Delegierte Verordnung (EU) 2015/35 der Kommission vom 10. Oktober 2014 zur Ergänzung der Richtlinie 2009/138/EG des Europäischen Parlaments und des Rates betreffend die Aufnahme und Ausübung der Versicherungs- und der Rückversicherungstätigkeit
- Solvabilität II -

(Text von Bedeutung für den EWR)

(ABl. Nr. L 12 vom 17.01.2015 S. 1, ber. 2018 L 195 S. 27;
VO (EU) 2016/467 - ABl. Nr. L 85 vom 01.04.2016 S. 6Inkrafttreten;
VO (EU) 2016/2283 - ABl. Nr. L 346 vom 20.12.2016 S. 111Inkrafttreten Gültig;
VO (EU) 2017/1542 - ABl. Nr. L 236 vom 14.09.2017 S. 14Inkrafttreten, ber. L 264 S. 24;
VO (EU) 2018/1221 - ABl. Nr. L 227 vom 10.09.2018 S. 1Inkrafttreten GültigA;
VO (EU) 2019/981 - ABl. L 161 vom 18.06.2019 S. 1Inkrafttreten Gültig, ber. L 168 S. 16, ber. 2020 L 141 S. 39)



=> Zur nachfolgenden Fassung

s.Liste - zur Ergänzung der RL 2009/138/EG

Die Europäische Kommission -

gestützt auf den Vertrag über die Arbeitsweise der Europäischen Union,

gestützt auf die Richtlinie 2009/138/EG, insbesondere auf Artikel 31 Absatz 4, Artikel 35 Absatz 9, Artikel 37 Absatz 6, Artikel 37 Absatz 7, Artikel 50 Absatz 1 Buchstabe a, Artikel 50 Absatz 1 Buchstabe b, Artikel 50 Absatz 2 Buchstabe a, Artikel 50 Absatz 2 Buchstabe b, Artikel 50 Absatz 3, Artikel 56, Artikel 75 Absatz 2, Artikel 75 Absatz 3, Artikel 86 Absatz 1 Buchstaben a bis i, Artikel 86 Absatz 2 Buchstabe a, Artikel 86 Absatz 2 Buchstabe b, Artikel 92 Absatz 1, Artikel 92 Absatz 1a, Artikel 97 Absatz 1, Artikel 97 Absatz 2, Artikel 99 Buchstabe a, Artikel 99 Buchstabe b, Artikel 109a Absatz 5, Artikel 111 Absatz 1 Buchstaben a bis f, Artikel 111Absatz 1 Buchstaben g bis q, Artikel 114 Absatz 1 Buchstabe a, Artikel 114 Absatz 1 Buchstabe b, Artikel 126, Artikel 127, Artikel 130, Artikel 135 Absatz 2 Buchstabe a, Artikel 135 Absatz 2 Buchstabe b, Artikel 135Absatz 2 Buchstabe c, Artikel 135 Absatz 3, Artikel 143 Absatz 1, Artikel 172 Absatz 1, Artikel 211 Absatz 2, Artikel 216 Absatz 7, Artikel 217 Absatz 3, Artikel 227 Absatz 3, Artikel 234, Artikel 241 Buchstabe a, Artikel 241 Buchstabe b, Artikel 241 Buchstabe c, Artikel 244 Absatz 4, Artikel 244 Absatz 5, Artikel 245 Absatz 4, Artikel 245 Absatz 5, Artikel 248 Absatz 7, Artikel 248 Absatz 8, Artikel 249 Absatz 3, Artikel 256 Absatz 4, Artikel 260 Absatz 2 und Artikel 308b Absatz 13,

in Erwägung nachstehender Gründe:

(1) Bei der Anwendung der Bestimmungen dieser Verordnung sollte der Art, dem Umfang und der Komplexität der mit dem Versicherungs- oder Rückversicherungsgeschäft verbundenen Risiken Rechnung getragen werden. Die Belastungen und Schwierigkeiten, die damit für die Versicherungsunternehmen einhergehen, sollten deren Risikoprofil angemessen sein. Bei der Anwendung der in dieser Verordnung festgelegten Anforderungen sollten Informationen als wesentlich betrachtet werden, wenn sie den Entscheidungsprozess oder das Urteil ihrer Adressaten beeinflussen könnten.

(2) Um einen übermäßigen Rückgriff auf externe Ratings zu vermeiden, sollten Versicherungs- und Rückversicherungsunternehmen anstreben, für all ihre Risikopositionen über eigene Ratings zu verfügen. Dem Grundsatz der Verhältnismäßigkeit entsprechend sollten Versicherungs- und Rückversicherungsunternehmen allerdings nur bei größeren oder komplexeren Risiken über eigene Ratings verfügen müssen.

(3) Die Aufsichtsbehörden sollten sicherstellen, dass Versicherungs- und Rückversicherungsunternehmen für den Fall, dass ihre Risiken in absoluter Betrachtung wesentlich sind und sie gleichzeitig eine große Zahl wesentlicher Gegenparteien haben, angemessene Schritte zur Entwicklung interner Modelle zur Bedeckung des Kreditrisikos ergreifen. Zu diesem Zweck sollten die Aufsichtsbehörden bei der Definition von Risiken, die in absoluter Betrachtung wesentlich sind, und einer großen Zahl wesentlicher Gegenparteien einen harmonisierten Ansatz verfolgen.

(4) Um der Gefahr vorzubeugen, dass Versicherungs- oder Rückversicherungsunternehmen, die im Zusammenhang mit ihrer Solvenzkapitalanforderung das Kreditrisiko nicht mit einem genehmigten internen Modell berechnen, voreingenommene Kreditrisikoschätzungen vornehmen, sollten deren eigene Ratings keine niedrigeren Kapitalanforderungen ergeben als externe Ratings.

(5) Um bei einer Risikoexponierung gegenüber einem anderen Versicherungs- oder Rückversicherungsunternehmen einen übermäßigen Rückgriff auf Ratings zu vermeiden, könnte der Einsatz von Ratings zur Berechnung der Kapitalanforderung nach der Standardformel durch einen Verweis auf die Solvabilität der Gegenpartei ersetzt werden (Solvabilitätskoeffizientenansatz). Zu diesem Zweck müsste eine Kalibrierung vorgenommen werden, die sich auf die nach Inkrafttreten von Solvabilität II zu berechnenden Solvenzkapitalanforderungen und die auf diese anrechenbaren Eigenmittelbeträge stützt. Der Solvabilitätskoeffizientenansatz sollte auf Versicherungs- und Rückversicherungsunternehmen, für die kein Rating vorliegt, beschränkt werden.

(6) Um zu gewährleisten, dass aufsichtliche Bewertungsstandards mit den internationalen Entwicklungen im Bereich der Rechnungslegung in Einklang stehen, sollten Versicherungs- und Rückversicherungsunternehmen die in den von der Kommission gemäß der Verordnung (EG) Nr. 1606/2002 übernommenen Internationalen Rechnungslegungsstandards vorgeschriebenen marktkonformen Bewertungsmethoden anwenden, es sei denn, das Unternehmen muss bei einem Vermögenswert oder einer Verbindlichkeit eine spezielle Bewertungsmethode anwenden oder darf Methoden anwenden, die auf der bei Erstellung des Abschlusses verwendeten Bewertungsmethode beruhen.

(7) Bei der Bewertung der Vermögenswerte und Verbindlichkeiten nach den marktkonformen Bewertungsmethoden, die in den von der Kommission gemäß der Verordnung (EG) Nr. 1606/2002 übernommenen Internationalen Rechnungslegungsstandards vorgeschrieben sind, sollten die Versicherungs- und Rückversicherungsunternehmen eine Bewertungshierarchie einhalten, wobei die für identische Vermögenswerte und Verbindlichkeiten an aktiven Märkten notierten Marktpreise die Standardbewertung darstellen, damit sichergestellt ist, dass die Vermögenswerte und Verbindlichkeiten zu dem Betrag bewertet werden, zu dem sie zwischen sachverständigen, vertragswilligen und voneinander unabhängigen Geschäftspartnern getauscht bzw. übertragen oder beglichen werden könnten. Nach diesem Ansatz sollten die Unternehmen auch dann verfahren, wenn internationale oder andere Bewertungsmethoden eine andere Bewertungshierarchie zugrunde legen.

(8) Um die Erfassung sämtlicher Beträge zu gewährleisten, die in der Zukunft steuerbezogene Zahlungsströme nach sich ziehen könnten, sollten Versicherungs- und Rückversicherungsunternehmen für alle Posten, die für Solvabilitätszwecke oder in der Steuerbilanz ausgewiesen werden, die latenten Steuerforderungen und -verbindlichkeiten erfassen und bewerten.

(9) Die Bewertung von Versicherungs- und Rückversicherungsverpflichtungen sollte Verpflichtungen aus dem bestehenden Versicherungs- und Rückversicherungsgeschäft umfassen. Verpflichtungen aus künftigen Geschäften sollten nicht in die Bewertung einbezogen werden. Bieten Versicherungs- und Rückversicherungsverträge den Versicherungsnehmern die Option, Versicherungs- oder Rückversicherungsschutz zu erhalten, zu erneuern, zu erweitern, zu erhöhen oder zu reaktivieren, oder den Unternehmen die Option, den Vertrag zu beenden oder die Prämien bzw. Leistungen zu verändern, sollte eine Vertragsgrenze festgelegt werden, anhand deren bestimmt werden kann, ob der aus diesen Optionen erwachsende zusätzliche Schutz als bestehendes oder künftiges Geschäft anzusehen ist.

(10) Um den Übertragungswert von Versicherungs- und Rückversicherungsverpflichtungen zu bestimmen, sollten bei der Bewertung der Verpflichtungen die mit den Vertragsverlängerungsoptionen zusammenhängenden künftigen Zahlungsströme unabhängig von ihrer Rentabilität berücksichtigt werden, es sei denn die Verlängerungsoption impliziert, dass das Versicherungs- oder Rückversicherungsunternehmen bei der Festlegung der Prämien oder Leistungen des verlängerten Vertrags wirtschaftlich gesehen dieselben Rechte hätte wie im Falle eines neuen Vertrags.

(11) Um eine unverzerrte Analyse der Finanzlage des Versicherungs- oder Rückversicherungsunternehmens zu gewährleisten, können die versicherungstechnischen Rückstellungen eines Portfolios von Versicherungs- oder Rückversicherungsverpflichtungen auch negativ sein. Bei der Berechnung der versicherungstechnischen Rückstellungen sollte null nicht als Untergrenze gelten.

(12) Der Übertragungswert einer Versicherungs- oder Rückversicherungsverpflichtung kann niedriger sein als der Rückkaufswert der zugrunde liegenden Verträge. Bei der Berechnung der versicherungstechnischen Rückstellungen sollten die Rückkaufswerte nicht als Untergrenze gelten.

(13) Um versicherungstechnische Rückstellungen zu erhalten, die dem Übertragungswert der Versicherungs- und Rückversicherungsverpflichtungen entsprechen, sollten bei der Berechnung des besten Schätzwerts künftige Entwicklungen berücksichtigt werden, wie demografische, rechtliche, medizinische, technologische, soziale, ökologische und wirtschaftliche Entwicklungen, die sich auf die zur Erfüllung der Verpflichtungen erforderlichen Zahlungszu- und -abflüsse auswirken.

(14) Um einen besten Schätzwert zu erhalten, der dem in Artikel 77 Absatz 2 der Richtlinie 2009/138/EG genannten wahrscheinlichkeitsgewichteten Durchschnitt künftiger Zahlungsströme entspricht, sollte die bei der Berechnung des besten Schätzwerts verwendete Zahlungsstrom-Projektion allen bei den Zahlungsströmen bestehenden Unsicherheiten Rechnung tragen.

(15) Die zur Berechnung des besten Schätzwerts gewählte Methode sollte der Art, dem Umfang und der Komplexität der vom Versicherungs- oder Rückversicherungsunternehmen getragenen Risiken angemessen sein. Zu den Methoden, nach denen der beste Schätzwert berechnet werden kann, gehören Simulationsverfahren, deterministische Methoden und analytische Methoden. Bei bestimmten Lebensversicherungsverträgen, insbesondere wenn diese kapitalertragsabhängige Überschussbeteiligungen vorsehen oder finanzielle Garantien und vertragliche Optionen beinhalten, können Simulationsverfahren zu einer angemesseneren Berechnung des besten Schätzwerts führen.

(16) Beinhalten Versicherungs- und Rückversicherungsverträge finanzielle Garantien und Optionen, so kann der Barwert der aus diesen Verträgen resultierenden Zahlungsströme sowohl vom erwarteten Ergebnis künftiger Ereignisse und Entwicklungen als auch davon abhängen, wie bei bestimmten Szenarien das tatsächliche Ergebnis vom erwarteten Ergebnis abweichen könnte. Solchen Abhängigkeiten sollten die zur Berechnung des besten Schätzwerts verwendeten Methoden Rechnung tragen.

(17) Die Definition künftiger Überschussbeteiligungen sollte Leistungen aus Versicherungs- und Rückversicherungsverträgen einschließen, die zusätzlich zu den garantierten Leistungen gezahlt werden und aus einer Gewinnbeteiligung des Versicherungsnehmers resultieren. Sie sollte keine index- oder fondsgebundenen Leistungen einschließen.

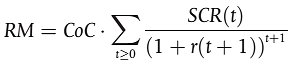
(18) Die Berechnung der Risikomarge sollte auf der Annahme beruhen, dass das gesamte Portfolio von Versicherungs- und Rückversicherungsverpflichtungen auf ein anderes Versicherungs- oder Rückversicherungsunternehmen übertragen wird. Bei der Berechnung sollte insbesondere der Diversifizierung des Portfolios insgesamt Rechnung getragen werden.

(19) Die Berechnung der Risikomarge sollte sich auf eine Projektion der Solvenzkapitalanforderung stützen, die der risikomindernden Wirkung von Rückversicherungsverträgen und Zweckgesellschaften Rechnung trägt. Eine getrennte Berechnung der Risikomarge mit und ohne die Wirkung von Rückversicherungsverträgen und Zweckgesellschaften sollte nicht vorgeschrieben werden.

(20) Die Anpassung der risikolosen Basiszinssätze an das Kreditrisiko sollte von den Marktzinssätzen abgeleitet werden, die das im variablen Zinssatz von Zinsswaps zum Ausdruck kommende Kreditrisiko widerspiegeln. Um die Bestimmung der Anpassung mit marktüblichen Praktiken in Einklang zu bringen, sollten zu diesem Zweck die Marktzinssätze unter vergleichbaren Marktbedingungen wie bei Verabschiedung der Richtlinie 2014/51/EU insbesondere für den Euro den Interbanken-Angebotssätzen mit dreimonatiger Laufzeit entsprechen.

(21) Bei der Bestimmung der letzte Laufzeit, bei der die Anleihemärkte gemäß Artikel 77a der Richtlinie 2009/138/EG nicht mehr tief, liquide und transparent sind, sollte unter vergleichbaren Marktbedingungen wie bei Verabschiedung der Richtlinie 2014/51/EU der Markt für Euro-Anleihen nicht als tief und liquide betrachtet werden, wenn das kumulierte Volumen der Anleihen, deren Laufzeit der letzten Laufzeit entspricht oder über diese hinausgeht, weniger als sechs Prozent des Volumens sämtlicher Anleihen auf diesem Markt ausmacht.

(22) Lässt sich aus den Ausfallstatistiken kein verlässlicher Kredit-Spread ableiten, wie bei Investitionen in Staatsanleihen der Fall, sollte der grundlegende Spread für die Berechnung der Matching-Anpassung und der Volatilitätsanpassung dem in Artikel 77c Absatz 2 Buchstaben b und c der Richtlinie 2009/138/EG genannten Anteil am langfristigen Durchschnittswert des Spreads über dem risikolosen Zinssatz entsprechen. Bei Forderungen an Zentralstaaten und Zentralbanken der Mitgliedstaaten sollte die Vermögenswertkategorie die Differenz zwischen den einzelnen Mitgliedstaaten widerspiegeln.

(23) Um gemäß Erwägungsgrund 29 der Richtlinie 2014/51/EU bei der Bestimmung des maßgeblichen risikolosen Zinssatzes Transparenz zu gewährleisten, sollte die Europäische Aufsichtsbehörde für das Versicherungswesen und die betriebliche Altersversorgung (EIOPA) die Methodik, die Annahmen und die Daten, die sie zur Berechnung der Anpassung der Swap-Sätze an das Kreditrisiko, zur Berechnung der Volatilitätsanpassung und zur Berechnung des grundlegenden Spreads für die Matching-Anpassung heranzieht, als Teil der technischen Informationen veröffent- lichen, die gemäß Artikel 77e Absatz 1 der Richtlinie 2009/138/EG vorzulegen sind.

(24) Die Segmentierung von Versicherungs- und Rückversicherungsverpflichtungen in Geschäftsbereiche und homogene Risikogruppen sollte der Art der Risiken Rechnung tragen, die der jeweiligen Verpflichtung zugrunde liegen. Die Art der zugrunde liegenden Risiken kann eine Segmentierung rechtfertigen, die nicht mit der Einteilung der Versicherungstätigkeiten in Lebensversicherung und Nichtlebensversicherung, nicht mit den in Anhang I der Richtlinie 2009/138/EG aufgeführten Versicherungszweigen der Nichtlebensversicherung und nicht mit den in Anhang II der Richtlinie 2009/138/EG aufgeführten Lebensversicherungszweigen übereinstimmt.

(25) Wenn bestimmt wird, ob eine Methode zur Berechnung der versicherungstechnischen Rückstellungen der Art, dem Umfang und der Komplexität der Risiken angemessen ist, sollte auch der Modellfehler der Methode bewertet werden. Diese Bewertung sollte die Versicherungs- und Rückversicherungsunternehmen aber nicht dazu verpflichten, den Modellfehler genau zu beziffern.

(26) Wenn ein Unternehmen bei den Aufsichtsbehörden die Anwendung der in Artikel 77b Absatz 1 der Richtlinie 2009/138/EG genannten Matching-Anpassung beantragt, sollte es verschiedene anrechnungsfähige Versicherungsprodukte als ein einziges Portfolio betrachten dürfen, sofern die Voraussetzungen für eine solche Erlaubnis dauerhaft erfüllt sind und es keine rechtlichen Hindernisse dafür gibt, die betreffende Geschäftstätigkeit getrennt von den übrigen Geschäftstätigkeiten des Unternehmens in einem Portfolio zu organisieren und zu verwalten.

(27) Die Genehmigung, zur Erfüllung der Solvenzkapitalanforderung eines Versicherungs- oder Rückversicherungsunternehmens ergänzende Eigenmittel einzubeziehen, sollte sich auf eine Bewertung der maßgeblichen Kriterien durch die Aufsichtsbehörden stützen. Allerdings sollte das Versicherungs- oder Rückversicherungsunternehmen, das die Einbeziehung eines ergänzenden Eigenmittelbestandteils beantragt, den Aufsichtsbehörden gegenüber nachweisen, dass die Kriterien erfüllt sind, und den Aufsichtsbehörden sämtliche Informationen übermitteln, die diese für eine derartige Bewertung verlangen. Ein Antrag auf Genehmigung ergänzender Eigenmittel sollte von den Aufsichtsbehörden auf Einzelfallbasis bewertet werden.

(28) Bei der Prüfung eines Antrags auf Genehmigung ergänzender Eigenmittel gemäß Artikel 90 der Richtlinie 2009/138/EG sollten die Aufsichtsbehörden die wirtschaftliche Substanz und die rechtliche Durchsetzbarkeit des ergänzenden Eigenmittelbestandteils, für den die Genehmigung beantragt wird, prüfen.

(29) Um einem Versicherungs- oder Rückversicherungsunternehmen die Unternehmensfortführung zu ermöglichen, sollten die Bestandteile der "Tier 1"- Eigenmittel von hoher Qualität sein und Verluste voll ausgleichen.

(30) Wenn sich ein Geschäft oder eine Gruppe zusammenhängender Geschäfte wirtschaftlich gesehen auswirkt wie der Bestand eines Versicherungs- oder Rückversicherungsunternehmens an eigenen Anteilen, so sollte der Überschuss der Vermögenswerte über die Verbindlichkeiten reduziert werden, um der Belastung dieses Teils der Eigenmittel Rechnung zu tragen.

(31) Bei der Bewertung, ob die Duration eines einzelnen Eigenmittelbestandteils als ausreichend zu betrachten ist, sollte die ursprüngliche Laufzeit dieses Bestandteils zugrunde gelegt werden. Die durchschnittliche Duration der gesamten Eigenmittel eines Versicherungs- und Rückversicherungsunternehmens sollte unter Berücksichtigung der Restlaufzeit aller Eigenmittelbestandteile nicht signifikant unter der durchschnittlichen Duration der Verbindlich- keiten des Versicherungs- und Rückversicherungsunternehmens liegen. Die Versicherungs- und Rückversicherungsunternehmen sollten im Rahmen ihrer eigenen Risiko- und Solvabilitätsbeurteilung auch bewerten, ob ihre Eigenmittel insgesamt eine ausreichende Duration aufweisen, wobei die Ursprungs- und Restlaufzeit aller Eigenmittelbestandteile sowie aller Versicherungs- und Rückversicherungsverbindlichkeiten zu berücksichtigen ist.

(32) Die Bewertung der Verlustausgleichsfähigkeit im Falle einer Liquidation gemäß Artikel 93 der Richtlinie 2009/138/EG sollte sich nicht auf einen Vergleich zwischen dem Überschuss der Vermögenswerte über die Verbindlichkeiten, der sich bei einer Bewertung unter der Prämisse der Unternehmensfortführung ergibt, und dem Überschuss der Vermögenswerte über die Verbindlichkeiten stützen, der sich bei einer Bewertung unter der Annahme ergibt, dass in Bezug auf das Versicherungs- oder Rückversicherungsunternehmen ein Liquidationsverfahren eingeleitet wurde.

(33) Da die künftigen Prämienforderungen für bestehende Versicherungs- und Rückversicherungsverträge in die Berechnung der versicherungstechnischen Rückstellungen einbezogen werden, sollten die bei diesen künftigen Prämien erwarteten Gewinne nicht von dem in "Tier1" erfassten Überschuss der Vermögenswerte über die Verbindlichkeiten ausgenommen werden.

(34) Eigenmittelbestandteile mit Merkmalen, die Anreize für eine Einlösung beinhalten, wie vertragliche Erhöhungen der zu zahlenden Dividende oder Erhöhungen des Zinssatzes in Verbindung mit einer Kaufoption, sollten begrenzt werden, um bei Nichteinhaltung der Solvenzkapitalanforderung die Rückzahlung oder Einlösung beschränken zu können, und ausschließlich in "Tier 2" oder "Tier 3" eingestuft werden.

(35) Versicherungs- und Rückversicherungsunternehmen sollten den Überschuss der Vermögenswerte über die Verbindlichkeiten in Beträge, die Eigenmittelbestandteilen in ihrem Abschluss entsprechen, und in eine Ausgleichsrücklage unterteilen. Die Ausgleichsrücklage kann positiv oder negativ sein.

(36) Damit klar ist, für welche Eigenmittelbestandteile Versicherungs- und Rückversicherungsunternehmen eine aufsichtliche Genehmigung für die Einstufung einzuholen haben, sollte für jede Eigenmittelklasse, einschließlich "Tier 3", eine vollständige Liste der Eigenmittelbestandteile erstellt werden.

(37) Sonderverbände sind Strukturen, bei denen eine bestimmte Gruppe von Vermögenswerten und Verbindlichkeiten verwaltet wird wie ein eigenständiges Unternehmen, und sollten keine konventionellen indexgebundenen, fondsgebundenen oder Rückversicherungsgeschäfte einschließen. Die eingeschränkte Übertragbarkeit der Vermögenswerte eines Sonderverbands sollte bei der Berechnung des Überschusses der Vermögenswerte über die Verbindlichkeiten des Versicherungs- oder Rückversicherungsunternehmens berücksichtigt werden.

(38) Sonderverbände können sowohl bei Lebens- und Nichtlebensversicherungs- als auch bei Rückversicherungstätigkeiten gebildet werden. Eine Gewinnbeteiligung setzt nicht zwangsläufig die Bildung von Sonderverbänden voraus und sollte nicht als bezeichnendes Merkmal eines Sonderverbands angesehen werden.

(39) Als Sonderverbände sollten nur Strukturen gelten, die die Verlustausgleichsfähigkeit bestimmter Eigenmittelbestandteile unter der Annahme der Unternehmensfortführung mindern. Strukturen, die sich nur auf die Verlustausgleichsfähigkeit im Liquidationsfall auswirken, sollten nicht als Sonderverbände angesehen werden.

(40) Um zu vermeiden, dass Eigenmittel zwischen Versicherungs- und Bankensektor auf Einzelunternehmensebene doppelt gezählt werden, sollten Versicherungs- und Rückversicherungsunternehmen alle Beteiligungen an Finanz- und Kreditinstituten, die über 10 % ihrer "Tier 1"-Eigenmittelbestandteile ohne Obergrenze hinausgehen, in voller Höhe von ihren Basiseigenmitteln abziehen. Beteiligungen an Finanz- und Kreditinstituten, die zusammengenommen diese Obergrenze überschreiten, sollten anteilig abgezogen werden. Kein solcher Abzug vorgenommen werden muss, wenn es sich um strategische Beteiligungen handelt und für diese Unternehmen die Solvabilität der Gruppe nach der in Anhang I der Richtlinie 2002/87/EG dargelegten Methode 1 berechnet wird.

(41) Die auf die Mindestkapitalanforderung und die Solvenzkapitalanforderung anrechenbaren Eigenmittel sollten zum größten Teil aus "Tier 1"-Eigenmitteln bestehen. Damit die Einhaltung der Obergrenzen keine prozyklischen Effekte nach sich ziehen kann, sollten die für die anrechnungsfähigen Beträge der "Tier 2"- und "Tier 3"- Bestandteile geltenden Obergrenzen so gestaltet sein, dass ein Verlust bei "Tier 1"-Eigenmitteln keinen über diesen hinausgehenden Verlust bei den Gesamteigenmitteln nach sich zieht. Die Obergrenzen sollten daher soweit gelten, wie die Sovenzkapitalanforderung und die Mindestkapitalanforderung mit Eigenmitteln gedeckt sind. Über die Obergrenzen hinausgehende Eigenmittelbestandteile sollten nicht als anrechnungsfähige Eigenmittel betrachtet werden.

(42) Wenn die EIOPa Verzeichnisse regionaler und lokaler Gebietskörperschaften erstellt, sollte sie dabei beachten, dass aufgrund der Steuererhebungsrechte dieser Körperschaften bei Forderungen gegenüber regionalen und lokalen Gebietskörperschaften das gleiche Risiko zugrunde zu legen ist wie bei Forderungen gegenüber dem Zentralstaat, in dessen Hoheitsgebiet diese Körperschaften ansässig sind, und dass spezielle institutionelle Vorkehrungen getroffen wurden, die eine Verringerung des Ausfallrisikos bewirken. Der nach Artikel 109a Absatz 2 Buchstabe a der Richtlinie 2009/138/EG erlassene Durchführungsrechtsakt wirkt sich auf diese Verzeichnisse insofern aus, als direkte Forderungen gegenüber den dort aufgeführten regionalen und lokalen Gebietskörperschaften für die Berechnung des Marktrisikomoduls und des Gegenparteiausfallrisikomoduls der Standardformel wie Forderungen gegenüber dem Zentralstaat behandelt werden, in dessen Hoheitsgebiet diese Gebietskörperschaften ansässig sind.

(43) Um Fehlanreize zur Umwandlung langfristiger Verträge in kurzfristige erneuerbare Verträge zu vermeiden, sollte das in der Standardformel verwendete Volumenmaß des Prämienrisikos bei der Nichtlebensversicherung und der auf vergleichbarer versicherungstechnischer Basis wie die Lebensversicherung (Similar to Life Techniques - SLT) betriebenen Krankenversicherung auf der wirtschaftlichen Substanz der Versicherungs- oder Rückversicherungsverträge basieren und nicht auf deren rechtlicher Ausgestaltung. Aus diesem Grund sollte das Volumenmaß verdiente Prämien erfassen, die innerhalb der Vertragsgrenzen der bestehenden und der in den nächsten 12 Monaten geschlossenen Verträgen liegen.

(44) Da die in die künftigen Prämien bestehender Nichtlebens- und Rückversicherungsverträge einkalkulierten erwarteten Gewinne als anrechnungsfähige Eigenmittel der Versicherungs- und Rückversicherungsunternehmen ausgewiesen werden, sollte das nichtlebensversicherungstechnische Risikomodul das bei Nichtlebens- und Rückversicherungsverträgen bestehende Stornorisiko erfassen.

(45) Um der Ungewissheit hinsichtlich der künftig verdienten Prämien Rechnung zu tragen, sollte sich die Berechnung der Kapitalanforderung für das Prämien- und das Rückstellungsrisiko bei Nichtlebens- und Krankenversicherungen auf die in der Vergangenheit verdienten Prämien oder - falls höher - die künftig erwarteten verdienten Prämien stützen. Kann ein Versicherungs- oder Rückversicherungsunternehmen jedoch verlässlich sicherstellen, dass die künftig verdienten Prämien nicht über die erwarteten Prämien hinausgehen werden, so sollte sich die Berechnung ausschließlich auf die erwarteten verdienten Prämien stützen.

(46) Um die durchschnittlichen Charakteristika von Lebensversicherungsverpflichtungen abzubilden, sollte bei der Modellierung des Massenstornorisikos im Rahmen der Standardformel für die Solvenzkapitalanforderung von der Annahme ausgegangen werden, dass das mit den Optionen, die ein vertragsabtretendes Versicherungs- oder Rückversicherungsunternehmen ausüben kann, verbundene Risiko für das den Vertrag übernehmende Versicherungs- oder Rückversicherungsunternehmen nicht wesentlich ist.

(47) Um die unterschiedlichen Risikoprofile der auf vergleichbarer versicherungstechnischer Basis wie die Lebensversicherung betriebenen Krankenversicherung (SLT health) und der auf vergleichbarer versicherungstechnischer Basis wie die Schadenversicherung betriebenen Krankenversicherung (NSLT health) abzubilden, sollte das krankenversicherungstechnische Risikomodul für diese beiden Versicherungsarten verschiedene Untermodule beinhalten.

(48) Um die durchschnittlichen Charakteristika von Lebensversicherungsverpflichtungen abzubilden, sollte bei der Modellierung der Risikomodule für die Lebensversicherung und die auf vergleichbarer versicherungstechnischer Basis wie die Lebensversicherung betriebene Krankenversicherung von der Annahme ausgegangen werden, dass das mit der Inflationsabhängigkeit der Versicherungs- und Rückversicherungsleistungen verbundene Risiko nicht wesentlich ist.

(49) Die szenariogestützten Berechnungen der im Rahmen der Standardformel vorgesehenen Untermodule für das Katastrophenrisiko bei Nichtlebens- und Krankenversicherungen sollten auf Katastrophenschäden basieren, die vor Abzug der aus Rückversicherungsverträgen und von Zweckgesellschaften einforderbaren Beträge brutto spezifiziert werden. Bei der Ermittlung der aus dem Szenario resultierenden Basiseigenmittelveränderung sollten die Versicherungs- und Rückversicherungsunternehmen den risikomindernden Effekt ihrer spezifischen Rückversicherungsverträge und ihrer Zweckgesellschaften berücksichtigen.

(50) Um die durchschnittlichen Charakteristika von Nichtlebensversicherungsverpflichtungen abzubilden, sollte bei der Modellierung des Haftungsrisikos im Untermodul für das Nichtleben-Katastrophenrisiko im Rahmen der Standardformel von der Annahme ausgegangen werden, dass das Risiko der Akkumulierung einer großen Zahl ähnlicher, durch Haftpflichtversicherungsverpflichtungen gedeckter Forderungen nicht wesentlich ist.

(51) Um die durchschnittlichen Charakteristika von Nichtlebensversicherungsverpflichtungen abzubilden, sollte bei der Modellierung des Massenunfallrisikos im Rahmen der Standardformel von der Annahme ausgegangen werden, dass das Massenunfallrisiko der Versicherungs- und Rückversicherungsunternehmen in Drittländern außer bestimmten europäischen Ländern bei den der Richtlinie 2009/138/EG unterliegenden Versicherungs- und Rückversicherungsunternehmen und Versicherungsgruppen nicht wesentlich ist. Auch sollte von der Annahme ausgegangen werden, dass das Massenunfallrisiko bei der Arbeitsunfallversicherung nicht wesentlich ist.

(52) Um die durchschnittlichen Charakteristika von Nichtlebensversicherungsverpflichtungen abzubilden, sollte bei der Modellierung des Unfallkonzentrationsrisikos im Rahmen der Standardformel von der Annahme ausgegangen werden, dass das Unfallkonzentrationsrisiko bei der Krankheitskostenversicherung und der Einkommensersatzversicherung außer bei Gruppenversicherungen nicht wesentlich ist.

(53) Um bei der Kalibrierung der Standardformel empirischen Nachweisen für Naturkatastrophen Rechnung zu tragen, sollte die Modellierung des Naturkatastrophenrisikos nach Regionen erfolgen, die hinsichtlich der Risiken, denen Versicherungs- und Rückversicherungsunternehmen ausgesetzt sind, hinreichend homogen sind. Die Risikogewichte für diese Sektoren sollten unter Verwendung eines Valueat-Risk-Maßes mit einem Konfidenzniveau von 99,5 % so festgelegt werden, dass sie die jährliche Schadenquote und die Versicherungssumme in den betreffenden Geschäftsbereichen erfassen. Die Korrelationskoeffizienten zwischen diesen geografischen Sektoren sollten so ausgewählt werden, dass sie die Abhängigkeit zwischen den jeweiligen Risiken in den geografischen Sektoren zum Ausdruck bringen, wobei jede etwaige Nichtlinearität der Abhängigkeit zu berücksichtigen ist.

(54) Um bei der Berechnung der Kapitalanforderung für das Naturkatastrophenrisiko im Rahmen der Standardformel die tatsächliche Risikoexponierung des Unternehmens zu erfassen, sollte die Versicherungssumme in einer Weise festgelegt werden, die den vertraglichen Grenzen für die Entschädigung im Katastrophenfall Rechnung trägt.

(55) Das Marktrisikomodul der Standardformel sollte auf der Annahme beruhen, dass die Sensitivität von Vermögenswerten und Verbindlichkeiten gegenüber Veränderungen bei der Volatilität von Marktparametern nicht wesentlich ist.

(56) Bei Kalibrierung des Zinsrisikos bei längeren Laufzeiten sollte berücksichtigt werden, dass der endgültige Forwardzinssatz, auf den die risikolose Zinskurve konvergiert, im Zeitverlauf stabil ist und sich nur aufgrund von Veränderungen bei den langfristigen Erwartungen verändert.

(57) Zwecks Berechnung der Standardformel sollten die Versicherungs- und Rückversicherungsunternehmen ermitteln, welche ihrer Beteiligungen an verbundenen Unternehmen als strategisch zu betrachten sind. Bei der Kalibrierung des Untermoduls Aktienrisiko für die strategischen Beteiligungen an verbundenen Unternehmen sollte berücksichtigt werden, dass aufgrund des strategischen Charakters dieser Beteiligungen und des Einflusses, den das die Beteiligung haltende Unternehmen auf die verbundenen Unternehmen ausübt, Wertschwankungen abnehmen dürften.

(58) Beim durationsbasierten Untermodul Aktienrisiko sollte von der Annahme ausgegangen werden, dass die in Artikel 304 der Richtlinie 2009/138/EG genannte typische Haltedauer von Aktieninvestitionen mit der in Artikel 304 genannten durchschnittlichen Duration von Verbindlichkeiten in Einklang steht.

(59) Zur Vermeidung prozyklischer Effekte sollte beim Zeitraum für den symmetrischen Anpassungsmechanismus für das Untermodul Aktienrisiko für einen Ausgleich zwischen der Erhaltung der Risikosensitivität des Untermoduls und dem Ziel der symmetrischen Anpassung gesorgt werden.

(60) Wird bei der Berechnung des besten Schätzwerts für Versicherungs- oder Rückversicherungsverpflichtungen eine Matching-Anpassung vorgenommen, sollte bei der Berechnung der Solvenzkapitalanforderung im Untermodul Spread-Risiko erfasst werden, wie sich Veränderungen bei den Spreads auf die Matching-Anpassung und damit auch auf den Wert der versicherungstechnischen Rückstellungen auswirken.

(61) Da sich das Risikoprofil von Immobilien in Drittländern nicht wesentlich vom Risikoprofil von in der Union gelegenen Immobilien unterscheidet, sollten diese beiden Risikoarten im Untermodul Immobilienrisiko der Standardformel gleich behandelt werden.

(62) Da das Konzentrationsrisiko in den meisten Fällen auf mangelnde Diversifizierung bei den Emittenten zurückzuführen ist, deren Titel die Versicherungs- und Rückversicherungsunternehmen halten, sollte im Untermodul Marktrisikokonzentrationen der Standardformel von der Annahme ausgegangen werden, dass die geografische oder sektorale Konzentration der vom Versicherungs- oder Rückversicherungsunternehmen gehaltenen Titel nicht wesentlich ist.

(63) Das Gegenparteiausfallrisikomodul der Standardformel sollte von der Annahme ausgehen, dass bei Exponierungen, die diversifiziert werden können und bei denen für die Gegenpartei wahrscheinlich ein Rating vorliegt (Typ 1-Forderungen), die Verluste bei Ausfall von nicht der gleichen Gruppe angehörenden Gegenparteien voneinander unabhängig sind und die Verluste bei Ausfall von der gleichen Gruppe angehörenden Gegenparteien nicht voneinander unabhängig sind.

(64) Um zu gewährleisten, dass sich das Kreditrisiko bei allen Gegenparteien, die für das Versicherungs- oder Rückversicherungsunternehmen mit einer Risikoexponierung verbunden sind, in der nach der Standardformel errechneten Solvenzkapitalanforderung niederschlägt, sollten alle Forderungen, die weder im Untermodul Spreadrisiko noch als Typ 1-Forderungen im Gegenparteiausfallrisikomodul erfasst werden, als Typ 2-Forderungen im Gegenparteiausfallrisikomodul erfasst werden.

(65) Das Gegenparteiausfallrisikomodul der Standardformel sollte die wirtschaftliche Auswirkung von Finanzsicherheiten bei Ausfall der Gegenpartei abbilden. Berücksichtigt werden sollte insbesondere, ob das Eigentum an der Sicherheit uneingeschränkt übertragen wird oder nicht. Auch sollte berücksichtigt werden, ob im Falle der Insolvenz der Gegenpartei bei der Bestimmung des proportionalen Anteils des Versicherungs- oder Rückversicherungsunternehmens an der über die Sicherheit hinausreichenden Insolvenzmasse der Gegenpartei dem Umstand Rechnung getragen wird, dass das Unternehmen die Sicherheit erhält.

(66) Um den spezifischen Risiken aus immateriellen Vermögenswerten zu begegnen, die für Solvabilitätszwecke erfasst und bewertet und bei der Solvenzkapitalanforderung nicht anderweitig berücksichtigt werden, sollte die Basissolvenzkapitalanforderung in Einklang mit dem in Artikel 104 Absätze 1, 3 und 4 der Richtlinie 2009/138/EG dargelegten Ansatz ein zusätzliches Risikomodul enthalten.

(67) Im Modul operationelles Risiko der Standardformel wird das Risiko erfasst, das durch mangelnde Eignung oder Versagen von internen Prozessen, Mitarbeitern oder Systemen oder - bei einer faktorbasierten Berechnung - durch externe Ereignisse verursacht wird. Zur Erfassung dieses Risikos werden die versicherungstechnischen Rückstellungen, die in den vorangegangenen zwölf Monaten verdienten Prämien und die in den vorangegangenen zwölf Monaten angefallenen Aufwendungen als angemessene Volumenmaße betrachtet. Das letztgenannte Volumenmaß ist nur für Lebensversicherungsverträge relevant, bei denen das Risiko vom Versicherungsnehmer getragen wird. Angesichts der Tatsache, dass Akquisitionsaufwendungen in den verschiedenen Geschäftsmodellen der Versicherungsbranche unterschiedlich behandelt werden, sollten diese beim Volumenmaß für die in den vorangegangenen 12 Monaten angefallenen Aufwendungen unberücksichtigt bleiben. Um zu gewährleisten, dass die Kapitalanforderung für das operationelle Risiko dauerhaft dem in Artikel 101 der Richtlinie 2009/138/EG festgelegten Konfidenzniveau entspricht, sollte das Modul operationelles Risiko bei der in Erwägungsgrund 150 genannten, von der Kommission vorzunehmenden Überprüfung der Methoden, Annahmen und Standard arameter, die bei der Berechnung der Solvenzkapitalanforderung nach der Standardformel zugrunde gelegt werden, einer Prüfung unterzogen werden. Diese Überprüfung sollte insbesondere Lebensversicherungsverträge zum Gegenstand haben, bei denen das Risiko vom Versicherungsnehmer getragen wird.

(68) Bei der Berechnung der Anpassung für die Verlustausgleichsfähigkeit versicherungstechnischer Rückstellungen und latenter Steuern sollte gewährleistet sein, dass der risikomindernde Effekt, der sich aus der künftigen Überschussbeteiligung oder den latenten Steuern ergibt, nicht doppelt erfasst wird.

(69) Künftige Überschussbeteiligungen sind normalerweise ein Merkmal von Lebensversicherungsverträgen und Verträgen für Krankenversicherungen, die auf vergleichbarer versicherungstechnischer Basis betrieben werden wie die Lebensversicherung (SLT-Health-Verträge). Die Anpassung für die Verlustausgleichsfähigkeit der versicherungstechnischen Rückstellungen sollte daher dem mindernden Effekt der künftigen Überschussbeteiligung beim lebensversicherungstechnischen Risiko, beim versicherungstechnischen Risiko bei Krankenversicherungen, die auf vergleichbarer versicherungstechnischer Basis betrieben werden wie die Lebensversicherung, beim Katastrophenrisiko in der Krankenversicherung, beim Marktrisiko und beim Gegenparteiausfallrisiko Rechnung tragen. Um die Komplexität der Standardformel und den Berechnungsaufwand für Versicherungs- und Rückversicherungsunternehmen in Grenzen zu halten, sollte die Anpassung nicht für Risiken der Nichtlebensversicherung und der auf vergleichbarer versicherungstechnischer Basis wie die Schadenversicherung betriebenen Krankenversicherung gelten. Da Verluste, die sich aus der mangelnden Eignung oder dem Versagen von internen Prozessen, Mitarbeitern oder Systemen oder aufgrund externer Ereignisse ergeben, durch die künftige Überschussbeteiligungen eventuell nicht wirksam ausgeglichen werden, sollte die Anpassung nicht auf das operationelle Risiko angewandt werden.

(70) Bei der Anerkennung von Risikominderungstechniken im Rahmen der Berechnung der Solvenzkapitalanforderung sollte der wirtschaftlichen Substanz der angewandten Technik Rechnung getragen werden und sollten nur Risikominderungstechniken in Frage kommen, die eine wirksame Risikoübertragung weg vom Versicherungs- oder Rückversicherungsunternehmen bewirken.

(71) Bei der Bewertung, ob eine wirksame Risikoübertragung stattgefunden hat, sollten sämtliche Aspekte der Risikominderungstechnik und der Vereinbarungen zwischen dem Versicherungs- bzw. Rückversicherungsunternehmen und dessen Gegenparteien berücksichtigt werden. Bei einer Risikominderung in Form einer Rückversicherung bedeutet der Umstand, dass eine wesentliche Änderung der Höhe oder des Zeitplans der Zahlungen des Rückversicherungsunternehmens sehr unwahrscheinlich ist, für sich genommen nicht, dass das Rückversicherungsunternehmen kein Risiko übernommen hat.

(72) Die szenariogestützten Berechnungen der Solvenzkapitalanforderung nach der Standardformel basieren auf der Wirkung eines unmittelbaren Stresses, und die Versicherungs- und Rückversicherungsunternehmen sollten zum Zeitpunkt, zu dem der Stress eintritt, keine Risikominderungstechniken berücksichtigen, die auf künftige Maßnahmen des Versicherungs- oder Rückversicherungsunternehmens, wie auf dynamische Absicherungsstrategien oder künftige Maßnahmen des Managements, setzen. Dynamische Absicherungsstrategien und künftige Maßnahmen des Managements sollten von rollierenden Absicherungsvereinbarungen unterschieden werden, bei denen eine Risikominderungstechnik angewandt und bei deren Ablauf ungeachtet der Solvenz des Unternehmens durch eine vergleichbare Vereinbarung ersetzt wird.

(73) Um zu vermeiden, dass die Wirksamkeit einer Risikominderungstechnik durch das Vorliegen eines Basisrisikos, insbesondere einer Währungsinkongruenz, geschmälert wird, sollten die Unternehmen bei der Berechnung ihrer Solvenzkapitalanforderung dem wesentlichen Basisrisiko Rechnung tragen. Bleibt ein wesentliches Basisrisiko bei der Berechnung der Solvenzkapitalanforderung unberücksichtigt, sollte die Risikominderungstechnik nicht anerkannt werden.

(74) Etwaigen Gewinnbeteiligungsvereinbarungen, bei denen an die Versicherungsnehmer oder Anspruchsberechtigten Gewinne ausgeschüttet werden, sollte bei der Berechnung der Solvenzkapitalanforderung angemessen Rechnung getragen werden.

(75) Stützt sich die Berechnung der Kapitalanforderung für ein Risikomodul oder Untermodul der Basissolvenzkapitalanforderung auf die Auswirkungen bidirektionaler Szenarien auf die Basiseigenmittel, wie beim Zinsrisiko, Wechselkursrisiko oder Stornorisiko der Fall, sollte das Versicherungs- oder Rückversicherungsunternehmen bestimmen, welches Szenario sich am nachteiligsten auf die Basiseigenmittel des Versicherungs- oder Rückversicherungsunternehmens insgesamt auswirkt. Soweit relevant, sollten dabei die Auswirkungen einer Gewinnbeteiligung und die Ausschüttung künftiger Überschussbeteiligungen auf der Ebene des Sonderverbands berücksichtigt werden. Das auf diese Weise bestimmte Szenario sollte bei der Berechnung der fiktiven Solvenzkapitalanforderung für jeden einzelnen Sonderverband zugrunde gelegt werden.

(76) Die EIOPa sollte von den Aufsichtsbehörden angemessene Daten erhalten, damit sie sich - gestützt auf taugliche empirische Daten, wie Veränderungen bei den Sterblichkeits- und Stonoraten im Falle von Lebensversicherungsverpflichtungen und bei den kombinierten Quoten oder Abwicklungsquoten im Falle von Nichtlebensversicherungsverpflichtungen - auf künftige Änderungen der Korrelationsparameter einstellen kann. Diese Daten sollten den Aufsichtsbehörden von den Versicherungs- und Rückversicherungsunternehmen im Rahmen der aufsichtlichen Datenmeldungen übermittelt werden, so dass für die Unternehmen keine zusätzliche Belastung entstehen dürfte.

(77) Wenn die EIOPa zu einer Aktualisierung von Korrelationsparametern Stellung nimmt, sollte sie berücksichtigen, ob bei Anwendung der aktualisierten Korrelationsparameter durch die Versicherungs- und Rückversicherungsunternehmen die Gesamtsolvenzkapitalanforderung mit den Grundsätzen in Artikel 101 der Richtlinie 2009/138/EG in Einklang stünde, und ob es nichtlineare Abhängigkeiten zwischen Risiken gibt oder unter Extremszenarien ein Mangel an Diversifizierung zu verzeichnen ist, wobei die EIOPa in letztgenanntem Fall für die Kalibrierung von Korrelationsparameteraktualisierungen Alternativmaße für die Abhängigkeit in Betracht ziehen sollte.

(78) Da sich viele Aspekte der internen Modelle im Laufe der Zeit mit wachsender Kenntnis der Risikomodellierung verändern dürften, sollten die Aufsichtsbehörden bei der Bewertung eines internen Modells aktuelle Informationen und Praktiken berücksichtigen, um zu gewährleisten, dass es mit den jüngsten Entwicklungen Schritt hält.

(79) Ein internes Modell kann im Governance-System eines Versicherungs- oder Rückversicherungsunternehmens nur dann eine wichtige Rolle spielen, wenn es dem Geschäft des Unternehmens angepasst ist und von den Personen, die ihre Entscheidungen auf seine Ergebnisse stützen, verstanden wird. Der Verwendungstest für interne Modelle sollte daher gewährleisten, dass genehmigte interne Modelle dem Geschäft des Unternehmens angemessen sind und von den Personen, die das Unternehmen tatsächlich leiten, verstanden werden.

(80) Versicherungs- und Rückversicherungsunternehmen, die die Solvenzkapitalanforderung anhand eines internen Modells berechnen, sollten das interne Modell in ihrem Risikomanagementsystem und in ihren Entscheidungsprozessen so einsetzen, dass Anreize geschaffen werden, die Qualität des internen Modells selbst zu verbessern.

(81) Die in Artikel 120 der Richtlinie 2009/138/EG festgelegte Anforderung, wonach das interne Modell in großem Maßstab eingesetzt werden und im Governance-System eine wichtige Rolle spielen muss, sollte Versicherungs- und Rückversicherungsunternehmen nicht dazu veranlassen, sich blind auf die Ergebnisse des internen Modells zu verlassen. Die Unternehmen sollten aufgrund der Ergebnisse des internen Modells keine Entscheidungen treffen, ohne die Angemessenheit des Modells in Frage zu stellen. Sie sollten sich der Grenzen des internen Modells bewusst sein und diese bei ihren Entscheidungen berücksichtigen.

(82) Da Artikel 121 Absatz 4 der Richtlinie 2009/138/EG für die Berechnung der Wahrscheinlichkeitsverteilungsprognose im Rahmen eines internen Modells keine bestimmte Berechnungsmethode vorschreibt und interne Modelle an das spezifische Geschäft des Versicherungs- oder Rückversicherungsunternehmens angepasst werden sollten, können sich interne Modelle in ihrer Methodik, den für ihre Zwecke genutzten Informationen, Annahmen und Daten sowie ihren Validierungsverfahren erheblich voneinander unterscheiden. Aus diesem Grund sollten die Standards für die statistische Qualität und Validierung auch weiterhin auf Grundsätzen basieren und nur bestimmte Mindestanforderungen enthalten. Aus dem gleichen Grund sollten die Dokumentationsstandards kein erschöpfendes Dokumentenverzeichnis enthalten, sondern nur eine Liste der Dokumente, die bei jedem internen Modell mindestens vorhanden sein müssen. Alle zusätzlichen Informationen, die zur Erfüllung der Dokumentationsstandards für interne Modelle benötigt werden, sollten in der Dokumentation der Unternehmen enthalten sein.

(83) Um zu gewährleisten, dass sich die internen Modelle auf dem neuesten Stand befinden und das Risikoprofil der Versicherungs- und Rückversicherungsunternehmen bestmöglich widerspiegeln, sollten die Unternehmen über die einschlägigen versicherungsmathematischen Entwicklungen und die allgemein anerkannte Marktpraxis der Risikomodellierung auf dem Laufenden sein. Dies bedeutet jedoch nicht, dass Versicherungs- und Rückversicherungsunternehmen ihr internes Modell stets den allgemein anerkannten Marktpraktiken anpassen sollten. In vielen Fällen kann es notwendig sein, für ein geeignetes internes Modell von der allgemein anerkannten Marktpraxis abzuweichen.

(84) Interne Modelle stützen sich zumeist auf eine große Menge von Daten aus verschiedenen Quellen, mit unterschiedlichen Charakteristika und unterschiedlicher Qualität. Um die Angemessenheit der für das interne Modell verwendeten Daten zu gewährleisten, sollten die Versicherungs- und Rückversicherungsunternehmen Daten auf transparente und strukturierte Weise erheben, verarbeiten und verwenden.

(85) Versicherungs- und Rückversicherungsunternehmen sollten die Struktur ihres internen Modells selbst bestimmen dürfen, damit dieses ihre Risiken so angemessen wie möglich widerspiegelt. Diese Entscheidung sollte der Zustimmung der Aufsichtsbehörde bedürfen. Bei internen Partialmodellen könnte es angemessener sein, die verschiedenen Komponenten separat zu berechnen und sie ohne weitere Aggregation im internen Modell direkt in die Standardformel zu integrieren. In diesem Fall sollte für jede Komponente eine Wahrscheinlichkeitsverteilungsprognose berech werden.

(86) Jedes Verfahren zur Integrierung eines internen Partialmodells in die Standardformel zur Berechnung der Solvenzkapitalanforderung ist Bestandteil des betreffenden internen Modells und sollte wie alle anderen Komponenten des partiellen internen Modells die einschlägigen Anforderungen der Richtlinie 2009/138/EG erfüllen.

(87) Die Versicherungs- und Rückversicherungsunternehmen sollten die lineare Mindestkapitalanforderung mit Hilfe einer Standardkalkulation ermitteln, unabhängig davon, ob sie ihre Solvenzkapitalanforderung nach der Standardformel oder einem internen Modell berechnen.

(88) Für die Berechnung der in Artikel 129 Absatz 3 der Richtlinie 2009/138/EG genannten Ober- und Untergrenze für die Mindestkapitalanforderung sollten die Versicherungs- und Rückversicherungsunternehmen die Solvenzkapitalanforderung nicht vierteljährlich berechnen müssen. Fällt die Berechnung der Mindestkapitalanforderung nicht mit einer jährlichen Berechnung der Solvenzkapitalanforderung zusammen, sollten die Unternehmen die letzte nach Artikel 102 der Richtlinie 2009/138/EG berechnete Solvenzkapitalforderung verwenden.

(89) Nach dem in Artikel 132 der Richtlinie 2009/138/EG niedergelegten Grundsatz der unternehmerischen Vorsicht und zur Gewährleistung sektorübergreifender Kohärenz sollten die Interessen von Unternehmen, die Kredite in handelbare Wertpapiere und andere Finanzinstrumente "verbriefen" (Originatoren, Sponsoren oder ursprüngliche Kreditgeber), und die Interessen der Versicherungs- und Rückversicherungsunternehmen, die in diese Wertpapiere oder Instrumente investieren, gleichgerichtet sein. Damit eine solche Gleichausrichtung gewährleistet ist, sollten Versicherungs- und Rückversicherungsunternehmen nur dann in diese Wertpapiere oder Instrumente investieren dürfen, wenn der Originator, Sponsor oder ursprüngliche Kreditgeber auch weiterhin einen materiellen Nettoanteil an den zugrunde liegenden Vermögenswerten hält. Die Vorgabe, dass der Originator, Sponsor oder ursprüngliche Kreditgeber einen materiellen Nettoanteil an den zugrunde liegenden Vermögenswerten behalten muss, sollte auch bei mehreren Originatoren, Sponsoren oder ursprünglichen Kreditgebern gelten. Um zu verhindern, dass diese Vorgaben umgangen werden, um Missverständnissen vorzubeugen und um den Sprachgebrauch an die Rechtsvorschriften der Union zur Tätigkeit der Kreditinstitute anzupassen, sollte anstelle der Formulierung "Anlage in handelbare Wertpapiere oder andere Finanzinstrumente, die auf neu gebündelten und verbrieften Krediten basieren" die Formulierung "Anlage in Verbriefungspositionen" verwendet werden.

(90) Versicherungs- und Rückversicherungsunternehmen, die in Verbriefungen investieren, sollten eine umfassende und gründliche Kenntnis der Anlage und der ihr zugrunde liegende Forderungen besitzen. Um diese Kenntnis zu erlangen, sollten die Unternehmen ihre Anlageentscheidung erst nach einer gründlichen Due-Diligence-Prüfung treffen, die ihnen hinreichende Informationen und hinreichendes Wissen über die Verbriefung verschafft.

(91) Um zu gewährleisten, dass sich die Risiken aus Verbriefungspositionen angemessen in den Kapitalanforderungen für Versicherungs- und Rückversicherungsunternehmen niederschlagen, müssen Bestimmungen aufgenommen werden, die eine risikogerechte und aufsichtsrechtlich solide Behandlung dieser Anlagen vorsehen und sich nach der Art und dem Emissionsverfahren der zugrunde liegenden Risikopositionen und nach strukturellen und transparenzbezogenen Merkmalen richten. Verbriefungen, die diese Anforderungen erfüllen, sollten im Untermodul Spread-Risiko eine ihrem niedrigeren Risikoprofil entsprechende Sonderbehandlung erhalten. Da nur die höchstrangigen Tranchen für eine solche Behandlung in Frage kommen, sollte unter Berücksichtigung der Bonitätsverbesserung bei den meisten höchstrangigen Tranchen des gesamten Pools an zugrunde liegenden Risikopositionen bei diesen Positionen für die Risikofaktoren beim Spread-Risiko eine Obergrenze festgelegt werden, deren Höhe dem Risikofaktor beim Spread-Risiko entspricht, der auf zugrunde liegende Risikopositionen anzuwenden wäre, nämlich dem auf Darlehen ohne Rating anwendbaren Risikofaktor von 3 % pro Jahr Duration. Diese Vorgehensweise sollte bei der in Erwägungsgrund 150 genannten, von der Kommission vorzunehmenden Überprüfung der Methoden, Annahmen und Standard arameter, die bei der Berechnung der Solvenzkapitalanforderung nach der Standardformel zugrunde gelegt werden, einer Prüfung unterzogen werden.

(92) Um jede Form der Regulierungsarbitrage zu vermeiden, sollte bei der Anwendung der Verbriefungsvorschriften der Grundsatz der wirtschaftlichen Betrachtungsweise ("Inhalt vor Form") gelten. Zu diesem Zweck bedarf es einer klaren und umfassenden Definition von Verbriefung, die alle Geschäfte und Strukturen erfasst, bei denen das mit einer Risikoposition oder einem Pool von Risikopositionen verbundene Kreditrisiko in Tranchen unterteilt wird. Eine Risikoposition, die für ein Geschäft oder eine Struktur eine direkte Zahlungsverpflichtung aus der Finanzierung oder dem Betrieb von Sachanlagen schafft, sollte nicht als Risikoposition in einer Verbriefung gelten, selbst wenn die Zahlungsverpflichtungen aufgrund des Geschäfts oder der Struktur unterschiedlichen Rang haben.

(93) Gute Governance ist Voraussetzung für eine effiziente und solide Führung von Versicherungs- und Rückversicherungsunternehmen und gehört zu den Kernelementen des Regulierungsrahmens. Um einen effizienten Entscheidungsprozess zu gewährleisten, Interessenkonflikten vorzubeugen und eine effiziente Unternehmensführung sicherzustellen, sollte dem Governance-System eines Versicherungs- oder Rückversicherungsunternehmens eine angemessene und transparente Verteilung der Kontroll- und Managementaufgaben zugrunde liegen.

(94) Ein zentraler Grundsatz guter Governance besteht darin, dass keine Einzelperson ohne eine wie auch immer geartete Kontrolle Entscheidungen treffen können sollte. Aus diesem Grund sollte jede für das Unternehmen bedeutsame Entscheidung vorab stets von mindestens einer anderen Person geprüft werden.

(95) Zur Gewährleistung eines ordnungsgemäß funktionierenden Risikomanagementsystems sollten die Versicherungs- und Rückversicherungsunternehmen ebenfalls die Aufgabe haben, für zentrale Geschäftsbereiche Praktiken und Verfahren, die der Risikomanagementstrategie des Unternehmens angemessen sind, festzulegen, umzusetzen, fortlaufend anzuwenden und zu überwachen.

(96) Versicherungs- und Rückversicherungsunternehmen sollten über angemessene interne Kontrollen verfügen, um zu gewährleisten, dass alle mit operativen und kontrollbezogenen Aufgaben betrauten Personen den Unternehmenszielen und den geltenden Rechts- und Verwaltungsvorschriften entsprechend handeln.

(97) Zur Gewährleistung einer verlässlichen, präzisen und mit Artikel 75 der Richtlinie 2009/138/EG in Einklang stehenden wirtschaftlichen Bewertung sollten die der Versicherungs- und Rückversicherungsunternehmen angemessene interne Kontrollen für die Bewertung ihrer Vermögenswerte und Verbindlichkeiten einrichten und durchführen, einschließlich einer unabhängigen Überprüfung und Verifizierung der verwendeten Informationen, Daten und Annahmen.

(98) Um zu gewährleisten, dass die Bewertung der versicherungstechnischen Rückstellungen in Einklang mit den Artikeln 76 bis 85 der Richtlinie 2009/138/EG erfolgt, sollte das Governance-System der Versicherungs- und Rückversicherungsunternehmen auch ein Verfahren für die Validierung der Berechnung der versicherungstechnischen Rückstellungen beinhalten.

(99) Um Unabhängigkeit zu gewährleisten, sollte das Governance-System den mit einer Funktion betrauten Personen oder Organisationseinheiten die Möglichkeit geben, die mit dieser Funktion verbundenen Aufgaben unvoreingenommen und unbeeinflusst wahrzunehmen und relevante Erkenntnisse dem Verwaltungs-, Management- oder Aufsichtsorgan direkt zur Kenntnis zu bringen. Damit die Aufsichtsbehörden bei Bedarf rechtzeitig Abhilfemaßnahmen treffen können, sollten Versicherungs- und Rückversicherungsunternehmen der Aufsichtsbehörde zeitnah Angaben zu allen Personen, die das Unternehmen tatsächlich leiten oder andere Schlüsselfunktionen innehaben, sowie andere Angaben übermitteln, die zur Beurteilung der fachlichen Qualifikation und persönlichen Zuverlässigkeit dieser Personen erforderlich sind. Da eine ungebührliche Belastung sowohl der Versicherungs- und Rückversicherungsunternehmen als auch der Aufsichtsbehörden zu vermeiden ist, sollten Versicherungs- und Rückversicherungsunternehmen für eine solche Mitteilung keine vorherige Genehmigung der Aufsichtsbehörde benötigen. Sollte eine Aufsichtsbehörde zu dem Schluss gelangen, dass eine Person die in der Richtlinie 2009/138/EG festgelegten Anforderungen an die fachliche Qualifikation und persönliche Zuverlässigkeit nicht erfüllt, sollte sie befugt sein, vom Unternehmen die Ersetzung dieser Person zu verlangen.

(100) Um den Leumund der Personen, die das Unternehmen tatsächlich leiten oder eine andere Schlüsselfunktion innehaben, beurteilen zu können, sollte das frühere Verhalten dieser Personen im Hinblick darauf überprüft werden, ob sie möglicherweise nicht in der Lage sind, ihren Pflichten in Einklang mit den geltenden Regeln, Vorschriften und Leitlinien nachzukommen. Informationen über das frühere Verhalten können Auszüge aus Strafregistern oder Finanzunterlagen sein. Das frühere Geschäftsgebaren einer Person könnte Hinweise auf deren Integrität liefern.

(101) Um zu gewährleisten, dass das Outsourcing von Funktionen oder Tätigkeiten auf effiziente Weise erfolgt und den Versicherungs- und Rückversicherungsunternehmen die Erfüllung ihrer Pflichten nach der Richtlinie 2009/138/EG ermöglicht, müssen Anforderungen an die Auswahl des Dienstleisters, die zu treffende schriftliche Vereinbarung und die laufende Kontrolle des Dienstleisters durch das Versicherungs- oder Rückversicherungsunternehmen festgelegt werden.

(102) Vergütungspolitik und Vergütungspraktiken, die Anreize dafür schaffen, über die genehmigte Risikotoleranzschwelle von Versicherungs- und Rückversicherungsunternehmen hinausgehende Risiken einzugehen, können bei diesen Unternehmen ein wirksames Risikomanagement untergraben. Im Interesse einer soliden und vorsichtigen Unternehmensführung und zur Verhinderung von Vergütungsregelungen, die eine übermäßige Risikobereitschaft fördern, sollten deshalb Anforderungen an die Vergütung festgelegt werden.

(103) Durch Festlegung der Umstände, unter denen Kapitalaufschläge verhängt werden können, und der Methoden für ihre Berechnung sollte gewährleistet werden, dass der Einsatz von Kapitalaufschlägen durch Berechnung einer Solvenzkapitalanforderung, die das Gesamtrisikoprofil des Versicherungs- oder Rückversicherungsunternehmens angemessen widerspiegelt, ein wirksames und praxistaugliches Aufsichtsinstrument zum Schutze der Versicherungsnehmer und Anspruchsberechtigten darstellt. Kapitalaufschläge weisen numerisch einen positiven Wert auf. Bei ihrer Festlegung sollte auch berücksichtigt werden, dass konsistente und einheitliche Ansätze für vergleichbare Umstände entwickelt werden müssen. Zu diesem Zweck könnten Referenz-Prozentsätze und -Obergrenzen als Annahmen für die Bewertung von Abweichungen herangezogen werden, doch sollten diese nicht vom eigentlichen Ziel ablenken, die für das betreffende Versicherungs- oder Rückversicherungsunternehmen angemessenen Aufschläge zu bestimmen.

(104) Für die Zwecke der Anwendung des Artikels 138 Absatz 4 der Richtlinie 2009/138/EG sollte die EIOPa bei der Entscheidung, ob außergewöhnliche widrige Umstände vorliegen, die sich auf Versicherungs- oder Rückversicherungsunternehmen mit einem wesentlichen Anteil am Markt oder an den betroffenen Geschäftsbereichen auswirken, alle auf Ebene des betroffenen Markts oder Geschäftsbereichs relevanten Faktoren berücksichtigen, wozu auch die in dieser Verordnung genannten zählen.

(105) Für die Zwecke der Anwendung des Artikels 138 Absatz 4 sollte die Aufsichtsbehörde bei der Entscheidung, ob die Frist für die Wiederherstellung gesunder Finanzverhältnisse verlängert werden sollte, und bei der Festlegung der Dauer dieser Verlängerung für ein bestimmtes Versicherungs- oder Rückversicherungsunternehmen vorbehaltlich der in Artikel 138 Absatz 4 festgelegten Höchstdauer von sieben Jahren alle relevanten unternehmensspezifischen Faktoren berücksichtigen, wozu auch die in dieser Verordnung genannten zählen.

(106) Nach der Richtlinie 2009/138/EG müssen Versicherungs- und Rückversicherungsunternehmen Informationen über ihre Solvabilität und Finanzlage veröffentlichen. Um unionsweit vergleichbare Marktbedingungen sowie reibungslos funktionierende Versicherungs- und Rückversicherungsmärkte zu gewährleisten und die wirksame Integration der Versicherungs- und Rückversicherungsmärkte unionsweit zu erleichtern, sollten detaillierte und harmonisierte Anforderungen im Hinblick darauf festgelegt werden, welche Informationen zu veröffentlichen sind und auf welchem Wege dies zu geschehen hat.

(107) Dem Grundsatz der Verhältnismäßigkeit entsprechend sollten Versicherungs- und Rückversicherungsunternehmen keine Informationen veröffentlichen müssen, die für ihr Geschäft nicht relevant oder die nicht wesentlich sind.

(108) Verweise auf gleichwertige, im Rahmen anderer Rechts- oder Regulierungsanforderungen veröffentlichte Informationen sollten direkt zu den betreffenden Informationen und nicht zu einem allgemeinen Dokument führen.

(109) Gestatten die Aufsichtsbehörden einem Versicherungs- oder Rückversicherungsunternehmen gemäß Artikel 53 Absätze 1 und 2 der Richtlinie 2009/138/EG, von der Veröffentlichung bestimmter Informationen abzusehen, sollte diese Erlaubnis nur so lange gelten, wie der Grund für die Nichtveröffentlichung fortbesteht. Erst wenn der betreffende Grund entfällt, haben Versicherungs- bzw. Rückversicherungsunternehmen die betreffenden Informationen ab diesem Zeitpunkt zu veröffentlichen.

(110) Nach der Richtlinie 2009/138/EG müssen die Mitgliedstaaten gewährleisten, dass die Aufsichtsbehörden befugt sind, alle für Aufsichtszwecke erforderlichen Informationen zu verlangen. Einen wesentlichen Teil dieser Informationen sollten die den Aufsichtsbehörden regelmäßig zu übermittelnden Angaben bilden.

(111) Um eine effektive Konvergenz des von den Aufsichtsbehörden durchgeführten aufsichtlichen Überprüfungsverfahrens zu gewährleisten, sollten detaillierte und harmonisierte Anforderungen im Hinblick darauf festgelegt werden, welche Informationen regelmäßig zu übermitteln sind und auf welchem Wege dies zu geschehen hat.

(112) Zu den Informationen, die die Versicherungs- und Rückversicherungsunternehmen den Aufsichtsbehörden regelmäßig zu übermitteln haben, gehört der Bericht über Solvabilität und Finanzlage. Außerdem sollten sie den Aufsichtsbehörden ihren regelmäßigen aufsichtlichen Bericht vorlegen, der zusätzlich zu den im Bericht über die Solvabilität und Finanzlage enthaltenen Informationen weitere für Aufsichtszwecke erforderliche Informationen enthält. Im Interesse sowohl der Versicherungs- und Rückversicherungsunternehmen als auch der Aufsichtsbehörden sollten diese beiden Berichte gleich aufgebaut sein.

(113) Ausgehend von einer Risikobewertung des Versicherungs- oder Rückversicherungsunternehmens gemäß Artikel 36 der Richtlinie 2009/138/EG können die Aufsichtsbehörden die jährliche Übermittlung dieses regelmäßigen Berichts verlangen. Ist dies nicht der Fall und übermittelt ein Versicherungs- oder Rückversicherungsunternehmen den Aufsichtsbehörden seinen regelmäßigen Bericht nur alle 3 Jahre, sollte es die Aufsichtsbehörden dennoch alljährlich über alle seit dem letzten Berichtszeitraum eingetretenen wichtigen Entwicklungen unterrichten.

(114) Den Aufsichtsbehörden sollten regelmäßig quantitative und qualitative Informationen in Form eines ausformulierten Berichts und quantitativer Vorlagen zur Kenntnis gebracht oder übermittelt werden. Die im ausformulierten Bericht enthaltenen Informationen sollten in den quantitativen Vorgaben detaillierter ausgeführt und gegebenenfalls ergänzt werden. Der Bericht und die Vorlagen sollten den Aufsichtsbehörden zusätzlich zu den im Bericht über Solvabilität und Finanzlage enthaltenen Informationen ausreichende Informationen verschaffen, damit diese ihre Aufgaben im Rahmen der Richtlinie 2009/138/EG erfüllen können, für die Versicherungs- und Rückversicherungsunternehmen aber keine unnötige Belastung mit sich bringen. Die vierteljährlich zu übermittelnden quantitativen Vorlagen sollten ein geringeres Spektrum an Informationen abdecken als die jährlich zu übermittelnden quantitativen Vorlagen.

(115) Dem Grundsatz der Verhältnismäßigkeit entsprechend sollten Versicherungs- und Rückversicherungsunternehmen oder Zweigniederlassungen in der Union nicht zur Übermittlung von Informationen verpflichtet sein, die für ihr Geschäft nicht relevant oder die nicht wesentlich sind.

(116) Die Kriterien und Methoden für das aufsichtliche Überprüfungsverfahren sollten offengelegt werden. Sie sollten die allgemeinen Instrumente und Maßnahmen umfassen, mit denen die Aufsichtsbehörden die Einhaltung der in Artikel 36 Absatz 2 der Richtlinie 2009/138/EG niedergelegten Anforderungen überprüfen und beurteilen und insbesondere die Angemessenheit des Risikomanagements von Versicherungs- und Rückversicherungsunternehmen sowie deren Widerstandsfähigkeit bei widrigen Ereignissen oder Entwicklungen bewerten.

(117) Die Offenlegung aggregierter statistischer Daten nach Artikel 31 Absatz 2 Buchstabe c der Richtlinie 2009/138/EG soll allgemeine Informationen über die nationalen Versicherungssektoren sowie über wichtige Tätigkeiten der Aufsichtsbehörden selbst liefern. Die relevanten Informationen sollten Daten sowohl zu den quantitativen als auch zu den qualitativen Anforderungen sowie aggregierte nationale Daten in einer im Zeitverlauf vergleichbaren Form umfassen.

(118) Um die Vergleichbarkeit der aufsichtlichen Offenlegung zu gewährleisten, sollte ein Verzeichnis erstellt werden, in dem die wichtigsten Punkte des Aufsichtsrahmens aufgeführt sind, zu denen die Aufsichtsbehörden mindestens aggregierte Daten offenlegen müssen.

(119) Um zu gewährleisten, dass die Vermögenswerte einer Zweckgesellschaft deren aggregiertes maximales Risiko decken oder übersteigen, sollte die Exponierung einer Zweckgesellschaft stets begrenzt sein.

(120) Übernimmt eine Zweckgesellschaft Risiken von mehr als einem Versicherungs- oder Rückversicherungsunternehmen, sollte sie jederzeit vor Liquidationsverfahren der anderen Versicherungs- oder Rückversicherungsunternehmen, die Risiken auf sie übertragen haben, geschützt sein.

(121) Bei der Bewertung der fachlichen Qualifikation und persönlichen Zuverlässigkeit der Anteilseigner oder Gesellschafter, die eine qualifizierte Beteiligung an einer Zweckgesellschaft halten, und der Personen, die die Zweckgesellschaft tatsächlich leiten, sollten gegebenenfalls für Versicherungs- und Rückversicherungsunternehmen geltende ähnliche Anforderungen berücksichtigt werden.

(122) Die Risikoübertragung vom Versicherungs- oder Rückversicherungsunternehmen auf die Zweckgesellschaft und von der Zweckgesellschaft auf die Kapitalgeber für Schuldtitel oder Finanzierungen sollte nicht mit Geschäften einhergehen, die eine effektive Risikoübertragung unterlaufen könnten, wie etwa einem vertraglichen Anspruch auf Aufrechnung oder Nebenvereinbarungen, die die potenziellen oder tatsächlichen Verluste, die der Zweckgesellschaft durch den Risikotransfer auf die Kapitalgeber für Schuldtitel oder Finanzierungen entstehen, verringern sollen.

(123) Um zu gewährleisten, dass die Einbeziehung künftiger Zahlungen die effektive Risikoübertragung vom Versicherungs- oder Rückversicherungsunternehmen auf die Zweckgesellschaft nicht unterläuft, sollten ausbleibende Zahlungen sich nicht nachteilig auf die Basiseigenmittel des Versicherungs- oder Rückversicherungsunternehmens auswirken. Bei der Feststellung, dass dies bei keinem Szenario möglich ist, sollte das Unternehmen alle in den vertraglichen Vereinbarungen erwogenen Szenarien sowie alle anderen Szenarien berücksichtigen, es sei denn, deren Eintritt ist allzu unwahrscheinlich.

(124) Nach Artikel 220 der Richtlinie 2009/138/EG ist die Solvabilität der Gruppe nach Methode 1 (d. h. auf der Grundlage des konsolidierten Abschlusses) zu berechnen, es sei denn deren ausschließliche Anwendung wäre unangemessen. Wenn die für die Gruppenaufsicht zuständige Behörde bewertet, ob anstelle von Methode 1 - oder in Kombination mit dieser - Methode 2 (Abzugs- und Aggregationsmethode) angewandt werden sollte, berücksichtigt sie dabei eine Reihe harmonisierter relevanter Kriterien. Eines dieser Kriterien besteht darin, ob die Anwendung der Methode 1 mit übermäßigem Aufwand verbunden wäre und Art, Umfang und Komplexität der Risiken der Gruppe so geartet sind, dass die Anwendung der Methode 2 keinen wesentlichen Einfluss auf die Ergebnisse der Berechnung der Gruppensolvabilität hätte. Um für diese Zwecke festzustellen, ob die Anwendung der Methode 2 die Ergebnisse der Berechnung der Gruppensolvabilität wesentlich beeinflussen würde, sollte die Methode 2 anhand der nach der Richtlinie 2009/138/EG ermittelten aggregierten anrechnungsfähigen Eigenmittel der Gruppe und aggregierten Solvenzkapitalanforderungen für die Gruppe mit der Methode 1 und nicht mit den als gleichwertig geltenden Solvabilitätsanforderungen von Drittländern verglichen werden.

(125) Um in Fällen, in denen eine Gruppe über verbundene Versicherungs- oder Rückversicherungsunternehmen in Drittländern verfügt und die Kommission delegierte Rechtsakte nach Artikel 227 Absätze 4 oder 5 der Richtlinie 2009/138/EG erlassen hat, in denen die Gleichwertigkeit oder vorläufige Gleichwertigkeit der Solvabilitätsvorschriften dieser Drittländer festgestellt wird, in diesen Drittländern gleiche Wettbewerbsbedingungen zu gewährleisten, sollte die Aufsichtsbehörde bei der Entscheidung, ob Methode 2 (Abzug und Aggregation) anstelle von oder in Kombination mit Methode 1 (Konsolidierung) angewandt werden sollte, dieser Erwägung Vorrang einräumen.

(126) Sind die Aufsichtsbehörden der Auffassung, dass bestimmte Eigenmittel, die auf die Solvenzkapitalanforderung eines verbundenen Versicherungs- oder Rückversicherungsunternehmens angerechnet werden können, effektiv nicht zur Bedeckung der Solvenzkapitalanforderung der Gruppe bereitgestellt werden können, dürfen diese der Richtlinie 2009/138/EG zufolge nur insoweit in die Berechnung einbezogen werden, als sie zur Bedeckung der Solvenzkapitalanforderung des verbundenen Unternehmens zulässig sind. In diesem Zusammenhang sollten die Aufsichtsbehörden bei der Bewertung, ob bestimmte Eigenmittel eines verbundenen Unternehmens für die Gruppe effektiv nicht bereitgestellt werden können, ihre Entscheidung darauf stützen, ob Beschränkungen bestehen, die sich entweder auf die Fungibilität der betreffenden Eigenmittelbestandteile (d. h. ob sie dem Ausgleich bestimmter Verluste vorbehalten sind) oder auf deren Übertragbarkeit (d. h. ob signifikante Hindernisse für die Verschiebung von Eigenmittelbestandteilen von einem Unternehmen auf das andere bestehen) auswirken. Bei dieser Bewertung sollten die Aufsichtsbehörden besonders auf alle etwaigen Minderheitsbeteiligungen achten, die in den zur Bedeckung der Solvenzkapitalanforderung eines Tochterunternehmens eines Versicherungs- oder Rückversicherungsunternehmens, eines Drittlandsversicherungs- oder -rückversicherungsunternehmens, einer Versicherungsholdinggesellschaft oder einer gemischten Finanzholdinggesellschaft anrechnungsfähigen Eigenmitteln enthalten sind.

(127) Um zu gewährleisten, dass die Versicherungsnehmer und Anspruchsberechtigten der Versicherungs- und Rückversicherungsunternehmen einer Gruppe im Falle der Liquidation eines der Gruppenaufsicht unterliegenden Unternehmens angemessen geschützt sind, sollten von Versicherungsholdinggesellschaften und zwischengeschalteten Versicherungsholdinggesellschaften innerhalb der Gruppe emittierte Eigenmittelbestandteile nur dann als unbelastet gelten, wenn die auf diese Eigenmittelbestandteile bezogenen Forderungen gegenüber den Forderungen sämtlicher Versicherungsnehmer und Anspruchsberechtigten der zu dieser Gruppe gehörenden Versicherungs- und Rückversicherungsunternehmen nachrangig sind.

(128) Für die Behandlung von Zweckgesellschaften sollten angemessene Regelungen auf Gruppenebene festgelegt werden. Dabei sollten Zweckgesellschaften im Sinne der Richtlinie 2009/138/EG, die entweder die dort festgelegten Anforderungen erfüllen oder von der Aufsichtsbehörde eines Drittlands reguliert werden und gleichwertige Anforderungen erfüllen, nicht voll konsolidiert werden.

(129) Bei der Berechnung des besten Schätzwerts für die versicherungstechnischen Rückstellungen auf Gruppenebene nach Methode 1 (Berechnung auf der Grundlage des konsolidierten Abschlusses) sollte die Annahme zugrunde gelegt werden, dass die Summe aus dem besten Schätzwert für die beteiligten Versicherungs- oder Rückversicherungsunternehmen und ein proportionaler Anteil des besten Schätzwerts für deren verbundene Unternehmen, jeweils bereinigt um gruppeninterne Transaktionen, annähernd dem Betrag entspricht, der sich bei Berechnung des besten Schätzwerts für die konsolidierten Versicherungs- und Rückversicherungsverpflichtungen auf Gruppenebene gemäß den Artikeln 75 bis 86 der Richtlinie 2009/138/EG ergäbe. Insbesondere wenn bei dieser Berechnung die besten Schätzwerte von Drittlandsversicherungs- oder -rückversicherungsunternehmen verwendet werden, sollten diese Schätzwerte nach den genannten Artikeln bewertet werden.

(130) Bei der Berechnung der Risikomarge der versicherungstechnischen Rückstellungen auf Gruppenebene nach Methode 1 (Berechnung auf der Grundlage des konsolidierten Abschlusses) sollte die Annahme zugrunde gelegt werden, dass die Übertragung der Versicherungs- und Rückversicherungsverpflichtungen der Gruppe für jedes Versicherungs- oder Rückversicherungsunternehmen der Gruppe getrennt erfolgt und dass die Risikomarge keine Diversifizierung zwischen den Risiken dieser Unternehmen gestattet. Bei den in Artikel 73 Absätze 2 und 5 der Richtlinie 2009/138/EG genannten Unternehmen sollte sich die Berechnung auf die Annahme stützen, dass die Übertragung des Portfolios Versicherungsverpflichtungen für die Lebens- und die Nichtlebensversicherung getrennt erfolgt.

(131) Gruppen können beantragen, für die Berechnung der konsolidierten Solvenzkapitalanforderung der Gruppe zwei Arten interner Modelle zu verwenden. Wenn ein internes Modell ausschließlich zur Berechnung der konsolidierten Solvenzkapitalanforderung der Gruppe und nicht zur Berechnung der Solvenzkapitalanforderung eines verbundenen Versicherungs- oder Rückversicherungsunternehmens der Gruppe verwendet wird, sollte Artikel 230 der Richtlinie 2009/138/EG gelten. In diesem Zusammenhang ist zu gewährleisten, dass die Genehmigung eines ausschließlich für die Berechnung der konsolidierten Solvenzkapitalanforderung der Gruppe verwendeten internen Modells von der für die Gruppenaufsicht zuständigen Behörde in Einklang mit den Bestimmungen erteilt wird, die in dieser Richtlinie für das Verfahren zur Genehmigung der auf Ebene des Einzel- unternehmens verwendeten internen Modelle niedergelegt sind, wozu auch der in Artikel 114 Absatz 2 der Richtlinie genannte Durchführungsrechtsakt zählt. Um die Zusammenarbeit innerhalb des Kollegiums der Aufsichtsbehörden zu fördern, ist festzulegen, wie die für die Gruppenaufsicht zuständige Behörde die anderen Aufsichtsbehörden in ihre Entscheidung über den Antrag einbeziehen sollte.

(132) Wenn eine Gruppe beantragt, die konsolidierte Solvenzkapitalanforderung für die Gruppe sowie die Solvenzkapitalanforderung für ein verbundenes Versicherungs- oder Rückversicherungsunternehmen der Gruppe nach ein und demselben internen Modell zu berechnen, sollte Artikel 231 der Richtlinie 2009/138/EG gelten. Um zu gewährleisten, dass die für die Gruppenaufsicht zuständige Behörde und die anderen betroffenen Aufsichtsbehörden effektiv zusammenarbeiten und eine fundierte gemeinsame Entscheidung darüber treffen, ob die Verwendung dieses internen Modells gestattet werden sollte, sind in diesem Zusammenhang Bestimmungen für die notwendige Dokumentation und das Verfahren für die gemeinsame Entscheidung über den Antrag festzulegen.

(133) Eine aufgrund von Artikel 230 der Richtlinie 2009/138/EG erteilte Genehmigung eines ausschließlich zur Berechnung der konsolidierten Solvenzkapitalanforderung für die Gruppe verwendeten internen Modells sollte keinen Einfluss auf etwaige künftige Genehmigungen nach Artikel 231 dieser Richtlinie haben. So sollte insbesondere jeder Antrag, die konsolidierte Solvenzkapitalanforderung für die Gruppe samt der Solvenzkapitalanforderung für ein verbundenes Versicherungs- oder Rückversicherungsunternehmen innerhalb der Gruppe nach einem bereits nach Artikel 230 der Richtlinie 2009/138/EG genehmigten internen Modell berechnen zu dürfen, dem in Artikel 231 der genannten Richtlinie festgelegten Verfahren folgen.

(134) Gruppen sollten die Erlaubnis zur Verwendung eines internen Partialmodells zur Berechnung der konsolidierten Solvenzkapitalanforderung für die Gruppe beantragen, wenn nur einige der verbundenen Unternehmen in das interne Modell für die Gruppe einbezogen werden; ein solcher Antrag kann auch für den in Artikel 112 Absatz 2 der Richtlinie 2009/138/EG dargelegten begrenzten Geltungsbereich gestellt werden oder für eine Kombination aus beidem.

(135) Damit ein ausschließlich zur Berechnung der konsolidierten Solvenzkapitalanforderung der Gruppe verwendetes internes Modell auf breiter Front im Governance-System der Gruppe eingesetzt werden und darin eine wichtige Rolle spielen kann, sollten die Versicherungs- und Rückversicherungsunternehmen, deren Geschäft ganz oder teilweise in das interne Modell einbezogen wird, von den Ergebnissen dieses internen Modells Gebrauch machen. Die Anforderungen des Verwendungstest sollten diese Unternehmen dabei nicht in gleicher Weise erfüllen müssen wie bei Verwendung dieses internen Modells zur Berechnung ihrer Solvenzkapitalanforderung. Den Verwendungstest sollten diese Unternehmen nur in Bezug auf die Ergebnisse dieses internen Modells und für die Zwecke einer gruppenweit konsistenten Umsetzung der Risikonmanagement- und internen Kontrollsysteme bestehen müssen.

(136) Um bei Gruppen mit zentralisiertem Risikomanagement eine harmonisierte Überwachung der Gruppensolvabilität zu gewährleisten, sollten die für die Gruppenaufsicht zuständige Behörde und die anderen betroffenen Aufsichtsbehörden bei der Bewertung, ob die in Artikel 236 der Richtlinie 2009/138/EG genannten Bedingungen erfüllt sind, eine Reihe harmonisierter relevanter Kriterien berücksichtigen.

(137) Um bei der Beaufsichtigung von Tochterunternehmen eines Versicherungs- oder Rückversicherungsunternehmens in einer Gruppe mit zentralisiertem Risikomanagement eine effiziente Zusammenarbeit im Sinne der Artikel 237 bis 243 der Richtlinie 2009/138/EG zu erreichen, müssen die von den Aufsichtsbehörden bei der Beaufsichtigung solcher Versicherungs- und Rückversicherungstochterunternehmen einzuhaltenden Verfahren harmonisiert werden.

(138) Um klar zu bestimmen, wann eine Krisensituation im Sinne von Artikel 239 Absatz 2 der Richtlinie 2009/138/EG vorliegt, sollte die Aufsichtsbehörde, die das Tochterunternehmen des Versicherungs- oder Rückversicherungsunternehmens, dessen Finanzlage sich verschlechtert, zugelassen hat, eine Reihe harmonisierter Kriterien berücksichtigen.

(139) Das Kollegium der Aufsichtsbehörden sollte eine ständige Plattform für die Koordinierung zwischen den Aufsichtsbehörden sein, eine gemeinsame Einschätzung des Risikoprofils der Gruppe und deren verbundener Unternehmen fördern und auf eine effizientere und wirkungsvollere risikosensitive Aufsicht sowohl auf Gruppen- als auch auf Einzelunternehmensebene hinarbeiten. Um eine reibungslose Funktionsweise des Kollegiums zu gewährleisten, müssen in diesem Zusammenhang die Kriterien festgelegt werden, anhand deren zu beurteilen ist, ob eine Zweigniederlassung als bedeutend anzusehen und die für sie zuständige Aufsichtsbehörde somit am Kollegium zu beteiligen ist. Zur Förderung konvergenter Aufsichtspraktiken ist es auch von grundlegender Bedeutung, die für die Koordinierung der Beaufsichtigung von Versicherungs- und Rückversicherungsgruppen geltenden Anforderungen zu harmonisieren.

(140) Nach der Richtlinie 2009/138/EG müssen beteiligte Versicherungs- und Rückversicherungsunternehmen, Versicherungsholdinggesellschaften und gemischte Finanzholdinggesellschaften Informationen über Solvabilität und Finanzlage der Gruppe veröffentlichen. Die Richtlinie gestattet ihnen aber auch, einen einzigen Bericht über Solvabilität und Finanzlage vorzulegen, der sowohl die betreffenden Informationen für die Gruppe als auch die Informationen über Solvabilität und Finanzlage der einzelnen Tochterunternehmen enthält. Diese Regelung soll gewährleisten, dass interessierte Kreise angemessen über die Solvabilität und Finanzlage von Versicherungs- und Rückversicherungsgruppen informiert sind, verringert aber gleichzeitig den Aufwand, der damit für solche Gruppen verbunden ist, auf ein angemessenes Maß. Unabhängig davon, ob Versicherungs- und Rückversicherungsgruppen von der Möglichkeit, einen einzigen Bericht über Solvabilität und Finanzlage vorzulegen, Gebrauch machen, sollten die für die Veröffentlichung geltenden Anforderungen harmonisiert werden.

(141) Damit sich die aufsichtlichen Überprüfungsverfahren der für die Gruppe zuständigen Aufsichtsbehörden einander tatsächlich annähern, sollten im Hinblick auf die von Versicherungs- und Rückversicherungsgruppen regelmäßig vorzulegenden Informationen detaillierte und harmonisierte Anforderungen festgelegt werden. Diese Anforderungen sollten auch den Informationsaustausch innerhalb von Aufsichtskollegien erleichtern und weitestmöglich darauf abzielen, den damit für solche Versicherungs- und Rückversicherungsgruppen verbundenen Aufwand so gering wie möglich zu halten.

(142) Die nach den Artikeln 172, 227 und 260 der Richtlinie 2009/138/EG vorzunehmende Bewertung, ob das Solvabilitäts- oder Aufsichtssystem eines Drittlands dem in Titel I bzw. Titel III der genannten Richtlinie niedergelegten System gleichwertig ist, sollte ein kontinuierlicher Prozess sein und mit dem Ziel durchgeführt werden sicherzustellen, dass das Solvabilitäts- oder Aufsichtssystem des Drittlands für die Versicherungsnehmer und Anspruchsberechtigten nachweislich einen dem System der Richtlinie gleichwertigen Schutz bietet.

(143) Die nach den Artikeln 172, 227 und 260 der Richtlinie 2009/138/EG vorzunehmende Bewertung, ob das Solvabilitäts- oder Aufsichtssystem eines Drittlands dem in Titel I bzw. Titel III der genannten Richtlinie niedergelegten System gleichwertig ist, sollte anhand der Kriterien erfolgen, die für Artikel 172 in Artikel 378, für Artikel 227 in Artikel 379 und für Artikel 260 in Artikel 380 dieser Verordnung festgelegt sind.

(144) Bei der Feststellung, ob die bei der Bewertung der Gleichwertigkeit eines Drittlandsystems zu berücksichtigenden Kriterien erfüllt sind, sollte die Substanz der Rechtsvorschriften oder anderen im Solvabilitäts- oder Aufsichtssystem des betreffenden Drittlands geltenden Anforderungen sowie die Art und Weise, wie diese Rechtsvorschriften und Anforderungen umgesetzt und angewandt werden, und die Praktiken der Aufsichtsbehörden in dem betreffenden Drittland zugrunde gelegt werden. Bei dieser Feststellung sollte auch berücksichtigt werden, inwieweit die Aufsichtsbehörden des betreffenden Drittlands nach dem in der Richtlinie 2009/138/EG niedergelegten Grundsatz der Verhältnismäßigkeit verfahren.

(145) Um zu gewährleisten, dass eine positive Entscheidung über die Gleichwertigkeit im Sinne von Artikel 172 Absätze 2 und 3 der Richtlinie 2009/138/EG sowie Artikel 211 dieser Verordnung das vorrangige Ziel der Regulierung und Beaufsichtigung des Versicherungs- und Rückversicherungsgewerbes, d. h. den angemessenen Schutz der Versicherungsnehmer und Anspruchsberechtigten, nicht untergräbt, sollten die Kriterien für die Bewertung der Gleichwertigkeit nach Artikel 172 der genannten Richtlinie die in Titel I über die allgemeinen Vorschriften für die Aufnahme und die Ausübung der Tätigkeiten der Rückversicherung niedergelegten Grundsätze einschließen.

(146) Um zu gewährleisten, dass die Berücksichtigung der Solvenzkapitalanforderung und der anrechnungsfähigen Eigenmittel, die von einem Drittland festgelegt wurden, bei der Bestimmung der Gruppensolvabilität im Rahmen der Methode 2 zu einer gleichwertigen Bestimmung der Gruppensolvabilität führt wie bei Zugrundelegung der Anforderungen der Richtlinie 2009/138/EG, sollten die Kriterien für die Bewertung der Gleichwertigkeit nach Artikel 227 der genannten Richtlinie die Grundsätze einschließen, die in Titel I Kapitel VI bezüglich der Vorschriften für die Bewertung der Vermögenswerte und Verbindlichkeiten, der versicherungstechnischen Rückstellungen, der Eigenmittel, der Solvenzkapitalanforderung, der Mindestkapitalanforderung und der Anlagevorschriften niedergelegt sind.

(147) Um zu gewährleisten, dass die Freistellung einer Gruppe von der Gruppenaufsicht auf Unionsebene die grundlegende Funktion, die der Gruppenaufsicht nach der Richtlinie 2009/138/EG zukommt, nicht untergräbt, sollten die Kriterien für die Bewertung der Gleichwertigkeit im Rahmen von Artikel 260 der genannten Richtlinie die in Titel III über die Beaufsichtigung der Versicherungs- und Rückversicherungsunternehmen einer Gruppe niedergelegten Grundsätze einschließen.

(148) Die Aufsichtsbehörden der Mitgliedstaaten und die Aufsichtsbehörden von Drittländern, deren System für gleichwertig befunden wurde oder für die in Bezug auf die Gleichwertigkeit eine Übergangsregelung gilt, sollten zusammenarbeiten und Informationen austauschen, um zu gewährleisten, dass die Risiken und die Solvabilität der Gruppe von beiden Seiten gleich eingeschätzt werden.

(149) Um zu gewährleisten, dass die Aufsichtsbehörden untereinander Informationen austauschen können, sollten die Aufsichtsbehörden von Drittländern, deren System für gleichwertig befunden wurde oder für die in Bezug auf die Gleichwertigkeit eine Übergangsregelung gilt, der beruflichen Geheimhaltungspflicht unterliegen.

(150) Um zu gewährleisten, dass die Standardformel auch weiterhin dauerhaft die in Artikel 101 Absätze 2 und 3 der Richtlinie 2009/138/EG festgelegten Anforderungen erfüllt, wird die Kommission die Methoden, Annahmen und Standardparameter, die bei der Berechnung der Solvenzkapitalanforderung nach der Standardformel zugrunde gelegt werden, überprüfen, was insbesondere für die Methoden, Annahmen und Standardparameter, die bei dem in Titel I Kapitel V Abschnitt 6 dargelegten Marktrisikomodul zugrunde gelegt werden, gilt, und dabei auch die Standardparameter für festverzinsliche Wertpapiere und langfristige Infrastrukturen, die in Anhang II dargelegten Standardparameter für das Prämien- und Rückstellungsrisiko, die Standardparameter für das Sterblichkeitsrisiko sowie die Untergruppe der Standardparameter, die durch die in Artikel 218 genannten unternehmensspezifischen Parameter ersetzt werden können, und die in Artikel 220 genannten standardisierten Methoden zur Berechnung dieser Parameter einer Überprüfung unterziehen. Diese Überprüfung sollte sich die Erfahrungen zunutze machen, die die Versicherungs- und Rückversicherungsunternehmen in der Übergangsphase und in den ersten Jahren der Anwendung dieser delegierten Rechtsakte sammeln, und bis Dezember 2018 durchgeführt werden.

(151) Um die Rechtssicherheit im Hinblick darauf zu erhöhen, welche Aufsichtsregelung während der in Artikel 308a der Richtlinie 2009/138/EG vorgesehenen, am 1. April 2015 beginnenden Phase der schrittweisen Einführung gilt, sollte gewährleistet werden, dass diese Verordnung so schnell wie möglich, d. h. am Tag nach ihrer Veröffentlichung im Amtsblatt der Europäischen Union, in Kraft tritt

- hat folgende Verordnung erlassen:

Titel I
Bewertung und risikosensitive Eigenkapitalanforderungen (Säule I), verbesserte Governance (Säule II) und erhöhte Transparenz (Säule III)

Kapitel I
Allgemeine Bestimmungen

Abschnitt 1
Begriffsbestimmungen und allgemeine Grundsätze

Artikel 1 Begriffsbestimmungen16 17 18 19

Für die Zwecke dieser Verordnung bezeichnet der Ausdruck

  1. "alternative Bewertungsmethoden" Bewertungsmethoden, die mit Artikel 75 der Richtlinie 2009/138/EG in Einklang stehen und die für gleiche oder ähnliche Vermögenswerte oder Verbindlichkeiten nicht nur die notierten Marktpreise heranziehen;
  2. "Szenarioanalyse" die Analyse der Auswirkungen einer Kombination widriger Ereignisse;
  3. "Krankenversicherungsverpflichtung" eine Versicherungsverpflichtung, die eine oder beide der folgenden Leistungen abdeckt:
    1. medizinische Behandlung oder Pflege, einschließlich medizinischer Vorsorge- oder Heilbehandlung oder -pflege aufgrund von Krankheit, Unfall, Invalidität oder Gebrechlichkeit, oder Erstattung der durch eine solche Behandlung oder Pflege verursachten Kosten;
    2. Erstattung der durch Krankheit, Unfall, Invalidität oder Gebrechlichkeit verursachten Kosten;
  4. "Krankenkostenversicherungsverpflichtung" eine Versicherungsverpflichtung, die die unter Nummer 3 Ziffer i genannten Leistungen oder die dort genannte Erstattung abdeckt;
  5. "Einkommensersatzversicherungsverpflichtung" eine Versicherungsverpflichtung, die die unter Nummer 3 Ziffer ii genannte Kostenerstattung abdeckt, die unter Nummer 3 Ziffer i genannte Kostenerstattung aber ausschließt;
  6. "Arbeitsunfallversicherungsverpflichtung" eine Versicherungsverpflichtung, die die unter Nummer 3 Ziffern i und ii genannten Leistungen oder die dort genannte Erstattung abdeckt und nur bei Arbeitsunfällen, Betriebsunfällen und Berufskrankheiten besteht;
  7. "Rückversicherungsverpflichtung im Bereich der Krankenversicherung" eine Rückversicherungsverpflichtung, die aus einer zugesagten Rückversicherung für Krankenversicherungsverpflichtungen erwächst;
  8. "Rückversicherungsverpflichtung im Bereich der Krankenkostenversicherung" eine Rückversicherungsverpflichtung, die aus einer zugesagten Rückversicherung für Krankenkostenversicherungsverpflichtungen erwächst;
  9. "Rückversicherungsverpflichtung im Bereich der Einkommensersatzversicherung" eine Rückversicherungsverpflichtung, die aus einer zugesagten Rückversicherung für Einkommensersatzversicherungsverpflichtungen erwächst;
  10. "Rückversicherungsverpflichtung im Bereich der Arbeitsunfallversicherung" eine Rückversicherungsverpflichtung, die aus einer zugesagten Rückversicherung für Arbeitsunfallversicherungsverpflichtungen erwächst;
  11. "gebuchte Prämien" die Prämien, die innerhalb eines bestimmten Zeitraums an ein Versicherungs- oder Rückversicherungsunternehmen zu zahlen sind, unabhängig davon, ob diese Prämien sich ganz oder teilweise auf einen Versicherungs- oder Rückversicherungsschutz in einem anderen Zeitraum beziehen;
  12. "verdiente Prämien" die Prämien, die sich auf das von einem Versicherungs- oder Rückversicherungsunternehmen in einem bestimmten Zeitraum gedeckte Risiko beziehen;
  13. "Rückkauf" alle Möglichkeiten zur vollständigen oder teilweisen Beendigung eines Vertrags, einschließlich
    1. einer Beendigung aus freien Stücken mit oder ohne Zahlung eines Rückkaufwerts,
    2. eines Wechsels des Versicherungs- oder Rückversicherungsunternehmens durch den Versicherungsnehmer,
    3. einer Beendigung wegen ausbleibender Prämienzahlung des Versicherungsnehmers;
  14. "Beendigung" eines Versicherungsvertrags einen Rückkauf, einen wertlosen Verfall, eine Beitragsfreistellung eines Vertrags, automatische Unverfallbarkeitsbestimmungen oder die Ausübung sonstiger Beendigungsoptionen oder die Nichtausübung von Fortführungsoptionen;
  15. "Beendigungsoptionen" alle gesetzlichen oder vertraglichen Rechte der Versicherungsnehmer, Versicherungsschutz ganz oder teilweise zu beenden, zurückzukaufen, herabzusetzen, einzuschränken oder ruhen zu lassen oder den Versicherungsvertrag zu stornieren;
  16. "Fortführungsoptionen" alle gesetzlichen oder vertraglichen Rechte der Versicherungsnehmer, Versicherungs- oder Rückversicherungsschutz ganz oder teilweise zu begründen, zu verlängern, zu erhöhen, zu erweitern oder wiederaufzunehmen;
  17. "Deckungsumfang eines internen Modells" die Risiken, die in der dem internen Modell zugrunde liegenden Wahrscheinlichkeitsverteilungsprognose berücksichtigt sind;
  18. "Geltungsbereich eines internen Modells" die Risiken, für die das interne Modell zugelassen ist; der Geltungsbereich eines internen Modells darf sowohl die in der Standardformel für die Berechnung der Solvenzkapitalanforderung berücksichtigten Risiken als auch die dort nicht berücksichtigten Risiken umfassen;
  19. a. "Verbriefung" eine Transaktion oder Struktur im Sinne des Artikels 2 Nummer 1 der Verordnung (EU) 2017/2402 18;
  20. b. "STS-Verbriefung" eine Verbriefung, die nach den Anforderungen des Artikels 18 der Verordnung (EU) 2017/2402 als "einfach, transparent und standardisiert" oder "STS" bezeichnet wird;
  21. "Anlage in ein handelbares Wertpapier oder anderes Finanzinstrument, das auf neu gebündelten, verbrieften Krediten basiert" und "Verbriefungsposition" eine Risikoposition in einer Verbriefung im Sinne von Artikel 4 Absatz 1 Nummer 61 der Verordnung (EU) Nr. 575/2013 des Europäischen Parlaments und des Rates 1;
  22. a. "vorrangige Verbriefungsposition" eine vorrangige Verbriefungsposition im Sinne des Artikels 242 Absatz 6 der Verordnung (EU) Nr. 575/2013 19
  23. "Wiederverbriefungsposition" eine Risikoposition in einer Wiederverbriefung im Sinne des Artikels 2 Nummer 4 der Verordnung (EU) 2017/2402;
  24. "Originator" einen Originator im Sinne des Artikels 2 Nummer 3 der Verordnung (EU) 2017/2402;
  25. "Sponsor" einen Sponsor im Sinne des Artikels 2 Nummer 5 der Verordnung (EU) 2017/2402;
  26. "Tranche" eine Tranche im Sinne des Artikels 2 Nummer 6 der Verordnung (EU) 2017/2402;
  27. "Zentralbank" eine Zentralbank im Sinne von Artikel 4 Absatz 1 Nummer 46 der Verordnung (EU) Nr. 575/2013;
  28. "Basisrisiko" das Risiko, das besteht, wenn die durch die Risikominderungstechnik abgedeckte Position nicht mit der Risikoposition des Versicherungs- oder Rückversicherungsunternehmens korrespondiert;
  29. "Finanzsicherheiten" Vereinbarungen, bei denen der Sicherungsgeber entweder
    1. zum Zwecke der Besicherung oder anderweitigen Deckung einer Verbindlichkeit dem Sicherungsnehmer die Sicherheit vollständig übereignet
    2. oder dem Sicherungsnehmer bzw. zu dessen Gunsten ein Sicherungsrecht einräumt, wobei das rechtliche Eigentum an der Sicherheit zum Zeitpunkt der Bestellung beim Sicherungsgeber oder bei einem Treuhänder verbleibt;
  30. "alle möglichen Kombinationen aus zwei" Elementen bei einer Gruppe von Elementen alle geordneten Paare aus den Elementen dieser Gruppe;
  31. "Versicherungspool" eine Vereinbarung, bei der mehrere Versicherungs- oder Rückversicherungsunternehmen übereinkommen, bestimmte Versicherungsrisiken in einem genau festgelegten Verhältnis zu teilen; die von den Mitgliedern des Versicherungspools versicherten Parteien sind selbst keine Mitglieder des Versicherungspools;
  32. "Pool-Forderung vom Typ A" das Risiko, das ein Versicherungs- oder Rückversicherungsunternehmen an einen Versicherungspool abtritt, dessen Mitglied es nicht ist;
  33. "Pool-Forderung vom Typ B" das Risiko, das ein Versicherungs- oder Rückversicherungsunternehmen an ein anderes Mitglied eines Versicherungspools abtritt, dessen Mitglied es ist;
  34. "Pool-Forderung vom Typ C" das Risiko, das ein Versicherungs- oder Rückversicherungsunternehmen, das Mitglied eines Versicherungspools ist, an ein anderes Versicherungs- oder Rückversicherungsunternehmen abtritt, das nicht Mitglied dieses Versicherungspools ist;
  35. "tiefer Markt" einen Markt, an dem Transaktionen mit einer großen Menge von Finanzinstrumenten stattfinden können, ohne dass dies den Preis dieser Instrumente wesentlich beeinflusst;
  36. "liquider Markt" einen Markt, an dem Finanzinstrumente durch einen Kauf- oder Verkauf rasch liquidiert werden können, ohne dass dies eine wesentliche Preisänderung bewirkt;
  37. "transparenter Markt" einen Markt, an dem aktuelle Handels- und Preisinformationen für die Öffentlichkeit, insbesondere für Versicherungs- oder Rückversicherungsunternehmen, rasch verfügbar sind;
  38. "künftige Überschussanteile" und "künftige Überschussbeteiligungen" künftige Leistungen außer index- oder fondsgebundenen Leistungen aus Versicherungs- oder Rückversicherungsverträgen, die eines der folgenden Merkmale aufweisen:
    1. sie beruhen rechtlich oder vertraglich auf einem oder mehreren der folgenden Ergebnisse:
      1. dem Ergebnis eines bestimmten Bestands an Verträgen, eines bestimmten Typs von Verträgen oder eines einzelnen Vertrags;
      2. den realisierten oder nicht realisierten Kapitalanlageerträgen eines bestimmten Portfolios von Vermögenswerten, die vom Versicherungs- oder Rückversicherungsunternehmen gehalten werden;
      3. dem Gewinn oder Verlust des Versicherungs- oder Rückversicherungsunternehmens oder Sondervermögens, das den die Leistungen begründenden Vertrag ausstellt;
    2. sie basieren auf einer Deklaration des Versicherungs- oder Rückversicherungsunternehmens, und der Zeitpunkt oder Betrag der Leistungen liegt ganz oder teilweise in seinem Ermessen;
  39. "risikolose Basiszinskurve" eine risikolose Zinskurve, die in der gleichen Weise abgeleitet wird wie die bei der Berechnung des in Artikel 77 Absatz 2 der Richtlinie 2009/138/EG genannten besten Schätzwerts zu verwendende maßgebliche risikolose Zinskurve, allerdings ohne Matching-Anpassung, Volatilitätsanpassung oder vorübergehende Anpassung der maßgeblichen risikolosen Zinskurve gemäß Artikel 308c der genannten Richtlinie;
  40. "Matching-Adjustment-Portfolio" ein Portfolio aus Versicherungs- oder Rückversicherungsverpflichtungen, bei dem die Matching-Anpassung vorgenommen wird, und das in Artikel 77b Absatz 1 Buchstabe a der Richtlinie 2009/138/EG genannte zugeordnete Vermögensportfolio;
  41. "Verpflichtungen aus Krankenversicherungen, die auf vergleichbarer versicherungstechnischer Basis betrieben werden wie die Lebensversicherung" Krankenversicherungsverpflichtungen, die gemäß Artikel 55 Absatz 1 den für Lebensversicherungsverpflichtungen maßgeblichen Geschäftsbereichen zugeordnet werden;
  42. "Verpflichtungen aus Krankenversicherungen, die auf vergleichbarer versicherungstechnischer Basis betrieben werden wie die Schadenversicherung" Krankenversicherungsverpflichtungen, die gemäß Artikel 55 Absatz 1 den für Nichtlebensversicherungspflichten maßgeblichen Geschäftsbereichen zugeordnet werden;
  43. "Organismus für gemeinsame Anlagen" einen Organismus für gemeinsame Anlagen in Wertpapieren (OGAW) im Sinne von Artikel 1 Absatz 2 der Richtlinie 2009/65/EG des Europäischen Parlaments und des Rates 2 oder einen alternativen Investmentfonds (AIF) im Sinne von Artikel 4 Absatz 1 Buchstabe a der Richtlinie 2011/61/EU des Europäischen Parlaments und des Rates 3;
  44. "Hauptgeschäftsbereich" in Bezug auf Versicherungs- oder Rückversicherungsunternehmen ein bestimmtes Unternehmenssegment, das unabhängig von anderen Unternehmensteilen betrieben wird, innerhalb des Unternehmens über eigene Governance-Ressourcen und -Verfahren verfügt und mit Risiken einhergeht, die in Relation zur Gesamtheit der Geschäftstätigkeiten des Unternehmens wesentlich sind;
  45. "Hauptgeschäftsbereich" in Bezug auf eine Versicherungs- oder Rückversicherungsgruppe ein bestimmtes Segment der Gruppe, das unabhängig von anderen Teilen der Gruppe betrieben wird, innerhalb der Gruppe über eigene Governance-Ressourcen und -verfahren verfügt und mit Risiken einhergeht, die in Relation zur Gesamtheit der Geschäftstätigkeiten der Gruppe wesentlich sind; jede zur Gruppe gehörende juristische Person stellt einen Hauptgeschäftsbereich dar oder setzt sich aus mehreren Hauptgeschäftsbereichen zusammen;
  46. "Verwaltungs-, Management- oder Aufsichtsorgan" in Fällen, in denen das nationale Recht ein aus einem Management- und einem Aufsichtsorgan bestehendes dualistisches System vorsieht, je nach Festlegung in der maßgeblichen nationalen Rechtsvorschrift das Management- oder das Aufsichtsorgan oder beide Organe oder für den Fall, dass die maßgebliche nationale Rechtsvorschrift kein Organ nennt, das Leitungsorgan;
  47. " aggregierte maximale Risikoposition" die Summe der maximalen Zahlungen einschließlich der bei den Zweckgesellschaften möglicherweise anfallenden Aufwendungen und abzüglich der Aufwendungen, die alle folgenden Kriterien erfüllen:
    1. die Zweckgesellschaft hat das Recht, von dem Versicherungs- oder Rückversicherungsunternehmen, das Risiken auf die Zweckgesellschaft übertragen hat, die Zahlung der Aufwendung zu verlangen;
    2. die Zweckgesellschaft muss die Aufwendung nur und erst dann zahlen, wenn sie von dem Versicherungs- oder Rückversicherungsunternehmen, das Risiken auf die Zweckgesellschaft übertragen hat, den entsprechenden Betrag erhalten hat;
    3. das Versicherungs- oder Rückversicherungsunternehmen, das Risiken auf die Zweckgesellschaft übertragen hat, betrachtet die Aufwendung nicht als Betrag, der gemäß Artikel 41 von der Zweckgesellschaft zurückgefordert werden kann;
  48. "bestehender Versicherungs- oder Rückversicherungsvertrag" einen Versicherungs- oder Rückversicherungsvertrag, für den die damit einhergehenden Versicherungs- oder Rückversicherungsverpflichtungen erfasst sind;
  49. "der bei künftigen Prämien einkalkulierte erwartete Gewinn" den erwarteten Barwert künftiger Zahlungsströme, die daraus resultieren, dass für die Zukunft erwartete Prämien für bestehende Versicherungs- und Rückversicherungsverträge - die aber ungeachtet der gesetzlichen oder vertraglichen Rechte des Versicherungsnehmers auf Beendigung des Vertrags aus einem beliebigen Grund außer dem Eintritt des versicherten Ereignisses möglicherweise nicht gezahlt werden - in die versicherungstechnischen Rückstellungen aufgenommen werden;
  50. "Hypothekenversicherung" eine Kreditversicherung, die Kreditgeber bei Ausfall ihrer Hypothekendarlehen absichert;
  51. "Tochterunternehmen" ein Tochterunternehmen im Sinne von Artikel 22 Absätze 1 und 2 der Richtlinie 2013/34/EU einschließlich dessen Tochterunternehmen;
  52. "verbundenes Unternehmen" ein Tochterunternehmen oder anderes Unternehmen, an dem eine Beteiligung gehalten wird, oder ein Unternehmen, das mit einem anderen Unternehmen durch eine Beziehung gemäß Artikel 22 Absatz 7 der Richtlinie 2013/34/EU verbunden ist;
  53. "reguliertes Unternehmen" ein "beaufsichtigtes Unternehmen" im Sinne von Artikel 2 Nummer 4 der Richtlinie 2002/87/EG des Europäischen Parlaments und des Rates 4;
  54. "nicht reguliertes Unternehmen" jedes nicht in Artikel 2 Nummer 4 der Richtlinie 2002/87/EG aufgeführte Unternehmen;
  55. "nicht reguliertes Unternehmen, das Finanzgeschäfte tätigt" ein nicht reguliertes Unternehmen, das eines oder mehrere der in Anhang I der Richtlinie 2013/36/EU des Europäischen Parlaments und des Rates 5 genannten Finanzgeschäfte tätigt und bei dem diese einen wesentlichen Teil seiner Geschäftstätigkeit insgesamt ausmachen;
  56. "Anbieter von Nebendienstleistungen" ein nicht reguliertes Unternehmen, dessen Haupttätigkeit im Besitz oder in der Verwaltung von Immobilien, im Management von Datenverarbeitungsdiensten, in Gesundheits- und Pflegedienstleistungen oder in einer ähnlichen Tätigkeit besteht, die im Verhältnis zur Haupttätigkeit eines oder mehrerer Versicherungs- oder Rückversicherungsunternehmen den Charakter einer Nebentätigkeit hat;
  57. "OGAW-Verwaltungsgesellschaft" eine Verwaltungsgesellschaft im Sinne von Artikel 2 Absatz 1 Buchstabe b der Richtlinie 2009/65/EG oder eine nach Artikel 27 dieser Richtlinie zugelassene Investmentgesellschaft, sofern diese keine Verwaltungsgesellschaft nach der genannten Richtlinie benannt hat;
  58. "Verwalter alternativer Investmentfonds" einen Verwalter alternativer Investmentfonds im Sinne von Artikel 4 Absatz 1 Buchstabe b der Richtlinie 2011/61/EU;
  59. a. "Infrastrukturvermögenswerte" Sachwerte, Strukturen oder Anlagen, Systeme und Netze, die grundlegende öffentliche Dienste erbringen oder unterstützen;
  60. b. "Infrastrukturgesellschaft" eine Gesellschaft oder eine Unternehmensgruppe, die in ihrem letzten Geschäftsjahr, für das Zahlen vorliegen, oder in einem Finanzierungsvorschlag die deutliche Mehrheit ihrer Einnahmen aus Eigentum, Finanzierung, Entwicklung oder Betrieb von Infrastrukturvermögenswerten erzielt;
  61. "Einrichtungen der betrieblichen Altersversorgung" Einrichtungen im Sinne von Artikel 6 Buchstabe a der Richtlinie 2003/41/EG des Europäischen Parlaments und des Rates 6;
  62. "inländisches Versicherungsunternehmen" ein von den Aufsichtsbehörden eines Drittlands zugelassenes und beaufsichtigtes Unternehmen, das eine Zulassung als Versicherungsunternehmen gemäß Artikel 14 der Richtlinie 2009/138/EG benötigen würde, wenn sich sein Sitz in der Union befände;
  63. "inländisches Rückversicherungsunternehmen" ein von den Aufsichtsbehörden eines Drittlands zugelassenes und beaufsichtigtes Unternehmen, das eine Zulassung als Rückversicherungsunternehmen gemäß Artikel 14 der Richtlinie 2009/138/EG benötigen würde, wenn sich sein Sitz in der Union befände.
  64. " CCP" eine zentrale Gegenpartei im Sinne von Artikel 2 Nummer 1 der Verordnung (EU) Nr. 648/2012 des Europäischen Parlaments und des Rates *;
  65. " insolvenzgeschützt" in Bezug auf Kundenvermögenswerte den Umstand, dass wirksame Vereinbarungen bestehen, die verhindern, dass bei Insolvenz einer CCP oder eines Clearingmitglieds die Gläubiger dieser CCP bzw. dieses Clearingmitglieds auf jene Vermögenswerte zugreifen können, oder dass das Clearingmitglied auf die Vermögenswerte zugreifen kann, um Verluste abzudecken, die es aufgrund des Ausfalls eines oder mehrerer anderer Kunden als jener, die diese Vermögenswerte eingebracht haben, erlitten hat;
  66. " Kunde" einen Kunden im Sinne von Artikel 2 Nummer 15 der Verordnung (EU) Nr. 648/2012 oder ein Unternehmen, das gemäß Artikel 4 Absatz 3 der genannten Verordnung indirekte Clearingvereinbarungen mit einem Clearingmitglied getroffen hat;
  67. " Clearingmitglied" ein Clearingmitglied im Sinne von Artikel 2 Nummer 14 der Verordnung (EU) Nr. 648/2012;
  68. " CCP-bezogenes Geschäft" einen Kontrakt oder ein Geschäft nach Artikel 301 Absatz 1 der Verordnung (EU) Nr. 575/2013 zwischen einem Kunden und einem Clearingmitglied, der/das unmittelbar mit einem in jenem Absatz aufgeführten Kontrakt oder Geschäft zwischen diesem Clearingmitglied und einer CCP in Beziehung steht.

Artikel 2 Expertenmeinung

1. Wenn Versicherungs- und Rückversicherungsunternehmen im Hinblick auf Vorschriften für die Bewertung der Vermögenswerte und Verbindlichkeiten, der versicherungstechnischen Rückstellungen, der Eigenmittel, der Solvenzkapitalanforderung, der Mindestkapitalanforderung und der Anlagevorschriften Annahmen treffen, so stützen sich diese auf das Fachwissen von Personen, die hinsichtlich der Versicherungs- oder Rückversicherungsgeschäften inhärenten Risiken über einschlägige Kenntnisse, Erfahrungen und Einblicke verfügen.

2. Versicherungs- und Rückversicherungsunternehmen stellen unter gebührender Berücksichtigung des Grundsatzes der Verhältnismäßigkeit sicher, dass die internen Nutzer der betreffenden Annahmen über deren maßgeblichen Inhalt, ihren Grad an Verlässlichkeit und deren Grenzen informiert werden. Dienstleister, an die Funktionen oder Tätigkeiten ausgelagert wurden, werden zu diesem Zweck als interne Nutzer betrachtet.

Abschnitt 2
Externe Ratings

Artikel 3 Zuordnung von Ratings zu Bonitätsstufen

Die in Artikel 109a Absatz 1 der Richtlinie 2009/138/EG genannte Skala von Bonitätsstufen umfasst die Bonitätsstufen 0 bis 6.

Artikel 4 Allgemeine Anforderungen für die Verwendung von Ratings18

1. Versicherungs- oder Rückversicherungsunternehmen dürfen ein externes Rating nur dann für die Berechnung der Solvenzkapitalanforderung nach der Standardformel verwenden, wenn es von einer externen Ratingagentur (ECAI) abgegeben oder von einer solchen gemäß der Verordnung (EG) Nr. 1060/2009 des Europäischen Parlaments und des Rates 7 übernommen wurde.

2. Die Versicherungs- oder Rückversicherungsunternehmen benennen eine oder mehrere ECAI, deren Ratings bei der Berechnung der Solvenzkapitalanforderung nach der Standardformel zu verwenden sind.

3. Ratings werden einheitlich und nicht selektiv verwendet.

4. Bei der Verwendung von Ratings erfüllen die Versicherungs- und Rückversicherungsunternehmen alle folgenden Anforderungen:

  1. wenn ein Versicherungs- oder Rückversicherungsunternehmen beschließt, die von einer benannten ECAI ausgegebenen Ratings für eine bestimmte Positionsklasse heranzuziehen, verwendet es diese Ratings einheitlich für alle dieser Klasse angehörenden Positionen;
  2. wenn ein Versicherungs- oder Rückversicherungsunternehmen beschließt, die von einer benannten ECAI ausgegebenen Ratings heranzuziehen, verwendet es diese kontinuierlich und im Zeitverlauf einheitlich;
  3. ein Versicherungs- oder Rückversicherungsunternehmen verwendet nur Ratings einer benannten ECAI, die sämtliche ihm zustehenden Kapital- und Zinsbeträge berücksichtigen;
  4. liegt für eine bewertete Position nur ein einziges Rating einer benannten ECAI vor, wird dieses Rating zur Bestimmung der Eigenkapitalanforderungen für diese Position verwendet;
  5. liegen von zwei benannten ECAI Ratings vor und entsprechen diese unterschiedlichen Parametern für eine bewertete Position, so wird das Rating verwendet, aus dem sich die höhere Eigenkapitalanforderung ergibt;
  6. liegen für eine bewertete Position mehr als zwei Ratings benannter ECAI vor, so werden die beiden Ratings verwendet, aus denen sich die beiden niedrigsten Eigenkapitalanforderungen ergeben; weichen die beiden niedrigsten Eigenkapitalanforderungen voneinander ab, so wird das Rating verwendet, das die höhere Eigenkapitalanforderung ergibt; stimmen die beiden niedrigsten Eigenkapitalanforderungen überein, so wird das Rating verwendet, das diese Eigenkapitalanforderung ergibt;
  7. soweit vorhanden, verwenden Versicherungs- und Rückversicherungsunternehmen sowohl in Auftrag gegebene als auch unaufgefordert erstellte Ratings.

5. Ist eine Position Teil der größeren oder komplexeren Risikopositionen des Versicherungs- oder Rückversicherungsunternehmens, so erstellt das Unternehmen für die Position sein eigenes internes Rating und weist die Position einer der sieben Stufen auf einer Bonitätsbewertungsskala zu. Ergibt das eigene interne Rating eine niedrigere Eigenkapitalanforderung als die Ratings benannter ECAI, so bleibt dieses eigene interne Rating für die Zwecke dieser Verordnung unberücksichtigt.

6. Für die Zwecke des Absatzes 5 umfassen die größeren oder komplexeren Risikopositionen eines Unternehmens auch die in Artikel 178 Absätze 8 und 9 genannten Verbriefungspositionen und Wiederverbriefungspositionen.

Artikel 5 Emittenten- und Emissionsratings

1. Liegt für ein bestimmtes Emissionsprogramm oder eine bestimmte Emissionsfazilität, zu dem/der die Risikoposition gehört, ein Rating vor, so wird dieses Rating verwendet.

2. Wenn für eine bestimmte Position kein direkt anwendbares Rating vorliegt, für ein bestimmtes Emissionsprogramm oder eine bestimmte Emissionsfazilität, zu dem/der die Risikoposition nicht gehört, aber ein Rating existiert oder für den Emittenten ein allgemeines Rating vorliegt, wird dieses Rating verwendet, wenn es

  1. die gleiche oder eine höhere Eigenkapitalanforderung ergibt als ansonsten der Fall und die fragliche Risikoposition im Verhältnis zu dem betreffenden Emissionsprogramm, der betreffenden Emissionsfazilität oder den vorrangigen unbesicherten Risikopositionen dieses Emittenten in jeder Hinsicht gleichrangig oder nachrangig ist, oder
  2. die gleiche oder eine niedrigere Eigenkapitalanforderung ergibt als ansonsten der Fall und die fragliche Risikoposition im Verhältnis zu dem betreffenden Emissionsprogramm, der betreffenden Emissionsfazilität oder den vorrangigen unbesicherten Risikopositionen dieses Emittenten in jeder Hinsicht gleichrangig oder vorrangig ist.

In allen anderen Fällen gehen die Versicherungs- oder Rückversicherungsunternehmen davon aus, dass für die Risikoposition kein Rating einer benannten ECAI vorliegt.

3. Ratings für Emittenten aus einer Unternehmensgruppe dürfen nicht für andere Emittenten aus derselben Unternehmensgruppe verwendet werden.

Artikel 6 Doppeltes Rating für Verbriefungspositionen

Liegt für eine Verbriefungsposition nur ein Rating einer benannten ECAI vor, so darf dieses abweichend von Artikel 4 Absatz 4 Buchstabe d nicht verwendet werden. Die Eigenkapitalanforderungen für diese Position ist abzuleiten, als läge kein Rating einer benannten ECAI vor.

Kapitel II
Bewertung der Vermögenswerte und Verbindlichkeiten

Artikel 7 Der Bewertung zugrunde liegende Annahmen

Versicherungs- und Rückversicherungsunternehmen bewerten Vermögenswerte und Verbindlichkeiten unter der Annahme der Unternehmensfortführung.

Artikel 8 Geltungsbereich

Die Artikel 9 bis 16 gelten für den Ansatz und die Bewertung von Vermögenswerten und Verbindlichkeiten, bei denen es sich nicht um versicherungstechnische Rückstellungen handelt.

Artikel 9 Bewertungsmethoden - allgemeine Grundsätze

1. Versicherungs- und Rückversicherungsunternehmen erfassen Vermögenswerte und Verbindlichkeiten nach den von der Kommission gemäß der Verordnung (EG) Nr. 1606/2002 übernommenen Internationalen Rechnungslegungsstandards.

2. Versicherungs- und Rückversicherungsunternehmen bewerten Vermögenswerte und Verbindlichkeiten nach den von der Kommission gemäß der Verordnung (EG) Nr. 1606/2002 übernommenen Internationalen Rechnungslegungsstandards, sofern die in diesen Standards enthaltenen Bewertungsmethoden mit dem in Artikel 75 der Richtlinie 2009/138/EG dargelegten Bewertungsansatz in Einklang stehen. Lassen diese Standards mehr als eine Bewertungsmethode zu, so wenden die Versicherungs- und Rückversicherungsunternehmen nur Bewertungsmethoden an, die mit Artikel 75 der Richtlinie 2009/138/EG in Einklang stehen.

3. Stehen die Bewertungsmethoden, die in den von der Kommission gemäß der Verordnung (EG) Nr. 1606/2002 übernommenen Internationalen Rechnungslegungsstandards enthalten sind, vorübergehend oder auf Dauer nicht mit dem in Artikel 75 der Richtlinie 2009/138/EG dargelegten Bewertungsansatz in Einklang, so wenden die Versicherungs- und Rückversicherungsunternehmen andere Bewertungsmethoden an, die als mit Artikel 75 der Richtlinie 2009/138/EG in Einklang stehend betrachtet werden.

4. Abweichend von den Absätzen 1 und 2 können Versicherungs- und Rückversicherungsunternehmen insbesondere gemäß dem in Artikel 29 Absätze 3 und 4 der Richtlinie 2009/138/EG niedergelegten Grundsatz der Verhältnismäßigkeit einen Vermögenswert oder eine Verbindlichkeit basierend auf er Methode erfassen und bewerten, die sie auch zur Erstellung des Jahres- oder konsolidierten Abschlusses heranziehen, sofern

  1. die Bewertungsmethode mit Artikel 75 der Richtlinie 2009/138/EG in Einklang steht;
  2. die Bewertungsmethode der Art, dem Umfang und der Komplexität der mit den Geschäften des Unternehmens verbundenen Risiken angemessen ist;
  3. das Unternehmen diesen Vermögenswert oder diese Verbindlichkeit in seinem Abschluss nicht nach den von der Kommission gemäß der Verordnung (EG) Nr. 1606/2002 übernommenen Internationalen Rechnungslegungsstandards bewertet.
  4. eine Bewertung der Vermögenswerte und Verbindlichkeiten nach den Internationalen Rechnungslegungsstandards für das Unternehmen mit Kosten verbunden wäre, die gemessen an seinen Verwaltungsaufwendungen insgesamt unverhältnismäßig wären.

5. Einzelne Vermögenswerte werden von den Versicherungs- und Rückversicherungsunternehmen gesondert bewertet.

6. Einzelne Verbindlichkeiten werden von den Versicherungs- und Rückversicherungsunternehmen gesondert bewertet.

Artikel 10 Bewertungsmethoden - Bewertungshierarchie

1. Bei der Bewertung von Vermögenswerten und Verbindlichkeiten gemäß Artikel 9 Absätze 1, 2 und 3 halten Versicherungs- und Rückversicherungsunternehmen die in den Absätzen 2 bis 7 dargelegte Bewertungshierarchie ein und berücksichtigen dabei die Merkmale des betreffenden Vermögenswerts bzw. der betreffenden Verbindlichkeit, die ein Marktteilnehmer bei der Preisbildung für den Vermögenswert bzw. die Verbindlichkeit am Bewertungsstichtag berücksichtigen würde und die unter anderem den Zustand und Standort des Vermögenswerts/der Verbindlichkeit sowie etwaige Verkaufs- oder Nutzungsbeschränkungen einschließen.

2. Versicherungs- und Rückversicherungsunternehmen bewerten Vermögenswerte und Verbindlichkeiten prinzipiell anhand der Marktpreise, die an aktiven Märkten für identische Vermögenswerte und Verbindlichkeiten notiert sind.

3. Ist es nicht möglich, die an aktiven Märkten für identische Vermögenswerte oder Verbindlichkeiten notierten Marktpreise zu verwenden, so bewerten die Versicherungs- und Rückversicherungsunternehmen die Vermögenswerte und Verbindlichkeiten anhand der Marktpreise, die an aktiven Märkten für ähnliche Vermögenswerte und Verbindlichkeiten notiert sind, und tragen Unterschieden durch entsprechende Berichtigungen Rechnung. Diese Berichtigungen spiegeln die für den Vermögenswert oder die Verbindlichkeit typischen Faktoren wider, wozu alle nachstehend genannten zählen:

  1. Zustand oder Standort des Vermögenswerts oder der Verbindlichkeit;
  2. der Umfang, in dem sich Inputfaktoren auf Posten beziehen, die mit dem Vermögenswert oder der Verbindlichkeit vergleichbar sind, und
  3. das Volumen oder Niveau der Aktivitäten in den Märkten, in denen die Inputfaktoren beobachtet werden.

4. Wenn Versicherungs- und Rückversicherungsunternehmen notierte Marktpreise verwenden, stützen sie sich dabei auf die Kriterien für aktive Märkte, die in den von der Kommission nach der Verordnung (EG) Nr. 1606/2002 übernommenen Internationalen Rechnungslegungsstandards definiert sind.

5. Sind die in Absatz 4 genannten Kriterien nicht erfüllt, greifen die Versicherungs- und Rückversicherungsunternehmen auf alternative Bewertungsmethoden zurück, sofern in diesem Kapitel nichts anderes vorgesehen ist.

6. Wenn Versicherungs- und Rückversicherungsunternehmen alternative Bewertungsmethoden verwenden, stützen sie sich dabei so wenig wie möglich auf unternehmensspezifische Inputfaktoren und weitestmöglich auf relevante Marktdaten, einschließlich folgender:

  1. Preisnotierungen für identische oder ähnliche Vermögenswerte oder Verbindlichkeiten auf Märkten, die nicht aktiv sind;
  2. andere Inputfaktoren als Marktpreisnotierungen, die für den Vermögenswert oder die Verbindlichkeit beobachtet werden können, einschließlich Zinssätzen und -kurven, die für gemeinhin notierte Spannen beobachtbar sind, impliziter Volatilitäten und Kredit-Spreads;
  3. marktgestützte Inputfaktoren, die möglicherweise nicht direkt beobachtbar sind, aber auf beobachtbaren Marktdaten beruhen oder von diesen untermauert werden.

All diese marktgestützten Inputfaktoren werden um die in Absatz 3 genannten Faktoren berichtigt.

Sind keine relevanten beobachtbaren Inputfaktoren verfügbar - was auch für Fälle gilt, in denen bei dem Vermögenswert oder der Verbindlichkeit am Bewertungsstichtag wenig oder gar keine Marktaktivität besteht -, so verwenden die Unternehmen nicht beobachtbare Inputfaktoren, die die Annahmen widerspiegeln, auf die sich Marktteilnehmer bei der Preisbildung für den Vermögenswert oder die Verbindlichkeit stützen würden, was auch Annahmen über Risiken einschließt. Werden nicht beobachtbare Inputfaktoren verwendet, passen die Unternehmen ihre eigenen Daten an, wenn bei vertretbarem Aufwand verfügbare Informationen darauf hindeuten, dass andere Marktteilnehmer andere Daten verwenden würden, oder wenn das Unternehmen eine Besonderheit besitzt, über die andere Marktteilnehmer nicht auf dem Laufenden sind.

Wenn die Unternehmen die in diesem Absatz erwähnten Annahmen über Risiken bewerten, berücksichtigen sie dabei das Risiko, das mit der zur Bemessung des beizulegenden Zeitwerts verwendeten speziellen Bewertungstechnik einhergeht, sowie das Risiko, das mit den in die Bewertungstechnik einfließenden Inputfaktoren verbunden ist.

7. Bei der Anwendung alternativer Bewertungsmethoden greifen die Unternehmen auf Bewertungstechniken zurück, die mit einem oder mehreren der folgenden Ansätze in Einklang stehen:

  1. dem marktbasierten Ansatz, bei dem Preise und andere maßgebliche Informationen genutzt werden, die durch Markttransaktionen entstehen, an denen identische oder ähnliche Vermögenswerte, Verbindlichkeiten oder Gruppen von Vermögenswerten und Verbindlichkeiten beteiligt sind; zu den Bewertungstechniken, die mit dem marktbasierten Ansatz vereinbar sind, gehört die Matrix-Preisnotierung;
  2. dem einkommensbasierten Ansatz, bei dem künftige Beträge, wie Zahlungsströme oder Aufwendungen und Erträge, in einen einzigen aktuellen Betrag umgewandelt werden; der beizulegende Zeitwert spiegelt die gegenwärtigen Markterwartungen hinsichtlich dieser künftigen Beträge wider; zu den Bewertungstechniken, die mit dem einkommensbasierten Ansatz vereinbar sind, gehören Barwerttechniken, Optionspreismodelle und die Residualwertmethode;
  3. dem kostenbasierten oder dem auf den aktuellen Wiederbeschaffungskosten basierenden Ansatz, der den Betrag widerspiegelt, der gegenwärtig erforderlich wäre, um die Dienstleistungskapazität eines Vermögenswerts zu ersetzen; aus dem Blickwinkel eines am Markt teilnehmenden Verkäufers würde der für den Vermögenswert entgegengenommene Preis auf den Kosten basieren, die einem am Markt teilnehmenden Käufer für den Erwerb oder die Herstellung eines Ersatzvermögenswerts vergleichbarer Qualität entstünden, wobei eine Berichtigung für Veralterung vorgenommen wird.

Artikel 11 Ansatz von Eventualverbindlichkeiten

1. Eventualverbindlichkeiten im Sinne von Artikel 9 werden von den Versicherungs- und Rückversicherungsunternehmen - wenn sie wesentlich sind - als Verbindlichkeiten angesetzt.

2. Eventualverbindlichkeiten sind dann als erheblich zu betrachten, wenn Informationen über die aktuelle oder potenzielle Höhe oder Art dieser Verbindlichkeiten den Entscheidungsprozess oder das Urteil der Adressaten dieser Informationen, einschließlich der Aufsichtsbehörden, beeinflussen könnten.

Artikel 12 Bewertungsmethoden für Geschäfts- oder Firmenwert und immaterielle Vermögenswerte

Folgende Vermögenswerte werden von den Versicherungs- und Rückversicherungsunternehmen mit Null bewertet:

1. Geschäfts- oder Firmenwert;

2. immaterielle Vermögenswerte außer dem Geschäfts- oder Firmenwert, es sei denn, der immaterielle Vermögenswert kann einzeln veräußert werden und das Versicherungs- oder Rückversicherungsunternehmen kann nachweisen, dass für identische oder ähnliche Vermögenswerte ein gemäß Artikel 10 Absatz 2 abgeleiteter Wert vorliegt, wobei der Vermögenswert in diesem Fall nach Artikel 10 zu bewerten ist.

Artikel 13 Bewertungsmethoden für verbundene Unternehmen16

1. Für die Zwecke der Bewertung der Vermögenswerte einzelner Versicherungs- und Rückversicherungsunternehmen halten die Versicherungs- und Rückversicherungsunternehmen bei der Bewertung von Beteiligungen an verbundenen Unternehmen im Sinne von Artikel 212 Absatz 1 Buchstabe b der Richtlinie 2009/138/EG die folgende Rangfolge ein:

  1. Anwendung der in Artikel 10 Absatz 2 dargelegten Standardbewertungsmethode;
  2. Anwendung der in Absatz 3 genannten angepassten Equity-Methode, wenn eine Bewertung nach Buchstabe a nicht möglich ist;
  3. Anwendung der in Artikel 10 Absatz 3 dargelegten Bewertungsmethode oder alternativer Bewertungsmethoden gemäß Artikel 10 Absatz 5, sofern alle folgenden Bedingungen erfüllt sind:
    1. eine Bewertung nach den Buchstaben a oder b ist nicht möglich;
    2. bei dem Unternehmen handelt es sich nicht um ein Tochterunternehmen im Sinne von Artikel 212 Absatz 2 der Richtlinie 2009/138/EG.

2. Abweichend von Absatz 1 bewerten die Versicherungs- und Rückversicherungsunternehmen bei der Bewertung der Vermögenswerte und Verbindlichkeiten einzelner Versicherungs- und Rückersicherungsunternehmen Beteiligungen an den folgenden Unternehmen mit Null:

  1. Unternehmen, die nach Artikel 214 Absatz 2 der Richtlinie 2009/138/EG von der Gruppenaufsicht ausgenommen sind;
  2. Unternehmen, die nach Artikel 229 der Richtlinie 2009/138/EG von den für die Gruppensolvabilität anrechnungsfähigen Eigenmitteln abgezogen werden.

3. Die in Absatz 1 Buchstabe b genannte angepasste Equity-Methode muss das beteiligte Unternehmen dazu verpflichten, seine Beteiligungen an verbundenen Unternehmen anhand des Anteils zu bewerten, den es am Überschuss der Vermögenswerte über die Verbindlichkeiten des verbundenen Unternehmens hält.

4. Wenn für verbundene Unternehmen der Überschuss der Vermögenswerte über die Verbindlichkeiten berechnet wird, bewertet das beteiligte Unternehmen die einzelnen Vermögenswerte und Verbindlichkeiten des Unternehmens nach Artikel 75 der Richtlinie 2009/138/EG und für den Fall, dass es sich bei dem Unternehmen um ein Versicherungs- oder Rückversicherungsunternehmen oder eine Zweckgesellschaft gemäß Artikel 211 dieser Richtlinie handelt, die versicherungstechnischen Rückstellungen nach den Artikeln 76 bis 85 der Richtlinie.

5. Wenn für verbundene Unternehmen, bei denen es sich nicht um Versicherungs- oder Rückversicherungsunternehmen handelt, der Überschuss der Vermögenswerte über die Verbindlichkeiten berechnet wird, kann das beteiligte Unternehmen für den Fall, dass eine Bewertung der einzelnen Vermögenswerte und Verbindlichkeiten gemäß Absatz 4 nicht praktikabel ist, die Equity-Methode, die in den von der Kommission gemäß der Verordnung (EG) Nr. 1606/2002 übernommenen Internationalen Rechnungslegungsstandards festgelegt ist, als mit Artikel 75 der Richtlinie 2009/138/EG vereinbar betrachten. In solchen Fällen zieht das beteiligte Unternehmen den Geschäfts- oder Firmenwert und den Wert anderer immaterieller Vermögenswerte, der nach Artikel 12 Absatz 2 dieser Verordnung mit Null bewertet würde, vom Wert des verbundenen Unternehmens ab.

6. Sind die in Artikel 9 Absatz 4 genannten Kriterien erfüllt und können die in Absatz 1 Buchstaben a und b genannten Bewertungsmethoden nicht angewandt werden, können Beteiligungen an verbundenen Unternehmen anhand der Methode bewertet werden, die die Versicherungs- oder Rückversicherungsunternehmen zur Erstellung ihrer Jahres- oder konsolidierten Abschlüsse verwenden. In solchen Fällen zieht das beteiligte Unternehmen den Geschäfts- oder Firmenwert und den Wert anderer immaterieller Vermögenswerte, die nach Artikel 12 Absatz 2 dieser Verordnung mit Null bewertet würden, vom Wert des verbundenen Unternehmens ab.

Artikel 14 Bewertungsmethoden für bestimmte Verbindlichkeiten

1. Finanzielle Verbindlichkeiten im Sinne der von der Kommission gemäß der Verordnung (EG) Nr. 1606/2002 übernommenen Internationalen Rechnungslegungsstandards bewerten die Versicherungs- und Rückversicherungsunternehmen gemäß Artikel 9 dieser Verordnung beim erstmaligen Ansatz. Es wird keine nachträgliche Berichtigung vorgenommen, wenn nach dem erstmaligen Ansatz eine Veränderung bei der Bonität des Versicherungs- oder Rückversicherungsunternehmen eintritt.

2. Die Versicherungs- und Rückversicherungsunternehmen bewerten die nach Artikel 11 erfassten Eventualverbindlichkeiten. Der Wert der Eventualverbindlichkeiten ist unter Anwendung der risikolosen Basiszinskurve gleich dem erwarteten Barwert künftiger Zahlungsströme, die erforderlich sind, um die Eventualverbindlichkeit im Laufe ihrer Bestandsdauer zu begleichen.

Artikel 15 Latente Steuern

1. Die Versicherungs- und Rückversicherungsunternehmen erfassen und bewerten latente Steuern für alle Vermögenswerte und Verbindlichkeiten, einschließlich versicherungstechnischer Rückstellungen, die gemäß Artikel 9 für Solvabilitäts- oder Steuerzwecke angesetzt werden.

2. Unbeschadet des Absatzes 1 bewerten die Versicherungs- und Rückversicherungsunternehmen latente Steuern, mit Ausnahme latenter Steueransprüche, die sich aus dem Vortrag noch nicht genutzter Steuergutschriften und dem Vortrag noch nicht genutzter steuerlicher Verluste ergeben, anhand der Differenz zwischen dem Ansatz und der Bewertung der Vermögenswerte und Verbindlichkeiten gemäß Artikel 75 der Richtlinie 2009/138/EG (d. h. gemäß den Artikeln 76 bis 85 dieser Richtlinie, wenn es sich um versicherungstechnische Rückstellungen handelt) und dem Ansatz und der Bewertung der Vermögenswerte und Verbindlichkeiten zu Steuerzwecken.

3. Versicherungs- und Rückversicherungsunternehmen schreiben latenten Steueransprüchen nur dann einen positiven Wert zu, wenn wahrscheinlich ist, dass es künftig steuerpflichtige Gewinne geben wird, gegen die der latente Steueranspruch aufgerechnet werden kann, wobei allen etwaigen Rechts- oder Verwaltungsvorschriften über zeitliche Begrenzungen für den Vortrag noch nicht genutzter Steuergutschriften oder den Vortrag noch nicht genutzter steuerlicher Verluste Rechnung getragen wird.

Artikel 16 Ausschluss von Bewertungsmethoden

1. Die Versicherungs- und Rückversicherungsunternehmen bewerten finanzielle Vermögenswerte und finanzielle Verbindlichkeiten nicht zu Anschaffungskosten oder fortgeführten Anschaffungskosten.

2. Die Versicherungs- und Rückversicherungsunternehmen wenden keine Bewertungsmodelle an, bei denen von Buchwert und beizulegendem Zeitwert abzüglich Veräußerungskosten der niedrigere Wert angesetzt wird.

3. Die Versicherungs- und Rückversicherungsunternehmen bewerten Immobilien, Immobilien die als Finanzinvestition gehalten werden und Sachanlagen nicht mit Anschaffungskostenmodellen, bei denen der Vermögenswert zu Anschaffungskosten abzüglich Abschreibungs- und Wertminderungsaufwendungen angesetzt wird.

4. Versicherungs- und Rückversicherungsunternehmen, die bei einem Finanzierungsleasing Leasingnehmer oder Leasinggeber sind, erfüllen bei der Bewertung von Vermögenswerten und Verbindlichkeiten im Rahmen einer Leasingvereinbarung alle folgenden Voraussetzungen:

  1. Leasing-Vermögenswerte werden zum beizulegenden Zeitwert bewertet;
  2. zur Bestimmung des Barwerts der Mindestleasingzahlungen werden marktkonforme Inputfaktoren verwendet und keine nachträglichen Berichtigungen vorgenommen, um der Bonität des Unternehmens Rechnung zu tragen;
  3. es wird keine Bewertung zu fortgeführten Anschaffungskosten vorgenommen.

5. Die Versicherungs- und Rückversicherungsunternehmen berichtigen den Nettoveräußerungswert von Vorräten um die geschätzten Kosten bis zur Fertigstellung und die geschätzten notwendigen Vertriebskosten, wenn diese erheblich sind; als erheblich sind diese Kosten zu betrachten, wenn ihre Außerachtlassung den Entscheidungsprozess oder das Urteil der Bilanznutzer, einschließlich der Aufsichtsbehörden, beeinflussen könnte. Es wird keine Bewertung zu Anschaffungskosten vorgenommen.

6. Die Versicherungs- und Rückversicherungsunternehmen bewerten nicht monetäre Zuwendungen nicht zu einem Nominalbetrag.

7. Bei der Bewertung biologischer Vermögenswerte nehmen die Versicherungs- und Rückversicherungsunternehmen für den Fall, dass die geschätzten Veräußerungskosten erheblich sind, eine entsprechende Wertberichtigung vor.

Kapitel III
Vorschriften für versicherungstechnische Rückstellungen

Abschnitt 1
Allgemeine Bedingungen

Artikel 17 Ansatz und Ausbuchung von Versicherungs- und Rückversicherungsverpflichtungen

Für die Berechnung des besten Schätzwerts und der Risikomarge der versicherungstechnischen Rückstellungen setzen die Versicherungs- und Rückversicherungsunternehmen eine Versicherungs- oder Rückversicherungsverpflichtung zu dem Zeitpunkt an, zu dem das Unternehmen Partei des die Verpflichtung begründenden Vertrags wird oder zu dem der Versicherungs- oder Rückversicherungsschutz beginnt, je nachdem, welcher von beiden der frühere ist. Die Versicherungs- und Rückversicherungsunternehmen setzen die Verpflichtungen nur innerhalb der Vertragsgrenzen an.

Die Versicherungs- und Rückversicherungsunternehmen buchen eine Versicherungs- oder Rückversicherungsverpflichtung nur aus, wenn sie erloschen, erfüllt oder gekündigt ist oder ausläuft.

Artikel 18 Grenzen eines Versicherungs- oder Rückversicherungsvertrags19

1. Die Grenzen eines Versicherungs- oder Rückversicherungsvertrags werden gemäß den Absätzen 2 bis 7 festgelegt.

2. Alle mit dem Vertrag zusammenhängenden Verpflichtungen einschließlich solcher, die sich auf das einseitige Recht des Versicherungs- oder Rückversicherungsunternehmens auf Vertragsverlängerung oder Ausweitung des vertraglichen Geltungsbereichs beziehen, sowie Verpflichtungen, die sich auf gezahlte Prämien beziehen, sind Bestandteil des Vertrags, sofern in den Absätzen 3 bis 6 nichts anderes bestimmt ist.

3. Verpflichtungen im Zusammenhang mit einem Versicherungs- oder Rückversicherungsschutz, der von dem Unternehmen nach einem der nachstehend genannten Zeitpunkte zur Verfügung gestellt wird, gehören nur dann zum Vertrag, wenn das Unternehmen den Versicherungsnehmer dazu zwingen kann, die diesen Verpflichtungen entsprechende Prämie zu zahlen:

  1. dem künftigen Zeitpunkt, zu dem das Versicherungs- oder Rückversicherungsunternehmen ein einseitiges Recht besitzt, den Vertrag zu beenden;
  2. dem künftigen Zeitpunkt, zu dem das Versicherungs- oder Rückversicherungsunternehmen ein einseitiges Recht besitzt, gemäß dem Vertrag zu zahlende Prämien zurückzuweisen;
  3. dem künftigen Zeitpunkt, zu dem das Versicherungs- oder Rückversicherungsunternehmen ein einseitiges Recht besitzt, die gemäß dem Vertrag zu zahlenden Prämien oder Leistungen so zu ändern, dass die Prämien die Risiken vollständig widerspiegeln.

Buchstabe c gilt in Fällen, in denen ein Versicherungs- oder Rückversicherungsunternehmen ein einseitiges Recht besitzt, die Prämien oder Leistungen eines Portfolios von Versicherungs- oder Rückversicherungsverpflichtungen so zu ändern, dass die Prämien des Portfolios die von diesem gedeckten Risiken vollständig widerspiegeln.

Bei Lebensversicherungsverpflichtungen, bei denen die Verpflichtungen gegenüber der versicherten Person zu Vertragsbeginn einer individuellen Risikobewertung unterzogen werden und bei denen eine solche Bewertung nur bei einer Änderung der Prämien oder Leistungen wiederholt werden kann, bewerten die Versicherungs- und Rückversicherungsunternehmen für die Zwecke des Buchstabens c allerdings auf Vertragsebene, ob die Prämien das Risiko vollständig widerspiegeln.

Beschränkungen der in den Buchstaben a, b und c genannten einseitigen Rechte und Begrenzungen des Umfangs, in dem Prämien oder Leistungen geändert werden können, lassen die Versicherungs- und Rückversicherungsunternehmen unberücksichtigt, wenn sie sich nicht erkennbar auf die wirtschaftlichen Grundlagen des Vertrags auswirken.

4. Verfügt das Versicherungs- oder Rückversicherungsunternehmen über ein in Absatz 3 genanntes einseitiges Recht, das sich nur auf einen Teil des Vertrags bezieht, so gelten für diesen Teil des Vertrags die in Absatz 3 festgelegten Grundsätze.

5. Verpflichtungen, die sich nicht auf bereits gezahlte Prämien beziehen, gehören nur dann zu einem Versicherungs- oder Rückversicherungsvertrag, wenn alle folgenden Voraussetzungen erfüllt sind:

  1. der Vertrag sieht keine Entschädigung für ein festgelegtes ungewisses Ereignis vor, das sich negativ auf den Versicherungsnehmer auswirkt;
  2. der Vertrag enthält keine finanzielle Leistungsgarantie;
  3. das Unternehmen kann den Versicherungsnehmer nicht zur Zahlung der künftigen Prämie für diese Verpflichtungen zwingen.

Für die Zwecke der Buchstaben a und b lassen die Versicherungs- und Rückversicherungsunternehmen den Versicherungsschutz und die Garantien außer Acht, die sich nicht erkennbar auf die wirtschaftlichen Grundlagen des Vertrags auswirken.

6. Kann ein Versicherungs- oder Rückversicherungsvertrag in zwei Teile entbündelt werden und erfüllt einer dieser Teile die in Absatz 5 Buchstaben a, b und c genannten Voraussetzungen, so gehören alle etwaigen Verpflichtungen, die sich nicht auf die für diesen Teil bereits gezahlten Prämien beziehen, nicht zum Vertrag.

7. Für die Zwecke des Absatzes 3 sind die Versicherungs- und Rückversicherungsunternehmen nur dann der Auffassung, dass die Prämien die von einem Versicherungs- oder Rückversicherungsportfolio gedeckten Risiken vollständig widerspiegeln, wenn es keine Umstände gibt, unter denen die im Rahmen dieses Portfolios zu zahlenden Leistungen und Aufwendungen die im Rahmen des Portfolios zu zahlenden Prämien übersteigen.

Abschnitt 2
Datenqualität

Artikel 19 Bei der Berechnung der versicherungstechnischen Rückstellungen verwendete Daten

1. Die bei der Berechnung der versicherungstechnischen Rückstellungen verwendeten Daten werden nur dann als vollständig im Sinne von Artikel 82 der Richtlinie 2009/138/EG betrachtet, wenn alle folgenden Bedingungen erfüllt sind:

  1. die Daten enthalten ausreichende historische Informationen, um die Charakteristika der zugrunde liegenden Risiken zu bewerten und Risikotrends zu ermitteln;
  2. die Daten stehen für jede bei der Berechnung der versicherungstechnischen Rückstellungen relevante homogene Risikogruppe zur Verfügung, und ohne Begründung werden keine relevanten Daten von der Berechnung der versicherungstechnischen Rückstellungen ausgenommen.

2. Die bei der Berechnung der versicherungstechnischen Rückstellungen verwendeten Daten werden nur dann als exakt im Sinne des Artikels 82 der Richtlinie 2009/138/EG betrachtet, wenn alle folgenden Bedingungen erfüllt sind:

  1. die Daten weisen keine wesentlichen Fehler auf;
  2. Daten aus unterschiedlichen Zeiträumen, die für dieselbe Schätzung verwendet werden, sind kohärent;
  3. die Daten werden zeitnah und im Zeitverlauf einheitlich erfasst;

3. Die bei der Berechnung der versicherungstechnischen Rückstellungen verwendeten Daten werden nur dann als angemessen im Sinne von Artikel 82 der Richtlinie 2009/138/EG betrachtet, wenn alle folgenden Bedingungen erfüllt sind:

  1. die Daten sind für ihre Verwendungszwecke geeignet;
  2. Umfang und Art der Daten gewährleisten, dass die bei der Berechnung der versicherungstechnischen Rückstellungen auf Grundlage der Daten vorgenommenen Schätzungen keinen wesentlichen Schätzfehler aufweisen;
  3. die Daten stehen mit den Annahmen in Einklang, auf die sich die bei der Berechnung der versicherungstechnischen Rückstellungen angewandten versicherungsmathematischen und statistischen Techniken stützen;
  4. die Daten spiegeln in angemessener Weise die Risiken wider, denen das Versicherungs- oder Rückversicherungsunternehmen hinsichtlich seiner Versicherungs- und Rückversicherungsverpflichtungen ausgesetzt ist;
  5. die Daten wurden in transparenter, strukturierter Weise im Rahmen eines dokumentierten Prozesses, der alle nachstehend genannten Elemente umfasst, erhoben, verarbeitet und angewandt:
    1. Festlegung von Kriterien für die Datenqualität und Bewertung der Datenqualität, einschließlich spezifischer qualitativer und quantitativer Standards für unterschiedliche Datensätze;
    2. Verwendung und Festlegung von Annahmen, die bei der Erhebung, Verarbeitung und Anwendung von Daten getroffen werden;
    3. Verfahren zur Datenaktualisierung, einschließlich der Aktualisierungsintervalle und der Umstände, unter denen zusätzliche Aktualisierungen vorgenommen werden.
  6. Die Versicherungs- und Rückversicherungsunternehmen sorgen dafür, dass ihre Daten bei der Berechnung der versicherungstechnischen Rückstellungen im Zeitverlauf einheitlich verwendet werden.

Für die Zwecke des Buchstabens b ist ein Schätzfehler bei der Berechnung der versicherungstechnischen Rückstellungen dann als wesentlich zu betrachten, wenn er den Entscheidungsprozess oder das Urteil der Nutzer der Berechnungsergebnisse, einschließlich der Aufsichtsbehörden, beeinflussen könnte.

4. Die Versicherungs- und Rückversicherungsunternehmen können Daten aus einer externen Quelle verwenden, sofern neben den Anforderungen der Absätze 1 bis 4 auch alle folgenden Anforderungen erfüllt sind:

  1. die Versicherungs- oder Rückversicherungsunternehmen können nachweisen, dass die Verwendung dieser Daten sinnvoller ist als die Verwendung rein interner Daten;
  2. die Versicherungs- oder Rückversicherungsunternehmen kennen die Herkunft der Daten sowie die zu deren Verarbeitung herangezogenen Annahmen oder Methoden;
  3. die Versicherungs- oder Rückversicherungsunternehmen ermitteln alle etwaigen Trends bei diesen Daten sowie die im Zeitverlauf oder zwischen den Daten festzustellenden Veränderungen der Annahmen oder Methoden bei der Verwendung dieser Daten;
  4. die Versicherungs- oder Rückversicherungsunternehmen können nachweisen, dass die unter den Buchstaben b und c genannten Annahmen und Methoden den Merkmalen des Portfolios ihrer Versicherungs- und Rückversicherungsverpflichtungen Rechnung tragen.

Artikel 20 Unzulänglichkeit von Daten

Wenn Daten die Anforderungen des Artikels 19 nicht erfüllen, werden die betreffenden Unzulänglichkeiten von den Versicherungs- und Rückversicherungsunternehmen angemessen dokumentiert, wozu auch Angaben dazu, ob und wie solchen Unzulänglichkeiten begegnet wird, sowie eine Beschreibung der Funktionen zählen, die innerhalb des Governance-Systems des Versicherungs- oder Rückversicherungsunternehmens für diesen Prozess zuständig sind. Die Daten werden angemessen erfasst und gespeichert, bevor Anpassungen zur Behebung der Unzulänglichkeiten vorgenommen werden.

Artikel 21 Angemessene Verwendung von Näherungswerten bei der Berechnung des besten Schätzwerts

Liegen den Versicherungs- und Rückversicherungsunternehmen zur Anwendung einer verlässlichen versicherungsmathematischen Methode nicht genügend Daten angemessener Qualität vor, können sie zur Berechnung des besten Schätzwerts angemessene Näherungswerte verwenden, wenn alle folgenden Voraussetzungen erfüllt sind:

  1. die Insuffizienz der Daten ist nicht auf unangemessene interne Prozesse und Verfahren für die Erhebung, Speicherung oder Validierung der für die Bewertung der versicherungstechnischen Rückstellungen verwendeten Daten zurückzuführen;
  2. die Insuffizienz der Daten lässt sich nicht durch den Einsatz externer Daten beheben;
  3. für das Unternehmen wäre es nicht praktikabel, die Insuffizienz durch eine Anpassung der Daten zu beheben.

Abschnitt 3
Methoden für die Berechnung der versicherungstechnischen Rückstellungen

Unterabschnitt 1
Der Berechnung der versicherungstechnischen Rückstellungen zugrunde liegende Annahmen

Artikel 22 Allgemeine Bestimmungen

1. Für die Zwecke von Artikel 77 Absatz 2 der Richtlinie 2009/138/EG werden Annahmen nur dann als realistisch betrachtet, wenn sie alle folgenden Bedingungen erfüllen:

  1. die Versicherungs- und Rückversicherungsunternehmen können jede einzelne Annahme erläutern und begründen, wobei sie der Bedeutung der jeweiligen Annahme, der Unsicherheit, mit der diese behaftet ist, sowie relevanten alternativen Annahmen Rechnung tragen;
  2. die Umstände, unter denen die Annahmen als falsch betrachtet würden, können eindeutig bestimmt werden;
  3. sofern in diesem Kapitel nichts anderes bestimmt ist, stützen sich diese Annahmen auf die Merkmale des Portfolios aus Versicherungs- und Rückversicherungsverpflichtungen - und zwar soweit möglich unabhängig von dem Versicherungs- oder Rückversicherungsunternehmen, das das Portfolio hält;
  4. die Versicherungs- und Rückversicherungsunternehmen nutzen die Annahmen im Zeitverlauf einheitlich und innerhalb homogener Risikogruppen und Geschäftsbereiche, ohne willkürliche Änderungen vorzunehmen;
  5. die Annahmen spiegeln jede Unsicherheit hinsichtlich der Zahlungsströme angemessen wider.

Für die Zwecke des Buchstabens c nutzen die Versicherungs- und Rückversicherungsunternehmen unternehmensspezifische Informationen, einschließlich Informationen zu Schadensregulierung und -aufwendungen, nur dann, wenn diese die Merkmale des Portfolios aus Versicherungs- oder Rückversicherungsverpflichtungen besser widerspiegeln als nicht auf das betreffende Unternehmen beschränkte Angaben oder wenn eine vorsichtige, verlässliche und objektive Berechnung der versicherungstechnischen Rückstellungen ohne diese Informationen nicht möglich ist.

2. Annahmen werden für die Zwecke von Artikel 77 Absatz 3 der Richtlinie 2009/138/EG nur dann verwendet, wenn sie mit Absatz 1 des vorliegenden Artikels in Einklang stehen.

3. Die Annahmen, die die Versicherungs- und Rückversicherungsunternehmen in Bezug auf künftige Finanzmarktparameter oder -szenarien treffen, sind angemessen und stehen mit Artikel 75 der Richtlinie 2009/138/EG in Einklang. Wenn die Versicherungs- und Rückversicherungsunternehmen für die Projektion künftiger Finanzmarktparameter ein Modell verwenden, so erfüllt dieses alle folgenden Anforderungen:

  1. es ermittelt für die Vermögenswerte Preise, die mit den an Finanzmärkten erzielten Preisen in Einklang stehen;
  2. es geht davon aus, dass keine Arbitragemöglichkeit besteht;
  3. die Kalibrierung der Parameter und Szenarien steht mit der zur Berechnung des besten Schätzwerts im Sinne von Artikel 77 Absatz 2 der Richtlinie 2009/138/EG verwendeten maßgeblichen risikolosen Zinskurve in Einklang.

Artikel 23 Künftige Maßnahmen des Managements

1. Für die Zwecke von Artikel 77 Absatz 2 der Richtlinie 2009/138/EG werden Annahmen zu künftigen Maßnahmen des Managements nur dann als realistisch betrachtet, wenn sie alle folgenden Bedingungen erfüllen:

  1. die Annahmen zu künftigen Maßnahmen des Managements werden objektiv bestimmt;
  2. die angenommenen künftigen Maßnahmen des Managements stehen mit der aktuellen Geschäftspraxis und Geschäftsstrategie des Versicherungs- oder Rückversicherungsunternehmens, einschließlich der angewandten Risikominderungstechniken, in Einklang; gibt es hinreichende Anzeichen dafür, dass das Unternehmen seine Praktiken oder Strategie ändern wird, stehen die angenommenen künftigen Maßnahmen des Managements mit den geänderten Praktiken oder der geänderten Strategie in Einklang;
  3. die angenommenen künftigen Maßnahmen des Managements stehen miteinander in Einklang;
  4. die angenommenen künftigen Maßnahmen des Managements laufen Verpflichtungen gegenüber den Versicherungsnehmern und Anspruchsberechtigten oder den für das Unternehmen geltenden rechtlichen Anforderungen nicht zuwider;
  5. die angenommenen künftigen Maßnahmen des Managements berücksichtigen alle öffentlichen Verlautbarungen des Versicherungs- oder Rückversicherungsunternehmens über die Maßnahmen, die es nach eigenen Erwartungen ergreifen bzw. nicht ergreifen wird.

2. Die Annahmen zu den künftigen Maßnahmen des Managements müssen realistisch sein und alles Folgende enthalten:

  1. einen Vergleich zwischen den angenommenen künftigen Maßnahmen des Managements und den zuvor vom Versicherungs- oder Rückversicherungsunternehmen getroffenen Managementmaßnahmen;
  2. einen Vergleich der künftigen Maßnahmen des Managements, die in den aktuellen und den vergangenen Berechnungen des besten Schätzwerts berücksichtigt wurden;
  3. eine Bewertung, wie sich Änderungen bei den Annahmen über die künftigen Maßnahmen des Managements auf den Wert der versicherungstechnischen Rückstellungen auswirken würden.

Auf Verlangen der Aufsichtsbehörden können die Versicherungs- und Rückversicherungsunternehmen jede maßgebliche Abweichung in Bezug auf die Ziffern i und ii erklären und in Fällen, in denen sich Änderungen bei den Annahmen über die künftigen Maßnahmen des Managements erheblich auf die versicherungstechnischen Rückstellungen auswirken, die Gründe für diese Sensitivität darlegen und erläutern, wie diese Sensitivität im Entscheidungsprozess des Versicherungs- oder Rückversicherungsunternehmens berücksichtigt wird.

3. Für die Zwecke des Absatzes 1 stellen die Versicherungs- und Rückversicherungsunternehmen einen umfassenden Plan für die künftigen Maßnahmen des Managements auf, der vom Verwaltungs-, Management- oder Aufsichtsorgan gebilligt wird und alles Folgende vorsieht:

  1. die Ermittlung der künftigen Maßnahmen des Managements, die für die Bewertung der versicherungstechnischen Rückstellungen relevant sind;
  2. die Ermittlung der spezifischen Umstände, unter denen das Versicherungs- oder Rückversicherungsunternehmen billigerweise davon ausgehen würde, dass es jede unter Buchstabe a genannte künftige Managementmaßnahme treffen wird;
  3. die Ermittlung der spezifischen Umstände, unter denen es dem Versicherungs- oder Rückversicherungsunternehmen u. U. nicht möglich ist, jede unter Buchstabe a genannte künftige Managementmaßnahme zu treffen, sowie eine Beschreibung, wie diesen Umständen bei der Berechnung der versicherungstechnischen Rückstellungen Rechnung getragen wird;
  4. die Reihenfolge, in der die unter Buchstabe a genannten künftigen Maßnahmen des Managements durchgeführt würden, und die für diese künftigen Maßnahmen des Managements geltenden Governance-Anforderungen;
  5. eine Beschreibung aller laufenden Arbeiten, die erforderlich sind um zu gewährleisten, dass das Versicherungs- oder Rückversicherungsunternehmen jede unter Buchstabe a genannte künftige Maßnahme des Managements wird treffen können;
  6. eine Erläuterung, wie die unter Buchstabe a genannten künftigen Maßnahmen des Managements bei der Berechnung des besten Schätzwerts berücksichtigt wurden;
  7. eine Beschreibung der anwendbaren, in die Berechnung des besten Schätzwerts einbezogenen internen Berichtsverfahren für die unter Buchstabe a genannten, künftigen Maßnahmen des Managements.

4. Bei den Annahmen zu den künftigen Maßnahmen des Managements werden die Zeit, die für die Umsetzung dieser Maßnahmen erforderlich ist, sowie alle damit verbundenen Aufwendungen berücksichtigt.

5. Das System, das die Weiterleitung von Informationen gewährleisten soll, wird für die Zwecke des Artikels 41 Absatz 1 der Richtlinie 2009/138/EG nur dann als wirksam betrachtet, wenn die in Absatz 3 Buchstabe g genannten Berichtsverfahren zumindest eine jährliche Mitteilung an das Verwaltungs-, Aufsichts- oder Managementorgan vorsehen.

Artikel 24 Künftige Überschussbeteiligungen

Hängen die künftigen Überschussbeteiligungen von den vom Versicherungs- oder Rückversicherungsunternehmen gehaltenen Vermögenswerten ab, stützen sich die Unternehmen bei der Berechnung des besten Schätzwerts auf die zu diesem Zeitpunkt von ihnen gehaltenen Vermögenswerte und bei ihren Annahmen zu künftigen Änderungen bei der Vermögenswertallokation auf Artikel 23. Die Annahmen zur künftigen Rendite dieser Vermögenswerte stehen mit der maßgeblichen risikolosen Zinskurve, die gegebenenfalls eine Matching-Anpassung, eine Volatilitätsanpassung oder eine Übergangsmaßnahme beim risikolosen Zinssatz umfasst, sowie der Bewertung der Vermögenswerte nach Artikel 75 der Richtlinie 2009/138/EG in Einklang.

Artikel 25 Getrennte Berechnung der künftigen Überschussbeteiligungen

Bei der Berechnung der versicherungstechnischen Rückstellungen wird der Wert der künftigen Überschussbeteiligungen von den Versicherungs- und Rückversicherungsunternehmen getrennt bestimmt.

Artikel 26 Verhalten der Versicherungsnehmer

Bei der Bestimmung der Wahrscheinlichkeit, dass die Versicherungsnehmer vertragliche Optionen, einschließlich Storno- und Rückkaufsmöglichkeiten, wahrnehmen, analysieren die Versicherungs- und Rückversicherungsunternehmen das frühere Verhalten der Versicherungsnehmer und bewerten prospektiv das erwartete Verhalten. Bei dieser Analyse wird Folgendem Rechnung getragen:

  1. der Frage, wie vorteilhaft die Ausübung der Optionen für den Versicherungsnehmer unter den zum Zeitpunkt der Ausübung herrschenden Umständen war und künftig sein wird;
  2. dem Einfluss vergangener und künftiger wirtschaftlicher Rahmenbedingungen;
  3. den Auswirkungen vergangener und künftiger Maßnahmen des Managements;
  4. allen anderen etwaigen Umständen, die die Entscheidungen der Versicherungsnehmer über die Wahrnehmung einer Option beeinflussen dürften.

Dass die Wahrscheinlichkeit von den unter den Buchstaben a bis d genannten Elementen unabhängig ist, wird nur dann angenommen, wenn empirische Nachweise eine solche Annahme stützen.

Unterabschnitt 2
Der Berechnung der besten Schätzwerte zugrunde liegende Informationen

Artikel 27 Glaubwürdigkeit der Informationen

Informationen werden nur dann als glaubwürdig für die Zwecke des Artikels 77 Absatz 2 der Richtlinie 2009/138/EG betrachtet, wenn die Versicherungs- und Rückversicherungsunternehmen Nachweise für deren Glaubwürdigkeit erbringen und dabei der Kohärenz und Objektivität dieser Informationen, der Zuverlässigkeit der Informationsquelle und der Transparenz der Methode zur Generierung und Verarbeitung der Informationen Rechnung tragen.

Unterabschnitt 3
Zahlungsstromprojektionen für die Berechnung des besten Schätzwerts

Artikel 28 Zahlungsströme

Die bei der Berechnung des besten Schätzwerts zugrunde gelegte Zahlungsstrom-Projektion umfasst alle nachstehend genannten Zahlungsströme, soweit diese bestehende Versicherungs- und Rückversicherungsverträge betreffen:

  1. an Versicherungsnehmer und Anspruchsberechtigte zu zahlende Leistungen;
  2. Zahlungen, die beim Versicherungs- oder Rückversicherungsunternehmen durch die Bereitstellung vertraglicher Naturalleistungen anfallen;
  3. Zahlung der in Artikel 78 Nummer 1 der Richtlinie 2009/138/EG genannten Aufwendungen;
  4. Prämienzahlungen und alle etwaigen zusätzlichen aus diesen Prämien resultierenden Zahlungsströme;
  5. Zahlungen zwischen dem Versicherungs- oder Rückversicherungsunternehmen und Versicherungsvermittlern, die Versicherungs- oder Rückversicherungsverpflichtungen betreffen;
  6. Zahlungen zwischen dem Versicherungs- oder Rückversicherungsunternehmen und Wertpapierfirmen, die Verträge mit index- und fondsgebundenen Leistungen betreffen;
  7. Rückforderungen und Regressbeträge ("salvage and subrogation"), soweit diese nicht gemäß den von der Kommission gemäß der Verordnung (EG) Nr. 1606/2002 übernommenen Internationalen Rechnungslegungsstandards als separate Vermögenswerte oder Verbindlichkeiten einzustufen sind;
  8. Steuerzahlungen, die die Versicherungsnehmer leisten müssen oder voraussichtlich leisten müssen, oder die zur Erfüllung der Versicherungs- oder Rückversicherungsverpflichtungen erforderlich sind.

Artikel 29 Erwartete künftige Entwicklungen bei den externen Rahmenbedingungen

Bei der Berechnung des besten Schätzwerts werden erwartete künftige Entwicklungen berücksichtigt, die sich wesentlich auf die Zahlungszu- und -abflüsse auswirken, die zur Erfüllung der Versicherungs- und Rückversicherungsverpflichtungen während der gesamten Laufzeit erforderlich sind. In diesem Sinne umfassen künftige Entwicklungen demografische, rechtliche, medizinische, technologische, soziale, ökologische und wirtschaftliche Entwicklungen einschließlich Inflation gemäß Artikel 78 Nummer 2 der Richtlinie 2009/138/EG.

Artikel 30 Ungewissheit der Zahlungsströme

Die bei der Berechnung des besten Schätzwerts zugrunde gelegte Zahlungsstrom-Projektion trägt explizit oder implizit allen Unsicherheiten bei den Zahlungsströmen Rechnung, einschließlich Folgender:

  1. Ungewissheit über den Eintrittszeitpunkt, die Häufigkeit und die Schwere der versicherten Ereignisse;
  2. Ungewissheit über die Höhe der Versicherungsansprüche, einschließlich einer etwaigen Inflation, sowie über den für die Schadensregulierung und -vergütung benötigten Zeitraum;
  3. Ungewissheit über die Höhe der in Artikel 78 Nummer 1 der Richtlinie 2009/138/EG genannten Aufwendungen;
  4. Unsicherheit über die in Artikel 29 genannten erwarteten künftigen Entwicklungen, sofern praktikabel;
  5. Ungewissheit über das Verhalten der Versicherungsnehmer;
  6. wechselseitige Abhängigkeit zwischen zwei oder mehr Ursachen für Ungewissheit;
  7. Abhängigkeit der Zahlungsströme von Gegebenheiten vor dem Zeitpunkt des Zahlungsstroms.

Artikel 31 Aufwendungen

1. Bei einer zur Berechnung des besten Schätzwerts verwendeten Zahlungsstrom-Projektion werden alle nachstehend genannten Aufwendungen berücksichtigt, die mit angesetzten Versicherungs- und Rückversicherungsverpflichtungen von Versicherungs- und Rückversicherungsunternehmen zusammenhängen und in Artikel 78 Nummer 1 der Richtlinie 2009/138/EG genannt sind:

  1. Aufwendungen für Verwaltung;
  2. Aufwendungen für Anlageverwaltung;
  3. Aufwendungen für Schadensregulierung;
  4. Aufwendungen für Anschaffungen.

Die unter den Buchstaben a bis d genannten Aufwendungen tragen den bei der Bedienung von Versicherungs- und Rückversicherungsverpflichtungen anfallenden Gemeinkosten Rechnung.

2. Gemeinkosten werden den Bestandteilen des besten Schätzwerts, auf die sie sich beziehen, nach realistischen und objektiven Kriterien und im Zeitverlauf einheitlich zugeordnet.

3. Aufwendungen für Rückversicherungsverträge und Zweckgesellschaften werden bei der Bruttoberechnung des besten Schätzwerts berücksichtigt.

4. Bei der Projektion von Aufwendungen wird von der Annahme ausgegangen, dass das Unternehmen künftig neue Geschäfte abschließen wird.

Artikel 32 Vertragliche Optionen und finanzielle Garantien

Bei der Berechnung des besten Schätzwerts berücksichtigen die Versicherungs- und Rückversicherungsunternehmen Folgendes:

  1. alle in ihren Versicherungs- und Rückversicherungsverträgen enthaltenen finanziellen Garantien und vertraglichen Optionen;
  2. alle Faktoren, die die Wahrscheinlichkeit, dass die Versicherungsnehmer vertragliche Optionen wahrnehmen oder den Wert von finanziellen Garantien realisieren, beeinflussen könnten.

Artikel 33 Währung der Verpflichtung

Für Zahlungsströme in verschiedenen Währungen wird der beste Schätzwert getrennt berechnet.

Artikel 34 Berechnungsmethoden

1. Der beste Schätzwert wird transparent und in einer Weise berechnet, die gewährleistet, dass die Berechnungsmethode und die daraus hervorgehenden Ergebnisse der Überprüfung eines qualifizierten Experten standhalten.

2. Kriterium für die Wahl der versicherungsmathematischen und statistischen Methoden für die Berechnung des besten Schätzwerts ist, ob diese den Risiken für die zugrunde liegenden Zahlungsströme und der Art der Versicherungs- und Rückversicherungsverpflichtungen angemessen Rechnung tragen. Die versicherungsmathematischen und statistischen Methoden stehen mit allen für die Berechnung des besten Schätzwerts zur Verfügung stehenden relevanten Daten in Einklang und nutzen diese.

3. Stützt sich eine Berechnungsmethode auf die Daten gruppierter Verträge, so stellen die Versicherungs- und Rückversicherungsunternehmen sicher, dass bei der Gruppierung von Verträgen homogene Risikogruppen entstehen, die die Risiken der in diesen Gruppen enthaltenen Einzelverträge angemessen widerspiegeln.

4. Die Versicherungs- und Rückversicherungsunternehmen analysieren, in welchem Umfang der Barwert von Zahlungsströmen sowohl vom erwarteten Ergebnis künftiger Ereignisse und Entwicklungen als auch davon abhängt, wie bei bestimmten Szenarien das tatsächliche Ergebnis vom erwarteten Ergebnis abweichen könnte.

5. Hängt der Barwert von Zahlungsströmen gemäß Absatz 4 von künftigen Ereignissen oder Entwicklungen ab, so verwenden die Versicherungs- und Rückversicherungsunternehmen für die Berechnung des besten Schätzwerts für Zahlungsströme eine Methode, die diesen Abhängigkeiten Rechnung trägt.

Artikel 35 Homogene Risikogruppen von Lebensversicherungsverpflichtungen

Die bei der Berechnung der besten Schätzwerte für Lebensversicherungsverpflichtungen verwendeten Zahlungsstrom- Projektionen werden für jeden Versicherungsvertrag gesondert durchgeführt. Würde eine solche vertragsweise Berechnung das Versicherungs- oder Rückversicherungsunternehmen ungebührlich belasten, kann es für die Projektion Verträge zu Gruppen zusammenfassen, sofern die Gruppierung alle folgenden Anforderungen erfüllt:

  1. Art und Komplexität der Risiken, die den Versicherungsverträgen derselben Gruppe zugrunde liegen, unterscheiden sich nicht wesentlich;
  2. die Gruppierung der Versicherungsverträge hat keine fehlerhafte Darstellung der den Versicherungsverträgen zugrunde liegenden Risiken und keine fehlerhafte Angabe der mit ihnen verbundenen Aufwendungen zur Folge;
  3. die Gruppierung der Versicherungsverträge führt bei der Berechnung des besten Schätzwerts wahrscheinlich zu annähernd denselben Ergebnissen wie eine Berechnung für jeden einzelnen Vertrag, insbesondere bezüglich der in den Verträgen enthaltenen finanziellen Garantien und vertraglichen Optionen.

Artikel 36 Nichtlebensversicherungsverpflichtungen

1. Der beste Schätzwert für Nichtlebensversicherungsverpflichtungen wird für die Prämienrückstellung und die Schadenrückstellung getrennt berechnet.

2. Die Prämienrückstellung gilt für künftige Schadensfälle, die durch Versicherungs- und Rückversicherungsverpflichtungen, die innerhalb der in Artikel 18 genannten Vertragsgrenzen liegen, gedeckt sind. Zahlungsstrom-Projektionen für die Berechnung der Prämienrückstellung schließen Leistungen, Aufwendungen und Prämien im Zusammenhang mit diesen Schadenfällen ein.

3. Die Schadenrückstellung gilt für bereits eingetretene Schadenfälle unabhängig davon, ob die aus diesen Schadenfällen resultierenden Ansprüche angemeldet wurden oder nicht.

4. Zahlungsstrom-Projektionen für die Berechnung der Schadenrückstellung schließen Leistungen, Aufwendungen und Prämien im Zusammenhang mit den in Absatz 3 genannten Schadenfällen ein.

Unterabschnitt 4
Risikomarge

Artikel 37 Berechnung der Risikomarge

1. Die Risikomarge für das gesamte Portfolio von Versicherungs- und Rückversicherungsverpflichtungen errechnet sich wie folgt:

Dabei gilt:

  1. CoC = Kapitalkostensatz;
  2. die Summe umfasst alle ganzen Zahlen einschließlich Null;
  3. SCR(t) = die in Artikel 38 Absatz 2 genannte Solvenzkapitalanforderung nach t Jahren;
  4. r(t + 1) = risikoloser Basiszinssatz für die Laufzeit t+1 Jahre.

Der risikolose Basiszinssatz r(t+1) wird gemäß der im Abschluss des Versicherungs- oder Rückversicherungsunternehmens verwendeten Währung gewählt.

2. Wenn Versicherungs- und Rückversicherungsunternehmen ihre Solvenzkapitalanforderung mit Hilfe eines genehmigten internen Modells berechnen und feststellen, dass das Modell für jeden Zeitpunkt der Laufzeit der Versicherungs- und Rückversicherungsverpflichtungen zur Berechnung der in Artikel 38 Absatz 2 genannten Solvenzkapitalanforderung geeignet ist, verwenden sie das interne Modell zur Berechnung der in Absatz 1 genannten Beträge SCR(t).

3. Die Versicherungs- und Rückversicherungsunternehmen ordnen die Risikomarge für das gesamte Portfolio von Versicherungs- und Rückversicherungsverpflichtungen den in Artikel 80 der Richtlinie 2009/138/EG genannten Geschäftsbereichen zu. Die Zuordnung spiegelt die Beiträge der Geschäftsbereiche zu der in Artikel 38 Absatz 2 genannten Solvabilitätskapitalanforderung über die Laufzeit des gesamten Portfolios von Versicherungs- und Rückversicherungsverpflichtungen adäquat wider.

Artikel 38 Referenzunternehmen

1. Bei der Berechnung der Risikomarge werden alle folgenden Annahmen zugrunde gelegt:

  1. das gesamte Portfolio von Versicherungs- und Rückversicherungsverpflichtungen des Versicherungs- oder Rückversicherungsunternehmens, das die Risikomarge berechnet (ursprüngliches Unternehmen), wird von einem anderen Versicherungs- oder Rückversicherungsunternehmen (Referenzunternehmen) übernommen;
  2. unbeschadet des Buchstabens a werden für den Fall, dass das ursprüngliche Unternehmen gemäß Artikel 73 Absatz 5 der Richtlinie 2009/138/EG gleichzeitig Lebens- und Nichtlebensversicherungstätigkeiten ausübt, das Portfolio der Versicherungsverpflichtungen in der Lebensversicherung und der Lebensrückversicherungsverpflichtungen und das Portfolio der Versicherungsverpflichtungen in der Nichtlebensversicherung und der Nichtlebensrückversicherungsverpflichtungen einzeln von zwei verschiedenen Referenzunternehmen übernommen;
  3. die Übertragung der Versicherungs- und Rückversicherungsverpflichtungen umfasst alle Rückversicherungsverträge und Vereinbarungen, die in Bezug auf diese Verpflichtungen mit Zweckgesellschaften bestehen;
  4. das Referenzunternehmen hat vor der Übertragung weder Versicherungs- oder Rückversicherungsverpflichtungen noch Eigenmittel;
  5. nach der Übertragung geht das Referenzunternehmen keine neuen Versicherungs- oder Rückversicherungsverpflichtungen ein;
  6. nach der Übertragung beschafft das Referenzunternehmen anrechnungsfähige Eigenmittel in Höhe der Solvenzkapitalanforderung, die zur Bedeckung der Versicherungs- und Rückversicherungsverpflichtungen während ihrer Laufzeit erforderlich sind;
  7. nach der Übertragung verfügt das Referenzunternehmen über Vermögenswerte, die der Summe aus seiner Solvenzkapitalanforderung und den versicherungstechnischen Rückstellungen nach Abzug der aus Rückversicherungsverträgen und von Zweckgesellschaften einforderbaren Beträgen entsprechen;
  8. die Vermögenswerte werden so ausgewählt, dass sie die Solvenzkapitalanforderung für das Marktrisiko, dem das Referenzunternehmen ausgesetzt ist, minimieren;
  9. die Solvenzkapitalanforderung des Referenzunternehmens erfasst alle folgenden Risiken:
    1. das mit dem übertragenen Geschäft verbundene versicherungstechnische Risiko;
    2. sofern wesentlich, das unter Buchstabe h genannte Marktrisiko außer dem Zinsrisiko;
    3. das Kreditrisiko bei Rückversicherungsverträgen, Vereinbarungen mit Zweckgesellschaften, Versicherungsvermittlern und Versicherungsnehmern sowie jede andere wesentliche Risikoposition, die eng mit den Versicherungs- und Rückversicherungsverpflichtungen verbunden ist;
    4. das operationelle Risiko;
  10. die in Artikel 108 der Richtlinie 2009/138/EG genannte Verlustausgleichsfähigkeit der versicherungstechnischen Rückstellungen entspricht bei dem Referenzunternehmen für jedes Risiko der Verlustausgleichsfähigkeit der versicherungstechnischen Rückstellungen im ursprünglichen Unternehmen;
  11. in Bezug auf latente Steuern verfügt das Referenzunternehmen nicht über Verlustausgleichsfähigkeit gemäß Artikel 108 der Richtlinie 2009/138/EG;
  12. vorbehaltlich der Buchstaben e und f werden die künftigen Maßnahmen des Managements des Referenzunternehmens mit den in Artikel 23 genannten angenommenen künftigen Maßnahmen des Managements des ursprünglichen Unternehmens in Einklang stehen.

2. Während der Laufzeit der Versicherungs- und Rückversicherungsverpflichtungen wird unter den in Absatz 1 dargelegten Annahmen davon ausgegangen, dass die in Artikel 77 Absatz 5 der Richtlinie 2009/138/EG genannte Solvenzkapitalanforderung, die zur Bedeckung der Versicherungs- und Rückversicherungsverpflichtungen erforderlich ist, der Solvenzkapitalanforderung des Referenzunternehmens entspricht.

3. Für die Zwecke des Absatzes 1 Buchstabe i wird ein Risiko dann als wesentlich betrachtet, wenn seine Auswirkungen auf die Berechnung der Risikomarge den Entscheidungsprozess oder das Urteil der Nutzer dieser Informationen, einschließlich der Aufsichtsbehörden, beeinflussen könnte.

Artikel 39 Kapitalkostensatz

Es wird davon ausgegangen, dass der in Artikel 77 Absatz 5 der Richtlinie 2009/138/EG genannte Kapitalkostensatz 6 % beträgt.

Unterabschnitt 5
Berechnung der versicherungstechnischen Rückstellungen insgesamt

Artikel 40 Umstände, unter denen die versicherungstechnischen Rückstellungen insgesamt zu berechnen sind, und dabei zu verwendende Methode

1. Für die Zwecke von Artikel 77 Absatz 4 Unterabsatz 2 der Richtlinie 2009/138/EG wird die Verlässlichkeit nach den Absätzen 2 und 3 des vorliegenden Artikels und werden die versicherungstechnischen Rückstellungen nach Absatz 4 des vorliegenden Artikels bewertet.

2. Die Nachbildung von Zahlungsströmen wird als verlässlich betrachtet, wenn die Zahlungsströme hinsichtlich Höhe und Zeitpunkt den ihnen zugrunde liegenden Risiken für alle möglichen Szenarien nachgebildet werden. Nicht verlässlich nachbilden lassen sich folgende mit Versicherungs- oder Rückversicherungsverpflichtungen in Verbindung stehenden Zahlungsströme:

  1. Zahlungsströme in Verbindung mit Versicherungs- oder Rückversicherungsverpflichtungen, die von der Wahrscheinlichkeit abhängen, dass Versicherungsnehmer vertragliche Optionen, einschließlich Storno- und Rückkaufsmöglichkeiten, wahrnehmen;
  2. Zahlungsströme in Verbindung mit Versicherungs- oder Rückversicherungsverpflichtungen, die von der Höhe, dem Trend oder der Volatilität der Sterblichkeits-, Invaliditäts-, Krankheits- und Morbiditätsraten abhängen;
  3. alle bei der Bedienung der Versicherungs- und Rückversicherungsverpflichtungen künftig anfallenden Aufwendungen.

3. Finanzinstrumente werden als Finanzinstrumente betrachtet, für die ein verlässlicher Marktwert ermittelt werden kann, wenn sie an einem aktiven, tiefen, liquiden und transparenten Markt gehandelt werden. Darüber hinaus müssen aktive Märkte die in Artikel 10 Absatz 4 genannten Bedingungen erfüllen.

4. Die Versicherungs- und Rückversicherungsunternehmen bestimmen den Wert der versicherungstechnischen Rückstellungen anhand des Marktpreises der bei der Nachbildung zugrunde gelegten Finanzinstrumente.

Unterabschnitt 6
Aus Rückversicherungsverträgen und von Zweckgesellschaften einforderbare Beträge

Artikel 41 Allgemeine Bestimmungen

1. Die aus Rückversicherungsverträgen und von Zweckgesellschaften einforderbaren Beträge werden im Rahmen der Grenzen der Versicherungs- oder Rückversicherungsverträge berechnet, auf die sich diese Beträge beziehen.

2. Die von Zweckgesellschaften einforderbaren Beträge, die aus Finanzrückversicherungsverträgen im Sinne von Artikel 210 der Richtlinie 2009/138/EG einforderbaren Beträge und die aus anderen Rückversicherungsverträgen einforderbaren Beträge werden jeweils gesondert berechnet. Die von einer Zweckgesellschaft einforderbaren Beträge dürfen nicht über die aggregierte maximale Risikoposition dieser Zweckgesellschaft gegenüber dem Versicherungs- oder Rückversicherungsunternehmen hinausgehen.

3. Für die Zwecke der Berechnung der aus Rückversicherungsverträgen und von Zweckgesellschaften einforderbaren Beträge umfassen Zahlungsströme nur Zahlungen, die die Regulierung von Versicherungsfällen und nicht regulierte Versicherungsansprüche betreffen. Zahlungen im Zusammenhang mit anderen Versicherungsfällen oder regulierten Versicherungsansprüchen sind nicht als aus Rückversicherungsverträgen und von Zweckgesellschaften einforderbare Beträge oder andere Elemente der versicherungstechnischen Rückstellungen anzusehen. Wurde für die Zahlungsströme ein Depot angelegt, werden die einforderbaren Beträge entsprechend angepasst, damit die Vermögenswerte und Verbindlichkeiten, auf die sich das Depot bezieht, nicht doppelt gezählt werden.

4. Die aus Rückversicherungsverträgen und von Zweckgesellschaften einforderbaren Beträge für Nichtlebensversicherungsverpflichtungen werden für die Prämienrückstellungen und die Schadenrückstellungen getrennt wie folgt berechnet:

  1. Die Zahlungsströme im Zusammenhang mit Schadenrückstellungen umfassen die Ausgleichszahlungen für die Ansprüche, die in den Brutto-Schadenrückstellungen des Versicherungs- oder Rückversicherungsunternehmens, das die Risiken abgibt, berücksichtigt sind;
  2. die Zahlungsströme im Zusammenhang mit Prämienrückstellungen umfassen alle anderen Zahlungen.

5. Wenn Zahlungsströme von den Zweckgesellschaften an das Versicherungs- oder Rückversicherungsunternehmen nicht direkt von den Ansprüchen gegenüber dem Versicherungs- oder Rückversicherungsunternehmen, das die Risiken abtritt, abhängig sind, werden die von diesen Zweckgesellschaften einforderbaren Beträge für künftige Ansprüche nur insoweit berücksichtigt, wie auf vorsichtige, verlässliche und objektive Art und Weise überprüft werden kann, dass die strukturelle Inkongruenz zwischen den Ansprüchen und den einforderbaren Beträgen nicht wesentlich ist.

Artikel 42 Anpassung für das Gegenparteiausfallrisiko

1. Anpassungen zur Berücksichtigung von aufgrund des Ausfalls einer Gegenpartei erwarteten Verlusten im Sinne von Artikel 81 der Richtlinie 2009/138/EG werden getrennt von den übrigen einforderbaren Beträgen berechnet.

2. Die Anpassung zur Berücksichtigung von aufgrund des Ausfalls einer Gegenpartei erwarteten Verlusten wird als erwarteter Barwert der aus einem Ausfall der Gegenpartei - unabhängig davon, ob dieser auf Insolvenz oder Rechtsstreitigkeiten beruht,- zu einem bestimmten Zeitpunkt resultierenden Veränderung der Zahlungsströme berechnet, die den von dieser Gegenpartei einforderbaren Beträgen zugrunde liegen. Die Auswirkungen von Techniken zur Minderung des Kreditrisikos der Gegenpartei, die nicht auf dem Halten von Sicherheiten basieren, werden in der Veränderung der Zahlungsströme zu diesem Zweck nicht berücksichtigt. Die nicht berücksichtigten Risikominderungstechniken werden - ohne Erhöhung der aus Rückversicherungsverträgen und von Zweckgesellschaften einforderbaren Beträge - getrennt erfasst.

3. Bei der Berechnung nach Absatz 2 werden mögliche Zahlungsausfälle während der Laufzeit des Rückversicherungsvertrags oder der Vereinbarung mit der Zweckgesellschaft sowie mögliche Schwankungen der Ausfallwahrscheinlichkeit im Laufe der Zeit berücksichtigt. Die Berechnung wird für jede Gegenpartei und jeden Geschäftsbereich getrennt vorgenommen. Im Bereich der Nichtlebensversicherung wird die Berechnung zudem getrennt nach Prämienrückstellungen und Schadenrückstellungen durchgeführt.

4. Der durchschnittliche Verlust aufgrund des Ausfalls einer Gegenpartei nach Artikel 81 der Richtlinie 2009/138/EG wird mit mindestens 50 % der einforderbaren Beträge ohne Berücksichtigung der Anpassung gemäß Absatz 1 angesetzt, es sei denn, es besteht eine zuverlässige Grundlage für eine andere Bewertung.

5. Die Ausfallwahrscheinlichkeit einer Zweckgesellschaft wird auf der Grundlage des Kreditrisikos berechnet, das den von der Zweckgesellschaft gehaltenen Vermögenswerten inhärent ist.

Abschnitt 4
Massgebliche risikolose Zinskurve

Unterabschnitt 1
Allgemeine Bestimmungen

Artikel 43 Allgemeine Bestimmungen19

(1) Die Sätze der risikolosen Basiszinskurve müssen alle folgenden Kriterien erfüllen:

  1. Versicherungs- und Rückversicherungsunternehmen können die Sätze in der Praxis risikolos verdienen;
  2. die Sätze werden zuverlässig anhand von Finanzinstrumenten ermittelt, die in einem tiefen, liquiden und transparenten Finanzmarkt gehandelt werden.

Die Sätze der maßgeblichen risikolosen Zinskurve werden für jede Währung und Fälligkeit getrennt auf der Grundlage aller relevanten Daten und Informationen über die betreffende Währung und Fälligkeit berechnet.

(2) Die Techniken, Datenspezifikationen und Parameter, die zur Bestimmung der in Artikel 77e Absatz 1 der Richtlinie 2009/138/EG genannten technischen Informationen über die maßgebliche risikolose Zinskurve herangezogen werden, wie der endgültige Forwardzinssatz, der letzte Fälligkeitstermin, für den die maßgebliche risikolose Zinskurve nicht extrapoliert wird, und die Dauer ihrer Konvergenz gegen den endgültigen Forwardzinssatz sind transparent, vorsichtig, verlässlich, objektiv und im Zeitverlauf konsistent.

(3) Die EIOPa unterrichtet die Kommission über jede wesentliche Änderung bei den zur Bestimmung der technischen Informationen über die maßgebliche risikolose Zinskurve herangezogenen Daten. Als wesentlich gilt jede Änderung, die bewirkt, dass die Techniken, Datenspezifikationen oder Parameter wie der endgültige Forwardzinssatz, der letzte Fälligkeitstermin, für den die maßgebliche risikolose Basiszinskurve nicht extrapoliert wird, oder die Dauer ihrer Konvergenz gegen den endgültigen Forwardzinssatz, ihren Zweck nicht mehr erfüllen.

(4) Sollte es zu einer wesentlichen Datenänderung gemäß Absatz 3 kommen, kann die EIOPa der Kommission einen Vorschlag vorlegen, in dem diese Techniken, Datenspezifikationen oder Parameter soweit geändert werden wie es erforderlich ist, damit sie ihren Zweck erneut erfüllen, wobei die Änderungen in einem proportionalen Verhältnis zu der betreffenden wesentlichen Änderung stehen müssen. Diesem Vorschlag ist eine Angemessenheits- und Folgenabschätzung beizufügen.

(5) Um zu gewährleisten, dass die Sätze der maßgeblichen risikolosen Zinskurve auf transparente, vorsichtige, verlässliche und objektive, im Zeitverlauf konsistente Weise bestimmt werden, wird die Änderung einer Technik, einer Datenspezifikation oder eines Parameters wie des endgültigen Forwardzinssatzes, des letzten Fälligkeitstermins, für den die risikolose Basiszinskurve nicht extrapoliert wird, oder der Dauer ihrer Konvergenz gegen den endgültigen Forwardzinssatz auf Aufforderung der Kommission von der EIOPa vorgenommen.

Unterabschnitt 2
Risikolose Basiszinskurve

Artikel 44 Maßgebliche Finanzinstrumente zur Ableitung der risikolosen Basiszinssätze

1. Der risikolose Basiszinssatz wird für jede Währung und Fälligkeit von den zur Berücksichtigung des Kreditrisikos angepassten Zinssätzen der Zinsswaps für die betreffenden Währungen abgeleitet.

2. Sind für bestimmte Fälligkeiten keine Zinssätze für Zinsswaps von tiefen, liquiden und transparenten Finanzmärkten verfügbar, so werden die risikolosen Basiszinssätze für jede Währung von den zur Berücksichtigung des Kreditrisikos der Staatsanleihen angepassten Zinssätzen der Zinsswaps für die betreffenden Währungen abgeleitet, sofern solche Zinssätze für Staatsanleihen von tiefen, liquiden und transparenten Finanzmärkten verfügbar sind.

Artikel 45 Anpassung an Swapsätze für das Kreditrisiko

Die Anpassung für das Kreditrisiko gemäß Artikel 44 Absatz 1 erfolgt auf transparente, vorsichtige, verlässliche und objektive sowie im Zeitverlauf konsistente Art und Weise. Die Anpassung wird auf Basis der Differenz zwischen Sätzen, die das Kreditrisiko im variablen Teil des Swapzinssatzes abbilden, und Übernachtindex-Swapsätzen derselben Fälligkeit bestimmt, sofern beide Zinssätze von tiefen, liquiden und transparenten Märkten verfügbar sind. Die Berechnung der Anpassung basiert auf 50 % des Mittelwertes dieser Differenz über einen Einjahreszeitraum. Die Anpassung darf nicht weniger als 10 und nicht mehr als 35 Basispunkte betragen.

Artikel 46 Extrapolation

1. Die Extrapolation der maßgeblichen risikolosen Zinskurve erfolgt für alle Währungen anhand der gleichen Grundsätze. Dies gilt auch für die Bestimmung der längsten Laufzeiten, für die sich Zinssätze auf tiefen, liquiden und transparenten Märkten beobachten lassen, und den Mechanismus zur Gewährleistung einer reibungslosen Konvergenz gegen den endgültigen Forwardzinssatz.

2. Wenden Versicherungs- und Rückversicherungsunternehmen die Bestimmungen von Artikel 77d der Richtlinie 2009/138/EG an, erfolgt die Extrapolation auf die risikolosen Zinssätze einschließlich einer Volatilitätsanpassung nach dem genannten Artikel.

3. Wenden Versicherungs- und Rückversicherungsunternehmen die Bestimmungen von Artikel 77b der Richtlinie 2009/138/EG an, basiert die Extrapolation auf den risikolosen Zinssätzen ohne Matching-Anpassung. Die Matching- Anpassung nach dem genannten Artikel wird auf die extrapolierten risikolosen Zinssätze angewandt.

Artikel 47 Endgültiger Forwardzinssatz

1. Der in Artikel 46 Absatz 1 genannte endgültige Forwardzinssatz muss für jede Währung im Zeitverlauf stabil sein und ändert sich nur bei Veränderungen der langfristigen Erwartungen. Die Methodik zur Ableitung des endgültigen Forwardzinssatzes wird eindeutig festgelegt, um die Qualität der szenariobasierten Berechnungen der Versicherungs- und Rückversicherungsunternehmen zu gewährleisten. Sie wird auf transparente, vorsichtige, verlässliche und objektive sowie im Zeitverlauf konsistente Art und Weise bestimmt.

2. Beim endgültigen Forwardzinssatz wird für jede Währung den Erwartungen hinsichtlich der langfristigen realen Zinssätze und der erwarteten Inflation Rechnung getragen, insofern diese Erwartungen für die betreffende Währung zuverlässig ermittelt werden können. Der endgültige Forwardzinssatz umfasst keine Laufzeitprämie zur Berücksichtigung des zusätzlichen Risikos langfristiger Investitionen.

Artikel 48 Die risikolose Basiszinskurve für an den Euro gekoppelte Währungen

1. Bei Währungen, die an den Euro gekoppelt sind, kann bei der Ermittlung des besten Schätzwerts für auf die betreffende Währung lautende Versicherungs- oder Rückversicherungsverpflichtungen die um das Währungsrisiko bereinigte Zinskurve des risikolosen Basiszinssatzes verwendet werden, sofern alle nachstehend genannten Bedingungen erfüllt sind:

  1. Die Kopplung gewährleistet, dass der Wechselkurs zwischen der betreffenden Währung und dem Euro innerhalb eines Bereichs von höchstens 20 % der Obergrenze der Bandbreite bleibt;
  2. die Wirtschaftslage im Euro-Währungsgebiet und dem Gebiet der betreffenden Währung ist hinreichend ähnlich, um zu gewährleisten, dass sich die Zinssätze für diese Währung und den Euro in ähnlicher Weise entwickeln;
  3. durch die Kopplungsvereinbarung wird sichergestellt, dass relative Veränderungen des Wechselkurses über den Zeitraum eines Jahres die unter Buchstabe a genannte Bandbreite im Falle extremer Marktereignisse nicht überschreiten, entsprechend dem in Artikel 101 Absatz 3 der Richtlinie 2009/138/EG festgelegten Konfidenzniveau;
  4. eines der folgenden Kriterien trifft zu:
    1. Teilnahme der Währung am Europäischen Wechselkursmechanismus (WKM II);
    2. Vorliegen eines Beschlusses des Rates, in dem die Vereinbarung über die Kopplung der Währung an den Euro anerkannt wird;
    3. gesetzliche Verankerung der Kopplungsvereinbarung in den Rechtsvorschriften des betreffenden Landes zur Schaffung der Landeswährung.

Für die Zwecke von Buchstabe c wird den finanziellen Ressourcen der Parteien, die die Währungskopplung garantieren, Rechnung getragen.

2. Die Anpassung für das Wechselkursrisiko ist negativ und entspricht den Kosten einer Absicherung gegen das Risiko, dass sich der Wert einer Kapitalanlage in Euro in der gekoppelten Währung aufgrund von Wechselkursänderungen zwischen dem Euro und der gekoppelten Währung verringert. Die Anpassung ist für alle Versicherungs- und Rückversicherungsunternehmen gleich.

Unterabschnitt 3
Volatilitätsanpassung

Artikel 49 Referenzportfolios

1. Die in Artikel 77d Absätze 2 und 4 der Richtlinie 2009/138/EG genannten Referenzportfolios werden auf transparente, vorsichtige, verlässliche und objektive sowie im Zeitverlauf konsistente Art und Weise bestimmt. Die Bestimmung der Referenzportfolios erfolgt für alle Währungen und Länder anhand der gleichen Methoden.

2. Die Vermögenswerte des Referenzportfolios werden für jede Währung und jedes Land gemäß Artikel 10 Absatz 1 bewertet und auf Märkten gehandelt, die außer in Phasen hohen Liquiditätsdrucks die Anforderungen von Artikel 40 Absatz 3 erfüllen. Finanzinstrumente, die an Märkten gehandelt werden, die die Anforderungen von Artikel 40 Absatz 3 vorübergehend nicht erfüllen, können nur in das Portfolio aufgenommen werden, wenn davon ausgegangen wird, dass der Markt die Kriterien innerhalb einer angemessenen Frist erneut erfüllen wird.

3. Das Referenzportfolio der Vermögenswerte entspricht für jede Währung und jedes Land folgenden Anforderungen:

  1. Die Vermögenswerte sind hinsichtlich jeder Währung repräsentativ für die von den Versicherungs- und Rückversicherungsunternehmen in dieser Währung getätigten Investitionen zur Abdeckung des besten Schätzwerts für auf diese Währung lautende Versicherungs- und Rückversicherungsverpflichtungen; die Vermögenswerte sind hinsichtlich jedes Landes repräsentativ für die von den Versicherungs- und Rückversicherungsunternehmen in diesem Land getätigten Investitionen zur Abdeckung des besten Schätzwerts für Versicherungs- und Rückversicherungsverpflichtungen, die auf dem Versicherungsmarkt des betreffenden Landes verkauft werden und auf die Währung dieses Landes lauten;
  2. sind maßgebliche Indizes vorhanden, basiert das Portfolio auf solchen Indizes, sofern diese der Öffentlichkeit ohne weiteres zugänglich sind und es veröffentlichte Kriterien gibt, die regeln, wann und wie die Bestandteile der Indizes verändert werden;
  3. das Portfolio umfasst die folgenden Vermögenswerte:

Für die Zwecke der Buchstaben a und b werden Investitionen von Versicherungs- und Rückversicherungsunternehmen in Organismen für gemeinsame Anlagen und andere Investitionen in Form von Fonds als Investitionen in die zugrunde liegenden Vermögenswerte behandelt.

Artikel 50 Formel für die Berechnung des der Volatilitätsanpassung zugrunde liegenden Spreads

Der in Artikel 77d Absätze 2 und 4 der Richtlinie 2009/138/EG genannte Spread errechnet sich für jedes Land und für jede Währung wie folgt:

Dabei bezeichnet:

  1. wgov den wertmäßigen Anteil von Staatsanleihen im Referenzportfolio für diese Währung oder dieses Land im Vgerhältnis zum Wert sämtlicher im Referenzportfolio enthaltener Vermögenswerte;
  2. Sgov den gemäß Artikel 51 ermittelten durchschnittlichen Währungsspread auf Staatsanleihen im Referenzportfolio für diese Währung oder dieses Land;
  3. wcorp den wertmäßigen Anteil von anderen Anleihen als Staatsanleihen, Darlehen und Verbriefungen im Referenzportfolio für diese Währung oder dieses Land im Verhältnis zum Wert sämtlicher im Referenzportfolio enthaltener Vermögenswerte;
  4. Scorp den gemäß Artikel 51 ermittelten durchschnittlichen Währungsspread auf andere Anleihen als Staatsanleihen, Darlehen und Verbriefungen im Referenzportfolio für diese Währung oder dieses Land.

Für die Zwecke dieses Artikels bezeichnet der Begriff "Staatsanleihen" Forderungen an Zentralstaaten und Zentralbanken.

Artikel 51 Risikoberichtigter Spread

Der Anteil des durchschnittlichen Währungsspreads, der gemäß Artikel 77d Absätze 3 und 4 der Richtlinie 2009/138/EG auf eine realistische Bewertung der erwarteten Verluste oder das unerwartete Kreditrisiko oder sonstige Risiken der Vermögenswerte zurückzuführen ist, wird auf gleiche Weise ermittelt wie der in Artikel 77c Absatz 2 der Richtlinie 2009/138/EG und Artikel 54 dieser Verordnung genannte grundlegende Spread.

Unterabschnitt 4
Matching-Anpassung

Artikel 52 Sterblichkeitsrisikostress

1. Der in Artikel 77b Absatz 1 Buchstabe f der Richtlinie 2009/138/EG genannte Sterblichkeitsrisikostress ist das im Hinblick auf die Auswirkungen auf die Basiseigenmittel ungünstigere der beiden folgenden Szenarien:

  1. plötzlicher dauerhafter Anstieg der bei der Berechnung des besten Schätzwerts zugrunde gelegten Sterblichkeitsraten um 15 %;
  2. plötzlicher Anstieg der bei der Berechnung der versicherungstechnischen Rückstellungen zugrunde gelegten Sterblichkeitsraten (ausgedrückt als Prozentsätze) um 0,15 Prozentpunkte, um die Sterblichkeit in den folgenden zwölf Monaten widerzuspiegeln.

2. Für die Zwecke von Absatz 1 gilt der Anstieg der Sterblichkeitsraten nur für diejenigen Versicherungsverträge, bei denen der Anstieg der Sterblichkeitsraten zu einer Erhöhung der versicherungstechnischen Rückstellungen führt. Dabei ist Folgendes zu berücksichtigen:

  1. Mehrere Versicherungsverträge in Bezug auf denselben Versicherten können wie ein einziger Versicherungsvertrag behandelt werden;
  2. wenn die Berechnung der versicherungstechnischen Rückstellungen auf Gruppen von Versicherungsverträgen nach Artikel 35 basiert, kann die Identifizierung derjenigen Verträge, bei denen ein Anstieg der Sterblichkeitsraten zu einem Anstieg der versicherungstechnischen Rückstellungen führt, auch auf Vertragsgruppen anstatt auf einzelnen Verträgen basieren, sofern dies annähernd zum gleichen Ergebnis führt.

3. Im Hinblick auf Rückversicherungsverpflichtungen gilt die Identifizierung der Verträge, bei denen ein Anstieg der Sterblichkeitsraten zu einem Anstieg der versicherungstechnischen Rückstellungen führt, nur für die zugrunde liegenden Versicherungsverträge und ist gemäß Absatz 2 durchzuführen.

Artikel 53 Berechnung der Matching-Anpassung

1. Für die Zwecke der Berechnung gemäß Artikel 77c Absatz 1 Buchstabe a der Richtlinie 2009/138/EG berücksichtigen die Versicherungs- und Rückversicherungsunternehmen nur diejenigen zugeordneten Vermögenswerte, deren erwartete Zahlungsströme notwendig sind, um die Zahlungsströme des Bestandes an Versicherungs- und Rückversicherungsverpflichtungen zu replizieren; darüber hinausgehende Vermögenswerte bleiben unberücksichtigt. Der "erwartete Zahlungsstrom" eines Vermögenswertes ist der Zahlungsstrom dieses Vermögenswertes, der angepasst wurde, um die Ausfallwahrscheinlichkeit dieses Vermögenswertes, die dem grundlegenden Spread gemäß Artikel 77c Absatz 2 Buchstabe a Ziffer i der Richtlinie 2009/138/EG oder - wenn aus den Ausfallstatistiken kein verlässlicher Kreditspread ableitbar ist - dem Anteil des langfristigen Durchschnittswerts des Spreads über dem risikolosen Zinssatz gemäß Artikel 77c Absatz 2 Buchstaben b und c der genannten Richtlinie zugeordnet werden kann, zu berücksichtigen.

2. Der Abzug des grundlegenden Spreads gemäß Artikel 77c Absatz 1 Buchstabe b der Richtlinie 2009/138/EG vom Ergebnis der Berechnung gemäß Artikel 77c Absatz 1 Buchstabe a der genannten Richtlinie enthält nur denjenigen Teil des grundlegenden Spreads, der nicht bereits bei der Anpassung der Zahlungsströme der Vermögenswerte aus dem zugeordneten Vermögensportfolio gemäß Absatz 1 berücksichtigt wurde.

Artikel 54 Berechnung des grundlegenden Spreads

1. Der in Artikel 77c Absatz 2 genannte grundlegende Spread wird auf transparente, vorsichtige, verlässliche und objektive sowie im Zeitablauf konsistente Art und Weise auf der Grundlage der maßgeblichen Indizes berechnet, soweit solche verfügbar sind. Die Methoden zur Ableitung des grundlegenden Spreads von Anleihen sind für jedes Land und jede Währung gleich und können von den Methoden für Staatsanleihen und andere Schuldtitel abweichen.

2. Die Berechnung des in Artikel 77c Absatz 2 Buchstabe a Ziffer i der Richtlinie 2009/138/EG genannten Kreditspreads beruht auf der Annahme, dass bei Eintreten eines Ausfalls 30 % des Marktwerts gedeckt werden können.

3. Der in Artikel 77c Absatz 2 Buchstaben b und c der Richtlinie 2009/138/EG genannte langfristige Durchschnitt basiert auf Daten für die letzten 30 Jahre. Ist ein Teil dieser Daten nicht verfügbar, werden diese durch rechnerisch ermittelte Daten ersetzt. Die rechnerisch ermittelten Daten basieren auf den verfügbaren, zuverlässigen Daten für die letzten 30 Jahre. Nicht zuverlässige Daten werden durch anhand dieser Methodik rechnerisch ermittelte Daten ersetzt. Die rechnerisch ermittelten Daten basieren auf vorsichtigen Annahmen.

4. Der erwartete Verlust nach Artikel 77c Absatz 2 Buchstabe a Ziffer ii der Richtlinie 2009/138/EG entspricht dem wahrscheinlichkeitsgewichteten Verlust des Versicherungs- oder Rückversicherungsunternehmens für den Fall, dass der Vermögenswert in eine niedrigere Bonitätsklasse abgestuft und unmittelbar danach ersetzt wird. Die Berechnung des erwarteten Verlusts basiert auf der Annahme, dass der ersetzende Vermögenswert folgende Kriterien erfüllt:

  1. Der ersetzende Vermögenswert hat das gleiche Zahlungsstrommuster wie der ausgetauschte Vermögenswert vor seiner Herabstufung;
  2. der ersetzende Vermögenswert gehört zur gleichen Klasse von Vermögenswerten wie der ausgetauschte Vermögenswert;
  3. der ersetzende Vermögenswert hat mindestens die gleiche Bonitätsklasse wie der ausgetauschte Vermögenswert vor seiner Herabstufung.

Abschnitt 5
Geschäftsbereiche

Artikel 55 Geschäftsbereiche

1. Die Geschäftsbereiche nach Artikel 80 der Richtlinie 2009/138/EG sind die in Anhang I dieser Verordnung aufgeführten Geschäftsbereiche.

2. Die Zuordnung von Versicherungs- oder Rückversicherungsverpflichtungen zu bestimmten Geschäftsbereichen spiegelt die Art der aus den Verpflichtungen erwachsenden Risiken wider. Die rechtliche Form der Verpflichtungen ist hinsichtlich der Art des Risikos nicht unbedingt von entscheidender Bedeutung.

3. Steht die technische Basis mit der Art der aus der Verpflichtung erwachsenden Risiken in Einklang, werden Verpflichtungen aus Krankenversicherungen, die auf einer der Lebensversicherung vergleichbaren technischen Basis betrieben werden, dem Geschäftsbereich der Lebensversicherungen und Verpflichtungen aus Krankenversicherungen, die auf einer der Schadenversicherung vergleichbaren technischen Basis betrieben werden, dem Geschäftsbereich der Schadenversicherung zugeordnet.

4. Können Versicherungsverpflichtungen aus den in Artikel 2 Absatz 3 Buchstabe b der Richtlinie 2009/138/EG genannten Tätigkeiten aufgrund ihrer Art nicht eindeutig einem Geschäftsbereich nach Anhang I zugeordnet werden, so werden sie der Branche 32 dieses Anhangs zugeordnet.

5. Deckt ein Versicherungs- oder Rückversicherungsvertrags Risiken der Lebens- und Schadenversicherung ab, werden die Versicherungs- oder Rückversicherungsverpflichtungen in Lebens- und Schadenversicherungsbestandteile entbündelt.

6. Deckt ein Versicherungs- oder Rückversicherungsvertrags Risiken aus mehreren der in Anhang I genannten Geschäftsbereiche ab, werden die Versicherungs- oder Rückversicherungsverpflichtungen, soweit möglich, in die entsprechenden Geschäftsbereiche entbündelt.

7. Umfasst ein Versicherungs- oder Rückversicherungsvertrag Krankenversicherungs- oder -rückversicherungsverpflichtungen sowie andere Versicherungs- oder Rückversicherungsverpflichtungen, werden diese Verpflichtungen, soweit möglich, entbündelt.

Abschnitt 6
Proportionalität und Vereinfachung

Artikel 56 Angemessenheit

1. Versicherungs- und Rückversicherungsunternehmen verwenden zur Berechnung der versicherungstechnischen Rückstellungen der Art, dem Umfang und der Komplexität der ihren Versicherungs- und Rückversicherungsverpflichtungen zugrunde liegenden Risiken angemessene Methoden.

2. Bei der Bestimmung einer zur Berechnung der versicherungstechnischen Rückstellungen angemessenen Methode führen Versicherungs- und Rückversicherungsunternehmen eine Prüfung durch, die Folgendes umfasst:

  1. eine Prüfung der Art, des Umfangs und der Komplexität der ihren Versicherungs- und Rückversicherungsverpflichtungen zugrunde liegenden Risiken;
  2. eine qualitative oder quantitative Bewertung des Fehlers in den Ergebnissen der Methode infolge einer Abweichung zwischen
    1. den zugrunde liegenden Annahmen der Methode im Verhältnis zu Risiken;
    2. den Ergebnissen der Bewertung nach Buchstabe a.

3. In die Bewertung gemäß Absatz 2 Buchstabe a fließen alle Risiken ein, die sich auf den Betrag, den Zeitpunkt oder den Wert der zur Erfüllung der Versicherungs- und Rückversicherungsverpflichtungen während ihrer Laufzeit erforderlichen Zahlungszu- und -abflüsse auswirken. Zwecks Berechnung der Risikomarge umfasst die Bewertung alle in Artikel 38 Absatz 1 Buchstabe i genannten Risiken über die Laufzeit der zugrunde liegenden Versicherungs- und Rückversicherungsverpflichtungen. Die Prüfung beschränkt sich auf die Risiken, die für den Teil der Berechnung der versicherungstechnischen Rückstellungen, auf den die Methode angewendet wird, relevant sind.

4. Eine Methode gilt hinsichtlich der Art, des Umfangs und der Komplexität der Risiken als nicht angemessen, wenn der Fehler nach Absatz 2 Buchstabe b zu einer fehlerhaften Darstellung der versicherungstechnischen Rückstellungen oder ihrer Bestandteile führt, die die Adressaten der Informationen über den Wert der versicherungstechnischen Rückstellungen in ihren Entscheidungen oder Beurteilungen beeinflussen könnte, es sei denn:

  1. es ist keine andere Methode mit einem geringeren Fehler verfügbar, und die Methode führt voraussichtlich nicht dazu, dass die versicherungstechnischen Rückstellungen zu niedrig angesetzt werden;
  2. die Methode führt zu einem Betrag an versicherungstechnischen Rückstellungen des Versicherungs- oder Rückversicherungsunternehmens, der höher ist als der Betrag, der sich bei Verwendung einer proportionalen Methode ergeben würde, und die Methode führt nicht dazu, dass das inhärente Risiko der Versicherungs- oder Rückversicherungsverpflichtungen, auf das die Methode angewendet wird, zu niedrig angesetzt wird.

Artikel 57 Vereinfachte Berechnung der aus Rückversicherungsverträgen und von Zweckgesellschaften einforderbaren Beträge

1. Unbeschadet Artikel 56 können die Versicherungs- und Rückversicherungsunternehmen die aus Rückversicherungsverträgen und von Zweckgesellschaften einforderbaren Beträge vor Anpassung dieser Beträge zur Berücksichtigung der aufgrund des Ausfalls der Gegenpartei erwarteten Verluste als Differenz zwischen folgenden Schätzwerten berechnen:

  1. dem brutto berechneten besten Schätzwert nach Artikel 77 Absatz 2 der Richtlinie 2009/138/EG;
  2. dem besten Schätzwert nach Berücksichtigung der aus Rückversicherungsverträgen und von Zweckgesellschaften einforderbaren Beträge ohne Abzug der aufgrund des Ausfalls der Gegenpartei erwarteten Verluste (unbereinigter bester Netto-Schätzwert), berechnet gemäß Absatz 2.

2. Die Versicherungs- und Rückversicherungsunternehmen dürfen Methoden verwenden, bei denen der unbereinigte beste Netto-Schätzwert ohne ausdrückliche Projektion der den aus Rückversicherungsverträgen und von Zweckgesellschaften einforderbaren Beträgen zugrunde liegenden Zahlungsströme aus dem besten Brutto-Schätzwert abgeleitet wird. Versicherungs- und Rückversicherungsunternehmen berechnen den unbereinigten besten Netto-Schätzwert auf der Grundlage homogener Risikogruppen. Jede dieser homogenen Risikogruppen umfasst nicht mehr als einen Rückversicherungsvertrag oder eine Zweckgesellschaft, es sei denn, die betreffenden Rückversicherungsverträge oder Zweckgesellschaften dienen der Übertragung homogener Risiken.

Artikel 58 Vereinfachte Berechnung der Risikomarge

Unbeschadet Artikel 56 dürfen Versicherungs- und Rückversicherungsunternehmen vereinfachte Methoden zur Berechnung der Risikomarge verwenden, einschließlich:

  1. Methoden, bei denen für die durchSCR(t) nach Artikel 37 Absatz 1 bezeichneten Beträge Näherungswerte genutzt werden;
  2. Methoden, bei denen die abgezinste Summe der durchSCR(t) nach Artikel 37 Absatz 1 bezeichneten Beträge ohne getrennte Berechnung jedes einzelnen Betrags angenähert wird.

Artikel 59 Berechnungen der Risikomarge während des Geschäftsjahres

Unbeschadet Artikel 56 dürfen Versicherungs- und Rückversicherungsunternehmen bei Berechnungen, die vierteljährlich durchgeführt werden müssen, die Risikomarge vom Ergebnis früherer Berechnungen der Risikomarge ohne explizite Berechnung der Formel nach Artikel 37 Absatz 1 ableiten.

Artikel 60 Vereinfachte Berechnung des besten Schätzwerts für Versicherungsverpflichtungen mit Prämienanpassungsmechanismus

Unbeschadet Artikel 56 dürfen Versicherungs- und Rückversicherungsunternehmen den besten Schätzwert von Lebens- versicherungsverpflichtungen anhand eines Mechanismus berechnen, bei dem das Versicherungsunternehmen das Recht bzw. die Pflicht hat, künftige Prämien von Versicherungsverträgen an wesentliche Änderungen der erwarteten Höhe der Ansprüche und Ausgaben anzupassen (Prämienanpassungsmechanismus), wobei die verwendeten Zahlungsstrom- Projektionen auf der Annahme beruhen, dass Änderungen der Höhe der Ansprüche und Ausgaben zeitgleich mit Prämienanpassungen erfolgen und der Nettozahlungsstrom somit gleich Null ist. Dazu müssen folgenden Voraussetzungen erfüllt sein:

  1. Der Prämienanpassungsmechanismus entschädigt das Versicherungsunternehmen vollständig und zeitnah für jede Erhöhung des Umfangs der Ansprüche und Ausgaben;
  2. die Berechnung führt nicht dazu, dass der beste Schätzwert zu niedrig angesetzt wird;
  3. die Berechnung führt nicht dazu, dass das inhärente Risiko der betreffenden Versicherungsverpflichtungen unterschätzt wird;

Artikel 61 Vereinfachte Berechnung der Gegenparteiausfallberichtigung

Unbeschadet Artikel 56 können Versicherungs- und Rückversicherungsunternehmen die Berichtigung für aufgrund des Ausfalls der Gegenpartei erwartete Verluste gemäß Artikel 81 der Richtlinie 2009/138/EG für eine bestimmte Gegenpartei und eine homogene Risikogruppe wie folgt berechnen:

Dabei bezeichnet:

  1. PD die Ausfallwahrscheinlichkeit der betreffenden Gegenpartei in den nächsten 12 Monaten;
  2. Durmod die modifizierte Duration der einforderbaren Beträge aus Rückversicherungsverträgen mit der betreffenden Gegenpartei in Relation zur betreffenden homogenen Risikogruppe;
  3. BErec die einforderbaren Beträge aus Rückversicherungsverträgen mit der betreffenden Gegenpartei in Relation zur betreffenden homogenen Risikogruppe.

Kapitel IV
Eigenmittel

Abschnitt 1
Bestimmung der Eigenmittel

Unterabschnitt 1
Aufsichtliche Genehmigung der ergänzenden Eigenmittel

Artikel 62 Beurteilung des Antrags

1. Bei der in Artikel 90 Absatz 4 der Richtlinie 2009/138/EG genannten Beurteilung berücksichtigen die Aufsichtsbehörden alles Folgende:

  1. die rechtliche Wirksamkeit und Durchsetzbarkeit der Bedingungen der Verpflichtung in allen relevanten Rechtsräumen;
  2. die vertraglichen Bedingungen der Vereinbarung, die das Versicherungs- oder Rückversicherungsunternehmen mit den Gegenparteien im Hinblick auf die Bereitstellung von Mitteln geschlossen hat oder schließen wird;
  3. sofern relevant, den Gesellschaftsvertrag und die Satzung oder das Statut des Versicherungs- oder Rückversicherungsunternehmens;
  4. ob das Versicherungs- oder Rückversicherungsunternehmen über Verfahren verfügt, um die Aufsichtsbehörden über künftige, die Verlustausgleichsfähigkeit des ergänzenden Eigenmittelbestandteils möglicherweise verringernde Veränderungen bei einem der folgenden Faktoren zu unterrichten:
    1. der Struktur oder den vertraglichen Bedingungen der Vereinbarung;
    2. dem Status der betroffenen Gegenparteien;
    3. der Einforderbarkeit des ergänzenden Eigenmittelbestandteils.

2. Die Aufsichtsbehörden beurteilen auch, ob Artikel 90 der Richtlinie 2009/138/EG erfüllt ist, wobei sie die Bandbreite der Umstände berücksichtigen, unter denen der Bestandteil zum Ausgleich von Verlusten eingefordert werden kann.

3. Beantragt das Versicherungs- oder Rückversicherungsunternehmen eine Genehmigung für eine Methode zur Bestimmung des Betrags eines jeden ergänzenden Eigenmittelbestandteils, beurteilen die Aufsichtsbehörden, ob das Verfahren des Unternehmens zur regelmäßigen Validierung der Methode angemessen ist, um sicherzustellen, dass die Ergebnisse der Methode die Verlustausgleichsfähigkeit des Bestandteils kontinuierlich widerspiegeln.

4. Zusätzlich zu den in den Absätzen 1 bis 3 ausgeführten Anforderungen beurteilen die Aufsichtsbehörden den Antrag auf Genehmigung ergänzender Eigenmittel anhand der in den Artikeln 63, 64 und 65 aufgeführten Kriterien.

Artikel 63 Beurteilung des Antrags - Status der Gegenparteien16

1. Bei der Beurteilung der in Artikel 90 Absatz 4 Buchstabe a der Richtlinie 2009/138/EG genannten Zahlungsfähigkeit der Gegenpartei berücksichtigen die Aufsichtsbehörden alles Folgende:

  1. das Ausfallrisiko der Gegenparteien;
  2. das Risiko, dass eine Verzögerung bei der Erfüllung der Verpflichtungen der Gegenparteien in Bezug auf den ergänzenden Eigenmittelbestandteil einen Ausfall verursacht.

2. In Bezug auf Absatz 1 Buchstabe a beurteilen die Aufsichtsbehörden das Ausfallrisiko der Gegenparteien, indem sie deren Ausfallwahrscheinlichkeit und den Verlust bei Ausfall unter Berücksichtigung aller folgenden Kriterien prüfen:

  1. Bonität der Gegenparteien, sofern diese deren Fähigkeit, ihre Verpflichtungen in Bezug auf den ergänzenden Eigenmittelbestandteil zu erfüllen, angemessen widerspiegelt;
  2. ob der Erfüllung der in Bezug auf den ergänzenden Eigenmittelbestandteil bestehenden Verpflichtungen durch die Gegenparteien zum gegenwärtigen Zeitpunkt oder in absehbarer Zukunft praktische oder rechtliche Hindernisse entgegenstehen;
  3. ob die Gegenparteien rechtlichen oder regulatorischen Anforderungen unterliegen, die ihre Fähigkeit, ihre Verpflichtungen in Bezug auf den ergänzenden Eigenmittelbestandteil zu erfüllen, einschränken;
  4. ob die Rechtsform der Gegenparteien die Erfüllung ihrer Verpflichtungen in Bezug auf den ergänzenden Eigenmittelbestandteil beeinträchtigt;
  5. ob die Gegenparteien anderen Risikopositionen ausgesetzt sind, die ihre Fähigkeit, ihre Verpflichtungen in Bezug auf den ergänzenden Eigenmittelbestandteil zu erfüllen, einschränken;
  6. ob die vertraglichen Bedingungen der Vereinbarung nach irgendeinem anwendbaren Recht den Gegenparteien in Bezug auf ihre Verpflichtung im Rahmen des ergänzenden Eigenmittelbestandteils das Recht einräumen, von ihnen geschuldete Beträge gegen Beträge aufzurechnen, die ihnen das Versicherungs- oder Rückversicherungsunternehmen schuldet.

3. In Bezug auf Absatz 1 Buchstabe b beurteilen die Aufsichtsbehörden die Liquiditätsposition der Gegenparteien, wobei sie alles Folgende berücksichtigen:

  1. ob der prompten Erfüllung der in Bezug auf den ergänzenden Eigenmittelbestandteil bestehenden Verpflichtungen durch die Gegenparteien zum gegenwärtigen Zeitpunkt oder in absehbarer Zukunft praktische oder rechtliche Hindernisse entgegenstehen;
  2. ob die Gegenparteien rechtlichen oder regulatorischen Anforderungen unterliegen, die ihre Fähigkeit einschränken könnten, ihre Verpflichtungen in Bezug auf den ergänzenden Eigenmittelbestandteil prompt zu erfüllen;
  3. ob die Rechtsform der Gegenparteien die prompte Erfüllung ihrer Verpflichtungen in Bezug auf den ergänzenden Eigenmittelbestandteil beeinträchtigt.

4. Bei der Beurteilung der in Artikel 90 Absatz 4 Buchstabe a der Richtlinie 2009/138/EG genannten Zahlungsbereitschaft der Gegenpartei berücksichtigen die Aufsichtsbehörden alles Folgende:

  1. die Bandbreite der Umstände, unter denen der ergänzende Eigenmittelbestandteil zum Ausgleich von Verlusten eingefordert werden kann;
  2. ob Positiv- oder Negativanreize bestehen, die sich auf die Bereitschaft der Gegenparteien zur Erfüllung ihrer Verpflichtungen in Bezug auf den ergänzenden Eigenmittelbestandteil auswirken könnten;
  3. ob frühere Transaktionen zwischen den Gegenparteien und dem Versicherungs- oder Rückversicherungsunter- nehmen, einschließlich der früheren Erfüllung der in Bezug auf ergänzende Eigenmittelbestandteile bestehenden Verpflichtungen durch die Gegenparteien, einen Hinweis auf die Bereitschaft der Gegenparteien geben, ihre gegenwärtigen Verpflichtungen in Bezug auf den ergänzenden Eigenmittelbestandteil zu erfüllen.

5. Bei der Beurteilung der Zahlungsfähigkeit und -bereitschaft der Gegenparteien berücksichtigen die Aufsichtsbehörden alle sonstigen Faktoren, die für den Status der Gegenparteien relevant sind, einschließlich des Geschäftsmodells des Versicherungs- oder Rückversicherungsunternehmens, sofern relevant.

6. Betrifft ein ergänzender Eigenmittelbestandteil eine Gruppe von Gegenparteien, können die Aufsichtsbehörden sowie die Versicherungs- und Rückversicherungsunternehmen den Status der Gruppe von Gegenparteien so beurteilen, als handele es sich um eine einzige Gegenpartei, wenn alle folgenden Voraussetzungen erfüllt sind:

  1. die Gegenparteien sind einzeln betrachtet unwesentlich;
  2. die zu der Gruppe gehörenden Gegenparteien sind hinreichend homogen;
  3. die Zahlungsfähigkeit und -bereitschaft der zu der Gruppe gehörenden Gegenparteien wird bei der Beurteilung der Gruppe von Gegenparteien nicht überschätzt.

7. Eine Gegenpartei gilt als wesentlich, wenn der Status dieser einzelnen Gegenpartei mit hoher Wahrscheinlichkeit signifikanten Einfluss auf die Beurteilung der Zahlungsfähigkeit und -bereitschaft der Gruppe von Gegenparteien hat.

Artikel 64 Beurteilung des Antrags - Einforderbarkeit der Mittel

Für die Zwecke der Beurteilung der in Artikel 90 Absatz 4 Buchstabe b der Richtlinie 2009/138/EG genannten Einforderbarkeit der Mittel berücksichtigen die Aufsichtsbehörden alles Folgende:

  1. ob die Einforderbarkeit der Mittel durch die Verfügbarkeit einer Sicherheit oder einer entsprechenden Vereinbarung, die die Artikel 209 bis 214 erfüllt, erhöht wird;
  2. ob der Einforderbarkeit der Mittel zum gegenwärtigen Zeitpunkt oder in absehbarer Zukunft praktische oder rechtliche Hindernisse entgegenstehen;
  3. ob die Einforderbarkeit der Mittel rechtlichen oder regulatorischen Anforderungen unterliegt;
  4. ob das Versicherungs- oder Rückversicherungsunternehmen Maßnahmen ergreifen kann, um die Erfüllung der in Bezug auf den ergänzenden Eigenmittelbestandteil bestehenden Verpflichtungen der Gegenparteien durchzusetzen.

Artikel 65 Beurteilung des Antrags - Informationen über das Ergebnis bisheriger Einforderungen

Für die Zwecke der Beurteilung der in Artikel 90 Absatz 4 Buchstabe c der Richtlinie 2009/138/EG genannten Informationen über das Ergebnis bisheriger Einforderungen berücksichtigen die Aufsichtsbehörden alles Folgende:

  1. ob das Versicherungs- oder Rückversicherungsunternehmen bei denselben oder ähnlichen Gegenparteien unter denselben oder ähnlichen Umständen bisher Einforderungen vorgenommen hat;
  2. ob diese Informationen im Hinblick auf das erwartete Ergebnis künftiger Einforderungen relevant und verlässlich sind.

Artikel 66 Betragsangabe in Bezug auf einen unbegrenzten Betrag ergänzender Eigenmittel

1. Die Aufsichtsbehörden genehmigen keinen unbegrenzten Betrag ergänzender Eigenmittel.

2. Genehmigen die Aufsichtsbehörden einen Betrag ergänzender Eigenmittel, so geben sie in ihrer Entscheidung an, ob es sich bei dem genehmigten Betrag um den vom Versicherungs- oder Rückversicherungsunternehmen beantragten Betrag oder um einen niedrigeren Betrag handelt.

Artikel 67 Betrags- und Zeitangabe bei der Genehmigung einer Methode

Genehmigen die Aufsichtsbehörden eine Methode zur Bestimmung des Betrags eines jeden ergänzenden Eigenmittelbestandteils, so enthält die Entscheidung der Aufsichtsbehörden alles Folgende:

  1. den ursprünglichen Betrag des ergänzenden Eigenmittelbestandteils, der nach dieser Methode zum Zeitpunkt der Erteilung der Genehmigung berechnet wurde;
  2. die Mindestfrequenz, mit der der Betrag des ergänzenden Eigenmittelbestandteils nach dieser Methode neu berechnet wird, sofern dies häufiger als einmal jährlich geschieht, und die Gründe für diese Frequenz;
  3. den Zeitraum, für den die Berechnung des ergänzenden Eigenmittelbestandteils nach dieser Methode genehmigt wird.

Unterabschnitt 2
Eigenmittelbehandlung von Beteiligungen

Artikel 68 Behandlung von Beteiligungen im Hinblick auf die Bestimmung der Basiseigenmittel16 16a

1. Für die Zwecke der Bestimmung der Basiseigenmittel von Versicherungs- und Rückversicherungsunternehmen werden die in Artikel 88 der Richtlinie 2009/138/EG genannten Basiseigenmittel um den vollen Wert der Beteiligungen an Finanz- und Kreditinstituten im Sinne des Artikels 92 Absatz 2 der genannten Richtlinie verringert, der 10 % der unter Artikel 69 Buchstabe a Ziffern i, ii, iv und vi fallenden Bestandteile übersteigt.

2. Für die Zwecke der Bestimmung der Basiseigenmittel von Versicherungs- und Rückversicherungsunternehmen werden die in Artikel 88 der Richtlinie 2009/138/EG genannten Basiseigenmittel um den Teil des Wertes sämtlicher Beteiligungen an Finanz- und Kreditinstituten im Sinne des Artikels 92 Absatz 2 der genannten Richtlinie mit Ausnahme der in Absatz 1 genannten Beteiligungen verringert, der 10 % der unter Artikel 69 Buchstabe a Ziffern i, ii, iv und vi genannten Bestandteile übersteigt.

3. Ungeachtet der Absätze 1 und 2 werden die in Artikel 171 genannten strategischen Beteiligungen, die auf der Grundlage der in Anhang I der Richtlinie 2002/87/EG ausgeführten Methode 1 oder auf der Grundlage der in Artikel 230 der Richtlinie 2009/138/EG ausgeführten Methode 1 in die Berechnung der Solvabilität der Gruppe einbezogen werden, von den Versicherungs- und Rückversicherungsunternehmen nicht in Abzug gebracht.

4. Die in Absatz 2 aufgeführten Abzüge werden anteilig (pro rata) auf sämtliche in diesem Absatz genannten Beteiligungen angewandt.

5. Die in den Absätzen 1 und 2 aufgeführten Abzüge werden von der betreffenden Klasse ("Tier") abgezogen, in der die Beteiligung die Eigenmittel des verbundenen Unternehmens erhöht hat, und zwar wie folgt:

  1. Beteiligungen in Form von Bestandteilen des harten Kernkapitals (Tier 1) von Finanz- und Kreditinstituten werden von den in Artikel 69 Buchstabe a Ziffern i, ii, iv und vi genannten Bestandteilen abgezogen;
  2. Beteiligungen in Form von Instrumenten des zusätzlichen Kernkapitals (Additional Tier 1) von Finanz- und Kreditinstituten werden von den in Artikel 69 Buchstabe a Ziffern iii und v und Artikel 69 Buchstabe b genannten Bestandteilen abgezogen;
  3. Beteiligungen in Form von Instrumenten des Ergänzungskapitals (Tier 2) von Finanz- und Kreditinstituten werden von den in Artikel 72 genannten Basiseigenmittelbestandteilen abgezogen.

Abschnitt 2
Einstufung der Eigenmittel

Artikel 69 Tier 1 - Liste der Eigenmittelbestandteile

Folgende Basiseigenmittelbestandteile gelten als Bestandteile, die die in Artikel 93 Absatz 1 Buchstaben a und b der Richtlinie 2009/138/EG genannten Merkmale weitgehend aufweisen, wobei die in Artikel 93 Absatz 2 der genannten Richtlinie aufgeführten Merkmale berücksichtigt werden, und werden als Tier 1 eingestuft, sofern diese Bestandteile sämtliche in Artikel 71 aufgeführten Merkmale aufweisen:

  1. der Teil des Überschusses der Vermögenswerte über die Verbindlichkeiten, die gemäß Artikel 75 und Kapitel VI Abschnitt 2 der Richtlinie 2009/138/EG bewertet werden, der die folgenden Bestandteile umfasst:
    1. eingezahltes Grundkapital und zugehöriges Emissionsagiokonto;
    2. eingezahlter Gründungsstock, Mitgliederbeiträge oder entsprechender Basiseigenmittelbestandteil bei Versicherungsvereinen auf Gegenseitigkeit und diesen ähnlichen Unternehmen;
    3. eingezahlte nachrangige Mitgliederkonten von Versicherungsvereinen auf Gegenseitigkeit;
    4. Überschussfonds, die gemäß Artikel 91 Absatz 2 der Richtlinie 2009/138/EG nicht als Versicherungs- und Rückversicherungsverbindlichkeiten angesehen werden;
    5. eingezahlte Vorzugsaktien und zugehöriges Emissionsagiokonto;
    6. eine Ausgleichsrücklage;
  2. eingezahlte nachrangige Verbindlichkeiten, die gemäß Artikel 75 der Richtlinie 2009/138/EG bewertet werden.

Artikel 70 Ausgleichsrücklage16

1. Die in Artikel 69 Buchstabe a Ziffer vi genannte Ausgleichsrücklage entspricht dem Gesamtüberschuss der Vermögenswerte über die Verbindlichkeiten abzüglich aller folgender Posten:

  1. Betrag der vom Versicherungs- oder Rückversicherungsunternehmen gehaltenen eigenen Aktien;
  2. vorhersehbare Dividenden, Ausschüttungen und Entgelte;
  3. in Artikel 69 Buchstabe a Ziffern i bis v, Artikel 72 Buchstabe a und Artikel 76 Buchstabe a genannte Basiseigenmittelbestandteile;
  4. in Artikel 69 Buchstabe a Ziffern i bis v, Artikel 72 Buchstabe a und Artikel 76 Buchstabe a nicht genannte Basiseigenmittelbestandteile, die von den Aufsichtsbehörden gemäß Artikel 79 genehmigt wurden;
  5. beschränkte Eigenmittelbestandteile, die eine der folgenden Anforderungen erfüllen:
    1. sie übersteigen die fiktive Solvenzkapitalanforderung bei Matching Adjustment-Portfolios und Sonderverbänden in Übereinstimmung mit Artikel 81 Absatz 1;
    2. sie werden gemäß Artikel 81 Absatz 2 nicht eingerechnet;
  6. Betrag der Beteiligungen an Finanz- und Kreditinstituten im Sinne des Artikels 92 Absatz 2 der Richtlinie 2009/138/EG, der gemäß Artikel 68 abgezogen wurde, sofern noch nicht in den Buchstaben a bis e enthalten.

2. Der in Absatz 1 genannte Überschuss der Vermögenswerte über die Verbindlichkeiten beinhaltet den Betrag, der dem bei künftigen Prämien einkalkulierten erwarteten Gewinn im Sinne des Artikels 260 Absatz 2 entspricht.

3. Die Feststellung, ob und in welchem Umfang die Ausgleichsrücklage die in Artikel 71 aufgeführten Merkmale aufweist, kommt keiner Prüfung der Merkmale der Vermögenswerte und Verbindlichkeiten, die in die Berechnung des Überschusses der Vermögenswerte über die Verbindlichkeiten einfließen, oder der zugrundeliegenden Posten im Abschluss des Unternehmens gleich.

Artikel 71 Tier 1 - Für die Einstufung maßgebliche Merkmale16 19

1. Die in Artikel 69 genannten Merkmale beinhalten Folgendes:

  1. Der Basiseigenmittelbestandteil
    1. ist im Falle der in Artikel 69 Buchstabe a Ziffern i und ii genannten Bestandteile bei einem das Versicherungs- oder Rückversicherungsunternehmen betreffenden Liquidationsverfahren gegenüber allen anderen Ansprüchen nachrangig;
    2. ist im Falle der in Artikel 69 Buchstabe a Ziffern iii und v sowie Artikel 69 Buchstabe b genannten Bestandteile gegenüber den in Artikel 69 Buchstabe a Ziffern i und ii genannten Bestandteilen gleichrangig oder vorrangig, jedoch gegenüber den in den Artikeln 72 und 76 aufgeführten Bestandteilen, die die in Artikel 73 bzw. Artikel 77 genannten Merkmale aufweisen, sowie gegenüber den Ansprüchen sämtlicher Versicherungsnehmer und Anspruchsberechtigten sowie nicht nachrangigen Gläubigern nachrangig;
  2. der Basiseigenmittelbestandteil weist keine Merkmale auf, die die Insolvenz des Versicherungs- oder Rückversicherungsunternehmens verursachen oder den Prozess der Insolvenz des Unternehmens beschleunigen können;
  3. der Basiseigenmittelbestandteil ist sofort verfügbar, um Verluste auszugleichen;
  4. der Basiseigenmittelbestandteil gleicht Verluste zumindest bei Nichteinhaltung der Solvenzkapitalanforderung aus und beeinträchtigt nicht die Rekapitalisierung des Versicherungs- oder Rückversicherungsunternehmens;
  5. der Basiseigenmittelbestandteil verfügt im Falle der in Artikel 69 Buchstabe a Ziffern iii und v und Artikel 69 Buchstabe b genannten Bestandteile über einen der folgenden Kapitalverlustausgleichsmechanismen, die bei dem in Absatz 8 festgelegten Auslöseereignis greifen:
    1. der Nominal- oder Kapitalbetrag des Basiseigenmittelbestandteils wird gemäß den Absätzen 5 und 5a abgeschrieben;
    2. wie in den Absätzen 6 und 6a ausgeführt, wird der Basiseigenmittelbestandteil automatisch in einen Basiseigenmittelbestandteil gemäß Artikel 69 Buchstabe a Ziffer i oder ii umgewandelt;
    3. einen Kapitalverlustausgleichsmechanismus, der ein mit den in Ziffer i oder ii aufgeführten Kapitalverlustausgleichsmechanismen vergleichbares Ergebnis erzielt;
  6. der Basiseigenmittelbestandteil erfüllt eines der folgenden Kriterien:
    1. der Bestandteil ist im Falle der in Artikel 69 Buchstabe a Ziffern i und ii genannten Bestandteile unbefristet oder hat, wenn das Versicherungs- oder Rückversicherungsunternehmen eine begrenzte Laufzeit hat, dieselbe Laufzeit wie das Unternehmen;
    2. der Bestandteil ist im Falle der in Artikel 69 Buchstabe a Ziffern iii und v sowie Artikel 69 Buchstabe b unbefristet; die erste vertragliche Möglichkeit zur Rückzahlung oder Tilgung des Basiseigenmittelbestandteils besteht frühestens nach Ablauf von fünf Jahren ab dem Emissionstag;
  7. der in Artikel 69 Buchstabe a Ziffern iii und v sowie Artikel 69 Buchstabe b genannte Basiseigenmittelbestandteil darf eine Rückzahlung oder Tilgung jenes Bestandteils in einem Zeitraum von fünf bis zehn Jahren nach dem Emissionsdatum nur dann gestatten, wenn die Solvenzkapitalanforderung des Unternehmens um eine angemessene Marge unter Berücksichtigung der Solvabilität des Unternehmens, einschließlich seines mittelfristigen Kapitalmanagementplans, überschritten wird;
  8. der Basiseigenmittelbestandteil kann im Falle der in Artikel 69 Buchstabe a Ziffern i, ii, iii und v sowie Artikel 69 Buchstabe b genannten Bestandteile nur auf Initiative des Versicherungs- oder Rückversicherungsunternehmens zurückgezahlt oder getilgt werden, und die Rückzahlung oder Tilgung des Basiseigenmittelbestandteils bedarf der vorherigen aufsichtlichen Genehmigung;
  9. der Basiseigenmittelbestandteil beinhaltet im Falle der in Artikel 69 Buchstabe a Ziffern i, ii, iii und v sowie Artikel 69 Buchstabe b genannten Bestandteile keine Anreize für seine Rückzahlung oder Tilgung, die die Wahrscheinlichkeit erhöhen, dass ein Versicherungs- oder Rückversicherungsunternehmen den Basiseigenmittelbestandteil zurückzahlen oder tilgen wird, wenn es die Möglichkeit dazu hat;
  10. der Basiseigenmittelbestandteil sieht im Falle der in Artikel 69 Buchstabe a Ziffern i, ii, iii und v sowie Artikel 69 Buchstabe b genannten Bestandteile die Aussetzung seiner Rückzahlung oder Tilgung vor, falls die Solvenzkapitalanforderung nicht eingehalten wird oder die Rückzahlung oder Tilgung zu einer solchen Nichteinhaltung führen würde, und zwar solange, bis das Unternehmen die Solvenzkapitalanforderung einhält und die Rückzahlung oder Tilgung nicht zu einer Nichteinhaltung der Solvenzkapitalanforderung führen würde;
  11. Ungeachtet des Buchstabens j darf der Basiseigenmittelbestandteil eine Rückzahlung oder Tilgung dieses Bestandteils für den Fall, dass die Solvenzkapitalanforderung nicht eingehalten wird oder die Rückzahlung oder Tilgung zu einer solchen Nichteinhaltung führen würde, nur dann gestatten, wenn die folgenden Bedingungen erfüllt sind:
    1. die Aufsichtsbehörde hat ausnahmsweise auf die Aussetzung der Rückzahlung oder Tilgung dieses Bestandteils verzichtet;
    2. der Bestandteil wird durch einen anderen Tier 1-Eigenmittelbestandteil mindestens gleicher Qualität ersetzt oder in einen solchen Bestandteil umgewandelt;
    3. die Mindestkapitalanforderung wird nach der Rückzahlung oder Tilgung eingehalten.
  12. Der Basiseigenmittelbestandteil erfüllt eines der folgenden Kriterien:
    1. im Falle der in Artikel 69 Absatz 1 Buchstabe a Ziffern i und ii genannten Bestandteile ermöglichen die für den Basiseigenmittelbstandteil geltenden gesetzlichen oder vertraglichen Vereinbarungen oder nationalen Rechtsvorschriften, dass die Ausschüttungen in Bezug auf diesen Bestandteil annulliert werden können, falls die Solvenzkapitalanforderung nicht eingehalten wird oder die Ausschüttung zu einer solchen Nichteinhaltung führen würde, und zwar solange, bis das Unternehmen die Solvenzkapitalanforderung einhält und die Ausschüttung nicht zu einer Nichteinhaltung der Solvenzkapitalanforderung führen würde;
    2. im Falle der in Artikel 69 Buchstabe a Ziffern iii und v sowie Artikel 69 Buchstabe b genannten Bestandteile regeln die Bedingungen der für den Bestandteil geltenden vertraglichen Vereinbarung, dass die Ausschüttungen in Bezug auf diesen Bestandteil annulliert werden können, falls die Solvenzkapitalanforderung nicht eingehalten wird oder die Ausschüttung zu einer solchen Nichteinhaltung führen würde, und zwar solange, bis das Unternehmen die Solvenzkapitalanforderung einhält und die Ausschüttung nicht zu einer Nichteinhaltung der Solvenzkapitalanforderung führen würde;
  13. der Basiseigenmittelbestandteil darf eine Ausschüttung für den Fall, dass die Solvenzkapitalanforderung nicht eingehalten wird oder die Ausschüttung auf einen Basiseigenmittelbestandteil zu einer solchen Nichteinhaltung führen würde, nur dann gestatten, wenn alle folgenden Bedingungen erfüllt sind:
    1. die Aufsichtsbehörde hat ausnahmsweise auf die Annullierung der Ausschüttungen verzichtet;
    2. die Solvabilität des Versicherungs- oder Rückversicherungsunternehmens wird durch die Ausschüttung nicht weiter geschwächt;
    3. die Mindestkapitalanforderung wird nach der Ausschüttung eingehalten.
  14. der Basiseigenmittelbestandteil lässt im Falle der in Artikel 69 Buchstabe a Ziffern i, ii, iii und v sowie Artikel 69 Buchstabe b genannten Bestandteile dem Versicherungs- oder Rückversicherungsunternehmen volle Flexibilität bezüglich der Ausschüttungen auf den Basiseigenmittelbestandteil;
  15. der Basiseigenmittelbestandteil ist frei von Belastungen und ist nicht mit einer anderen Transaktion verbunden, die bei gemeinsamer Betrachtung mit dem Basiseigenmittelbestandteil dazu führen könnte, dass der Basiseigenmittelbestandteil die Artikel 94 Absatz 1 der Richtlinie 2009/138/EG nicht erfüllt.

2. Für die Zwecke dieses Artikels gelten der Umtausch oder die Umwandlung eines Basiseigenmittelbestandteils in einen anderen Tier 1-Eigenmittelbestandteil oder die Rückzahlung oder Tilgung eines Tier 1-Eigenmittelbestandteils aus dem Erlös eines neuen Basiseigenmittelbestandteils mindestens gleicher Qualität nicht als Rückzahlung oder Tilgung, sofern der Umtausch, die Umwandlung, Rückzahlung oder Tilgung von der Aufsichtsbehörde genehmigt werden muss.

3. Für die Zwecke des Absatzes 1 Buchstabe n besteht volle Flexibilität bezüglich der Ausschüttungen im Falle der in Artikel 69 Buchstabe a Ziffern i und ii genannten Basiseigenmittelbestandteile, wenn alle folgenden Bedingungen erfüllt sind:

  1. es gibt keine bevorzugten Ausschüttungen hinsichtlich der Reihenfolge der Ausschüttungszahlungen, und die Bedingungen der vertraglichen Vereinbarung für den Eigenmittelbestandteil sehen keine Vorzugsrechte in Bezug auf die Zahlung von Ausschüttungen vor;
  2. die Ausschüttungen werden aus den ausschüttungsfähigen Bestandteilen vorgenommen;
  3. die Höhe der Ausschüttungen wird nicht auf Grundlage des Betrags bestimmt, für den der Eigenmittelbestandteil zum Zeitpunkt der Emission erworben wurde, und es gibt keine Obergrenze oder sonstige Beschränkungen für den Höchstbetrag der Ausschüttung;
  4. ungeachtet des Buchstabens c können bei Instrumenten von Versicherungsvereinen auf Gegenseitigkeit und diesen vergleichbaren Unternehmen eine Obergrenze oder sonstige Beschränkungen für den Höchstbetrag der Ausschüttung festgelegt werden, sofern es sich bei dieser Obergrenze oder sonstigen Beschränkung nicht um ein Ereignis handelt, das an die Zahlung oder Nichtzahlung von Ausschüttungen auf andere Eigenmittelbestandteile geknüpft ist;
  5. das Versicherungs- oder Rückversicherungsunternehmen ist nicht zur Zahlung von Ausschüttungen verpflichtet;
  6. die Nichtzahlung von Ausschüttungen stellt kein Ausfallereignis des Versicherungs- oder Rückversicherungsunternehmens dar;
  7. durch die Annullierung der Ausschüttungen entstehen keine Einschränkungen für das Versicherungs- oder Rückversicherungsunternehmen.

4. Für die Zwecke des Absatzes 1 Buchstabe n besteht volle Flexibilität bezüglich der Ausschüttungen im Falle der in Artikel 69 Buchstabe a Ziffern iii und v sowie in Artikel 69 Buchstabe b genannten Basiseigenmittelbestandteile, wenn alle folgenden Bedingungen erfüllt sind:

  1. die Ausschüttungen werden aus den ausschüttungsfähigen Bestandteilen vorgenommen;
  2. es liegt jederzeit im freien Ermessen der Versicherungs- und Rückversicherungsunternehmen, Ausschüttungen in Bezug auf den Eigenmittelbestandteil auf unbegrenzte Zeit und auf nicht kumulierter Basis zu annullieren, und die Unternehmen können uneingeschränkt auf die annullierten Zahlungen zugreifen, um fälligen Verpflichtungen nachzukommen;
  3. es besteht keine Verpflichtung, die Ausschüttung durch eine Zahlung in einer anderen Form zu ersetzen;
  4. es besteht keine Verpflichtung zur Vornahme von Ausschüttungen in dem Fall, dass eine Ausschüttung auf einen anderen Eigenmittelbestandteil vorgenommen wird;
  5. die Nichtzahlung von Ausschüttungen stellt kein Ausfallereignis des Versicherungs- oder Rückversicherungsunternehmens dar;
  6. durch die Annullierung der Ausschüttungen entstehen keine Einschränkungen für das Versicherungs- oder Rückversicherungsunternehmen.

5. Für die Zwecke des Absatzes 1 Buchstabe e Ziffer i wird der Nominal- oder Kapitalbetrag des Basiseigenmittelbestandteils so abgeschrieben, dass sich alles Folgende verringert:

  1. der Anspruch des Inhabers dieses Bestandteils im Falle eines Liquidationsverfahrens;
  2. der bei Rückzahlung oder Tilgung dieses Bestandteils zu zahlende Betrag;
  3. die auf diesen Bestandteil gezahlten Ausschüttungen.

5a. Für die Zwecke von Absatz 1 Buchstabe e Ziffer i gewährleisten die für die Abschreibung des Nominal- oder Kapitalbetrags des Basiseigenmittelbestandteils maßgeblichen Bestimmungen alles Folgende:

  1. Ist das in Absatz 8 genannte Auslöseereignis unter den in Absatz 8 Unterabsatz 2 Buchstabe c genannten Umständen eingetreten und würde eine teilweise Abschreibung ausreichen, um erneut für die Einhaltung der Solvenzkapitalanforderung zu sorgen, wird der Nominal- oder Kapitalbetrag teilweise abgeschrieben und zwar in einer Höhe, die mindestens ausreicht, um erneut für die Einhaltung der Solvenzkapitalanforderung zu sorgen;
  2. Ist das in Absatz 8 genannte Auslöseereignis unter den in Absatz 8 Unterabsatz 2 Buchstabe c genannten Umständen eingetreten und würde eine teilweise Abschreibung nicht ausreichen, um erneut für die Einhaltung der Solvenzkapitalanforderung zu sorgen, wird der zum Zeitpunkt der erstmaligen Emission des Basiseigenmittelbestandteils bestimmte Nominal- oder Kapitalbetrag zumindest linear und in einer Weise abgeschrieben, die gewährleistet, dass die Abschreibung bei oder vor Erreichen einer 75 %igen Bedeckung der Solvenzkapitalanforderung gänzlich vollzogen ist;
  3. Ist das in Absatz 8 genannte Auslöseereignis unter den in Absatz 8 Unterabsatz 2 Buchstaben a oder b genannten Umständen eingetreten, wird der Nominal- oder Kapitalbetrag zur Gänze abgeschrieben;
  4. Nach einer Abschreibung gemäß Buchstabe b ('erstmalige Abschreibung'):
    1. Tritt das in Absatz 8 genannte Auslöseereignis danach unter den in Absatz 8 Unterabsatz 2 Buchstaben a oder b genannten Umständen ein, wird der Nominal- oder Kapitalbetrag zur Gänze abgeschrieben;
    2. Hat es innerhalb der ersten drei Monate nach dem Zeitpunkt des Auslöseereignisses, das zur erstmaligen Abschreibung geführt hat, kein Auslöseereignis unter den in Absatz 8 Unterabsatz 2 Buchstaben a oder b genannten Umständen gegeben, sich die Solvabilitätsquote aber weiter verschlechtert, wird der zum Zeitpunkt der ursprünglichen Emission des Basiseigenmittelbestandteils bestimmte Nominal- oder Kapitalbetrag gemäß Buchstabe b des vorliegenden Absatzes weiter abgeschrieben, um dieser weiteren Verschlechterung der Solvabilitätsquote Rechnung zu tragen;
    3. Am Ende jedes nachfolgenden Dreimonatszeitraums wird für jede nachfolgende Verschlechterung der Solvabilitätsquote so lange eine weitere Abschreibung gemäß Ziffer ii vorgenommen, bis das Versicherungs- oder Rückversicherungsunternehmen die Solvenzkapitalanforderung erneut erfüllt.

Für die Zwecke dieses Absatzes bezeichnet 'Solvabilitätsquote' die Quote aus den zur Bedeckung der Solvenzkapitalanforderung anrechenbaren Eigenmitteln und der Solvenzkapitalanforderung unter Verwendung der aktuellsten verfügbaren Werte.

6. Für die Zwecke des Absatzes 1 Buchstabe e Ziffer ii wird in den für die Umwandlung in die in Artikel 69 Buchstabe a Ziffer i oder ii genannten Basiseigenmittelbestandteile maßgeblichen Bestimmungen eine der folgenden beiden Größen angegeben:

  1. der Umwandlungssatz und eine Obergrenze für den zulässigen Umwandlungsbetrag;
  2. eine Bandbreite, innerhalb deren die Instrumente in die in Artikel 69 Buchstabe a Ziffer i oder ii genannten Basiseigenmittelbestandteile umgewandelt werden.

6a. Für die Zwecke von Absatz 1 Buchstabe e Ziffer ii gewährleisten die für die Umwandlung in die in Artikel 69 Buchstabe a Ziffer i oder ii genannten Basiseigenmittelbestandteile maßgeblichen Bestimmungen alles Folgende:

  1. Ist das in Absatz 8 genannte Auslöseereignis unter den in Absatz 8 Unterabsatz 2 Buchstabe c genannten Umständen eingetreten und würde eine teilweise Umwandlung ausreichen, um erneut für die Einhaltung der Solvenzkapitalanforderung zu sorgen, wird der Bestandteil teilweise umgewandelt und zwar in einer Höhe, die mindestens ausreicht, um erneut für die Einhaltung der Solvenzkapitalanforderung zu sorgen;
  2. Ist das in Absatz 8 genannte Auslöseereignis unter den in Absatz 8 Unterabsatz 2 Buchstabe c genannten Umständen eingetreten und würde eine teilweise Umwandlung nicht ausreichen, um erneut für die Einhaltung der Solvenzkapitalanforderung zu sorgen, wird der Bestandteil so umgewandelt, dass sein verbleibender Nominal- oder Kapitalbetrag zumindest linear abnimmt und gewährleistet ist, dass er bei oder vor Erreichen einer 75 %igen Bedeckung der Solvenzkapitalanforderung zur Gänze umgewandelt ist;
  3. Ist das in Absatz 8 genannte Auslöseereignis unter den in Absatz 8 Unterabsatz 2 Buchstaben a oder b genannten Umständen eingetreten, wird der Bestandteil zur Gänze umgewandelt;
  4. Nach einer Umwandlung gemäß Buchstabe b ('erstmalige Umwandlung'):
    1. Tritt das in Absatz 8 genannte Auslöseereignis danach unter den in Absatz 8 Unterabsatz 2 Buchstaben a oder b genannten Umständen ein, wird der Bestandteil zur Gänze umgewandelt;
    2. Hat es innerhalb der ersten drei Monate nach dem Zeitpunkt des Auslöseereignisses, das zur erstmaligen Umwandlung geführt hat, kein Auslöseereignis unter den in Absatz 8 Unterabsatz 2 Buchstaben a oder b genannten Umständen gegeben, sich die Solvabilitätsquote aber weiter verschlechtert, wird der Bestandteil gemäß Buchstabe b des vorliegenden Absatzes weiter umgewandelt, um dieser weiteren Verschlechterung der Solvabilitätsquote Rechnung zu tragen;
    3. Am Ende jedes nachfolgenden Dreimonatszeitraums wird für jede nachfolgende Verschlechterung der Solvabilitätsquote so lange eine weitere Umwandlung gemäß Ziffer ii vorgenommen, bis das Versicherungs- oder Rückversicherungsunternehmen die Solvenzkapitalanforderung wieder erfüllt.

Für die Zwecke dieses Absatzes hat der Begriff 'Solvabilitätsquote' die gleiche Bedeutung wie für die Zwecke des Absatzes 5a.

7. Der Nominal- oder Kapitalbetrag des Basiseigenmittelbestandteils gleicht bei Eintritt des Auslöseereignisses Verluste aus. Ein aus der Annullierung oder Minderung von Ausschüttungen resultierender Verlustausgleich wird nicht als ausreichend angesehen, um als Verlustausgleichsmechanismus im Sinne des Absatzes 1 Buchstabe e gelten zu können.

8. Das in Absatz 1 Buchstabe e genannte Auslöseereignis ist eine signifikante Nichteinhaltung der Solvenzkapitalanforderung.

Für die Zwecke dieses Absatzes gilt die Nichteinhaltung der Solvenzkapitalanforderung als signifikant, wenn eine der folgenden Bedingungen erfüllt ist:

  1. der Betrag der auf die Solvenzkapitalanforderung anrechnungsfähigen Eigenmittelbestandteile beläuft sich auf 75 % der Solvenzkapitalanforderung oder weniger;
  2. der Betrag der auf die Mindestkapitalanforderung anrechnungsfähigen Eigenmittelbestandteile beläuft sich auf die Mindestkapitalanforderung oder weniger;
  3. die Einhaltung der Solvenzkapitalanforderung wird nicht innerhalb von drei Monaten, nachdem die Nichteinhaltung der Solvenzkapitalanforderung erstmalig festgestellt wurde, wiederhergestellt.

Zusätzlich zu den unter den Buchstaben a bis c genannten Ereignissen können die Versicherungs- und Rückversicherungsunternehmen in den für das Instrument geltenden Bestimmungen ein oder mehrere weitere Auslöseereignisse festlegen.

9. Für die Zwecke des Absatzes 1 Buchstaben d, j und l sind Bezugnahmen auf die Solvenzkapitalanforderung als Bezugnahmen auf die Mindestkapitalanforderung zu verstehen, falls die Nichteinhaltung der Mindestkapitalanforderung vor der Nichteinhaltung der Solvenzkapitalanforderung eintritt.

10. Unbeschadet der Anforderung in Absatz 1 Buchstabe e, wonach bei Eintritt des in Absatz 8 festgelegten Auslöseereignisses der Kapitalverlustausgleichsmechanismus greifen muss, kann der Basiseigenmittelbestandteil es zulassen, dass von dieser Anforderung abgesehen wird, wenn alle folgenden Voraussetzungen erfüllt sind:

  1. Das Auslöseereignis tritt unter den in Absatz 8 Unterabsatz 2 Buchstabe c beschriebenen Umständen ein;
  2. Es hat zuvor keine Auslöseereignisse unter den in Absatz 8 Unterabsatz 2 Buchstaben a oder b beschriebenen Umständen gegeben;
  3. Die Aufsichtsbehörde erklärt sich ausnahmsweise damit einverstanden, von einem Auslösen des Kapitalverlustausgleichsmechanismus abzusehen, wenn ihr die beiden folgenden Informationen vorliegen:
    1. Projektionen, die das Versicherungs- oder Rückversicherungsunternehmen ihr bei Übermittlung des in Artikel 138 Absatz 2 der Richtlinie 2009/138/EG verlangten Sanierungsplans vorlegt, aus denen hervorgeht, dass ein Auslösen des Kapitalverlustausgleichsmechanismus in diesem Fall mit großer Wahrscheinlichkeit eine Steuerschuld nach sich zöge, die die Solvabilität des Unternehmens schwer beeinträchtigen würde;
    2. eine Bescheinigung der gesetzlichen Abschlussprüfer des Unternehmens, wonach alle den Projektionen zugrunde liegenden Annahmen realistisch sind.

(11) Unbeschadet der Anforderung in Absatz 1 Buchstabe f Ziffer ii kann der Basiseigenmittelbestandteil eine Rückzahlung oder Tilgung vor diesem Zeitraum zulassen, wenn alle nachstehend genannten Voraussetzungen erfüllt sind:

  1. Unter Berücksichtigung der Solvenz des Unternehmens einschließlich seines mittelfristigen Kapitalmanagementplans ist die Solvenzkapitalanforderung des Unternehmens nach der Rückzahlung oder Tilgung zuzüglich einer angemessenen Sicherheitsmarge bedeckt;
  2. Die Umstände sind wie unter Ziffer i oder ii beschrieben:
    1. Es gibt eine Änderung bei der aufsichtsrechtlichen Einstufung des Basiseigenmittelbestandteils, die wahrscheinlich zu dessen Ausschluss aus den Eigenmitteln oder zu einer Neueinstufung in eine niedrigere Kategorie führen würde, und beide nachstehend genannten Voraussetzungen sind erfüllt:
      • die Aufsichtsbehörde hält es für ausreichend sicher, dass eine solche Änderung stattfindet;
      • das Unternehmen weist der Aufsichtsbehörde gegenüber hinreichend nach, dass die aufsichtsrechtliche Neueinstufung des Basiseigenmittelbestandteils zum Zeitpunkt seiner Emission nach vernünftigem Ermessen nicht vorherzusehen war;
    2. Es gibt eine Änderung bei der steuerlichen Behandlung des Basiseigenmittelbestanteils, und das Unternehmen weist der Aufsichtsbehörde gegenüber hinreichend nach, dass diese wesentlich ist und zum Zeitpunkt der Emission des Basiseigenmittelbestandteils nach vernünftigem Ermessen nicht vorherzusehen war.

Artikel 72 Tier-2-Basiseigenmittel - Liste der Eigenmittelbestandteile

Folgende Basiseigenmittelbestandteile gelten als Bestandteile, die die in Artikel 93 Absatz 1 Buchstabe b der Richtlinie 2009/138/EG genannten Merkmale weitgehend aufweisen, wobei die in Artikel 93 Absatz 2 genannten Merkmale berücksichtigt werden, und werden als Tier 2 eingestuft, sofern die folgenden Bestandteile sämtliche in Artikel 73 aufgeführten Merkmale aufweisen:

  1. der Teil des Überschusses der Vermögenswerte über die Verbindlichkeiten, die gemäß Artikel 75 und Kapitel VI Abschnitt 2 der Richtlinie 2009/138/EG bewertet werden, der die folgenden Bestandteile umfasst:
    1. Grundkapital und zugehöriges Emissionsagiokonto;
    2. Gründungsstock, Mitgliederbeiträge oder entsprechender Basiseigenmittelbestandteil bei Versicherungsvereinen auf Gegenseitigkeit und diesen ähnlichen Unternehmen;
    3. nachrangige Mitgliederkonten von Versicherungsvereinen auf Gegenseitigkeit;
    4. Vorzugsaktien und zugehöriges Emissionsagiokonto;
  2. nachrangige Verbindlichkeiten, die gemäß Artikel 75 der Richtlinie 2009/138/EG bewertet werden.

Artikel 73 Tier-2-Basiseigenmittel - Für die Einstufung maßgebliche Merkmale16 16a 19

1. Die in Artikel 72 genannten Merkmale beinhalten entweder die in den Buchstaben a bis i oder die in Buchstabe j dargelegten Merkmale:

  1. der Basismittelbestandteil ist gegenüber den Ansprüchen aller Versicherungsnehmer, Anspruchsberechtigten und nicht nachrangigen Gläubigern nachrangig;
  2. der Basiseigenmittelbestandteil weist keine Merkmale auf, die die Insolvenz des Versicherungs- oder Rückversicherungsunternehmens verursachen oder den Prozess der Insolvenz des Unternehmens beschleunigen können;
  3. der Basismittelbestandteil ist unbefristet oder hat eine Ursprungslaufzeit von mindestens zehn Jahren; die erste vertragliche Möglichkeit zur Rückzahlung oder Tilgung des Basiseigenmittelbestandteils besteht frühestens nach Ablauf von fünf Jahren ab dem Emissionstag;
  4. der Basiseigenmittelbestandteil kann nur auf Initiative des Versicherungs- oder Rückversicherungsunternehmens zurückgezahlt oder getilgt werden, und die Rückzahlung oder Tilgung des Basiseigenmittelbestandteils bedarf der vorherigen aufsichtlichen Genehmigung;
  5. der Basiseigenmittelbestandteil darf begrenzte Anreize zur Rückzahlung oder Tilgung dieses Basiseigenmittelbestandteils enthalten, sofern diese nicht früher als zehn Jahre nach dem Emissionsdatum greifen;
  6. der Basiseigenmittelbestandteil sieht die Aussetzung der Rückzahlung oder Tilgung dieses Bestandteils vor, falls die Solvenzkapitalanforderung nicht eingehalten wird oder die Rückzahlung oder Tilgung zu einer solchen Nichteinhaltung führen würde, und zwar solange, bis das Unternehmen die Solvenzkapitalanforderung einhält und die Rückzahlung oder Tilgung nicht zu einer Nichteinhaltung der Solvenzkapitalanforderung führen würde;
  7. der Basiseigenmittelbestandteil erfüllt eines der folgenden Kriterien:
    1. im Falle der in Artikel 72 Buchstabe a Ziffern i und ii genannten Bestandteile ermöglichen die für den Basiseigenmittelbestandteil geltenden gesetzlichen oder vertraglichen Vereinbarungen oder nationalen Rechtsvorschriften den Aufschub der Ausschüttungen in Bezug auf diesen Bestandteil, falls die Solvenzkapitalanforderung nicht eingehalten wird oder die Ausschüttung zu einer solchen Nichteinhaltung führen würde, und zwar solange, bis das Unternehmen die Solvenzkapitalanforderung einhält und die Ausschüttung nicht zu einer Nichteinhaltung der Solvenzkapitalanforderung führen würde;
    2. im Falle der in Artikel 72 Buchstabe a Ziffern iii und iv sowie Artikel 72 Buchstabe b genannten Bestandteile sehen die für den Basiseigenmittelbestandteil geltenden vertraglichen Vereinbarungen den Aufschub der Ausschüttungen in Bezug auf diesen Bestandteil vor, falls die Solvenzkapitalanforderung nicht eingehalten wird oder die Ausschüttung zu einer solchen Nichteinhaltung führen würde, und zwar solange, bis das Unternehmen die Solvenzkapitalanforderung einhält und die Ausschüttung nicht zu einer Nichteinhaltung der Solvenzkapitalanforderung führen würde;
  8. der Basiseigenmittelbestandteil darf eine Ausschüttung für den Fall, dass die Solvenzkapitalanforderung nicht eingehalten wird oder die Ausschüttung auf einen Basiseigenmittelbestandteil zu einer solchen Nichteinhaltung führen würde, nur dann gestatten, wenn alle folgenden Bedingungen erfüllt sind:
    1. die Aufsichtsbehörde hat ausnahmsweise auf den Aufschub der Ausschüttungen verzichtet;
    2. die Solvabilität des Versicherungs- oder Rückversicherungsunternehmens wird durch die Zahlung nicht weiter geschwächt;
    3. die Mindestkapitalanforderung wird nach der Ausschüttung eingehalten;
  9. der Basiseigenmittelbestandteil ist frei von Belastungen und ist nicht mit einer anderen Transaktion verbunden, die bei gemeinsamer Betrachtung mit dem Basiseigenmittelbestandteil dazu führen könnte, dass der Basiseigenmittelbestandteil Artikel 94 Absatz 2 Unterabsatz 1 der Richtlinie 2009/138/EG nicht erfüllt;
  10. der Basiseigenmittelbestandteil weist die in Artikel 71 aufgeführten Merkmale auf, die für die in Artikel 69 Buchstabe a Ziffern iii und v sowie Artikel 69 Buchstabe b genannten Basiseigenmittelbestandteile relevant sind, überschreitet jedoch die in Artikel 82 Absatz 3 festgelegte Obergrenze.

Ungeachtet des Buchstabens f darf der Basiseigenmittelbestandteil die Rückzahlung oder Tilgung dieses Bestandteils für den Fall, dass die Solvenzkapitalanforderung nicht eingehalten wird oder die Rückzahlung oder Tilgung zu einer solchen Nichteinhaltung führen würde, nur dann gestatten, wenn alle folgenden Bedingungen erfüllt sind:

  1. die Aufsichtsbehörde hat ausnahmsweise auf die Aussetzung der Rückzahlung oder Tilgung dieses Bestandteils verzichtet;
  2. der Bestandteil wird durch einen anderen Tier-1- oder Tier-2-Basismittelbestandteil mindestens gleicher Qualität ersetzt oder in einen solchen Bestandteil umgewandelt;
  3. die Mindestkapitalanforderung wird nach der Rückzahlung oder Tilgung eingehalten.

2. Für die Zwecke dieses Artikels gelten der Umtausch oder die Umwandlung eines Basiseigenmittelbestandteils in einen anderen Tier-1- oder Tier-2-Basiseigenmittelbestandteil oder die Rückzahlung oder Tilgung eines Tier-2-Basiseigenmittelbestandteils aus dem Erlös eines neuen Basiseigenmittelbestandteils mindestens gleicher Qualität nicht als Rückzahlung oder Tilgung, sofern der Umtausch, die Umwandlung, Rückzahlung oder Tilgung vorab von der Aufsichtsbehörde genehmigt werden muss.

3. Für die Zwecke des Absatzes 1 Buchstaben f und g sind Bezugnahmen auf die Solvenzkapitalanforderung als Bezugnahmen auf die Mindestkapitalanforderung zu verstehen, falls die Nichteinhaltung der Mindestkapitalanforderung vor der Nichteinhaltung der Solvenzkapitalanforderung eintritt.

4. Für die Zwecke des Absatzes 1 Buchstabe e sehen Unternehmen Rückzahlungsanreize in Form eines steigenden Zinssatzes (Stepup) in Verbindung mit einer Kaufoption als begrenzte Anreize an, wenn der Zinsanstieg die Form einer einmaligen Kuponanhebung annimmt und zu einer Erhöhung des Ursprungszinssatzes führt, die den höheren der folgenden Werte nicht übersteigt:

  1. 100 Basispunkte abzüglich des Swap-Spreads zwischen der ursprünglichen Indexbasis und der erhöhten Indexbasis;
  2. 50 % des ursprünglichen Kredit-Spreads abzüglich des Swap-Spreads zwischen der ursprünglichen Indexbasis und der erhöhten Indexbasis.

5. Unbeschadet der Anforderung in Absatz 1 Buchstabe c kann der Basiseigenmittelbestandteil eine Rückzahlung oder Tilgung vor Ablauf der fünf Jahre zulassen, wenn alle nachstehend genannten Voraussetzungen erfüllt sind:

  1. Unter Berücksichtigung der Solvenz des Unternehmens einschließlich seines mittelfristigen Kapitalmanagementplans ist die Solvenzkapitalanforderung des Unternehmens nach der Rückzahlung oder Tilgung zuzüglich einer angemessenen Sicherheitsmarge bedeckt;
  2. Die Umstände sind wie unter Ziffer i oder ii beschrieben:
    1. Es gibt eine Änderung bei der aufsichtsrechtlichen Einstufung des Basiseigenmittelbestandteils, die wahrscheinlich zu dessen Ausschluss aus den Eigenmitteln oder zu einer Neueinstufung in eine niedrigere Kategorie führen würde, und beide nachstehend genannten Voraussetzungen sind erfüllt:
      • die Aufsichtsbehörde hält es für ausreichend sicher, dass eine solche Änderung stattfindet;
      • das Unternehmen weist der Aufsichtsbehörde gegenüber hinreichend nach, dass die aufsichtsrechtliche Neueinstufung des Basiseigenmittelbestandteils zum Zeitpunkt seiner Emission nach vernünftigem Ermessen nicht vorherzusehen war;
    2. Es gibt eine Änderung bei der steuerlichen Behandlung des Basiseigenmittelbestanteils, und das Unternehmen weist der Aufsichtsbehörde gegenüber hinreichend nach, dass diese wesentlich ist und zum Zeitpunkt der Emission des Basiseigenmittelbestandteils nach vernünftigem Ermessen nicht vorherzusehen war.

Artikel 74 Ergänzende Tier-2-Eigenmittel - Liste der Eigenmittelbestandteile

Unbeschadet des Artikels 96 der Richtlinie 2009/138/EG gelten folgende Basiseigenmittelbestandteile als Bestandteile, die die in Artikel 93 Absatz 1 Buchstabe b der Richtlinie 2009/138/EG genannten Merkmale weitgehend aufweisen, wobei die in Artikel 93 Absatz 2 der genannten Richtlinie aufgeführten Merkmale berücksichtigt werden, und werden als Tier 2 eingestuft, sofern die folgenden Bestandteile sämtliche in Artikel 75 aufgeführten Merkmale aufweisen:

  1. nicht eingezahltes und nicht eingefordertes Grundkapital, das auf Verlangen eingefordert werden kann;
  2. nicht eingezahlter und nicht eingeforderter Gründungsstock, Mitgliederbeiträge oder entsprechender Basiseigenmittelbestandteil bei Versicherungsvereinen auf Gegenseitigkeit und diesen ähnlichen Unternehmen, die auf Verlangen eingefordert werden können;
  3. nicht eingezahlte und nicht eingeforderte Vorzugsaktien, die auf Verlangen eingefordert werden können;
  4. eine rechtsverbindliche Verpflichtung, auf Verlangen nachrangige Verbindlichkeiten zu zeichnen und zu begleichen;
  5. Akkreditive und Garantien, die zugunsten von Versicherungsgläubigern von einem unabhängigen Treuhänder treuhänderisch verwaltet werden und von Kreditinstituten ausgestellt werden, die gemäß Artikel 8 der Richtlinie 2013/36/EU zugelassen sind;
  6. Akkreditive und Garantien, sofern die Bestandteile bei Bedarf eingefordert werden können und frei von Belastungen sind;
  7. bei von Reedern gegründeten Versicherungsvereinen auf Gegenseitigkeit und diesen ähnlichen Vereinen mit variablen en Beitragseinnahm, die ausschließlich die in den Zweigen 6, 12 und 17 des Anhangs I Teil a der Richtlinie 2009/138/EG genannten Risiken versichern, alle künftigen Ansprüche, die sie gegenüber ihren Mitgliedern während der folgenden zwölf Monate mittels Aufforderung zur Beitragsnachzahlung geltend machen können;
  8. bei Versicherungsvereinen auf Gegenseitigkeit oder diesen ähnlichen Vereinen alle künftigen Ansprüche, die sie gegenüber ihren Mitgliedern mittels der Aufforderung zur Beitragsnachzahlung während der folgenden zwölf Monate geltend machen können, sofern eine Einforderung bei Bedarf erfolgen kann und frei von Belastungen ist;
  9. sonstige rechtlich bindende Verpflichtungen, die das Versicherungs- oder Rückversicherungsunternehmen erhalten hat, sofern der Bestandteil bei Bedarf eingefordert werden kann und frei von Belastungen ist.

Artikel 75 Ergänzende Tier-2-Eigenmittel - Für die Einstufung maßgebliche Merkmale

Um als Tier 2 eingestuft zu werden, müssen die in Artikel 74 genannten ergänzenden Eigenmittelbestandteile, nachdem der Bestandteil eingefordert und eingezahlt wurde, die Merkmale eines gemäß den Artikeln 69 und 71 als Tier 1 eingestuften Basiseigenmittelbestandteils aufweisen.

Artikel 76 Tier-3-Basiseigenmittel - Liste der Eigenmittelbestandteile

Folgende Basiseigenmittelbestandteile gelten als Bestandteile, die die in Artikel 93 Absatz 1 Buchstabe b der Richtlinie 2009/138/EG genannten Merkmale aufweisen, wobei die in Artikel 93 Absatz 2 genannten Merkmale berücksichtigt werden, und werden als Tier 3 eingestuft, sofern die folgenden Bestandteile sämtliche in Artikel 77 genannten Merkmale aufweisen:

  1. der Teil des Überschusses der Vermögenswerte über die Verbindlichkeiten, die gemäß Kapitel VI Abschnitte 1 und 2 der Richtlinie 2009/138/EG bewertet werden, der die folgenden Bestandteile umfasst:
    1. nachrangige Mitgliederkonten von Versicherungsvereinen auf Gegenseitigkeit;
    2. Vorzugsaktien und zugehöriges Emissionsagiokonto;
    3. ein Betrag in Höhe des Werts der latenten Netto-Steueransprüche;
  2. nachrangige Verbindlichkeiten, die gemäß Artikel 75 der Richtlinie 2009/138/EG bewertet werden.

Artikel 77 Tier-3-Basiseigenmittel - Für die Einstufung maßgebliche Merkmale19

1. Die in Artikel 76 genannten Merkmale beinhalten Folgendes:

  1. Der Basiseigenmittelbestandteil ist im Falle der in Artikel 76 Buchstabe a Ziffern i und ii sowie Artikel 76 Buchstabe b genannten Bestandteile gegenüber den Ansprüchen aller Versicherungsnehmer, Anspruchsberechtigten und nicht nachrangigen Gläubigern nachrangig;
  2. der Basiseigenmittelbestandteil weist keine Merkmale auf, die die Insolvenz des Versicherungs- oder Rückversicherungsunternehmens verursachen oder den Prozess der Insolvenz des Unternehmens beschleunigen können;
  3. Der Basiseigenmittelbestandteil ist im Falle der in Artikel 76 Buchstabe a Ziffern i und ii sowie Artikel 76 Buchstabe b genannten Bestandteile unbefristet oder hat eine Ursprungslaufzeit von mindestens fünf Jahren auf, wobei das Fälligkeitsdatum der ersten vertraglichen Möglichkeit zur Rückzahlung oder Tilgung des Basiseigenmittelbestandteils entspricht;
  4. der Basiseigenmittelbestandteil kann im Falle der in Artikel 76 Buchstabe a Ziffern i und ii sowie Artikel 76 Buchstabe b genannten Bestandteile nur auf Initiative des Versicherungs- oder Rückversicherungsunternehmens zurückgezahlt oder getilgt werden, und die Rückzahlung oder Tilgung des Basiseigenmittelbestandteils bedarf der vorherigen aufsichtlichen Genehmigung;
  5. der Basiseigenmittelbestandteil darf im Falle der in Artikel 76 Buchstabe a Ziffern i und ii sowie Artikel 76 Buchstabe b genannten Bestandteile begrenzte Anreize zu seiner Rückzahlung oder Tilgung enthalten;
  6. der Basiseigenmittelbestandteil sieht im Falle der in Artikel 76 Buchstabe a Ziffern i und ii sowie Artikel 76 Buchstabe b genannten Bestandteile die Aussetzung der Rückzahlung oder Tilgung vor, falls die Solvenzkapitalanforderung nicht eingehalten wird oder die Rückzahlung oder Tilgung zu einer solchen Nichteinhaltung führen würde, und zwar so lange, bis das Unternehmen die Solvenzkapitalanforderung einhält und die Rückzahlung oder Tilgung nicht zu einer Nichteinhaltung der Solvenzkapitalanforderung führen würde;
  7. der Basiseigenmittelbestandteil sieht im Falle der in Artikel 76 Buchstabe a Ziffern i und ii sowie Artikel 76 Buchstabe b genannten Bestandteile den Aufschub der Ausschüttungen vor, falls die Mindestkapitalanforderung nicht eingehalten wird oder die Ausschüttung zu einer solchen Nichteinhaltung führen würde, und zwar solange, bis das Unternehmen die Mindestkapitalanforderung einhält und die Ausschüttung nicht zu einer Nichteinhaltung der Mindestkapitalanforderung führen würde;
  8. der Basiseigenmittelbestandteil ist frei von Belastungen und nicht mit einer anderen Transaktion verbunden, die die Merkmale beeinträchtigen könnte, die der Bestandteil gemäß diesem Artikel aufweisen muss.

Ungeachtet des Buchstabens f darf der Basiseigenmittelbestandteil die Rückzahlung oder Tilgung dieses Bestandteils für den Fall, dass die Solvenzkapitalanforderung nicht eingehalten wird oder die Rückzahlung oder Tilgung zu einer solchen Nichteinhaltung führen würde, nur dann gestatten, wenn alle folgenden Bedingungen erfüllt sind:

  1. die Aufsichtsbehörde hat ausnahmsweise auf die Aussetzung der Rückzahlung oder Tilgung dieses Bestandteils verzichtet;
  2. der Bestandteil wird durch einen anderen Tier-1- oder Tier-2-Basismittelbestandteil oder einen Tier-3-Basismittelbestandteil mindestens gleicher Qualität ersetzt oder in einen solchen Bestandteil umgewandelt;
  3. die Mindestkapitalanforderung wird nach der Rückzahlung oder Tilgung eingehalten.

2. Für die Zwecke dieses Artikels gelten der Umtausch oder die Umwandlung eines Basiseigenmittelbestandteils in einen anderen Tier-1- oder Tier-2-Basiseigenmittelbestandteil oder einen Tier 3-Basiseigenmittelbestandteil oder die Rückzahlung oder Tilgung eines Tier-3-Basiseigenmittelbestandteils aus dem Erlös eines neuen Basiseigenmittelbestandteils mindestens gleicher Qualität nicht als Rückzahlung oder Tilgung, sofern der Umtausch, die Umwandlung, die Rückzahlung oder die Tilgung von der Aufsichtsbehörde genehmigt werden muss.

3. Für die Zwecke des Absatzes 1 Buchstabe f sind Bezugnahmen auf die Solvenzkapitalanforderung als Bezugnahmen auf die Mindestkapitalanforderung zu verstehen, falls die Nichteinhaltung der Mindestkapitalanforderung vor der Nichteinhaltung der Solvenzkapitalanforderung eintritt.

4. Für die Zwecke des Absatzes 1 Buchstabe e sehen Unternehmen Rückzahlungsanreize in Form eines steigenden Zinssatzes (Stepup) in Verbindung mit einer Kaufoption als begrenzte Anreize an, wenn der Zinsanstieg die Form einer einmaligen Kuponanhebung annimmt und zu einer Erhöhung des Ursprungszinssatzes führt, die den höheren der folgenden Werte nicht übersteigt:

  1. 100 Basispunkte abzüglich des Swap-Spreads zwischen der ursprünglichen Indexbasis und der erhöhten Indexbasis;
  2. 50 % des ursprünglichen Kredit-Spreads abzüglich des Swap-Spreads zwischen der ursprünglichen Indexbasis und der erhöhten Indexbasis.

5. Unbeschadet der Anforderung in Absatz 1 Buchstabe c kann der Basiseigenmittelbestandteil eine Rückzahlung oder Tilgung vor Ablauf der fünf Jahre nach der Emission zulassen, wenn alle nachstehend genannten Voraussetzungen erfüllt sind:

  1. Unter Berücksichtigung der Solvenz des Unternehmens einschließlich seines mittelfristigen Kapitalmanagementplans ist die Solvenzkapitalanforderung des Unternehmens nach der Rückzahlung oder Tilgung zuzüglich einer angemessenen Sicherheitsmarge bedeckt;
  2. Die Umstände sind wie unter Ziffer i oder ii beschrieben:
    1. Es gibt eine Änderung bei der aufsichtsrechtlichen Einstufung des Basiseigenmittelbestandteils, die wahrscheinlich zu dessen Ausschluss aus den Eigenmitteln führen würde, und beide nachstehend genannten Voraussetzungen sind erfüllt:
      • die Aufsichtsbehörde hält es für ausreichend sicher, dass eine solche Änderung stattfindet;
      • das Unternehmen weist der Aufsichtsbehörde gegenüber hinreichend nach, dass die aufsichtsrechtliche Neueinstufung des Basiseigenmittelbestandteils zum Zeitpunkt seiner Emission nach vernünftigem Ermessen nicht vorherzusehen war;
    2. Es gibt eine Änderung bei der steuerlichen Behandlung des Basiseigenmittelbestanteils, und das Unternehmen weist der Aufsichtsbehörde gegenüber hinreichend nach, dass diese wesentlich ist und zum Zeitpunkt der Emission des Basiseigenmittelbestandteils nach vernünftigem Ermessen nicht vorherzusehen war.

Artikel 78 Ergänzende Tier-3-Eigenmittel - Liste der Eigenmittelbestandteile

Ergänzenden Eigenmittelbestandteile, die gemäß Artikel 90 der Richtlinie 2009/138/EG von der Aufsichtsbehörde genehmigt wurden und die nicht sämtliche in Artikel 75 aufgeführten Merkmale aufweisen, werden als ergänzende Tier-3-Eigenmittel eingestuft.

Artikel 79 Genehmigung der Bewertung und Einstufung von Eigenmittelbestandteilen durch die Aufsichtsbehörden

1. Unbeschadet des Artikels 90 der Richtlinie 2009/138/EG sehen die Versicherungs- oder Rückversicherungsunternehmen einen in der Liste der Eigenmittelbestandteile der Artikel 69, 72, 74, 76 und 78 nicht enthaltenen Eigenmittelbestandteil nur dann als Eigenmittel an, wenn sie von der Aufsichtsbehörde eine Genehmigung der Bewertung und Einstufung des Bestandteils erhalten haben.

2. Bei der Genehmigung der Bewertung und Einstufung von Eigenmittelbestandteilen, die nicht in der Liste der Eigenmittelbestandteile der Artikel 69, 72, 74, 76 und 78 enthalten sind, beurteilt die Aufsichtsbehörde auf der Grundlage der vom Versicherungs- oder Rückversicherungsunternehmen übermittelten Dokumente Folgendes:

  1. falls das Unternehmen die Genehmigung für die Einstufung als Tier 1 beantragt, ob der Basiseigenmittelbestandteil die in Artikel 93 Absatz 1 Buchstaben a und b der Richtlinie 2009/138/EG genannten Merkmale weitgehend aufweist, wobei die in Artikel 93 Absatz 2 der genannten Richtlinie genannten Merkmale berücksichtigt werden;
  2. falls das Unternehmen die Einstufung als Tier-2-Basiseigenmittel beantragt, ob der Basiseigenmittelbestandteil die in Artikel 93 Absatz 1 Buchstabe b der Richtlinie 2009/138/EG genannten Merkmale weitgehend aufweist, wobei die in Artikel 93 Absatz 2 der genannten Richtlinie genannten Merkmale berücksichtigt werden;
  3. falls das Unternehmen die Einstufung als ergänzende Tier-2-Eigenmittel beantragt, ob der ergänzende Eigenmittelbestandteil die in Artikel 93 Absatz 1 Buchstaben a und b der Richtlinie 2009/138/EG genannten Merkmale weitgehend aufweist, wobei die in Artikel 93 Absatz 2 der genannten Richtlinie genannten Merkmale berücksichtigt werden;
  4. falls das Unternehmen die Einstufung als Tier-3-Basiseigenmittel beantragt, ob der Basiseigenmittelbestandteil die in Artikel 93 Absatz 1 Buchstabe b der Richtlinie 2009/138/EG genannten Merkmale weitgehend aufweist, wobei die in Artikel 93 Absatz 2 der genannten Richtlinie genannten Merkmale berücksichtigt werden;
  5. die rechtliche Durchsetzbarkeit der vertraglichen Bedingungen des Eigenmittelbestandteils in allen relevanten Rechtsräumen;
  6. ob der Eigenmittelbestandteil vollständig eingezahlt wurde.

3. In der Liste der Eigenmittelbestandteile der Artikel 69, 72 und 76 nicht enthaltene Basiseigenmittelbestandteile werden nur dann als Tier-1-Basiseigenmittel eingestuft, wenn sie vollständig eingezahlt wurden.

4. Für die Einbeziehung von Eigenmittelbestandteilen, die gemäß diesem Artikel von der Aufsichtsbehörde genehmigt wurden, gelten die in Artikel 82 niedergelegten quantitativen Begrenzungen.

Abschnitt 3
Anrechnungsfähigkeit von Eigenmitteln

Unterabschnitt 1
Sonderverbände

Artikel 80 Sonderverbände, die Anpassungen erfordern

1. Die in Artikel 70 Absatz 1 Buchstabe e genannte Ausgleichsrücklage ist zu vermindern, wenn Eigenmittelbestandteile in einem Sonderverband aufgrund ihrer Nichtübertragbarkeit innerhalb des Versicherungs- oder Rückversicherungsunternehmens aus einem der folgenden Gründe eine nur verminderte Verlustausgleichsfähigkeit im laufenden Geschäftsbetrieb aufweisen:

  1. die Bestandteile können nur zur Deckung von Verlusten eines festgelegten Teils der Versicherungsverträge des Versicherungs- oder Rückversicherungsunternehmens verwendet werden;
  2. die Bestandteile können nur zur Deckung von Verlusten in Bezug auf bestimmte Versicherungsnehmer oder Anspruchsberechtigte verwendet werden;
  3. die Bestandteile können nur zur Deckung von Verlusten im Zusammenhang mit bestimmten Risiken oder Verbindlichkeiten verwendet werden.

2. Die in Absatz 1 genannten Eigenmittelbestandteile (nachstehend "gebundene Eigenmittelbestandteile"), enthalten nicht den Wert künftiger den Anteilseignern zurechenbarer Übertragungen.

Artikel 81 Anpassung für Sonderverbände und Matching-Adjustment-Portfolios

1. Für die Zwecke der Berechnung der Ausgleichsrücklage vermindern die Versicherungs- und Rückversicherungsunternehmen den in Artikel 70 genannten Gesamtüberschuss der Vermögenswerte über die Verbindlichkeiten, indem sie die folgenden Beträge miteinander vergleichen:

  1. die gebundenen Eigenmittelbestandteile im Sonderverband oder Matching-Adjustment-Portfolio;
  2. die fiktive Solvenzkapitalanforderung für den Sonderverband oder das Matching-Adjustment-Portfolio.

Berechnet das Versicherungs- oder Rückversicherungsunternehmen die Solvenzkapitalanforderung nach der Standardformel, wird die fiktive Solvenzkapitalanforderung gemäß Artikel 217 berechnet.

Berechnet das Unternehmen die Solvenzkapitalanforderung mit einem internen Modell, wird die fiktive Solvenzkapitalanforderung mit diesem internen Modell so berechnet, als übte das Unternehmen nur die im Sonderverband oder Matching-Adjustment-Portfolio enthaltene Tätigkeit aus.

2. Sind die Vermögenswerte, Verbindlichkeiten und das Risiko in einem Sonderverband unwesentlich, können die Versicherungs- und Rückversicherungsunternehmen abweichend von Absatz 1 die Ausgleichsrücklage um den Gesamtbetrag der gebundenen Eigenmittelbestandteile vermindern.

Unterabschnitt 2
Quantitative Begrenzungen

Artikel 82 Anrechnungsfähigkeit und Begrenzungen für Tier 1, 2 und 3

1. In Bezug auf die Einhaltung der Solvenzkapitalanforderung unterliegen die anrechnungsfähigen Beträge der Tier-2- und Tier-3-Bestandteile allen folgenden quantitativen Begrenzungen:

  1. der anrechnungsfähige Betrag der Tier-1-Bestandteile muss mindestens die Hälfte der Solvenzkapitalanforderung ausmachen;
  2. der anrechnungsfähige Betrag der Tier-3-Bestandteile muss weniger als 15 % der Solvenzkapitalanforderung ausmachen;
  3. die Summe der anrechnungsfähigen Beträge der Tier-2- und Tier-3-Bestandteile darf nicht mehr als 50 % der Solvenzkapitalanforderung ausmachen.

2. In Bezug auf die Einhaltung der Mindestkapitalanforderungen unterliegen die anrechnungsfähigen Beträge der Tier-2-Bestandteile allen folgenden quantitativen Begrenzungen:

  1. der anrechnungsfähige Betrag der Tier-1-Bestandteile muss mindestens 80 % der Mindestkapitalanforderung ausmachen;
  2. die anrechnungsfähigen Beträge der Tier-2-Bestandteile darf nicht mehr als 20 % der Mindestkapitalanforderung ausmachen.

3. Innerhalb der in Absatz 1 Buchstabe a und Absatz 2 Buchstabe a genannten Begrenzung darf die Summe der folgenden Basiseigenmittelbestandteile nicht mehr als 20 % des Gesamtbetrags der Tier-1-Bestandteile ausmachen:

  1. in Artikel 69 Buchstabe a Ziffer iii genannte Bestandteile;
  2. in Artikel 69 Buchstabe a Ziffer v genannte Bestandteile;
  3. in Artikel 69 Buchstabe b genannte Bestandteile;
  4. Bestandteile, die im Rahmen der in Artikel 308b Absatz 9 der Richtlinie 2009/138/EG dargelegten Übergangsregelung in die Tier-1-Basiseigenmittel aufgenommen werden.

Kapitel V
Standardformel für die Solvenzkapitalanforderung

Abschnitt 1
Allgemeine Bestimmungen

Unterabschnitt 1
Szenariobasierte Berechnungen

Artikel 8316

1. Basiert die Berechnung eines Moduls oder Untermoduls der Basissolvenzkapitalanforderung auf den Auswirkungen eines Szenarios auf die Basiseigenmittel der Versicherungs- und Rückversicherungsunternehmen, werden bei dieser Berechnung alle folgenden Annahmen zugrunde gelegt:

  1. das Szenario hat keinen Einfluss auf den Betrag der in den versicherungstechnischen Rückstellungen enthaltenen Risikomarge;
  2. das Szenario hat keinen Einfluss auf den Wert der latenten Steueransprüche und -schulden;
  3. das Szenario hat keinen Einfluss auf den Wert der in den versicherungstechnischen Rückstellungen enthaltenen künftigen Überschussbeteiligungen;
  4. während des Szenarios werden von dem Unternehmen keine Maßnahmen des Managements ergriffen.

2. Die Neuberechnung der versicherungstechnischen Rückstellungen, die sich aus der Ermittlung der Auswirkungen eines Szenarios auf die Basiseigenmittel der Versicherungs- und Rückversicherungsunternehmen nach Maßgabe des Absatzes 1 ergeben, hat keinen Einfluss auf den Wert künftiger Überschussbeteiligungen, und trägt allem Folgenden Rechnung:

  1. unbeschadet des Absatzes 1 Buchstabe d künftigen Maßnahmen des Managements nach dem Szenario, sofern sie Artikel 23 erfüllen;
  2. allen wesentlichen nachteiligen Auswirkungen des Szenarios oder der unter Buchstabe a genannten Maßnahmen des Managements auf die Wahrscheinlichkeit, dass die Versicherungsnehmer vertragliche Optionen ausüben werden.

3. Die Versicherungs- und Rückversicherungsunternehmen können für die Berechnung der versicherungstechnischen Rückstellungen aufgrund der Ermittlung der Auswirkungen eines Szenarios im Sinne des Absatzes 1 vereinfachte Methoden anwenden, sofern die vereinfachte Methode nicht zu einer falschen Darstellung der Solvenzkapitalanforderung führt, die die Adressaten der Informationen über die Solvenzkapitalanforderung in ihren Entscheidungen oder Beurteilungen beeinflussen könnte, es sei denn, die vereinfachte Berechnung führt zu einer höheren Solvenzkapitalanforderung als die Berechnung nach der Standardformel.

4. Die Berechnung der Vermögenswerte und Verbindlichkeiten aufgrund der Ermittlung der Auswirkungen eines Szenarios nach Maßgabe des Absatzes 1 trägt den Auswirkungen des Szenarios auf den Wert aller relevanten vom Unternehmen gehaltenen risikomindernden Instrumente Rechnung, die die Artikel 209 bis 215 erfüllen.

5. Würde das Szenario zu einer Erhöhung der Basiseigenmittel der Versicherungs- und Rückversicherungsunternehmen führen, wird bei der Berechnung des Modul oder Untermoduls die Annahme zugrundegelegt, dass das Szenario keine Auswirkungen auf die Basiseigenmittel hat.

Unterabschnitt 2
Look-Through-Ansatz

Artikel 8416 19

1. Die Solvenzkapitalanforderung wird auf der Grundlage eines jeden Vermögenswerts berechnet, der Organismen für gemeinsame Anlagen und anderen Anlagen in Fondsform zugrunde liegt (Lookthrough-Ansatz).

2. Der in Absatz 1 genannte Lookthrough-Ansatz wird auch auf Folgendes angewandt:

  1. andere indirekte Marktrisikopositionen als Organismen für gemeinsame Anlagen oder Anlagen in Fondsform;
  2. indirekte versicherungstechnische Risikopositionen;
  3. indirekte Gegenparteirisikopositionen;

3. Ist Artikel 88 erfüllt und kann der Look-Through-Ansatz auf Organismen für gemeinsame Anlagen oder Anlagen in Fondsform nicht angewandt werden, darf die Solvenzkapitalanforderung auf der Grundlage der Zielallokation der Basiswerte oder für den Fall, dass dem Unternehmen die Zielallokation der Basiswerte nicht bekannt ist, auf der Grundlage der zuletzt von dem Organismus für gemeinsame Anlagen oder dem Fonds gemeldeten Basiswertallokation berechnet werden, sofern in beiden Fällen die Basiswerte entsprechend dieser Zielallokation bzw. zuletzt gemeldeten Basiswertallokation verwaltet werden und nicht erwartet wird, dass Risikopositionen und Risiken auf kurze Sicht wesentlichen Schwankungen unterworfen sind.

Für die Zwecke dieser Berechnung dürfen Datengruppierungen verwendet werden, sofern diese eine vorsichtige Berechnung aller maßgeblichen Untermodule und Szenarien der Standardformel ermöglichen und auf höchstens 20 % des Gesamtwerts der Vermögenswerte des Versicherungs- oder Rückversicherungsunternehmens angewandt werden.

3a. Bei der Bestimmung des prozentualen Anteils der Vermögenswerte, bei denen gemäß Absatz 3 Datengruppierungen verwendet werden, lassen die Versicherungs- oder Rückversicherungsunternehmen Vermögenswerte, die dem Organismus für gemeinsame Anlagen oder Anlagen in Fondsform zugrunde liegen und fondsgebundene oder indexgebundene Verpflichtungen, bei denen das Marktrisiko von den Versicherungsnehmern getragen wird, besichern, unberücksichtigt.

4. Die Absätze 1 und 2 gelten nicht für Beteiligungen an verbundenen Unternehmen außer für solche, bei denen alle folgenden Voraussetzungen erfüllt sind:

  1. Der Hauptzweck des verbundenen Unternehmens besteht darin, im Namen des beteiligten Unternehmens Vermögenswerte zu halten und zu verwalten;
  2. Das verbundene Unternehmen unterstützt die mit Anlagetätigkeiten verbundenen Tätigkeiten des beteiligten Unternehmens gemäß einem spezifischen dokumentierten Anlagemandat;
  3. Außer der Anlagetätigkeit für das beteiligte Unternehmen hat das verbundene Unternehmen keine wesentlichen Geschäftstätigkeiten.

Für die Zwecke dieses Absatzes gelten für die Begriffe "verbundenes Unternehmen" und "beteiligtes Unternehmen" die Begriffsbestimmungen in Artikel 212 Absätze 1 und 2 der Richtlinie 2009/138/EG.

Unterabschnitt 3
Regionale und lokale Gebietskörperschaften

Artikel 85

Die Voraussetzungen für eine Kategorisierung der regionalen oder lokalen Gebietskörperschaft sind, dass sich das Risiko der betreffenden Positionen aufgrund der Steuererhebungsrechte der regionalen oder lokalen Gebietskörperschaft nicht vom Risiko der Positionen gegenüber dem Zentralstaat unterscheidet, und dass spezielle institutionelle Vorkehrungen getroffen wurden, die eine Verringerung des Ausfallrisikos bewirken.

Unterabschnitt 4
Wesentliches Basisrisiko

Artikel 86

Ungeachtet des Artikels 210 Absatz 2 können die Versicherungs- oder Rückversicherungsunternehmen, wenn sie versicherungstechnische Risiken an Rückversicherer oder Zweckgesellschaften weitergeben und dabei wesentliches Basisrisiko entsteht, weil Währungsinkongruenzen zwischen den versicherungstechnischen Risiken und der Risikominderungstechnik vorliegen, diese Risikominderungstechnik bei der Berechnung der Solvenzkapitalanforderung nach der Standardformel berücksichtigen, sofern die Risikominderungstechnik Artikel 209, Artikel 210 Absätze 1, 3 und 4 sowie Artikel 211 erfüllt und die Berechnung wie folgt durchgeführt wird:

  1. Das aus einer Währungsinkongruenz zwischen dem versicherungstechnischen Risiko und der Risikominderungstechnik resultierende Basisrisiko sollte auf unterster Ebene im entsprechenden versicherungstechnischen Risikomodul, Untermodul oder Szenario der Standardformel berücksichtigt werden, indem zur Kapitalanforderung, welche im entsprechenden Risikomodul, Untermodul oder Szenario ermittelt wurde, 25 % der Differenz zwischen Folgendem addiert wird:
    1. der hypothetischen Kapitalanforderung für das entsprechende versicherungstechnische Risikomodul, Untermodul oder Szenario, die sich bei gleichzeitigem Eintritt des in Artikel 188 ausgeführten Szenarios ergäbe;
    2. der Kapitalanforderung für das entsprechende versicherungstechnische Risikomodul, Untermodul oder Szenario.
  2. betrifft die Risikominderungstechnik mehr als ein Modul, Untermodul oder Szenario, wird die unter Buchstabe a genannte Berechnung für jedes einzelne dieser Module, Untermodule und Szenarien durchgeführt. Die aus diesen Berechnungen resultierende Kapitalanforderung darf 25 % der Kapazität des nichtproportionalen Rückversicherungsvertrags oder der Zweckgesellschaft nicht übersteigen.

Unterabschnitt 5
Berechnung der Basissolvenzkapitalanforderung

Artikel 87

Die Basissolvenzkapitalanforderung umfasst ein Risikomodul für das Risiko immaterieller Vermögenswerte und errechnet sich wie folgt:

Dabei gilt:

  1. die Gesamtsumme,Corri,j,SCRi undSCRj werden nach Maßgabe des Anhangs IV Nummer 1 der Richtlinie 2009/138/EG festgelegt;
  2. SCRintangibles bezeichnet die Kapitalanforderung für das in Artikel 203 genannte Risiko immaterieller Vermögenswerte.

Unterabschnitt 6
Verhältnismäßigkeit und Vereinfachungen

Artikel 88 Verhältnismäßigkeit19

1. Für die Zwecke des Artikels 109 der Richtlinie 2009/138/EG stellen die Versicherungs- und Rückversicherungsunternehmen fest, ob die vereinfachte Berechnung der Art, dem Umfang und der Komplexität der Risiken angemessen ist, indem sie eine Beurteilung durchführen, die alles Folgende umfasst:

  1. eine Bewertung von Art, Umfang und Komplexität der Risiken des Unternehmens in dem entsprechenden Modul oder Untermodul;
  2. eine je nachdem, was angemessen ist, qualitative oder quantitative Bewertung des Fehlers in den Ergebnissen der vereinfachten Berechnung infolge einer Abweichung zwischen Folgendem:
    1. den Annahmen der vereinfachten Berechnung in Bezug auf das Risiko;
    2. den Ergebnissen der unter Buchstabe a genannten Bewertung.

2. Eine vereinfachte Berechnung wird nicht als der Art, dem Umfang und der Komplexität der Risiken angemessen angesehen, wenn der in Absatz 1 Buchstabe b genannte Fehler zu einer falschen Darstellung der Solvenzkapitalanforderung führt, die die Adressaten der Informationen über die Solvenzkapitalanforderung in ihren Entscheidungen oder Beurteilungen beeinflussen könnte, es sei denn, die vereinfachte Berechnung führt zu einer höheren Solvenzkapitalanforderung als die Standardberechnung.

Artikel 89 Allgemeine Bestimmungen für Vereinfachungen für firmeneigene Versicherungsunternehmen

Firmeneigene Versicherungs- und Rückversicherungsunternehmen im Sinne des Artikels 13 Nummern 2 und 5 der Richtlinie 2009/138/EG dürfen die in den Artikeln 90, 103, 105 und 106 dieser Verordnung ausgeführten vereinfachten Berechnungen anstellen, sofern Artikel 88 dieser Verordnung erfüllt wird und alle folgenden Anforderungen erfüllt sind:

  1. in Bezug auf die Versicherungsverpflichtungen des firmeneigenen Versicherungsunternehmens oder firmeneigenen Rückversicherungsunternehmens sind alle Versicherten und Anspruchsberechtigten Unternehmen der Gruppe, der das firmeneigene Versicherungsunternehmen oder das firmeneigene Rückversicherungsunternehmen angehört;
  2. in Bezug auf die Rückversicherungsverpflichtungen des firmeneigenen Versicherungsunternehmens oder firmeneigenen Rückversicherungsunternehmens sind alle Versicherten und Anspruchsberechtigten der den Rückversicherungsverpflichtungen zugrundeliegenden Versicherungsverträge Unternehmen der Gruppe, der das firmeneigene Versicherungsunternehmen oder firmeneigene Rückversicherungsunternehmen angehört;
  3. die Versicherungsverpflichtungen des firmeneigenen Versicherungsunternehmens oder firmeneigenen Rückversicherungsunternehmen und die Versicherungsverträge, die den Rückversicherungsverpflichtungen des firmeneigenen Versicherungs- oder Rückversicherungsunternehmens zugrunde liegen, beziehen sich nicht auf eine vorgeschriebene Haftpflichtversicherung.

Artikel 90 Vereinfachte Berechnung der Kapitalanforderungen für das Nichtlebensversicherungsprämien- und -rückstellungsrisiko für firmeneigene Versicherungs- und Rückversicherungsunternehmen16

1. Sind die Artikel 88 und 89 erfüllt, dürfen firmeneigene Versicherungsunternehmen und firmeneigene Rückversicherungsunternehmen die Kapitalanforderung für das Nichtlebensversicherungsprämien- und -rückstellungsrisiko wie folgt berechnen:

wobeis alle in Anhang II aufgeführten Segmente umfasst.

2. Für die Zwecke des Absatzes 1 wird die Kapitalanforderung für das Nichtlebensversicherungsprämien- und -rückstellungsrisiko eines bestimmten in Anhang II aufgeführten Segments s wie folgt berechnet:

Dabei gilt:

  1. V(prem,s) bezeichnet das gemäß Artikel 116 Absatz 3 berechneten Volumenmaß für das Prämienrisiko des Segmentss;
  2. V(res,s)bezeichnet das gemäß Artikel 116 Absatz 6 berechnete Volumenmaß für das Rückstellungsrisiko eines Segments;

Artikel 90a Vereinfachte Berechnung für die Beendigung von Versicherungsverträgen im Untermodul Nichtlebensversicherungsstornorisiko19

Für die Zwecke von Artikel 118 Absatz 1 Buchstabe a dürfen Versicherungs- und Rückversicherungsunternehmen, wenn Artikel 88 erfüllt ist, die Versicherungsverträge, bei denen eine Beendigung eine Erhöhung der versicherungstechnischen Rückstellungen ohne die Risikomarge zur Folge hätte, auf der Basis von Vertragsgruppen bestimmen, sofern die Gruppierung den in Artikel 35 Buchstaben a, b und c festgelegten Anforderungen entspricht.

Artikel 90b Vereinfachte Berechnung der Versicherungssumme für Naturkatastrophenrisiken19

(1) Ist Artikel 88 erfüllt, dürfen Versicherungs- und Rückversicherungsunternehmen die in Artikel 121 Absatz 6 Buchstabe b und Artikel 121 Absatz 7 genannte Versicherungssumme für das Sturmrisiko ausgehend von Risikozonengruppen berechnen. Alle Risikozonen einer Gruppe müssen in derselben, in Anhang V aufgeführten Region liegen. Wird die in Artikel 121 Absatz 6 Buchstabe b genannte Versicherungssumme für das Sturmrisiko ausgehend von einer Risikozonengruppe errechnet, so ist das in Artikel 121 Absatz 6 Buchstabe a genannte Risikogewicht für das Sturmrisiko von den in Anhang X aufgeführten Sturmrisikogewichten der Risikozone dieser Gruppe das höchste.

(2) Ist Artikel 88 erfüllt, dürfen Versicherungs- und Rückversicherungsunternehmen die in Artikel 122 Absatz 3 Buchstabe b und Artikel 122 Absatz 4 genannte Versicherungssumme für das Erdbebenrisiko ausgehend von Risikozonengruppen berechnen. Alle Risikozonen einer Gruppe müssen in derselben, in Anhang VI aufgeführten Region liegen. Wird die in Artikel 122 Absatz 3 Buchstabe b genannte Versicherungssumme für das Erdbebenrisiko ausgehend von einer Risikozonengruppe errechnet, so ist das in Artikel 122 Absatz 3 Buchstabe a genannte Risikogewicht für das Erdbebenrisiko von den in Anhang X aufgeführten Erdbebenrisikogewichten der Risikozone dieser Gruppe das höchste.

(3) Ist Artikel 88 erfüllt, dürfen Versicherungs- und Rückversicherungsunternehmen die in Artikel 123 Absatz 6 Buchstabe b und Artikel 123 Absatz 7 genannte Versicherungssumme für das Überschwemmungsrisiko ausgehend von Risikozonengruppen berechnen. Alle Risikozonen einer Gruppe müssen in derselben, in Anhang VII aufgeführten Region liegen. Wird die in Artikel 123 Absatz 6 Buchstabe b genannte Versicherungssumme für das Überschwemmungsrisiko ausgehend von einer Risikozonengruppe errechnet, so ist das in Artikel 123 Absatz 6 Buchstabe a genannte Risikogewicht für das Überschwemmungsrisiko von den in Anhang X aufgeführten Überschwemmungsrisikogewichten der Risikozone dieser Gruppe das höchste.

(4) Ist Artikel 88 erfüllt, dürfen Versicherungs- und Rückversicherungsunternehmen die in Artikel 124 Absatz 6 Buchstabe b und Artikel 124 Absatz 7 genannte Versicherungssumme für das Hagelrisiko ausgehend von Risikozonengruppen berechnen. Alle Risikozonen einer Gruppe müssen in derselben, in Anhang VIII aufgeführten Region liegen. Wird die in Artikel 124 Absatz 6 Buchstabe b genannte Versicherungssumme für das Hagelrisiko ausgehend von einer Risikozonengruppe errechnet, so ist das in Artikel 124 Absatz 6 Buchstabe a genannte Risikogewicht für das Hagelrisiko von den in Anhang X aufgeführten Hagelrisikogewichten der Risikozone dieser Gruppe das höchste.

(5) Ist Artikel 88 erfüllt, dürfen Versicherungs- und Rückversicherungsunternehmen die in Artikel 125 Absatz 2 genannte gewichtete Versicherungssumme für das Bodensenkungs- und Erdrutschrisiko ausgehend von Risikozonengruppen berechnen. Wird die in Artikel 125 Absatz 2 genannte gewichtete Versicherungssumme ausgehend von einer Risikozonengruppe errechnet, so ist das in Artikel 125 Absatz 2 Buchstabe a genannte Risikogewicht für das Bodensenkungs- und Erdrutschrisiko von den in Anhang X aufgeführten Risikogewichten für das Bodensenkungs- und Erdrutschrisiko der Risikozone dieser Gruppe das höchste.

Artikel 90c Vereinfachte Berechnung der Kapitalanforderung für das Feuerrisiko19

(1) Ist Artikel 88 erfüllt, dürfen Versicherungs- und Rückversicherungsunternehmen die in Artikel 132 Absatz 1 genannte Kapitalanforderung für das Feuerrisiko wie folgt berechnen:

SCRfire = max(SCRfirei; SCRfirec; SCRfirer)

dabei bezeichnet:

  1. SCRfirei die größte industrielle Feuerisikokonzentration;
  2. SCRfirec die größte gewerbliche Feuerisikokonzentration;
  3. SCRfirer die größte private Feuerisikokonzentration.

(2) Die größte industrielle Feuerrisikokonzentration eines Versicherungs- oder Rückversicherungsunternehmens errechnet sich wie folgt:

SCRfirei = max(E1,i; E2,i; E3,i; E4,i; E5,i)

dabei bezeichnet Ek,i die Gesamtexponierung im Umkreis derk-größten industriellen Feuerrisikoexponierung.

(3) Die größte gewerbliche Feuerrisikokonzentration eines Versicherungs- oder Rückversicherungsunternehmens errechnet sich wie folgt:

SCRfirec = max(E1,c; E2,c; E3,c; E4,c; E5,c)

dabei bezeichnet Ek,c die Gesamtexponierung im Umkreis derk-größten gewerblichen Feuerrisikoexponierung.

(4) Die größte private Feuerrisikokonzentration eines Versicherungs- oder Rückversicherungsunternehmens errechnet sich wie folgt:

SCRfirer = max(E1,r; E2,r; E3,r; E4,r; E5,r; ϑ)

dabei bezeichnet:

  1. Ek,r die Gesamtexponierung im Umkreis derk-größten privaten Feuerrisikoexponierung;
  2. ϑ die auf dem Marktanteil basierende private Feuerrisikoexponierung.

(5) Für die Zwecke der Absätze 2, 3 und 4 ist die Gesamtexponierung im Umkreis derk-größten industriellen, gewerblichen oder privaten Feuerrisikoexponierung eines Versicherungs- oder Rückversicherungsunternehmens die Summe, die das Versicherungs- oder Rückversicherungsunternehmen für eine Gruppe von Gebäuden versichert hat, die alle nachstehend genannten Voraussetzungen erfüllt:

  1. das Versicherungs- oder Rückversicherungsunternehmen hat in Bezug auf jedes Gebäude Verpflichtungen in den in Anhang I aufgeführten Geschäftsbereichen 7 und 19, die Schäden durch Feuer oder Explosion, einschließlich infolge von Terroranschlägen, abdecken;
  2. jedes Gebäude liegt ganz oder teilweise in einem Radius von 200 Metern um das Industrie-, Gewerbe- oder Wohngebäude mit der nach Abzug der aus Rückversicherungsverträgen und von Zweckgesellschaften einforderbaren Beträgek-größten Versicherungssumme.

Bei der Bestimmung der Versicherungssumme für ein Gebäude berücksichtigen die Versicherungs- und Rückversicherungsunternehmen alle Rückversicherungsverträge und Zweckgesellschaften, die bei mit diesem Gebäude zusammenhängenden Versicherungsforderungen Zahlungen leisten würden. Unberücksichtigt bleiben Rückversicherungsverträge und Zweckgesellschaften, für die Bedingungen gelten, die nicht mit diesem Gebäude zusammenhängen.

(6) Die auf dem Marktanteil basierende private Feuerrisikoexponierung errechnet sich wie folgt:

ϑ =SIav · 500 · max(0,05; maxc(market Sharec))

dabei bezeichnet:

  1. SIav die durchschnittliche Versicherungssumme des Versicherungs- oder Rückversicherungsunternehmens für Wohnimmobilien;
  2. c alle Länder, in denen das Versicherungs- oder Rückversicherungsunternehmen wohnimmobilienbezogene Verpflichtungen in den in Anhang I aufgeführten Geschäftsbereichen 7 und 19 hat;
  3. marketSharec den Marktanteil, den das Versicherungs- oder Rückversicherungsunternehmen bei wohnimmobilienbezogenen Verpflichtungen in diesen Geschäftsbereichen in Landc hat.

Artikel 91 Vereinfachte Berechnung der Kapitalanforderung für das Sterblichkeitsrisiko der Lebensversicherung19

Ist Artikel 88 erfüllt, dürfen die Versicherungs- und Rückversicherungsunternehmen die Kapitalanforderung für das Sterblichkeitsrisiko der Lebensversicherung wie folgt berechnen:

Dabei gilt in Bezug auf Versicherungs- und Rückversicherungsverträge mit positivem Risikokapital Folgendes:

  1. CARk bezeichnet das gesamte Risikokapital im Jahrk, d. h. die Summe über alle Verträge von dem höheren Betrag von entweder null oder der Differenz - in Relation zu jedem Vertrag - zwischen den folgenden Beträgen:
    1. der Summe aus:
      • dem Betrag, den das Versicherungs- oder Rückversicherungsunternehmen im Jahr k im Todesfall der Versicherten gemäß dem Vertrag nach Abzug der aus Rückversicherungsverträgen und von Zweckgesellschaften einforderbaren Beträge zahlen würde;
      • dem erwarteten Barwert von nicht im vorstehenden Gedankenstrich erfassten Beträgen, die das Versicherungs- oder Rückversicherungsunternehmen nach dem Jahr k im sofortigen Todesfall der Versicherten gemäß dem Vertrag nach Abzug der aus Rückversicherungsverträgen und von Zweckgesellschaften einforderbaren Beträge zahlen würde;
    2. dem besten Schätzwert der entsprechenden Verpflichtungen im Jahrk nach Abzug der aus Rückversicherungsverträgen und von Zweckgesellschaften einforderbaren Beträge;
  2. q bezeichnet die mit der Versicherungssumme gewichtete erwartete durchschnittliche Sterblichkeitsrate bei allen Versicherten über alle künftigen Jahre.
  3. n bezeichnet die modifizierte Duration (in Jahren) der im Todesfall zu leistenden Zahlungen, die in den besten Schätzwerts einbezogen wurden;
  4. ik bezeichnet den annualisierten Kassakurs für Laufzeitk der in Artikel 43 genannten relevanten risikolosen Basiszinsstrukturkurve.

Artikel 92 Vereinfachte Berechnung der Kapitalanforderung für das Langlebigkeitsrisiko der Lebensversicherung

Ist Artikel 88 erfüllt, dürfen Versicherungs- und Rückversicherungsunternehmen die Kapitalanforderung für das Langlebigkeitsrisiko der Lebensversicherung wie folgt berechnen:

Dabei gilt in Bezug auf die in Artikel 138 Absatz 2 genannten Verträge Folgendes:

  1. q bezeichnet die mit der Versicherungssumme gewichtete erwartete durchschnittliche Sterblichkeitsrate der Versicherten in den folgenden zwölf Monaten;
  2. n bezeichnet die modifizierte Duration (in Jahren) der Zahlungen an Anspruchsberechtigte, die in den besten Schätzwerts einbezogen wurden;
  3. BElong bezeichnet den besten Schätzwert der dem Langlebigkeitsrisiko unterliegenden Verpflichtungen.

Artikel 93 Vereinfachte Berechnung der Kapitalanforderung für das Invaliditäts-/Morbiditätsrisiko der Lebensversicherung

Ist Artikel 88 erfüllt, dürfen Versicherungs- und Rückversicherungsunternehmen die Kapitalanforderung für das Invaliditäts-/Morbiditätsrisiko der Lebensversicherung wie folgt berechnen:

Dabei gilt in Bezug auf Versicherungs- und Rückversicherungsverträge mit positivem Risikokapital Folgendes:

  1. CAR1 bezeichnet das gesamte Risikokapital, d. h. die Summe über alle Verträge von dem höheren Betrag von entweder null oder der Differenz zwischen den folgenden Beträgen:
    1. der Summe aus:
      • dem Betrag, den das Versicherungs- oder Rückversicherungsunternehmen gegenwärtig im Todesfall oder bei Invalidität der Versicherten gemäß dem Vertrag nach Abzug der aus Rückversicherungsverträgen und von Zweckgesellschaften einforderbaren Beträgen zahlen würde, und
      • dem erwarteten Barwert von nicht im vorstehenden Gedankenstrich erfassten Beträgen, die das Versicherungs- oder Rückversicherungsunternehmen zukünftig im sofortigen Todesfall oder bei sofortiger Invalidität der Versicherten gemäß dem Vertrag nach Abzug der aus Rückversicherungsverträgen und von Zweckgesellschaften einforderbaren Beträge zahlen würde;
    2. dem besten Schätzwert der entsprechenden Verpflichtungen nach Abzug der aus Rückversicherungsverträgen und von Zweckgesellschaften einforderbaren Beträge.
  2. CAR2 bezeichnet das gesamte Risikokapital im Sinne des Buchstabens a nach zwölf Monaten;
  3. d1 bezeichnet die erwartete durchschnittliche Invaliditäts-/Morbiditätsrate in den folgenden zwölf Monaten, gewichtet mit der Versicherungssumme;
  4. d2 bezeichnet die erwartete durchschnittliche Invaliditäts-/Morbiditätsrate in den zwölf Monaten nach den folgenden zwölf Monaten, gewichtet mit der Versicherungssumme;
  5. n bezeichnet die modifizierte Duration der in den besten Schätzwert einbezogenen Zahlungen bei Invalidität/ Morbidität;
  6. t bezeichnet die erwarteten Beendigungsraten in den folgenden zwölf Monaten;
  7. BEdis bezeichnet den besten Schätzwert der dem Invaliditäts-/Morbiditätsrisiko unterliegenden Verpflichtungen.

Artikel 94 Vereinfachte Berechnung der Kapitalanforderung für das Kostenrisiko der Lebensversicherung

Ist Artikel 88 erfüllt, dürfen Versicherungs- und Rückversicherungsunternehmen die Kapitalanforderung für das Kostenrisiko der Lebensversicherung wie folgt berechnen:

Dabei gilt:

  1. EI bezeichnet den Betrag der Kosten, der im letzten Jahr bei der Bedienung von Lebensversicherungs- oder Rückversicherungsverpflichtungen, ausgenommen Krankenversicherungs- und -rückversicherungsverpflichtungen, angefallen ist;
  2. n bezeichnet die modifizierte Duration (in Jahren) der in den besten Schätzwert dieser Verpflichtungen einbezogenen Zahlungsströme;
  3. i bezeichnet den gewichteten Durchschnitt der in die Berechnung des besten Schätzwerts dieser Verpflichtungen einbezogenen Inflationsrate, gewichtet mit dem Barwert der Kosten für die Bedienung bestehender Lebensversicherungsverpflichtungen, die bei der Berechnung des besten Schätzwerts berücksichtigt wurden.

Artikel 95 Vereinfachte Berechnung der Kapitalanforderung für dauerhafte Veränderungen der Stornoquoten

1. Ist Artikel 88 erfüllt, dürfen Versicherungs- und Rückversicherungsunternehmen die Kapitalanforderung für das Risiko eines dauerhaften Anstiegs der Stornoquoten wie folgt berechnen:

Dabei gilt:

  1. lup bezeichnet die durchschnittliche Stornoquote der Verträge mit einer positiven Differenz zwischen Rückkaufswert und Rückstellung oder 67 %, je nachdem, welcher Wert der höhere ist;
  2. nup bezeichnet den durchschnittlichen Zeitraum (in Jahren), über den der Vertrag mit einer positiven Differenz zwischen Rückkaufswert und Rückstellung abgewickelt wird;
  3. Sup bezeichnet die Summe der positiven Differenzen zwischen Rückkaufswert und Rückstellung.

2. Ist Artikel 88 erfüllt, dürfen Versicherungs- und Rückversicherungsunternehmen die Kapitalanforderung für das Risiko eines dauerhaften Rückgangs der Stornoquoten wie folgt berechnen:

Dabei gilt:

  1. ldown bezeichnet die durchschnittliche Stornoquote der Verträge mit einer negativen Differenz zwischen Rückkaufswert und Rückstellung oder 40 %, je nachdem, welcher Wert der höhere ist;
  2. ndown bezeichnet den durchschnittlichen Zeitraum (in Jahren), über den der Vertrag mit einer negativen Differenz zwischen Rückkaufswert und Rückstellung abgewickelt wird;
  3. Sdown bezeichnet die Summe der negativen Differenzen zwischen Rückkaufswert und Rückstellung.

3. Die in den Absätzen 1 und 2 genannte Differenz zwischen Rückkaufswert und Rückstellung bei einem Versicherungsvertrag ist gleich der Differenz zwischen Folgendem:

  1. dem Betrag, den das Versicherungsunternehmen gegenwärtig bei Vertragsbeendigung durch den Versicherungsnehmer zahlen müsste, abzüglich etwaiger von Versicherungsnehmern oder -vermittlern einforderbarer Beträge;
  2. dem Betrag der versicherungstechnischen Rückstellungen ohne die Risikomarge.

Artikel 95a Vereinfachte Berechnung der Kapitalanforderung für Risiken im Untermodul Lebensversicherungsstornorisiko19

Ist Artikel 88 erfüllt, dürfen Versicherungs- und Rückversicherungsunternehmen jede der nachstehend genannten Kapitalanforderungen auf der Basis von Vertragsgruppen berechnen, sofern die Gruppierung den in Artikel 35 Buchstaben a, b und c festgelegten Anforderungen entspricht:

  1. die in Artikel 142 Absatz 2 genannte Kapitalanforderung für das Risiko eines dauerhaften Anstiegs der Stornoquoten;
  2. die in Artikel 142 Absatz 3 genannte Kapitalanforderung für das Risiko eines dauerhaften Rückgangs der Stornoquoten;
  3. die in Artikel 142 Absatz 6 genannte Kapitalanforderung für das Risiko eines Massenstornos.

Artikel 96 Vereinfachte Berechnung der Kapitalanforderung für das Lebensversicherungskatastrophenrisiko

Ist Artikel 88 erfüllt, dürfen Versicherungs- und Rückversicherungsunternehmen die Kapitalanforderung für das Lebensversicherungskatastrophenrisiko wie folgt berechnen:

Dabei gilt:

  1. die Summe umfasst sämtliche Verträge mit positivem Risikokapital;
  2. CARi bezeichnet das Risikokapital des Vertrags i, d. h. den höheren Betrag von entweder null oder der Differenz zwischen den folgenden Beträgen:
    1. der Summe aus:
      • dem Betrag, den das Versicherungs- oder Rückversicherungsunternehmen gegenwärtig im Todesfall der Versicherten gemäß dem Vertrag nach Abzug der aus Rückversicherungsverträgen und von Zweckgesellschaften einforderbaren Beträge zahlen würde, und
      • dem erwarteten Barwert von nicht im vorstehenden Gedankenstrich erfassten Beträgen, die das Versicherungs- oder Rückversicherungsunternehmen zukünftig im sofortigen Todesfall der Versicherten gemäß dem Vertrag nach Abzug der aus Rückversicherungsverträgen und von Zweckgesellschaften einforderbaren Beträge zahlen würde;
    2. dem besten Schätzwert der entsprechenden Verpflichtungen nach Abzug der aus Rückversicherungsverträgen und von Zweckgesellschaften einforderbaren Beträge.

Artikel 96a Vereinfachte Berechnung für die Beendigung von Versicherungsverträgen im Untermodul Stornorisiko der Krankenversicherung, die auf vergleichbarer versicherungstechnischer Basis betrieben wird wie die Schadenversicherung19

Für die Zwecke von Artikel 150 Absatz 1 Buchstabe a dürfen Versicherungs- und Rückversicherungsunternehmen, wenn Artikel 88 erfüllt ist, die Versicherungsverträge, bei denen eine Beendigung eine Erhöhung der versicherungstechnischen Rückstellungen ohne die Risikomarge zur Folge hätte, auf der Basis von Vertragsgruppen bestimmen, sofern die Gruppierung den in Artikel 35 Buchstaben a, b und c festgelegten Anforderungen entspricht.

Artikel 97 Vereinfachte Berechnung der Kapitalanforderung für das Sterblichkeitsrisiko der Krankenversicherung19

Ist Artikel 88 erfüllt, dürfen Versicherungs- und Rückversicherungsunternehmen die Kapitalanforderung für das Sterblichkeitsrisiko der Krankenversicherung wie folgt berechnen:

Dabei gilt in Bezug auf Versicherungs- und Rückversicherungsverträge mit positivem Risikokapital Folgendes:

  1. CARk bezeichnet das gesamte Risikokapital im Jahrk, d. h. die Summe über alle Verträge von dem höheren Betrag von entweder null oder der Differenz - in Relation zu jedem Vertrag - zwischen den folgenden Beträgen:
    1. der Summe aus:
      • dem Betrag, den das Versicherungs- oder Rückversicherungsunternehmen im Jahr k im Todesfall der Versicherten gemäß dem Vertrag nach Abzug der aus Rückversicherungsverträgen und von Zweckgesellschaften einforderbaren Beträge zahlen würde;
      • dem erwarteten Barwert von nicht im vorstehenden Gedankenstrich erfassten Beträgen, die das Versicherungs- oder Rückversicherungsunternehmen nach dem Jahrk im sofortigen Todesfall der Versicherten gemäß dem Vertrag nach Abzug der aus Rückversicherungsverträgen und von Zweckgesellschaften einforderbaren Beträge zahlen würde;
    2. dem besten Schätzwert der entsprechenden Verpflichtungen im Jahrk nach Abzug der aus Rückversicherungsverträgen und von Zweckgesellschaften einforderbaren Beträge;
  2. q bezeichnet die mit der Versicherungssumme gewichtete erwartete durchschnittliche Sterblichkeitsrate bei allen Versicherten über alle künftigen Jahre.
  3. n bezeichnet die modifizierte Duration (in Jahren) der im Todesfall zu leistenden Zahlungen, die in den besten Schätzwerts einbezogen wurden;
  4. ik bezeichnet den annualisierten Kassakurs für Laufzeitk der in Artikel 43 genannten maßgeblichen risikolosen Zinskurve.

Artikel 98 Vereinfachte Berechnung der Kapitalanforderung für das Langlebigkeitsrisiko bei Krankenversicherung

Ist Artikel 88 erfüllt, dürfen Versicherungs- und Rückversicherungsunternehmen die Kapitalanforderung für das Langlebigkeitsrisiko der Krankenversicherung wie folgt berechnen:

Dabei gilt in Bezug auf die in Artikel 138 Absatz 2 genannten Verträge Folgendes:

  1. q bezeichnet die erwartete durchschnittliche Sterblichkeitsrate der Versicherten in den folgenden zwölf Monaten, gewichtet mit der Versicherungssumme;
  2. n bezeichnet die modifizierte Duration (in Jahren) der Zahlungen an Anspruchsberechtigte, die in den besten Schätzwerts einbezogen wurden;
  3. BElong bezeichnet den besten Schätzwert der dem Langlebigkeitsrisiko unterliegenden Verpflichtungen.

Artikel 99 Vereinfachte Berechnung der Kapitalanforderung für das Invaliditäts-/Morbiditätsrisiko der Krankenkostenversicherung

Ist Artikel 88 erfüllt, dürfen die Versicherungs- und Rückversicherungsunternehmen die Kapitalanforderung für das Invaliditäts-/Morbiditätsrisiko der Krankenkostenversicherung wie folgt berechnen:

Dabei gilt:

  1. MP bezeichnet den Betrag, der während des vergangenen Jahres für Krankenkostenversicherungs- oder -rückversicherungsverpflichtungen gezahlt wurde;
  2. n bezeichnet die modifizierte Duration (in Jahren) der in den besten Schätzwert dieser Verpflichtungen einbezogenen Zahlungsströme;
  3. i bezeichnet den Durchschnitt der in die Berechnung des besten Schätzwerts dieser Verpflichtungen einbezogenen Inflationsrate, gewichtet mit dem Barwert der medizinischen Leitungen, die bei der Berechnung des besten Schätzwerts dieser Verpflichtungen berücksichtigt wurden.

Artikel 100 Vereinfachte Berechnung der Kapitalanforderung für das Invaliditäts-/Morbiditätsrisiko der Einkommensersatzversicherung

Ist Artikel 88 erfüllt, dürfen Versicherungs- und Rückversicherungsunternehmen die Kapitalanforderung für das Invaliditäts-/Morbiditätsrisiko der Einkommensersatzversicherung wie folgt berechnen:

Dabei gilt in Bezug auf Versicherungs- und Rückversicherungsverträge mit positivem Risikokapital Folgendes:

  1. CAR1 bezeichnet das gesamte Risikokapital, d. h. die Summe über alle Verträge von dem höheren Betrag von entweder null oder der Differenz zwischen den folgenden Beträgen:
    1. der Summe aus:
      • dem Betrag, den das Versicherungs- oder Rückversicherungsunternehmen gegenwärtig im Todesfall oder bei Invalidität der Versicherten gemäß dem Vertrag nach Abzug der aus Rückversicherungsverträgen und von Zweckgesellschaften einforderbaren Beträgen zahlen würde, und
      • dem erwarteten Barwert von nicht im vorstehenden Gedankenstrich erfassten Beträgen, die das Unternehmen zukünftig im sofortigen Todesfall oder bei sofortiger Invalidität der Versicherten gemäß dem Vertrag nach Abzug der aus Rückversicherungsverträgen und von Zweckgesellschaften einforderbaren Beträge zahlen würde;
    2. dem besten Schätzwert der entsprechenden Verpflichtungen nach Abzug der aus Rückversicherungsverträgen und von Zweckgesellschaften einforderbaren Beträge;
  2. CAR2 bezeichnet das gesamte Risikokapital im Sinne des Buchstabens a nach zwölf Monaten;
  3. d1 bezeichnet die erwartete durchschnittliche Invaliditäts-/Morbiditätsrate in den folgenden zwölf Monaten, gewichtet mit der Versicherungssumme;
  4. d2 bezeichnet die erwartete durchschnittliche Invaliditäts-/Morbiditätsrate in den folgenden zwölf Monaten, gewichtet mit der Versicherungssumme;
  5. n bezeichnet die modifizierte Duration der in den besten Schätzwert einbezogenen Zahlungen bei Invalidität/ Morbidität;
  6. t bezeichnet die erwarteten Beendigungsraten in den folgenden zwölf Monaten;
  7. BEdis bezeichnet den besten Schätzwert der dem Invaliditäts-/Morbiditätsrisiko unterliegenden Verpflichtungen.

Artikel 101 Vereinfachte Berechnung der Kapitalanforderung für das Kostenrisiko der Krankenversicherung

Ist Artikel 88 erfüllt, können die Versicherungs- und Rückversicherungsunternehmen die Kapitalanforderung für das Kostenrisiko der Krankenversicherung wie folgt berechnen:

Dabei gilt:

  1. EI bezeichnet den Betrag der Kosten, der im letzten Jahr bei der Bedienung von Krankenversicherungs- und -rückversicherungsverpflichtungen angefallen ist;
  2. n bezeichnet die modifizierte Duration (in Jahren) der in den besten Schätzwert dieser Verpflichtungen einbezogenen Zahlungsströme;
  3. i bezeichnet den gewichteten Durchschnitt der in die Berechnung des besten Schätzwerts dieser Verpflichtungen einbezogenen Inflationsrate, gewichtet mit dem Barwert der Kosten für die Bedienung bestehender Krankenversicherungsverpflichtungen, die bei der Berechnung des besten Schätzwerts berücksichtigt wurden.

Artikel 102 Vereinfachte Berechnung der Kapitalanforderung für das Stornorisiko der Krankenversicherung, die auf vergleichbarer versicherungstechnischer Basis betrieben wird wie die Lebensversicherung

1. Ist Artikel 88 erfüllt, dürfen Versicherungs- und Rückversicherungsunternehmen die in Artikel 159 Absatz 1 Buchstabe a genannte Kapitalanforderung für das Risiko eines dauerhaften Anstiegs der Stornoquoten wie folgt berechnen:

Dabei gilt:

  1. lup bezeichnet die durchschnittliche Stornoquote der Verträge mit einer positiven Differenz zwischen Rückkaufswert und Rückstellung oder 83 %, je nachdem, welcher Wert der höhere ist;
  2. nup bezeichnet den durchschnittlichen Zeitraum (in Jahren), über den der Vertrag mit einer positiven Differenz zwischen Rückkaufswert und Rückstellung abgewickelt wird;
  3. Sup bezeichnet die Summe der positiven Differenzen zwischen Rückkaufswert und Rückstellung.

2. Ist Artikel 88 erfüllt, dürfen Versicherungs- und Rückversicherungsunternehmen die in Artikel 159 Absatz 1 Buchstabe b genannte Kapitalanforderung für das Risiko eines dauerhaften Rückgangs der Stornoquoten wie folgt berechnen:

Dabei gilt:

  1. ldownbezeichnet die durchschnittliche Stornoquote der Verträge mit einer negativen Differenz zwischen Rückkaufswert und Rückstellung;
  2. ndown bezeichnet den durchschnittlichen Zeitraum (in Jahren), über den der Vertrag mit einer negativen Differenz zwischen Rückkaufswert und Rückstellung abgewickelt wird;
  3. Sdown bezeichnet die Summe der negativen Differenzen zwischen Rückkaufswert und Rückstellung.

3. Die in den Absätzen 1 und 2 genannte Differenz zwischen Rückkaufswert und Rückstellung bei einem Versicherungsvertrag ist gleich der Differenz zwischen Folgendem:

  1. dem Betrag, den das Versicherungsunternehmen gegenwärtig bei Vertragsbeendigung durch den Versicherungsnehmer zahlen müsste, abzüglich etwaiger von Versicherungsnehmern oder -vermittlern einforderbarer Beträge;
  2. dem Betrag der versicherungstechnischen Rückstellungen ohne die Risikomarge.

Artikel 102a Vereinfachte Berechnung der Kapitalanforderung für Risiken im Untermodul Stornorisiko der Krankenversicherung, die auf vergleichbarer versicherungstechnischer Basis betrieben wird wie die Lebensversicherung19

Ist Artikel 88 erfüllt, dürfen Versicherungs- und Rückversicherungsunternehmen jede der nachstehend genannten Kapitalanforderungen auf der Basis von Vertragsgruppen berechnen, sofern die Gruppierung den in Artikel 35 Buchstaben a, b und c festgelegten Anforderungen entspricht:

  1. die in Artikel 159 Absatz 2 genannte Kapitalanforderung für das Risiko eines dauerhaften Anstiegs der Stornoquoten bei Krankenversicherungen, die auf vergleichbarer versicherungstechnischer Basis betrieben werden wie die Lebensversicherung;
  2. die in Artikel 159 Absatz 3 genannte Kapitalanforderung für das Risiko eines dauerhaften Rückgangs der Stornoquoten bei Krankenversicherungen, die auf vergleichbarer versicherungstechnischer Basis betrieben werden wie die Lebensversicherung;
  3. die in Artikel 159 Absatz 6 genannte Kapitalanforderung für das Risiko eines Massenstornos bei Krankenversicherungen, die auf vergleichbarer versicherungstechnischer Basis betrieben werden wie die Lebensversicherung.

Artikel 103 Vereinfachte Berechnung der Kapitalanforderung für das Zinsrisiko für firmeneigene Versicherungs- oder Rückversicherungsunternehmen16

1. Sind die Artikel 88 und 89 erfüllt, dürfen firmeneigene Versicherungsunternehmen oder firmeneigene Rückversicherungsunternehmen die in Artikel 165 genannte Kapitalanforderung für das Zinsrisiko wie folgt berechnen:

  1. Summe der Kapitalanforderungen für das Risiko eines Anstiegs der Zinsstrukturkurve für jede einzelne Währung gemäß Absatz 2 dieses Artikels;
  2. Summe der Kapitalanforderungen für das Risiko eines Rückgangs der Zinsstrukturkurve für jede einzelne Währung gemäß Absatz 3 dieses Artikels.

2. Für die Zwecke des Absatzes 1 Buchstabe a dieses Artikels errechnet sich die Kapitalanforderung für das Risiko eines Anstiegs der Zinsstrukturkurve für eine gegebene Währung wie folgt:

Dabei gilt:

  1. die erste Summe umfasst alle in Absatz 4 dieses Artikels aufgeführten Laufzeitintervallei;
  2. MVALi bezeichnet den gemäß Artikel 75 der Richtlinie 2009/138/EG ermittelten Wert der Vermögenswerte abzüglich der Verbindlichkeiten, ausgenommen versicherungstechnische Rückstellungen, für das Laufzeitintervalli;
  3. duri bezeichnet die vereinfachte Duration des Laufzeitintervallsi;
  4. ratei bezeichnet den maßgeblichen risikolosen Zinssatz für die vereinfachte Duration des Laufzeitintervallsi;
  5. stress(i,up) bezeichnet den relativen Aufwärtsstress des Zinssatzes für die vereinfachte Duration des Laufzeitintervallsi;
  6. die zweite Summe umfasst alle in Anhang I dieser Verordnung aufgeführten Geschäftsbereiche;
  7. BElob bezeichnet den besten Schätzwert für den Geschäftsbereichlob;
  8. durlob bezeichnet die modifizierte Duration des besten Schätzwerts im Geschäftsbereichlob;
  9. ratelob bezeichnet den entsprechenden risikolosen Zinssatz für die modifizierte Duration im Geschäftsbereichlob;
  10. stress(lob,up) bezeichnet den relativen Aufwärtsstress des Zinssatzes für die modifizierte Durationdurlob.

3. Für die Zwecke des Absatzes 1 Buchstabe b dieses Artikels errechnet sich die Kapitalanforderung für das Risiko eines Rückgangs der Zinsstrukturkurve für eine gegebene Währung wie folgt:

Dabei gilt:

  1. die erste Summe umfasst alle in Absatz 4 aufgeführten Laufzeitintervallei;
  2. MVALi bezeichnet den gemäß Artikel 75 der Richtlinie 2009/138/EG ermittelten Wert der Vermögenswerte abzüglich der Verbindlichkeiten, ausgenommen versicherungstechnische Rückstellungen, für das Laufzeitintervalli;
  3. duri bezeichnet die vereinfachte Duration des Laufzeitintervallsi;
  4. ratei bezeichnet den entsprechenden risikolosen Zinssatz für die vereinfachte Duration des Laufzeitintervallsi;
  5. stress(i,down) bezeichnet den relativen Abwärtsstress des Zinssatzes für die vereinfachte Duration des Laufzeitintervallsi;
  6. die zweite Summe umfasst alle in Anhang I dieser Verordnung aufgeführten Geschäftsbereiche;
  7. BElob bezeichnet den besten Schätzwert für den Geschäftsbereichlob;
  8. durlob bezeichnet die modifizierte Duration des besten Schätzwerts im Geschäftsbereichlob;
  9. ratelob bezeichnet den entsprechenden risikolosen Zinssatz für die modifizierte Duration im Geschäftsbereichlob;
  10. stress(lob, down) bezeichnet den relativen Abwärtsstress des Zinssatzes für die modifizierte Durationdurlob.

4. Die Laufzeitintervalle i und die vereinfachte Duration duri im Sinne von Absatz 2 Buchstaben a und c sowie Absatz 3 Buchstaben a und c werden wie folgt bestimmt:

  1. bei einer Laufzeit von bis zu einem Jahr beträgt die vereinfachte Duration 0,5 Jahre;
  2. bei einer Laufzeit von einem Jahr bis zu drei Jahren beträgt die vereinfachte Duration zwei Jahre;
  3. bei einer Laufzeit von drei bis fünf Jahren beträgt die vereinfachte Duration vier Jahre;
  4. bei einer Laufzeit von fünf bis zehn Jahren beträgt die vereinfachte Duration sieben Jahre;
  5. bei einer Laufzeit von zehn Jahren oder mehr beträgt die vereinfachte Duration zwölf Jahre.

Artikel 104 Vereinfachte Berechnung des Spread-Risikos von Anleihen und Krediten16

1. Ist Artikel 88 erfüllt, dürfen Versicherungs- und Rückversicherungsunternehmen die in Artikel 176 dieser Verordnung genannte Kapitalanforderung für das Spread-Risiko wie folgt berechnen:

Dabei gilt:

  1. SCRbonds bezeichnet die Kapitalanforderung für das Spread-Risiko von Anleihen und Krediten;
  2. MVbonds bezeichnet den gemäß Artikel 75 der Richtlinie 2009/138/EG ermittelten Wert der Vermögenswerte, die den Kapitalanforderungen für das Spread-Risiko von Anleihen und Krediten unterliegen;
  3.   bezeichnet den Portfolioanteil der einer Kapitalanforderung für das Spread-Risiko von Anleihen und Krediten unterliegenden Vermögenswerte der Bonitätsstufei, sofern für diese Vermögenswerte ein Rating einer benannten Ratingagentur vorliegt;
  4. bezeichnet den Portfolioanteil der einer Kapitalanforderung für das Spread-Risiko von Anleihen und Krediten unterliegenden Vermögenswerte, für die kein Rating einer benannten Ratingagentur vorliegt;
  5. duri unddurnorating bezeichnen die modifizierte Duration (in Jahren) der einer Kapitalanforderung für das Spread-Risiko von Anleihen und Krediten unterliegenden Vermögenswerte, für die kein Rating einer benannten Ratingagentur vorliegt;
  6. stressi bezeichnet eine Funktion der Bonitätsstufe i und der modifizierten Duration (in Jahren) der einer Kapitalanforderung für das Spread-Risiko von Anleihen und Krediten unterliegenden Vermögenswerte der Bonitätsstufe i im Sinne des Absatzes 2;
  7.  bezeichnet die Erhöhung der versicherungstechnischen Rückstellungen abzüglich der Risikomarge für Versicherungsverträge, bei denen das Anlagerisiko von eingebetteten Optionen und Garantien, das aus einem plötzlichen Rückgang des Werts der der Kapitalanforderung für das Spread-Risiko von Anleihen unterliegenden Vermögenswerte erwachsen würde, von den Versicherungsnehmern getragen wird:.

2.stressi im Sinne des Absatzes 1 Buchstabe f wird für jede Bonitätsstufe i wie folgt ermittelt:duri · biDabei gilt:duri ist die modifizierte Duration (in Jahren) der einer Kapitalanforderung für das Spread-Risiko von Anleihen und Krediten unterliegenden Vermögenswerte der Bonitätsstufei, undbi wird nach folgender Tabelle ermittelt:

Bonitätsstufei 0 1 2 3 4 5 6
bi 0,9 % 1,1 % 1,4 % 2,5 % 4,5 % 7,5 % 7,5 %

3.durnorating im Sinne von Absatz 1 Buchstabe e undduri im Sinne von Absatz 2 dürfen nicht weniger als ein Jahr betragen.

Artikel 105 Vereinfachte Berechnung der Kapitalanforderung für das Spread-Risiko von Anleihen und Krediten für firmeneigene Versicherungs- und Rückversicherungsunternehmen

Sind die Artikel 88 und 89 erfüllt, dürfen firmeneigene Versicherungsunternehmen oder firmeneigene Rückversicherungsunternehmen bei der Berechnung der in Artikel 176 genannten Kapitalanforderung für das Spread-Risiko die Annahme zugrunde legen, dass alle Vermögenswerte der Bonitätsstufe 3 zugeordnet sind.

Artikel 105a Vereinfachte Berechnung für den Risikofaktor im Untermodul Spreadrisiko und im Untermodul Marktrisikokonzentrationen19

Ist Artikel 88 erfüllt, dürfen Versicherungs- und Rückversicherungsgesellschaften einer Anleihe, die nicht in die Berechnungen nach Artikel 180 Absätze 2 bis 16 einzubeziehen ist, einen Risikofaktorstressizuordnen, was für die Zwecke von Artikel 176 Absatz 3 der Bonitätsstufe 3 entspricht, und dieser Anleihe für die in Artikel 182 Absatz 4 dargelegte Berechnung der gewichteten durchschnittlichen Bonitätseinstufung die Bonitätsstufe 3 zuordnen, wenn alle nachstehend genannten Voraussetzungen erfüllt sind:

  1. für mindestens 80 % des Gesamtwerts der Anleihen, die nicht in die Berechnungen nach Artikel 180 Absätze 2 bis 16 einbezogen werden, liegen Ratings einer benannten ECAI vor;
  2. für die fragliche Anleihe liegt kein Rating einer benannten ECAI vor;
  3. bei der fraglichen Anleihe ist neben regelmäßigen festen oder variablen Zinszahlungen am oder vor dem Fälligkeitstermin eine feste Tilgungszahlung zu leisten;
  4. bei der fraglichen Anleihe handelt es sich weder um einen strukturierten Schuldtitel noch um ein besichertes Wertpapier wie sie in Anhang VI der Durchführungsverordnung (EU) 2015/2450 ** der Kommission aufgeführt sind;
  5. die fragliche Anleihe deckt weder Verbindlichkeiten mit Gewinnbeteiligungsvereinbarungen noch fonds- oder indexgebundene Verbindlichkeiten noch Verbindlichkeiten, bei denen eine Matching-Anpassung vorgenommen wird, ab.

Artikel 106 Vereinfachte Berechnung der Kapitalanforderung für Marktrisikokonzentrationen für firmeneigene Versicherungs- oder Rückversicherungsunternehmen

Sind die Artikel 88 und 89 erfüllt, dürfen firmeneigene Versicherungsunternehmen oder firmeneigene Rückversicherungsunternehmen bei der Berechnung der Kapitalanforderung für das Konzentrationsrisiko alle folgenden Annahmen zugrunde legen:

(1) Vereinbarungen firmeneigener Versicherungs- oder Rückversicherungsunternehmen über das Pooling von Vermögenswerten innerhalb einer Gruppe dürfen aus der in Artikel 184 Absatz 2 genannten Berechnungsgrundlage ausgenommen werden, sofern rechtlich durchsetzbare vertragliche Bedingungen bestehen, die sicherstellen, dass die Verbindlichkeiten des firmeneigenen Versicherungs- oder Rückversicherungsunternehmens durch dessen gruppeninterne Forderungen gegenüber anderen Unternehmen der Gruppe ausgeglichen werden.

(2) Bei folgenden Einzeladressen-Forderungen ist der in Artikel 184 Absatz 1 Buchstabe c genannte Schwellenwert für die relative Überschreitung der Konzentrationsschwelle je Einzeladresse gleich 15 %:

  1. der Bonitätsstufe 2 zugeordnete Forderungen gegenüber Kreditinstituten, die nicht der gleichen Gruppe angehören;
  2. der Bonitätsstufe 2 zugeordnete Forderungen gegenüber Unternehmen der Gruppe, die das Cashmanagement des firmeneigenen Versicherungs- oder Rückversicherungsunternehmens durchführt.

Artikel 107 Vereinfachte Berechnung des risikomindernden Effekts von Rückversicherungsvereinbarungen oder Verbriefungen16 19

1. Ist Artikel 88 erfüllt und der beste Schätzwert der aus einer Rückversicherungsvereinbarung oder Verbriefung einforderbaren Beträge und der entsprechenden Forderungen nicht negativ, dürfen Versicherungs- oder Rückversicherungsunternehmen den in Artikel 196 genannten risikomindernden Effekt dieser Rückversicherungsvereinbarung oder Verbriefung auf das versicherungstechnische Risiko wie folgt berechnen:

Dabei gilt:

  1. RMre,all bezeichnet den gemäß Absatz 2 berechneten risikomindernden Effekt der Rückversicherungsvereinbarungen und Verbriefungen auf das versicherungstechnische Risiko für alle Gegenparteien;
  2. Recoverablesi bezeichnet den besten Schätzwert der einforderbaren Beträge aus der Rückversicherungsvereinbarung oder Verbriefung und die entsprechenden Debitoren für Gegenparteii undRecoverablesall bezeichnet den besten Schätzwert der einforderbaren Beträge aus Rückversicherungsvereinbarungen und Verbriefungen und die entsprechenden Debitoren für alle Gegenparteien.

2. Der in Absatz 1 genannte risikomindernde Effekt der Rückversicherungsvereinbarungen und Verbriefungen auf das versicherungstechnische Risiko für alle Gegenparteien entspricht der Differenz zwischen folgenden Kapitalanforderungen:

  1. der hypothetischen Kapitalanforderung für das versicherungstechnische Risiko des Versicherungs- oder Rückversicherungsunternehmens, wenn keine Rückversicherungsvereinbarungen oder Verbriefungen bestünden;
  2. der Kapitalanforderung für das versicherungstechnische Risiko des Versicherungs- oder Rückversicherungsunternehmens.

Artikel 108 Vereinfachte Berechnung des risikomindernden Effekts proportionaler Rückversicherungsvereinbarungen16 16a 19

Ist Artikel 88 erfüllt und der beste Schätzwert der aus einer proportionalen Rückversicherungsvereinbarung einforderbaren Beträge und der entsprechenden Forderungen für eine Gegenpartei i nicht negativ, dürfen Versicherungs- oder Rückversicherungsunternehmen den in Artikel 196 genannten risikomindernden Effekt der proportionalen Rückversicherungsvereinbarung auf das versicherungstechnische Risikoj für Gegenparteii wie folgt berechnen:

Dabei gilt:

  1. BE bezeichnet den besten Schätzwert der Verpflichtungen ohne Abzug der einforderbaren Beträge;
  2. Recoverablesi bezeichnet den besten Schätzwert der einforderbaren Beträge aus der Rückversicherungsvereinbarung und die entsprechenden Debitoren für Gegenparteii;
  3. Recoverablesall bezeichnet den besten Schätzwert der einforderbaren Beträge aus Rückversicherungsvereinbarungen und die entsprechenden Debitoren für alle Gegenparteien;
  4. SCRj bezeichnet die Kapitalanforderungen für das versicherungstechnische Risikoj des Versicherungs- oder Rückversicherungsunternehmens.

Artikel 109 Vereinfachte Berechnungen für Pool-Vereinbarungen

Ist Artikel 88 erfüllt, dürfen Versicherungs- oder Rückversicherungsunternehmen für die Zwecke der Artikel 193, 194 und 195 folgende vereinfachte Berechnungen anstellen:

  1. Der in Artikel 194 Absatz 1 Buchstabe d genannte beste Schätzwert kann wie folgt berechnet werden:

    Dabei bezeichnetBEU den besten Schätzwert der Verbindlichkeit, die das Unternehmen an die Pool-Vereinbarung abgetreten hat, unter Abzug aller Beträge, die bei nicht an der Pool-Vereinbarung beteiligten externen Gegenparteien rückversichert sind.

  2. Der in Artikel 195 Buchstabe c genannte beste Schätzwert kann wie folgt berechnet werden:

    Dabei bezeichnetBECEP den besten Schätzwert der Verbindlichkeit, die der Pool an die externe Gegenpartei abgetreten hat, im Verhältnis zu dem Risiko, das das Unternehmen an den Pool abgetreten hat.

  3. Der in Artikel 195 Buchstabe d genannte risikomindernde Effekt kann wie folgt berechnet werden:

    Dabei gilt:

    1. BECE bezeichnet den besten Schätzwert der Verbindlichkeit, die die Pool-Vereinbarung insgesamt an die externe Gegenpartei abgetreten hat;
    2.  bezeichnet den Beitrag aller externen Gegenparteien zum risikomindernden Effekt der Pool-Vereinbarung auf das versicherungstechnische Risiko des Unternehmens.
  4. Die dem Pool angehörenden Gegenparteien und die nicht dem Pool angehöhrenden externen Gegenparteien dürfen entsprechend ihrem Rating durch eine benannte Ratingagentur zu Gruppen zusammengefasst werden, sofern es getrennte Gruppen für Pool-Forderungen vom Typ A, Typ B und Typ C gibt.

Artikel 110 Vereinfachte Berechnung - Zusammenfassung von Einzeladressen-Forderungen zu Gruppen19

Ist Artikel 88 erfüllt, dürfen Versicherungs- oder Rückversicherungsunternehmen den in Artikel 192 genannten Verlust bei Ausfall einschließlich des risikomindernden Effekts auf versicherungstechnische Risiken und Marktrisiken und des risikobereinigten Werts der Sicherheit für eine Gruppe von Einzeladressen-Forderungen berechnen. In diesem Fall wird der Gruppe von Einzeladressen-Forderungen die Ausfallwahrscheinlichkeit zugeordnet, die von den Ausfallwahrscheinlichkeiten, die gemäß Artikel 199 den zu der Gruppe gehörenden Einzeladressen-Forderungen zugeordnet wurden, die höchste ist.

Artikel 111 Vereinfachte Berechnung des risikomindernden Effekts19

Ist Artikel 88 erfüllt, dürfen Versicherungs- oder Rückversicherungsunternehmen den in Artikel 196 genannten risikomindernden Effekt einer Rückversicherungsvereinbarung, einer Verbriefung oder eines Derivats auf das versicherungstechnische Risiko und das Marktrisiko als Differenz zwischen folgenden Kapitalanforderungen berechnen:

  1. Summe der hypothetischen Kapitalanforderungen für die von dem risikomindernden Instrument betroffenen Untermodule der Module versicherungstechnisches Risiko und Marktrisiko des Versicherungs- oder Rückversicherungsunternehmens, die gemäß dem vorliegenden Abschnitt und den Abschnitten 2 bis 5 berechnet werden, als wären die Rückversicherungsvereinbarung, die Verbriefung oder das Derivat nicht vorhanden;
  2. Summe der Kapitalanforderungen der Untermodule für das versicherungstechnische Risiko und das Marktrisiko des Versicherungs- oder Rückversicherungsunternehmens, die von dem risikomindernden Instrument betroffenen sind.

Artikel 111a Vereinfachte Berechnung des risikomindernden Effekts auf das versicherungstechnische Risiko19

Wenn Artikel 88 erfüllt ist und die Rückversicherungsvereinbarung, die Verbriefung oder das Derivat nur Verpflichtungen aus einem der in Anhang II oder gegebenenfalls Anhang XIV genannten Segmente (Segments) abdeckt, dürfen Versicherungs- und Rückversicherungsunternehmen den risikomindernden Effekt dieser Rückversicherungsvereinbarung, dieser Verbriefung oder dieses Derivats für die Zwecke des Artikels 196 wie folgt berechnen:

dabei bezeichnet:

  1. SCRCAThyp die hypothetische Kapitalanforderung für das in Artikel 119 Absatz 2 genannte Modul nichtlebensversicherungstechnisches Katastrophenrisiko bzw. die hypothetische Kapitalanforderung für das in Artikel 160 genannte Untermodul Krankenversicherungskatastrophenrisiko, das anwendbar wäre, wenn die Rückversicherungsvereinbarung, die Verbriefung oder das Derivat nicht bestünde;
  2. SCRCATwithout die Kapitalanforderung für das in Artikel 119 Absatz 2 genannte Modul nichtlebensversicherungstechnisches Katastrophenrisiko bzw. die Kapitalanforderung für das in Artikel 160 genannte Untermodul Krankenversicherungskatastrophenrisiko;
  3. σs die gemäß Artikel 117 Absatz 3 ermittelte Standardabweichung für das Nichtlebensversicherungsprämienrisiko in Segments bzw. die gemäß Artikel 148 Absatz 3 ermittelte Standardabweichung für das Prämienrisiko der Krankenversicherung, die auf vergleichbarer versicherungstechnischer Basis betrieben wird wie die Schadenversicherung, in Segments;
  4. Pshyp das gemäß Artikel 116 Absatz 3 oder 4 oder gegebenenfalls Artikel 147 Absatz 3 oder 4 ermittelte hypothetische Volumenmaß für das Prämienrisiko in Segments, das anwendbar wäre, wenn die Rückversicherungsvereinbarung, die Verbriefung oder das Derivat nicht bestünde;
  5. Pswithout das gemäß Artikel 116 Absatz 3 oder 4 oder gegebenenfalls Artikel 147 Absatz 3 oder 4 ermittelte Volumenmaß für das Prämienrisiko in Segments;
  6. Recoverables den besten Schätzwert der einforderbaren Beträge aus der Rückversicherungsvereinbarung, der Verbriefung oder dem Derivat und die entsprechenden Forderungen.

Artikel 112 Vereinfachte Berechnung des risikobereinigten Werts der Sicherheit zur Berücksichtigung der wirtschaftlichen Auswirkung der Sicherheit16

1. Ist Artikel 88 dieser Verordnung erfüllt und ist sowohl die in Artikel 197 Absatz 1 genannte Gegenpartei-Anforderung als auch die dort genannte Anforderung an Dritte erfüllt, dürfen Versicherungs- oder Rückversicherungsunternehmen den risikobereinigten Wert einer zur Besicherung gestellten Sicherheit im Sinne des Artikels 1 Nummer 26 Buchstabe b für die Zwecke des Artikels 197 als 85 % des gemäß Artikel 75 der Richtlinie 2009/138/EG ermittelten Werts der als Sicherheit gehaltenen Vermögenswerte berechnen.2. Sind die Artikel 88 und 214 dieser Verordnung erfüllt und ist die in Artikel 197 Absatz 1 genannte Gegenpartei- Anforderung erfüllt, die dort genannte Dritte-Anforderung jedoch nicht erfüllt, dürfen Versicherungs- oder Rückversicherungsunternehmen den risikobereinigten Wert einer zur Besicherung gestellten Sicherheit im Sinne des Artikels 1 Nummer 26 Buchstabe b für die Zwecke des Artikels 197 als 75 % des gemäß Artikel 75 der Richtlinie 2009/138/EG ermittelten Werts der als Sicherheit gehaltenen Vermögenswerte berechnen.

Artikel 112a Vereinfachte Berechnung des Verlusts bei Ausfall bei der Rückversicherung19

Ist Artikel 88 erfüllt, dürfen Versicherungs- und Rückversicherungsunternehmen den in Artikel 192 Absatz 2 Unterabsatz 1 genannten Verlust bei Ausfall für eine Rückversicherungsvereinbarung oder eine Versicherungsverbriefung wie folgt berechnen:

LGD = max[90 % · (Recoverables + 50 % ·RMre) -F ·Collateral; 0]

dabei bezeichnet:

  1. Recoverables den besten Schätzwert der einforderbaren Beträge aus der Rückversicherungsvereinbarung oder Versicherungsverbriefung und die entsprechenden Forderungen;
  2. RMre den risikomindernden Effekt der Rückversicherungsvereinbarung oder Verbriefung auf das versicherungstechnische Risiko;
  3. Collateral den risikobereinigten Wert der Sicherheit bezogen auf die Rückversicherungsvereinbarung oder Verbriefung;
  4. F einen Faktor zur Berücksichtigung der wirtschaftlichen Auswirkung der Finanzsicherheit bezogen auf die Rückversicherungsvereinbarung oder Verbriefung im Falle eines Kreditereignisses hinsichtlich der Gegenpartei.

Artikel 112b Vereinfachte Berechnung der Kapitalanforderung für das Gegenparteiausfallrisiko bei Typ-1-Exponierungen19

Ist Artikel 88 erfüllt und liegt die gemäß Artikel 200 Absatz 4 bestimmte Standardabweichung der Verlustverteilung der Typ-1-Exponierungen bei oder unter 20 % der gesamten Verluste bei Ausfall bei allen Typ-1-Exponierungen, dürfen die Versicherungs- und Rückversicherungsunternehmen die in Artikel 200 Absatz 1 genannte Kapitalanforderung für das Gegenparteiausfallrisiko wie folgt berechnen:

SCRdef,1 = 5 · σ

dabei bezeichnet σ die gemäß Artikel 200 Absatz 4 bestimmte Standardabweichung der Verlustverteilung der Typ-1-Exponierungen.

Unterabschnitt 7
Anwendungsbereich der versicherungstechnischen Risikomodule

Artikel 113

Zur Berechnung der Kapitalanforderungen für das nichtlebensversicherungstechnische Risiko, das lebensversicherungstechnische Risiko und das krankenversicherungstechnische Risiko wenden die Versicherungs- und Rückversicherungsunternehmen die Module wie folgt an:

  1. das nichtlebensversicherungstechnische Risikomodul auf Nichtlebensversicherungs- und -rückversicherungsverpflichtungen, ausgenommen Krankenversicherungs- und -rückversicherungsverpflichtungen;
  2. das lebensversicherungstechnische Risikomodul auf Lebensversicherungs- und -rückversicherungsverpflichtungen, ausgenommen Krankenversicherungs- und -rückversicherungsverpflichtungen;
  3. das krankenversicherungstechnische Risikomodul auf Krankenversicherungs- und -rückversicherungsverpflichtungen.


weiter .

umwelt-online - Demo-Version


(Stand: 29.03.2021)

Alle vollständigen Texte in der aktuellen Fassung im Jahresabonnement
Nutzungsgebühr: 90.- € netto (Grundlizenz)

(derzeit ca. 7200 Titel s.Übersicht - keine Unterteilung in Fachbereiche)

Preise & Bestellung

Die Zugangskennung wird kurzfristig übermittelt

? Fragen ?
Abonnentenzugang/Volltextversion