umwelt-online: Delegierte Verordnung (EU) 2015/35 zur Ergänzung der Richtlinie 2009/138/EG betreffend die Aufnahme und Ausübung der Versicherungs- und der Rückversicherungstätigkeit - (Solvabilität II)(5)

zurück

.

Risikogewichte für Katastrophenrisikozonen Anhang X19 20


. Risikogewichte für das Sturmrisiko

Zone/Region AT BE CH CZ DE DK ES FI FR HU IE NL NO PL SE SI UK
1 0,6 0,9 1,4 1,2 0,9 1,1 2,3 0,8 1,0 0,5 1,4 0,9 1,4 0,6 0,2 0,9 0,9
2 0,7 1,0 1,1 1,0 0,8 1,6 0,8 1,2 2,0 2,0 1,1 1,0 0,7 0,6 0,3 0,9 1,1
3 0,9 0,9 1,5 1,0 0,8 0,9 0,6 3,6 1,7 0,6 1,5 1,0 0,5 0,6 0,3 1,4 0,7
4 1,5 0,9 1,3 1,0 1,2 2,0 0,6 1,1 0,8 1,7 1,3 1,1 0,8 0,6 0,8 1,4 1,5
5 1,6 1,0 1,5 1,2 1,3 1,3 1,5 1,4 1,5 1,6 1,5 1,5 1,2 0,6 0,5 0,9 1,1
6 1,4 1,0 0,7 1,2 1,1 1,4 1,1 0,8 0,6 1,8 0,7 1,2 0,8 0,6 0,7 1,4 0,9
7 1,5 1,2 1,5 1,2 1,0 1,4 0,2 0,3 0,7 2,2 1,5 1,6 1,0 0,8 0,8 1,4 1,5
8 1,1 1,6 1,1 1,0 1,1 1,6 1,3 0,5 1,7 1,5 1,1 1,9 0,9 0,7 2,2 0,7 0,9
9 1,4 1,1 1,1 1,2 0,5 0,9 2,3 0,8 1,2 2,2 1,1 1,4 1,0 0,6 1,6 0,9 1,9
10 1,1 1,6 1,2 0,7 0,6 1,5 1,2 1,7 2,1 1,6 1,4 1,5 0,9 3,5 0,9 0,7
11 1,1 1,8 1,4 0,7 1,8 1,5 0,8 0,9 1,5 1,8 0,9 2,8 1,0 5,2 0,7 1,3
12 1,1 0,9 1,5 1,0 1,1 1,0 1,2 1,4 0,9 1,4 2,6 0,9 2,4 1,2
13 1,2 1,1 1,5 1,1 0,8 2,9 0,8 1,3 1,1 1,7 3,6 0,8 0,6 1,6
14 1,1 2,0 1,3 1,3 1,1 3,7 3,3 1,4 2,0 1,3 2,9 1,0 0,4 1,5
15 1,2 1,2 1,4 1,6 2,5 7,9 1,6 2,0 1,2 1,4 1,4 1,2 0,3 1,5
16 1,5 1,2 1,6 2,1 1,3 7,0 1,6 1,2 1,2 1,2 1,7 0,5 0,4 1,3
17 1,6 1,3 1,6 1,9 1,7 2,7 3,0 0,3 1,3 1,5 1,3 0,6 0,5 2,4
18 1,3 1,4 1,6 1,4 0,8 1,2 1,8 1,9 1,4 1,3 0,7 0,5 0,4 3,2
19 1,5 1,3 1,6 1,7 1,5 3,8 1,2 2,0 1,3 1,1 0,2 0,6 1,0 0,7
20 1,5 1,4 1,7 1,1 2,5 1,3 2,1 1,4 1,0 0,7 0,6 2,0
21 1,8 1,5 1,9 2,0 1,3 1,1 1,1 1,5 0,9 0,5 0,6 1,2
22 2,0 1,1 1,8 1,9 2,1 2,9 2,0 1,1 1,5 0,5 1,3
23 2,0 1,2 1,2 2,9 0,8 1,8 0,3 1,2 1,7 0,4 2,3
24 1,3 1,2 1,4 2,7 2,3 1,3 2,2 1,2 1,2 0,4 1,2
25 2,1 0,9 1,3 2,2 1,9 0,8 0,9 1,1 0,5 1,3
26 1,8 1,3 1,6 1,5 1,5 0,8 1,3 0,9 0,6 1,6
27 1,8 1,6 1,6 2,5 2,2 1,3 0,6 0,9
28 1,5 1,7 1,6 1,1 2,3 0,9 0,5 1,1
29 1,5 1,7 1,8 1,3 3,4 0,9 0,5 3,8
30 1,7 1,4 1,8 0,6 0,6 0,9 0,7 2,2
31 3,2 1,5 1,7 2,3 1,0 1,0 0,6 0,8
32 1,6 1,2 1,3 2,5 1,6 1,1 0,5 0,6
33 3,1 1,1 1,1 2,5 1,3 1,4 0,5 0,4
34 1,4 1,1 1,2 2,3 0,7 2,0 0,4 0,8
35 2,4 1,1 1,4 0,0 2,5 1,7 0,5 0,8
36 2,3 1,1 1,5 2,5 1,7 1,3 0,4 1,9
37 1,8 0,9 1,7 1,7 1,8 1,6 0,4 1,1
38 1,6 0,9 1,5 0,0 0,8 1,1 0,4 2,4
39 2,2 1,1 1,8 2,5 1,0 0,8 0,4 0,8
40 2,0 1,0 1,2 1,7 1,5 1,1 0,4 1,4
41 1,9 0,8 1,1 1,3 1,7 0,7 0,6 1,0
42 1,6 0,8 1,2 1,9 1,0 1,0 0,7 3,1
43 2,0 0,8 1,8 1,5 1,3 0,9 0,7 0,6
44 2,1 0,9 1,7 1,3 2,7 1,0 0,7 1,0
45 2,0 0,8 2,1 1,3 1,7 0,7 0,7 1,2
46 2,2 0,9 2,0 0,8 1,0 0,7 0,9 1,2
47 2,4 0,9 1,3 1,9 1,3 0,6 1,0 1,4
48 2,6 0,7 1,2 2,5 1,3 0,7 0,8 1,6
49 2,2 0,7 1,5 2,1 2,3 0,8 0,9 1,9
50 2,1 0,5 1,3 1,9 4,8 1,0 1,0 1,0
51 2,7 0,5 1,3 1,6 0,9 1,2 0,7
52 1,6 0,5 1,2 1,4 0,7 1,2 1,8
53 1,9 0,4 1,2 3,1 0,8 1,2 1,9
54 1,2 0,6 1,0 1,1 0,7 1,2 1,0
55 1,3 0,6 1,1 1,4 0,7 1,2 2,5
56 1,3 0,6 1,7 3,3 0,8 1,2 1,6
57 1,6 0,7 0,8 1,1 1,1 1,3 0,7
58 1,1 0,8 1,3 1,7 0,8 1,1 1,4
59 1,4 0,8 0,9 1,6 0,8 1,3 1,2
60 1,5 1,1 1,9 0,9 1,7 1,1
61 1,6 1,1 3,2 0,8 1,7 1,7
62 1,7 1,1 2,2 0,9 1,6 2,2
63 1,6 1,1 1,2 0,8 1,4 1,3
64 1,1 1,0 1,3 0,6 1,3 1,9
65 1,4 0,9 1,5 0,8 2,0 3,2
66 2,3 0,7 0,8 0,7 1,8 0,7
67 1,7 0,9 0,9 0,9 2,3 1,2
68 1,9 0,8 0,7 1,0 1,6 0,6
69 2,1 0,8 0,7 1,2 1,7 6,1
70 2,2 1,0 1,0 1,1 2,3 1,3
71 1,9 0,8 1,3 1,1 3,4 1,1
72 1,9 0,9 2,4 0,9 3,6 0,5
73 1,9 0,9 1,1 1,3 3,6 0,7
74 1,8 0,9 0,9 1,8 2,9 1,2
75 1,7 0,9 0,6 1,2 3,0 1,4
76 1,8 0,9 2,5 1,6 3,3 1,4
77 2,1 0,8 1,3 1,5 3,2 1,5
78 0,9 1,3 1,8 2,6 0,5
79 0,9 2,2 1,8 3,0 0,8
80 0,8 2,4 1,1 1,9 1,6
81 0,8 1,1 1,4 2,7 1,3
82 0,8 1,2 1,4 1,4 3,2
83 1,0 0,8 1,2 1,8 1,4
84 1,0 0,5 1,2 2,9 2,1
85 0,8 3,4 0,8 1,5 1,7
86 0,8 1,8 1,0 1,5 1,5
87 0,9 1,5 1,0 1,2 1,2
88 0,7 1,0 1,0 1,4 1,0
89 0,8 1,7 1,4 1,9 1,1
90 0,8 0,6 1,4 0,8 0,9
91 0,9 1,1 0,8 2,1
92 0,9 0,6 0,8 0,6
93 1,1 0,6 0,8 1,4
94 1,0 0,7 0,8 0,9
95 1,4 1,0 0,8 1,0
96 0,7 0,6
97 0,7 1,5
98 0,9 1,1
99 0,9 1,6
100 0,8
101 4,8
102 1,2
103 0,5
104 1,8
105 1,6
106 1,3
107 1,2
108 1,3
109 1,7
110 2,4
111 0,8
112 0,8
113 0,8
114 0,4
115 1,1
116 0,4
117 0,9
118 1,0
119 1,1
120 1,4
121 0,8
122 0,8
123 2,0
124 1,5

. Risikogewichte für das Erdbebenrisiko

Zone/Region AT BE BG CZ CH CR CY DE FR HE HU IT PT RO SI SK
1 3,5 0,8 1,5 0,1 1,1 0,8 0,6 0,1 1,4 2,2 2,6 4,3 1,7 0,0 1,4 1,8
2 3,1 0,4 0,3 0,1 1,3 1,3 1,9 0,2 0,1 1,8 0,4 2,0 2,3 0,1 0,8 0,8
3 3,2 1,7 0,5 0,1 1,8 0,1 1,3 0,2 0,3 2,5 0,0 6,8 1,9 0,8 0,7 1,3
4 4,0 1,8 0,3 0,1 3,1 0,7 2,0 1,1 3,1 2,7 0,8 6,0 1,2 2,0 1,4 0,6
5 0,9 1,1 0,6 0,1 3,8 1,0 0,4 0,7 1,0 2,0 1,6 3,2 1,4 0,0 0,7 0,6
6 1,6 2,4 0,4 0,1 1,4 0,5 0,2 1,5 4,1 2,1 1,0 5,0 3,6 0,0 0,4 0,6
7 2,4 3,3 0,1 0,1 1,5 0,3 2,7 1,1 1,8 0,6 4,7 2,4 0,0 0,2 0,6
8 3,4 0,7 0,7 0,1 1,0 0,8 0,6 0,1 2,2 1,0 0,0 2,1 0,9 0,2 1,1
9 3,2 0,5 0,1 0,1 2,1 0,4 0,1 4,9 2,1 0,6 0,0 3,4 0,2 1,7 1,0
10 3,8 0,3 0,1 1,2 0,2 0,1 0,1 2,9 0,0 0,0 2,0 4,0 1,3 3,2
11 3,6 0,1 0,1 1,7 0,3 0,1 2,9 3,5 0,4 1,9 1,6 0,1 1,0 2,9
12 3,8 0,1 0,1 1,5 0,3 0,2 0,1 3,2 0,0 1,8 1,5 2,2 3,2
13 2,5 0,2 0,1 0,7 0,6 0,2 2,7 3,1 0,5 1,4 0,6 0,0 3,2
14 1,9 0,1 0,1 2,5 0,3 0,2 0,2 3,2 1,7 1,3 1,3 0,0 2,6
15 1,2 0,5 0,1 2,3 1,8 0,1 0,2 2,6 0,1 0,8 0,6 1,5 1,6
16 0,6 0,6 0,1 0,6 0,3 0,1 0,6 2,6 0,0 1,6 0,8 1,3 2,2
17 0,2 0,5 0,1 1,7 0,6 0,2 0,7 3,8 0,0 1,2 2,0 0,2 1,9
18 1,7 0,7 0,1 1,7 0,6 0,1 0,1 3,1 1,8 1,8 1,6 1,3 1,1
19 0,2 0,5 0,6 1,4 0,8 0,2 0,1 7,2 0,7 3,2 2,6 0,9 1,8
20 0,1 0,3 0,6 0,5 0,3 0,1 0,2 2,8 0,0 4,0 1,8 0,3 1,9
21 0,4 0,4 2,5 0,9 1,3 0,1 0,3 4,8 0,2 1,5 0,4 0,0 0,6
22 0,0 0,2 1,5 2,1 0,1 0,2 6,8 0,0 0,8 0,6 0,0 2,2
23 0,0 0,1 0,1 1,4 0,1 0,2 2,7 0,0 1,4 0,3 2,0 0,2
24 0,0 0,1 0,1 2,6 0,1 0,1 2,6 0,1 1,8 0,2 0,3 1,6
25 0,0 0,1 0,1 0,8 0,1 2,0 1,6 4,3 0,1 0,1
26 0,0 0,2 0,1 1,3 0,2 2,5 3,1 4,5 0,1 0,3
27 0,0 0,1 0,1 0,2 0,1 3,4 3,1 0,1 0,0
28 0,0 0,0 1,1 0,1 0,1 3,3 1,9 0,1 0,5
29 0,0 0,9 0,1 0,2 3,6 1,1 0,3 0,4
30 0,0 0,1 0,1 1,4 1,9 3,2 0,3 2,1
31 0,0 0,1 0,1 1,4 3,1 3,0 0,3 0,0
32 0,1 0,7 0,2 2,6 2,0 8,0 0,2 0,2
33 0,0 1,3 0,4 0,1 4,8 5,3 0,2 0,1
34 0,4 0,1 0,9 0,6 1,7 4,3 0,2 0,0
35 0,1 1,5 0,2 0,2 1,9 3,4 0,1 0,4
36 0,1 1,5 0,1 0,5 2,2 3,0 0,2 0,2
37 0,2 0,1 0,3 0,5 1,8 6,5 0,2 0,1
38 0,4 0,1 1,9 3,0 4,1 5,0 0,1 1,0
39 0,5 0,1 6,4 0,8 1,9 2,5 0,3 0,6
40 0,5 0,1 0,2 5,5 0,5 1,2 0,2 5,2
41 1,0 0,1 0,1 0,2 1,1 5,9 0,1 2,5
42 2,4 0,1 0,2 0,3 1,3 6,1 0,2
43 1,8 0,1 0,3 0,2 1,0 6,0 0,1
44 1,7 0,1 1,6 0,5 0,6 5,1 0,1
45 1,1 0,1 0,1 0,1 0,5 5,5 0,1
46 1,8 0,1 0,1 0,1 0,6 2,3 0,3
47 1,0 0,1 5,8 0,1 0,6 3,6 0,1
48 2,0 7,6 2,1 0,2 0,6 6,4 0,1
49 1,4 8,8 8,1 0,5 0,5 6,4 0,1
50 1,8 10,5 3,4 0,4 0,6 5,5 0,8
51 1,2 11,0 0,2 0,1 0,4 6,3 0,4
52 3,1 10,5 1,9 0,1 1,0 4,2 0,5
53 1,7 11,3 2,0 0,2 0,7 3,2 0,1
54 3,4 9,5 0,2 0,1 1,1 5,9 0,5
55 1,4 0,1 0,1 0,1 0,9 5,1 1,3
56 0,9 0,1 0,1 0,3 1,0 4,2 0,9
57 0,4 0,1 2,2 0,1 0,6 3,0 0,6
58 0,7 0,1 1,4 0,1 1,0 1,9 0,3
59 1,1 6,6 1,1 1,8 0,6 6,7 0,7
60 1,0 2,0 0,1 3,1 5,3 2,9
61 0,3 2,2 0,2 3,1 5,0 1,4
62 0,3 0,1 0,9 2,5 5,7 3,1
63 0,6 2,5 0,4 2,6 6,0 1,9
64 2,2 2,7 16,5 2,5 5,9 1,9
65 1,1 2,0 23,4 0,9 5,4 1,3
66 0,8 3,1 13,5 1,5 3,7 1,4
67 0,2 3,4 5,0 2,6 10,9 4,6
68 0,7 6,4 10,4 0,9 1,4 1,2
69 0,7 2,3 0,5 1,2 5,5 1,3
70 0,5 1,7 0,8 2,3 0,5 0,2
71 0,6 2,8 0,4 1,0 0,3
72 0,6 5,0 0,3 1,4 0,1
73 0,9 6,1 4,5 3,1 0,1
74 1,6 3,4 7,2 3,7 0,3
75 1,2 7,1 0,2 3,1 0,8
76 1,0 0,2 0,1 7,0 1,0
77 0,8 0,2 0,1 6,3 1,4
78 1,1 0,1 2,8 2,1
79 2,3 0,7 5,3 1,7
80 0,2 0,1 6,6
81 0,4 0,2 9,1
82 0,7 0,1 7,9
83 4,0 0,5 10,5
84 3,6 3,5 6,3
85 2,2 0,6 2,5
86 0,1 0,7 2,1
87 0,1 0,2 3,6
88 0,2 0,5 5,3
89 0,2 0,1 8,4
90 0,1 4,1 7,7
91 0,4 0,1 6,3
92 0,2 0,2 10,1
93 0,1 0,1
94 0,3 0,2
95 0,3 0,1

. Risikogewichte für das Überschwemmungsrisiko

Zone/Region AT BE BG CH CZ DE FR IT HU PL RO SI SK UK
1 0,1 0,3 1,3 2,0 0,6 1,5 1,9 8,0 0,6 0,4 1,3 1,3 1,5 1,3
2 0,1 1,0 2,8 1,8 1,6 0,8 1,1 2,4 4,2 0,1 2,0 1,2 1,0 0,5
3 0,5 0,5 0,0 1,8 0,5 0,5 1,1 1,2 4,9 0,1 1,3 0,8 0,8 1,5
4 0,0 3,5 2,6 1,8 0,4 1,5 0,5 0,8 0,5 1,7 2,6 2,7 3,8 7,8
5 0,9 3,8 0,2 1,8 0,9 2,5 0,3 1,6 0,3 0,8 2,0 0,6 0,2 10,5
6 4,0 0,5 0,1 3,3 1,5 1,3 0,2 2,0 0,1 0,7 0,7 1,1 0,3 5,8
7 0,4 0,5 0,1 1,3 1,4 0,5 0,7 4,8 0,3 2,4 0,7 1,8 1,5 1,3
8 0,2 1,0 0,5 1,3 1,6 0,3 1,3 0,0 1,0 1,0 11,9 1,5 1,5 3,3
9 0,5 2,8 0,3 4,2 1,7 1,0 0,6 0,0 1,2 0,8 0,7 0,9 1,5 1,3
10 1,0 0,8 3,0 0,5 1,3 1,3 0,0 3,4 2,5 0,7 0,1 0,0 2,3
11 0,2 0,1 3,0 1,1 1,8 1,4 4,8 0,8 1,0 2,0 1,7 0,0 6,0
12 0,3 0,7 3,0 1,6 2,0 0,4 0,0 0,1 2,0 3,3 0,0 0,0
13 0,3 0,4 1,5 1,6 0,8 6,1 2,4 0,2 2,6 2,0 0,5 4,3
14 0,5 0,2 3,8 1,5 0,8 1,1 0,4 1,4 2,2 2,0 0,0 2,8
15 0,9 0,2 4,5 2,7 0,3 0,3 2,0 3,2 1,2 1,3 0,2 7,0
16 0,4 0,0 1,3 2,5 0,3 1,1 2,4 2,3 0,0 2,0 2,1 2,0
17 1,4 0,1 2,8 4,5 1,3 2,2 0,0 0,4 1,8 3,3 1,1 1,5
18 2,6 2,5 1,8 1,1 2,3 1,3 0,8 0,6 1,3 4,0 1,3 1,5
19 3,6 0,8 2,5 1,8 4,5 0,4 0,8 4,9 1,4 3,3 0,9 2,0
20 2,2 0,9 2,0 2,3 2,0 0,0 0,0 4,8 1,8 0,7 0,3 2,8
21 0,5 7,5 2,0 1,7 0,8 1,6 3,2 3,1 0,0 0,7 2,8 3,0
22 1,6 4,2 5,0 1,5 0,3 0,3 0,0 2,8 1,3 3,3 2,7 2,5
23 1,0 0,8 1,5 1,6 0,5 0,3 1,6 0,3 0,7 4,6 0,1 3,3
24 3,6 0,8 3,3 2,1 2,0 1,0 1,6 4,0 1,4 2,0 0,0 1,3
25 1,8 7,5 1,5 2,0 2,3 0,7 3,2 3,1 3,3 4,0
26 0,8 5,8 1,8 2,2 2,5 1,1 1,6 0,2 2,0 5,5
27 2,0 3,3 3,1 4,3 1,2 3,2 0,8 1,3 8,5
28 2,4 2,5 1,1 2,8 0,5 3,2 3,6 2,0 3,0
29 0,7 3,3 2,9 2,3 0,3 0,0 5,9 4,0 1,3
30 4,4 1,7 0,8 3,0 0,8 0,8 0,7 1,3
31 2,0 1,3 0,3 1,6 4,8 0,6 3,3 2,0
32 3,3 1,1 1,8 1,3 4,8 0,1 2,6 2,5
33 0,9 2,0 1,0 2,8 1,6 5,9 1,3 0,3
34 4,6 2,2 0,3 1,7 2,4 9,8 1,3 3,5
35 1,5 1,4 3,0 0,7 0,0 7,3 4,6 3,0
36 0,3 1,8 2,3 0,7 2,4 0,5 2,0 2,8
37 0,4 2,6 2,5 2,0 1,2 2,2 7,9 2,8
38 4,4 2,6 3,3 1,4 6,4 7,3 2,0 3,3
39 1,2 0,8 1,0 1,7 2,4 10,6 1,3 3,5
40 0,4 1,0 0,8 1,7 1,2 5,4 2,6 1,8
41 0,2 3,9 0,3 1,4 6,4 0,0 1,3 2,5
42 0,3 4,2 0,3 0,7 1,2 0,7 0,0
43 0,1 1,2 2,0 0,4 0,8 1,7 3,0
44 0,2 1,5 3,8 1,9 0,8 3,1 7,5
45 0,6 0,8 3,5 1,7 1,6 0,3 2,8
46 0,1 1,1 2,0 0,8 4,8 2,8 1,0
47 0,1 0,7 4,5 2,3 3,2 1,1 19,5
48 1,5 3,6 2,5 0,2 0,4 5,6 0,5
49 0,1 2,1 0,3 2,5 1,6 2,2 3,0
50 2,4 1,9 3,3 0,9 3,6 3,0 5,8
51 2,8 1,0 2,0 1,1 0,8 1,1 3,3
52 0,4 2,2 4,3 0,6 3,2 2,1 0,0
53 0,3 1,2 6,0 0,4 0,4 0,3 2,0
54 0,0 2,8 0,3 1,0 0,0 0,1 2,5
55 0,1 3,5 1,0 1,2 0,8 0,2 0,0
56 0,1 1,9 0,8 0,7 4,8 4,9 4,0
57 0,1 4,8 1,5 1,0 0,0 4,9 3,8
58 0,3 3,3 0,3 1,3 0,0 2,3 1,0
59 0,9 2,4 3,8 0,9 0,8 4,6 1,8
60 0,1 1,3 1,0 0,0 7,0 2,0
61 0,1 3,3 0,5 0,4 0,1 10,0
62 0,1 2,3 0,8 0,8 0,9 13,3
63 0,1 4,0 0,7 0,0 0,9 2,8
64 0,4 3,0 0,9 0,8 1,7 2,8
65 1,1 1,5 1,2 4,0 3,0 0,8
66 0,5 0,5 0,8 1,6 0,1 8,5
67 0,9 0,3 4,3 2,4 2,9 1,0
68 0,0 1,5 2,9 3,2 4,6 6,0
69 0,0 0,5 1,6 1,2 4,6 4,3
70 0,0 1,3 1,5 0,8 8,8 3,3
71 0,0 0,8 1,9 0,0 1,9 2,0
72 0,0 3,5 1,4 1,6 1,2 2,0
73 0,0 1,0 0,9 1,2 2,2 2,0
74 0,0 0,5 0,5 3,2 1,6 6,8
75 0,0 1,0 6,2 6,4 8,8 1,5
76 0,0 0,8 1,1 1,2 0,1 4,5
77 0,1 0,5 1,3 2,4 0,3 1,3
78 1,0 1,2 1,6 0,6 2,0
79 3,0 0,7 1,6 1,6 3,8
80 2,3 0,8 0,8 1,5 2,5
81 2,3 0,5 1,2 0,1 2,8
82 3,0 2,5 0,0 12,6 2,0
83 1,3 0,7 0,0 3,9 5,5
84 0,5 2,7 3,2 0,1 0,8
85 1,3 2,0 0,0 0,8 1,3
86 0,3 0,8 0,8 2,1 2,5
87 1,0 0,3 1,2 0,9 2,0
88 0,8 0,6 0,8 2,4 2,8
89 1,5 0,9 1,6 1,9 1,5
90 2,3 0,8 0,0 0,1 4,5
91 0,5 1,0 0,0 0,2 6,5
92 2,5 6,1 1,2 0,1 1,5
93 5,0 1,4 0,2 1,5
94 0,8 5,0 0,1 3,5
95 2,0 1,1 1,2 2,8
96 0,8 1,0
97 0,8 2,5
98 1,3 1,8
99 2,1 2,0
100 1,0
101 1,5
102 1,0
103 1,5
104 3,5
105 3,0
106 13,3
107 1,0
108 3,0
109 3,8
110 0,8
111 3,8
112 2,8
113 1,5
114 1,3
115 6,8
116 0,3
117 0,3
118 5,0
119 3,8
120 3,5
121 2,0
122 2,3
123 2,3
124 0,5

. Risikogewichte für das Hagelrisiko

Zone/Region AT BE CH CZ ES DE FR IT NL SI
1 3,1 2,8 2,8 4,1 7,5 0,5 12,6 3,7 4,0 3,7
2 3,4 2,7 1,6 4,7 1,7 0,0 1,9 3,7 5,8 2,7
3 1,8 2,0 0,3 5,1 6,7 0,0 5,7 3,7 5,3 2,1
4 23,6 3,1 2,1 5,7 0,0 0,8 8,7 0,0 1,4 3,6
5 0,2 2,0 6,7 4,6 1,7 0,4 5,4 0,0 6,6 2,8
6 1,9 3,9 4,0 4,5 3,3 2,7 3,9 0,8 0,1 2,1
7 8,3 2,0 0,1 5,1 16,7 0,4 12,3 0,8 0,3 3,5
8 0,3 2,8 0,2 5,2 2,5 0,8 2,7 0,0 2,9 3,0
9 1,4 2,4 1,5 5,0 1,7 0,2 27,6 0,0 9,6 3,6
10 0,8 0,3 3,8 0,0 0,1 1,7 0,0 0,1 3,1
11 3,1 6,1 2,7 7,5 0,9 6,8 10,8 6,1 2,6
12 2,8 3,0 3,2 0,0 0,1 8,7 10,8 2,8
13 1,0 0,1 3,0 0,0 0,0 2,8 10,8 2,0
14 17,4 2,7 2,7 6,7 0,1 0,3 10,8 0,6
15 0,2 4,4 4,1 1,7 0,0 3,7 10,8 0,2
16 0,9 0,3 4,5 10,0 0,0 8,5 10,8 2,0
17 1,7 1,4 4,3 5,0 0,2 0,6 10,8 0,1
18 1,4 1,9 4,9 2,5 0,0 7,2 10,8 0,1
19 0,3 5,9 3,0 10,0 0,1 12,4 10,8 3,4
20 0,3 0,5 2,8 0,0 0,0 2,5 10,8 1,5
21 0,4 1,3 3,4 3,3 0,0 8,1 7,5 5,6
22 1,1 1,3 4,2 3,3 0,0 0,1 7,5 0,5
23 0,2 1,4 2,7 3,3 0,0 10,2 7,5 0,5
24 5,3 1,2 2,3 6,7 5,5 2,0 7,5 4,2
25 15,9 1,3 2,6 5,0 0,5 8,3 7,5 1,4
26 5,8 4,9 3,2 3,3 0,1 25,3 7,5 11,6
27 1,6 2,9 8,4 0,1 1,0 7,5 12,0
28 3,8 3,2 0,0 3,3 4,7 7,5 1,3
29 5,4 4,6 5,0 1,7 0,0 10,8 4,3
30 7,9 3,4 6,7 3,1 3,6 7,5 2,6
31 16,5 3,9 3,3 17,4 14,0 3,3 0,4
32 5,6 2,8 6,7 1,8 7,7 3,3 13,4
33 5,9 3,2 2,5 2,0 5,8 3,3 12,0
34 2,4 2,8 6,7 1,7 0,3 3,3 0,3
35 2,7 2,8 1,7 2,1 0,2 3,3 3,2
36 14,1 4,3 10,0 2,2 1,3 3,3 0,2
37 0,4 2,9 2,5 6,1 7,6 3,3 10,6
38 3,5 4,1 0,0 19,7 10,6 3,3 3,4
39 6,1 3,0 2,5 5,4 11,6 3,3 3,1
40 3,1 3,7 7,5 7,9 2,8 3,3 0,2
41 10,4 4,8 2,5 3,7 2,3 7,5 5,9
42 5,4 4,6 3,3 3,5 10,4 7,5 7,2
43 1,1 4,2 6,7 3,0 4,8 7,5 3,8
44 5,9 3,8 3,3 9,8 0,1 7,5 3,5
45 11,3 5,0 12,5 3,4 3,4 7,5 3,9
46 4,5 3,2 1,7 2,7 12,2 3,3 3,2
47 0,3 2,3 6,7 13,2 18,1 7,5 1,2
48 3,3 2,8 0,1 11,9 13,7 7,5 2,5
49 1,3 2,7 0,5 8,7 2,1 7,5 0,6
50 2,1 4,0 1,2 13,9 1,9 3,7 4,7
51 11,4 4,5 11,2 6,4 3,7 2,9
52 2,7 5,0 2,1 10,9 3,7 4,6
53 0,2 3,0 6,0 4,7 3,7 0,3
54 0,4 3,2 5,0 2,0 3,7 2,4
55 7,9 3,0 3,3 0,8 3,7 5,8
56 0,4 3,0 11,2 0,1 3,7 2,4
57 0,2 4,1 0,3 2,7 3,7 5,2
58 8,2 2,8 4,3 19,9 3,7 2,1
59 3,6 2,7 2,4 1,9 3,7 8,5
60 4,7 3,0 1,9 0,8 9,7
61 1,5 0,7 16,1 0,8 8,9
62 3,9 18,2 1,4 0,8 0,1
63 2,6 5,3 2,6 0,8 0,1
64 2,4 4,9 15,3 0,8 7,4
65 4,8 0,3 20,0 0,8 4,1
66 0,8 8,0 2,0 0,8 0,8
67 1,2 15,3 4,6 0,8 0,3
68 0,4 11,7 12,1 0,0 3,2
69 10,7 7,7 17,1 0,0 1,5
70 1,3 1,7 13,6 0,0 1,6
71 4,5 6,4 12,1 0,0 2,9
72 15,0 5,6 0,7 0,0 7,1
73 0,3 5,0 15,3 0,0 4,1
74 1,2 7,8 9,5 0,0 1,6
75 1,3 8,0 6,2 0,0 1,4
76 0,2 55,9 0,7 0,0 0,1
77 4,2 41,6 1,9 0,0 0,4
78 7,9 1,7 0,0 0,3
79 10,7 1,1 0,0 0,0
80 8,7 4,6 0,8 5,1
81 7,8 3,7 0,0 0,7
82 15,8 20,4 0,0 0,3
83 5,2 0,6 0,0 1,0
84 3,2 0,6 0,0 1,1
85 12,4 1,3 0,0 5,1
86 9,1 1,3 0,0 2,5
87 4,2 1,7 0,0 1,8
88 8,5 3,2 0,0 0,3
89 3,9 3,3 0,0 4,4
90 6,4 6,0 0,0 3,0
91 2,7 2,3 0,0
92 3,0 1,0 0,0
93 2,5 4,0
94 2,5 0,7
95 1,4 2,3

. Risikogewichte für das Bodensenkungs- und Erdrutschrisiko

Zone FR Zone FR Zone FR Zone FR Zone FR
1 0,5 20 0,3 39 0,5 58 0,3 77 2,5
2 0,3 21 0,5 40 0,3 59 6,0 78 2,0
3 0,5 22 0,3 41 0,5 60 0,3 79 0,8
4 0,3 23 0,3 42 0,3 61 0,3 80 0,3
5 0,3 24 1,8 43 0,3 62 1,0 81 0,8
6 0,5 25 0,3 44 0,5 63 0,8 82 0,8
7 0,3 26 0,3 45 1,5 64 0,5 83 0,5
8 0,3 27 0,3 46 0,3 65 0,5 84 0,5
9 0,3 28 0,5 47 1,0 66 0,3 85 0,5
10 0,3 29 0,3 48 0,3 67 0,3 86 1,0
11 0,5 30 0,3 49 1,3 68 0,3 87 0,3
12 0,3 31 6,3 50 0,3 69 0,5 88 0,3
13 2,5 32 1,0 51 0,3 70 0,3 89 0,5
14 0,3 33 4,8 52 0,3 71 0,5 90 0,3
15 0,3 34 0,5 53 0,3 72 0,8 91 1,5
16 0,5 35 0,3 54 0,5 73 0,3 92 0,5
17 2,3 36 0,5 55 0,3 74 0,3 93 0,8
18 0,5 37 1,5 56 0,3 75 0,3 94 1,0
19 0,3 38 0,3 57 1,0 76 0,3 95 0,8

.

Anhang XI


i Haftpflichtrisikogruppei Risikofaktorf(liability,i)
1 Versicherungs- und proportionale Rückversicherungsverpflichtungen aus der Berufshaftpflicht, ausgenommen Berufshaftpflichtversicherung und -rückversicherung für selbstständige Handwerker oder Kunsthandwerker 100 %
2 Versicherungs- und proportionale Rückversicherungsverpflichtungen aus der Arbeitgeberhaftpflicht 160 %
3 Versicherungs- und proportionale Rückversicherungsverpflichtungen aus der Directors & Officers-Haftpflicht 160 %
4 Haftpflichtversicherungs- und -rückversicherungsverpflichtungen in den Geschäftsbereichen 8 und 20 gemäß Anhang I, ausgenommen in den Haftpflichtrisikogruppen 1 bis 3 enthaltene Verpflichtungen sowie ausgenommen Versicherungs- und proportionale Rückversicherungsverpflichtungen aus der Privathaftpflicht und ausgenommen Berufshaftpflichtversicherungen und -rückversicherungen für selbstständige Handwerker oder Kunsthandwerker 100 %
5 Nichtproportionale Rückversicherungsverpflichtungen im Zusammenhang mit Versicherungsverpflichtungen in Geschäftsbereich 8 gemäß Anhang I 210 %

Für die Zwecke der vorstehenden Tabelle bezeichnet der Ausdruck

  1. "Verpflichtungen aus der Berufshaftpflichtversicherung" Haftpflichtversicherungsverpflichtungen in Geschäftsbereich 8 gemäß Anhang I, die Verbindlichkeiten aus der beruflichen Tätigkeit gegenüber Kunden und Patienten abdecken;
  2. "Verpflichtungen aus der Arbeitgeberhaftpflichtversicherung" Haftpflichtversicherungsverpflichtungen in Geschäftsbereich 8 gemäß Anhang I, die Verbindlichkeiten des Arbeitgebers abdecken, die durch Tod, Krankheit, Unfall, Invalidität oder Gebrechlichkeit eines Arbeitnehmers im Rahmen des Beschäftigungsverhältnisses entstehen;
  3. "Verpflichtungen aus der Directors & Officers-Versicherung" Haftpflichtversicherungsverpflichtungen in Geschäftsbereich 8 gemäß Anhang I, die Verbindlichkeiten von Unternehmensleitern im Rahmen ihrer Managementtätigkeit für das Unternehmen oder Verluste des Unternehmens selbst abdecken, soweit es seine Unternehmensleiter von solchen Verbindlichkeiten freistellt;
  4. "Verpflichtungen aus der Privathaftpflichtversicherung" Haftpflichtversicherungsverpflichtungen in Geschäftsbereich 8 gemäß Anhang I, die Verbindlichkeiten natürlicher Personen in ihrer Eigenschaft als private Haushaltsführer abdecken.

. Haftpfichtkorrelationskoeffizienten

1 2 3 4 5
1 1 0 0,5 0,25 0,5
2 0 1 0 0,25 0,5
3 0,5 0 1 0,25 0,5
4 0,25 0,25 0,25 1 0,5
5 0,5 0,5 0,5 0,5 1

.

Gruppen von Verpflichtungen und Risikofaktoren für das Untermodul sonstiges Nichtlebenskatastrophenrisiko Anhang XII


i Gruppe von Versicherungs- und Rückversicherungsverpflichtungeni Risikofaktorci
1 Versicherungs- und Rückversicherungsverpflichtungen in den Geschäftsbereichen 6 und 18 gemäß Anhang I, ausgenommen Seeversicherung und -rückversicherung sowie Luftfahrtversicherung und -rückversicherung 100 %
2 Rückversicherungsverpflichtungen in Geschäftsbereich 27 gemäß Anhang I, ausgenommen Seerückversicherung und Luftfahrtrückversicherung 250 %
3 Versicherungs- und Rückversicherungsverpflichtungen in den Geschäftsbereichen 12 und 24 gemäß Anhang I, ausgenommen erweiterte Garantieversicherungs- und -rückversicherungsverpflichtungen, sofern das Portfolio dieser Verpflichtungen hochgradig diversifiziert ist und diese Verpflichtungen nicht die Kosten für Produktrückrufe abdecken 40 %
4 Rückversicherungsverpflichtungen in Geschäftsbereich 26 gemäß Anhang I, ausgenommen allgemeine Haftpflichtrückversicherung 250 %
5 Nichtproportionale Rückversicherungsverpflichtungen im Zusammenhang mit Versicherungsverpflichtungen in den Geschäftsbereichen 9 und 21 gemäß Anhang I 250 %

Für die Zwecke von Gruppe 3 bezeichnet "erweiterte Garantieversicherungsverpflichtung" Versicherungsverpflichtungen, die die Reparatur- oder Austauschkosten bei einem Ausfall privat genutzter Verbrauchsgüter abdecken und möglicherweise auch einen zusätzlichen Versicherungsschutz gegen Eventualfälle wie Unfallschäden, Verlust oder Diebstahl oder Hilfestellung bei der Einrichtung, Wartung und Bedienung der Güter beinhalten.

.

Liste der Regionen, für die das Naturkatastrophenrisiko nicht auf Grundlage der Prämien berechnet wird Anhang XIII


.

Segmentierung der Versicherungs- und -Rückversicherungsverpflichtungen der Krankenversicherung, die auf vergleichbarer versicherungstechnischer Basis betrieben wird wie die Schadenversicherung, und Standardabweichungen für das Untermodul Prämien- und Rückstellungsrisiko einer solchen Krankenversicherung Anhang XIV19


Segment Geschäftsbereiche gemäß Anhang I, die das Segment umfasst Standardabweichung für das Bruttoprämienrisiko des Segments Standardabweichung für das Rückstellungsrisiko des Segments
1 Krankheitskostenversicherung und proportionale Rückversicherung 1 und 13 5 % 5,7 %
2 Berufsunfähigkeitsversicherung und proportionale Rückversicherung 2 und 14 8,5 % 14 %
3 Arbeitsunfallversicherung und proportionale Rückversicherung 3 und 15 9,6 % 11 %
4 Nichtproportionale Krankenrückversicherung 25 17 % 17 %

.

Korrelationsmatrix für das Prämien- und -Rückstellungsrisiko der Krankenversicherung, die auf vergleichbarer versicherungstechnischer Basis betrieben wird wie die Schadenversicherung Anhang XV

Der in Artikel 148 Absatz 1 genannte Korrelationsparameter CorrHS(s,t) entspricht dem in Zeile s und Spalte t der folgenden Korrelationsmatrix angegebenen Wert. Die Überschrift der Zeilen und Spalten gibt die Nummern der in Anhang XIV aufgeführten Segmente an:

1 2 3 4
1 1 0,5 0,5 0,5
2 0,5 1 0,5 0,5
3 0,5 0,5 1 0,5
4 0,5 0,5 0,5 1

.

Untermodul Krankenversicherungskatastrophenrisiko der Standardformel für die Solvenzkapitalanforderung geografische Segmentierung und Risikofaktoren für das Untermodul Massenunfallrisiko Anhang XVI19


Lands rs - Anteil der Personen, die von dem
Massenunfall in Lands betroffen sind
Republik Österreich 0,30 %
Königreich Belgien 0,25 %
Republik Bulgarien 0,30 %
Republik Kroatien 0,40 %
Republik Zypern 1,30 %
Tschechische Republik 0,10 %
Königreich Dänemark 0,35 %
Republik Estland 0,45 %
Republik Finnland 0,35 %
Französische Republik; Fürstentum Monaco; Fürstentum Andorra 0,05 %
Hellenische Republik 0,30 %
Bundesrepublik Deutschland 0,05 %
Republik Ungarn 0,15 %
Republik Island 2,45 %
Irland 0,95 %
Italienische Republik; Republik San Marino; Staat Vatikanstadt 0,05 %
Republik Lettland 0,20 %
Republik Litauen 0,20 %
Großherzogtum Luxemburg 1,05 %
Republik Malta 2,15 %
Königreich der Niederlande 0,15 %
Königreich Norwegen 0,25 %
Republik Polen 0,10 %
Portugiesische Republik 0,30 %
Rumänien 0,15 %
Slowakische Republik 0,30 %
Republik Slowenien 0,40 %
Königreich Spanien 0,10 %
Königreich Schweden 0,25 %
Schweizerische Eidgenossenschaft 0,25 %
Vereinigtes Königreich Großbritannien und Nordirland 0,05 %

. Definition der Ereignisse und Risikofaktoren für das Untermodul Massenunfallrisiko und das Untermodul Unfallkonzentrationsrisiko19

Ereignisarte xe - Anteil der Personen, die infolge des Unfalls von Ereignisarte betroffen sind
Tod durch Unfall 10 %
Dauerhafte Invalidität durch Unfall 3,5 %
12 Monate dauernde Invalidität durch Unfall 16,5 %
Medizinische Behandlung aufgrund eines Unfalls 30 %

. Definition der in Anspruch genommenen Gesundheitsleistungen und Risikofaktoren für das Untermodul Pandemierisiko

Inanspruchnahme von Gesundheitsleistungen der Arth Hh - Anteil der Personen mit klinischen Symptomen,
die Gesundheitsleistungen der Arth in Anspruch nehmen werden
Krankenhausaufenthalt 1 %
Beratung bei einem Allgemeinarzt 20 %
Keine formelle Gesundheitsversorgung 79 %

.

Methodenspezifische Datenanforderungen und Methodenspezifikationen für unternehmensspezifische Parameter der Standardformel Anhang XVII 19

A. Begriffsbestimmungen und Bezeichnungen

(1) Für die Zwecke dieses Anhangs bezeichnet der Ausdruck

  1. "Schadenjahr" in Bezug auf eine Zahlung für einen Versicherungs- oder Rückversicherungsanspruch das Jahr, in dem das versicherte Ereignis, durch das der Anspruch entstanden ist, eintrat;
  2. "Entwicklungsjahr" in Bezug auf eine Zahlung für einen Versicherungs- oder Rückversicherungsanspruch die Differenz zwischen dem Jahr dieser Zahlung und dem Schadenjahr dieser Zahlung;
  3. "Meldejahr" in Bezug auf eine Zahlung für einen Versicherungs- oder Rückversicherungsanspruch das Jahr, in dem das versicherte Ereignis, durch das der Anspruch entstanden ist, dem Versicherungs- oder Rückversicherungsunternehmen gemeldet wurde;
  4. "Geschäftsjahr" in Bezug auf eine Zahlung für einen Versicherungs- oder Rückversicherungsanspruch das Jahr, in dem diese Zahlung erfolgte.

(2) Für die Zwecke dieses Anhangs bezeichnet der Ausdruck "Segments" das Segment, für das der unternehmensspezifische Parameter ermittelt wird, wobei es sich um eines der in Anhang II aufgeführten Segmente oder um eines der in Anhang XIV aufgeführten Segmente handelt.

B. Prämienrisikomethode

Eingangsdaten und methodenspezifische Datenanforderungen

(1) Die Daten für die Schätzung der unternehmensspezifischen Standardabweichung von Segments umfassen Folgendes:

  1. geleistete Zahlungen und beste Schätzwerte der Rückstellungen für ausstehende Ansprüche in Segments nach dem ersten Entwicklungsjahr des Schadenjahres dieser Ansprüche (aggregierte Schäden);
  2. in Segments verdiente Prämien.

Diese aggregierten Schäden und verdienten Prämien müssen für jedes Schadenjahr der Versicherungs- und Rückversicherungsansprüche in Segments getrennt verfügbar sein.

(2) Es gelten die folgenden methodenspezifischen Datenanforderungen:

  1. die Daten müssen für das Prämienrisiko, dem das Versicherungs- oder Rückversicherungsunternehmen in den folgenden zwölf Monaten ausgesetzt ist, repräsentativ sein;
  2. die Daten müssen für mindestens fünf aufeinanderfolgende Schadenjahre verfügbar sein;
  3. wird die Prämienrisikomethode angewandt, um die in Artikel 218 Absatz 1 Buchstabe a Ziffer ii und Buchstabe c Ziffer ii genannten Standardparameter zu ersetzen, sind die aggregierten Schäden und verdienten Prämien nicht um die aus Rückversicherungsverträgen und von Zweckgesellschaften einforderbaren Beträge oder Rückversicherungsprämien zu bereinigen;
  4. wird die Methode für das Prämienrisiko angewandt, um die in Artikel 218 Absatz 1 Buchstabe a Ziffer i und Buchstabe c Ziffer i genannten Parameter zu ersetzen,
    1. sind die aggregierten Schäden um Beträge zu bereinigen, die aus Rückversicherungsverträgen und von Zweckgesellschaften, die mit den Rückversicherungsverträgen Einklang stehen, sowie von Zweckgesellschaften einforderbar sind, die der Stellung einer Deckung für die folgenden zwölf Monate dienen;
    2. sind die verdienten Prämien um Rückversicherungsprämien zu bereinigen, die mit den Rückversicherungsverträgen in Einklang stehen, sowie Zweckgesellschaften, die der Stellung einer Deckung für die folgenden zwölf Monate dienen;
  5. die aggregierten Schäden sind um Ansprüche im Zusammenhang mit Katastrophenereignissen in dem Maße zu bereinigen, wie das Risiko dieser Ansprüche in den Untermodulen Nichtlebens- oder Krankenversicherungskatastrophenrisiko abgebildet wird;
  6. die aggregierten Schäden müssen die bei der Bedienung der Versicherungs- und Rückversicherungsverpflichtungen anfallenden Aufwendungen einschließen;
  7. die Daten müssen mit folgenden Annahmen in Einklang stehen:
    1. die erwarteten aggregierten Schäden in einem bestimmten Segment und Schadenjahr sind linear-proportional in den in einem bestimmten Schadenjahr verdienten Prämien;
    2. die Varianz der aggregierten Schäden in einem bestimmten Segment und Schadenjahr ist quadratisch in den in einem bestimmten Schadenjahr verdienten Prämien;
    3. die aggregierten Schäden folgen einer Lognormalverteilung;
    4. eine Maximalwahrscheinlichkeitsschätzung ist angemessen.

Methodenspezifikation

(3) Für die Zwecke der Absätze 4 bis 6 gilt folgende Bezeichnung:

  1. Schadenjahre werden durchnummeriert, beginnend mit 1 für das erste Schadenjahr, für das Daten verfügbar sind;
  2. T bezeichnet das letzte Schadenjahr, für das Daten verfügbar sind;
  3. für alle Schadenjahre werden die aggregierten Schäden in Segments in einem bestimmten Schadenjahr t mityt bezeichnet;
  4. für alle Schadenjahre werden die in Segments in einem bestimmten Schadenjahr t verdienten Prämien mitxt bezeichnet.

(4) Die unternehmensspezifische Standardabweichung von Segments errechnet sich wie folgt: 

Dabei gilt:

  1. c bezeichnet den in Abschnitt G aufgeführten Glaubwürdigkeitsfaktor;
  2.   bezeichnet die in Absatz 5 dargestellte Standardabweichungsfunktion;
  3. bezeichnet den in Absatz 6 dargestellten Mischungsparameter;
  4.  bezeichnet den in Absatz 6 dargestellten logarithmischen Variationskoeffizienten;
  5. σ(prem,s) bezeichnet den Standardparameter, der durch den unternehmensspezifischen Parameter ersetzt werden sollte.

(5) Die Standardabweichungsfunktion errechnet sich als folgende Funktion zweier Variablen:

Dabei gilt:

  1.   und werden in Absatz 4 Buchstaben c und d definiert;
  2. exp bezeichnet die Exponentialfunktion;
  3. ln bezeichnet den natürlichen Logarithmus;
  4. πt bezeichnet die folgende Funktion zweier Variablen:

Dabei gilt:

  1.   und werden in Absatz 4 Buchstaben c und d definiert;
  2.   bezeichnet den folgenden Betrag:

(6) Der Mischungsparameter und der logarithmische Variationskoeffizient entsprechen den Werten bzw., für die der folgende Betrag minimal wird:

Dabei gilt:

  1. ln bezeichnet den natürlichen Logarithmus;
  2. πt bezeichnet die in Absatz 5 Buchstabe d dargestellte Funktion;
  3.   bezeichnet die in Absatz 5 dargestellte Standardabweichungsfunktion;
  4.   bezeichnet den folgenden Betrag:

Zur Ermittlung des Minimalbetrags werden für den Mischungsparameter keine Werte unter null oder über eins berücksichtigt.

C. Rückstellungsrisikomethode 1

Eingangsdaten und methodenspezifische Datenanforderungen

(1) Die Daten für die Schätzung der unternehmensspezifischen Standardabweichung für das Rückstellungsrisiko der Nichtlebensversicherung oder das Rückstellungsrisiko der Krankenversicherung, die auf vergleichbarer versicherungstechnischer Basis betrieben wird wie die Schadenversicherung, in Bezug auf Segment s umfassen Folgendes:

  1. Summe des besten Schätzwerts der Rückstellung zum Ende des Geschäftsjahres für die zu Beginn des Geschäftsjahres ausstehenden Ansprüche im Segments und der Zahlungen, die im Laufe des Geschäftsjahres für die zu Beginn des Geschäftsjahres ausstehenden Ansprüche im Segments erfolgt sind;
  2. bester Schätzwert der Rückstellung für die zu Beginn des Geschäftsjahres ausstehenden Ansprüche im Segments.

Die unter Buchstaben a und b genannten Beträge müssen für verschiedene Geschäftsjahre getrennt verfügbar sein.

(2) Es gelten die folgenden methodenspezifischen Datenanforderungen:

  1. die Daten müssen für das Rückstellungsrisiko, dem das Versicherungs- oder Rückversicherungsunternehmen in den folgenden zwölf Monaten ausgesetzt ist, repräsentativ sein;
  2. die Daten müssen für mindestens fünf aufeinanderfolgende Geschäftsjahre verfügbar sein;
  3. die Daten sind um Beträge zu bereinigen, die aus Rückversicherungsverträgen und von Zweckgesellschaften, die mit den Rückversicherungsverträgen in Einklang stehen, sowie von Zweckgesellschaften einforderbar sind, die der Stellung einer Deckung für die folgenden zwölf Monate dienen;
  4. die Daten müssen die bei der Bedienung der Versicherungs- und Rückversicherungsverpflichtungen anfallenden Aufwendungen einschließen;
  5. die Daten müssen mit folgenden Annahmen in Einklang stehen:
    1. der in Absatz 1 Buchstabe a genannte Betrag in dem bestimmten Segment und Geschäftsjahr ist linear-proportional in dem besten Schätzwert der Rückstellung für die in dem bestimmten Segment und Geschäftsjahr ausstehenden Ansprüche;
    2. die Varianz des in Absatz 1 Buchstabe a genannten Betrags in einem bestimmten Segment und Geschäftsjahr ist quadratisch in der Rückstellung für die in einem bestimmten Segment und Geschäftsjahr ausstehenden Ansprüche;
    3. der in Absatz 1 Buchstabe a genannte Betrag folgt einer Lognormalverteilung;
    4. eine Maximalwahrscheinlichkeitsschätzung ist angemessen.

Methodenspezifikation

(3) Für die Zwecke der Absätze 4 bis 6 wird folgende Bezeichnungsweise verwendet:

  1. die Geschäftsjahre werden durchnummeriert, beginnend mit 1 für das erste Geschäftsjahr, für das Daten verfügbar sind;
  2. T bezeichnet das letzte Geschäftsjahr, für das Daten verfügbar sind;
  3. für alle Geschäftsjahre wird der in Absatz 1 Buchstabe a genannte Betrag in Segment s in einem bestimmten Geschäftsjahrt mityt bezeichnet;
  4. für alle Geschäftsjahre wird der beste Schätzwert der Rückstellung für ausstehende Ansprüche in Segments in einem bestimmten Geschäftsjahr t mit xt bezeichnet;

(4) Die unternehmensspezifische Standardabweichung für das Rückstellungsrisiko der Nichtlebensversicherung oder das Rückstellungsrisiko der Krankenversicherung, die auf vergleichbarer versicherungstechnischer Basis betrieben wird wie die Schadenversicherung, in Bezug auf Segments errechnet sich wie folgt:

Dabei gilt:

  1. c bezeichnet den in Abschnitt G aufgeführten Glaubwürdigkeitsfaktor;
  2.   bezeichnet die in Absatz 5 dargestellte Standardabweichungsfunktion;
  3.   bezeichnet den in Absatz 6 dargestellten Mischungsparameter;
  4.   bezeichnet den in Absatz 6 dargestellten logarithmischen Variationskoeffizienten;
  5. σ(prem,s) bezeichnet den Standardparameter, der durch den unternehmensspezifischen Parameter ersetzt werden sollte.

(5) Die Standardabweichungsfunktion errechnet sich als folgende Funktion zweier Variablen:

Dabei gilt:

  1.   und werden in Absatz 4 Buchstaben c und d definiert;
  2. exp bezeichnet die Exponentialfunktion;
  3. ln bezeichnet den natürlichen Logarithmus;
  4. πt bezeichnet die folgende Funktion zweier Variablen:

Dabei gilt:

  1.   und  werden in Absatz 4 Buchstaben c und d definiert;
  2.   bezeichnet den folgenden Betrag:

(6) Der Mischungsparameter und der logarithmische Variationskoeffizient entsprechen den Werten bzw., für die der folgende Betrag minimal wird:

Dabei gilt:

  1. ln bezeichnet den natürlichen Logarithmus;
  2. πt bezeichnet die in Absatz 5 Buchstabe c dargestellte Funktion;
  3.  bezeichnet die in Absatz 5 dargestellte Standardabweichungsfunktion;
  4.  bezeichnet den folgenden Betrag:

Zur Ermittlung des Minimalbetrags werden für den Mischungsparameter keine Werte unter null oder über eins berücksichtigt.

D. Rückstellungsrisikomethode 2

Eingangsdaten und methodenspezifische Datenanforderungen

(1) Die Daten für die Schätzung der unternehmensspezifischen Standardabweichung für das Rückstellungsrisiko der Nichtlebensversicherung oder das Rückstellungsrisiko der Krankenversicherung, die auf vergleichbarer versicherungstechnischer Basis betrieben wird wie die Schadenversicherung, in Bezug auf Segments umfassen die kumulierten Zahlungsbeträge für Versicherungs- und Rückversicherungsansprüche in Segment s (kumulierte Anspruchsbeträge), für jedes Schadenjahr und Entwicklungsjahr der Zahlungen getrennt.

(2) Es gelten die folgenden methodenspezifischen Datenanforderungen:

  1. die Daten müssen für das Rückstellungsrisiko, dem das Versicherungs- oder Rückversicherungsunternehmen in den folgenden zwölf Monaten ausgesetzt ist, repräsentativ sein;
  2. die Daten müssen für mindestens fünf aufeinanderfolgende Schadenjahre verfügbar sein;
  3. im ersten Schadenjahr müssen die Daten für mindestens fünf aufeinanderfolgende Entwicklungsjahre verfügbar sein;
  4. im ersten Schadenjahr muss der kumulierte Zahlungsbetrag des letzten Entwicklungsjahres, für das Daten verfügbar sind, alle Zahlungen des Schadenjahres, ausgenommen einen unwesentlichen Betrag, einschließen;
  5. die Zahl der aufeinanderfolgenden Schadenjahre, für die Daten verfügbar sind, darf nicht kleiner sein als die Zahl der aufeinanderfolgenden Entwicklungsjahre im ersten Schadenjahr, für das Daten verfügbar sind;
  6. die kumulierten Anspruchsbeträge sind um Beträge zu bereinigen, die aus Rückversicherungsverträgen und von Zweckgesellschaften, die mit den Rückversicherungsverträgen in Einklang stehen, sowie von Zweckgesellschaften einforderbar sind, die der Stellung einer Deckung für die folgenden zwölf Monate dienen;
  7. die kumulierten Anspruchsbeträge müssen die bei der Bedienung der Versicherungs- und Rückversicherungsverpflichtungen anfallenden Aufwendungen einschließen;
  8. die Daten müssen mit folgenden Annahmen über die stochastische Natur der kumulierten Anspruchsbeträge in Einklang stehen:
    1. die kumulierten Anspruchsbeträge für die verschiedenen Schadenjahre sind stochastisch unabhängig voneinander;
    2. für alle Schadenjahre sind die implizierten Grenzanspruchsbeträge stochastisch unabhängig;
    3. für alle Schadenjahre ist der erwartete Wert des kumulierten Anspruchsbetrags für ein Entwicklungsjahr proportional zum kumulierten Anspruchsbetrag für das vorangehende Entwicklungsjahr;
    4. für alle Schadenjahre ist die Varianz des kumulierten Anspruchsbetrags für ein Entwicklungsjahr proportional zum kumulierten Anspruchsbetrag für das vorangehende Entwicklungsjahr.

Für die Zwecke des Buchstabens d wird ein Zahlungsbetrag dann als wesentlich betrachtet, wenn seine Nichtberücksichtigung bei der Berechnung des unternehmensspezifischen Parameters den Entscheidungsprozess oder das Urteil der Nutzer dieser Informationen, einschließlich der Aufsichtsbehörden, beeinflussen könnte.

Methodenspezifikation

(3) Für die Zwecke der Absätze 4 und 5 wird folgende Bezeichnungsweise verwendet:

  1. die Schadenjahre werden durchnummeriert, beginnend mit 0 für das erste Schadenjahr, für das Daten verfügbar sind;
  2. I bezeichnet das letzte Schadenjahr, für das Daten verfügbar sind;
  3. J bezeichnet das letzte Entwicklungsjahr im ersten Schadenjahr, für das Daten verfügbar sind;
  4. C(i,j) bezeichnet die kumulierten Ansprüche für das Schadenjahri und das Entwicklungsjahrj.

(4) Die unternehmensspezifische Standardabweichung für das Rückstellungsrisiko der Nichtlebensversicherung oder das Rückstellungsrisiko der Krankenversicherung, die auf vergleichbarer versicherungstechnischer Basis betrieben wird wie die Schadenversicherung, in Bezug auf Segments errechnet sich wie folgt:

Dabei gilt:

  1. c bezeichnet den in Abschnitt G aufgeführten Glaubwürdigkeitsfaktor;
  2. MSEP bezeichnet den in Absatz 5 festgelegten mittleren quadratischen Vorhersagefehler;
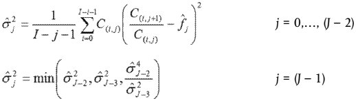
  3. für alle Schadenjahre und Entwicklungsjahre bezeichnet die kumulierte Anspruchsschätzung für das spezifische Schadenjahri und Entwicklungsjahrj, definiert wie folgt:

    wobei für alle Entwicklungsjahre die Entwicklungsfaktorschätzung des spezifischen Entwicklungsjahrsj bezeichnet, definiert wie folgt:

  4. σ(res,s) bezeichnet den Standardparameter für das Rückstellungsrisiko der Nichtlebensversicherung oder das Rückstellungsrisiko der Krankenversicherung, die auf vergleichbarer versicherungstechnischer Basis betrieben wird wie die Schadenversicherung, in Bezug auf Segments.

(5) Der mittlere quadratische Vorhersagefehler errechnet sich wie folgt:

Dabei gilt:

  1. für alle Schadenjahre und Entwicklungsjahre bezeichnet die kumulierte Anspruchsschätzung für das spezifische Schadenjahr i und Entwicklungsjahr j gemäß Absatz 4 Buchstabe c;
  2. für alle Entwicklungsjahre bezeichnetSj für ein bestimmtes Entwicklungsjahrj den folgenden Betrag:

  3. für alle Entwicklungsjahre bezeichnet S'j für ein spezifisches Entwicklungsjahr j den folgenden Betrag:

  4. für alle Entwicklungsjahre bezeichnet für ein spezifisches Entwicklungsjahr j den folgenden Betrag:

    Dabei gilt:

    1.   bezeichnet die Entwicklungsfaktorschätzung des Entwicklungsjahrs j gemäß Absatz 4 Buchstabe c;
    2.   bezeichnet den folgenden Betrag:

E. Revisionsrisikomethode

Eingangsdaten und methodenspezifische Datenanforderungen

(1) Die Daten für die Schätzung des unternehmensspezifischen Anstiegs des Betrags der Rentenleistungen umfassen die jährlichen Beträge der Rentenleistungen im Zusammenhang mit Rentenversicherungs- und -rückversicherungsverpflichtungen, bei denen die zu zahlenden Leistungen (Rentenleistungen) aufgrund von Änderungen im Rechtsumfeld oder in der gesundheitlichen Verfassung des Versicherten ansteigen könnten, getrennt für jedes aufeinanderfolgende Geschäftsjahr und jeden Anspruchsberechtigten.

(2) Es gelten die folgenden methodenspezifischen Datenanforderungen:

  1. die Daten müssen für das Revisionsrisiko, dem das Versicherungs- oder Rückversicherungsunternehmen in den folgenden zwölf Monaten ausgesetzt ist, repräsentativ sein;
  2. die Daten müssen für mindestens fünf aufeinanderfolgende Geschäftsjahre verfügbar sein;
  3. die Rentenleistungen sind brutto zu verstehen, d.h. ohne Abzug der aus Rückversicherungsverträgen und von Zweckgesellschaften einforderbaren Beträge;
  4. die Rentenleistungen müssen die bei der Bedienung der Rentenverpflichtungen anfallenden Aufwendungen einschließen;
  5. die Daten müssen mit folgenden Annahmen über die stochastische Natur der Anstiege des Betrags der Rentenleistungen in Einklang stehen:
    1. die jährliche Zahl der Rentenanstiege folgt einer negativen Binomialverteilung, auch am Kurvenende;
    2. der Betrag des Rentenanstiegs folgt einer Lognormalverteilung, auch am Kurvenende;
    3. die jährliche Zahl der Rentenanstiege und die Beträge des Rentenanstiegs sind stochastisch unabhängig voneinander.

Methodenspezifizierung

(3) Für die Zwecke der Absätze 4 bis 8 wird folgende Bezeichnungsweise verwendet:

  1. die Geschäftsjahre werden durchnummeriert, beginnend mit 1 für das erste Geschäftsjahr, für das Daten verfügbar sind;
  2. T bezeichnet das letzte Geschäftsjahr, für das Daten verfügbar sind;
  3. A(i,t) bezeichnet die Rentenleistungen des Anspruchsberechtigteni im Geschäftsjahrt;
  4. D(i,t) bezeichnet die Veränderung der Rentenleistungen nach dem Geschäftsjahrt, errechnet als folgende Differenz:

(4) Der unternehmensspezifische Anstieg des Betrags der Rentenleistungen errechnet sich wie folgt:

Dabei gilt:

  1. c bezeichnet den in Abschnitt 7 aufgeführten Glaubwürdigkeitsfaktor;
  2. bezeichnet den erwarteten Wert der Rentenanstiege gemäß Absatz 5;
  3. VaR0,995(R) bezeichnet das 99,5 %-Quantil der Verteilung der Rentenanstiege gemäß Absatz 6;
  4. S ist gleich 3 %, wenn die Berechnung für die Zwecke des Untermoduls Revisionsrisiko gemäß Artikel 141 erfolgt, und gleich 4 %, wenn die Berechnung für die Zwecke des Untermoduls Revisionsrisiko der Krankenversicherung gemäß Artikel 158 erfolgt.

(5) Der erwartete Wert der Rentenanstiege errechnet sich wie folgt:

Dabei gilt:

  1.  bezeichnet die geschätzte durchschnittliche Veränderung der Rentenleistungen, beschränkt auf Veränderungen der Rentenleistungen, die größer als null sind;
  2.  bezeichnet die geschätzte durchschnittliche Zahl (pro Geschäftsjahr) der Veränderungen der Rentenleistungen, die größer als null sind.

(6) Die Rentenanstiege errechnen sich wie folgt:

Dabei gilt:

  1. N bezeichnet die jährliche Zahl der Rentenanstiege und folgt einer negativen Binomialverteilung mit einem erwarteten Wert, der gleich der geschätzten Zahl der Veränderungen der Rentenleistungen gemäß Absatz 5 Buchstabe b ist, und mit einer Standardabweichung, die gleich der geschätzten Standardabweichung der Zahl der Veränderungen der Rentenleistungen gemäß Absatz 7 ist;
  2. Xk bezeichnet den Betrag eines Rentenanstiegs und folgt einer Lognormalverteilung mit einem erwarteten Wert, der gleich der geschätzten durchschnittlichen Veränderungen der Rentenleistungen gemäß Absatz 5 Buchstabe a ist, und mit einer Standardabweichung, die gleich der geschätzten Standardabweichung der Veränderungen der Rentenleistungen gemäß Absatz 8 ist;
  3. die jährliche Zahl der Rentenanstiege und die Beträge des Rentenanstiegs sind stochastisch unabhängig voneinander.

(7) Die geschätzte Standardabweichung der Zahl der Veränderungen der Rentenleistungen errechnet sich wie folgt:

Dabei gilt:

  1. Nt bezeichnet die Zahl der Veränderungen der Rentenleistungen in den Geschäftsjahrent, die größer als null sind;
  2.   bezeichnet die geschätzte durchschnittliche Veränderung der Rentenleistungen gemäß Absatz 5 Buchstabe b.

(8) Die geschätzte Standardabweichung der Veränderungen der Rentenleistungen wird wie folgt ermittelt:

Dabei gilt:

  1. in der Summe sind nur die Anspruchsberechtigten i und Geschäftsjahret enthalten, für dieD(i,t) größer als null ist;
  2. n bezeichnet die Zahl der Summanden der unter Buchstabe a genannten Summe;
  3.   bezeichnet die geschätzte durchschnittliche Veränderung der Rentenleistungen gemäß Absatz 5 Buchstabe a.

F1. Nichtproportionale Rückversicherungsmethode 119

Eingangsdaten und methodenspezifische Datenanforderungen

(1) Die Daten für die Schätzung des unternehmensspezifischen Korrekturfaktors für die nichtproportionale Rückversicherung umfassen die endgültigen Anspruchsbeträge der Versicherungs- und Rückversicherungsansprüche, die bei den Versicherungs- oder Rückversicherungsunternehmen im Segment s im letzten Geschäftsjahr angemeldet wurden, getrennt für jeden Versicherungs- und Rückversicherungsanspruch.

(2) Es gelten die folgenden methodenspezifischen Datenanforderungen:

  1. die Daten müssen für das Prämienrisiko, dem das Versicherungs- oder Rückversicherungsunternehmen in den folgenden zwölf Monaten ausgesetzt ist, repräsentativ sein;
  2. die Daten dürfen nicht auf ein höheres Prämienrisiko hinweisen, als es in der zur Berechnung der Solvenzkapitalanforderung verwendeten Standardabweichung für das Prämienrisiko zum Ausdruck kommt;
  3. die endgültigen Anspruchsbeträge sind in dem Jahr zu schätzen, in dem die Versicherungs- und Rückversicherungsansprüche angemeldet wurden;
  4. die Daten müssen für mindestens fünf Meldejahre verfügbar sein;
  5. gilt für die Bruttoansprüche ein anerkennungsfähiger Schadenexzendenten-Rückversicherungsvertrag, sind die endgültigen Anspruchsbeträge brutto zu verstehen;
  6. gilt der anerkennungsfähige Schadenexzendenten-Rückversicherungsvertrag für die Ansprüche nach Abzug der aus bestimmten anderen Rückversicherungsverträgen und von Zweckgesellschaften einforderbaren Beträge, sind die aus diesen bestimmten anderen Rückversicherungsverträgen und von Zweckgesellschaften einforderbaren Beträge von den endgültigen Anspruchsbeträgen abzuziehen;
  7. die endgültigen Anspruchsbeträge dürfen die bei der Bedienung der Versicherungs- und Rückversicherungsverpflichtungen anfallenden Aufwendungen nicht einschließen;
  8. die Daten müssen mit der Annahme in Einklang stehen, dass die endgültigen Anspruchsbeträge einer Lognormalverteilung folgen, auch am Kurvenende.

Methodenspezifikation

(3) Für die Zwecke der Absätze 4 bis 7 wird folgende Bezeichnungsweise verwendet:

  1. die Versicherungs- und Rückversicherungsansprüche, für die Daten verfügbar sind, werden durchnummeriert, beginnend mit 1;
  2. n bezeichnet die Zahl der Versicherungs- und Rückversicherungsansprüche, für die Daten verfügbar sind;
  3. Yi bezeichnet den endgültigen Anspruchsbetrag des Versicherungs- oder Rückversicherungsanspruchsi;
  4. µ und ω bezeichnen das erste bzw. zweite Moment der Anspruchsbetragsverteilung, errechnet als folgende Beträge:

  5. b1 bezeichnet den Betrag des Selbstbehalts des anerkennungsfähigen Schadenexzendenten-Rückversicherungsvertrags nach Artikel 218 Absatz 2;
  6. sieht der anerkennungsfähige Schadenexzendenten-Rückversicherungsvertrag nach Artikel 218 Absatz 2 eine Erstattung nur bis zu einer festgelegten Obergrenze vor, so bezeichnet b2 den Betrag dieser Obergrenze.

(4) Der unternehmensspezifische Korrekturfaktor für die nichtproportionale Rückversicherung errechnet sich wie folgt:

NPUPS = c ⋅ NP' + (1 - c) ⋅ NP

Dabei gilt:

  1. c bezeichnet den Glaubwürdigkeitsfaktor nach Abschnitt G;
  2. NP' bezeichnet den in Absatz 5 dargestellten geschätzten Korrekturfaktor für die nichtproportionale Rückversicherung;
  3. NP bezeichnet den Korrekturfaktor für die nichtproportionale Rückversicherung nach Artikel 117 Absatz 2.

(5) Der geschätzte Korrekturfaktor für die nichtproportionale Rückversicherung errechnet sich wie folgt:

wobei die Parameter µ2, ω1 und ω2 in Abschnitt 6 dargestellt werden.

(6) Die Parameter µ2, ω1 und ω2 errechnen sich wie folgt:

Dabei gilt:

  1. N bezeichnet die kumulierte Wahrscheinlichkeitsfunktion der Normalverteilung;
  2. ln bezeichnet den natürlichen Logarithmus;
  3. die Parameter ϑ und ηerrechnen sich wie folgt:

(7) Ungeachtet Absatz 5 errechnet sich der geschätzte Korrekturfaktor für die nichtproportionale Rückversicherung, wenn die nichtproportionale Rückversicherung homogene Risikogruppen innerhalb eines Segments abdeckt, wie folgt:

Dabei gilt:

  1. V(prem,h) bezeichnet das Volumenmaß für das Prämienrisiko der homogenen Risikogruppe h, ermittelt nach Artikel 116 Absatz 3;
  2. NP2(h) bezeichnet den geschätzten Korrekturfaktor für die nichtproportionale Rückversicherung der homogenen Risikogruppe h, ermittelt nach Absatz 5.

F2. Nichtproportionale Rückversicherungsmethode 219

Eingangsdaten und methodenspezifische Datenanforderungen

(1) Die Daten für die Schätzung des unternehmensspezifischen Korrekturfaktors für die nichtproportionale Rückversicherung umfassen die aggregierten jährlichen Schäden der Versicherungs- und Rückversicherungsansprüche, die bei den Versicherungs- oder Rückversicherungsunternehmen im Segment s im letzten Geschäftsjahr angemeldet wurden.

(2) Es gelten die folgenden methodenspezifischen Datenanforderungen:

  1. Die Daten müssen für das Prämienrisiko, dem das Versicherungs- oder Rückversicherungsunternehmen in den folgenden zwölf Monaten ausgesetzt ist, repräsentativ sein;
  2. die Daten dürfen nicht auf ein höheres Prämienrisiko hinweisen, als es in der zur Berechnung der Solvenzkapitalanforderung verwendeten Standardabweichung für das Prämienrisiko zum Ausdruck kommt;
  3. die aggregierten jährlichen Schäden sind in dem Jahr zu schätzen, in dem die Versicherungs- und Rückversicherungsansprüche angemeldet wurden;
  4. die Daten müssen für mindestens fünf Meldejahre verfügbar sein;
  5. gilt für die Bruttoansprüche ein anerkennungsfähiger Schadenexzendenten-Rückversicherungsvertrag, sind die aggregierten jährlichen Schäden brutto zu verstehen;
  6. gilt der anerkennungsfähige Schadenexzendenten-Rückversicherungsvertrag für die Ansprüche nach Abzug der aus bestimmten anderen Rückversicherungsverträgen und von Zweckgesellschaften einforderbaren Beträge, sind die aus diesen bestimmten anderen Rückversicherungsverträgen und von Zweckgesellschaften einforderbaren Beträge von den aggregierten jährlichen Schäden abzuziehen;
  7. die aggregierten jährlichen Schäden dürfen die bei der Bedienung der Versicherungs- und Rückversicherungsverpflichtungen anfallenden Aufwendungen nicht einschließen;
  8. die Daten müssen mit der Annahme in Einklang stehen, dass die aggregierten jährlichen Schäden einer Lognormalverteilung folgen, auch am Kurvenende.

Methodenspezifikation

(1) Für die Zwecke der Absätze 4 bis 7 gelten folgende Bezeichnungen:

  1. n bezeichnet die Zahl der Geschäftsjahre, für die Daten über aggregierte jährliche Schäden vorliegen;
  2. Yi bezeichnet die aggregierten Schäden im Geschäftsjahri;
  3. μ und ω bezeichnen das erste bzw. zweite Moment der aggregierten jährlichen Schadensverteilung, errechnet als folgende Beträge:

    and

  4. b1 bezeichnet den Betrag des Selbstbehalts des anerkennungsfähigen Schadenexzendenten-Rückversicherungsvertrags nach Artikel 218 Absatz 2;
  5. sieht der anerkennungsfähige Schadenexzendenten-Rückversicherungsvertrag nach Artikel 218 Absatz 2 eine Erstattung nur bis zu einer festgelegten Obergrenze vor, so bezeichnet b2 den Betrag dieser Obergrenze.

(2) Der unternehmensspezifische Korrekturfaktor für die nichtproportionale Rückversicherung errechnet sich wie folgt:

NPUSP = c · NP'+ (1 - c) · NP

Dabei gilt:

  1. c bezeichnet den Glaubwürdigkeitsfaktor nach Abschnitt G;
  2. NP' bezeichnet den in Absatz 5 dargestellten geschätzten Korrekturfaktor für die nichtproportionale Rückversicherung;
  3. NP bezeichnet den Korrekturfaktor für die nichtproportionale Rückversicherung nach Artikel 117 Absatz 2.

(3) Der geschätzte Korrekturfaktor für die nichtproportionale Rückversicherung errechnet sich wie folgt:

wobei die Parameter μ1, μ2, ω1 und ω2 in Abschnitt 6 dargestellt werden.

(4) Die Parameter μ1, μ2, ω1 und ω2 errechnen sich wie folgt:

Dabei gilt:

  1. N bezeichnet die kumulierte Wahrscheinlichkeitsfunktion der Normalverteilung;
  2. ln bezeichnet den natürlichen Logarithmus;
  3. die Parameter ϑ und η errechnen sich wie folgt:

(5) Ungeachtet Absatz 5 errechnet sich der geschätzte Korrekturfaktor für die nichtproportionale Rückversicherung, wenn die nichtproportionale Rückversicherung homogene Risikogruppen innerhalb eines Segments abdeckt, wie folgt:

Dabei gilt:

  1. V(prem,h) bezeichnet das Volumenmaß für das Prämienrisiko der homogenen Risikogruppeh, ermittelt nach Artikel 116 Absatz 3;
  2. NP'(h) bezeichnet den geschätzten Korrekturfaktor für die nichtproportionale Rückversicherung der homogenen Risikogruppeh, ermittelt nach Absatz 5.

G. Glaubwürdigkeitsfaktor

(1) Der Glaubwürdigkeitsfaktor für die Segmente 1, 5 und 6 nach Anhang II ist gleich Folgendem:

Zeitlänge in Jahren Glaubwürdigkeitsfaktorc
5 34 %
6 43 %
7 51 %
8 59 %
9 67 %
10 74 %
11 81 %
12 87 %
13 92 %
14 96 %
15 und größer 100 %

(2) Der Glaubwürdigkeitsfaktor für die Segmente 2 bis 4 und 7 bis 12 nach Anhang II, für die Segmente nach Anhang XIV und für die Revisionsrisikomethode ist gleich Folgendem:

Zeitlänge in Jahren Glaubwürdigkeitsfaktorc
5 34 %
6 51 %
7 67 %
8 81 %
9 92 %
10 und größer 100 %

(3) Die Zeitlänge ist gleich Folgendem:

  1. bei der Prämienrisikomethode der Zahl der Schadenjahre, für die Daten verfügbar sind;
  2. bei der Rückstellungsrisikomethode 1 der Zahl der Geschäftsjahre, für die Daten verfügbar sind;
  3. bei der Rückstellungsrisikomethode 2 der Zahl der Schadenjahre, für die Daten verfügbar sind;
  4. bei der Revisionsrisikomethode der Zahl der Geschäftsjahre, für die Daten verfügbar sind;
  5. bei der nichtproportionalen Rückversicherungsmethode der Zahl der Meldejahre, für die Daten verfügbar sind.
weiter .

umwelt-online - Demo-Version


(Stand: 29.03.2021)

Alle vollständigen Texte in der aktuellen Fassung im Jahresabonnement
Nutzungsgebühr: 90.- € netto (Grundlizenz)

(derzeit ca. 7200 Titel s.Übersicht - keine Unterteilung in Fachbereiche)

Preise & Bestellung

Die Zugangskennung wird kurzfristig übermittelt

? Fragen ?
Abonnentenzugang/Volltextversion