Durchführungsbeschluss (EU) 2016/587 der Kommission vom 14. April 2016 über die Genehmigung der in effizienter Außenbeleuchtung mit Leuchtdioden eingesetzten Technologie als innovative Technologie zur Verringerung der CO2-Emissionen von Personenkraftwagen gemäß der Verordnung (EG) Nr. 443/2009 des Europäischen Parlaments und des Rates

(Text von Bedeutung für den EWR)

(ABl. Nr. L 101 vom 16.04.2016 S. 17)



=> Zur nachfolgenden Fassung

Hinweis: s.Liste - über die Genehmigung ... als innovative Technologie ...

Die Europäische Kommission -

gestützt auf den Vertrag über die Arbeitsweise der Europäischen Union,

gestützt auf die Verordnung (EG) Nr. 443/2009 des Europäischen Parlaments und des Rates vom 23. April 2009 zur Festsetzung von Emissionsnormen für neue Personenkraftwagen im Rahmen des Gesamtkonzepts der Gemeinschaft zur Verringerung der CO2-Emissionen von Personenkraftwagen und leichten Nutzfahrzeugen 1, insbesondere auf Artikel 12 Absatz 4,

in Erwägung nachstehender Gründe:

(1) Der Antrag des Herstellers Mazda Motor Europe GmbH vom 7. Juli 2015 auf Genehmigung von Leuchten mit Leuchtdioden (LED) und der Antrag von Honda vom 8. Januar 2016 auf Genehmigung von effizienten LED-Außenleuchten wurden gemäß Artikel 12 der Verordnung (EG) Nr. 443/2009, der Durchführungsverordnung (EU) Nr. 725/2011 der Kommission 2 und den technischen Leitlinien für die Vorbereitung von Anträgen auf Genehmigung innovativer Technologien gemäß der Verordnung (EG) Nr. 443/2009 bewertet.

(2) Aus den Anträgen von Mazda und Honda geht hervor, dass die in Artikel 12 der Verordnung (EG) Nr. 443/2009 und in den Artikeln 2 und 4 der Durchführungsverordnung (EU) Nr. 725/2011 genannten Bedingungen und Kriterien erfüllt wurden. Infolgedessen sollte die effiziente LED-Außenbeleuchtung von Mazda und Honda als innovative Technologien genehmigt werden.

(3) Mit den Durchführungsbeschlüssen 2014/128/EU 3, (EU) 2015/206 4 und (EU) 2016/160 5 hat die Kommission drei Anträge in Bezug auf Technologien genehmigt, die zur Steigerung des Wirkungsgrads von Außenbeleuchtungssystemen beitragen. Aufgrund der Erfahrung aus der Bewertung dieser Anträge und anhand der Anträge von Mazda und Honda wurde zufriedenstellend und schlüssig belegt, dass die effiziente LED-Außenbeleuchtung, die eine effiziente LED-Außenleuchte wie Scheinwerfer für Abblendlicht, Fernlicht und Standlicht, Nebelscheinwerfer, Nebelschlusslicht, Vorder- und Heckblinker, Kennzeichenbeleuchtung und Rückfahrscheinwerfer oder geeignete Kombinationen dieser Leuchten umfasst, die in Artikel 12 der Verordnung (EG) Nr. 443/2009 und in der Durchführungsverordnung (EU) Nr. 725/2011 genannten Auswahlkriterien erfüllt und gegenüber einem Vergleichs-Außenbeleuchtungssystem mit derselben Kombination von Fahrzeugleuchten eine Senkung der CO2-Emissionen um mindestens 1 g CO2/km bewirkt.

(4) Den Herstellern sollte daher die Möglichkeit gegeben werden, die CO2-Einsparungen von effizienten LED-Außenleuchten, die diese Bedingungen erfüllen, zu zertifizieren. Um sicherzustellen, dass nur LED-Außenleuchten, die diese Bedingungen erfüllen, für die Zertifizierung vorgeschlagen werden, sollte der Hersteller der Typgenehmigungsbehörde zusammen mit dem Zertifizierungsantrag einen Prüfbericht einer unabhängigen Prüfstelle vorlegen, demzufolge diese Bedingungen erfüllt sind.

(5) Stellt die Typgenehmigungsbehörde fest, dass die LED-Beleuchtung die Zertifizierungsbedingungen nicht erfüllt, sollte der Antrag auf Zertifizierung der Einsparungen abgelehnt werden.

(6) Es empfiehlt sich, die Prüfmethode zur Bestimmung der CO2-Einsparungen von LED-Außenleuchten zu genehmigen.

(7) Für die Bestimmung der CO2-Einsparungen von LED-Außenleuchten muss die Vergleichstechnologie festgelegt werden, mit der der Wirkungsgrad der LED-Leuchten verglichen werden sollte. Auf der Grundlage der Erfahrungen empfiehlt es sich, Halogenleuchten als Vergleichstechnologie heranzuziehen.

(8) Die Einsparungen einer LED-Außenleuchte können zum Teil durch die Prüfung gemäß Anhang XII der Verordnung (EG) Nr. 692/2008 der Kommission 6 nachgewiesen werden. Deswegen muss gewährleistet sein, dass dieser teilweise Nachweis in der Prüfmethode für die CO2-Einsparungen von LED-Außenleuchten berücksichtigt wird.

(9) Um den breiteren Einsatz von effizienten LED-Außenleuchten in neuen Fahrzeugen zu erleichtern, sollte ein Hersteller außerdem die Möglichkeit haben, in einem einzigen Zertifizierungsantrag die Zertifizierung der CO2-Einsparungen mehrerer LED-Außenleuchten zu beantragen. Es empfiehlt sich jedoch sicherzustellen, dass, wenn von dieser Möglichkeit Gebrauch gemacht wird, automatisch Anreize dafür gegeben werden, dass nur die LED-Außenleuchten mit dem höchsten Wirkungsgrad zum Einsatz kommen.

(10) Für die Bestimmung des allgemeinen Ökoinnovationscodes, der in den betreffenden Typgenehmigungsunterlagen gemäß den Anhängen I, VIII und IX der Richtlinie 2007/46/EG des Europäischen Parlaments und des Rates 7 zu verwenden ist, sollte der individuelle Code für die innovative Technologie für LED-Außenleuchten festgelegt werden

- hat folgenden Beschluss erlassen:

Artikel 1 Genehmigung

Die in den Leuchten mit Leuchtdioden (LED) von Mazda und in den LED-Leuchten von Honda eingesetzte Technologie wird als innovative Technologie im Sinne von Artikel 12 der Verordnung (EG) Nr. 443/2009 genehmigt.

Artikel 2 Antrag auf Zertifizierung von CO2-Einsparungen

(1) Der Hersteller kann die Zertifizierung der CO2-Einsparungen einer oder mehrerer LED-Außenleuchten zur Verwendung in Fahrzeugen der Klasse M1 beantragen, die eine der folgenden LED-Leuchten oder eine Kombination dieser Leuchten umfasst:

  1. Scheinwerfer für Abblendlicht;
  2. Scheinwerfer für Fernlicht;
  3. Scheinwerfer für Standlicht;
  4. Nebelscheinwerfer;
  5. Nebelschlusslicht;
  6. Vorderblinker;
  7. Heckblinker;
  8. Kennzeichenbeleuchtung;
  9. Rückfahrscheinwerfer.

Die LED-Leuchte oder die Kombination von LED-Leuchten, die die effiziente LED-Außenbeleuchtung bildet, bewirken mindestens die in Artikel 9 Absatz 1 der Verordnung (EU) Nr. 725/2011 verlangte Verringerung der CO2-Emissionen.

(2) Einem Antrag auf die Zertifizierung der Einsparungen einer oder mehrerer effizienter LED-Außenleuchten liegt ein unabhängiger Prüfbericht bei, in dem bescheinigt wird, dass die Leuchte oder die Leuchten die in Absatz 1 genannten Bedingungen erfüllt bzw. erfüllen.

(3) Die Typgenehmigungsbehörde lehnt den Antrag auf Zertifizierung ab, wenn sie feststellt, dass eine oder mehrere LED-Außenleuchten die in Absatz 1 genannten Bedingungen nicht erfüllen.

Artikel 3 Zertifizierung der CO2-Einsparungen

(1) Die Verringerung der CO2-Emissionen durch den Einsatz effizienter LED-Außenleuchten gemäß Artikel 2 Absatz 1 wird nach der im Anhang beschriebenen Methode bestimmt.

(2) Beantragt der Hersteller in Bezug auf eine Fahrzeugversion die Zertifizierung der CO2-Einsparungen von mehr als einer effizienten LED-Außenleuchte gemäß Artikel 2 Absatz 1, so ermittelt die Typgenehmigungsbehörde, welche der geprüften effizienten LED-Außenleuchten die geringsten CO2-Einsparungen bewirkt und trägt den niedrigsten Wert in die entsprechenden Typgenehmigungsunterlagen ein. Der Wert wird im Einklang mit Artikel 11 Absatz 2 der Durchführungsverordnung (EU) Nr. 725/2011 in der Übereinstimmungsbescheinigung aufgeführt.

Artikel 4 Ökoinnovationscode

Der Ökoinnovationscode Nr. 19 wird in die Typgenehmigungsunterlagen eingetragen, wenn im Einklang mit Artikel 11 Absatz 1 der Durchführungsverordnung (EU) Nr. 725/2011 auf diesen Beschluss verwiesen wird.

Artikel 5 Inkrafttreten

Dieser Beschluss tritt am zwanzigsten Tag nach seiner Veröffentlichung im Amtsblatt der Europäischen Union in Kraft.

Brüssel, den 14. April 2016

1) ABl. Nr. L 140 vom 05.06.2009 S. 1.

2) Durchführungsverordnung (EU) Nr. 725/2011 der Kommission vom 25. Juli 2011 zur Einführung eines Verfahrens zur Genehmigung und Zertifizierung innovativer Technologien zur Verringerung der CO2-Emissionen von Personenkraftwagen nach der Verordnung (EG) Nr. 443/2009 des Europäischen Parlaments und des Rates (ABl. Nr. L 194 vom 26.07.2011 S. 19).

3) Durchführungsbeschluss 2014/128/EU der Kommission vom 10. März 2014 über die Genehmigung des Abblendlichtmoduls mit lichtemittierenden Dioden "E-Light" als innovative Technologie zur Verringerung der CO2-Emissionen von Personenkraftwagen gemäß der Verordnung (EG) Nr. 443/2009 des Europäischen Parlaments und des Rates (ABl. Nr. L 70 vom 11.03.2014 S. 30).

4) Durchführungsbeschluss (EU) 2015/206 der Kommission vom 9. Februar 2015 über die Genehmigung der effizienten Außenbeleuchtung mit Leuchtdioden der Daimler AG als innovative Technologie zur Verringerung der CO2-Emissionen von Personenkraftwagen gemäß der Verordnung (EG) Nr. 443/2009 des Europäischen Parlaments und des Rates (ABl. Nr. L 33 vom 10.02.2015 S. 52).

5) Durchführungsbeschluss (EU) 2016/160 der Kommission vom 5. Februar 2016 über die Genehmigung der effizienten Außenbeleuchtung mit Leuchtdioden der Toyota Motor Europe als innovative Technologie zur Verringerung der CO2-Emissionen von Personenkraftwagen gemäß der Verordnung (EG) Nr. 443/2009 des Europäischen Parlaments und des Rates (ABl. Nr. L 31 vom 06.02.2016 S. 70).

6) Verordnung (EG) Nr. 692/2008 der Kommission vom 18. Juli 2008 zur Durchführung und Änderung der Verordnung (EG) Nr. 715/2007 des Europäischen Parlaments und des Rates über die Typgenehmigung von Kraftfahrzeugen hinsichtlich der Emissionen von leichten Personenkraftwagen und Nutzfahrzeugen (Euro 5 und Euro 6) und über den Zugang zu Reparatur- und Wartungsinformationen für Fahrzeuge (ABl. Nr. L 199 vom 28.07.2008 S. 1).

7) Richtlinie 2007/46/EG des Europäischen Parlaments und des Rates vom 5. September 2007 zur Schaffung eines Rahmens für die Genehmigung von Kraftfahrzeugen und Kraftfahrzeuganhängern sowie von Systemen, Bauteilen und selbstständigen technischen Einheiten für diese Fahrzeuge (Rahmenrichtlinie) (ABl. Nr. L 263 vom 09.10.2007 S. 1).

.

Methode zu Ermittlung der CO2-Einsparungen von KFZ-Aussenleuchten mit Leuchtdioden (LED). Anhang

1. Einleitung

Um zu ermitteln, welche Verringerung der CO2-Emissionen auf ein effizientes, aus einer geeigneten Kombination der in Artikel 2 genannten Fahrzeugleuchten bestehendes LED-Außenbeleuchtungssystem an einem Fahrzeug der Klasse M1 zurückgeführt werden kann, ist Folgendes zu bestimmen:

(1) Prüfbedingungen;

(2) Prüfgeräte;

(3) Ermittlung der Stromeinsparungen;

(4) Berechnung der CO2-Einsparungen;

(5) Berechnung des statistischen Fehlers.

2. Symbole, Parameter und Einheiten

Lateinische Symbole

- CO2-Einsparungen [g CO2/km]
CO2 - Kohlendioxid
CF - Umrechnungsfaktor (l/100 km) - (g CO2/km) [g CO2/l] wie in Tabelle 3 definiert
M - Zahl der effizienten LED-Außenleuchten, die das System umfasst
N - Anzahl der Messungen der Stichprobe
P - Stromverbrauch der Fahrzeugbeleuchtung [W]
- Standardabweichung des Stromverbrauchs der LED-Beleuchtung [W]
- Standardabweichung des Stromverbrauchs der LED-Beleuchtung - Mittel [W]
- Standardabweichung der CO2-Gesamteinsparungen [g CO2/km];
UF - Nutzungsfaktor [-] wie in Tabelle 4 definiert
V - Durchschnittliche Fahrgeschwindigkeit des neuen europäischen Fahrzyklus (NEFZ) [km/h]
VPe - Tatsächlicher Energieverbrauch [l/kWh] wie in Tabelle 2 definiert
- Sensitivität der berechneten CO2-Einsparungen im Zusammenhang mit dem Stromverbrauch der LED-Beleuchtung
Griechische Symbole
Δ - Differenz
ηA - Wirkungsgrad des Generators [%]
Tiefgestellte Indizes
i bezieht sich auf die Fahrzeugleuchten
j bezieht sich auf die Messung der Stichprobe
EI - ökoinnovativ
RW - reale Bedingungen
TA - Typgenehmigungsbedingungen
B - Vergleich

3. Prüfbedingungen

Die Prüfbedingungen genügen den Anforderungen der Regelung (UN/ECE) Nr. 112 1 über einheitliche Bedingungen für die Genehmigung der Kraftfahrzeugscheinwerfer für asymmetrisches Abblendlicht und/oder Fernlicht, die mit Glühlampen und/oder LED-Modulen ausgerüstet sind. Der Stromverbrauch wird im Einklang mit Absatz 6.1.4 der Regelung (UN/ECE) Nr. 112 und deren Anhang 10 Absätze 3.2.1 und 3.2.2 bestimmt.

4. Prüfgeräte

Dabei ist folgende Ausrüstung wie in der Abbildung dargestellt zu verwenden:

5. Messungen und Bestimmung der Stromeinsparungen

Für jede effiziente LED-Außenleuchte des Systems wird der Strom wie in der Abbildung dargestellt bei einer Spannung von 13,2 V gemessen. Bei LED-Modulen, die mit einem elektronischen Lichtquellen-Steuergerät betrieben werden, erfolgen die Messungen gemäß den Angaben des Antragstellers.

Der Hersteller kann verlangen, dass weitere Strommessungen bei weiteren zusätzlichen Stromspannungen vorgenommen werden. In diesem Fall muss der Hersteller der Typgenehmigungsbehörde eine geprüfte Dokumentation vorlegen, nach der diese weiteren Messungen erforderlich sind. Bei jeder der zusätzlichen Stromstärken ist der Strom mindestens fünf (5) Mal konsekutiv zu messen. Die genaue Nennspannung und der gemessene Strom sind mit vier Dezimalstellen aufzuzeichnen.

Der Stromverbrauch wird durch Multiplikation der Nennspannung mit dem gemessenen Strom ermittelt. Der Durchschnitt des Stromverbrauchs für jede effiziente LED-Außenleuchteist zu berechnen. Jeder Wert ist mit vier Dezimalstellen auszudrücken. Werden die LED-Leuchten über einen Schrittmotor oder eine elektronische Steuereinheit mit Strom versorgt, so wird die elektrische Belastung dieses Bauteils von der Messung ausgeschlossen.

Die resultierenden Stromeinsparungen werden für jede effiziente LED-Außenleuchte (ΔPi) nach folgender Formel berechnet:

Formel 1

Dabei wird der Stromverbrauch der entsprechenden KFZ-Leuchte durch Tabelle 1 definiert.

Tabelle 1: Strombedarf verschiedener zum Vergleich herangezogener KFZ-Leuchten

KFZ-Leuchte Elektrischer Strom
insgesamt (PB)
[W]
Abblendlicht 137
Fernlicht 150
Standlicht 12
Kennzeichenbeleuchtung 12
Nebelscheinwerfer 124
Nebelschlussleuchte 26
Vorderblinker 13
Heckblinker 13
Rückfahrscheinwerfer 52

6. Berechnung der CO2-Einsparungen

Die gesamten CO2-Einsparungen des Beleuchtungssystems werden nach Formel 2 berechnet.

Formel 2

Dabei ist

v: die durchschnittliche Fahrgeschwindigkeit des NEFZ [km/h]: 33,58 km/h,
ηA: der Wirkungsgrad des Generators [%]: 67 %,
VPe: der tatsächliche Energieverbrauch [l/kWh] wie in Tabelle 2 definiert.

Tabelle 2: Tatsächlicher Energieverbrauch

Motortyp Tatsächlicher Energieverbrauch (VPe)
[l/kWh]
Ottomotor 0,264
Turbo-Ottomotor 0,280
Dieselmotor 0,220


CF: Umrechnungsfaktor (l/100 km) - (g CO2/km) [gCO2/l] wie in Tabelle 3 definiert

Tabelle 3: Kraftstoffumrechnungsfaktor

Art des Kraftstoffs Umrechnungsfaktor (l/100 km) - (g CO2/km)
[g CO2/l]
Benzin 2.330
Diesel 2.640


UF: Nutzungsfaktor der KFZ-Leuchte [-] wie in Tabelle 4 definiert

Tabelle 4: Nutzungsfaktor für verschiedene KZF-Leuchten

KFZ-Leuchte Nutzungsfaktor (UF)
[-]
Abblendlicht 0,33
Fernlicht 0,03
Standlicht 0,36
Kennzeichenbeleuchtung 0,36
Nebelscheinwerfer 0,01
Nebelschlussleuchte 0,01
Vorderblinker 0,15
Heckblinker 0,15
Rückfahrscheinwerfer 0,01

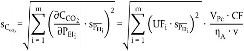
7. Berechnung des statistischen Fehlers

Den Messungen zuzuschreibende statistische Fehler bei den Ergebnissen der Prüfmethode sind zu quantifizieren. Für jede effiziente LED-Außenleuchte des Systems wird die Standardabweichung nach Formel 3 berechnet.

Formel 3

Dabei ist:

n: die Anzahl der Messungen: mindestens 5.

Die Standardabweichung des Stromverbrauchs jeder effizienten LED-Außenleuchte () führt zu einem Fehler bei den CO2-Einsparungen (). Dieser Fehler lässt sich nach Formel 4 berechnen:

Formel 4

8. Statistische Signifikanz

Für jeden Typ, jede Variante und jede Version eines Fahrzeugs, das mit der Kombination effizienter LED-Außenleuchten ausgestattet ist, ist nachzuweisen, dass der nach Formel 4 berechnete Fehler bei den CO2-Einsparungen nicht größer ist als die Differenz zwischen den CO2-Gesamteinsparungen und dem Schwellenwert für die Mindesteinsparungen gemäß Artikel 9 Absatz 1 der Durchführungsverordnung (EU) Nr. 725/2011 (vgl. Formel 5).

Formel 5

MT ≤ -

Dabei ist:

MT: der Schwellenwert für die Mindesteinsparungen [g CO2/km], d. h. 1 g CO2/km.

Liegen die anhand der Formel 5 berechneten gesamten CO2-Emissionseinsparungen des Systems der effizienten LED-Außenleuchten unter der Schwelle gemäß Artikel 9 Absatz 1 der Durchführungsverordnung (EU) Nr. 725/2011, ist Artikel 11 Absatz 2 Unterabsatz 2 der Verordnung anwendbar.

1) E/ECE/324/Rev.2/Add.111/Rev.3 - E/ECE/TRANS/505/Rev.2/Add.111/Rev.3 vom 9. Januar 2013.

ENDE

umwelt-online - Demo-Version


(Stand: 19.11.2019)

Alle vollständigen Texte in der aktuellen Fassung im Jahresabonnement
Nutzungsgebühr: 90.- € netto (Grundlizenz)

(derzeit ca. 7200 Titel s.Übersicht - keine Unterteilung in Fachbereiche)

Preise & Bestellung

Die Zugangskennung wird kurzfristig übermittelt

? Fragen ?
Abonnentenzugang/Volltextversion