über den einjährigen Zeithorizont hinweg konstant bleibt, d. h. dass Einzelpositionen oder Positionsgruppen im Handelsbuch, bei denen über den Liquiditätshorizont Ausfälle oder Migration aufgetreten sind, am Ende ihres Liquiditätshorizonts wieder ausgeglichen werden, sodass das Risiko wieder sein ursprüngliches Niveau erreicht. Alternativ dazu können die Institute auch durchgängig über ein Jahr hinweg konstante Positionen annehmen.
(5) Die Liquiditätshorizonte werden danach festgelegt, wie viel Zeit erforderlich ist, um die Position unter Stressbedingungen am Markt zu verkaufen oder alle damit verbundenen wesentlichen Preisrisiken abzusichern, wobei insbesondere die Höhe der Position zu berücksichtigen ist. Die Liquiditätshorizonte spiegeln die tatsächliche Praxis und die während Phasen mit systematischem und spezifischem Stress gesammelten Erfahrungen wider. Der Liquiditätshorizont wird unter konservativen Annahmen bestimmt und ist so lang, dass der Akt des Verkaufs oder der Absicherung selbst den Preis, zu dem der Verkauf oder die Absicherung erfolgen würde, nicht wesentlich beeinflussen würde.
(6) Bei der Bestimmung des angemessenen Liquiditätshorizonts für eine Position oder eine Positionsgruppe gilt eine Untergrenze von drei Monaten.
(7) Bei der Bestimmung des angemessenen Liquiditätshorizonts für eine Position oder eine Positionsgruppe werden die internen Vorschriften des Instituts für Bewertungsanpassungen und das Management von Altbeständen berücksichtigt. Bestimmt ein Institut die Liquiditätshorizonte nicht für Einzelpositionen, sondern für Positionsgruppen, so werden die Kriterien für die Definition von Positionsgruppen so festgelegt, dass sie Liquiditätsunterschiede realistisch widerspiegeln. Die Liquiditätshorizonte für konzentrierte Positionen sind länger, da zur Auflösung solcher Positionen ein längerer Zeitraum erforderlich ist. Bei der Zwischenfinanzierung des Ankaufs von Forderungen im Hinblick auf ihre Verbriefung (Warehousing) spiegelt der Liquiditätshorizont den Zeitraum wider, der benötigt wird, um die Vermögenswerte aufzubauen, zu verkaufen und zu verbriefen oder die damit verbundenen wesentlichen Risikofaktoren unter Stressbedingungen am Markt abzusichern.
Artikel 375 Anerkennung von Absicherungen im internen IRC-Modell
(1) Absicherungsgeschäfte dürfen in das interne Modell eines Instituts zur Erfassung der zusätzlichen Ausfall- und Migrationsrisiken einbezogen werden. Kauf- und Verkaufspositionen in Bezug auf dasselbe Finanzinstrument dürfen gegeneinander aufgerechnet werden. Absicherungs- oder Diversifizierungseffekte bei Kauf- und Verkaufspositionen in Bezug auf verschiedene Instrumente oder verschiedene Wertpapiere desselben Schuldners sowie Kauf- und Verkaufspositionen gegenüber verschiedenen Emittenten dürfen nur berücksichtigt werden, indem die Bruttokauf- und -verkaufspositionen über die verschiedenen Instrumente explizit modelliert werden. Institute bilden die Auswirkungen wesentlicher Risiken, die im Zeitraum zwischen dem Ablauf des Absicherungsgeschäfts und dem Liquiditätshorizont eintreten könnten, sowie das Potenzial für signifikante Basisrisiken in den Absicherungsstrategien aufgrund von Unterschieden zwischen den Instrumenten hinsichtlich unter anderem Produkt, Rang in der Kapitalstruktur, interner oder externer Bonitätsbeurteilung, Laufzeit, Jahrgang der originären Kreditgewährung (Vintage) ab. Ein Institut bildet ein Absicherungsgeschäft nur ab, soweit es auch dann haltbar ist, wenn sich der Schuldner einem Kredit- oder sonstigen Ereignis nähert.
(2) Bei Positionen, die über dynamische Absicherungsstrategien abgesichert werden, kann eine Anpassung des Absicherungsgeschäfts innerhalb des Liquiditätshorizonts der abgesicherten Position berücksichtigt werden, wenn das Institut
Artikel 376 Besondere Anforderungen an das interne IRC-Modell
(1) Das interne Modell zur Erfassung der zusätzlichen Ausfall- und Migrationsrisiken muss den nichtlinearen Auswirkungen von Optionen, strukturierten Kreditderivaten und anderen Positionen mit wesentlichem nichtlinearem Verhalten in Bezug auf Preisveränderungen Rechnung tragen. Das inhärente Modellierungsrisiko der Bewertung und Schätzung der mit diesen Produkten verbundenen Preisrisiken wird von den Instituten ebenfalls gebührend berücksichtigt.
(2) Das interne Modell basiert auf objektiven und aktuellen Daten.
(3) Im Rahmen der unabhängigen Prüfung und der Validierung seiner internen Modelle, die für die Zwecke dieses Kapitels, einschließlich für die Zwecke des Risikomesssystems, verwendet werden, nimmt ein Institut insbesondere Folgendes vor:
(4) Das interne Modell muss mit den internen Risikomanagement-Methoden des Instituts für die Ermittlung, Messung und Steuerung von Handelsrisiken in Einklang stehen.
(5) Die Institute dokumentieren ihre internen Modelle, sodass die Korrelations- und anderen Modellannahmen für die zuständigen Behörden transparent sind.
(6) Bei dem internen Modell wird das aus weniger liquiden Positionen und Positionen mit begrenzter Preistransparenz erwachsende Risiko unter Zugrundelegung realistischer Marktszenarien konservativ bewertet. Darüber hinaus erfüllt das interne Modell die Mindestanforderungen an Daten. Näherungswerte werden mit der notwendigen Vorsicht bestimmt und dürfen nur verwendet werden, wenn die verfügbaren Daten nicht ausreichen oder die Volatilität einer Position oder eines Portfolios nicht realistisch widerspiegeln.
Abschnitt 5
Internes Modell für Korrelationshandelsaktivitäten
Artikel 377 Anforderungen an ein internes Modell für Korrelationshandelsaktivitäten
(1) Die zuständigen Behörden erteilen Instituten, die ein internes Modell für das spezifische Risiko von Schuldtiteln verwenden dürfen und die Anforderungen der Absätze 2 bis 6 dieses Artikels sowie der Artikel 367 Absätze 1 und 3, Artikel 368, 369 Absatz 1 und 370 Buchstaben a, b, c, e und f erfüllen, die Erlaubnis, anstelle der Eigenmittelanforderung gemäß Artikel 338 ein internes Modell für die Eigenmittelanforderung für das Korrelationshandelsportfolio zu verwenden.
(2) Die Institute verwenden dieses interne Modell zur Berechnung einer Zahl, die alle Preisrisiken mit einem Konfidenzniveau von 99,9 % über einen Zeithorizont von einem Jahr adäquat erfasst, wobei von einem unveränderten Risikoniveau ausgegangen und erforderlichenfalls eine Anpassung vorgenommen wird, um die Auswirkungen der Liquidität, sowie von Konzentrationen, Absicherungsgeschäften und Optionalität widerzuspiegeln. Die Institute berechnen diese Zahl mindestens wöchentlich.
(3) Das Modell gemäß Absatz 1 muss folgende Risiken angemessen erfassen:
(4) Das Institut muss im Rahmen des Modells gemäß Absatz 1 ausreichende Marktdaten verwenden, die gewährleisten, dass es die Hauptrisiken dieser Risikopositionen in seinem internen Ansatz gemäß den in diesem Artikel beschriebenen Anforderungen vollständig erfasst. Es muss gegenüber den zuständigen Behörden durch Rückvergleiche oder andere geeignete Methoden nachweisen, dass das Modell die historischen Preisschwankungen dieser Produkte in angemessener Weise erklären kann.
Das Institut verfügt über angemessene Vorschriften und Verfahren, um die Positionen, für die es die Erlaubnis zur Einbeziehung in die Eigenmittelanforderung gemäß diesem Artikel hat, von denen zu trennen, für die es keine solche Erlaubnis hat.
(5) Hinsichtlich des Portfolios aller in das Modell gemäß Absatz 1 einbezogenen Positionen wendet das Institut regelmäßig eine Reihe spezifischer, vorgegebener Stressszenarien an. Derartige Stressszenarien analysieren die Auswirkungen angespannter Situationen auf Ausfallraten, Erlösquoten, Risikoprämien (Kreditspreads), Basisrisiken, Korrelationen und andere einschlägige Risikofaktoren auf das Korrelationshandelsportfolio. Das Institut wendet diese Stressszenarien mindestens einmal wöchentlich an und meldet den zuständigen Behörden mindestens einmal vierteljährlich die Ergebnisse, einschließlich Vergleichen mit der Eigenmittelanforderung des Instituts gemäß diesem Artikel. Jeder Fall, in dem die Stresstests eine wesentliche Unzulänglichkeit der Eigenmittelanforderung für das Korrelationshandelsportfolio anzeigen, muss den zuständigen Behörden zeitnah gemeldet werden. Die EBa gibt Leitlinien zur Anwendung von Stressszenarien für das Korrelationshandelsportfolio heraus.
(6) Bei dem internen Modell wird das aus weniger liquiden Positionen und Positionen mit begrenzter Preistransparenz erwachsende Risiko unter Zugrundelegung realistischer Marktszenarien konservativ bewertet. Darüber hinaus erfüllt das interne Modell die Mindestanforderungen an Daten. Näherungswerte werden mit der notwendigen Vorsicht bestimmt und dürfen nur verwendet werden, wenn die verfügbaren Daten nicht ausreichen oder die Volatilität einer Position oder eines Portfolios nicht realistisch widerspiegeln.
Titel V
Eigenmittelanforderungen für das Abwicklungsrisiko
Artikel 378 Abwicklungs-/Lieferrisiko
Im Fall von Geschäften, bei denen Schuldtitel, Aktieninstrumente, Fremdwährungen und Waren, mit Ausnahme von Pensionsgeschäften und Wertpapier- oder Warenverleih- und Wertpapier- oder Warenleihgeschäften, nach dem festgesetzten Liefertag noch nicht abgewickelt wurden, muss das Institut die Preisdifferenz berechnen, die sich daraus ergibt.
Die Preisdifferenz wird berechnet als die Differenz zwischen dem vereinbarten Abrechnungspreis für die betreffenden Schuldtitel, Aktieninstrumente, Fremdwährungen oder Waren und ihrem aktuellen Marktwert, wenn die Differenz mit einem Verlust für das Institut verbunden sein könnte.
Zur Berechnung seiner Eigenmittelanforderung für das Abwicklungsrisiko multipliziert das Institut diesen Differenzbetrag mit dem entsprechenden Faktor in der rechten Spalte der nachstehenden Tabelle 1.
| Anzahl der Arbeitstage nach dem festgesetzten Abwicklungstermin | (%) |
|
5 - 15 |
8 |
| 16 - 30 | 50 |
| 31 - 45 | 75 |
| 46 oder mehr | 100 |
Artikel 379 Vorleistungen
(1) Ein Institut muss über Eigenmittel nach Maßgabe von Tabelle 2 verfügen, falls Folgendes eintritt:
Tabelle 2 Eigenmittelunterlegung bei Vorleistungen
| Spalte 1 | Spalte 2 | Spalte 3 | Spalte 4 |
| Art des Geschäfts | Bis zur ersten vertraglich vereinbarten Zahlung oder zum ersten vertraglich vereinbarten Lieferabschnitt | Von der ersten vertraglich vereinbarten Zahlung/vom ersten vertraglich vereinbarten Lieferabschnitt bis zu vier Tagen nach der zweiten vertraglich vereinbarten Zahlung oder dem zweiten vertraglich vereinbarten Lieferabschnitt | Vom fünften Geschäftstag nach der zweiten vertraglich vereinbarten Zahlung oder dem zweiten vertraglich vereinbarten Lieferabschnitt bis zur Abwicklung des Geschäfts |
| Vorleistung | Keine Eigenmittelunterlegung | Behandlung als Risikoposition | Behandlung als Risikoposition mit einem Risikogewicht von 1.250 % |
(2) Institute, die den in Teil 3 Titel II Kapitel 3 beschriebenen IRB-Ansatz anwenden, dürfen bei der Ansetzung eines Risikogewichts für Positionen aus nicht abgewickelten Geschäften gemäß der dritten Spalte der Tabelle 2 bei Gegenparteien, gegenüber denen sie keine andere Risikoposition im Anlagebuch haben, die Zuordnung der PD anhand einer externen Bonitätsbeurteilung der Gegenpartei vornehmen. Institute, die eigene LGD-Schätzungen verwenden, dürfen die LGD nach Artikel 161 Absatz 1 für alle Risikopositionen aus nicht abgewickelten Geschäften, die nach Maßgabe der dritten Spalte der Tabelle 2 behandelt werden, anwenden, sofern sie die LGD auf alle derartigen Risikopositionen anwenden. Alternativ dazu dürfen Institute, die den IRB-Ansatz nach Teil 3 Titel II Kapitel 3 anwenden, das Risikogewicht gemäß dem Standardansatz nach Teil 3 Titel II Kapitel 2 ansetzen, sofern sie es auf alle derartigen Risikopositionen anwenden, oder ein Risikogewicht von 100 % auf alle derartigen Risikopositionen anwenden.
Resultiert aus nicht abgewickelten Geschäften kein nennenswerter positiver Risikopositionsbetrag, so dürfen die Institute für diese Risikopositionen ein Risikogewicht von 100 % ansetzen, sofern nicht gemäß der vierten Spalte von Tabelle 2 in Absatz 1 eine Risikogewichtung von 1.250 % erforderlich ist.
(3) Alternativ zu einer Risikogewichtung von 1.250 % von Positionen aus nicht abgewickelten Geschäften gemäß Absatz 1 Tabelle 2 Spalte 4 können die Institute den übertragenen Wert zuzüglich des aktuellen positiven Risikopositionsbetrags von Posten des harten Kernkapitals im Einklang mit Artikel 36 Absatz 1 Buchstabe k in Abzug bringen.
Artikel 380 Aussetzung der Eigenmittelanforderungen
Bei einem systemweiten Ausfall eines Abwicklungssystems, eines Clearingsystems oder einer zentralen Gegenpartei können die zuständigen Behörden die gemäß den Artikeln 378 und 379 berechneten Eigenmittelanforderungen bis zur Behebung des Schadens aussetzen. In diesem Falle wird das Versäumnis einer Gegenpartei, ein Geschäft abzuwickeln, nicht als kreditrisikorelevanter Ausfall angesehen.
Titel VI
Eigenmittelanforderungen für das Risiko einer Anpassung der Kreditbewertung (CVA-RISIKO)
Artikel 381 Begriff der Anpassung der Kreditbewertung
Für die Zwecke dieses Titels und des Titels II Kapitel 6 ist die "Anpassung der Kreditbewertung" oder "CVA" ein Betrag zur Anpassung der Bewertung eines Portfolios von Geschäften mit einer Gegenpartei an die Bewertung zum mittleren Marktwert. Dieser Anpassungsbetrag spiegelt den Marktwert des Kreditrisikos der Gegenpartei gegenüber dem Institut wider, jedoch nicht den Marktwert des Kreditrisikos des Instituts gegenüber der Gegenpartei.
Artikel 382 Anwendungsbereich
(1) Ein Institut berechnet in Bezug auf all seine Geschäftstätigkeiten für alle OTC-Derivate ausgenommen Kreditderivate, die anerkanntermaßen die risikogewichteten Positionsbeträge für das Kreditrisiko verringern, die Eigenmittelanforderungen für das CVA-Risiko gemäß diesem Titel.
(2) Ein Institut bezieht in die Berechnung der Eigenmittelanforderungen nach Absatz 1 Wertpapierfinanzierungsgeschäfte mit ein, sofern die zuständige Behörde feststellt, dass die aus diesen Geschäften erwachsenden CVA-Risikopositionen des Instituts wesentlich sind.
(3) Geschäfte mit einer qualifizierten zentralen Gegenpartei und Geschäfte eines Kunden mit einem Clearingmitglied, bei denen das Clearingmitglied als Vermittler zwischen dem Kunden und einer qualifizierten zentralen Gegenpartei auftritt und das Geschäft eine Handelsrisikoposition des Clearingmitglieds gegenüber der qualifizierten zentralen Gegenpartei begründet, fließen nicht in die Eigenmittelanforderung für das CVA-Risiko ein.
(4) Die folgenden Geschäfte fließen nicht in die Eigenmittelanforderung für das CVA-Risiko ein:
Die Ausnahme von der Eigenmittelunterlegung des CVA-Risikos für diejenigen Geschäfte im Sinne des Buchstabens c, die während des Übergangszeitraums nach Artikel 89 Absatz 1 der Verordnung (EU) Nr. 648/2012 getätigt werden, gilt für die Vertragsdauer des betreffenden Geschäfts.
Entfällt die Ausnahme nach Buchstabe a, weil ein Institut die Clearingschwelle überschreitet oder weil sich diese ändert, gilt die Ausnahme für noch laufende Geschäfte bis zum Ende ihrer Laufzeit weiter.
(5) Die EBa führt bis 1. Januar 2015 und danach alle zwei Jahre im Lichte der internationalen Entwicklungen bei der Beaufsichtigung eine Überprüfung durch, in die sie auch mögliche Techniken der Kalibrierung und Schwellenwerte für die Eigenmittelunterlegung des CVA-Risikos nichtfinanzieller Gegenparteien in Drittländern einbezieht.
Die EBa arbeitet in Zusammenarbeit mit der ESMa Entwürfe technischer Regulierungsstandards aus, in denen das Verfahren festgelegt wird, um Geschäfte mit nichtfinanziellen Gegenparteien in Drittländern von der Eigenmittelanforderung für das CVA-Risiko auszunehmen.
Die EBa legt der Kommission diese Entwürfe technischer Regulierungsstandards innerhalb von sechs Monaten nach dem Datum der Überprüfung nach Unterabsatz 1 vor.
Der Kommission wird die Befugnis übertragen, die technischen Regulierungsstandards nach Unterabsatz 2 gemäß dem den Artikeln 10 bis 14 der Verordnung (EU) Nr. 1093/2010 zu erlassen.
Artikel 383 Fortgeschrittene Methode
(1) Ein Institut, dem gemäß Artikel 363 Absatz 1 Buchstabe d gestattet wurde, ein internes Modell für das spezifische Risiko von Schuldtiteln zu verwenden, ermittelt für sämtliche Geschäfte, für die es die IMM zur Bestimmung des Risikopositionswerts des Gegenparteiausfallrisikos gemäß Artikel 283 verwenden darf, die Eigenmittelanforderung für das CVA-Risiko fest, indem es die Auswirkungen von Veränderungen der Kreditspreads der Gegenparteien auf die CVA-Werte sämtlicher Gegenparteien dieser Geschäfte - unter Berücksichtigung der nach Maßgabe von Artikel 386 anerkannten CVA-Absicherungsgeschäfte - modelliert.
Ein Institut verwendet sein internes Modell zur Ermittlung der Eigenmittelanforderungen für das mit gehandelten Schuldinstrumenten verbundene spezifische Risiko und wendet ein 99 %iges Konfidenzniveau und eine zehn Tagen entsprechende Haltedauer an. Das interne Modell wird so verwendet, dass es Veränderungen der Kreditspreads von Gegenparteien simuliert, nicht jedoch die Sensitivität der CVa gegenüber Veränderungen anderer Marktfaktoren, einschließlich Änderungen des Werts von Referenzaktivum, -ware, -währung oder -zinssatz eines Derivats, abbildet.
Die Eigenmittelanforderung für das CVA-Risiko für jede Gegenpartei wird unter Zugrundelegung der nachstehenden Formel berechnet:
dabei entspricht
| ti | = | der Zeit des i-ten Neubewertungszeitraums ab t0=0; |
| tT | = | der längsten vertraglichen Laufzeit bei allen Netting-Sätzen mit der Gegenpartei; |
| si | = | dem zur Berechnung der CVa der Gegenpartei herangezogenen Kreditspread der Gegenpartei für die Laufzeit ti. Liegt der CDS-Spread der Gegenpartei vor, so verwendet das Institut diesen. Ist kein CDS-Spread der Gegenpartei verfügbar, so verwendet das Institut einen unter Berücksichtigung von Bonitätsbeurteilung, Branche und Region der Gegenpartei angemessenen Näherungswert; |
| LGDMKT | = | der LGD der Gegenpartei, die auf der Risikoprämie (Spread) eines am Markt gehandelten Instruments der Gegenpartei basiert, falls ein solches verfügbar ist. Ist kein entsprechendes Instrument der Gegenpartei verfügbar, basiert der Wert auf einem unter Berücksichtigung von Bonitätsbeurteilung, Branche und Region der Gegenpartei angemessenen Näherungswert. |
| Der erste Faktor in der Summe ist ein Näherungswert für die vom Markt implizierte Grenzwahrscheinlichkeit für den Eintritt des Ausfalls zwischen den Zeitpunkten ti-1 und ti; | ||
| EEi | = | dem erwarteten Wiederbeschaffungswert gegenüber der Gegenpartei zum Neubewertungszeitpunkt ti, bei dem die Risikopositionen der unterschiedlichen Netting-Sätze für die betreffende Gegenpartei addiert werden und die längste Fälligkeit jedes Netting-Satzes durch die längste darin enthaltene vertragliche Restlaufzeit definiert wird. Ein Institut wendet das Verfahren nach Absatz 3 auf Geschäfte mit Nachschussvereinbarung an, sofern es die EPE-Messgröße gemäß Artikel 285 Absatz 1 Buchstabe a oder b für Geschäfte mit Nachschussvereinbarung verwendet; |
| Di | = | dem Diskontierungsfaktor für Ausfallrisikofreiheit zum Zeitpunkt ti, wobei D0 =1. |
(2) Bei der Berechnung der Eigenmittelanforderungen für das CVA-Risiko für eine Gegenpartei stützt ein Institut sämtliche Eingangsparameter seines internen Modells für das spezifische Risiko von Schuldtiteln (je nach Fall) auf folgende Formeln:
Für das letzte Laufzeitband i=T lautet die entsprechende Formel:
(3) Ein Institut, das die EPE-Messgröße für besicherte OTC-Derivate gemäß Artikel 285 Absatz 1 Buchstabe a oder b verwendet, geht bei der Ermittlung der Eigenmittelanforderungen für das CVA-Risiko gemäß Absatz 1 wie folgt vor:
(4) Ein Institut, das mit Erlaubnis der zuständigen Behörden gemäß Artikel 283 die IMM zur Berechnung der Risikopositionswerte für den Großteil seiner Geschäfte verwenden darf, aber die in Titel II Kapitel 6 Abschnitt 3, 4 oder 5 genannten Methoden für kleinere Portfolios verwendet und dem gemäß Artikel 363 Absatz 1 Buchstabe d gestattet wurde, für das spezifische Risiko von Schuldtiteln ein internes Modell für das Marktrisiko zu verwenden, darf vorbehaltlich der Erlaubnis der zuständigen Behörden die Eigenmittelanforderung für das CVA-Risiko gemäß Absatz 1 für die Nicht-IMM-Netting-Sätze berechnen. Die zuständigen Behörden geben diese Erlaubnis nur, wenn das Institut die in Titel II Kapitel 6 Abschnitt 3, 4 oder 5 beschriebenen Methoden für eine begrenzte Anzahl kleinerer Portfolios verwendet.
Für die Zwecke der Berechnung gemäß vorstehendem Unterabsatz und in Fällen, in denen die IMM kein Profil eines erwarteten Wiederbeschaffungswerts generiert, geht ein Institut wie folgt vor:
(5) Ein Institut bestimmt die Eigenmittelanforderung für das CVA-Risiko gemäß Artikel 364 Absatz 1 und den Artikeln 365 und 367 als Summe des Risikopotenzials ("Value-at-Risk", VaR) und des Risikopotenzials unter Stressbedingungen ("Stressed Value-at-Risk", stressed VaR), die wie folgt berechnet werden:
(6) Für Risikopositionen gegenüber einer Gegenpartei, für die das gestattete institutsinterne Modell für das spezifische Risiko von Schuldtiteln keinen Näherungswert für die Risikoprämie (Spread) generiert, der hinsichtlich der Kriterien Bonitätsbeurteilung, Branche und Region der Gegenpartei angemessen ist, geht das Institut nach Artikel 384 vor, um die Eigenmittelanforderung für das CVA-Risiko zu berechnen.
(7) Die EBa arbeitet Entwürfe technischer Regulierungsstandards aus, in denen Folgendes präzisiert wird:
Die EBa legt der Kommission diese Entwürfe technischer Regulierungsstandards bis zum 1. Januar 2014 vor.
Der Kommission wird die Befugnis übertragen, die technischen Regulierungsstandards nach Unterabsatz 1 gemäß den Artikeln 10 bis 14 der Verordnung (EU) Nr. 1093/2010 zu erlassen.
Artikel 384 Standardmethode
(1) Nimmt ein Institut keine Berechnung der Eigenmittelanforderung für das CVA-Risiko für seine Gegenparteien nach Artikel 383 vor, so berechnet es eine Portfolio- Eigenmittelan-forderung für das CVA-Risiko für jede Gegenpartei anhand der folgenden Formel und berücksichtigt dabei die gemäß Artikel 386 anerkennungsfähigen CVA-Sicherungsgeschäfte:
dabei entspricht
| h | = | dem einjährigen Risikohorizont (in Jahren); h = 1, |
| wi | = | der Gewichtung von Gegenpartei i.
Die Gegenpartei "i" wird auf der Basis einer externen Bonitätsbeurteilung durch eine benannte ECAI einer der sechs Gewichtungen wi gemäß Tabelle 1 zugeordnet. Liegt für eine Gegenpartei keine Bonitätsbeurteilung einer benannten ECAI vor,
|
![]() |
= | dem Gesamtwert der (über alle Netting-Sätze hinweg addierten) mit Gegenparteiausfallrisiko behafteten Positionen gegenüber der Gegenpartei i unter Berücksichtigung der Auswirkung gestellter Sicherheiten im Einklang mit den für die Berechnung der Eigenmittelanforderungen für das Gegenparteiausfallrisiko dieser Gegenpartei jeweils maßgebenden Methode nach Titel II Kapitel 6 Abschnitte 3 bis 6.
Verwendet ein Institut nicht die Methode nach Titel II Kapitel 6 Abschnitt 6, so wird der Risikopositionswert anhand des folgenden Faktors abgezinst:
|
| Bi | = | dem Nominalwert (bei mehreren Positionen der Gesamt-Nominalwert) gekaufter und zur Absicherung des CVA-Risikos verwendeter Einzeladressen-Kreditausfallswaps auf Gegenpartei i.
Dieser Nominalwert wird anhand des folgenden Faktors abgezinst:
|
| Bind | = | dem vollen Nominalwert eines oder mehrerer gekaufter und zur Absicherung des CVA-Risikos verwendeter Index-Kreditausfallswaps.
Dieser Nominalwert wird anhand des folgenden Faktors abgezinst:
|
| wind | = | der Gewichtung von Index-Absicherungsgeschäften.
Ein Institut ermittelt Wind durch Berechnung des gewichteten Durchschnitts der wi, die für die einzelnen Bestandteile des Index gelten; |
| Mi | = | der effektiven Laufzeit der Geschäfte mit Gegenpartei i.
Verwendet ein Institut die Methode nach Titel II Kapitel 6 Abschnitt 6, wird Mi gemäß Artikel 162 Absatz 2 Buchstabe g berechnet. Jedoch wird für diesen Zweck Mi nicht auf höchstens fünf Jahre, sondern auf die längste vertragliche Restlaufzeit im Netting-Satz beschränkt. |
![]() |
= | der Laufzeit des Absicherungsinstruments mit Nominalwert Bi (handelt es sich um mehrere Positionen, sind die Werte Bi zu addieren), |
| Mind | = | der Laufzeit des Index-Absicherungsgeschäfts.
Besteht mehr als eine Index-Absicherungsposition, ist Mind die nominalgewichtete Laufzeit. |
(2) Ist eine Gegenpartei Bestandteil eines Indexes, auf dem ein zur Absicherung des Gegenparteiausfallrisikos verwendeter Kreditausfallswap basiert, darf das Institut den dieser Gegenpartei gemäß der Gewichtung ihrer Referenzeinheit zuzurechnenden Nominalwert vom Nominalwert des Index-Kreditausfallswap abziehen und als Einzeladressen-Absicherung (Bi) dieser Gegenpartei mit einer der Laufzeit des Indexes entsprechenden Laufzeit behandeln.
| Bonitätsstufe | Gewichtung wi |
| 1 | 0,7 % |
| 2 | 0,8 % |
| 3 | 1,0 % |
| 4 | 2,0 % |
| 5 | 3,0 % |
| 6 | 10,0 % |
Artikel 385 Alternative zur Verwendung der CVA-Methoden für die Berechnung der Eigenmittelanforderungen
Alternativ zu Artikel 384 dürfen Institute, die die Ursprungsrisikomethode nach Artikel 282 verwenden, nach vorheriger Genehmigung durch die zuständige Behörde für die in Artikel 382 genannten Instrumente einen Multiplikationsfaktor von 10 auf die sich ergebenden risikogewichteten Positionsbeträge für das Gegenparteiausfallrisiko dieser Positionen anwenden, anstatt die Eigenmittelanforderungen für das CVA-Risiko zu berechnen.
Artikel 386 Anerkennungsfähige Absicherungsgschäfte
(1) Absicherungsgeschäfte sind nur dann für die Zwecke der Berechnung der Eigenmittelanforderungen für das CVA-Risiko nach den Artikeln 383 und 384 anerkennungsfähig, wenn sie zur Minderung des CVA-Risikos verwendet werden, als solche behandelt werden und in eine der folgenden Kategorien fallen:
Die Anforderung nach Buchstabe b, dass die Basis zwischen dem Spread einer einzelnen Gegenpartei und den Spreads von Absicherungen über Index-Kreditausfallswaps im Risikopotenzial und im Risikopotenzial unter Stressbedingungen abzubilden ist, gilt auch für Fälle, in denen ein Näherungswert für den Spread einer Gegenpartei verwendet wird.
Bei allen Gegenparteien, für die ein Näherungswert eingesetzt wird, verwendet das Institut eine angemessene Basiszeitreihe aus einer repräsentativen Gruppe ähnlicher Adressen, für die ein Spread verfügbar ist.
Wird die Basis zwischen dem Spread für eine einzelne Gegenpartei und den Spreads der als Absicherung verwendeten Index-Kreditausfallswaps nach Auffassung der zuständigen Behörde nicht hinreichend abgebildet, darf das Institut lediglich 50 % des Nominalwerts der indexbasierten Absicherungen im Risikopotenzial und im Risikopotenzial unter Stressbedingungen berücksichtigen.
Eine Übersicherung der Risikopositionen aus Einzeladressen-Kreditausfallswaps nach der Methode gemäß Artikel 383 ist nicht gestattet.
(2) Ein Institut berücksichtigt in der Berechnung der Eigenmittelanforderungen für das CVA-Risiko keine anderen Arten von Gegenparteirisiko-Sicherungsgeschäften. Insbesondere sind tranchierte Kreditausfallswaps oder n-ter-Ausfall-Swaps und synthetische Unternehmensanleihen (Credit Linked Notes) für die Zwecke der Berechnung der Eigenmittelanforderungen für das CVA-Risiko keine anerkennungsfähigen Sicherungsgeschäfte.
(3) Anerkennungsfähige Sicherungsgeschäfte, die in der Berechnung der Eigenmittelanforderungen für das CVA-Risiko berücksichtigt werden, dürfen nicht in der Berechnung der Eigenmittelanforderungen für das spezifische Risiko nach Titel IV berücksichtigt werden oder als Kreditrisikominderung behandelt werden, außer im Zusammenhang mit dem Gegenparteiausfallrisiko für dasselbe Transaktionsportfolio.
Teil 4
Grosskredite
Artikel 387 Gegenstand
Großkredite werden von den Instituten gemäß diesem Teil überwacht und kontrolliert.
Artikel 388 - gestrichen - 19
Artikel 389 Begriffsbestimmung
Im Sinne dieses Teils sind "Risikopositionen" alle Aktiva und außerbilanziellen Posten im Sinne von Teil 3 Titel II Kapitel 2 ohne Anwendung der Risikogewichte und -grade.
Artikel 390 Berechnung des Risikopositionswerts
(1) Die Gesamtrisikoposition gegenüber einer Gruppe verbundener Kunden wird durch Addition der Risikopositionen gegenüber den Einzelkunden dieser Gruppe berechnet.
(2) Die Gesamtrisikoposition gegenüber Einzelkunden wird durch Addition der Risikopositionen im Handelsbuch und der Risikopositionen im Anlagebuch berechnet.
(3) Für Risikopositionen im Handelsbuch dürfen die Institute
Für die Zwecke der Buchstaben a und b können die Finanzinstrumente auf der Grundlage der verschiedenen Rangkategorien in Unterklassen eingeordnet werden, um den jeweiligen Rang von Positionen zu bestimmen.
(4) Die Institute berechnen die Risikopositionswerte aus den in Anhang II aufgeführten Derivatkontrakten und aus Kreditderivatkontrakten, die direkt mit einem Kunden abgeschlossen werden, gemäß der jeweils maßgeblichen Methode nach Teil 3 Titel II Kapitel 6 Abschnitte 3, 4 und 5. Risikopositionen, die sich aus den in den Artikeln 378, 379 und 380 genannten Geschäften ergeben, werden nach dem in diesen Artikeln festgelegten Verfahren berechnet.
Bei der Berechnung des Risikopositionswerts für die in Unterabsatz 1 genannten Geschäfte halten die Institute auch die in Artikel 299 festgelegten Grundsätze ein, wenn diese Geschäfte dem Handelsbuch zugeordnet werden.
Abweichend von Unterabsatz 1 können Institute mit einer Erlaubnis zur Verwendung der Methoden nach Teil 3 Titel II Kapitel 4 Abschnitt 4 und Teil 3 Titel II Kapitel 6 Abschnitt 6 diese Methoden für die Berechnung des Risikopositionswerts für Wertpapierfinanzierungsgeschäfte verwenden.
(5) Die Institute addieren zu der Gesamtrisikoposition gegenüber einem Kunden die Risikopositionen aus den in Anhang II aufgeführten Derivatkontrakten und aus Kreditderivatkontrakten, wenn der Kontrakt nicht direkt mit diesem Kunden abgeschlossen wurde, jedoch der zugrunde liegende Schuldtitel oder das zugrunde liegende Eigenkapitalinstrument von diesem Kunden begeben wurde.
(6) Folgendes ist nicht in Risikopositionen enthalten:
(7) Um in Bezug auf Kunden, gegenüber denen ein Institut Risikopositionen aus Geschäften im Sinne des Artikels 112 Buchstaben m und o oder aus anderen Geschäften hat, bei denen Risikopositionen aus zugrunde liegenden Vermögenswerten resultieren, die Gesamtrisikoposition gegenüber einem Kunden oder einer Gruppe verbundener Kunden zu ermitteln, bewertet das Institut seine zugrunde liegenden Risikopositionen und berücksichtigt dabei die wirtschaftliche Substanz der Struktur des Geschäfts und die dieser selbst innewohnenden Risiken, um zu entscheiden, ob die Struktur eine zusätzliche Risikoposition darstellt.
(8) Die EBa arbeitet Entwürfe technischer Regulierungsstandards aus, in denen Folgendes festgelegt wird:
Die EBa legt der Kommission diese Entwürfe technischer Regulierungsstandards bis zum 1. Januar 2014 vor.
Der Kommission wird die Befugnis übertragen, die technischen Regulierungsstandards nach Unterabsatz 1 gemäß den Artikeln 10 bis 14 der Verordnung (EU) Nr. 1093/2010 zu erlassen.
(9) Für die Zwecke des Absatzes 5 arbeitet die EBa Entwürfe technischer Regulierungsstandards aus, um festzulegen, wie die Risikopositionen aus den in Anhang II aufgeführten Derivatkontrakten und aus Kreditderivatkontrakten, wenn der Kontrakt nicht direkt mit einem Kunden abgeschlossen wurde, jedoch der zugrunde liegende Schuldtitel oder das zugrunde liegende Eigenkapitalinstrument von diesem Kunden begeben wurde, zwecks Einberechnung in die Risikopositionen gegenüber dem Kunden zu ermitteln sind.
Die EBa übermittelt der Kommission diese Entwürfe technischer Regulierungsstandards bis zum 28. März 2020.
Der Kommission wird die Befugnis übertragen, die in Unterabsatz 1 genannten technischen Regulierungsstandards gemäß den Artikeln 10 bis 14 der Verordnung (EU) Nr. 1093/2010 zur Ergänzung dieser Verordnung zu erlassen.
Artikel 391 Begriffsbestimmung des Instituts für die Zwecke von Großkrediten
Für die Zwecke der Berechnung des Risikopositionswerts gemäß diesem Teil bezeichnet "Institut" auch private oder öffentliche Unternehmen, einschließlich ihrer Zweigstellen, die, wenn sie in der Union niedergelassen wären, unter die Definition des Begriffs "Institut" fallen würden und die in einem Drittland zugelassen wurden, dessen aufsichtliche und rechtliche Anforderungen denen der Union mindestens gleichwertig sind.
Für die Zwecke des Absatzes 1 kann die Kommission im Wege von Durchführungsrechtsakten und vorbehaltlich des in Artikel 464 Absatz 2 genannten Prüfverfahrens Beschlüsse dazu erlassen, ob die aufsichtlichen und rechtlichen Anforderungen eines Drittlands denen der Union zumindest gleichwertig sind.
Artikel 392 Begriffsbestimmung eines Großkredits
Die Risikoposition eines Instituts gegenüber einem Kunden oder einer Gruppe verbundener Kunden gilt als Großkredit, wenn der Wert der Risikoposition 10 % des Kernkapitals des Instituts erreicht oder überschreitet.
Artikel 393 Kapazitäten zur Ermittlung und Verwaltung von Großkrediten
Ein Institut verfügt über ordnungsgemäße Verwaltungs- und Rechnungslegungsverfahren sowie angemessene interne Kontrollmechanismen zur Ermittlung, Verwaltung, Überwachung, Erfassung und Meldung aller Großkredite und ihrer späteren Änderungen im Einklang mit dieser Verordnung.
Artikel 394 Meldepflichten
(1) Die Institute melden den für sie zuständigen Behörden für jeden vergebenen Großkredit, den sie halten, auch wenn diese Großkredite von der Anwendung des Artikels 395 Absatz 1 ausgenommen sind, Folgendes:
Institute, die Teil 3 Titel II Kapitel 3 unterliegen, melden den für sie zuständigen Behörden ihre 20 größten Kredite auf konsolidierter Basis, ohne Berücksichtigung derjenigen Risikopositionen, die von der Anwendung des Artikels 395 Absatz 1 ausgenommen sind.
Die Institute melden den für sie zuständigen Behörden außerdem auf konsolidierter Basis Risikopositionen im Wert von 300 Mio. EUR oder mehr, die aber weniger als 10 % des Kernkapitals des Instituts ausmachen.
(2) Zusätzlich zu den in Absatz 1 des vorliegenden Artikels genannten Angaben melden die Institute den für sie zuständigen Behörden in Bezug auf ihre zehn größten Kredite gegenüber Instituten auf konsolidierter Basis sowie auf ihre zehn größten Kredite gegenüber Schattenbankunternehmen, die außerhalb des Regelungsrahmens Banktätigkeiten ausüben, auf konsolidierter Basis, einschließlich von der Anwendung des Artikels 395 Absatz 1 ausgenommener Großkredite, Folgendes:
(3) Die Institute melden den für sie zuständigen Behörden die in den Absätzen 1 und 2 genannten Informationen mindestens halbjährlich.
(4) Die EBa arbeitet Entwürfe technischer Regulierungsstandards aus, in denen die Kriterien für die Ermittlung der in Absatz 2 genannten Schattenbankunternehmen festgelegt werden.
Bei der Ausarbeitung dieser Entwürfe technischer Regulierungsstandards berücksichtigt die EBa die internationalen Entwicklungen und international vereinbarten Standards zum Schattenbankwesen und erwägt,
Die EBa übermittelt der Kommission diese Entwürfe technischer Regulierungsstandards bis zum 28. Juni 2020.
Der Kommission wird die Befugnis übertragen, die in Unterabsatz 1 genannten technischen Regulierungsstandards gemäß den Artikeln 10 bis 14 der Verordnung (EU) Nr. 1093/2010 zur Ergänzung dieser Verordnung zu erlassen.
Artikel 395 Obergrenze für Großkredite
(1) Ein Institut hält gegenüber einem Kunden oder einer Gruppe verbundener Kunden nach Berücksichtigung der Wirkung der Kreditrisikominderung gemäß den Artikeln 399 bis 403 keine Risikoposition, deren Wert 25 % seines Kernkapitals übersteigt. Ist der Kunde ein Institut oder gehört zu einer Gruppe verbundener Kunden ein oder mehr als ein Institut, so darf der Risikopositionswert den jeweils höheren Wert von entweder 25 % des Kernkapitals des Instituts oder 150 Mio. EUR nicht übersteigen, sofern nach Berücksichtigung der Wirkung der Kreditrisikominderung gemäß den Artikeln 399 bis 403 die Summe der Risikopositionswerte gegenüber sämtlichen verbundenen Kunden, die keine Institute oder Wertpapierfirmen sind, 25 % des Kernkapitals des Instituts nicht übersteigt.
Ist der Betrag von 150 Mio. EUR höher als 25 % des Kernkapitals des Instituts, so darf der Risikopositionswert nach Berücksichtigung der Wirkung der Kreditrisikominderung gemäß den Artikeln 399 bis 403 der vorliegenden Verordnung nicht über eine angemessene Obergrenze in Bezug auf das Kernkapital dieses Instituts hinausgehen. Diese Obergrenze wird von den Instituten im Einklang mit den Grundsätzen und Verfahren gemäß der Richtlinie 2013/36/EU festgelegt, um das Konzentrationsrisiko zu steuern und zu begrenzen. Die Obergrenze darf 100 % des Kernkapitals des Instituts nicht überschreiten.
Die zuständigen Behörden können eine niedrigere Obergrenze als 150 Mio. EUR festlegen; in diesem Fall setzen sie die EBa und die Kommission davon in Kenntnis.
Abweichend von Unterabsatz 1 des vorliegenden Absatzes hält ein G-SRI, gegenüber einem anderen G-SRI oder einem Nicht-EU-G-SRI, keine Risikoposition, deren Wert nach Berücksichtigung der Wirkung der Kreditrisikominderung gemäß den Artikeln 399 bis 403 15 % seines Kernkapitals übersteigt. Ein G-SRI hält diese Obergrenze spätestens zwölf Monate ab dem Datum, an dem es als ein G-SRI ermittelt wurde, ein. Hält ein G-SRI gegenüber einem Institut oder einer Gruppe, die als ein G-SRI oder ein Nicht-EU-G-SRI ermittelt wurde, so hält es diese Obergrenze spätestens zwölf Monate ab dem Datum, an dem dieses andere Institut oder die Gruppe als G-SRI oder Nicht-EU-G-SII ermittelt wurde.
(2) Die EBa arbeitet gemäß Artikel 16 der Verordnung (EU) Nr. 1093/2010 unter Berücksichtigung der Auswirkung von Kreditrisikominderungen nach den Artikeln 399 bis 403 sowie der Ergebnisse der Entwicklungen im Bereich Schattenbanken und Großkredite auf Unionsebene und auf internationaler Ebene bis zum 31. Dezember 2014 Leitlinien aus, um geeignete Gesamtobergrenzen für Großkredite oder niedrigere Obergrenzen für Einzelkredite an Schattenbankunternehmen festzusetzen, die außerhalb eines Regelungsrahmens Banktätigkeiten ausüben.
Bei der Ausarbeitung dieser Leitlinien prüft die EBA, ob die Einführung zusätzlicher Obergrenzen eine wesentliche nachteilige Auswirkung auf das Risikoprofil europäischer Institute, die Kreditvergabe an die Realwirtschaft oder die Stabilität und das reibungslose Funktionieren der Finanzmärkte hätte.
Die Kommission prüft bis zum 31. Dezember 2015 die Angemessenheit und Auswirkung von Obergrenzen für Kredite an Schattenbankunternehmen, die außerhalb eines Regelungsrahmens Banktätigkeiten ausüben, unter Berücksichtigung der Entwicklungen im Bereich Schattenbanken und Großkredite auf Unionsebene und internationaler Ebene sowie der Auswirkung von Kreditrisikominderungen nach den Artikeln 399 bis 403. Sie unterbreitet ihren Bericht dem Europäischen Parlament und dem Rat, gegebenenfalls zusammen mit einem Gesetzgebungsvorschlag zu Obergrenzen für Kredite an Schattenbankunternehmen, die außerhalb eines Regelungsrahmens Banktätigkeiten ausüben.
(3) Vorbehaltlich des Artikels 396 halten die Institute die einschlägige nach Absatz 1 festgelegte Obergrenze jederzeit ein.
(4) Auf Vermögenswerte, die Forderungen und sonstige Risikopositionen gegenüber anerkannten Drittland-Wertpapierfirmen darstellen, darf dieselbe Behandlung wie die nach Absatz 1 angewandt werden.
(5) Die in diesem Artikel festgelegten Obergrenzen dürfen für Risikopositionen im Handelsbuch des Instituts überschritten werden, sofern alle folgenden Bedingungen erfüllt sind:
Jedes Mal, wenn die Obergrenze überschritten worden ist, meldet das Institut den zuständigen Behörden unverzüglich die Höhe der Überschreitung und den Namen des betreffenden Kunden sowie gegebenenfalls den Namen der betreffenden Gruppe verbundener Kunden.
(6) Lediglich für die Zwecke dieses Absatzes sind "strukturelle Maßnahmen" von einem Mitgliedstaat erlassene und von seinen einschlägigen zuständigen Behörden durchgeführte Maßnahmen, mit denen von in dem betreffenden Mitgliedstaat zugelassenen Kreditinstituten verlangt wird, ihre Risikopositionen gegenüber verschiedenen Rechtsträgern je nach deren Tätigkeiten, aber unabhängig vom Ort, an dem diese ausgeübt werden, zu verringern, um Einleger zu schützen und die Finanzstabilität zu wahren, und zwar bis zum Inkrafttreten eines Gesetzgebungsvorschlags zur ausdrücklichen Harmonisierung solcher Maßnahmen.
Erlässt ein Mitgliedstaat einzelstaatliche Rechtsvorschriften, mit denen einer Bankengruppe vorgeschrieben wird, strukturelle Maßnahmen zu ergreifen, so können die zuständigen Behörden unbeschadet des Absatzes 1 dieses Artikels und des Artikels 400 Absatz 1 Buchstabe f den Instituten der Bankengruppe, die Einlagen halten, die durch ein Einlagensicherungssystem im Sinne der Richtlinie 94/19/EG des Europäischen Parlaments und des Rates vom 30. Mai 1994 über Einlagensicherungssysteme41 oder ein vergleichbares Einlagensicherungssystem eines Drittlandes geschützt sind, auf teilkonsolidierter Basis gemäß Artikel 10 Absatz 5 für gruppeninterne Kredite eine Obergrenze für Großkredite von höchstens 25 %, aber mindestens 15 % zwischen dem 28. Juni 2013 und dem 30. Juni 2015 und von mindestens 10 % ab dem 1. Juli auferlegen, wenn diese Risikopositionen gegenüber einem Unternehmen bestehen, das in Bezug auf die strukturellen Maßnahmen nicht derselben Teilgruppe angehört.
Für die Zwecke dieses Absatzes sind die folgenden Bedingungen zu erfüllen:
Die Anwendung dieses Ansatzes darf die wirksame Aufsicht auf konsolidierter Basis nicht berühren und keine unverhältnismäßig nachteiligen Auswirkungen auf das Finanzsystem anderer Mitgliedstaaten insgesamt oder auf Teile davon oder das Finanzsystem der Union insgesamt nach sich ziehen oder ein Hindernis für das Funktionieren des Binnenmarktes bilden oder schaffen.
(7) Bevor die zuständigen Behörden in Bezug auf Großkredite die spezifischen strukturellen Maßnahmen im Sinne des Absatzes 6 erlassen, zeigen sie dies dem Rat, der Kommission,, den betroffenen zuständigen Behörden und der EBa mindestens zwei Monate vor der Veröffentlichung der Entscheidung über den Erlass der strukturellen Maßnahmen an und legen einschlägige quantitative und qualitative Nachweise für alle nachstehenden Punkte vor:
(8) Der Kommission wird die Befugnis übertragen, im Einklang mit dem in Artikel 464 Absatz 2 genannten Verfahren einen Durchführungsrechtsakt zu erlassen, um die nach Absatz 7 vorgeschlagenen nationalen Maßnahmen billigen oder zurückzuweisen.
Binnen eines Monats nach Erhalt der Anzeige nach Absatz 7 leitet die EBa dem Rat, der Kommission und dem betroffenen Mitgliedstaat ihre Stellungnahme zu den in jenem Absatz genannten Punkten zu. Betroffene zuständige Behörden können dem Rat, der Kommission und dem betroffenen Mitgliedstaat gleichfalls ihre Stellungnahmen zu den in jenem Absatz genannten Punkten zuleiten.
Unter weitestgehender Berücksichtigung der Stellungnahmen nach Unterabsatz 2 und wenn belastbare und unabweisbare Nachweise dafür vorliegen, dass die Maßnahmen nachteilige Auswirkungen auf den Binnenmarkt haben wird, die den Nutzen für die Finanzstabilität überwiegen, weist die Kommission innerhalb von zwei Monaten nach Eingang der Anzeige die vorgeschlagenen nationalen Maßnahmen zurück. Andernfalls billigt sie die vorgeschlagenen nationalen Maßnahmen, gegebenenfalls mit Änderungen, für einen ersten Zeitraum von zwei Jahren.
Die Kommission weist die vorgeschlagenen nationalen Maßnahmen nur zurück, wenn diese Maßnahmen ihrer Ansicht nach unverhältnismäßig nachteilige Auswirkungen auf das Finanzsystem anderer Mitgliedsstaaten insgesamt oder auf Teile davon oder das Finanzsystem in der Union insgesamt nach sich ziehen und so ein Hindernis für das Funktionieren des Binnenmarkts oder den freien Kapitalverkehr gemäß dem AUEV bilden oder schaffen.
Bei ihrer Prüfung berücksichtigt die Kommission die Stellungnahme der EBa sowie die gemäß Absatz 7 vorgelegten Nachweise.
Die zuständigen Behörden können vor dem Auslaufen der Maßnahmen neue Maßnahmen vorschlagen, um die Geltungsdauer um jeweils zwei weitere Jahre zu verlängern. In diesem Fall zeigen sie dies der Kommission, dem Rat, den betroffenen zuständigen Behörden und der EBa an. Neue Maßnahmen werden nach dem Verfahren dieses Artikels gebilligt. Dieser Artikel berührt nicht Artikel 458.
Artikel 396 Einhaltung der Anforderungen für Großkredite
(1) Wird bei Krediten die Obergrenze nach Artikel 395 Absatz 1 ausnahmsweise überschritten, so meldet das Institut den Risikopositionswert unverzüglich den zuständigen Behörden, die, sofern es die Umstände rechtfertigen, dem Institut eine begrenzte Frist einräumen können, bis zu deren Ablauf die Obergrenze wieder eingehalten werden muss.
Kommt der in Artikel 395 Absatz 1 genannte Betrag von 150 Mio. EUR zur Anwendung, so können die zuständigen Behörden auf Einzelfallbasis gestatten, dass die Obergrenze von 100 % in Bezug auf das Kernkapital des Instituts überschritten werden darf.
Gestattet eine zuständige Behörde einem Institut in den in den Unterabsätzen 1 und 2 des vorliegenden Absatzes genannten Ausnahmefällen, die in Artikel 395 Absatz 1 festgelegte Obergrenze länger als drei Monate zu überschreiten, so legt das Institut der zuständigen Behörde einen überzeugenden Plan für die zeitnahe Wiedereinhaltung dieser Obergrenze vor und setzt diesen Plan innerhalb der mit der zuständigen Behörde vereinbarten Frist um. Die zuständige Behörde überwacht die Durchführung des Plans und schreibt eine schnellere Wiedereinhaltung vor, falls angebracht.
(2) Ist ein Institut nach Artikel 7 Absatz 1 auf Einzelbasis oder teilkonsolidierter Basis von den Pflichten gemäß diesem Teil freigestellt, oder werden die Bestimmungen des Artikels 9 auf ein Mutterinstitut in einem Mitgliedstaat angewandt, so sind Maßnahmen zu ergreifen, die eine angemessene Risikoverteilung innerhalb der Gruppe ermöglichen.
(3) Für die Zwecke des Absatzes 1 gibt die EBa gemäß Artikel 16 der Verordnung (EU) Nr. 1093/2010 Leitlinien heraus, in denen festgelegt wird, wie die zuständigen Behörden Folgendes ermitteln können:
Artikel 397 Berechnung zusätzlicher Eigenmittelanforderungen für Großkredite im Handelsbuch
(1) Die Berechnung der in Artikel 395 Absatz 5 Buchstabe b genannten Überschreitung erfolgt anhand der Elemente des gesamten Handelsbuchrisikos gegenüber dem Kunden oder der Gruppe verbundener Kunden, auf welche die höchsten spezifischen Risikoanforderungen gemäß Teil 3 Titel IV Kapitel 2 und/oder die Anforderungen gemäß Artikel 299 und Teil 3 Titel V zutreffen und deren Summe dem Betrag der Überschreitung gemäß Artikel 395 Absatz 5 Buchstabe a entspricht.
(2) Ist die Obergrenze nicht länger als zehn Tage überschritten worden, entspricht die zusätzliche Eigenmittelanforderung 200 % der in Absatz 1 genannten Anforderungen für diese Elemente.
(3) Nach Ablauf von zehn Tagen nach Eintreten der Überschreitung werden die nach Absatz 1 bestimmten Elemente der Überschreitung der entsprechenden Zeile in Spalte 1 der Tabelle 1 in aufsteigender Reihenfolge der spezifischen Risikoanforderungen gemäß Teil 3 Titel IV Kapitel 2 und/oder der Anforderungen gemäß Artikel 299 und Teil 3 Titel V zugeordnet. Die zusätzliche Eigenmittelanforderung entspricht der Summe der spezifischen Risikoanforderungen gemäß Teil 3 Titel IV Kapitel 2 und/oder der Anforderungen gemäß Artikel 299 und Teil 3 Titel V für diese Elemente, multipliziert mit dem entsprechenden Faktor in Spalte 2 der Tabelle 1.
| Spalte 1: Überschreitung der Obergrenzen (in % des Kernkapitals ) |
Spalte 2: Faktor |
| bis 40 % | 200 % |
| zwischen 40 % und 60 % | 300 % |
| zwischen 60 % und 80 % | 400 % |
| zwischen 80 % und 100 % | 500 % |
| zwischen 100 % und 250 % | 600 % |
| über 250 % | 900 % |
![]() |
weiter . | ![]() |
(Stand: 08.01.2024)
Alle vollständigen Texte in der aktuellen Fassung im Jahresabonnement
Nutzungsgebühr: 90.- € netto (Grundlizenz)
(derzeit ca. 7200 Titel s.Übersicht - keine Unterteilung in Fachbereiche)
Die Zugangskennung wird kurzfristig übermittelt
? Fragen ?
Abonnentenzugang/Volltextversion