Richtlinie (EU) 2018/2001 des Europäischen Parlaments und des Rates vom 11. Dezember 2018 zur Förderung der Nutzung von Energie aus erneuerbaren Quellen
- Erneuerbare-Energien-Richtlinie -
(Text von Bedeutung für den EWR)
(ABl. Nr. L 328 vom 21.12.2018 S. 82, ber. 2020 L 311 S. 11, ber. 2022 L 41 S. 37A;
VO (EU) 2022/759 - ABl. L 139 vom 18.05.2022 S. 1Inkrafttreten Art. 2)
Neufassung -Ersetzt RL 2009/28/EG
Archiv:2009
| Ergänzende Informationen |
| Liste zur Ergänzung der RL (EU) 2018/2001 ... |
Das Europäische Parlament und der Rat der Europäischen Union-
gestützt auf den Vertrag über die Arbeitsweise der Europäischen Union, insbesondere auf Artikel 194 Absatz 2,
auf Vorschlag der Europäischen Kommission,
nach Zuleitung des Entwurfs des Gesetzgebungsakts an die nationalen Parlamente,
nach Stellungnahme des Europäischen Wirtschafts- und Sozialausschusses 1,
nach Stellungnahme des Ausschusses der Regionen 2,
gemäß dem ordentlichen Gesetzgebungsverfahren 3,
in Erwägung nachstehender Gründe:
(1) Die Richtlinie 2009/28/EG des Europäischen Parlaments und des Rates 4 wurde mehrfach erheblich geändert 5. Aus Gründen der Klarheit empfiehlt es sich, im Rahmen der anstehenden Änderungen eine Neufassung der genannten Richtlinie vorzunehmen.
(2) Gemäß Artikel 194 Absatz 1 des Vertrags über die Arbeitsweise der Europäischen Union (AEUV) ist die Förderung erneuerbarer Energiequellen eines der Ziele der Energiepolitik der Union. Dieses Ziel wird mit dieser Richtlinie verfolgt. Die vermehrte Nutzung von Energie aus erneuerbaren Quellen oder "erneuerbarer Energie" ist ein wesentliches Element des Maßnahmenbündels, das benötigt wird, um die Treibhausgasemissionen zu verringern und die im Rahmen des Pariser Klimaschutzübereinkommens von 2015 (Übereinkommen von Paris) im Anschluss an die 21. Konferenz der Vertragsparteien des Rahmenübereinkommens der Vereinten Nationen über Klimaänderungen (COP 21) von der Union eingegangenen Verpflichtungen, sowie den Unionsrahmen für die Energie- und Klimapolitik ab 2030, einschließlich des verbindlichen Unionsziels, die Emissionen bis 2030 um mindestens 40 % gegenüber dem Stand von 1990 zu senken, einzuhalten. Das für 2030 im Bereich erneuerbarer Energie angestrebte verbindliche Ziel der Union und die diesbezüglichen Beiträge der Mitgliedstaaten - einschließlich ihrer als Ausgangswert festgelegten Anteile in Bezug auf ihre nationalen Gesamtziele für 2020 - zählen zu den Elementen, denen die Union bei ihrer Energie- und Umweltpolitik eine übergeordnete Bedeutung beimisst. Weitere solche Elemente sind in den in dieser Richtlinie vorgesehenen Rahmen, beispielsweise für den Ausbau der Wärme- und Kälteerzeugung aus erneuerbaren Quellen und für die Entwicklung erneuerbarer Kraftstoffe für den Verkehr, enthalten.
(3) Die verstärkte Nutzung von Energie aus erneuerbaren Quellen spielt auch eine tragende Rolle, wenn es darum geht, auf eine höhere Energieversorgungssicherheit, auf nachhaltige Energie zu erschwinglichen Preisen, auf technologische Entwicklung und Innovation sowie auf eine technologische und industrielle Führungsrolle hinzuwirken, und dabei Vorteile für Umwelt, Gesellschaft und Gesundheit zu erzielen sowie - insbesondere in ländlichen und entlegenen Gebieten, Gebieten oder Regionen mit niedriger Bevölkerungsdichte sowie von einer teilweisen Deindustrialisierung betroffenen Gegenden - wesentliche Möglichkeiten für Beschäftigung und regionale Entwicklung zu schaffen.
(4) Insbesondere die Senkung des Energieverbrauchs, die Zunahme technischer Verbesserungen, das Setzen von Anreizen für die Nutzung und den Ausbau öffentlicher Verkehrsmittel, der Einsatz von Energieeffizienztechnologien und die Förderung der Verwendung erneuerbarer Energie in den Bereichen Elektrizität, im Wärme- und Kältesektor sowie im Verkehrssektor sind wirksame Mittel zur Verringerung der Treibhausgasemissionen und der Energieabhängigkeit der Union.
(5) Mit der Richtlinie 2009/28/EG wurde ein Regelungsrahmen für die Förderung der Nutzung von Energie aus erneuerbaren Quellen geschaffen, in dem verbindliche, bis 2020 zu verwirklichende, nationale Ziele für den Anteil erneuerbarer Energie am Energieverbrauch und im Verkehrssektor gesetzt wurden. Durch die Mitteilung der Kommission vom 22. Januar 2014 zum Rahmen für die Klima- und Energiepolitik im Zeitraum 2020-2030 wurde ein Rahmen für die künftige Energie- und Klimapolitik der Union festgelegt und zu einem gemeinsamen Verständnis beigetragen, wie diese Politikbereiche nach 2020 weiterzuentwickeln sind. Die Kommission hat vorgeschlagen, das Unionsziel für den Anteil erneuerbarer Energie am Energieverbrauch in der Union für 2030 mit mindestens 27 % festzusetzen. Dieser Vorschlag, der vom Europäischen Rat in seinen Schlussfolgerungen vom 23. und 24. Oktober 2014 befürwortet wurde, weist darauf hin, dass es den Mitgliedstaaten möglich sein sollte, eigene ehrgeizigere nationale Ziele festzulegen, um ihre geplanten Beiträge zum Unionsziel für 2030 zu erfüllen und darüber hinauszugehen.
(6) Das Europäische Parlament ist in seiner Entschließung vom 5. Februar 2014 zum Rahmen für die Klima- und Energiepolitik bis 2030 und in seiner Entschließung vom 23. Juni 2016 zum Fortschrittsbericht "Erneuerbare Energiequellen" einen Schritt weiter gegangen als der Vorschlag der Kommission oder die Schlussfolgerungen des Europäischen Rates, wenn es betonte, dass angesichts des Übereinkommens von Paris und des aktuellen Kostenrückgangs bei Technologien im Bereich erneuerbare Energie wesentlich mehr Ehrgeiz gezeigt werden sollte.
(7) Dem Anspruch des Übereinkommens von Paris und dem technischen Fortschritt, auch den sinkenden Kosten für Investitionen im Bereich erneuerbare Energie, sollte also entsprechend Rechnung getragen werden.
(8) Es ist daher angemessen, ein verbindliches Unionsziel von mindestens 32 % für den Anteil erneuerbarer Energie festzulegen. Die Kommission sollte bewerten, ob dieser Zielwert, angesichts wesentlicher Kostensenkungen bei der Erzeugung erneuerbarer Energie, der internationalen Dekarbonisierungsverpflichtungen der Union oder eines möglichen wesentlichen Rückgangs des Energieverbrauchs in der Union, nach oben korrigiert werden sollte. Die Mitgliedstaaten sollten ihren Beitrag zur Verwirklichung dieser Zielvorgabe als Teil ihrer integrierten nationalen Energie- und Klimapläne anhand des Governance-Prozesses nach der Verordnung (EU) des Europäischen Parlaments und des Rates 6 bestimmen.
(9) Die Festlegung eines verbindlichen Unionsziels für erneuerbare Energie bis 2030 würde die Entwicklung von Technologien für die Produktion von erneuerbarer Energie weiter vorantreiben und Investoren Sicherheit geben. Eine auf Unionsebene festgelegte Zielvorgabe würde den Mitgliedstaaten mehr Flexibilität bieten, um ihre Ziele für die Einsparung von Treibhausgasemissionen entsprechend ihren jeweiligen spezifischen Gegebenheiten, ihrem Energiemix und ihren Kapazitäten zur Produktion von erneuerbarer Energie auf die kostengünstigste Weise zu erreichen.
(10) Im Interesse einer Konsolidierung der auf Grundlage der Richtlinie 2009/28/EG erzielten Ergebnisse sollten die für 2020 festgelegten nationalen Ziele der Mitgliedstaaten als Mindestbeitrag zum neuen Rahmen für die Zeit bis 2030 gelten. Unter keinen Umständen sollte der nationale Anteil erneuerbarer Energie unter diesen Beitrag fallen. Ist dies aber der Fall, so sollten die betreffenden Mitgliedstaaten angemessene Maßnahmen nach der Verordnung (EU) ergreifen, um zu gewährleisten, dass sie diesen als Ausgangswert festgelegten Anteil wieder erlangen. Hält ein Mitgliedstaat seinen als Ausgangswert festgelegten Anteil, ermittelt über einen Zeitraum von 12 Monaten, nicht ein, so sollte er innerhalb von 12 Monaten nach Ende dieses Zeitraums zusätzliche Maßnahmen ergreifen, um seinen Ausgangswert wieder zu erlangen. Hat ein Mitgliedstaat bereits entsprechende zusätzliche Maßnahmen ergriffen und seinen Ausgangswert wiederhergestellt, so sollte davon ausgegangen werden, dass er die verbindlichen Anforderungen nach seinem als Ausgangswert festgelegten Anteil gemäß dieser Richtlinie und gemäß der Verordnung (EU) während des gesamten fraglichen Zeitraumes eingehalten hat. Dem betreffenden Mitgliedstaat sollte somit nicht angelastet werden, der Verpflichtung zur Einhaltung seines Ausgangswerts in dem Zeitraum, in dem die Lücke bestand, nicht nachgekommen zu sein. Der Rahmen für die Zeit bis 2020 und derjenige für die Zeit bis 2030 dienen beide den umwelt- und energiepolitischen Zielen der Union.
(11) Die Mitgliedstaaten sollten für den Fall, dass der Anteil erneuerbarer Energie auf Unionsebene nicht dem auf mindestens 32 % ausgerichteten Zielpfad der Union entspricht, zusätzliche Maßnahmen ergreifen. Gemäß der Verordnung (EU) kann die Kommission Maßnahmen auf Unionsebene treffen, um die Verwirklichung dieses Ziels sicherzustellen, falls sie bei der Bewertung der integrierten nationalen Energie- und Klimapläne eine Lücke zwischen den Zielen dieser Pläne und dem Unionsziel feststellt. Entdeckt die Kommission bei der Bewertung der integrierten nationalen Energie- und Klimapläne eine Umsetzungslücke, sollten die Mitgliedstaaten die in der Verordnung (EU) genannten Maßnahmen ergreifen, um die Lücke zu schließen.
(12) Um ehrgeizige Beiträge der Mitgliedstaaten zum Unionsziel zu unterstützen, sollte, auch unter Nutzung von Finanzierungsinstrumenten, ein Finanzrahmen eingerichtet werden, mit dem Investitionen in Projekte im Bereich erneuerbare Energie in diesen Mitgliedstaaten erleichtert werden.
(13) Die Kommission sollte bei der Zuweisung von Mitteln den Schwerpunkt darauf legen, dass die Kapitalkosten von Projekten im Bereich erneuerbare Energie verringert werden, weil sie einen wesentlichen Einfluss auf die Kosten und die Wettbewerbsfähigkeit dieser Projekte haben, und dass grundlegende Infrastrukturen, die eine verstärkte technisch machbare und rentable Nutzung von erneuerbarer Energie ermöglichen, etwa Übertragungs- und Verteilernetzinfrastrukturen, intelligente Netze und Verbindungsleitungen, geschaffen werden.
(14) Die Kommission sollte den Austausch bewährter Verfahren zwischen den zuständigen nationalen oder regionalen Behörden bzw. Stellen erleichtern, z.B. durch regelmäßige Sitzungen, damit ein gemeinsamer Ansatz gefunden wird, um die vermehrte Durchführung von kosteneffizienten Projekten im Bereich erneuerbare Energie zu fördern. Die Kommission sollte auch Investitionen in neue, flexible und saubere Technologien anregen und auf der Grundlage transparenter Kriterien und zuverlässiger Preissignale des Marktes eine angemessene Strategie für den Verzicht auf Technologien, die nicht zu einer Verringerung der Emissionen beitragen oder nicht ausreichend flexibel sind, festlegen.
(15) In der Verordnung (EG) Nr. 1099/2008 des Europäischen Parlaments und des Rates 7, den Richtlinien 2001/77/EG 8 und 2003/30/EG 9 des Europäischen Parlaments und des Rates und in der Richtlinie 2009/28/EG wurden für verschiedene Arten Energie aus erneuerbaren Quellen Begriffsbestimmungen festgelegt. Die Rechtsvorschriften der Union für den Energiebinnenmarkt enthalten Begriffsbestimmungen für den Elektrizitätssektor im Allgemeinen. Im Interesse der Rechtssicherheit und der Klarheit ist es angebracht, diese Begriffsbestimmungen in dieser Richtlinie zu verwenden.
(16) Förderregelungen für Elektrizität aus erneuerbaren Quellen oder "erneuerbare Elektrizität" haben sich als ein wirksames Instrument zur Förderung ihres Einsatzes erwiesen. Wenn Mitgliedstaaten beschließen, Förderregelungen einzuführen, sollte die Förderung in einer für die Strommärkte möglichst wenig wettbewerbsverzerrenden Form erfolgen. Deshalb vergibt eine zunehmende Zahl von Mitgliedstaaten die Förderung in einer Form, bei der die Förderung zusätzlich zu Markteinnahmen gewährt wird, und führt marktbasierte Systeme zur Ermittlung des Förderbedarfs ein. In Verbindung mit Maßnahmen zur Vorbereitung des Marktes auf einen steigenden Anteil erneuerbarer Energie tragen solche Förderungen entscheidend dazu bei, dass erneuerbare Elektrizität - unter Berücksichtigung der unterschiedlichen Fähigkeiten kleiner und großer Produzenten, auf Marktsignale zu reagieren - stärker in den Markt integriert wird.
(17) Kleine Anlagen können von großem Nutzen sein, wenn es um eine bessere öffentliche Akzeptanz geht und die Einführung von Projekten im Bereich erneuerbare Energie insbesondere auf lokaler Ebene sichergestellt werden soll. Um die Beteiligung dieser kleinen Anlagen und ein positives Kosten-Nutzen-Verhältnis zu gewährleisten, könnten daher - in Einklang mit dem den Elektrizitätsmarkt regelnden Unionsrecht - weiterhin Sonderbedingungen, einschließlich Einspeisetarife, erforderlich sein. Der Begriff "kleine Anlage" sollte für die Zwecke der Inanspruchnahme von Förderung definiert werden, damit für Investoren Rechtssicherheit besteht. In den Vorschriften über staatliche Beihilfen sind entsprechende Begriffsbestimmungen enthalten.
(18) Gemäß Artikel 108 AEUV ist ausschließlich die Kommission befugt, die Vereinbarkeit etwaiger von den Mitgliedstaaten für den Einsatz von Energie aus erneuerbaren Quellen vorgesehener staatlicher Beihilferegelungen mit dem Binnenmarkt zu bewerten. Diese Bewertung erfolgt auf der Grundlage von Artikel 107 Absatz 3 AEUV und entspricht den einschlägigen Bestimmungen und Leitlinien, die die Kommission für diese Zwecke erlassen kann. Diese durch den AEUV vorgesehene ausschließliche Befugnis der Kommission bleibt von den Bestimmungen dieser Richtlinie unberührt.
(19) Der Einsatz von Strom aus erneuerbaren Quellen sollte möglichst geringe Kosten für die Verbraucher und Steuerzahler mit sich bringen. Bei der Konzipierung von Förderregelungen und bei der Vergabe von Fördermitteln sollten sich die Mitgliedstaaten bemühen, die Gesamtsystemkosten des Ausbaus auf dem Dekarbonisierungspfad bis hin zu dem bis 2050 angestrebten Ziel der CO2-armen Wirtschaft möglichst gering zu halten. Erwiesenermaßen lassen sich die Förderkosten mit marktbasierten Mechanismen, beispielsweise Ausschreibungsverfahren, auf wettbewerbsorientierten Märkten in vielen Fällen wirksam verringern. Unter bestimmten Umständen führen Ausschreibungsverfahren jedoch möglicherweise nicht unbedingt zu einer effizienten Preisbildung. Daher müssen unter Umständen ausgewogene Ausnahmeregelungen geprüft werden, die Kostenwirksamkeit und möglichst geringe Gesamtförderkosten gewährleisten. Insbesondere sollte es den Mitgliedstaaten gestattet sein, kleinen Anlagen und Demonstrationsprojekten mit Rücksicht auf deren beschränktere Möglichkeiten Ausnahmen von der Beteiligung an Ausschreibungsverfahren und von der Direktvermarktung zu gewähren. Da die Kommission im Einzelfall prüft, ob die Förderung erneuerbarer Energie mit dem Binnenmarkt vereinbar ist, sollten diese Ausnahmen mit den entsprechenden Schwellenwerten in Einklang stehen, die in den jüngsten Leitlinien der Kommission für staatliche Umweltschutz- und Energiebeihilfen festgelegt sind. In den Leitlinien für 2014-2020 sind als Schwellenwerte für Ausnahmen von der Beteiligung an Ausschreibungsverfahren 1 MW (für Windkraftanlagen 6 MW oder 6 Erzeugungseinheiten) und von der Direktvermarktung 500 kW (für Windkraftanlagen 3 MW oder 3 Erzeugungseinheiten) festgelegt. Damit die Ausschreibungsverfahren noch stärker zur Verringerung der Gesamtförderkosten beitragen, sollten sie grundsätzlich allen Produzenten von Elektrizität aus erneuerbaren Quellen in nichtdiskriminierender Weise offenstehen. Bei der Aufstellung ihrer Förderregelungen können die Mitgliedstaaten Ausschreibungsverfahren auf bestimmte Technologien begrenzen, wenn das notwendig ist, um suboptimale Ergebnisse in Bezug auf Netzeinschränkungen, Netzstabilität, Systemintegrationskosten, die Notwendigkeit einer Diversifizierung des Energiemix und das langfristige Potenzial der Technologien zu verhindern.
(20) Der Europäische Rat hat in seinen Schlussfolgerungen vom 23. und 24. Oktober 2014 zum Rahmen für die Klima- und Energiepolitik bis 2030 betont, dass ein stärker vernetzter Energiebinnenmarkt erforderlich ist und dass für die Einspeisung von immer mehr erneuerbarer Energie mit variabler Leistungsabgabe eine ausreichende Förderung bereitgestellt werden muss, damit die Union ihrem Führungsanspruch bei der Energiewende gerecht werden kann. Daher ist es dringend erforderlich, den Grad der Vernetzung zu erhöhen und bei der Verwirklichung der vom Europäischen Rat vereinbarten Ziele Fortschritte zu erzielen, damit die Möglichkeiten der Energieunion in vollem Umfang genutzt werden können.
(21) Bei der Aufstellung von Förderregelungen für erneuerbare Energiequellen berücksichtigen die Mitgliedstaaten das Angebot an nachhaltiger Biomasse und tragen den Grundsätzen der Kreislaufwirtschaft und der Abfallhierarchie gemäß der Richtlinie 2008/98/EG des Europäischen Parlaments und des Rates 10 entsprechend Rechnung, um unnötige Wettbewerbsverzerrungen auf den Rohstoffmärkten zu verhindern. Abfallvermeidung und Abfallrecycling sollten Vorrang haben. Die Mitgliedstaaten sollten keine Förderregelungen aufstellen, die den Zielen für die Abfallbehandlung zuwiderlaufen und zu einer ineffizienten Nutzung recycelbarer Abfälle führen würden.
(22) Die Mitgliedstaaten haben unterschiedliche Potenziale im Bereich erneuerbare Energie und bedienen sich unterschiedlicher Förderregelungen auf nationaler Ebene. Die meisten Mitgliedstaaten wenden Förderregelungen an, bei denen nur für im eigenen Hoheitsgebiet produzierte Energie aus erneuerbaren Quellen Vergünstigungen gewährt werden. Damit die nationalen Förderregelungen ordnungsgemäß funktionieren, sollte es den Mitgliedstaaten weiterhin möglich sein, Wirkung und Kosten dieser Regelungen dem eigenen Potenzial entsprechend zu steuern. Ein wichtiger Faktor bei der Verwirklichung des Ziels dieser Richtlinie besteht nach wie vor darin, wie in den Richtlinien 2001/77/EG und 2009/28/EG vorgesehen, das ungestörte Funktionieren der nationalen Förderregelungen zu gewährleisten, damit das Vertrauen der Investoren erhalten bleibt und die Mitgliedstaaten im Hinblick auf ihren jeweiligen Beitrag zu dem von der Union bis 2030 angestrebten Ziel für erneuerbare Energie sowie gegebenenfalls auf die Ziele, die sie sich selbst gesetzt haben, wirksame nationale Maßnahmen konzipieren können. Diese Richtlinie sollte die grenzüberschreitende Förderung von erneuerbarer Energie erleichtern, ohne die nationalen Förderregelungen unverhältnismäßig zu beeinträchtigen.
(23) Die Öffnung von Förderregelungen für die grenzüberschreitende Beteiligung begrenzt negative Auswirkungen auf den Energiebinnenmarkt und kann die Mitgliedstaaten unter bestimmten Bedingungen dabei unterstützen, das Ziel der Union auf kosteneffizientere Weise zu erreichen. Ferner ist die grenzüberschreitende Beteiligung die natürliche Folge der Entwicklung der Unionspolitik im Bereich erneuerbare Energie, die im Hinblick auf den Beitrag zu dem unionsweit verbindlichen Ziel Konvergenz und Zusammenarbeit fördert. Daher ist es angezeigt, die Mitgliedstaaten dazu zu ermutigen, die Förderung für Projekte in anderen Mitgliedstaaten zu öffnen, und verschiedene Möglichkeiten festzulegen, wie diese schrittweise Öffnung unter Einhaltung der Bestimmungen des AEUV, insbesondere der Artikel 30, 34 und 110, umgesetzt werden kann. Da sich Stromflüsse nicht zurückverfolgen lassen, ist es angemessen, die Öffnung von Förderregelungen für die grenzüberschreitende Beteiligung an Anteile zu knüpfen, die eine Annäherung an den tatsächlichen Verbundgrad darstellen, und den Mitgliedstaaten zu gestatten, ihre geöffneten Förderregelungen auf die Mitgliedstaaten zu beschränken, zu denen eine direkte Netzverbindung besteht, was ein konkreter Hinweis dafür ist, dass zwischen den Mitgliedstaaten physikalische Stromflüsse stattfinden. Das zonenübergreifende und grenzüberschreitende Funktionieren der Strommärkte sollte dadurch jedoch in keiner Weise beeinträchtigt werden.
(24) Um zu gewährleisten, dass die Öffnung der Förderregelungen auf Gegenseitigkeit beruht und allen Seiten zum Vorteil gereicht, sollten die teilnehmenden Mitgliedstaaten eine Kooperationsvereinbarung unterzeichnen. Die Mitgliedstaaten sollten die Kontrolle darüber behalten, in welchem Tempo der Ausbau der Kapazitäten für erneuerbare Elektrizität in ihrem Hoheitsgebiet voranschreitet, um insbesondere den damit verbundenen Integrationskosten und den erforderlichen Investitionen in die Netze Rechnung zu tragen. So sollte ihnen gestattet sein, die Teilnahme von in ihrem Hoheitsgebiet befindlichen Anlagen an Ausschreibungen, die von anderen Mitgliedstaaten für sie geöffnet wurden, zu beschränken. Die Kooperationsvereinbarungen sollten auf alle wichtigen Aspekte eingehen, wie etwa die Berücksichtigung der Kosten eines Projekts, das von einem Staat im Hoheitsgebiet eines anderen Staates errichtet wird, einschließlich der Ausgaben für den Ausbau von Netzen, Energieübertragungs-, Speicher- und Reservekapazitäten sowie aufgrund möglicher Netzengpässe. In diesen Vereinbarungen sollten die Mitgliedstaaten auch jene Maßnahmen berücksichtigen, die eine kostengünstige Integration solcher zusätzlichen Kapazitäten für erneuerbare Elektrizität ermöglichen könnten, unabhängig davon, ob es sich um Regulierungsmaßnahmen (beispielsweise zur Marktgestaltung) oder um zusätzliche Investitionen in verschiedene Flexibilitätsquellen (beispielsweise Verbindungsleitungen, Speicherung, Laststeuerung oder flexible Erzeugung) handelt.
(25) Die Mitgliedstaaten sollten Verzerrungen verhindern, die dazu führen, dass Ressourcen in großem Umfang aus Drittländern eingeführt werden. In diesem Zusammenhang sollten sie ein Lebenszykluskonzept in Betracht ziehen und fördern.
(26) Die Mitgliedstaaten sollten sicherstellen, dass Erneuerbare-Energie-Gemeinschaften gleichberechtigt mit anderen großen Teilnehmern an bestehenden Förderregelungen teilhaben können. Deshalb sollte es den Mitgliedstaaten gestattet sein, Maßnahmen - einschließlich der Bereitstellung von Informationen sowie technischer und finanzieller Förderung - zu treffen, Verwaltungsanforderungen abzubauen, auf Gemeinschaften ausgerichtete Bietekriterien aufzunehmen und auf Erneuerbare-Energie-Gemeinschaften zugeschnittene Zeitfenster für Gebote vorzusehen oder zu gestatten, dass diese Gemeinschaften, sofern sie die Kriterien für kleine Anlagen erfüllen, über direkte Förderung vergütet werden.
(27) Bei der Planung der Infrastruktur, die für die Produktion von Elektrizität aus erneuerbaren Quellen benötigt wird, sollten politische Strategien für die Beteiligung der Menschen, die von den Projekten betroffen sind, und insbesondere der Bevölkerung vor Ort berücksichtigt werden.
(28) Die Verbraucher sollten umfassend, auch über die verbesserte Gesamtenergieeffizienz von Wärme- und Kältesystemen und die niedrigeren Betriebskosten von Elektrofahrzeugen, informiert werden, damit sie als Verbraucher in Bezug auf erneuerbare Energie individuelle Entscheidungen treffen können und Lockin-Effekte bei bestimmten Technologien vermieden werden.
(29) Unbeschadet der Artikel 107 und 108 AEUV sollten Fördermaßnahmen für erneuerbare Energie berechenbar und beständig sein und häufige oder nachträgliche Änderungen daran vermieden werden. Eine unberechenbare und unbeständige Förderpolitik hat unmittelbare Auswirkungen auf die Kapitalfinanzierungskosten, die Kosten der Projektentwicklung und damit auf die Gesamtkosten des Ausbaus im Bereich erneuerbare Energie in der Union. Die Mitgliedstaaten sollten verhindern, dass sich die Überarbeitung der Modalitäten etwaiger bereits gewährter Förderung für Projekte im Bereich erneuerbare Energie negativ auf deren wirtschaftliche Tragfähigkeit auswirkt. In diesem Zusammenhang sollten die Mitgliedstaaten kostenwirksame Fördermaßnahmen unterstützen und für ihre finanzielle Tragfähigkeit sorgen. Außerdem sollte ein langfristiger indikativer Zeitplan für die wichtigsten Aspekte der voraussichtlichen Förderung veröffentlicht werden, ohne jedoch die Möglichkeit der Mitgliedstaaten zu beeinträchtigen, über die Zuweisung von Haushaltsmitteln in den im Zeitplan erfassten Jahren zu entscheiden.
(30) Die Verpflichtung der Mitgliedstaaten, nationale Aktionspläne für erneuerbare Energie und Fortschrittsberichte zu erstellen, sowie die Verpflichtung der Kommission, über die Fortschritte der Mitgliedstaaten Bericht zu erstatten, sind unerlässlich, um die Transparenz zu erhöhen, Klarheit für Investoren und Verbraucher zu schaffen und eine wirksame Überwachung zu ermöglichen. Diese Verpflichtungen werden mit der Verordnung (EU) in das Governance-System der Energieunion integriert, in dem die Planungs-, Berichterstattungs- und Überwachungspflichten in den Bereichen Energie und Klima zusammengeführt werden. Außerdem geht die Transparenzplattform für erneuerbare Energie in der umfassenderen, durch die genannte Verordnung eingerichteten elektronischen Plattform auf.
(31) Für die Berechnung des Anteils von Energie aus erneuerbaren Quellen und zur Bestimmung dieser Quellen ist es erforderlich, für transparente und eindeutige Regeln zu sorgen.
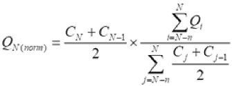
(32) Bei der Berechnung des Beitrags der Wasserkraft und der Windkraft für die Zwecke dieser Richtlinie sollten die Auswirkungen klimatischer Schwankungen durch die Verwendung einer Normalisierungsregel geglättet werden. Weiterhin sollte Elektrizität, die in Pumpspeicherkraftwerken mit zuvor hochgepumptem Wasser produziert wird, nicht als erneuerbare Elektrizität betrachtet werden.
(33) Wärmepumpen, die die Nutzung von Umgebungswärme und geothermische Energie bei einem brauchbaren Temperaturniveau ermöglichen, oder Kältesysteme benötigen Elektrizität oder andere Hilfsenergie für ihren Betrieb. Deshalb sollte die Energie, die zum Antrieb dieser Systeme eingesetzt wird, von der Gesamtnutzenergie oder der Energie, die dem Gebiet entnommen wird, subtrahiert werden. Es sollten nur Wärme- und Kältesysteme berücksichtigt werden, bei denen der Output oder die einem Gebiet entnommene Energie die zum Antrieb der Systeme erforderliche Primärenergie deutlich übersteigt. Kältesysteme tragen zum Energieverbrauch in den Mitgliedstaaten bei; es ist deshalb angemessen, dass der Anteil erneuerbarer Energie am Energieverbrauch solcher Systeme in allen Endverbrauchssektoren im Rahmen der Berechnungsmethoden berücksichtigt wird.
(34) Passive Energiesysteme verwenden die Baukonstruktion, um Energie nutzbar zu machen. Die dergestalt nutzbar gemachte Energie gilt als eingesparte Energie. Zur Vermeidung einer Doppelzählung sollte auf diese Weise nutzbar gemachte Energie für die Zwecke dieser Richtlinie nicht berücksichtigt werden.
(35) Bei einigen Mitgliedstaaten ist der Anteil des Flugverkehrs am Bruttoendenergieverbrauch hoch. Angesichts der technischen und rechtlichen Beschränkungen, die den kommerziellen Einsatz von Biokraftstoffen in der Luftfahrt derzeit verhindern, ist es angemessen, eine teilweise Ausnahme für diese Mitgliedstaaten vorzusehen, indem bei der Berechnung ihres Bruttoendenergieverbrauchs im nationalen Flugverkehr diejenige Menge unberücksichtigt bleibt, um die sie, laut Eurostat, den eineinhalbfachen Wert des durchschnittlichen EU-Bruttoendenergieverbrauchs im Flugverkehr im Jahr 2005 überschreiten (d. h. 6,18 %). Zypern und Malta sind als Inseln und Randgebiete auf den Flugverkehr als unverzichtbares Beförderungsmittel für ihre Bürger und ihre Wirtschaft besonders angewiesen. Das führt dazu, dass Zypern und Malta einen Bruttoendenergieverbrauch im nationalen Flugverkehr haben, der mit mehr als dem Dreifachen des Unionsdurchschnitts im Jahr 2005 unverhältnismäßig hoch ist. Folglich sind sie unverhältnismäßig von den derzeitigen technischen und rechtlichen Beschränkungen betroffen. Es ist daher angemessen, zugunsten dieser Mitgliedstaaten eine Ausnahme in Höhe des Betrags vorzusehen, um den diese Mitgliedstaaten laut Eurostat den durchschnittlichen EU-Bruttoendenergieverbrauch im Flugverkehr im Jahr 2005 überschreiten (d. h. 4,12 %).
(36) In der Mitteilung der Kommission vom 20. Juli 2016 mit dem Titel "Eine europäische Strategie für emissionsarme Mobilität" wird hervorgehoben, dass fortschrittliche Biokraftstoffe und flüssige oder gasförmige erneuerbare Kraftstoffe nicht biogenen Ursprungs mittelfristig für den Luftverkehr besonders wichtig sein werden.
(37) Um sicherzustellen, dass die dieser Richtlinie als Anhang beigefügte Liste von Rohstoffen zur Herstellung fortschrittlicher Biokraftstoffe und anderer Biokraftstoffe und Biogase die Grundsätze der Abfallhierarchie gemäß der Richtlinie 2008/98/EG, die Nachhaltigkeitskriterien der Union und die Notwendigkeit berücksichtigt werden, dass durch diesen Anhang, mit dem die Nutzung von Abfällen und Reststoffen gefördert werden soll, keine zusätzliche Nachfrage nach Anbauflächen entstehen darf, sollte die Kommission bei der regelmäßigen Bewertung des Anhangs die Einbeziehung zusätzlicher Rohstoffe erwägen, die keine erheblichen Verzerrungen auf den Märkten für (Neben-) Produkte, Abfälle oder Reststoffe bewirken.
(38) Um Möglichkeiten zur Senkung der mit der Verwirklichung des Unionsziels dieser Richtlinie verbundenen Kosten zu schaffen und um den Mitgliedstaaten Flexibilität bei der Einhaltung ihrer Verpflichtung zu geben, nach 2020 nicht hinter den für 2020 gesetzten nationalen Zielen zurückzubleiben, sollte in den Mitgliedstaaten der Verbrauch von in anderen Mitgliedstaaten produzierter erneuerbarer Energie gefördert werden, und die Mitgliedstaaten sollten erneuerbare Energie, die in anderen Mitgliedstaaten verbraucht wird, auf ihren eigenen Anteil erneuerbarer Energie anrechnen können. Aus diesem Grund sollte die Kommission eine Plattform der Union für die verstärkte Nutzung erneuerbarer Energie (Union renewable development platform, URDP) einrichten, die den Mitgliedstaaten abgesehen von bilateralen Kooperationsvereinbarungen den Handel mit Anteilen von erneuerbarer Energie ermöglicht. Die URDP ist als Ergänzung zur freiwilligen Öffnung von Förderregelungen für Projekte in anderen Mitgliedstaaten vorgesehen. Die Vereinbarungen zwischen den Mitgliedstaaten umfassen statistische Transfers, gemeinsame Projekte der Mitgliedstaaten oder gemeinsame Förderregelungen.
(39) Die Mitgliedstaaten sollten darin bestärkt werden, alle angemessenen Formen der Zusammenarbeit zu nutzen, damit die Ziele dieser Richtlinie erreicht werden, und die Bürger über die Vorteile zu informieren, die sich durch Kooperationsmechanismen ergeben. Diese Zusammenarbeit kann auf allen Ebenen bilateral oder multilateral erfolgen. Abgesehen von den Mechanismen mit Auswirkungen auf die Zielberechnung des Anteils erneuerbarer Energie und die Zielerfüllung, die ausschließlich in dieser Richtlinie geregelt sind, nämlich die statistischen Transfers zwischen den Mitgliedstaaten, die bilateral oder über die URDP erfolgen, die gemeinsamen Projekte und die gemeinsamen Förderregelungen, kann eine solche Zusammenarbeit beispielsweise auch in einem Austausch von Informationen und bewährten Verfahrensweisen, wie er insbesondere mit der durch die Verordnung (EU) geschaffenen elektronischen Plattform vorgesehen ist, und in einer anderen freiwilligen Abstimmung zwischen allen typen von Förderregelungen bestehen.
(40) Es sollte die Möglichkeit bestehen, importierte, aus erneuerbaren Energiequellen außerhalb der Union produzierte Elektrizität auf den Anteil erneuerbarer Energie der Mitgliedstaaten anzurechnen. Damit die Ersetzung nicht erneuerbarer Energie durch erneuerbare Energie sowohl in der Union als auch in Drittländern eine angemessene Wirkung erzielt, sollte sichergestellt werden, dass diese Einfuhren zuverlässig nachverfolgt und angerechnet werden können. Abkommen mit Drittländern über die Organisation dieses Handels mit erneuerbarer Elektrizität sollten berücksichtigt werden. Sind die Vertragsparteien des Vertrags über die Energiegemeinschaft 11 aufgrund eines nach diesem Vertrag erlassenen diesbezüglichen Beschlusses durch die einschlägigen Bestimmungen dieser Richtlinie gebunden, so sollten die in dieser Richtlinie vorgesehenen Kooperationsmaßnahmen zwischen den Mitgliedstaaten auch für sie gelten.
(41) Wenn die Mitgliedstaaten gemeinsame Projekte mit einem oder mehreren Drittländern zur Produktion von erneuerbarer Elektrizität durchführen, sollten sich diese gemeinsamen Projekte nur auf neu gebaute Anlagen oder Anlagen beziehen, deren Kapazität gerade aufgestockt wurde. Auf diese Weise kann besser sichergestellt werden, dass die Einfuhr von Energie aus erneuerbaren Quellen in die Union nicht dazu führt, dass in dem Drittland der Anteil von Energie aus erneuerbaren Quellen am Gesamtenergieverbrauch sinkt.
(42) Mit dieser Richtlinie wird nicht nur ein Rahmen der Union für die Förderung von Energie aus erneuerbaren Quellen festgelegt, sondern auch zu den positiven Auswirkungen beigetragen, die sich aus der Förderung der Erschließung erneuerbarer Energieträger in Drittländern für die Union und die Mitgliedsstaaten ergeben können. Die Union und die Mitgliedstaaten sollten Forschung, Entwicklung und Investitionen zugunsten der Produktion von erneuerbarer Energie in Entwicklungsländern und anderen Partnerländern unter uneingeschränkter Achtung des Völkerrechts fördern und auf diese Weise zur Stärkung der ökologischen Nachhaltigkeit, der wirtschaftlichen Tragfähigkeit und der Ausfuhrkapazitäten dieser Länder im Bereich erneuerbare Energie beitragen.
(43) Das Verfahren, das für die Genehmigung, Zertifizierung und Zulassung von Anlagen für erneuerbare Energieträger angewendet wird, muss objektiv, transparent, diskriminierungsfrei und verhältnismäßig sein, wenn die Regelungen auf bestimmte Projekte angewendet werden. Insbesondere ist es angemessen, unnötige Belastungen zu vermeiden, die sich daraus ergeben können, dass Projekte im Bereich erneuerbare Energie als Anlagen, die ein hohes Gesundheitsrisiko darstellen, eingestuft werden.
(44) Im Interesse der raschen Verbreitung von Energie aus erneuerbaren Quellen und im Hinblick auf deren insgesamt große Vorzüge in Bezug auf Nachhaltigkeit und Umweltverträglichkeit sollten die Mitgliedstaaten im Rahmen von Verwaltungsvorgängen, Planungsabläufen und der Gesetzgebung, die für die Zulassung von Anlagen in Bezug auf die Verringerung von Schadstoffen und die Überwachung von Industrieanlagen, die Eindämmung der Luftverschmutzung und die Vermeidung oder Verminderung der Ableitung gefährlicher Stoffe in die Umwelt gelten, dem Beitrag der von Energie aus erneuerbaren Quellen bei der Umsetzung der Umwelt- und Klimaschutzziele insbesondere im Vergleich zu Anlagen, die keine erneuerbaren Energieträger nutzen, Rechnung tragen.
(45) Die Kohärenz zwischen den Zielen dieser Richtlinie und dem sonstigen Umweltrecht der Union sollte sichergestellt werden. Insbesondere sollten die Mitgliedstaaten bei Bewertungs-, Planungs- oder Zulassungsverfahren für Anlagen zur Nutzung von erneuerbarer Energie dem Umweltrecht der Union Rechnung tragen und den Beitrag berücksichtigen, den Energie aus erneuerbaren Quellen vor allem im Vergleich zu Anlagen, die nicht erneuerbare Energie nutzen, bei der Erreichung der Umwelt- und Klimaschutzziele leisten.
(46) Geothermische Energie ist eine wichtige vor Ort verfügbare erneuerbare Energiequelle, die in der Regel deutlich weniger Emissionen verursacht als fossile Brennstoffe, und bestimmte Arten von Geothermalkraftwerken verursachen nahezu keine Emissionen. Aufgrund bestimmter geologischer Gegebenheiten können bei der Produktion geothermischer Energie jedoch in bestimmten Gebieten aus unterirdischen Fluiden und anderen geologischen Formationen im Untergrund Treibhausgase und andere Stoffe freigesetzt werden, die gesundheits- und umweltschädlich sind. Deshalb sollte die Nutzung geothermischer Energie von der Kommission nur erleichtert werden, wenn die damit verbundenen Auswirkungen auf die Umwelt gering sind und im Vergleich zu nicht erneuerbaren Quellen Treibhausgaseinsparungen erzielt werden.
(47) Auf nationaler, regionaler und gegebenenfalls auch lokaler Ebene haben Vorschriften und Verpflichtungen in Bezug auf Mindestanforderungen an die Nutzung von Energie aus erneuerbaren Quellen in neuen und renovierten Gebäuden den Einsatz von Energie aus erneuerbaren Quellen erheblich gesteigert. Diese Maßnahmen sollten in der Union in einem größeren Zusammenhang gefördert werden; gleichzeitig sollte über Bauvorschriften und Regelwerke in Verbindung mit Energieeinspar- und Energieeffizienzmaßnahmen darauf hingewirkt werden, dass energieeffizientere Formen der Nutzung von Energie aus erneuerbaren Quellen Verbreitung finden.
(48) Um die Festlegung von Mindestwerten für die Nutzung von Energie aus erneuerbaren Quellen in Gebäuden zu erleichtern und zu beschleunigen, sollte die Berechnung dieser Mindestwerte für neue Gebäude und bestehende Gebäude, die einer größeren Renovierung unterzogen werden, eine ausreichende Grundlage bieten, um beurteilen zu können, ob die Einbeziehung von Mindestwerten für erneuerbare Energie technisch machbar, zweckmäßig und wirtschaftlich tragbar ist. Die Mitgliedstaaten sollten unter anderem gestatten, dass effiziente Fernwärme- und Fernkältesysteme sowie - bei Fehlen von Fernwärme- und Fernkältesystemen - andere Energieinfrastrukturen genutzt werden, um diese Anforderungen zu erfüllen.
(49) Um zu gewährleisten, dass die nationalen Maßnahmen für die Entwicklung der Wärme- und Kälteerzeugung aus erneuerbaren Energiequellen auf einer umfassenden Ermittlung und Analyse des nationalen Potenzials von erneuerbarer Energie und Abwärme basieren und eine stärkere Integration von erneuerbarer Energie - durch Förderung von unter anderem innovativen Technologien wie Wärmepumpen, geothermischen und solarthermischen Technologien - sowie von Abwärme und -kälte vorsehen, sollten die Mitgliedstaaten dazu verpflichtet werden, eine Bewertung des nationalen Potenzials von Energie aus erneuerbaren Quellen und der Nutzung von Abwärme und -kälte im Wärme- und Kältesektor durchzuführen, insbesondere um die durchgängige Einbeziehung von Energie aus erneuerbaren Quellen bei Wärme- und Kälteanlagen zu erleichtern und eine wettbewerbsfähige und effiziente Fernwärme- und Fernkälteversorgung zu fördern. Zur Gewährleistung der Kohärenz mit den Anforderungen im Bereich der Energieeffizienz von Wärme- und Kälteanlagen und zur Verringerung des Verwaltungsaufwands sollte diese Bewertung im Rahmen der umfassenden Bewertungen erfolgen, die gemäß Artikel 14 der Richtlinie 2012/27/EU des Europäischen Parlaments und des Rates 12 durchzuführen und mitzuteilen sind.
(50) Es hat sich gezeigt, dass der Einsatz von Energie aus erneuerbaren Quellen durch das Fehlen transparenter Regeln und mangelnde Koordinierung zwischen den verschiedenen Genehmigungsstellen behindert wird. Wenn Antragstellern während des Verwaltungsverfahrens im Hinblick auf die Beantragung und die Erteilung der Genehmigung über eine Anlaufstelle für Verwaltungsangelegenheiten Beratung angeboten würde, soll dies dazu führen das Verfahren für den Projektentwickler, aber auch für Eigenversorger im Bereich erneuerbare Elektrizität und für Erneuerbare-Energie-Gemeinschaften weniger kompliziert sowie effizienter und transparenter zu gestalten. Die Beratung hat unter Berücksichtigung der besonderen Gegebenheiten der Mitgliedstaaten auf einer geeigneten Verwaltungsebene zu erfolgen. Die zentralen Anlaufstellen sollten Antragsteller während des gesamten Verwaltungsverfahrens als Berater zur Seite stehen und unterstützen, sodass sich die Antragsteller, um das Verfahren zur Genehmigungserteilung zum Abschluss zu bringen, an keine weiteren Verwaltungsstellen wenden müssen, sofern sie dies nicht bevorzugen.
(51) Langwierige Verwaltungsverfahren stellen eine große administrative Hürde dar und verursachen erhebliche Kosten. Durch die Vereinfachung der Verwaltungsverfahren zur Genehmigungserteilung und eindeutige Fristen für die Entscheidungen über die Ausstellung der Genehmigung für die Stromerzeugungsanlage, die die zuständigen Behörden auf der Grundlage eines vollständigen Antrags treffen, sollte ein effizienterer Ablauf der Verfahren und somit ein Rückgang der Verwaltungskosten erreicht werden. Damit Projektentwickler und Bürger, die in erneuerbare Energie investieren möchten, die Verfahren leichter verstehen können, sollte ein Verfahrenshandbuch zur Verfügung gestellt werden. Um darauf hinzuwirken, dass erneuerbare Energie gemäß den Zielen dieser Richtlinie von Kleinst-, kleinen und mittleren Unternehmen sowie einzelnen Bürgern in größerem Umfang genutzt wird, sollten für die Beantragung eines Netzzugangs bei der zuständigen Stelle Verfahren der einfachen Mitteilung eingeführt werden, wenn es sich um kleine Projekte im Bereich erneuerbare Energie, einschließlich dezentraler Anlagen wie Solaranlagen auf Gebäuden, handelt. Um auf den wachsenden Bedarf am Repowering bestehender Anlagen für erneuerbare Energie zu reagieren, sollten gestraffte Verfahren zur Genehmigungserteilung vorgesehen werden. Diese Richtlinie, insbesondere die Bestimmungen über die Organisation und die Dauer der Verwaltungsverfahren zur Genehmigungserteilung, sollte unbeschadet des Völkerrechts und des Unionsrechts, einschließlich der Bestimmungen zum Schutz von Umwelt und Gesundheit, gelten. In durch außergewöhnliche Umstände hinreichend begründenden Fällen, sollten die ursprünglich vorgesehenen Fristen um bis zu einem Jahr verlängert werden dürfen.
(52) Informations- und Ausbildungsdefizite, insbesondere im Wärme- und im Kältesektor, sollten im Interesse der Förderung des Einsatzes von Energie aus erneuerbaren Quellen beseitigt werden.
(53) Soweit der Zugang zum Beruf des Installateurs und dessen Ausübung den Regeln für reglementierte Berufe unterliegen, sind die Bedingungen für die Anerkennung der Berufsqualifikationen in der Richtlinie 2005/36/EG des Europäischen Parlaments und des Rates 13 festgelegt. Die Anwendung der vorliegenden Richtlinie berührt deshalb nicht die Richtlinie 2005/36/EG.
(54) Wenngleich in der Richtlinie 2005/36/EG Anforderungen an die wechselseitige Anerkennung von Berufsqualifikationen, auch für Architekten, festgelegt sind, muss weiterhin gewährleistet werden, dass Architekten und Planer die optimale Verbindung von erneuerbarer Energie und effizienzsteigernden Technologien in ihren Plänen und Entwürfen gebührend berücksichtigen. Die Mitgliedstaaten sollten in dieser Hinsicht daher klare Empfehlungen vorgeben. Dies sollte unbeschadet der Richtlinie 2005/36/EG, insbesondere von deren Artikeln 46 und 49, geschehen.
(55) Herkunftsnachweise, die für die Zwecke dieser Richtlinie ausgestellt werden, dienen ausschließlich dazu, einem Endkunden gegenüber zu zeigen, dass ein bestimmter Anteil oder eine bestimmte Menge an Energie aus erneuerbaren Quellen produziert wurde. Ein Herkunftsnachweis kann, unabhängig von der Energie, auf die er sich bezieht, von einem Inhaber auf einen anderen übertragen werden. Um sicherzustellen, dass eine Einheit erneuerbare Energie einem Kunden gegenüber nur einmal ausgewiesen werden kann, sollte jedoch eine Doppelzählung und doppelte Ausweisung von Herkunftsnachweisen vermieden werden. Energie aus erneuerbaren Quellen, deren begleitender Herkunftsnachweis vom Produzenten separat verkauft wurde, sollte gegenüber dem Endkunden nicht als Energie aus erneuerbaren Quellen ausgewiesen oder verkauft werden. Es ist wichtig, dass zwischen grünen Zertifikaten, die für Förderregelungen genutzt werden, und Herkunftsnachweisen unterschieden wird.
(56) Es sollte ermöglicht werden, dass der Verbrauchermarkt für erneuerbare Elektrizität einen Beitrag zur Entwicklung im Bereich Energie aus erneuerbaren Quellen leistet. Daher sollten die Mitgliedstaaten von Elektrizitätsversorgern, die gemäß dem Unionsrecht über den Elektrizitätsbinnenmarkt gegenüber Endkunden ihren Energiemix ausweisen oder die Energie mit Verweis auf den Verbrauch von Energie aus erneuerbaren Quellen an Verbraucher vermarkten, verlangen, dass sie Herkunftsnachweise von Anlagen zur Produktion von Energie aus erneuerbaren Quellen verwenden.
(57) Es ist wichtig, darüber zu informieren, wie die geförderte Elektrizität den Endkunden zugewiesen wird. Um die Qualität dieser den Verbrauchern bereitgestellten Informationen zu verbessern, sollten die Mitgliedstaaten gewährleisten, dass für alle Einheiten produzierter erneuerbarer Energie Herkunftsnachweise ausgestellt werden, es sei denn, sie beschließen, Produzenten, die auch finanzielle Förderung erhalten, keine Herkunftsnachweise auszustellen. Wenn Mitgliedstaaten beschließen, Herkunftsnachweise Produzenten auszustellen, die finanzielle Förderung erhalten, oder wenn sie beschließen, diese Nachweise Produzenten nicht direkt auszustellen, sollten sie die Möglichkeit haben, selbst zu entscheiden, mit welchen Mitteln und über welche Mechanismen der Marktwert dieser Herkunftsnachweise berücksichtigt werden soll. Wenn Produzenten von erneuerbarer Energie bereits finanziell gefördert werden, sollte der Marktwert der Herkunftsnachweise für die betreffende Produktion im Rahmen der betreffenden Förderregelung angemessen berücksichtigt werden.
(58) Mit der Richtlinie 2012/27/EU wurden Herkunftsnachweise eingeführt, um die Herkunft von Elektrizität aus hocheffizienten Kraft-Wärme-Kopplungsanlagen zu belegen. Jedoch ist für diese Herkunftsnachweise keine Verwendung vorgeschrieben, sodass sie auch als Beleg für die Verwendung von Energie aus hocheffizienter Kraft-Wärme-Kopplung verwendet werden könnten.
(59) Herkunftsnachweise, die derzeit für erneuerbare Elektrizität bestehen, sollten auch auf Gas aus erneuerbaren Quellen ausgeweitet werden. Die Mitgliedstaaten sollten die Möglichkeit haben, das System der Herkunftsnachweise auch auf Energie aus nicht erneuerbaren Quellen auszudehnen. Dies würde eine einheitliche Nachweisführung für die Herkunft von Gas aus erneuerbaren Quellen wie Biomethan gegenüber dem Endkunden ermöglichen und einen intensiveren länderübergreifenden Handel mit solchem Gas erleichtern. Ferner würde die Einführung von Herkunftsnachweisen für anderes Gas aus erneuerbaren Quellen wie Wasserstoff ermöglicht.
(60) Die Einbindung von Energie aus erneuerbaren Quellen in das Übertragungs- und Verteilernetz und der Einsatz von Systemen zur Energiespeicherung für die integrierte variable Gewinnung zur Verfügung stehender Energie aus erneuerbaren Quellen müssen unterstützt werden, insbesondere hinsichtlich der Bestimmungen für die Einspeisung in das Netz und den Netzzugang. Der Rahmen für die Einbindung von erneuerbarer Elektrizität wird durch anderes Unionsrecht mit Bezug zum Elektrizitätsbinnenmarkt geschaffen. Dieser Rahmen sieht jedoch keine Bestimmungen für die Einspeisung von Gas aus erneuerbaren Energiequellen in das Erdgasnetz vor. Daher ist es angezeigt, sie in diese Richtlinie aufzunehmen.
(61) Es ist anerkannt, welche Möglichkeiten Innovation und eine nachhaltige, wettbewerbsfördernde Energiepolitik für das Wirtschaftswachstum bieten. Die Produktion von Energie aus erneuerbaren Quellen ist oft von den vor Ort oder in der Region angesiedelten KMU abhängig. Durch Investitionen in die lokale und regionale Produktion von Energie aus erneuerbaren Quellen ergeben sich in den Mitgliedstaaten und ihren Regionen beträchtliche Chancen für die Entwicklung lokaler Unternehmen, nachhaltiges Wachstum und die Entstehung hochwertiger Arbeitsplätze. Deshalb sollten die Kommission und die Mitgliedstaaten nationale und regionale Entwicklungsmaßnahmen in diesen Bereichen unterstützen und fördern, den Austausch bewährter Verfahren für die Produktion von Energie aus erneuerbaren Quellen zwischen lokalen und regionalen Entwicklungsinitiativen anregen und das Angebot an technischer Hilfe und Schulungsprogrammen ausbauen, um die rechtliche, technische und finanzielle Sachkompetenz vor Ort zu verstärken und die Kenntnisse über Finanzierungsmöglichkeiten, auch in Bezug auf einen gezielteren Einsatz von Unionsmitteln wie Mitteln der Kohäsionspolitik in diesem Bereich, zu verbessern.
(62) Die Ziele, die regionale und lokale Gebietskörperschaften für erneuerbare Energieträger festlegen, sind häufig ambitionierter als die Ziele auf nationaler Ebene. Das von der lokalen und regionalen Ebene ausgehende Engagement für die Erschließung von erneuerbarer Energie und mehr Energieeffizienz wird zurzeit von Netzen wie dem Bürgermeisterkonvent und der Initiative für intelligente Städte bzw. intelligente Gemeinden und durch die Ausarbeitung von Aktionsplänen für nachhaltige Energie unterstützt. Solche Netze sind unentbehrlich und sollten ausgebaut werden, da sie zur Sensibilisierung beitragen und den Austausch bewährter Verfahren und den Zugang zu verfügbarer finanzieller Förderung erleichtern. In diesem Zusammenhang sollte die Kommission interessierte innovative Regionen und lokale Behörden bei grenzüberschreitenden Vorhaben unterstützen, indem sie bei der Einrichtung von Kooperationsmechanismen Hilfe leistet - wie im Fall des Europäischen Verbunds für territoriale Zusammenarbeit, der öffentlichen Stellen verschiedener Mitgliedstaaten ermöglicht, Teams zu bilden, gemeinsam Leistungen zu erbringen und Projekte umzusetzen, ohne dass dazu vorab ein internationales Abkommen unterzeichnet und von den nationalen Parlamenten ratifiziert werden muss. Andere innovative Maßnahmen, wie Energieleistungsverträge und Normungsverfahren im Bereich der öffentlichen Finanzierung, sollten auch erwogen werden um Anreize für mehr Investitionen in neue Technologien zu schaffen.
(63) Bei der Förderung der Entwicklung des Marktes für Energie aus erneuerbaren Quellen müssen die positiven Auswirkungen auf regionale und lokale Entwicklungsmöglichkeiten, Exportchancen, sozialen Zusammenhalt und Beschäftigungsmöglichkeiten, besonders für KMU und unabhängige Energieproduzenten, darunter Eigenversorger im Bereich erneuerbare Elektrizität und Erneuerbare-Energie-Gemeinschaften, berücksichtigt werden.
(64) Der besonderen Situation der Regionen in äußerster Randlage wird in Artikel 349 AEUV Rechnung getragen. Der Energiesektor ist in den Regionen in äußerster Randlage häufig durch Isolation, beschränkte Versorgung und Abhängigkeit von fossilen Brennstoffen gekennzeichnet, obwohl diese Regionen über bedeutende lokale Quellen erneuerbarer Energie verfügen. Die Regionen in äußerster Randlage könnten somit als Beispiele für die Anwendung innovativer Energietechnologien für die Union dienen. Aus diesem Grund ist es erforderlich, die Verbreitung von erneuerbarer Energie zu fördern, damit für diese Regionen ein höheres Maß an Energieautonomie erreicht und ihrer speziellen Situation hinsichtlich des Potenzials im Bereich erneuerbare Energie sowie des Bedarfs an öffentlicher Förderung Rechnung getragen wird. Es sollte eine Ausnahmebestimmung von begrenzter lokaler Wirkung vorgesehen werden, die den Mitgliedstaaten gestattet, spezifische Kriterien festzulegen, damit der Verbrauch bestimmter Kraftstoffe aus Biomasse finanziell gefördert werden kann. Die Mitgliedstaaten sollten solche spezifischen Kriterien für Anlagen, die Kraftstoffe aus Biomasse verwenden und sich in einer Region in äußerster Randlage im Sinne des Artikels 349 AEUV befinden, sowie für Biomasse, die in den solchen Anlagen als Brennstoff verwendet wird und die harmonisierten Kriterien dieser Richtlinie für Nachhaltigkeit, Energieeffizienz und Treibhausgaseinsparungen nicht erfüllt, festlegen können. Diese spezifischen Kriterien für Biomasse-Brennstoffe sollten unabhängig davon gelten, ob die betreffende Biomasse ihren Ursprung in einem Mitgliedstaat oder einem Drittland hat. Ferner sollten alle spezifischen Kriterien aus Gründen der Energieunabhängigkeit der betreffenden Region in äußerster Randlage, und aus Gründen der Gewährleistung eines reibungslosen Übergangs einer solchen Region in äußerster Randlage zu den Kriterien dieser Richtlinie für Nachhaltigkeit, Energieeffizienz und Treibhausgaseinsparungen, objektiv gerechtfertigt sein.
Da der Energiemix für die Stromerzeugung in Regionen in äußerster Randlage im Grunde zu einem großen Teil aus Heizöl besteht, ist es notwendig, eine angemessene Prüfung der Kriterien für Treibhausgaseinsparungen in diesen Regionen zuzulassen. Daher wäre es angemessen, für den in den Regionen in äußerster Randlage produzierten Strom einen spezifischen Vergleichswert für Fossilbrennstoffe festzulegen. Die Mitgliedstaaten sollten sicherstellen, dass die von ihnen festgelegten spezifischen Kriterien tatsächlich eingehalten werden. Schließlich sollten es die Mitgliedstaaten, unbeschadet der nach Förderregelungen in Einklang mit dieser Richtlinie gewährten Förderungen, nicht ablehnen, gemäß dieser Richtlinie bezogene Biokraftstoffe und flüssige Biobrennstoffe aufgrund anderer Nachhaltigkeitserwägungen zu berücksichtigen. Dadurch soll sichergestellt werden, dass Biokraftstoffe und flüssige Biobrennstoffe, die die harmonisierten Kriterien dieser Richtlinie erfüllen, auch im Fall der betroffenen Regionen in äußerster Randlage weiterhin von den mit dieser Richtlinie verfolgten Handelserleichterungen profitieren.
(65) Die Entwicklung dezentraler Technologien für erneuerbare Energie und für deren Speicherung sollte zu nichtdiskriminierenden Bedingungen und ohne Behinderung der Finanzierung von Infrastrukturinvestitionen ermöglicht werden. Mit dem Übergang zur dezentralisierten Energieproduktion sind viele Vorteile verbunden, beispielsweise die Nutzung vor Ort verfügbarer Energiequellen, eine bessere lokale Energieversorgungssicherheit, kürzere Transportwege und geringere übertragungsbedingte Energieverluste. Diese Dezentralisierung wirkt sich auch positiv auf die Entwicklung und den Zusammenhalt der Gemeinschaft aus, weil vor Ort Erwerbsquellen und Arbeitsplätze entstehen.
(66) Da die Eigenversorgung mit erneuerbarer Elektrizität an Bedeutung gewinnt, sollten die Begriffe "Eigenversorger im Bereich erneuerbare Elektrizität" und "gemeinsam handelnde Eigenversorger im Bereich erneuerbare Elektrizität" definiert werden. Es sollte außerdem ein Rechtsrahmen geschaffen werden, der es Eigenversorgern ermöglicht, Elektrizität ohne unverhältnismäßig hohe Belastungen zu erzeugen, zu speichern, zu verbrauchen und zu verkaufen. Beispielsweise sollten in Wohnungen lebende Bürgerinnen und Bürger in gleichem Umfang von der Stärkung der Verbraucher profitieren können wie Haushalte in Einfamilienhäusern. Da allerdings einzeln und gemeinsam handelnde Eigenversorger im Bereich erneuerbare Elektrizität unterschiedliche Eigenschaften aufweisen, sollten die Mitgliedstaaten zwischen einzeln und gemeinsam handelnden Eigenversorgern differenzieren dürfen, soweit eine solche Differenzierung verhältnismäßig und hinreichend begründet ist.
(67) Für Erneuerbare-Energie-Gemeinschaften ergeben sich durch die Stärkung gemeinsam handelnder Eigenversorger im Bereich erneuerbare Elektrizität auch Möglichkeiten, die Energieeffizienz auf Ebene der Privathaushalte zu verbessern und - durch Senkung des Verbrauchs und niedrigere Versorgungstarife - Energiearmut zu beseitigen. Die Mitgliedstaaten sollten diese Gelegenheit angemessen nutzen, indem sie unter anderem prüfen, ob die Teilnahme auch Haushalten ermöglicht werden sollte, die dazu andernfalls nicht in der Lage wären, wie unter anderem bedürftige Verbraucher und Mieter.
(68) Eigenversorger im Bereich erneuerbare Elektrizität sollten keine diskriminierenden oder unverhältnismäßigen Lasten und Kosten zu tragen haben, und ihnen sollten keine ungerechtfertigten Umlagen und Abgaben auferlegt werden. Ihr Beitrag zur Verwirklichung des Klimaschutz- und Energieziels sowie die Kosten und Nutzen, die sie für das Energiesystem im weiteren Sinne mit sich bringen, sollten berücksichtigt werden. Deshalb sollten die Mitgliedstaaten grundsätzlich keine Umlagen und Abgaben auf erneuerbare Elektrizität, die Eigenversorger am selben Ort produziert und verbrauchen, erheben. Es sollte den Mitgliedstaaten jedoch gestattet sein, nichtdiskriminierende, verhältnismäßige Umlagen und Abgaben auf diese Elektrizität zu erheben und die Förderung damit auf die objektiv notwendige Höhe zu beschränken, wenn das notwendig ist, um die finanzielle Tragfähigkeit des Stromsystems sicherzustellen und ihre Förderregelungen effizient zum Einsatz zu bringen. Gleichzeitig sollten die Mitgliedstaaten dafür sorgen, dass Eigenversorger im Bereich erneuerbare Elektrizität, wenn Strom ins Netz eingespeist wird, ausgewogen und angemessen an den mit der Produktion, der Verteilung und dem Verbrauch von Strom verbundenen Gesamtkosten beteiligt werden.
(69) Aus diesen Gründen sollten die Mitgliedstaaten auf von Eigenversorgern am selben Ort produzierte und verbrauchte erneuerbare Elektrizität grundsätzlich keine Umlagen und Abgaben erheben. Damit die finanzielle Tragfähigkeit von Förderregelungen für erneuerbare Energie durch diesen Anreiz nicht beeinträchtigt wird, kann seine Anwendung auf kleine Anlagen mit einer Stromerzeugungskapazität bis 30 kW beschränkt werden. Wenn sie ihre Förderregelungen effizient zum Einsatz bringen und zu ihren Förderregelungen diskriminierungsfrei und effektiv Zugang besteht, sollten die Mitgliedstaaten Eigenversorgern im Bereich erneuerbare Elektrizität für die von dieser verbrauchten Elektrizität in bestimmten Fällen Umlagen und Abgaben auferlegen können. Die Mitgliedstaaten sollten bis zu der Höhe, die notwendig ist, um die wirtschaftliche Tragfähigkeit entsprechender Projekte sicherzustellen, teilweise Befreiungen von Umlagen, Abgaben, oder eine Kombination aus beidem und Förderung gewähren dürfen.
(70) Dass sich Bürgerinnen und Bürger vor Ort und lokale Behörden im Rahmen von Erneuerbare-Energie-Gemeinschaften an Projekten im Bereich erneuerbare Energie beteiligen, hat einen erheblichen Mehrwert gebracht, was die Akzeptanz erneuerbarer Energie und den Zugang zu zusätzlichem Privatkapital vor Ort anbelangt; das führt dazu, dass vor Ort investiert wird, Verbraucher mehr Auswahl haben und Bürgerinnen und Bürger stärker an der Energiewende teilhaben. Dieses Engagement vor Ort wird vor dem Hintergrund wachsender Kapazitäten im Bereich erneuerbare Energie in Zukunft umso wichtiger. Mit Maßnahmen, die es Erneuerbare-Energien-Gemeinschaften ermöglichen, zu gleichen Bedingungen mit anderen Produzenten zu konkurrieren, wird auch bezweckt, dass sich Bürgerinnen und Bürger vor Ort vermehrt an Projekten im Bereich erneuerbare Energie beteiligen und somit erneuerbare Energie zunehmend akzeptiert wird.
(71) Die Besonderheiten der lokalen Erneuerbare-Energie-Gemeinschaften hinsichtlich Größe, Eigentümerstruktur und Zahl der Projekte können dazu führen, dass sie mit größeren Akteuren, d. h. Konkurrenten mit größeren Projekten oder Portfolios, nicht auf Augenhöhe konkurrieren können. Daher sollten die Mitgliedstaaten für Erneuerbare-Energie-Gemeinschaften jede Form der Rechtspersönlichkeit wählen können, solange diese in ihrem eigenen Namen Rechte ausüben und Pflichten unterliegen können. Um Missbrauch zu unterbinden und eine starke Beteiligung zu gewährleisten, sollten Erneuerbare-Energie-Gemeinschaften von den einzelnen Mitgliedern und anderen an der Gemeinschaft als Mitglied oder Anteilseigner beteiligten oder anderweitig, beispielsweise in Form von Investitionen, mit ihnen zusammenarbeitenden herkömmlichen Marktteilnehmern unabhängig bleiben können. Die Teilnahme an Projekten im Bereich erneuerbare Energie sollte auf Grundlage objektiver, transparenter und nichtdiskriminierender Kriterien allen potenziellen Mitgliedern vor Ort offen stehen. Zu den Maßnahmen zum Ausgleich der Nachteile aus den Besonderheiten der lokalen Erneuerbare-Energie-Gemeinschaften hinsichtlich Größe, Eigentümerstruktur und Zahl der Projekte gehört es, den Energiegemeinschaften die Tätigkeit im Energiesystem zu ermöglichen und ihre Marktintegration zu erleichtern. Erneuerbare-Energie-Gemeinschaften sollten in der Lage sein, in den eigenen Anlagen produzierte Energie gemeinsam zu nutzen. Die Mitglieder der Gemeinschaften sollten jedoch nicht von einschlägigen Kosten, Umlagen, Abgaben und Steuern befreit sein, die nicht an der Gemeinschaft beteiligte Endverbraucher oder Produzenten in vergleichbarer Lage oder immer dann zu tragen hätten, wenn öffentliche Netzinfrastruktur für diese Übertragungen genutzt wird.
(72) Privathaushalte und Gemeinschaften, die Eigenversorger im Bereich erneuerbare Elektrizität sind, sollten ihre Rechte als Verbraucher behalten, darunter auch das Recht, mit dem Versorger ihrer Wahl einen Vertrag zu schließen und den Versorger zu wechseln.
(73) Der Wärme- und Kältesektor macht rund die Hälfte des Endenergieverbrauchs der Union aus und gilt damit als Schlüsselsektor für die beschleunigte Dekarbonisierung des Energiesystem. Darüber hinaus ist sie auch für die Energiesicherheit ein strategisch wichtiger Sektor, da Schätzungen zufolge bis 2030 rund 40 % des Verbrauchs erneuerbarer Energie auf die Erzeugung von Wärme und Kälte aus erneuerbaren Energiequellen entfallen werden. Jedoch haben das Fehlen einer harmonisierten Strategie auf Unionsebene, die mangelnde Internalisierung externer Kosten und die Fragmentierung der Märkte für Wärme- und Kälteerzeugung dazu geführt, dass in diesem Bereich bisher nur relativ langsam Fortschritte erzielt wurden.
(74) Mehrere Mitgliedstaaten haben Maßnahmen im Wärme- und Kältesektor umgesetzt, um ihr Ziel im Bereich erneuerbare Energie bis 2020 zu erreichen. In Ermangelung verbindlicher nationaler Ziele für die Zeit nach 2020 reichen die verbleibenden nationalen Anreize jedoch möglicherweise nicht aus, um die langfristigen Dekarbonisierungsziele für 2030 und 2050 zu verwirklichen. Um diese Zielvorgaben einzuhalten, die Investitionssicherheit zu stärken und die Entwicklung eines unionsweiten Marktes für Wärme- und Kälteerzeugung aus erneuerbaren Energiequellen zu fördern und gleichzeitig den Grundsatz "Energieeffizienz an erster Stelle" zu achten, sollten die Mitgliedstaaten in ihren Bestrebungen, Wärme und Kälte aus erneuerbaren Quellen bereitzustellen und damit einen Beitrag zur schrittweisen Erhöhung des Anteils erneuerbarer Energie zu leisten, bestärkt werden. Angesichts der Fragmentierung einiger Märkte für Wärme- und Kälteerzeugung muss im Hinblick auf die Konzipierung dieser Bestrebungen unbedingt für Flexibilität gesorgt werden. Des Weiteren muss gewährleistet werden, dass eine potenzielle Nutzung von Wärme und Kälte aus erneuerbaren Quellen keine nachteiligen Folgen für die Umwelt hat oder zu unverhältnismäßig hohen Gesamtkosten führt. Um dies möglichst weitgehend zu verhindern, sollte bei der Erhöhung des Anteils der im Wärme- und Kältesektor eingesetzten erneuerbaren Energie die Lage der Mitgliedstaaten, in denen dieser Anteil bereits sehr hoch ist oder in denen Abwärme und -kälte gar nicht genutzt wird, wie etwa in Zypern und Malta, berücksichtigt werden.
(75) Auf Fernwärme und -kälte entfallen derzeit rund 10 % des Wärmebedarfs in der Union, wobei zwischen den Mitgliedstaaten große Unterschiede bestehen. In ihrer Strategie für die Wärme- und Kälteerzeugung erkennt die Kommission das Dekarbonisierungspotenzial der Fernwärme durch erhöhte Energieeffizienz und Nutzung erneuerbarer Energie an.
(76) In der Strategie für die Energieunion wird ferner die Rolle der Bürgerinnen und Bürger bei der Energiewende gewürdigt, wobei sie die Verantwortung für die Umstellung des Energiesystems übernehmen, mithilfe neuer Technologien ihre Energierechnungen senken und sich aktiv am Markt beteiligen.
(77) Die potenziellen Synergien zwischen den Bemühungen um eine gesteigerte Nutzung erneuerbarer Energiequellen für die Wärme- und Kälteerzeugung und den bestehenden Regelungen im Rahmen der Richtlinie 2010/31/EU des Europäischen Parlaments und des Rates 14, und der Richtlinie 2012/27/EU sollten hervorgehoben werden. Die Mitgliedstaaten sollten - soweit möglich - bestehende Verwaltungsstrukturen für die Umsetzung solcher Maßnahmen nutzen können, um den Verwaltungsaufwand zu verringern.
(78) Auf dem Gebiet der Fernwärme ist es daher von entscheidender Bedeutung, die Umstellung auf Energie aus erneuerbaren Quellen zu ermöglichen sowie Lockin- und Lockout-Effekte im rechtlichen und technologischen Bereich zu verhindern, indem die Rechte der Produzenten und Endverbraucher von erneuerbarer Energie gestärkt werden; außerdem sollte den Endverbrauchern das Rüstzeug an die Hand gegeben werden, um ihnen die Wahl der Lösung mit der höchsten Gesamtenergieeffizienz, die dem künftigen Wärme- und Kältebedarf in Einklang mit den voraussichtlichen Kriterien für die Energieeffizienz von Gebäuden Rechnung trägt, zu erleichtern. Den Endverbrauchern sollten transparente und zuverlässige Informationen über die Effizienz des Fernwärme- und -kältesystems und den Anteil, der bei ihrer speziellen Wärme- oder Kälteversorgung auf Energie aus erneuerbaren Quellen entfällt, zur Verfügung gestellt werden.
(79) Zum Schutz von Verbrauchern von Fernwärme- und -kältesystemen, die keine effizienten Fernwärme- und -kältesysteme sind, und um es ihnen zu ermöglichen, Wärme oder Kälte aus erneuerbaren Quellen und mit erheblich besserer Gesamtenergieeffizienz selbst produzieren zu können, sollten sie das Recht haben, ineffiziente Fernwärme- oder -kältesysteme auf Ebene des gesamten Gebäudes zu verlassen, d. h. diese Versorgungsdienste nicht länger in Anspruch zu nehmen, indem sie den Vertrag kündigen, oder, wenn der Vertrag für mehrere Gebäude gilt, indem sie den Vertrag mit dem Betreiber des Fernwärme- oder -kältesystems ändern.
(80) Um die Umstellung auf fortschrittliche Biokraftstoffe vorzubereiten und die Gesamtfolgen direkter und indirekter Landnutzungsänderungen möglichst gering zu halten, sollte die Menge der aus Getreide und anderen Kulturpflanzen mit hohem Stärkegehalt, Zuckerpflanzen und Ölpflanzen produzierten Biokraftstoffe und flüssigen Biobrennstoffe, die auf die in dieser Richtlinie festgelegten Ziele angerechnet werden kann, begrenzt werden, ohne die Möglichkeit der Verwendung dieser Biokraftstoffe und flüssigen Biobrennstoffe generell einzuschränken. Die Festlegung eines Grenzwerts auf Unionsebene sollte die Mitgliedstaaten nicht daran hindern, für die Menge der aus Getreide und anderen Kulturpflanzen mit hohem Stärkegehalt, Zuckerpflanzen und Ölpflanzen produzierten Biokraftstoffe und flüssigen Biobrennstoffe, die auf nationaler Ebene auf die in dieser Richtlinie festgelegten Ziele angerechnet werden kann, niedrigere Grenzwerte vorzusehen, wobei es ihnen nicht erlaubt sein sollte, die Möglichkeit der Verwendung dieser Biokraftstoffe und flüssigen Biobrennstoffe generell einzuschränken.
(81) Mit der Richtlinie 2009/28/EG wurde eine Reihe von Nachhaltigkeitskriterien eingeführt, die auch Kriterien zum Schutz von Flächen mit hohem Wert hinsichtlich der biologischen Vielfalt und von Flächen mit hohem Kohlenstoffbestand einschließen; das Problem indirekter Landnutzungsänderungen wird von dieser Richtlinie allerdings nicht erfasst. Bei indirekten Landnutzungsänderungen wird der herkömmliche Anbau von Pflanzen für die Lebensmittel- und Futtermittelproduktion durch den Anbau von Pflanzen für Biokraftstoffe, flüssige Biobrennstoffe und Biomasse-Brennstoffe verdrängt. Die zusätzliche Nachfrage kann den Druck auf die Flächen verschärfen und dazu führen, dass landwirtschaftliche Nutzflächen auf Gebiete mit hohem Kohlenstoffbestand, wie Wälder, Feuchtgebiete und Torfmoorflächen ausgedehnt werden und dadurch zusätzliche Treibhausgasemissionen entstehen. In der Richtlinie (EU) 2015/1513 des Europäischen Parlaments und des Rates 15 wird festgestellt, dass die Treibhausgasemissionen infolge indirekter Landnutzungsänderungen die Treibhausgaseinsparungen einzelner Biokraftstoffe, flüssiger Biobrennstoffe oder Biomasse-Brennstoffe aufgrund ihrer Größenordnung ganz oder teilweise aufheben können. Indirekte Landnutzungsänderungen sind zwar mit Risiken verbunden, aber Studien zeigen, dass es von vielen Faktoren abhängt, wie ausgeprägt dieser Effekt ist, unter anderem davon, welche Rohstoffe zur Produktion des Kraftstoffs verwendet werden, wie stark die Nachfrage nach dem Rohstoff durch die Nutzung von Biokraftstoffen, flüssigen Biobrennstoffen und Biomasse-Brennstoffen steigt und in welchem Umfang Flächen mit hohem Kohlenstoffbestand weltweit geschützt werden.
Da nicht eindeutig und mit dem nötigen Präzisionsgrad bestimmt werden kann, wie hoch die durch indirekte Landnutzungsänderungen bedingten Treibhausgasemissionen sind, können sie bei der Methode zur Berechnung der Treibhausgasemissionen nicht berücksichtigt werden; ein besonders hohes Risiko indirekter Landnutzungsänderungen wurde für Biokraftstoffe, flüssige Biobrennstoffe und Biomasse-Brennstoffe festgestellt, die aus Rohstoffen hergestellt werden, in deren Fall eine wesentliche Ausdehnung der Produktionsflächen auf Flächen mit hohem Kohlenstoffbestand zu beobachten ist. Deshalb sollten die aus Nahrungs- und Futtermittelpflanzen produzierten Biokraftstoffe, flüssigen Biobrennstoffe und Biomasse-Brennstoffe, die im Rahmen dieser Richtlinie gefördert werden, grundsätzlich begrenzt werden; darüber hinaus sollten die Mitgliedstaaten verpflichtet werden, für aus Nahrungs- und Futtermittelpflanzen produzierte Biokraftstoffe, flüssige Biobrennstoffe und Biomasse-Brennstoffe, in deren Fall eine wesentliche Ausdehnung der Produktionsflächen auf Flächen mit hohem Kohlenstoffbestand zu beobachten ist, einen spezifischen, schrittweise herabzusetzenden Grenzwert festzulegen. Biokraftstoffe, flüssige Biobrennstoffe und Biomasse-Brennstoffe mit einem geringen Risiko indirekter Landnutzungsänderungen sollten von dem spezifischen, schrittweise herabzusetzenden Grenzwert ausgenommen werden.
(82) Ertragssteigerungen in den landwirtschaftlichen Sektoren, die durch verbesserte Landbewirtschaftungsmethoden, Investitionen in bessere Maschinen und Wissenstransfers erreicht werden, und die über dem Niveau liegen, das ohne produktivitätsfördernde Systeme für aus Nahrungs- und Futtermittelpflanzen produzierte Biokraftstoffe, flüssige Biobrennstoffe und Biomasse-Brennstoffe erreichbar wäre, sowie der Anbau von Pflanzen auf Flächen, die zuvor nicht für den Anbau von Pflanzen genutzt wurden, können indirekte Landnutzungsänderungen vermindert. Wenn es Hinweise dafür gibt, dass solche Maßnahmen zu einer über die erwartete Verbesserung hinausgehenden Steigerung der Produktivität geführt haben, sollten die aus solchen zusätzlichen Rohstoffen produzierten Biokraftstoffe, flüssigen Biobrennstoffe und Biomasse-Brennstoffe als Biokraftstoffe, flüssige Biobrennstoffe und Biomasse-Brennstoffe mit einem geringen Risiko indirekter Landnutzungsänderungen betrachtet werden. Dabei sollte Schwankungen bei den jährlichen Erträgen Rechnung getragen werden.
(83) In der Richtlinie (EU) 2015/1513 des Europäischen Parlaments und des Rates wurde die Kommission aufgefordert, unverzüglich einen umfassenden Vorschlag für eine kosteneffiziente und technologieneutrale Strategie für die Zeit nach 2020 vorzulegen, um mit dem übergeordneten Ziel, die CO2-Emissionen im Verkehrssektor zu verringern, eine langfristige Perspektive für Investitionen in nachhaltige Biokraftstoffe zu schaffen, bei denen ein geringes Risiko indirekter Landnutzungsänderungen besteht. Eine Verpflichtung der Mitgliedstaaten, Kraftstoffanbietern einen Gesamtanteil von Energie aus erneuerbaren Quellen vorzuschreiben, kann Investitionssicherheit schaffen und die kontinuierliche Entwicklung alternativer erneuerbarer Kraftstoffe, einschließlich fortschrittlicher Biokraftstoffe, flüssiger oder gasförmiger erneuerbarer Kraftstoffe für den Verkehr nicht biogenen Ursprungs, sowie die Nutzung erneuerbarer Elektrizität im Verkehrssektor begünstigen. Da sich möglicherweise nicht alle Kraftstoffanbieter kostengünstig oder überhaupt Alternativen aus erneuerbaren Quellen beschaffen können, sollten die Mitgliedstaaten sie unterschiedlich behandeln und bei Bedarf bestimmte Kraftstoffanbieter von dieser Verpflichtung ausnehmen dürfen. Da sich Kraftstoffe leicht handeln lassen, dürften Kraftstoffanbieter in Mitgliedstaaten, die in geringem Maße über die relevanten Ressourcen verfügen, in der Lage sein, ohne weiteres Kraftstoffe erneuerbarer Herkunft anderweitig zu beziehen.
(84) Um bei nachhaltigen Kraftstoffen für Transparenz und Rückverfolgbarkeit zu sorgen, sollte eine Unionsdatenbank eingerichtet werden. Die Mitgliedstaaten sollten zwar weiterhin nationale Datenbanken nutzen oder einrichten können, aber diese Datenbanken sollten mit der Unionsdatenbank verknüpft sein, um die sofortige Übermittlung der Daten und die Harmonisierung der Datenströme sicherzustellen.
(85) Fortschrittliche Biokraftstoffe sowie andere Biokraftstoffe und Biogas, die aus den in einem Anhang zu dieser Richtlinie aufgeführten Rohstoffen hergestellt werden, flüssige oder gasförmige erneuerbare Kraftstoffe für den Verkehr nicht biogenen Ursprungs und die Nutzung erneuerbarer Elektrizität im Verkehrssektor können zu geringen CO2-Emissionen, und damit zu einer kosteneffizienten Dekarbonisierung des Verkehrssektors der Union beitragen, und, unter anderem, die Förderung von Innovation, Wachstum und Beschäftigung in der Wirtschaft der Union, die Verringerung der Abhängigkeit von Energieeinfuhren und die Diversifizierung der Energieversorgung in diesem Bereich vorantreiben. Eine Verpflichtung der Mitgliedstaaten, Kraftstoffanbietern die Gewährleistung eines Mindestanteils fortschrittlicher Biokraftstoffe und bestimmter Biogase vorzuschreiben, sollte dazu dienen, die stetige Entwicklung fortschrittlicher Kraftstoffe, einschließlich Biokraftstoffe, vorantreiben. Es ist wichtig, dafür zu sorgen, dass diese Beimischungsverpflichtung auch die Verbesserung der Treibhausgasbilanz jener Kraftstoffe fördert, die zur Einhaltung dieser Verpflichtung eingesetzt werden. Die Kommission sollte die Treibhausgasbilanz, die technische Innovativität und die Nachhaltigkeit dieser Kraftstoffe bewerten.
(86) Im Bereich der intelligenten Verkehrssysteme ist es wichtig, die Entwicklung und den Einsatz von Elektromobilität für den Straßenverkehr voranzutreiben, und die Integration fortschrittlicher Technologien in den innovativen Schienenverkehr zu beschleunigen.
(87) Ein wesentlicher Anteil der erneuerbaren Energie im Verkehrssektor wird bis zum Jahr 2030 voraussichtlich auf Elektromobilität entfallen. Angesichts der raschen Entwicklung der Elektromobilität und des Potenzials dieses Sektors für Wachstum und Beschäftigung in der Union sollten hier weitere Anreize geschaffen werden. Um dem Einsatz von erneuerbarer Elektrizität im Verkehrssektor zu fördern und den komparativen Nachteil in der Energiestatistik zu verringern, sollten auf für den Verkehrssektor bereitgestellte erneuerbarer Elektrizität Multiplikatoren angewandt werden. Da es unmöglich ist, alle für Straßenfahrzeuge bereitgestellte Elektrizität durch gezielte Messung (z.B. beim Laden zu Hause) statistisch zu erfassen, sollten Multiplikatoren angewandt werden, damit die positiven Auswirkungen des elektrifizierten, auf erneuerbarer Energie basierenden Verkehrs richtig erfasst werden. Es sollten Möglichkeiten in Erwägung gezogen werden, mit denen sichergestellt werden kann, dass die neue Nachfrage nach Elektrizität im Verkehrssektor durch zusätzliche Kapazitäten zur Erzeugung von Energie aus erneuerbaren Quellen gedeckt wird.
(88) Da bestimmte Arten von Biokraftstoffen in Zypern und Malta wegen der klimatischen Bedingungen aus ökologischen, technischen und gesundheitlichen Gründen sowie aufgrund der Größe und der Struktur des Kraftstoffmarktes nur begrenzt verwendet werden können, sollten die beiden Länder diese inhärenten Einschränkungen geltend machen dürfen, wenn sie den Nachweis erbringen, dass die für Kraftstoffanbieter geltenden nationalen Verpflichtungen zur Nutzung erneuerbarer Energie eingehalten werden.
(89) Die Förderung wiederverwerteter kohlenstoffhaltiger Kraftstoffe kann, sofern diese Kraftstoffe den angemessenen Mindestschwellenwerten für Treibhausgaseinsparungen entsprechen, ebenfalls dazu beitragen, dass die politischen Ziele bezüglich der Diversifizierung der Energieversorgung und der Dekarbonisierung des Verkehrssektors erreicht werden. Daher sollte sich die Verpflichtung der Kraftstoffanbieter auch auf diese Kraftstoffe beziehen, wobei es den Mitgliedstaaten allerdings freistehen sollte, diese Kraftstoffe im Rahmen dieser Verpflichtung nicht zu berücksichtigen. Da es sich um nicht erneuerbare Kraftstoffe handelt, sollten diese Kraftstoffe nicht auf das Gesamtziel der Union für Energie aus erneuerbaren Quellen angerechnet werden.
(90) Erneuerbare flüssige und gasförmige Kraftstoffe für den Verkehr nicht biogenen Ursprungs spielen in Sektoren, die voraussichtlich langfristig auf flüssige Kraftstoffe angewiesen sein werden, für die Steigerung des Anteils erneuerbarer Energie eine wichtige Rolle. Damit erneuerbare Kraftstoffe nicht biogenen Ursprungs tatsächlich zur Senkung der Treibhausgasemissionen beitragen, sollte bei der Kraftstoffproduktion Elektrizität aus erneuerbaren Quellen eingesetzt werden. Für den Fall, dass die verwendete Elektrizität aus dem Netz bezogen wird, sollte die Kommission durch delegierter Rechtsakte ein zuverlässiges Unionsverfahren entwickeln. Mit dem Verfahren sollte sichergestellt werden, dass die Stromproduktionseinheit, mit der der Produzent einen bilateralen Vertrag über den Bezug von erneuerbarem Strom geschlossen hat, zeitlich und geografisch mit der Kraftstoffproduktion korreliert. Beispielsweise sollten erneuerbare Kraftstoffe nicht biogenen Ursprungs nicht als uneingeschränkt erneuerbar angerechnet werden, wenn sie zu einer Zeit produziert werden, in der die unter Vertrag genommene Einheit zur Erzeugung erneuerbarer Elektrizität gar keinen Strom erzeugt. In einem weiteren Beispiel sollten Kraftstoffe bei einem Engpass im des Elektrizitätsnetzes nur dann uneingeschränkt als erneuerbar angerechnet werden können, wenn sich sowohl die Stromerzeugungs- als auch die Kraftstoffproduktionsanlage auf der gleichen Seite des Engpasses befinden. Außerdem sollte es ein Element der Zusätzlichkeit geben, das heißt, der Kraftstoffproduzent trägt zusätzlich zur Nutzung erneuerbarer Quellen oder zu deren Finanzierung bei.
(91) Rohstoffe, die sich bei der Nutzung für Biokraftstoffe nur geringfügig auf die indirekte Landnutzungsänderung auswirken, sollten aufgrund ihres Beitrags zur Dekarbonisierung der Wirtschaft gefördert werden. Insbesondere Rohstoffe für fortschrittliche Biokraftstoffe und Biogas für den Verkehr, für die innovativere, weniger ausgereifte Technologien eingesetzt werden und die aus diesem Grund eines höheren Maßes an Unterstützung bedürfen, sollten in einen Anhang dieser Richtlinie aufgenommen werden. Um zu gewährleisten, dass dieser Anhang dem neuesten Stand der technologischen Entwicklungen entspricht und dass unbeabsichtigte negative Auswirkungen vermieden werden, sollte die Kommission diesen Anhang auf seine mögliche Ausweitung auf weitere Rohstoffe überprüfen.
(92) Die Kosten für den Anschluss neuer Produzenten von Gas aus erneuerbaren Energiequellen an das Gasnetz sollten auf objektiven, transparenten und nichtdiskriminierenden Kriterien beruhen, und der Nutzen, den lokale Produzenten von Gas aus erneuerbaren Quellen für das Gasnetz bringen, sollte gebührend berücksichtigt werden.
(93) Um das Potenzial von Biomasse, mit Ausnahme von Torf und Materialien, die in geologische Formationen eingebettet und/oder fossilisiert sind, für die Verringerung der CO2-Emissionen der Wirtschaft über ihren Material- und Energieverbrauch voll auszunutzen, sollten die Union und die Mitgliedstaaten eine verstärkte nachhaltige Mobilisierung bestehender Holz- und Landwirtschaftsressourcen und die Entwicklung neuer Systeme für Waldbau und landwirtschaftliche Produktion fördern, sofern die für Nachhaltigkeit und Treibhausgaseinsparungen geltenden Kriterien erfüllt sind.
(94) Die Produktion von Biokraftstoffen, flüssigen Biobrennstoffen und Biomasse-Brennstoffen sollte stets auf nachhaltige Weise erfolgen. Biokraftstoffe, flüssige Biobrennstoffe und Biomasse-Brennstoffe, die dafür verwendet werden, das Unionsziel dieser Richtlinie zu erreichen, und jene, denen Förderregelungen zugutekommen, sollten daher Nachhaltigkeitskriterien und Kriterien für Treibhausgaseinsparungen erfüllen müssen. Die Harmonisierung dieser Kriterien für Biokraftstoffe und flüssige Biobrennstoffe ist Voraussetzung dafür, dass die in Artikel 194 Absatz 1 AEUV festgelegten energiepolitischen Ziele der Union erreicht werden. Diese Harmonisierung garantiert die Funktion des Energiebinnenmarkts und erleichtert somit, insbesondere im Hinblick auf die Verpflichtung der Mitgliedstaaten, es nicht abzulehnen, gemäß dieser Richtlinie bezogene Biokraftstoffe und flüssige Biobrennstoffe aufgrund anderer Nachhaltigkeitserwägungen zu berücksichtigen, den Handel mit konformen Biokraftstoffen und flüssigen Biobrennstoffen zwischen den Mitgliedstaaten. Die positiven Auswirkungen der Harmonisierung der vorgenannten Kriterien, was das reibungslose Funktionieren des Energiebinnenmarktes und die Verhinderung von Wettbewerbsverzerrungen in der Union anbelangt, werden sich unweigerlich einstellen. Für Biomasse-Brennstoffe sollten die Mitgliedstaaten zusätzliche Nachhaltigkeitskriterien und Kriterien für Treibhausgaseinsparungen festlegen dürfen.
(95) Die Union sollte im Rahmen dieser Richtlinie angemessene Maßnahmen ergreifen, einschließlich der Förderung von Nachhaltigkeitskriterien und Kriterien für Treibhausgaseinsparungen für Biokraftstoffe sowie für flüssige Biobrennstoffe und Biomasse-Brennstoffe.
(96) Die Produktion landwirtschaftlicher Rohstoffe für Biokraftstoffe, flüssige Biobrennstoffe und Biomasse-Brennstoffe und die durch diese Richtlinie geschaffenen Anreize für deren Nutzung sollten nicht dazu führen, dass die Zerstörung von durch biologische Vielfalt geprägten Flächen gefördert wird. Solche begrenzten Ressourcen, deren universeller Wert in verschiedenen internationalen Rechtsakten anerkannt wurde, sollten bewahrt werden. Daher müssen Nachhaltigkeitskriterien und Kriterien für Treibhausgaseinsparungen festgelegt werden, die sicherstellen, dass Biokraftstoffe, flüssige Biobrennstoffe und Biomasse-Brennstoffe nur für Anreize in Frage kommen, wenn garantiert ist, dass der landwirtschaftliche Rohstoff nicht von durch biologische Vielfalt geprägten Flächen stammt, oder wenn im Falle von Gebieten, die zu Naturschutzzwecken oder zum Schutz von seltenen, bedrohten oder gefährdeten Ökosystemen oder Arten ausgewiesen wurden, nachgewiesen wird, dass die Produktion des landwirtschaftlichen Rohstoffs solchen Zwecken nicht entgegensteht, wobei die jeweils zuständige Behörde den Nachweis zu führen hat.
(97) Wälder sollten als biologisch vielfältig im Sinne der Nachhaltigkeitskriterien eingestuft werden, wenn es sich gemäß der Definition der Ernährungs- und Landwirtschaftsorganisation der Vereinten Nationen (FAO) in ihrer globalen Waldbestandsaufnahme ("Global Forest Resource Assessment") um Primärwälder handelt oder wenn Wälder zu Naturschutzzwecken durch nationale Rechtsvorschriften geschützt sind. Gebiete, in denen forstwirtschaftliche Produkte außer Holz gesammelt werden, sollten als biologisch vielfältig eingestuft werden, sofern die menschliche Einwirkung gering ist. Andere Waldarten gemäß der Definition der Ernährungs- und Landwirtschaftsorganisation der Vereinten Nationen, wie z.B. modifizierte Naturwälder, halbnatürliche Wälder und Plantagen, sollten nicht als Primärwald eingestuft werden. Angesichts der großen biologischen Vielfalt, die bestimmte Arten von Grünland in gemäßigten wie auch in tropischen Gebieten aufweisen, einschließlich Savannen, Steppen, Buschland und Prärien mit großer biologischer Vielfalt, ist es überdies angebracht, dass Biokraftstoffe, flüssige Biobrennstoffe und Biomasse-Brennstoffe, die aus von solchen Flächen stammenden landwirtschaftlichen Rohstoffen hergestellt werden, nicht für die in dieser Richtlinie vorgesehenen Anreize in Frage kommen. Der Kommission sollten Durchführungsbefugnisse übertragen werden um geeignete Kriterien festzulegen, nach denen, im Einklang mit den besten verfügbaren wissenschaftlichen Daten und einschlägigen internationalen Standards, definiert würde, was unter Grünland mit hoher biologischer Vielfalt zu verstehen ist.
(98) Flächen sollten nicht zur Produktion von landwirtschaftlichen Rohstoffen für Biokraftstoffe, flüssige Biobrennstoffe und Biomasse-Brennstoffe umgewandelt werden, wenn der resultierende Kohlenstoffbestandsverlust nicht innerhalb einer angesichts der Dringlichkeit von Klimaschutzmaßnahmen vertretbaren Zeitspanne durch Treibhausgaseinsparung infolge der Produktion und Nutzung von Biokraftstoffen, flüssigen Biobrennstoffen und Biomasse-Brennstoffen ausgeglichen werden könnte. Dies würde den Wirtschaftsteilnehmern unnötig aufwändige Forschungsarbeiten ersparen und die Umwandlung von Flächen mit hohem Kohlenstoffbestand vermeiden, die für die Gewinnung von landwirtschaftlichen Rohstoffen für Biokraftstoffe, flüssige Biobrennstoffe und Biomasse-Brennstoffe nicht in Frage kommen. Aus Verzeichnissen der weltweiten Kohlenstoffbestände ergibt sich, dass Feuchtgebiete und kontinuierlich bewaldete Gebiete mit einem Überschirmungsgrad von über 30 % in diese Kategorie aufgenommen werden sollten.
(99) Im Rahmen der Gemeinsamen Agrarpolitik sollten die Landwirte der Union ein umfassendes Paket von Umweltschutzanforderungen einhalten, um Direktzahlungen zu erhalten. Die Einhaltung dieser Anforderungen kann am wirksamsten im Rahmen der Agrarpolitik überprüft werden. Ihre Aufnahme in die Nachhaltigkeitsregelung ist nicht sinnvoll, da mit den Nachhaltigkeitskriterien für Bioenergie Bestimmungen festgelegt werden sollten, die objektiv und allgemeingültig sind. Eine Überprüfung der Einhaltung der Vorschriften im Rahmen dieser Richtlinie würde außerdem unnötigen Verwaltungsaufwand verursachen.
(100) Zur Produktion landwirtschaftlicher Rohstoffe für die Produktion von Biokraftstoffen, flüssigen Biobrennstoffen und Biomasse-Brennstoffen sollten Verfahren eingesetzt werden, die die Auflage erfüllen, dass die Bodenqualität und der Gehalt an organischem Kohlenstoff im Boden geschützt werden. Die Überwachungssysteme der Betreiber oder der nationalen Behörden sollten sich deshalb auch auf die Bodenqualität und den Kohlenstoffgehalt des Bodens erstrecken.
(101) Für Biomasse-Brennstoffe, die in den Bereichen Elektrizität, im Wärme- und Kältesektor eingesetzt werden, sollten unionsweit gültige Kriterien für die Nachhaltigkeit und für Treibhausgaseinsparungen festgelegt werden, um auch weiterhin erhebliche Treibhausgaseinsparungen gegenüber fossilen Brennstoffen zu erzielen, unbeabsichtigte Auswirkungen auf die Nachhaltigkeit zu vermeiden und den Binnenmarkt zu fördern. Gebiete in äußerster Randlage sollten das Potenzial ihrer Ressourcen nutzen können, um die Produktion von erneuerbarer Energie zu steigern und energiewirtschaftlich unabhängiger zu werden.
(102) Um sicherzustellen, dass trotz der zunehmenden Nachfrage nach forstwirtschaftlicher Biomasse die Entnahme in den Wäldern auf nachhaltige Weise erfolgt und die Regeneration gewährleistet ist, dass speziell für den Schutz von Biodiversität, Landschaften und spezifischen natürlichen Ressourcen ausgewiesenen Gebieten besondere Aufmerksamkeit gewidmet wird, dass Biodiversitätsressourcen erhalten bleiben und Kohlenstoffbestände beobachtet werden, sollte das Rohmaterial Holz ausschließlich aus Wäldern stammen, in denen die Ernte im Einklang mit den Grundsätzen der nachhaltigen Waldbewirtschaftung, die im Rahmen internationaler Initiativen wie Forest Europe entwickelt wurden und die durch nationale Rechtsvorschriften oder die besten Bewirtschaftungsverfahren auf Ebene des Gewinnungsgebiets umgesetzt werden, erfolgt. Die Betreiber sollten geeignete Maßnahmen ergreifen, um die Gefahr, dass nicht nachhaltige forstwirtschaftliche Biomasse für die Produktion von Bioenergie genutzt wird, weitestgehend zu begrenzen. Zu diesem Zweck sollten die Betreiber einen risikobasierten Ansatz verfolgen. In diesem Zusammenhang ist es angebracht, dass die Kommission im Anschluss an die Konsultation des Ausschusses für die Nachhaltigkeit von Biokraftstoffen, flüssigen Biobrennstoffen und Biomasse-Brennstoffen mithilfe von Durchführungsrechtsakten Empfehlungen für die Überprüfung der Einhaltung des risikobasierten Ansatzes erstellt.
(103) Die Ernte zu Energiezwecken hat zugenommen und wird voraussichtlich weiter zunehmen, was zu umfangreicheren Rohstoffeinfuhren aus Drittländern sowie zum Anstieg der Produktion dieser Materialien in der Union führt. Es sollte sichergestellt werden, dass nachhaltig geerntet wird.
(104) Um den Verwaltungsaufwand möglichst gering zu halten, sollten die Kriterien der Union für die Nachhaltigkeit und für Treibhausgaseinsparungen ausschließlich für die Produktion von Elektrizität und Wärme aus Biomasse-Brennstoffen in Anlagen mit einer Gesamtfeuerungswärmeleistung von 20 MW und mehr gelten.
(105) Biomasse-Brennstoffe sollten auf effiziente Weise in Elektrizität und Wärme umgewandelt werden, um im größtmöglichen Umfang Energieversorgungssicherheit und Treibhausgaseinsparungen zu gewährleisten und um die Luftschadstoffemissionen zu begrenzen und den Druck auf begrenzte Biomasseressourcen weitestgehend zu reduzieren.
(106) Die Mindestschwellenwerte für Treibhausgaseinsparungen, die mit in neuen Anlagen hergestellten Biokraftstoffen, flüssigen Biobrennstoffen und Biogas für den Verkehr zu erzielen sind, sollten erhöht werden, um die Treibhausgasgesamtbilanz dieser Anlagen zu verbessern und weiteren Investitionen in Anlagen mit schlechterer Treibhausgasemissionsbilanz entgegenzuwirken. Mit einer solchen Erhöhung würde ein Schutz für Investitionen in Kapazitäten zur Produktion von Biokraftstoffen, flüssigen Biobrennstoffen und Biogas für den Verkehr geschaffen.
(107) Aufgrund der Erfahrungen mit der praktischen Umsetzung der Nachhaltigkeitskriterien der Union ist es sinnvoll, die Rolle freiwilliger internationaler und nationaler Zertifizierungssysteme zur einheitlichen Überprüfung der Einhaltung der Nachhaltigkeitskriterien zu stärken.
(108) Die Förderung freiwilliger internationaler oder nationaler Regelungen, in denen Standards für die nachhaltige Produktion von Biokraftstoffen, flüssigen Biobrennstoffen und Biomasse-Brennstoffen festgelegt sind und die bescheinigen, dass die Produktion von Biokraftstoffen, flüssigen Biobrennstoffen und Biomasse-Brennstoffen diese Standards erfüllt, ist im Interesse der Union. Daher sollte bei solchen Regelungen dafür gesorgt werden, dass sie anerkanntermaßen zuverlässige Erkenntnisse und Daten hervorbringen, wenn sie angemessene Standards der Zuverlässigkeit, Transparenz und Unabhängigkeit der Audits erfüllen. Um zu gewährleisten, dass die Einhaltung der Kriterien für die Nachhaltigkeit und für Treibhausgaseinsparungen solide und einheitlich überprüft wird, und insbesondere um Betrug zu verhindern, sollte die Kommission die Befugnis erhalten, Durchführungsbestimmungen einschließlich angemessener Standards der Zuverlässigkeit, Transparenz und Unabhängigkeit der Audits, die im Rahmen der freiwilligen Systeme anzuwenden sind, zu erlassen.
(109) Freiwillige Systeme spielen eine zunehmend wichtige Rolle, wenn es darum geht, die Einhaltung der Kriterien für die Nachhaltigkeit und für Treibhausgaseinsparungen für Biokraftstoffe, flüssige Biobrennstoffe und Biomasse-Brennstoffe nachzuweisen. Daher wäre es für die Kommission angemessen zu verlangen, dass freiwillige Systeme - einschließlich der bereits von der Kommission anerkannten - regelmäßig über ihre Tätigkeit Bericht erstatten. Diese Berichte sollten veröffentlicht werden, um mehr Transparenz zu schaffen und die Aufsicht durch die Kommission zu verbessern. Außerdem würde die Kommission aufgrund dieser Berichterstattung die Informationen erhalten, die sie benötigt, um einen Bericht über das Funktionieren der freiwilligen Systeme erstellen zu können, in dem sie aufzeigt, welche Verfahren sich bewährt haben, und gegebenenfalls einen Vorschlag unterbreitet, wie diese Verfahren noch stärker gefördert werden können.
(110) Um das Funktionieren des Binnenmarkts zu erleichtern, sollten Nachweise hinsichtlich der Kriterien für die Nachhaltigkeit und für Treibhausgaseinsparungen für Biokraftstoffe, flüssige Biobrennstoffe und Biomasse-Brennstoffe, die nach einer von der Kommission anerkannten Regelung erlangt wurden, in allen Mitgliedstaaten anerkannt werden. Die Mitgliedstaaten sollten dazu beitragen, dass die ordnungsgemäße Umsetzung der Zertifizierungsgrundsätze der freiwilligen Regelungen gewährleistet wird, indem sie die Arbeitsweise der Zertifizierungsstellen, die durch die nationale Zulassungsstelle akkreditiert wurden, überwachen und indem sie den freiwilligen Regelungen relevante Beobachtungen mitteilen.
(111) Um einem unverhältnismäßigen administrativen Aufwand vorzubeugen, sollte eine Liste von Standardwerten für verbreitete Biokraftstoff-Produktionswege für Biokraftstoffe, flüssige Biobrennstoffe und Biomasse-Brennstoffe festgelegt werden; diese Liste sollte aktualisiert und erweitert werden, sobald weitere zuverlässige Daten vorliegen. Wirtschaftsteilnehmer sollten immer die in dieser Liste angegebenen Einsparwerte für Treibhausgasemissionen für Biokraftstoffe, flüssige Biobrennstoffe und Biomasse-Brennstoffe für sich in Anspruch nehmen können. Liegt der Standardwert für die Treibhausgaseinsparung eines Produktionswegs unter dem geforderten Mindestwert für Treibhausgaseinsparungen, sollte von Produzenten, die nachweisen wollen, dass sie diesen Mindestwert einhalten, verlangt werden, dass sie den Nachweis dafür erbringen, dass die tatsächlichen aus ihrem Produktionsverfahren resultierenden Treibhausgasemissionen niedriger sind als diejenigen, von denen bei der Berechnung der Standardwerte ausgegangen wurde.
(112) Für die Berechnung der Treibhausgaseinsparungen von Biokraftstoffen, flüssigen Biobrennstoffen sowie Biomasse-Brennstoffen und ihrer fossilen Vergleichsgrößen müssen klare Regeln festgelegt werden, die auf objektiven und nichtdiskriminierenden Kriterien beruhen.
(113) Nach dem aktuellen technischen und wissenschaftlichen Kenntnisstand sollte die Berechnungsmethode für Treibhausgasemissionen der Umwandlung fester und gasförmiger Biomasse-Brennstoffe in Endenergie Rechnung tragen, damit sie der Berechnung erneuerbarer Energie für die Zwecke der Anrechnung auf das Unionsziel gemäß dieser Richtlinie entspricht. Im Unterschied zu Abfällen und Reststoffen sollte die Zuordnung von Treibhausgasemissionen zu Nebenprodukten auch in den Fällen überprüft werden, in denen Elektrizität und Wärme und Kälte in Kraft-Wärme-Kopplungsanlagen oder in Multi-Erzeugungsanlagen produziert wurden.
(114) Wenn Flächen mit hohem Kohlenstoffbestand im Boden oder in der Vegetation für den Anbau von Rohstoffen für Biokraftstoffe, flüssige Biobrennstoffe und Biomasse-Brennstoffe umgewandelt werden, wird in der Regel ein Teil des gespeicherten Kohlenstoffs in die Atmosphäre freigesetzt, was zur Bildung von Kohlendioxid (CO2) führt. Die daraus resultierenden negativen Auswirkungen auf den Treibhauseffekt können die positiven Auswirkungen auf den Treibhauseffekt der Biokraftstoffe, flüssigen Biobrennstoffe oder Biomasse-Brennstoffe aufheben, in einigen Fällen kann die Wirkung sogar deutlich kontraproduktiv sein. Die vollständigen Kohlenstoffauswirkungen einer solchen Umwandlung sollten daher bei der Berechnung der Treibhausgaseinsparung von einzelnen Biokraftstoffen, flüssigen Biobrennstoffen und Biomasse-Brennstoffen berücksichtigt werden. Dies ist erforderlich, um sicherzustellen, dass bei der Berechnung der Treibhausgaseinsparungen die Kohlenstoffauswirkungen der Verwendung von Biokraftstoffen, flüssigen Biobrennstoffen und Biomasse-Brennstoffen in vollem Umfang berücksichtigt werden.
(115) Bei der Berechnung des Beitrags von Landnutzungsänderungen zu den Treibhausgasemissionen sollten die Wirtschaftsteilnehmer auf die tatsächlichen Werte für die Kohlenstoffbestände zurückgreifen können, die mit der Bezugsflächennutzung und der Landnutzung nach der Umwandlung verbunden sind. Darüber hinaus sollten sie Standardwerte verwenden können. Die Methodik der Zwischenstaatlichen Sachverständigengruppe für Klimaänderungen ("Intergovernmental Panel on Climate Change" - IPCC) ist eine geeignete Grundlage für solche Standardwerte. Diese Arbeit liegt zurzeit nicht in einer Form vor, die unmittelbar von den Wirtschaftsteilnehmern angewendet werden kann. Daher sollte die Kommission ihre Leitlinien vom 10. Juni 2010 für die Berechnung des Kohlenstoffbestands im Boden für die Zwecke der dieser Richtlinie als Anhang beigefügten Regelung über die Berechnung des Beitrags von Biokraftstoffen und flüssigen Biobrennstoffen sowie ihrer fossilen Vergleichsgrößen zu den Treibhausgasemissionen unter Gewährleistung der Kohärenz mit der Verordnung (EU) Nr. 525/2013 des Europäischen Parlaments und des Rates 16 überarbeiten.
(116) Bei der Berechnung der durch die Produktion und Verwendung von Kraft- und Brennstoffen verursachten Treibhausgasemissionen sollten Nebenprodukte berücksichtigt werden. Die Substitutionsmethode ist für Analysen politischer Maßnahmen geeignet, für die Regulierung in Bezug auf einzelne Wirtschaftsteilnehmer und einzelne Kraftstofflieferungen jedoch nicht. Für Regulierungszwecke eignet sich die Energieallokationsmethode am besten, da sie leicht anzuwenden und im Zeitablauf vorhersehbar ist, kontraproduktive Anreize auf ein Mindestmaß begrenzt sind und sie Ergebnisse hervorbringt, die in der Regel mit den Ergebnissen der Substitutionsmethode vergleichbar sind. Für Analysen politischer Maßnahmen sollte die Kommission in ihrer Berichterstattung auch die Ergebnisse der Substitutionsmethode heranziehen.
(117) Nebenprodukte unterscheiden sich von Reststoffen und landwirtschaftlichen Reststoffen, da sie das primäre Ziel des Produktionsprozesses darstellen. Daher sollte klargestellt werden, dass Ernterückstände Reststoffe und keine Nebenprodukte sind. Dies hätte keine Auswirkungen auf die bestehende Methodik, sondern würde lediglich die bestehenden Bestimmungen verdeutlichen.
(118) Die etablierte Methode der Energieallokation für die Aufteilung der Treibhausgasemissionen auf die Nebenprodukte, hat sich bewährt und sollte weiterhin angewandt werden. Es empfiehlt sich, die Methode zur Berechnung der Treibhausgasemissionen aus der Nutzung der Kraft-Wärme-Kopplung (KWK), die bei der Verarbeitung von Biokraftstoffen, flüssigen Biobrennstoffen und Biomasse-Brennstoffen eingesetzt wird, an die Methode anzugleichen, die angewandt wird, wenn KWK die Endnutzung darstellt.
(119) Die Methode trägt der Verringerung von Treibhausgasemissionen durch den Einsatz von KWK-Anlagen im Vergleich zu reinen Elektrizitätswerken und Wärmeerzeugungsanlagen Rechnung, indem sie den Nutzen von Wärme gegenüber Elektrizität sowie den Nutzen von Wärme bei unterschiedlichen Temperaturen berücksichtigt. Daraus folgt, dass der Wärmeerzeugung bei einer höheren Temperatur ein größerer Teil der gesamten Treibhausgasemissionen zuzuordnen ist als bei einer niedrigen Temperatur, wenn die Wärme- und Stromerzeugung gekoppelt sind. Bei der Methode wird der gesamte Produktionsweg bis zur Endenergie berücksichtigt, einschließlich der Umwandlung in Wärme oder Elektrizität.
(120) Die Daten, die für die Berechnung dieser Standardwerte verwendet werden, sollten aus unabhängigen, mit wissenschaftlichem Sachverstand ausgestatteten Quellen stammen und gegebenenfalls aktualisiert werden, wenn die Arbeit dieser Quellen voranschreitet. Die Kommission sollte diesen Quellen nahelegen, dass sie bei ihren Aktualisierungen auf Emissionen aus dem Anbau, die Auswirkungen regionaler und klimatischer Bedingungen, die Auswirkungen des Anbaus nach nachhaltigen landwirtschaftlichen Methoden und Methoden des ökologischen Landbaus und wissenschaftliche Beiträge von Produzenten innerhalb der Union und in Drittländern sowie der Zivilgesellschaft eingehen.
(121) Weltweit wächst die Nachfrage nach landwirtschaftlichen Rohstoffen. Ein Teil dieser wachsenden Nachfrage wird wahrscheinlich dadurch gedeckt werden, dass die landwirtschaftlichen Flächen erweitert werden. Eine Möglichkeit zur Erweiterung der für den Anbau verfügbaren Flächen besteht in der Sanierung von Flächen, die stark degradiert sind und daher ansonsten nicht für landwirtschaftliche Zwecke genutzt werden können. Die Nachhaltigkeitsregelung sollte die Nutzung solcher sanierten Flächen fördern, da die Förderung von Biokraftstoffen, flüssigen Biobrennstoffen und Biomasse-Brennstoffen zum Anstieg der Nachfrage nach landwirtschaftlichen Rohstoffen beitragen wird.
(122) Um die einheitliche Anwendung der Methode für die Berechnung der Treibhausgasemissionen sicherzustellen und sie an die neuesten wissenschaftlichen Erkenntnisse anzugleichen, sollten der Kommission Durchführungsbefugnisse zur Anpassung der für die Bewertung der Einhaltung der Kriterien für Treibhausgaseinsparungen erforderlichen methodischen Grundsätze und Werte und zur Entscheidung, ob die von den Mitgliedstaaten und Drittländern vorgelegten Berichte genaue Daten über Emissionen aus dem Anbau der Rohstoffe enthalten, übertragen werden.
(123) Die europäischen Gasnetze sind immer stärker integriert. Da die Produktion und Verwendung von Biomethan gefördert und Biomethan in die Erdgasnetze eingespeist und grenzüberschreitend gehandelt wird, ist es notwendig, eine ordnungsgemäße Anrechnung von Energie aus erneuerbaren Quellen zu gewährleisten und Doppelanreize infolge unterschiedlicher Förderregelungen in den einzelnen Mitgliedstaaten zu verhindern. Das Massenbilanzsystem zur Überprüfung der Nachhaltigkeit von Bioenergie und die neue Unionsdatenbank sollen als Hilfsmittel zur Lösung dieser Probleme beitragen.
(124) Zur Erreichung der Ziele dieser Richtlinie ist es erforderlich, dass die Union und die Mitgliedstaaten beträchtliche Finanzmittel für Forschung und Entwicklung im Bereich der Technologien für erneuerbare Energieträger vorsehen. Insbesondere sollte das Europäische Innovations- und Technologieinstitut der Forschung und Entwicklung im Bereich der Technologien für erneuerbare Energieträger hohe Priorität einräumen.
(125) Bei der Durchführung dieser Richtlinie sollte gegebenenfalls dem Übereinkommen über den Zugang zu Informationen, die Öffentlichkeitsbeteiligung an Entscheidungsverfahren und den Zugang zu Gerichten in Umweltangelegenheiten Rechnung getragen werden, insbesondere soweit es mit der Richtlinie 2003/4/EG des Europäischen Parlaments und des Rates 17 umgesetzt wurde.
(126) Zur Änderung oder Ergänzung nicht wesentlicher Bestimmungen dieser Richtlinie sollte der Kommission die Befugnis übertragen werden, gemäß Artikel 290 des AEUV Rechtsakte zur Änderung oder Ergänzung nicht wesentlicher Bestimmungen dieser Richtlinie hinsichtlich der Bestimmung der Methode für die Berechnung der Menge an erneuerbarer Energie, die für Kälteversorgung und Fernkälte genutzt wird, sowie der Änderung der Methode zur Berechnung der Energie von Wärmepumpen; der Einrichtung der URDP und der Festlegung der Kriterien für den Abschluss von Transaktionen statistischer Transfers zwischen den Mitgliedstaaten über die URDP, der Bestimmung angemessener Mindestschwellenwerte für Treibhausgaseinsparungen wiederverwerteter kohlenstoffhaltiger Kraftstoffe; der Festlegung sowie gegebenenfalls Überarbeitung der Kriterien für die Zertifizierung als Biokraftstoff, flüssiger Biobrennstoff oder Biomasse-Brennstoff mit einem geringen Risiko indirekter Landnutzungsänderungen sowie für die Bestimmung jener Rohstoffe mit einem hohen Risiko indirekter Landnutzungsänderungen, in deren Fall eine wesentliche Ausdehnung der Produktionsflächen auf Flächen mit hohem Kohlenstoffbestand zu beobachten ist, und für die stufenweise Senkung ihres Beitrags zu den Zielen dieser Richtlinie; der Anpassung des Energiegehalts von Kraftstoffen für den Verkehr an den wissenschaftlichen und technischen Fortschritt; der Bestimmung der europäischen Methode zur Festlegung der Vorschriften, an die sich die Wirtschaftsteilnehmer halten müssen, damit Elektrizität, mit der flüssige oder gasförmige erneuerbare Kraftstoffe für den Verkehr nicht biogenen Ursprungs hergestellt werden oder die dem Netz entnommen wird, als uneingeschränkt erneuerbar betrachtet werden kann; der Festlegung der Methode zur Bestimmung des sich aus der Verarbeitung von Biomasse in einem einzigen Verfahren mit fossilen Brennstoffen ergebenden Anteils von Biokraftstoff, und Biogas für den Verkehr sowie der Methode zur Bewertung der Treibhausgaseinsparungen von flüssigen oder gasförmigen erneuerbaren Kraftstoffen für den Verkehr nicht biogenen Ursprungs und wiederverwerteten kohlenstoffhaltigen Kraftstoffen, um sicherzustellen, dass Gutschriften für die Treibhausgaseinsparungen nur einmal gewährt werden; der Änderung durch Ergänzung, nicht aber Streichung von der Auflistung der Rohstoffe für die Produktion fortschrittlicher Biokraftstoffe und andere Biokraftstoffe, und Biogas für den Verkehr; und der Ergänzung oder Änderung der Vorschriften für die Berechnung der negativen Auswirkungen von Biokraftstoffen, flüssigen Biobrennstoffen und ihrer fossilen Vergleichsgrößen zu erlassen. Es ist von besonderer Bedeutung, dass die Kommission im Zuge ihrer Vorbereitungsarbeit angemessene Konsultationen, auch auf der Ebene von Sachverständigen, durchführt, und dass diese Konsultationen mit den Grundsätzen in Einklang stehen, die in der Interinstitutionellen Vereinbarung vom 13. April 2016 über bessere Rechtsetzung 18 niedergelegt wurden. Um insbesondere eine gleichberechtigte Beteiligung an der Ausbereitung der delegierten Rechtsakte zu gewährleisten, erhalten das Europäische Parlament und der Rat alle Dokumente zur gleichen Zeit wie die Sachverständigen der Mitgliedstaaten, und ihre Sachverständigen haben systematisch Zugang zu den Sitzungen der Sachverständigengruppen der Kommission, die mit der Vorbereitung der delegierten Rechtsakte befasst sind.
(127) Die zur Durchführung dieser Richtlinie erforderlichen Maßnahmen sollten gemäß der Verordnung (EU) Nr. 182/2011 des Europäischen Parlaments und des Rates 19 beschlossen werden.
(128) Da die Ziele dieser Richtlinie, nämlich bis 2030 den Bruttoendenergieverbrauch der Union zu einem Anteil von mindestens 32 % durch erneuerbare Energie zu decken, auf Ebene der Mitgliedstaaten nicht ausreichend verwirklicht werden können, sondern wegen des Umfangs der Maßnahme eher auf Unionsebene zu verwirklichen sind, kann die Union im Einklang mit dem in Artikel 5 des Vertrags über die Europäische Union niedergelegten Subsidiaritätsprinzip tätig werden. Entsprechend dem in demselben Artikel genannten Grundsatz der Verhältnismäßigkeit geht diese Richtlinie nicht über das zur Verwirklichung dieser Ziele erforderliche Maß hinaus.
(129) Gemäß der Gemeinsamen Politischen Erklärung vom 28. September 2011 der Mitgliedstaaten und der Kommission zu erläuternden Dokumenten 20 haben sich die Mitgliedstaaten verpflichtet, in begründeten Fällen zusätzlich zur Mitteilung ihrer Umsetzungsmaßnahmen ein oder mehrere Dokumente zu übermitteln, in dem bzw. denen der Zusammenhang zwischen den Bestandteilen einer Richtlinie und den entsprechenden Teilen innerstaatlicher Umsetzungsinstrumente erläutert wird. In Bezug auf diese Richtlinie hält der Gesetzgeber die Übermittlung derartiger Dokumente für gerechtfertigt.
(130) Die Verpflichtung zur Umsetzung dieser Richtlinie in nationales Recht sollte nur jene Bestimmungen betreffen, die im Vergleich zu der Richtlinie 2009/28/EG inhaltlich geändert wurden. Die Verpflichtung zur Umsetzung der inhaltlich unveränderten Bestimmungen ergibt sich aus der genannten Richtlinie.
(131) Die vorliegende Richtlinie sollte die Verpflichtungen der Mitgliedstaaten hinsichtlich der Frist für die Umsetzung der Richtlinie 2013/18/EU des Rats 21 und der Richtlinie (EU) 2015/1513 in innerstaatliches Recht unberührt lassen
- haben folgende Richtlinie erlassen:
Artikel 1 Gegenstand
Mit dieser Richtlinie wird ein gemeinsamer Rahmen für die Förderung von Energie aus erneuerbaren Quellen vorgeschrieben. In ihr wird ein verbindliches Unionsziel für den Gesamtanteil von Energie aus erneuerbaren Quellen am Bruttoendenergieverbrauch der Union für 2030 festgelegt. Gleichzeitig werden Regeln für die finanzielle Förderung von Elektrizität aus erneuerbaren Quellen und die Eigenversorgung mit solcher Elektrizität, für die Nutzung von Energie aus erneuerbaren Quellen im Wärme- und Kältesektor und im Verkehrssektor, für die regionale Zusammenarbeit zwischen Mitgliedstaaten sowie zwischen Mitgliedstaaten und Drittländern, für Herkunftsnachweise, administrative Verfahren sowie Informationen und Ausbildung aufgestellt. Ferner werden Kriterien für die Nachhaltigkeit und für Treibhausgaseinsparungen für Biokraftstoffe, flüssige Biobrennstoffe und Biomasse-Brennstoffe vorgeschrieben.
Artikel 2 Begriffsbestimmungen
Für die Zwecke dieser Richtlinie gelten die relevanten Begriffsbestimmungen der Richtlinie 2009/72/EG des Europäischen Parlaments und des Rates 22.
Im Sinne dieser Richtlinie bezeichnet der Ausdruck
Artikel 3 Verbindliches Gesamtziel der Union für 2030
(1) Die Mitgliedstaaten stellen gemeinsam sicher, dass der Anteil von Energie aus erneuerbaren Quellen am Bruttoendenergieverbrauch der Union im Jahr 2030 mindestens 32 % beträgt. Die Kommission beurteilt dieses Ziel, um bis 2023 einen Gesetzgebungsvorschlag zu unterbreiten, mit dem der Zielwert nach oben korrigiert wird, wenn sich bei der Produktion erneuerbarer Energie weitere wesentliche Kostensenkungen ergeben, wenn dies notwendig ist, damit die Union ihre internationalen Dekarbonisierungsverpflichtungen erfüllen kann, oder wenn dies aufgrund eines wesentlichen Rückgangs des Energieverbrauchs in der Union gerechtfertigt ist.
(2) Die Mitgliedstaaten legen nationale Beiträge fest, um das in Absatz 1 festgesetzte verbindliche Gesamtziel der Union im Rahmen ihrer integrierten nationalen Energie- und Klimapläne im Einklang mit den bis und den bis der Verordnung (EU) 2018/1999 gemeinsam zu erreichen. Bei der Ausarbeitung der Entwürfe ihrer integrierten nationalen Energie- und Klimapläne können die Mitgliedstaaten die in der genannten Verordnung angeführte Formel berücksichtigen.
Kommt die Kommission aufgrund ihrer Bewertung der gemäß der Verordnung (EU) 2018/1999 vorgelegten Entwürfe der integrierten nationalen Energie- und Klimapläne zu dem Schluss, dass die nationalen Beiträge der Mitgliedstaaten für die gemeinsame Verwirklichung des verbindlichen Gesamtziels der Union unzureichend sind, so wendet sie das Verfahren nach und der genannten Verordnung an.
(3) Die Mitgliedstaaten stellen sicher, dass ihre nationalen Strategien, einschließlich der Verpflichtungen nach den Artikeln 25 bis 28 dieser Richtlinie, und ihrer Förderregelungen, so konzipiert sind, dass die Abfallhierarchie gemäß Artikel 4 der Richtlinie 2008/98/EG gebührend berücksichtigt wird, damit unverhältnismäßige wettbewerbsverzerrende Auswirkungen auf die Rohstoffmärkte möglichst vermieden werden. Die Mitgliedstaaten gewähren für erneuerbare Energie, die durch Verbrennung von Abfällen gewonnen wird, keine Förderung, wenn die Verpflichtungen, die gemäß der genannten Richtlinie für die getrennte Sammlung von Abfällen gelten, nicht eingehalten wurden.
(4) Ab dem 1. Januar 2021 darf der Anteil Energie aus erneuerbaren Quellen am Bruttoendenergieverbrauch in den einzelnen Mitgliedstaaten nicht unter den in der dritten Spalte der Tabelle in Anhang I Teil A dieser Richtlinie als Ausgangswert festgelegten Anteil sinken. Die Mitgliedstaaten ergreifen die erforderlichen Maßnahmen, um die Einhaltung jenes als Ausgangswerts festgelegten Anteils zu gewährleisten. Hält ein Mitgliedstaat seinen als Ausgangswert festgelegten Anteil, ermittelt über einen Zeitraum von einem Jahr, nicht ein, so gelangen Absatz 4 der Verordnung (EU) 2018/1999 zur Anwendung.
(5) Die Kommission unterstützt die ehrgeizige Zielsetzung der Mitgliedstaaten durch einen Regulierungsrahmen, der die verstärkte Nutzung von Unionsmitteln ermöglicht, einschließlich zusätzlicher Mitteln zur Erleichterung des gerechten Übergangs zu einem höheren Anteil erneuerbarer Energie in CO2-intensiven Regionen, insbesondere von Finanzinstrumenten, und vor allem folgenden Zwecken dient:
(6) Die Kommission unterstützt Mitgliedstaaten, die sich dafür entscheiden, durch Nutzung von Kooperationsmechanismen zum verbindlichen Gesamtziel der Union nach Absatz 1 beizutragen, indem sie eine Unterstützungsplattform einrichtet.
Artikel 4 Förderregelungen für Energie aus erneuerbaren Quellen
(1) Die Mitgliedstaaten können Förderregelungen anwenden, um das in Artikel 3 Absatz 1 festgelegte Unionsziel für den Einsatz von erneuerbarer Energie und ihren jeweiligen auf nationaler Ebene festgelegten Beitrag zu diesem Ziel zu erreichen oder zu übertreffen.
(2) Die Förderregelungen für Elektrizität aus erneuerbaren Quellen haben Anreize für die marktbasierte und marktorientierte Integration von Elektrizität aus erneuerbaren Quellen in den Elektrizitätsmarkt zu setzen, wobei unnötige Wettbewerbsverzerrungen auf den Elektrizitätsmärkten zu vermeiden und etwaige Systemintegrationskosten und die Netzstabilität zu berücksichtigen sind.
(3) Förderregelungen von Elektrizität aus erneuerbaren Quellen sind so auszugestalten, dass die Integration von Elektrizität aus erneuerbaren Quellen in den Elektrizitätsmarkt maximiert wird, und sichergestellt ist, dass die Produzenten erneuerbarer Energie auf die Preissignale des Marktes reagieren und ihre Einnahmen maximieren.
Dazu wird bei direkten Preisstützungssystemen Förderung in Form einer Marktprämie gewährt, bei der es sich unter anderem um eine gleitende oder feste Prämie handeln kann.
Die Mitgliedstaaten dürfen, unbeschadet der für Elektrizität geltenden Binnenmarktvorschriften der Union, für Kleinanlagen und Demonstrationsvorhaben Ausnahmen von diesem Absatz vorsehen.
(4) Die Mitgliedstaaten sorgen dafür, dass Elektrizität aus erneuerbaren Quellen auf offene, transparente, wettbewerbsfördernde, nichtdiskriminierende und kosteneffiziente Weise gefördert wird.
Die Mitgliedstaaten können in Bezug auf Ausschreibungsverfahren für Kleinanlagen und Demonstrationsvorhaben Ausnahmen vorsehen.
Sie können auch den Einsatz von Mechanismen in Erwägung ziehen, die für eine regionale Diversifizierung beim Einsatz von erneuerbarer Elektrizität sorgen, um insbesondere eine kostenwirksame Systemintegration sicherzustellen.
(5) Die Mitgliedstaaten können Ausschreibungsverfahren auf bestimmte Technologien beschränken, wenn eine allen Produzenten von Elektrizität aus erneuerbaren Quellen offenstehende Förderregelung angesichts folgender Gründe zu einem suboptimalen Ergebnis führen würde:
(6) Wenn die Förderung für Elektrizität aus erneuerbaren Quellen über ein Ausschreibungsverfahren gewährt wird, stellen die Mitgliedstaaten eine hohe Projektrealisierungsrate sicher, indem sie
(7) Damit in Gebieten in äußerster Randlage und auf kleinen Inseln mehr Energie aus erneuerbaren Quellen erzeugt wird, können die Mitgliedstaaten finanzielle Förderregelungen bei Projekten in diesen Gebieten so anpassen, dass die Produktionskosten, die durch die besonderen Umstände - Abgelegenheit und Abhängigkeit von außen - bedingt sind, berücksichtigt werden.
(8) Bis zum 31. Dezember 2021, und anschließend alle drei Jahre, erstattet die Kommission dem Europäischen Parlament und dem Rat über die Ergebnisse der über Ausschreibungsverfahren in der Union gewährten Förderung für Elektrizität aus erneuerbaren Quellen Bericht, wobei sie insbesondere analysiert, inwiefern mit den Ausschreibungsverfahren Folgendes erreicht werden konnte:
(9) Dieser Artikel gilt unbeschadet der Artikel 107 und 108 AEUV.
Artikel 5 Öffnung der Förderregelungen für Elektrizität aus erneuerbaren Quellen
(1) Die Mitgliedstaaten haben das Recht, gemäß den Artikeln 7 bis 13 dieser Richtlinie zu entscheiden, in welchem Umfang sie die in einem anderen Mitgliedstaat produzierte Elektrizität aus erneuerbaren Quellen fördern. Die Mitgliedstaaten können die Teilnahme an Förderregelungen für Elektrizität aus erneuerbaren Quellen jedoch unter den in diesem Artikel festgelegten Bedingungen für Produzenten mit Sitz in anderen Mitgliedstaaten öffnen.
Wenn sie die Teilnahme an Förderregelungen für Elektrizität aus erneuerbaren Quellen öffnen, können die Mitgliedstaaten vorsehen, dass Anlagen in anderen Mitgliedstaaten ein inidkativer Prozentsatz der in jedem Jahr neu geförderten Kapazität oder der in jedem Jahr dafür bereitgestellten Mittel offensteht.
Diese indikativen Prozentsätze können in jedem Jahr zwischen 2023 und 2026 bei mindestens 5 % und zwischen 2027 und 2030 bei mindestens 10 % oder, falls dieses niedriger ist, auf dem Niveau des Verbundgrads des betreffenden Mitgliedstaats in einem bestimmten Jahr liegen.
Um bezüglich der Umsetzung neue Erfahrungen zu sammeln, können die Mitgliedstaaten ein oder mehrere Pilotprojekte ausrichten, bei denen die Förderung Produzenten mit Sitz in anderen Mitgliedstaaten offensteht.
(2) Die Mitgliedstaaten können einen Nachweis für den physikalischen Import von Elektrizität aus erneuerbaren Quellen verlangen. Zu diesem Zweck können sie die Teilnahme an Förderregelungen auf Produzenten in Mitgliedstaaten beschränken, zu denen eine direkte Verbindung über Verbindungsleitungen besteht. Sie dürfen zonenübergreifende Fahrpläne und Kapazitätsvergaben jedoch nicht deswegen ändern oder in anderer Weise beeinflussen, weil Erzeuger an grenzüberschreitenden Förderregelungen teilnehmen. Grenzüberschreitende Stromübertragungen werden ausschließlich anhand des Ergebnisses der Kapazitätsvergabe nach den unionsrechtlichen Bestimmungen über den Binnenmarkt für Elektrizität bestimmt.
(3) Wenn ein Mitgliedstaat beschließt, die Teilnahme an Förderregelungen für Produzenten mit Sitz in einem anderen Mitgliedstaat zu öffnen, vereinbaren die beteiligten Mitgliedstaaten, welche Grundsätze für diese Teilnahme gelten sollen. Diese Vereinbarungen umfassen zumindest die Grundsätze für die Anrechnung von erneuerbarer Elektrizität, die Gegenstand einer grenzüberschreitenden Förderung ist.
(4) Die Kommission unterstützt die beteiligten Mitgliedstaaten auf deren Ersuchen während des gesamten Verhandlungsprozesses und bei der Festlegung der Kooperationsvereinbarungen, indem sie während des gesamten Prozesses Informationen und Analysen, einschließlich quantitativer und qualitativer Daten zu den direkten und indirekten Kosten und Vorteilen der Zusammenarbeit, sowie Empfehlungen und technisches Fachwissen bereitstellt. Die Kommission kann den Austausch über bewährte Verfahren unterstützen oder erleichtern und Muster für Kooperationsvereinbarungen ausarbeiten, die den Verhandlungsprozess voranbringen. Die Kommission bewertet bis 2025 die Kosten und den Nutzen der in diesem Artikel festgelegten Bestimmungen für den Einsatz von Elektrizität aus erneuerbaren Quellen in der Union.
(5) Bis 2023 führt die Kommission eine Bewertung der Umsetzung dieses Artikels durch. Dabei beurteilt sie, ob die Mitgliedstaaten verpflichtet werden müssen, ihre Förderregelungen für Elektrizität aus erneuerbaren Quellen teilweise für die Teilnahme von in anderen Mitgliedstaaten ansässige Produzenten zu öffnen, mit dem Ziel einer Öffnung im Umfang von 5 % bis 2025 und 10 % bis 2030.
Artikel 6 Stabilität der finanziellen Förderung
(1) Unbeschadet der zur Einhaltung der Artikel 107 und 108 AEUV erforderlichen Anpassungen stellen die Mitgliedstaaten sicher, dass die Höhe der für Projekte im Bereich erneuerbare Energie gewährten Förderung sowie die damit verknüpften Bedingungen nicht in einer Weise überarbeitet werden, die sich negativ auf die daraus erwachsenden Rechte auswirkt und die Rentabilität von Projekten, denen bereits Förderung zugute kommt, infrage stellt.
(2) Die Mitgliedstaaten können die Höhe der Förderung nach objektiven Kriterien anpassen, sofern die betreffenden Kriterien in der Förderregelung von Anbeginn festgelegt waren.
(3) Die Mitgliedstaaten veröffentlichen als Referenzdokument einen mindestens auf die nächsten fünf oder - im Falle von Haushaltsplanungszwängen - drei Jahre ausgelegten langfristigen Zeitplan mit der voraussichtlichen Zuteilung von Fördermitteln, der, soweit angebracht, auch Richtwerte zu den Fristen und Angaben zur Häufigkeit von Ausschreibungsverfahren, zur voraussichtlichen Kapazität und zum voraussichtlichen Budget bzw. zum Höchstbetrag der voraussichtlich gewährten individuellen Förderung und gegebenenfalls zu den voraussichtlich förderfähigen Technologien enthält. Dieser Zeitplan wird jährlich oder immer dann aktualisiert, wenn es nötig ist, um den jüngsten Marktentwicklungen oder der voraussichtlichen Zuteilung von Fördermitteln Rechnung zu tragen.
(4) Die Mitgliedstaaten bewerten mindestens alle fünf Jahre die Wirksamkeit ihrer Förderregelungen für Elektrizität aus erneuerbaren Quellen und deren wichtigste Verteilungseffekte in Bezug auf unterschiedliche Verbrauchergruppen und auf Investitionen. Dabei gehen sie auch auf die Auswirkungen möglicher Änderungen der Förderregelungen ein. Den Ergebnissen dieser Bewertung wird bei der indikativen langfristigen Planung der Entscheidungen über die Förderung und die Gestaltung neuer Förderung Rechnung getragen. Die Mitgliedstaaten nehmen diese Bewertung in die entsprechenden aktualisierten Fassungen ihrer integrierten nationalen Energie- und Klimaschutzpläne und ihrer Fortschrittsberichte gemäß der Verordnung (EU) auf.
Artikel 7 Berechnung des Anteils von Energie aus erneuerbaren Quellen
(1) Der Bruttoendenergieverbrauch aus erneuerbaren Quellen in den einzelnen Mitgliedstaaten wird berechnet als Summe
Für die Zwecke der Berechnung des Anteils von Energie aus erneuerbaren Quellen am Bruttoendenergieverbrauch nach Unterabsatz 1 Buchstaben a, b oder c werden Gas, Elektrizität und Wasserstoff aus erneuerbaren Quellen nur einmal berücksichtigt.
Vorbehaltlich Artikel 29 Absatz 1 werden Biokraftstoffe, flüssige Biobrennstoffe und Biomasse-Brennstoffe, die die in Artikel 29 Absätze 2 bis 7 und 10 festgelegten Kriterien für die Nachhaltigkeit und für Treibhausgaseinsparungen nicht erfüllen, nicht berücksichtigt.
(2) Für die Zwecke des Absatzes 1 Unterabsatz 1 Buchstabe a wird der Bruttoendenergieverbrauch von Elektrizität aus erneuerbaren Quellen als die in einem Mitgliedstaat aus erneuerbaren Quellen produzierte Elektrizität berechnet, einschließlich der von Eigenversorgern im Bereich erneuerbare Elektrizität und Erneuerbare-Energie-Gemeinschaften produzierten Elektrizität sowie unter Ausschluss der in Pumpspeicherkraftwerken mit zuvor hochgepumptem Wasser produzierten Elektrizität.
Bei Hybridanlagen, die Brennstoffe sowohl aus erneuerbaren als auch aus nicht erneuerbaren Quellen nutzen, wird nur der aus erneuerbaren Energiequellen produzierte Elektrizitätsanteil berücksichtigt. Hierfür wird der Anteil der einzelnen Energiequellen auf der Grundlage ihres Energiegehalts berechnet.
Mit Wasserkraft und Windkraft erzeugte Elektrizität wird gemäß den Normalisierungsregeln in Anhang II berücksichtigt.
(3) Für die Zwecke des Absatzes 1 Unterabsatz 1 Buchstabe b wird der Bruttoendenergieverbrauch aus erneuerbaren Quellen im Wärme- und Kältesektor als die Menge an Fernwärme und Fernkälte berechnet, die in einem Mitgliedstaat aus erneuerbaren Quellen produziert wird, zuzüglich des Verbrauchs anderer Energie aus erneuerbaren Quellen in der Industrie, in Haushalten, im Dienstleistungssektor und in der Land-, Forst- und Fischereiwirtschaft zu Heizungs-, Kühlungs- und Prozesszwecken.
Bei Hybridanlagen, die Brennstoffe sowohl aus erneuerbaren als auch aus nicht erneuerbaren Quellen nutzen, wird nur der aus erneuerbaren Energiequellen produzierte Wärme- und Kälteanteil berücksichtigt. Hierfür wird der Anteil der einzelnen Energiequellen auf der Grundlage ihres Energiegehalts berechnet.
Umgebungsenergie und geothermische Energie, die mit Wärmepumpen und Fernkältesystemen für die Wärme- und Kälteversorgung verwendet wird, wird für die Zwecke des Absatzes 1 Unterabsatz 1 Buchstabe b berücksichtigt, sofern der Endenergieoutput den für den Betrieb der Wärmepumpen erforderlichen Primärenergieinput deutlich überschreitet. Die Menge an Wärme oder Kälte, die im Sinne dieser Richtlinie als Energie aus erneuerbaren Quellen betrachtet werden kann, berechnet sich nach der in Anhang VII vorgesehenen Methode und trägt dem Energieverbrauch in allen Endverbrauchssektoren Rechnung.
Thermische Energie, die durch passive Energiesysteme erzeugt wird, bei denen ein niedrigerer Energieverbrauch auf passive Weise durch die Baukonstruktion oder durch aus Energie aus nicht erneuerbaren Quellen erzeugte Wärme erreicht wird, wird für die Zwecke des Absatzes 1 Unterabsatz 1 Buchstabe b nicht berücksichtigt.
Die Kommission erlässt bis zum 31. Dezember 2021 im Einklang mit Artikel 35 delegierte Rechtsakte, um diese Richtlinie durch Festlegung einer Methode für die Berechnung der Menge an erneuerbarer Energie, die für die Kälteversorgung und Fernkälte genutzt wird, zu ergänzen sowie um Anhang VII zu ändern.
Diese Methode muss saisonbezogene Mindestleistungsfaktoren für Umkehrwärmepumpen beinhalten.
(4) Für die Zwecke des Absatzes 1 Unterabsatz 1 Buchstabe c gilt Folgendes:
(5) Der Anteil der Energie aus erneuerbaren Quellen wird als der Bruttoendenergieverbrauch von Energie aus erneuerbaren Quellen, dividiert durch den Bruttoendenergieverbrauch von Energie aus allen Energiequellen berechnet und als Prozentsatz ausgedrückt.
Für die Zwecke des Unterabsatzes 1 dieses Absatzes wird die in Absatz 1 Unterabsatz 1 dieses Artikels genannte Summe gemäß den Artikeln 8, 10, 12 und 13 angepasst.
Wenn der Bruttoendenergieverbrauch eines Mitgliedstaats berechnet wird, um zu ermitteln, inwieweit der Mitgliedstaat die in dieser Richtlinie festgelegten Zielvorgaben und indikativen Zielpfade erfüllt, wird davon ausgegangen, dass der Energieverbrauch im Luftverkehr nicht über 6,18 % des Bruttoendenergieverbrauchs dieses Mitgliedstaats liegt. Für Zypern und Malta wird davon ausgegangen, dass der Energieverbrauch im Luftverkehr nicht über 4,12 % des Bruttoendenergieverbrauchs dieser Mitgliedstaaten liegt.
(6) Für die Berechnung des Anteils der Energie aus erneuerbaren Quellen werden die Methodik und die Begriffsbestimmungen gemäß der Verordnung (EG) Nr. 1099/2008 verwendet.
Die Mitgliedstaaten stellen sicher, dass die für die Berechnung des sektorspezifischen Anteils und des Gesamtanteils verwendeten statistischen Angaben und die der Kommission gemäß der genannten Verordnung übermittelten statistischen Angaben kohärent sind.
Artikel 8 Plattform der Union für die verstärkte Nutzung erneuerbarer Energie und statistische Transfers zwischen Mitgliedstaaten
(1) Die Mitgliedstaaten können sich auf den statistischen Transfer einer bestimmten Menge an Energie aus erneuerbaren Quellen aus einem Mitgliedstaat in einen anderen Mitgliedstaat einigen. Die transferierte Menge wird
(2) Um die Erfüllung des verbindlichen Gesamtziels der Union gemäß Artikel 3 Absatz 1 und der jeweiligen Beiträge der Mitgliedstaaten zu diesem Ziel gemäß Artikel 3 Absatz 2 dieser Richtlinie sowie um die statistischen Transfers nach Absatz 1 dieses Artikels zu erleichtern, richtet die Kommission eine Plattform der Union für die verstärkte Nutzung erneuerbarer Energie (Union renewable development platform - "URDP") ein. Die Mitgliedstaaten können freiwillig jährlich Daten zu ihren nationalen Beiträgen zum Ziel der Union, sowie jedwede Bezugswerte für die Überwachung der Fortschritte hinsichtlich der Verordnung (EU) , einschließlich einer Einschätzung, inwieweit der Anteil der erneuerbaren Energie voraussichtlich über oder unter ihren Beiträgen liegen wird, sowie einen Richtwert für den Preis, zu dem sie akzeptieren würden, die Überschussproduktion von Energie aus erneuerbaren Quellen an einen anderen Mitgliedstaat oder von einem anderen Mitgliedstaat zu transferieren, freiwillig bei der URDP einreichen. Der tatsächliche Preis dieser Transfers wird im Einzelfall mithilfe des auf der URDP bereitgestellten Mechanismus zur Abstimmung zwischen Angebot und Nachfrage festgesetzt.
(3) Die Kommission sorgt dafür, dass Angebot und Nachfrage bezüglich der Mengen erneuerbarer Energie, die bei der Berechnung des Anteils erneuerbarer Energie eines Mitgliedstaats berücksichtigt werden, über die URDP auf der Grundlage des Preises oder anderer Kriterien des den Transfer akzeptierenden Mitgliedstaats zusammengeführt werden können.
Der Kommission wird die Befugnis übertragen, im Einklang mit Artikel 35 delegierte Rechtsakte zu erlassen, um diese Richtlinie durch Einrichtung der URDP und durch Festlegung der Kriterien für den Abschluss von Transaktionen gemäß Absatz 5 zu ergänzen.
(4) Die in den Absätzen 1 und 2 genannten Vereinbarungen können für ein oder mehrere Kalenderjahre gelten. Solche Vereinbarungen zwischen den Mitgliedstaaten müssen spätestens 12 Monate nach Ablauf jedes Jahres, in dem sie gültig sind, der Kommission mitgeteilt oder auf der URDP abgeschlossen werden. Die der Kommission übermittelten Angaben umfassen auch die Menge und den Preis der betreffenden Energie. Wenn Transfers auf der URDP abgeschlossen werden, werden die beteiligten Parteien und die Informationen über den betreffenden Transfer dieser Transaktionen veröffentlicht.
(5) Ein Transfer wird wirksam, nachdem alle anzuwendenden Clearing-Bedingungen auf der URDP erfüllt sind oder alle am Transfer beteiligten Mitgliedstaaten der Kommission den Transfer mitgeteilt haben.
Artikel 9 Gemeinsame Projekte zwischen Mitgliedstaaten
(1) Zwei oder mehr Mitgliedstaaten können bei allen Arten von gemeinsamen Projekten zur Produktion von Elektrizität, Wärme oder Kälte aus erneuerbaren Quellen zusammenarbeiten. Die Zusammenarbeit kann private Betreiber einschließen.
(2) Die Mitgliedstaaten teilen der Kommission den Prozentsatz oder die Menge der Elektrizität, der Wärme oder der Kälte aus erneuerbaren Quellen mit, der bzw. die in einem beliebigen gemeinsamen Projekt in ihrem Hoheitsgebiet, das nach dem 25. Juni 2009 in Betrieb genommen wurde, oder mittels der erhöhten Kapazität einer Anlage, die nach Inkrafttreten dieser Richtlinie umgerüstet wurde, produziert wird und für die Zwecke dieser Richtlinie als auf den Anteil erneuerbarer Energie eines anderen Mitgliedstaats anrechenbar zu betrachten ist.
(3) Die Mitteilung nach Absatz 2 enthält Folgendes:
(4) Die Laufzeit eines gemeinsamen Projekts nach diesem Artikel darf über das Jahr 2030 hinausgehen.
(5) Eine nach diesem Artikel erfolgte Mitteilung darf nur in gegenseitigem Einvernehmen zwischen dem die Mitteilung machenden Mitgliedstaat und dem gemäß Absatz 3 Buchstabe c angegebenen Mitgliedstaat geändert oder widerrufen werden.
(6) Die Kommission erleichtert auf Ersuchen der betreffenden Mitgliedstaaten die Durchführung gemeinsamer Projekte der Mitgliedstaaten, und zwar vor allem durch spezielle technische Unterstützung und Unterstützung bei der Projektentwicklung.
Artikel 10 Wirkungen gemeinsamer Projekte zwischen Mitgliedstaaten
(1) Innerhalb von drei Monaten nach Ablauf jedes in den Zeitraum nach Artikel 9 Absatz 3 Buchstabe d fallenden Jahres versendet der Mitgliedstaat, der die Mitteilung nach Artikel 9 gemacht hat, ein Mitteilungsschreiben mit folgenden Angaben:
(2) Der mitteilende Mitgliedstaat sendet das Mitteilungsschreiben an den Mitgliedstaat, zu dessen Gunsten die Mitteilung erfolgte, und an die Kommission.
(3) Für die Zwecke dieser Richtlinie wird die Menge an Elektrizität oder Wärme oder Kälte aus erneuerbaren Energiequellen, die gemäß Absatz 1 Buchstabe b mitgeteilt wurde,
Artikel 11 Gemeinsame Projekte von Mitgliedstaaten und Drittländern
(1) Ein oder mehrere Mitgliedstaaten können mit einem oder mehreren Drittländern bei allen Arten gemeinsamer Projekte zur Produktion von Elektrizität aus erneuerbaren Quellen zusammenarbeiten. Die Zusammenarbeit kann private Betreiber einschließen und erfolgt unter uneingeschränkter Achtung des Völkerrechts.
(2) Aus erneuerbaren Quellen in einem Drittland produzierte Elektrizität wird bei der Berechnung der Anteile erneuerbarer Energie der Mitgliedstaaten nur berücksichtigt, wenn die folgenden Bedingungen erfüllt sind:
(3) Die Mitgliedstaaten können bei der Kommission beantragen, dass für die Zwecke von Absatz 4 und im Zusammenhang mit der Errichtung einer Verbindungsleitung mit einer sehr langen Vorlaufzeit zwischen einem Mitgliedstaat und einem Drittstaat die aus erneuerbaren Quellen stammende und in einem Drittstaat produzierte und konsumierte Elektrizität unter folgenden Bedingungen berücksichtigt wird:
(4) Der Prozentsatz oder die Menge der von einer Anlage im Hoheitsgebiet eines Drittlands produzierten Elektrizität, der bzw. die für die Zwecke dieser Richtlinie als auf den Anteil erneuerbarer Energie eines oder mehrerer Mitgliedstaaten anrechenbar zu betrachten ist, wird der Kommission mitgeteilt. Wenn mehr als ein Mitgliedstaat betroffen ist, wird die Aufteilung dieses Prozentsatzes oder dieser Menge auf die Mitgliedstaaten der Kommission mitgeteilt. Dieser Prozentsatz oder diese Menge darf die tatsächlich in die Union ausgeführte und dort verbrauchte Menge nicht überschreiten und muss der Menge gemäß Absatz 2 Buchstabe a Ziffern i und ii entsprechen und die Bedingungen des Absatzes 2 Buchstabe a erfüllen. Die Mitteilung erfolgt durch jeden Mitgliedstaat, auf dessen nationales Gesamtziel der Prozentsatz oder die Menge der Elektrizität angerechnet werden soll.
(5) Die Mitteilung nach Absatz 4 enthält Folgendes:
(6) Die Laufzeit eines gemeinsamen Projekts nach diesem Artikel darf über das Jahr 2030 hinausgehen.
(7) Eine nach diesem Artikel erfolgte Mitteilung darf nur in gegenseitigem Einvernehmen zwischen dem die Mitteilung machenden Mitgliedstaat und dem Drittland, das das gemeinsame Projekt gemäß Absatz 5 Buchstabe d bestätigt hat, geändert oder widerrufen werden.
(8) Die Mitgliedstaaten und die Union legen den einschlägigen Gremien der Energiegemeinschaft nahe, in Einklang mit dem Vertrag über die Energiegemeinschaft die Maßnahmen zu ergreifen, die erforderlich sind, damit die Vertragsparteien die Bestimmungen dieser Richtlinie für die Zusammenarbeit zwischen Mitgliedstaaten anwenden können.
Artikel 12 Wirkung gemeinsamer Projekte zwischen Mitgliedstaaten und Drittländern
(1) Innerhalb von 12 Monaten nach Ablauf jedes in den Zeitraum nach Artikel 11 Absatz 5 Buchstabe c fallenden Jahres versendet der mitteilende Mitgliedstaat ein Mitteilungsschreiben mit folgendem Inhalt:
(2) Die in Absatz 1 genannten Mitgliedstaaten senden das Mitteilungsschreiben an die Kommission und an das Drittland, das das gemeinsame Projekt gemäß Artikel 11 Absatz 5 Buchstabe d bestätigt hat.
(3) Zur Berechnung der Anteile erneuerbarer Energie im Rahmen dieser Richtlinie wird die aus erneuerbaren Quellen produzierte Menge an Elektrizität, die gemäß Absatz 1 Buchstabe b mitgeteilt wurde, der anrechenbaren Menge an Energie aus erneuerbaren Quellen hinzugerechnet, wenn der Anteil erneuerbarer Energie des Mitgliedstaats, der das Mitteilungsschreiben versendet, berechnet wird.
Artikel 13 Gemeinsame Förderregelungen
(1) Unbeschadet der Pflichten der Mitgliedstaaten nach Artikel 5 können zwei oder mehr Mitgliedstaaten auf freiwilliger Basis beschließen, ihre nationalen Förderregelungen zusammenzulegen oder teilweise zu koordinieren. In solchen Fällen kann eine bestimmte Menge an Energie aus erneuerbaren Quellen, die im Hoheitsgebiet eines teilnehmenden Mitgliedstaats produziert wird, auf den Anteil erneuerbarer Energie eines anderen teilnehmenden Mitgliedstaats angerechnet werden, wenn die betreffenden Mitgliedstaaten
Verteilungsregeln nach Unterabsatz 1 Buchstabe b) sind der Kommission spätestens drei Monate nach dem Ende des ersten Jahres, in dem sie wirksam wird, mitzuteilen.
(2) Innerhalb von drei Monaten nach Ende jedes Jahres versendet jeder Mitgliedstaat, der eine Mitteilung nach Absatz 1 Unterabsatz 1 Buchstabe b gemacht hat, ein Mitteilungsschreiben, in dem er die Gesamtmenge an Elektrizität oder Wärme oder Kälte aus erneuerbaren Quellen angibt, die in dem Jahr, für das die Verteilungsregel gelten soll, produziert wurde.
(3) Zur Berechnung der Anteile erneuerbarer Energie im Rahmen dieser Richtlinie wird die Menge an Elektrizität oder Wärme oder Kälte aus erneuerbaren Quellen, die gemäß Absatz 2 mitgeteilt wurde, nach der mitgeteilten Verteilungsregel zwischen den betreffenden Mitgliedstaaten neu aufgeteilt.
(4) Die Kommission verbreitet Leitlinien und bewährte Verfahren und unterstützt die betreffenden Mitgliedstaaten auf deren Ersuchen bei der Einführung gemeinsamer Förderregelungen in den Mitgliedstaaten.
Artikel 14 Kapazitätserhöhungen
Für die Zwecke des Artikels 9 Absatz 2 und des Artikels 11 Absatz 2 Buchstabe b werden Einheiten von Energie aus erneuerbaren Quellen, die auf die Erhöhung der Kapazität einer Anlage zurückzuführen sind, so behandelt, als seien sie in einer eigenständigen Anlage produziert worden, die zum Zeitpunkt der Kapazitätserhöhung in Betrieb genommen wurde.
Artikel 15 Verwaltungsverfahren, Rechtsvorschriften und Regelwerke
(1) Die Mitgliedstaaten stellen sicher, dass einzelstaatliche Vorschriften für die Genehmigungs-, Zertifizierungs- und Zulassungsverfahren, die auf Anlagen zur Produktion von Elektrizität, Wärme oder Kälte aus erneuerbaren Quellen und die angegliederten Übertragungs- und Verteilernetze sowie auf den Vorgang der Umwandlung von Biomasse in Biokraftstoffe, flüssige Biobrennstoffe und Biomasse-Brennstoffe oder sonstige Energieprodukte und auf flüssige oder gasförmige erneuerbare Kraftstoffe für den Verkehr nicht biogenen Ursprungs angewandt werden, verhältnismäßig und notwendig sind und zur Umsetzung des Prinzips Energieeffizienz an erster Stelle (energy efficiency first) beitragen.
Die Mitgliedstaaten ergreifen insbesondere angemessene Maßnahmen, um sicherzustellen, dass
(2) Die Mitgliedstaaten legen eindeutige technische Spezifikationen fest, die Geräte und Systeme, die erneuerbare Energie nutzen, erfüllen müssen, damit ihnen die Förderregelungen zugutekommen. Gibt es europäische Normen, einschließlich Umweltzeichen, Energiezeichen und sonstige von den europäischen Normungsgremien entwickelte technische Referenzsysteme, werden solche technischen Spezifikationen auf der Grundlage dieser Normen abgefasst. Solche technischen Spezifikationen dürfen nicht vorschreiben, wo die Geräte und Systeme zu zertifizieren sind, und dürfen kein Hindernis für das reibungslose Funktionieren des Binnenmarkts darstellen.
(3) Die Mitgliedstaaten stellen sicher, dass ihre zuständigen Behörden auf nationaler, regionaler und lokaler Ebene bei der Planung, auch bei der frühzeitigen Raumplanung, beim Entwurf, beim Bau und bei der Renovierung von städtischer Infrastruktur, Industrie-, Gewerbe- oder Wohngebieten und Energieinfrastruktur, einschließlich Netzen für Elektrizität, Fernwärme und -kälte sowie Erdgas und alternative Kraftstoffe, Vorschriften für die Integration und den Einsatz von erneuerbarer Energie, auch für die Eigenversorgung mit erneuerbarer Elektrizität und Erneuerbare-Energie-Gemeinschaften sowie die Nutzung unvermeidbarer Abwärme und -kälte, vorsehen. Die Mitgliedstaaten halten insbesondere lokale und regionale Verwaltungsstellen dazu an, Wärme und Kälte aus erneuerbaren Quellen, soweit angemessen, in die Planung der städtischen Infrastruktur einzubeziehen und sich mit den Netzbetreibern abzustimmen, damit berücksichtigt wird, wie sich Energieeffizienz- und Laststeuerungsprogramme sowie bestimmte Vorschriften auf die Eigenversorgung mit erneuerbarer Elektrizität und Erneuerbare-Energie-Gemeinschaften sowie auf die Pläne der Betreiber für den Ausbau der Infrastruktur auswirken.
(4) Die Mitgliedstaaten nehmen in ihre Bauvorschriften und Regelwerke geeignete Maßnahmen auf, um den Anteil aller Arten von Energie aus erneuerbaren Quellen im Gebäudebereich zu erhöhen.
Bei der Ausarbeitung solcher Maßnahmen oder in ihren Förderregelungen können die Mitgliedstaaten gegebenenfalls nationale Maßnahmen für eine deutliche Steigerung der Eigenversorgung mit erneuerbarer Elektrizität, der Energiespeicherung vor Ort und der Energieeffizienz, sowie für Kraft-Wärme-Kopplung und Passiv-, Niedrigenergie- oder Nullenergiehäuser berücksichtigen.
Die Mitgliedstaaten schreiben in ihren Bauvorschriften und Regelwerken oder auf andere Weise mit vergleichbarem Ergebnis vor, dass in neuen Gebäuden und in bestehenden Gebäuden, an denen größere Renovierungsarbeiten vorgenommen werden, ein Mindestmaß an erneuerbarer Energie genutzt wird, sofern dies technisch machbar, zweckmäßig und wirtschaftlich tragbar ist, unter Berücksichtigung der Ergebnisse der Kostenoptimalitätsberechnung gemäß Artikel 5 Absatz 2 der Richtlinie 2010/31/EU und sofern dies nicht zu einer Verschlechterung der Raumluftqualität führt. Die Mitgliedstaaten gestatten, dass dieses Mindestmaß unter anderem durch effiziente Fernwärme und -kälte erreicht wird, die zu einem wesentlichen Anteil auf der Nutzung von erneuerbarer Energie sowie von Abwärme und -kälte beruht.
Die Anforderungen nach Unterabsatz 1 gelten auch für die Streitkräfte, aber nur soweit ihre Anwendung nicht mit der Art und dem Hauptzweck der Tätigkeit der Streitkräfte kollidiert, und mit Ausnahme von Material, das ausschließlich für militärische Zwecke verwendet wird.
(5) Die Mitgliedstaaten stellen sicher, dass neu errichtete öffentliche Gebäude sowie bestehende öffentliche Gebäude, an denen größere Renovierungsmaßnahmen vorgenommen werden, auf nationaler, regionaler und lokaler Ebene ab dem 1. Januar 2012 eine Vorbildfunktion im Rahmen dieser Richtlinie erfüllen. Die Mitgliedstaaten können unter anderem zulassen, dass diese Verpflichtung durch die Einhaltung der Vorschriften für Niedrigstenergiegebäude gemäß der Richtlinie 2010/31/EU oder dadurch erfüllt wird, dass die Dächer öffentlicher oder gemischt privat und öffentlich genutzter Gebäude durch Dritte für Anlagen zur Produktion von Energie aus erneuerbaren Quellen genutzt werden.
(6) Mit Bezug auf ihre Bauvorschriften und Bauregelwerke fördern die Mitgliedstaaten die Verwendung von Systemen und Anlagen zur Wärme- und Kälteerzeugung aus erneuerbaren Quellen, die eine erhebliche Verringerung des Energieverbrauchs ermöglichen. Dazu verwenden die Mitgliedstaaten, sofern vorhanden, Energie- oder Ökozeichen oder sonstige auf nationaler Ebene oder auf Unionsebene entwickelte geeignete Zertifikate oder Normen und sorgen dafür, dass zu erneuerbaren, hochgradig energieeffizienten Alternativen sowie etwaigen Finanzierungsinstrumenten und Anreizen, auf die im Fall des Austauschs alter Anlagen zurückgegriffen werden kann, entsprechende Informationen und Beratungsleistungen angeboten werden, damit im Einklang mit der Richtlinie 2010/31/EU der Austausch alter Heizungsanlagen zügiger vonstattengehen und verstärkt zu Lösungen übergegangen werden kann, die auf erneuerbarer Energie beruhen.
(7) Die Mitgliedstaaten führen eine Bewertung ihres Potenzials im Bereich der Energie aus erneuerbaren Quellen und der Nutzung von Abwärme und -kälte im Wärme- und Kältesektor durch. Diese Bewertung umfasst gegebenenfalls auch eine Raumanalyse von Gebieten, die sich für einen Einsatz mit geringem Umweltrisiko eignen, geht auf das Potenzial kleiner Projekte auf der Ebene von Privathaushalten ein und wird in die zweite umfassende Bewertung, die gemäß Artikel 14 Absatz 1 der Richtlinie 2012/27/EU erstmals bis zum 31. Dezember 2020 vorzulegen ist, und in die nachfolgenden Aktualisierungen der umfassenden Bewertungen aufgenommen.
(8) Die Mitgliedstaaten müssen die rechtlichen und administrativen Hindernisse für langfristige Verträge über den Bezug von erneuerbarem Strom bewerten, unbegründete Hindernisse beseitigen und die Verbreitung solcher Verträge unterstützen. Die Mitgliedstaaten stellen sicher, dass derartige Verträge keinen unverhältnismäßigen oder diskriminierenden Verfahren sowie Umlagen und Abgaben unterworfen sind.
Die Mitgliedstaaten beschreiben Strategien und Maßnahmen, die zur Verbreitung von Verträgen über den Bezug von erneuerbarem Strom beitragen sollen, in ihren integrierten nationalen Energie- und Klimaplänen und den anschließenden Fortschrittsberichten gemäß der Verordnung (EU) .
Artikel 16 Organisation und Dauer des Verfahrens zur Genehmigungserteilung
(1) Die Mitgliedstaaten errichten oder benennen eine oder mehrere Anlaufstellen. Diese Anlaufstellen leisten auf Ersuchen des Antragstellers während des gesamten Verwaltungsverfahrens im Hinblick auf die Beantragung und die Erteilung der Genehmigung Beratung und Unterstützung. Von einem Antragsteller darf, während des gesamten Verfahrens, nicht verlangt werden, sich an mehr als eine Anlaufstelle zu wenden. Das Verfahren zur Genehmigungserteilung erstreckt sich auf die einschlägigen Verwaltungsgenehmigungen für den Bau, das Repowering und den Betrieb von Anlagen zur Produktion von Energie aus erneuerbaren Quellen, sowie die für deren Netzzugang erforderlichen Vermögenswerte. Das Verfahren zur Genehmigungserteilung umfasst alle Verfahren von der Bestätigung des Eingangs des Antrags bis zur Übermittlung des Ergebnisses des Verfahrens gemäß Absatz 2.
(2) Die Anlaufstelle führt den Antragsteller in transparenter Weise durch das Verwaltungsverfahren zur Genehmigungsbeantragung, bis die zuständigen Behörden am Ende des Verfahrens eine oder mehrere Entscheidungen treffen, stellt ihm alle erforderlichen Informationen zur Verfügung und bezieht gegebenenfalls andere Verwaltungsbehörden ein. Antragstellern ist es gestattet, die einschlägigen Unterlagen auch in digitaler Form einzureichen.
(3) Die Anlaufstelle stellt ein Verfahrenshandbuch für Projektträger im Bereich der Produktion erneuerbarer Energie bereit und stellt diese Informationen auch online zur Verfügung, wobei sie gesondert auch auf kleinere Projekte und Projekte von Eigenversorgern im Bereich erneuerbare Elektrizität eingeht. In den online veröffentlichten Informationen wird der Antragsteller auf die für seinen Antrag zuständige Anlaufstelle hingewiesen. Existieren in einem Mitgliedstaat mehrere Anlaufstellen, wird der Antragsteller in den online veröffentlichten Informationen auf die für seinen Antrag zuständige Anlaufstelle hingewiesen.
(4) Das Verfahren zur Genehmigungserteilung gemäß Absatz 1 dauert, unbeschadet des Absatzes 7, bei den für Kraftwerke geltenden Verfahren, einschließlich der einschlägigen Verfahren aller zuständigen Behörden, nicht länger als zwei Jahre. Der Zeitraum von zwei Jahren kann jedoch in durch außergewöhnliche Umstände hinreichend begründeten Fällen um bis zu einem Jahr verlängert werden.
(5) Bei Anlagen mit einer Stromerzeugungskapazität unter 150 kW darf das Verfahren zur Genehmigungserteilung, unbeschadet des Absatzes 7, nicht länger als ein Jahr dauern. In durch außergewöhnliche Umstände hinreichend begründeten Fällen kann dieser Zeitraum um bis zu einem Jahr verlängert werden.
Die Mitgliedstaaten stellen sicher, dass Antragsteller bei Streitigkeiten im Zusammenhang mit Verfahren zur Genehmigungserteilung und der Ausstellung von Genehmigungen für den Bau und den Betrieb von Anlagen zur Erzeugung erneuerbarer Energie leichten Zugang zu einfachen Streitbeilegungsverfahren, und gegebenenfalls auch zu alternativen Streitbeilegungsverfahren, haben.
(6) Die Mitgliedstaaten erleichtern das Repowering bestehender Anlagen zur Erzeugung erneuerbarer Energie, indem sie für ein vereinfachtes, zügiges Verfahren zur Genehmigungserteilung sorgen. Dieses Verfahren dauert nicht länger als ein Jahr.
In durch außergewöhnliche Umstände hinreichend begründenden Fällen, beispielsweise aus übergeordneten Sicherheitsgründen bei wesentlichen Auswirkungen eines Repowering-Projekts auf das Netz oder die ursprüngliche Kapazität, Größe oder Leistung der Anlage, kann diese Frist um bis zu einem Jahr verlängert werden.
(7) Die in diesem Artikel festgelegten Fristen lassen Verpflichtungen nach dem geltenden Umweltrecht der Union, gerichtliche Berufungsverfahren, Rechtsbehelfe und andere Gerichtsverfahren sowie alternative Streitbeilegungsverfahren, nichtgerichtliche Berufungsverfahren und Rechtsbehelfe unberührt und können sich um die Dauer dieser Verfahren verlängern.
(8) Die Mitgliedstaaten können sich in Bezug auf den Netzzugang von Repowering-Projekten für die Einführung eines Verfahrens der einfachen Mitteilung gemäß Artikel 17 Absatz 1 entscheiden. Wenn Mitgliedstaaten dies tun, ist das Repowering im Anschluss an eine Mitteilung an die zuständige Behörde zuzulassen, sofern keine erheblichen negativen ökologischen oder sozialen Auswirkungen zu erwarten sind. Die zuständige Behörde entscheidet innerhalb von sechs Monaten nach Eingang der Mitteilung, ob diese ausreichend ist.
Gelangt die zuständige Behörde zu dem Schluss, dass die Mitteilung ausreichend ist, erteilt sie die Genehmigung automatisch. Entscheidet die zuständige Behörde, dass die Mitteilung nicht ausreichend ist, muss erneut eine Genehmigung beantragt werden und es gelten die in Absatz 6 genannten Fristen.
Artikel 17 Verfahren der einfachen Mitteilung für den Netzzugang
(1) Die Mitgliedstaaten führen ein Verfahren der einfachen Mitteilung für den Netzzugang ein, wonach Anlagen oder aggregierte Produktionseinheiten von Eigenversorgern im Bereich erneuerbare Elektrizität und Demonstrationsprojekte im Bereich erneuerbare Energie mit einer Stromproduktionskapazität bis 10,8 kW - oder entsprechender Leistung bei anderen als dreiphasigen Anschlüssen - auf eine Mitteilung an den Verteilernetzbetreiber hin an das Netz angeschlossen werden.
Der Verteilernetzbetreiber kann sich innerhalb eines begrenzten Zeitraums nach der Mitteilung wegen begründeter Sicherheitsbedenken oder wegen technischer Inkompatibilität der Systemkomponenten dafür entscheiden, den beantragten Netzzugang zu verweigern oder einen anderen Netzanschlusspunkt vorzuschlagen. Trifft der Verteilernetzbetreiber eine positive Entscheidung oder ergeht innerhalb eines Monats nach der Mitteilung keine Entscheidung des Verteilernetzbetreibers, so kann die Anlage oder aggregierte Produktionseinheit angeschlossen werden.
(2) Die Mitgliedstaaten können für Anlagen und aggregierte Produktionseinheiten mit einer Stromproduktionskapazität von über 10,8 kW und bis 50 kW Verfahren der einfachen Mitteilung zulassen, sofern die Stabilität, die Zuverlässigkeit und die Sicherheit des Netzes gewahrt bleiben.
Artikel 18 Information und Ausbildung
(1) Die Mitgliedstaaten stellen sicher, dass allen wichtigen Akteuren wie Verbrauchern, einschließlich einkommensschwacher, bedürftiger Verbraucher, Eigenversorger im Bereich erneuerbare Elektrizität sowie Erneuerbare-Energie-Gemeinschaften, Bauunternehmern, Installateuren, Architekten, Lieferanten von Anlagen und Systemen für die Erzeugung von Wärme, Kälte und Elektrizität und Lieferanten von Fahrzeugen, die mit erneuerbarer Energie und in intelligenten Verkehrssystemen betrieben werden können, Informationen über Fördermaßnahmen zur Verfügung stehen.
(2) Die Mitgliedstaaten sorgen dafür, dass entweder von dem Lieferanten der Anlage oder des Systems oder von den zuständigen Behörden Informationen über die Nettovorteile, die Kosten und die Energieeffizienz von Anlagen und Systemen für die Nutzung von Wärme, Kälte und Elektrizität aus erneuerbaren Quellen bereitgestellt werden.
(3) Die Mitgliedstaaten stellen sicher, dass Installateuren von kleinen Biomassekesseln und -öfen, solaren Photovoltaik- und Solarwärmesystemen, oberflächennahen geothermischen Systemen und Wärmepumpen Zertifizierungssysteme oder gleichwertige Qualifikationssysteme zur Verfügung stehen. Diese Systeme können bestehenden Systemen und Strukturen gegebenenfalls Rechnung tragen und sind auf die in Anhang IV festgelegten Kriterien zu stützen. Jeder Mitgliedstaat erkennt die von anderen Mitgliedstaaten gemäß diesen Kriterien vorgenommenen Zertifizierungen an.
(4) Die Mitgliedstaaten stellen der Öffentlichkeit Informationen zu den Zertifizierungssystemen oder gleichwertigen Qualifikationssystemen gemäß Absatz 3 zur Verfügung. Die Mitgliedstaaten können außerdem ein Verzeichnis der gemäß Absatz 3 qualifizierten oder zertifizierten Installateure der Öffentlichkeit zur Verfügung stellen.
(5) Die Mitgliedstaaten stellen sicher, dass allen wichtigen Akteuren, insbesondere Planungsbüros und Architekten, Empfehlungen zur Verfügung gestellt werden, damit diese in der Lage sind, die optimale Kombination von Energie aus erneuerbaren Quellen, hocheffizienten Technologien und Fernwärme und -kälte bei der Planung, beim Entwurf, beim Bau und bei der Renovierung von Industrie-, Gewerbe- oder Wohngebieten sachgerecht in Erwägung zu ziehen.
(6) Die Mitgliedstaaten entwickeln - gegebenenfalls unter Beteiligung lokaler und regionaler Behörden - zweckdienliche Informations-, Sensibilisierungs-, Orientierungs- und/oder Ausbildungsprogramme, um die Bürger darüber zu informieren, wie sie ihre Rechte als aktive Kunden wahrnehmen können und welche Vorteile - einschließlich technischer und finanzieller Art - mit dem Ausbau und der Nutzung von Energie aus erneuerbaren Quellen, auch durch Eigenversorgung oder im Rahmen von Erneuerbare-Energie-Gemeinschaften, verbunden sind und welche praktischen Aspekte dabei zu beachten sind.
Artikel 19 Herkunftsnachweise für Energie aus erneuerbaren Quellen
(1) Um gegenüber den Endkunden den Anteil oder die Menge erneuerbarer Energie im Energiemix eines Energieversorgers sowie in der Energie, welche Verbrauchern im Rahmen von Verträgen geliefert wird, die sich auf den Verbrauch von erneuerbarer Energie beziehen, nachzuweisen, stellen die Mitgliedstaaten sicher, dass die Herkunft von erneuerbarer Energie als solche im Sinne dieser Richtlinie gemäß objektiven, transparenten und nichtdiskriminierenden Kriterien garantiert werden kann.
(2) Zu diesem Zweck sorgen die Mitgliedstaaten dafür, dass auf Anfrage eines Produzenten von Energie aus erneuerbaren Quellen ein Herkunftsnachweis ausgestellt wird, es sei denn, die Mitgliedstaaten beschließen, um dem Marktwert des Herkunftsnachweises Rechnung zu tragen, einem Produzenten, der finanzielle Förderung aus einer Förderregelung erhält, keinen Nachweis auszustellen. Die Mitgliedstaaten können vorsehen, dass Herkunftsnachweise für Energie aus nicht erneuerbaren Quellen ausgestellt werden. Die Ausstellung von Herkunftsnachweisen kann von einer Mindestkapazität abhängig gemacht werden. Ein Herkunftsnachweis gilt standardmäßig für 1 MWh. Für jede Einheit produzierte Energie wird nicht mehr als ein Herkunftsnachweis ausgestellt.
Die Mitgliedstaaten stellen sicher, dass dieselbe Einheit von Energie aus erneuerbaren Quellen nur einmal berücksichtigt wird.
Wenn ein Produzent finanzielle Förderung aus einer Förderregelung erhält, stellen die Mitgliedstaaten sicher, dass der Marktwert des Herkunftsnachweises für diese Produktion im Rahmen der betreffenden Förderregelung gebührend berücksichtigt wird.
Dass der Marktwert des Herkunftsnachweises gebührend berücksichtigt wurde, wird angenommen, wenn
Um den Marktwert des Herkunftsnachweises zu berücksichtigen, können die Mitgliedstaaten unter anderem entscheiden, dem Produzenten einen Herkunftsnachweis auszustellen und diesen unmittelbar zu entwerten.
Der Herkunftsnachweis hat keine Funktion in Bezug auf die Einhaltung des Artikels 3 durch die Mitgliedstaaten. Die Übertragung von Herkunftsnachweisen, sei es gesondert oder zusammen mit der physischen Übertragung von Energie, hat keine Auswirkungen auf die Entscheidung von Mitgliedstaaten, zur Einhaltung von Artikel 3 auf statistische Transfers, gemeinsame Projekte oder gemeinsame Förderregelungen zurückzugreifen; ebenso wenig hat sie Auswirkungen auf die Berechnung des Bruttoendenergieverbrauchs von erneuerbarer Energie gemäß Artikel 7.
(3) Für die Zwecke des Absatzes 1 gelten die Herkunftsnachweise zwölf Monate ab der Produktion der betreffenden Energieeinheit. Die Mitgliedstaaten sorgen dafür, dass alle Herkunftsnachweise, die nicht entwertet wurden, spätestens 18 Monate nach der Produktion der Energieeinheit ihre Gültigkeit verlieren. Die Mitgliedstaaten berücksichtigen ungültig gewordene Herkunftsnachweise bei der Berechnung ihres Restenergiemixes.
(4) Zu den in den Absätzen 8 und 13 genannten Kennzeichnungszwecken stellen die Mitgliedstaaten sicher, dass Energieunternehmen Herkunftsnachweise spätestens sechs Monate nach Ablauf ihrer Gültigkeit entwerten.
(5) Die Mitgliedstaaten oder benannten zuständigen Stellen überwachen die Ausstellung, Übertragung und Entwertung der Herkunftsnachweise. Die benannten zuständigen Stellen dürfen keine sich geografisch überschneidenden Verantwortlichkeiten haben, und die Stellen müssen von den Bereichen Produktion, Handel und Versorgung unabhängig sein.
(6) Die Mitgliedstaaten oder die benannten zuständigen Stellen schaffen geeignete Mechanismen, um sicherzustellen, dass die Herkunftsnachweise elektronisch ausgestellt, übertragen und entwertet werden und genau, zuverlässig und betrugssicher sind. Die Mitgliedstaaten und die benannten zuständigen Stellen sorgen dafür, dass die von ihnen auferlegten Anforderungen der Norm CEN - EN 16325 entsprechen.
(7) Der Herkunftsnachweis enthält mindestens folgende Angaben:
Auf Herkunftsnachweisen von Anlagen unter 50 kW können vereinfachte Angaben gemacht werden.
(8) Wird von einem Elektrizitätsversorger verlangt, den Anteil oder die Menge an Energie aus erneuerbaren Quellen in seinem Energiemix für die Zwecke des Artikels 3 Absatz 9 Buchstabe a der Richtlinie 2009/72/EG nachzuweisen, so verwendet er hierfür Herkunftsnachweise, es sei denn:
Wenn die Mitgliedstaaten auch für andere Energiearten Herkunftsnachweise vorgesehen haben, müssen die Versorgungsunternehmen zu Kennzeichnungszwecken den für die Art der gelieferten Energie vorgesehene Herkunftsnachweisart verwenden. Gleichermaßen können gemäß Artikel 14 Absatz 10 der Richtlinie 2012/27/EU erstellte Herkunftsnachweise verwendet werden, um etwaigen Anforderungen, die Menge der durch hocheffiziente Kraft-Wärme-Kopplung produzierten Elektrizität nachzuweisen, zu entsprechen. Wenn Elektrizität aus erneuerbaren Quellen durch hocheffiziente Kraft-Wärme-Kopplung erzeugt wird, darf für die Zwecke des Absatzes 2 nur ein Herkunftsnachweis ausgestellt werden, in dem beide Eigenschaften angegeben sind.
(9) Die Mitgliedstaaten erkennen die von anderen Mitgliedstaaten gemäß dieser Richtlinie ausgestellten Herkunftsnachweise ausschließlich als Nachweis der in Absatz 1 und Absatz 7 Unterabsatz 1 Buchstaben a bis f genannten Angaben an. Ein Mitgliedstaat kann die Anerkennung eines Herkunftsnachweises nur dann verweigern, wenn er begründete Zweifel an dessen Richtigkeit, Zuverlässigkeit oder Wahrhaftigkeit hat. Der Mitgliedstaat teilt der Kommission eine solche Verweigerung und deren Begründung mit.
(10) Stellt die Kommission fest, dass die Verweigerung der Anerkennung eines Herkunftsnachweises unbegründet ist, kann sie eine Entscheidung erlassen, die den betreffenden Mitgliedstaat zur Anerkennung des Herkunftsnachweises verpflichtet.
(11) Die Mitgliedstaaten erkennen von Drittländern ausgestellte Herkunftsnachweise nur dann an, wenn die Union mit diesem Drittland ein Abkommen über die gegenseitige Anerkennung von in der Union ausgestellten Herkunftsnachweisen und in diesem Drittland eingerichteten kompatiblen Herkunftsnachweissystemen geschlossen hat, und Energie direkt ein- oder ausgeführt wird.
(12) Ein Mitgliedstaat kann in Einklang mit dem Unionsrecht objektive, transparente und nichtdiskriminierende Kriterien für die Verwendung von Herkunftsnachweisen unter Einhaltung der Verpflichtungen nach Artikel 3 Absatz 9 der Richtlinie 2009/72/EG einführen.
(13) Die Kommission erstellt einen Bericht zur Bewertung der Möglichkeiten, ein unionsweites Ökolabel einzuführen, um die Nutzung von erneuerbarer Energie aus neuen Anlagen zu fördern. Die Energieversorger nutzen die in den Herkunftsnachweisen enthaltenen Angeben für den Nachweis, dass Anforderungen eines solchen Labels erfüllt sind.
Artikel 20 Netzzugang und -betrieb
(1) Soweit erforderlich, prüfen die Mitgliedstaaten die Notwendigkeit, die bestehende Gasnetzinfrastruktur auszuweiten, um die Einspeisung von Gas aus erneuerbaren Quellen zu erleichtern.
(2) Soweit erforderlich, verlangen die Mitgliedstaaten von den Fernleitungsnetz- und den Verteilernetzbetreibern in ihrem Hoheitsgebiet, dass sie technische Vorschriften in Übereinstimmung mit Artikel 8 der Richtlinie 2009/73/EG veröffentlichen; dies betrifft insbesondere Vorschriften für den Netzanschluss, die Anforderungen an die Gasqualität, odoriertes Gas und den Gasdruck. Die Mitgliedstaaten verlangen von den Fernleitungsnetz- und den Verteilernetzbetreibern ferner, dass sie die Tarife für den Anschluss von Gas aus erneuerbaren Quellen veröffentlichen, wobei sie objektive, transparente und nichtdiskriminierende Kriterien zugrunde legen.
(3) Auf der Grundlage ihrer im Einklang mit der Verordnung (EU) in den integrierten nationalen Energie- und Klimaplänen aufgenommenen Bewertung der Notwendigkeit, zur Verwirklichung des in Artikel 3 Absatz 1 dieser Richtlinie genannten Unionsziels neue mit erneuerbaren Energiequellen betriebene Fernwärme- und -kälteinfrastrukturen zu bauen, unternehmen die Mitgliedstaaten gegebenenfalls die notwendigen Schritte zur Entwicklung einer Fernwärme- und -kälteinfrastruktur, mit der der Ausbau der Wärme- und Kälteerzeugung aus großen Biomasse-, Solarenergie-, Umgebungsenergie- und Geothermieenergieanlagen sowie aus Abwärme und -kälte möglich ist.
Artikel 21 Eigenversorger im Bereich erneuerbare Elektrizität
(1) Die Mitgliedstaaten sorgen dafür, dass Verbraucher vorbehaltlich dieses Artikels Anspruch darauf haben, Eigenversorger im Bereich erneuerbare Elektrizität zu werden.
(2) Die Mitgliedstaaten sorgen dafür, dass Eigenversorger im Bereich erneuerbare Elektrizität individuell oder über Aggregatoren berechtigt sind,
(3) Die Mitgliedstaaten können Eigenversorgern im Bereich erneuerbare Elektrizität für die an Ort und Stelle verbleibende eigenerzeugte erneuerbare Elektrizität nichtdiskriminierende und verhältnismäßige Umlagen, Abgaben und Gebühren in einem oder mehrerer der folgenden Fälle auferlegen,
(4) Die Mitgliedstaaten stellen sicher, dass Eigenversorger im Bereich erneuerbare Elektrizität, die sich in demselben Gebäude, einschließlich Mehrfamilienhäusern, befinden, berechtigt sind, gemeinsam den Tätigkeiten gemäß Absatz 2 nachzugehen, und vorbehaltlich der Netzentgelte und sonstiger einschlägiger Umlagen, Gebühren, Abgaben und Steuern, denen die einzelnen Eigenversorger gegebenenfalls unterworfen sind, den Austausch der vor Ort produzierten erneuerbaren Energie untereinander vereinbaren dürfen. Die Mitgliedstaaten dürfen zwischen Eigenversorgern im Bereich erneuerbare Elektrizität und gemeinsam handelnden Eigenversorgern im Bereich erneuerbare Elektrizität unterscheiden. Jede solche Unterscheidung muss verhältnismäßig und hinreichend begründet sein.
(5) Anlagen von Eigenversorgern im Bereich erneuerbare Elektrizität können im Eigentum eines Dritten stehen oder hinsichtlich der Einrichtung, des Betriebs, einschließlich der Messung und Wartung, von einem Dritten betreut werden, wenn der Dritte weiterhin den Weisungen des Eigenversorgers im Bereich erneuerbare Elektrizität unterliegt. Der Dritte gilt selbst nicht als Eigenversorger im Bereich erneuerbare Elektrizität.
(6) Mitgliedstaaten schaffen einen Regulierungsrahmen, der es ermöglicht, den Ausbau der Eigenversorgung mit erneuerbarer Elektrizität - auf der Grundlage einer Bewertung der ungerechtfertigten Hindernisse und des Potenzials, die in ihrem Hoheitsgebiet und ihren Energienetzen in Bezug auf die Eigenversorgung mit erneuerbarer Elektrizität bestehen - zu unterstützen und zu erleichtern. Dieser Regulierungsrahmen sieht unter anderem Maßnahmen vor, mit der Zielsetzung, dass
Die Mitgliedstaaten nehmen in ihre integrierten nationalen Energie- und Klimapläne und ihre Fortschrittsberichte gemäß der Verordnung (EU) eine Kurzdarstellung der in diesem Regulierungsrahmen vorgesehenen Strategien und Maßnahmen und eine Bewertung der Umsetzung dieser Strategien bzw. Maßnahmen auf.
(7) Dieser Artikel gilt unbeschadet der Artikel 107 und 108 AEUV.
Artikel 22 Erneuerbare-Energie-Gemeinschaften
(1) Die Mitgliedstaaten stellen sicher, dass sich Endkunden und insbesondere Haushalte, unter Beibehaltung ihrer Rechte oder Pflichten als Endkunden, an einer Erneuerbare-Energie-Gemeinschaft beteiligen dürfen, ohne ungerechtfertigten oder diskriminierenden Bedingungen oder Verfahren unterworfen zu sein, durch die ihre Beteiligung an einer Erneuerbare-Energie-Gemeinschaft verhindert würde, sofern die Beteiligung im Fall von Privatunternehmen nicht deren gewerbliche oder berufliche Haupttätigkeit ist.
(2) Die Mitgliedstaaten stellen sicher, dass Erneuerbare-Energie-Gemeinschaften berechtigt sind,
(3) Die Mitgliedstaaten bewerten die bestehenden Hindernisse und das Entwicklungspotenzial von Erneuerbare-Energie-Gemeinschaften in ihrem jeweiligen Hoheitsgebiet.
(4) Die Mitgliedstaaten schaffen einen Regulierungsrahmen, der es ermöglicht, die Entwicklung von Erneuerbare-Energie-Gemeinschaften zu unterstützen und voranzubringen. Mit diesem Rahmen wird unter anderem sichergestellt, dass
(5) Die Kernaspekte des Regulierungsrahmens nach Absatz 4 und seiner Umsetzung sind Teil der Fortschrittsberichte und Aktualisierungen der integrierten nationalen Energie- und Klimapläne der Mitgliedstaaten gemäß der Verordnung (EU) .
(6) Die Mitgliedstaaten können vorsehen, dass Erneuerbare-Energie-Gemeinschaften für eine grenzüberschreitende Beteiligung offen sind.
(7) Unbeschadet der Artikel 107 und 108 AEUV berücksichtigen die Mitgliedstaaten bei der Konzipierung von Förderregelungen die Besonderheiten von Erneuerbare-Energie-Gemeinschaften, damit diese sich unter gleichen Bedingungen wie andere Marktteilnehmer um die Förderung bewerben können.
Artikel 23 Einbeziehung erneuerbarer Energie im Bereich Wärme- und Kälte
(1) Um die Nutzung erneuerbarer Energie im Wärme- und Kältesektor zu fördern, bemüht sich jeder Mitgliedstaat unbeschadet von Absatz 2 dieses Artikels um eine Steigerung des Anteils der erneuerbaren Energie in diesem Sektor um einen indikativen Richtwert von 1,3 Prozentpunkten gegenüber dem Anteil der erneuerbaren Energie im Wärme- und Kältesektor in 2020, der als Jahresdurchschnitt für die Zeiträume 2021-2025 und 2026-2030 ermittelt, als Anteil am nationalen Endenergieverbrauch ausgedrückt und nach der in Artikel 7 genannten Methode berechnet wird. Bei Mitgliedstaaten, in denen Abwärme und -kälte nicht genutzt werden, ist diese Steigerung auf einen Richtwert von 1,1 Prozentpunkten begrenzt. Die Mitgliedstaaten setzen gegebenenfalls vorrangig die besten verfügbaren Technologien ein.
(2) Für die Zwecke von Absatz 1 gilt für die Berechnung des Anteils erneuerbarer Energie im Wärme- und Kältesektor und der diesbezüglichen durchschnittlichen jährlichen Steigerungen, dass die Mitgliedstaaten
Bei der Auswahl von Maßnahmen zur Nutzung erneuerbarer Energie im Wärme- und Kältesektor können die Mitgliedstaaten Kosteneffizienzgesichtspunkte berücksichtigen, die die strukturellen Hemmnisse wiederspiegeln, die aufgrund eines hohen Anteils von Erdgas oder Kälte oder einer zerstreuten Siedlungsstruktur mit geringer Bevölkerungsdichte entstehen.
Wenn diese Maßnahmen dazu führen würden, dass eine niedrigere durchschnittliche jährliche Steigerung als die in Absatz 1 genannte erreicht wird, veröffentlichen die Mitgliedstaaten diese - beispielsweise im Rahmen ihrer integrierten nationalen energie- und klimabezogenen Fortschrittsberichte gemäß der Verordnung (EU) 2018/1999 - und legen der Kommission dazu eine Begründung einschließlich der gemäß Unterabsatz 2 dieses Absatzes gewählten Maßnahmen vor.
(3) Die Mitgliedstaaten können auf Grundlage objektiver und nichtdiskriminierender Kriterien eine Liste von Maßnahmen erstellen und veröffentlichen und können ausführende Stellen, wie Kraftstoffanbieter, öffentliche Stellen oder Fachgremien, benennen und veröffentlichen, die zu der in Absatz 1 genannten durchschnittlichen jährlichen Steigerung beitragen.
(4) Die in Absatz 1 festgelegte durchschnittliche jährliche Steigerung kann von den Mitgliedstaaten unter anderem durch eine oder mehrere der folgenden Optionen erreicht werden:
Wenn die Mitgliedstaaten Maßnahmen gemäß dem ersten Unterabsatz beschließen und umsetzen, bemühen sie sich sicherzustellen, dass sie allen Verbrauchern, insbesondere Verbrauchern in einkommensschwachen oder bedürftigen Haushalten, die das zur Nutzung der Vorteile nötige Startkapital andernfalls nicht aufbringen könnten, zugänglich sind.
(5) Die Mitgliedstaaten können die im Rahmen der nationalen Energieeinsparverpflichtungen gemäß Artikel 7 der Richtlinie 2012/27/EU eingerichteten Strukturen zur Durchführung und Überwachung der in Absatz 3 genannten Maßnahmen nutzen.
(6) Wenn gemäß Absatz 3 Stellen benannt werden, sorgen die Mitgliedstaaten dafür, dass der Beitrag solcher benannten Stellen messbar und überprüfbar ist und die benannten Stellen jährlich einen Bericht über die folgenden Elemente vorlegen:
Artikel 24 Fernwärme und -kälte
(1) Die Mitgliedstaaten stellen sicher, dass den Endverbrauchern in leicht zugänglicher Form, beispielsweise auf den Webseiten der Anbieter, auf den Jahresabrechnungen oder auf Anfrage, Informationen über die Gesamtenergieeffizienz und den Anteil erneuerbarer Energie ihrer Fernwärme- und -kältesysteme zur Verfügung gestellt werden.
(2) Die Mitgliedstaaten legen die erforderlichen Maßnahmen und Bedingungen fest, damit Kunden von Fernwärme- und -kältesystemen, die keine effizienten Fernwärme- und -kältesysteme sind, oder von denen nicht vorgesehen ist, dass sie sich bis zum 31. Dezember 2025 auf Grundlage eines von der zuständigen Behörde gebilligten Plans zu einem solchen System entwickeln, sich durch Kündigung oder Änderung ihres Vertrags abkoppeln können, um selbst Wärme und Kälte aus erneuerbaren Quellen zu produzieren.
Ist eine Vertragskündigung mit einer physischen Abkopplung verbunden, so kann sie an die Bedingung geknüpft werden, dass für die unmittelbar durch die physische Abkopplung verursachten Kosten und den nicht abgeschriebenen Teil der Vermögenswerte, die für die Wärme- und Kälteversorgung des betreffenden Kunden erforderlich waren, ein Ausgleich gezahlt wird.
(3) Die Mitgliedstaaten können das Recht, sich durch Kündigung oder Änderung des Vertrags abzukoppeln, nach Absatz 2 auf die Kunden beschränken, die belegen können, dass die geplante alternative Lösung für die Wärme- bzw. Kälteversorgung zu wesentlich besseren Ergebnissen bei der Gesamtenergieeffizienz führt. Die Bewertung der Gesamtenergieeffizienz der alternativen Lösung kann anhand des Ausweises über die Gesamtenergieeffizienz erfolgen.
(4) Die Mitgliedstaaten legen die Maßnahmen fest, die erforderlich sind, um sicherzustellen, dass Fernwärme- und -kältesysteme zu der Steigerung nach Artikel 23 Absatz 1 dieser Richtlinie beitragen, indem sie mindestens eine der beiden folgenden Optionen umsetzen:
a) Sie streben beim Anteil der Energie aus erneuerbaren Quellen und der Abwärme- und -kälte im Bereich Fernwärme oder -kälte gegenüber dem Anteil der Energie aus erneuerbaren Quellen und der Abwärme- und -kälte im Bereich Fernwärme oder -kälte in 2020 eine Steigerung um mindestens einen Prozentpunkt an, die jahresdurchschnittlich für den Zeitraum 2021-2025 und den Zeitraum 2026-2030 berechnet wird, indem sie Maßnahmen treffen, die diese durchschnittliche jährliche Steigerung in Jahren mit normalen klimatischen Bedingungen voraussichtlich bewirken.
Mitgliedstaaten, in denen der Anteil von Energie aus erneuerbaren Quellen und Abwärme und -kälte im Bereich Fernwärme und -kälte über 60 % beträgt, können jeden derartigen Anteil als Erbringung der durchschnittlichen jährlichen Steigerung gemäß Unterabsatz 1 dieses Buchstaben in Anrechnung bringen.
Die Mitgliedstaaten legen in ihren integrierten nationalen Energie- und Klimaschutzplänen gemäß der Verordnung (EU) 2018/1999 die Maßnahmen fest, die erforderlich sind, um die durchschnittliche jährliche Steigerung nach Unterabsatz 1 dieses Buchstaben zu verwirklichen.
b) Sie stellen sicher, dass die Betreiber von Fernwärme- und -kältesystemen verpflichtet sind, Anbietern von Energie aus erneuerbaren Quellen und von Abwärme und -kälte Zugang zum Netz zu gewähren, oder Drittanbietern anbieten müssen, Wärme oder Kälte aus erneuerbaren Quellen sowie Abwärme und -kälte in das Netz einzuspeisen und abzukaufen, auf Grundlage von durch die zuständigen Behörden der Mitgliedstaaten festgelegten nichtdiskriminierenden Kriterien, wenn sie
(5) Wenn ein Mitgliedstaat nach Absatz 4 Buchstabe b vorgeht, kann der Betreiber eines Fernwärme- oder -kältesystems die Einspeisung und den Abkauf der Wärme oder Kälte von Drittanbietern verweigern, wenn
Die Mitgliedstaaten stellen sicher, dass der Betreiber eines Fernwärme- und -kältesystems in den Fällen, in denen er einem Wärme- oder Kälteanbieter den Zugang nach dem ersten Unterabsatz verweigert, die zuständige Behörde gemäß Absatz 9 über die Gründe für die Verweigerung informiert und darüber, welche Bedingungen erfüllt und welche Maßnahmen im System getroffen werden müssten, um den Zugang zu ermöglichen.
(6) Wenn ein Mitgliedstaat nach Absatz 4 Buchstabe b vorgeht, können die Mitgliedstaaten Betreiber der folgenden Fernwärme- und -kältesysteme von der Anwendung dieses Buchstaben ausnehmen:
(7) Das Recht, sich nach Absatz 2 durch Kündigung oder Änderung des Vertrags abzukoppeln, kann von einzelnen Kunden, Zusammenschlüssen von Kunden oder Parteien, die die Interessen der Kunden wahrnehmen, ausgeübt werden. Bei Mehrfamilienhäusern kann die Möglichkeit, sich durch Kündigung oder Änderung des Vertrags abzukoppeln, im Einklang mit den geltenden gesetzlichen Vorschriften für Wohnungen nur für das ganze Gebäude wahrgenommen werden.
(8) Die Mitgliedstaaten verlangen von den Betreibern von Elektrizitätsverteilernetzen, dass sie in Zusammenarbeit mit den Betreibern von Fernwärme- und -kältesystemen in dem jeweiligen Gebiet mindestens alle vier Jahre eine Bewertung des Potenzials der Fernwärme- und -kältesysteme für die Erbringung von Bilanzierungs- und anderen Systemdiensten vornehmen, darunter Nachfragesteuerung und Speicherung überschüssiger Energie aus erneuerbaren Quellen, und dass sie prüfen, ob die Nutzung des ermittelten Potenzials gegenüber alternativen Lösungen ressourcenschonender und kostengünstiger wäre.
(9) Die Mitgliedstaaten stellen sicher, dass die Rechte der Verbraucher sowie die Vorschriften für den Betrieb von Fernwärme- und -kältesystemen im Einklang mit diesem Artikel eindeutig festgelegt sind und von der zuständigen Behörde durchgesetzt werden.
(10) Ein Mitgliedstaat kann von der Anwendung der Absätze 2 bis 9 absehen, wenn
Artikel 25 Einbeziehung erneuerbarer Energie im Verkehrssektor
(1) Damit erneuerbare Energie im Verkehrssektor durchgängig genutzt wird, verpflichtet jeder Mitgliedstaat die Kraftstoffanbieter, dafür zu sorgen, dass der Anteil erneuerbarer Energie am Endenergieverbrauch des Verkehrssektors bis 2030 einem von dem betreffenden Mitgliedstaat festgelegten indikativen Zielpfad entsprechend mindestens 14 % beträgt (Mindestanteil) und nach der in Artikel 26 und 27 festgelegten Methode berechnet wird. Die Kommission bewertet diese Verpflichtung, um bis 2023 einen Gesetzgebungsvorschlag zu unterbreiten, mit dem der Zielwert erhöht wird, wenn sich bei der Produktion erneuerbarer Energie weitere wesentliche Kostensenkungen ergeben, wenn dies notwendig ist, damit die Union ihre internationalen Dekarbonisierungsverpflichtungen erfüllen kann, oder wenn dies aufgrund eines wesentlichen Rückgangs des Energieverbrauchs in der Union gerechtfertigt ist.
Bei der Festlegung dieser Verpflichtung können die Mitgliedstaaten bestimmte Kraftstoffanbieter und Energieträger ausnehmen oder zwischen verschiedenen Kraftstoffanbietern und Energieträgern unterscheiden, um zu berücksichtigen, dass Technologien unterschiedlich weit ausgereift und mit unterschiedlichen Kosten verbunden sind.
Bei der Berechnung des Mindestanteils gemäß Unterabsatz 1
Innerhalb des Mindestanteils gemäß Unterabsatz 1 beträgt der Beitrag von fortschrittlichen Biokraftstoffen und Biogas, die aus den in Anhang IX Teil A aufgeführten Rohstoffen hergestellt werden am Anteil des Endenergieverbrauchs des Verkehrssektors, im Jahr 2022 mindestens 0,2 %, im Jahr 2025 mindestens 1 % und steigt bis 2030 auf mindestens 3,5 %.
Die Mitgliedstaaten können Kraftstoffanbieter, die nur Kraftstoffe in Form von Elektrizität und flüssigen oder gasförmigen erneuerbaren Kraftstoffen für den Verkehr nicht biogenen Ursprungs anbieten, von der Verpflichtung ausnehmen, bei diesen Kraftstoffen den Mindestanteil an fortschrittlichen Biokraftstoffen, anderen Biokraftstoffen und Biogas, die aus den in Anhang IX Teil A aufgeführten Rohstoffen hergestellt werden, zu erreichen.
Wenn die Mitgliedstaaten die Verpflichtung gemäß den Unterabsätzen 1 und 4 festlegen, um sicherzustellen, dass die darin festgelegten Anteile erreicht werden, können sie unter anderem auf Mengen, Energiegehalt oder Treibhausgasemissionen ausgerichtete Maßnahmen treffen, sofern die Mindestanteile nach den Unterabsätzen 1 und 4 nachweislich erreicht werden.
(2) Die Treibhausgaseinsparungen durch Nutzung flüssiger oder gasförmiger erneuerbarer Kraftstoffe für den Verkehr nicht biogenen Ursprungs betragen ab dem 1. Januar 2021 mindestens 70 %.
Die Kommission erlässt bis zum 1. Januar 2021 im Einklang mit Artikel 35 einen delegierten Rechtsakt, um diese Richtlinie durch die Festlegung geeigneter Mindestschwellenwerte für Treibhausgaseinsparungen wiederverwerteter kohlenstoffhaltiger Kraftstoffe im Wege einer Lebenszyklusanalyse unter Berücksichtigung der Besonderheiten der einzelnen Kraftstoffe, zu ergänzen.
Artikel 26 Besondere Kriterien für aus Nahrungs- und Futtermittelpflanzen produzierte Biokraftstoffe, flüssige Biobrennstoffe und Biomasse-Brennstoffe
(1) Bei der Berechnung des Bruttoendverbrauchs von Energie aus erneuerbaren Quellen gemäß Artikel 7 und des Mindestanteils gemäß Artikel 25 Absatz 1 Unterabsatz 1 eines Mitgliedstaats darf der Anteil von Biokraftstoffen und flüssigen Biobrennstoffen sowie von im Verkehrssektor verbrauchten Biomasse-Brennstoffen - sofern sie aus Nahrungs- und Futtermittelpflanzen gewonnen werden - höchstens einen Prozentpunkt höher sein als ihr Anteil am Endverbrauch von Energie im Bereich Straßen- und Schienenverkehr im Jahr 2020 in diesem Mitgliedstaat, wobei sein Anteil am Endenergieverbrauch im Bereich Straßen- und Schienenverkehr in diesem Mitgliedstaat höchstens 7 % betragen darf.
Wenn dieser Anteil in einem Mitgliedstaat unter 1 % liegt, darf er auf bis zu 2 % des Endenergieverbrauchs im Bereich Straßen- und Schienenverkehr erhöht werden.
Die Mitgliedstaaten können einen niedrigeren Grenzwert festlegen und für die Zwecke von Artikel 29 Absatz 1 zwischen verschiedenen Arten von aus Nahrungs- oder Futtermittelpflanzen gewonnenen Biokraftstoffen, flüssigen Biobrennstoffen und Biomasse-Brennstoffen unterscheiden, wobei die besten verfügbaren Daten zu den Auswirkungen in Bezug auf indirekte Landnutzungsänderungen zu berücksichtigen sind. Beispielsweise können die Mitgliedstaaten für den Anteil von Biokraftstoffen, flüssigen Biobrennstoffen und Biomasse-Brennstoffen, die aus Ölpflanzen gewonnen werden, einen niedrigeren Grenzwert festlegen.
Wenn der Anteil von aus Nahrungs- und Futtermittelpflanzen gewonnenen Biokraftstoffen und flüssigen Biobrennstoffen sowie im Verkehrssektor verbrauchten Biomasse-Brennstoffen in einem Mitgliedstaat auf einen Anteil von unter 7 % begrenzt ist und/oder ein Mitgliedstaat beschließt, diesen Anteil weiter zu begrenzen, kann dieser Mitgliedstaat den Mindestanteil gemäß Artikel 25 Absatz 1 Unterabsatz 1 entsprechend, aber um höchstens 7 Prozentpunkte, senken.
(2) Bei der Berechnung des Bruttoendverbrauchs von Energie aus erneuerbaren Quellen gemäß Artikel 7 und des Mindestanteils gemäß Artikel 25 Absatz 1 Unterabsatz 1 eines Mitgliedstaats darf der Anteil von aus Nahrungs- und Futtermittelpflanzen gewonnenen Biokraftstoffen, flüssigen Biobrennstoffen oder Biomasse-Brennstoffen mit einem hohen Risiko indirekter Landnutzungsänderungen, in deren Fall eine wesentliche Ausdehnung der Produktionsflächen auf Flächen mit hohem Kohlenstoffbestand zu beobachten ist, nicht über dem 2019 in dem betreffenden Mitgliedstaat verzeichneten Verbrauch solcher Kraftstoffe liegen, es sei denn, sie sind im Sinne dieses Absatzes als Biokraftstoffe, flüssige Biobrennstoffe oder Biomasse-Brennstoffe mit einem geringen Risiko indirekter Landnutzungsänderungen zu zertifizieren.
Ab 31. Dezember 2023 sinkt dieser Grenzwert, bis spätestens 31. Dezember 2030, stufenweise auf 0 %.
Die Kommission legt dem Europäischen Parlament und dem Rat bis zum 1. Februar 2019 einen Bericht darüber vor, wie weit die Ausdehnung der Produktion der betroffenen Nahrungs- und Futtermittelpflanzen weltweit fortgeschritten ist.
Die Kommission erlässt bis zum 1. Februar 2019 im Einklang mit Artikel 35 einen delegierten Rechtsakt, um diese Richtlinie durch Festlegung von Kriterien für die Zertifizierung als Biokraftstoff, flüssiger Biobrennstoff oder Biomasse-Brennstoff mit geringem Risiko indirekter Landnutzungsänderungen und für die Bestimmung der Rohstoffe mit einem hohen Risiko indirekter Landnutzungsänderungen, in deren Fall eine wesentliche Ausdehnung der Produktionsflächen auf Flächen mit hohem Kohlenstoffbestand zu beobachten ist, zu ergänzen. Der Bericht und der betreffende delegierte Rechtsakt beruhen auf den besten verfügbaren wissenschaftlichen Daten.
Bis zum 1. September 2023 überprüft die Kommission die Kriterien, die mit dem in Unterabsatz 4 genannten delegierten Rechtsakt festgelegt wurden, auf der Grundlage der besten verfügbaren wissenschaftlichen Daten und erlässt im Einklang mit Artikel 35 einen delegierten Rechtsakt, um diese Kriterien gegebenenfalls zu ändern und um für Biokraftstoffe, flüssige Biobrennstoffe und Biomasse-Brennstoffe mit einem hohen Risiko indirekter Landnutzungsänderungen, in deren Fall eine wesentliche Ausdehnung der Produktionsflächen auf Flächen mit hohem Kohlenstoffbestand zu beobachten ist, einen Zielpfad für die stufenweise Senkung ihres Beitrags zum Unionsziel nach Artikel 3 Absatz 1 und zum Mindestanteil nach Artikel 25 Absatz 1 Unterabsatz 1 aufzunehmen.
Artikel 27 Berechnungsregeln in Hinblick auf Mindestanteile von erneuerbarer Energie im Verkehrssektor
(1) Für die Berechnung der in den Artikel 25 Absatz 1 Unterabsatz 1 und 4 genannten Mindestanteile gelten die folgenden Bestimmungen:
Bei der Berechnung des Zählers ist der Anteil von Biokraftstoffen und Biogas, die aus den in Anhang IX Teil B aufgeführten Rohstoffen hergestellt werden, außer in Malta und Zypern, mit bis zu 1,7 % des Energiegehalts der auf dem Markt für den Verbrauch oder die Nutzung bereitgestellten Kraftstoffe für den Verkehr begrenzt. Die Mitgliedstaaten können diesen Grenzwert ändern, sofern dies angesichts der Verfügbarkeit des Rohstoffs gerechtfertigt ist. Alle solche Änderungen bedürfen der Genehmigung durch die Kommission.
(2) Zur Erbringung des Nachweises, dass die Mindestanteile nach Artikel 25 Absatz 1 eingehalten werden,
(3) Bei der Berechnung des Anteils erneuerbarer Elektrizität an der für Straßen- und Schienenfahrzeuge bereitgestellten Elektrizität für die Zwecke Absatz 1 dieses Artikels verweisen Mitgliedstaaten auf den Zeitraum von zwei Jahren vor dem Jahr, in dem die Elektrizität in ihrem Hoheitsgebiet bereitgestellt wurde.
Abweichend von Unterabsatz 1 dieses Absatzes kann Elektrizität, die aus einer direkten Verbindung mit einer erneuerbaren Elektrizität erzeugenden Anlage stammt und für Straßenfahrzeuge bereitgestellt wird, bei der Bestimmung des Anteils der Elektrizität für die Zwecke des Absatzes 1 dieses Artikels in vollem Umfang als erneuerbare Elektrizität angerechnet werden.
Damit dem erwarteten Anstieg der Nachfrage nach Elektrizität im Verkehrssektor über den aktuellen Ausgangswert hinaus mittels zusätzlicher Kapazitäten zur Erzeugung erneuerbarer Energie entsprochen werden kann, erarbeitet die Kommission einen Rahmen für die Zusätzlichkeit im Verkehrssektor und schlägt verschiedene Optionen dafür vor, wie der Ausgangswert für die einzelnen Mitgliedstaaten festgelegt und die Zusätzlichkeit ermittelt werden kann.
Für die Zwecke dieses Absatzes gilt, dass wenn Elektrizität entweder direkt oder über die Produktion von Zwischenprodukten zur Produktion flüssiger oder gasförmiger erneuerbarer Kraftstoffe für den Verkehr nicht biogenen Ursprungs genutzt wird, der zwei Jahre vor dem fraglichen Jahr ermittelte durchschnittliche Anteil der Elektrizität aus erneuerbaren Quellen, in dem Produktionsmitgliedstaat zur Bestimmung des Anteils erneuerbarer Energie verwendet wird.
Hingegen kann Elektrizität, die aus einer direkten Verbindung mit einer erneuerbaren Elektrizität erzeugenden Anlage stammt und die für die Produktion von flüssigen oder gasförmigen erneuerbaren Kraftstoffen für den Verkehr nicht biogenen Ursprungs eingesetzt wird, in vollem Umfang als erneuerbare Elektrizität angerechnet werden, wenn die Anlage
Aus dem Netz entnommene Elektrizität kann in vollem Umfang als erneuerbare Elektrizität angerechnet werden, wenn sie ausschließlich mittels erneuerbarer Energiequellen produziert wurde und nachweislich die Eigenschaften erneuerbarer Energie aufweist sowie etwaige sonstige entsprechende Kriterien erfüllt, sodass sichergestellt ist, dass ihre Eigenschaften als erneuerbare Energie nur einmal und nur in einem Endverbrauchssektor geltend gemacht werden.
Die Kommission erlässt bis zum 31. Dezember 2021 im Einklang mit Artikel 35 einen delegierten Rechtsakt, um diese Richtlinie durch die Einführung einer gemeinsamen europäischen Methode, in der detaillierte Vorschriften zur Einhaltung der Anforderungen von Unterabsatz 5 und 6 dieses Absatzes durch Wirtschaftsteilnehmer festgelegt werden, zu ergänzen.
Artikel 28 Andere Bestimmungen für erneuerbare Energie im Verkehrssektor
(1) Um das Risiko, dass einzelne Lieferungen in der Union mehrfach geltend gemacht werden, möglichst gering zu halten, verstärken die Mitgliedstaaten und die Kommission die Zusammenarbeit sowie gegebenenfalls den Datenaustausch zwischen den nationalen Systemen sowie zwischen den nationalen Systemen und den gemäß Artikel 30 eingerichteten freiwilligen Systemen und Prüfstellen. Wenn die zuständige Behörde eines Mitgliedstaats einen Betrug vermutet oder entdeckt, setzt sie die anderen Mitgliedstaaten darüber gegebenenfalls in Kenntnis.
(2) Die Kommission sorgt dafür, dass eine Unionsdatenbank eingerichtet wird, die die Rückverfolgung flüssiger und gasförmiger Kraftstoffe für den Verkehr ermöglicht, die auf den Zähler gemäß Artikel 27 Absatz 1 Buchstabe b angerechnet werden können oder für die Zwecke von Artikel 29 Absatz 1 Unterabsatz 1 berücksichtigt werden. Die Mitgliedstaaten verlangen von den betreffenden Wirtschaftsteilnehmern, dass sie in dieser Datenbank Angaben über die getätigten Transaktionen und die Nachhaltigkeitseigenschaften dieser Kraftstoffe machen, einschließlich ihrer Lebenszyklustreibhausgasemissionen, beginnend beim Ort ihrer Produktion bis hin zum Kraftstoffanbieter, der sie auf den Markt bringt. Die Mitgliedstaaten können eine nationale Datenbank einrichten, die mit der Datenbank der Union verknüpft ist, wobei sie sicherstellen, dass eingegebene Daten sofort zwischen den Datenbanken übermittelt werden.
Die Informationen, die erforderlich sind, um die Einhaltung der Anforderungen nach Artikel 25 Absatz 1 Unterabsatz 1 und 4 überprüfen zu können, sind von den Kraftstoffanbietern in die jeweils einschlägige Datenbank einzugeben.
(3) Bis zum 31. Dezember 2021 treffen die Mitgliedstaaten Maßnahmen, um die Verfügbarkeit von Kraftstoffen aus erneuerbaren Quellen für den Verkehrssektor in Hinblick darauf sicherzustellen, dass im Einklang mit den nationalen Strategierahmen gemäß der Richtlinie 2014/94 /EU öffentlich zugängliche Hochleistungsladestationen und andere Betankungsinfrastrukturen bereitgestellt werden.
(4) Die Mitgliedstaaten haben Zugang zu der Unionsdatenbank nach Absatz 2 dieses Artikels. Sie ergreifen Maßnahmen, um sicherzustellen, dass die Wirtschaftsteilnehmer richtige Daten in die jeweils einschlägige Datenbank eingeben. Die Kommission verlangt, dass bei der Prüfung der Einhaltung der Nachhaltigkeitskriterien für Biokraftstoffe, flüssige Biobrennstoffe und Biomasse-Brennstoffe im Rahmen der Systeme, die Gegenstand der Beschlüsse gemäß Artikel 30 Absatz 4 dieser Richtlinie sind, auch die Einhaltung dieser Anforderung geprüft wird. Sie veröffentlicht alle zwei Jahre aggregierte Daten aus der Unionsdatenbank gemäß der Verordnung (EU) 2018/1999.
(5) Die Kommission erlässt bis zum 31. Dezember 2021 im Einklang mit Artikel 35 delegierte Rechtsakte, um diese Richtlinie durch Festlegung der Methode zur Bestimmung des Anteils an Biokraftstoffen, und Biogas für den Verkehr, der sich aus der Verarbeitung von Biomasse in einem einzigen Verfahren mit fossilen Kraftstoffen ergibt, sowie der Methode zur Bewertung der Treibhausgaseinsparungen durch Nutzung flüssiger oder gasförmiger erneuerbarer Kraftstoffe für den Verkehr nicht biogenen Ursprungs sowie wiederverwerteter kohlenstoffhaltiger Kraftstoffe, wobei diese Methode sicherstellt, dass vermiedene Emissionen nicht gutgeschrieben werden, wenn für die Abscheidung dieses CO2 im Rahmen anderer Rechtsvorschriften bereits eine Gutschrift erteilt wurde, zu ergänzen.
(6) Bis zum 25. Juni 2019, und im Anschluss alle zwei Jahre, überprüft die Kommission die Auflistung der Rohstoffe in Anhang IX Teil A und B in Hinblick auf die Aufnahme von Rohstoffen in Einklang mit den in Unterabsatz 3 festgelegten Grundsätzen.
Der Kommission wird die Befugnis übertragen, im Einklang mit Artikel 35 delegierte Rechtsakte zu erlassen, um die Auflistung der Rohstoffe in Anhang IX Teil A und B durch Aufnahme, nicht aber durch Streichung von Rohstoffen zu ändern. Rohstoffe, die nur mit fortschrittlichen Technologien verarbeitet werden können, werden in Anhang IX Teil A aufgenommen. Rohstoffe, die mit ausgereiften Technologien zu Biokraftstoffen oder Biogas für den Verkehr verarbeitet werden können, werden in Anhang IX Teil B aufgenommen.
Solche delegierten Rechtsakte gründen auf eine Analyse des Potenzials des betreffenden Rohstoffs für die Produktion von Biokraftstoffen und Biogas für den Verkehr, wobei Folgendes zu berücksichtigen ist:
(7) Im Rahmen der zweijährlichen Bewertung der Fortschritte gemäß der Verordnung (EU) prüft die Kommission bis zum 31. Dezember 2025, ob die in Artikel 25 Absatz 1 Unterabsatz 4 festgelegte Verpflichtung bezüglich fortschrittlicher Biokraftstoffe und Biogas, die aus den in einem Anhang zu dieser Richtlinie aufgeführten Rohstoffen hergestellt werden, Innovation wirksam anregt und Treibhausgaseinsparungen im Verkehrssektor sicherstellt. Die Kommission untersucht bei dieser Bewertung auch, ob eine doppelte Anrechnung von erneuerbarer Energie durch die Anwendung dieses Artikels wirksam verhindert wird.
Die Kommission legt zur Änderung der in Artikel 25 Absatz 1 Unterabsatz 4 festgelegten Verpflichtung bezüglich fortschrittlicher Biokraftstoffe und Biogas, die aus den in einem Anhang zu dieser Richtlinie aufgeführten Rohstoffen hergestellt werden, gegebenenfalls einen Vorschlag vor.
Artikel 29 Nachhaltigkeitskriterien und Kriterien für Treibhausgaseinsparungen für Biokraftstoffe, flüssige Brennstoffe und Biomasse-Brennstoffes.a.VO (EU) 2022/2448
(1) Energie in Form von Biokraftstoffen, flüssigen Biobrennstoffen und Biomasse-Brennstoffen wird für die in den Buchstaben a, b und c genannten Zwecke nur dann berücksichtigt, wenn sie die in den Absätzen 2 bis 7 und 10 festgelegten Nachhaltigkeitskriterien und die Kriterien für die Treibhausgaseinsparungen erfüllen:
Aus Abfällen und Reststoffen, mit Ausnahme von land- und forstwirtschaftlichen Reststoffen und Reststoffen aus der Aquakultur und Fischerei, hergestellte Biokraftstoffe, flüssige Biobrennstoffe und Biomasse-Brennstoffe müssen jedoch lediglich die in Absatz 10 festgelegten Kriterien für Treibhausgaseinsparungen erfüllen, um für die in Buchstabe a, b und c genannten Zwecke berücksichtigt zu werden. Dieser Unterabsatz gilt auch für Abfälle und Reststoffe, die vor ihrer Weiterverarbeitung zu Biokraftstoffen, flüssigen Biobrennstoffen und Biomasse-Brennstoffen zuerst zu einem anderen Produkt verarbeitet werden.
Mit festen Siedlungsabfällen produzierte Elektrizität, Wärme und Kälte unterliegt nicht den in Absatz 10 festgelegten Kriterien für Treibhausgaseinsparungen.
Wenn Biomasse-Brennstoffe in Anlagen zur Produktion von Elektrizität, Wärme und Kälte oder Kraftstoffen - im Fall fester Biomasse-Brennstoffe mit einer Gesamtfeuerungswärmeleistung von 20 MW oder mehr und im Fall gasförmiger Biomasse-Brennstoffe mit einer Gesamtfeuerungswärmeleistung von 2 MW oder mehr - verwendet werden, müssen sie die in den Absätzen 2 bis 7 und 10 festgelegten Kriterien für die Nachhaltigkeit und für Treibhausgaseinsparungen erfüllen. Die Mitgliedstaaten können die Kriterien für die Nachhaltigkeit und für Treibhausgaseinsparungen auch auf Anlagen mit geringerer Gesamtfeuerungswärmeleistung anwenden.
Die Nachhaltigkeitskriterien und die Kriterien für Treibhausgaseinsparungen gemäß Absatz 2 bis 7 und 10 gelten unabhängig von der geografischen Herkunft der Biomasse.
(2) Biokraftstoffe, flüssige Biobrennstoffe und Biomasse-Brennstoffe, die aus Abfällen und Reststoffen hergestellt werden, die nicht von forstwirtschaftlichen, sondern von landwirtschaftlichen Flächen stammen, werden für die Zwecke von Absatz 1 Unterabsatz 1 Buchstabe a, b und c nur berücksichtigt, wenn die Betreiber oder die nationalen Behörden Überwachungs- oder Bewirtschaftungspläne festgelegt haben, um einer Beeinträchtigung der Bodenqualität und des Kohlenstoffbestands des Bodens zu begegnen. Informationen darüber, wie die Beeinträchtigung überwacht und gesteuert wird, sind gemäß Artikel 30 Absatz 3 zu melden.
(3) Biokraftstoffe, flüssige Biobrennstoffe und aus landwirtschaftlicher Biomasse produzierte Biomasse-Brennstoffe, die für die in Absatz 1 Unterabsatz 1 Buchstaben a, b und c genannten Zwecke berücksichtigt werden, dürfen nicht aus Rohstoffen hergestellt werden, die auf Flächen mit hohem Wert hinsichtlich der biologischen Vielfalt gewonnen wurden, das heißt auf Flächen, die im oder nach Januar 2008 folgenden Status hatten, unabhängig davon, ob die Flächen noch diesen Status haben:
sofern nicht nachgewiesen wird, dass die Gewinnung des Rohstoffs den genannten Naturschutzzwecken nicht zuwiderlief;
Die Kommission kann Durchführungsrechtsakte erlassen, um die Kriterien zur Bestimmung des Grünlands, das unter Unterabsatz 1 Buchstabe d dieses Absatzes fällt, weiter zu präzisieren. Diese Durchführungsrechtsakte sind in Einklang mit dem Prüfverfahren nach Artikel 34 Absatz 3 zu erlassen.
(4) Biokraftstoffe, flüssige Biobrennstoffe und aus landwirtschaftlicher Biomasse produzierte Biomasse-Brennstoffe, die für die in Absatz 1 Unterabsatz 1 Buchstaben a, b und c genannten Zwecke berücksichtigt werden, dürfen nicht aus Rohstoffen hergestellt werden, die auf Flächen mit hohem Kohlenstoffbestand gewonnen werden, das heißt auf Flächen, die im Januar 2008 einen im Folgenden genannten Status hatten, diesen Status aber nicht mehr haben:
Dieser Absatz findet keine Anwendung, wenn zum Zeitpunkt der Gewinnung des Rohstoffs die Flächen denselben Status hatten wie im Januar 2008.
(5) Biokraftstoffe, flüssige Biobrennstoffe und aus landwirtschaftlicher Biomasse produzierte Biomasse-Brennstoffe, die für die in Absatz 1 Unterabsatz 1 Buchstaben a, b und c genannten Zwecke berücksichtigt werden, dürfen nicht aus Rohstoffen hergestellt werden, die auf Flächen gewonnen werden, die im Januar 2008 Torfmoor waren, es sei denn, es wird der Nachweis dafür erbracht, dass nicht entwässerte Flächen für den Anbau und die Ernte dieses Rohstoffs nicht entwässert werden müssen.
(6) Biokraftstoffe, flüssige Biobrennstoffe und Biomasse-Brennstoffe aus forstwirtschaftlicher Biomasse, die für die Zwecke von Absatz 1 Unterabsatz 1 Buchstaben a, b und c Berücksichtigung finden, müssen zur Minderung der Gefahr, dass nicht nachhaltig produzierte forstwirtschaftliche Biomasse genutzt wird, die folgenden Kriterien erfüllen:
(7) Biokraftstoffe, flüssige Biobrennstoffe und Biomasse-Brennstoffe aus forstwirtschaftlicher Biomasse, die für die Zwecke von Absatz 1 Unterabsatz 1 Buchstabe a, b und c Berücksichtigung finden, müssen den folgenden Anforderungen für Landnutzung, Landnutzungsänderung und Forstwirtschaft (LULUCF) entsprechen:
(8) Die Kommission erlässt bis zum 31. Januar 2021 Durchführungsrechtsakte, worin sie Empfehlungen zu den Nachweisen für die Einhaltung der Kriterien gemäß den Absätzen 6 und 7 dieses Artikels festlegt. Diese Durchführungsrechtsakte werden nach dem in Artikel 34 Absatz 3 genannten Prüfverfahren erlassen.
(9) Auf Grundlage der verfügbaren Daten bewertet die Kommission bis zum 31. Dezember 2026, ob durch die Kriterien gemäß den Absätzen 6 und 7 auf wirksame Weise die Gefahr, dass nicht nachhaltig produzierte forstwirtschaftliche Biomasse genutzt wird, minimiert und den LULUCF-Kriterien entsprochen wird.
Die Kommission legt gegebenenfalls einen legislativen Vorschlag zur Änderung der in Absatz 6 und 7 festgelegten Kriterien für den Zeitraum nach 2030 vor.
(10) Die durch die Verwendung von Biokraftstoffen, flüssigen Biobrennstoffen und Biomasse-Brennstoffen erzielte Minderung der Treibhausgasemissionen, die für die in Absatz 1 genannten Zwecke berücksichtigt wird, muss
Es gilt, dass eine Anlage dann in Betrieb ist, wenn die physische Produktion von Biokraftstoffen, im Verkehrssektor verbrauchtem Biogas, und flüssigen Biobrennstoffen sowie die physische Produktion von Wärme, Kälte und Elektrizität aus Biomasse-Brennstoffen aufgenommen wurde.
Die durch die Verwendung von Biokraftstoffen, im Verkehrssektor verbrauchtem Biogas, flüssigen Biobrennstoffen und Biomasse-Brennstoffen in Wärme, Kälte und Elektrizität produzierenden Anlagen erzielte Treibhausgaseinsparungen wird im Einklang mit Artikel 31 Absatz 1 berechnet.
(11) Für die Zwecke von Absatz 1 Unterabsatz 1 Buchstabe a, b und c findet Elektrizität aus Biomasse-Brennstoffen nur Berücksichtigung, wenn sie eine oder mehrere der folgenden Anforderungen erfüllt:
Ausschließlich Elektrizität produzierende Anlagen werden für die Zwecke von Absatz 1 Unterabsatz 1 Buchstabe a, b und c nur berücksichtigt, wenn sie als Hauptbrennstoff keine fossilen Brennstoffe verwenden und die Bewertung gemäß Artikel 14 der Richtlinie 2012/27/EU ergibt, dass es keine kosteneffiziente Möglichkeit zur Nutzung hocheffizienter Kraft-Wärme-Kopplungstechnologie gibt.
Für die Zwecke des Absatzes 1 Unterabsatz 1 Buchstabe a und b dieses Artikels gilt dieser Absatz nur für Anlagen, die nach dem 25. Dezember 2021 den Betrieb aufnehmen oder auf die Nutzung von Biomasse-Brennstoffe umgestellt werden. Für die Zwecke des Absatzes 1 Unterabsatz 1 Buchstabe c dieses Artikels lässt dieser Absatz bis zum 25. Dezember 2021 genehmigte Förderungen aus Förderregelungen nach Artikel 4 unberührt.
Bei Anlagen mit einer geringeren Feuerungswärmeleistung können die Mitgliedstaaten höhere als die in Unterabsatz 1 genannten Energieeffizienzanforderungen zur Anwendung bringen.
Der erste Unterabsatz gilt nicht für Elektrizität aus Anlagen, die Gegenstand einer besonderen Mitteilung eines Mitgliedstaats an die Kommission aufgrund des ordnungsgemäß begründeten Vorliegens einer Gefahr für die Stromversorgungssicherheit sind. Bei der Bewertung der Mitteilung fasst die Kommission einen Beschluss unter Berücksichtigung der darin enthaltenen Elemente.
(12) Für die Zwecke von Absatz 1 Unterabsatz 1 Buchstabe a, b und c dieses Artikels, und unbeschadet von Artikel 25 und 26, dürfen die Mitgliedstaaten Biokraftstoffe und flüssige Biobrennstoffe, die in Übereinstimmung mit diesem Artikel gewonnen werden, nicht wegen anderer Nachhaltigkeitserwägungen außer Acht lassen. Dieser Absatz lässt die öffentliche Förderung im Rahmen von Förderregelungen, die vor dem 24. Dezember 2018 genehmigt werden, unberührt.
(13) Für die Zwecke von Absatz 1 Unterabsatz 1 Buchstabe c dieses Artikels können die Mitgliedstaaten für begrenzte Zeit von den Kriterien gemäß Absatz 2 bis 7 und 10 und 11 dieses Artikels abweichen, und andere Kriterien festlegen für
Die in diesem Absatz genannten anderen Kriterien sind Gegenstand einer gesonderten Mitteilung des jeweiligen Mitgliedstaats an die Kommission.
(14) Für die Zwecke von Absatz 1 Unterabsatz 1 Buchstabe a, b und c können die Mitgliedstaaten weitere Nachhaltigkeitskriterien für Biomasse-Brennstoffe einführen.
Bis zum 31. Dezember 2026 bewertet die Kommission die Folgen, die solche zusätzlichen Kriterien für den Binnenmarkt haben können, wobei sie gegebenenfalls auch Vorschläge unterbreitet, um ihre Harmonisierung sicherzustellen.
Artikel 30 Überprüfung der Einhaltung der Nachhaltigkeitskriterien und der Kriterien für Treibhausgaseinsparungen
(1) Werden Biokraftstoffe, flüssige Biobrennstoffe und Biomasse-Brennstoffe, oder andere Brennstoffe, die auf den Zähler gemäß Artikel 27 Absatz 1 Buchstabe b angerechnet werden können, für die in den Artikeln 23 und 25 sowie in Artikel 29 Absatz 1 Unterabsatz 1 Buchstabe a, b und c genannten Zwecke berücksichtigt, verpflichten die Mitgliedstaaten die Wirtschaftsteilnehmer nachzuweisen, dass die in Artikel 29 Absatz 2 bis 7 und 10 festgelegten Nachhaltigkeitskriterien und Kriterien für Treibhausgaseinsparungen erfüllt sind. Zu diesen Zwecken verpflichten sie die Wirtschaftsteilnehmer zur Verwendung eines Massenbilanzsystems, das
Durch das Massenbilanzsystem soll zudem sichergestellt werden, dass jede Lieferung nur einmal gemäß Artikel 7 Absatz 1 Unterabsatz 1 Buchstabe a, b oder c für die Berechnung des Bruttoendverbrauchs von Energie aus erneuerbaren Quellen berücksichtigt wird und dass Informationen dazu angegeben werden, ob für die Produktion der betreffenden Lieferung eine Förderung gewährt wurde und wenn ja, um welche Art von Förderregelung es sich handelte.
(2) Bei Verarbeitung einer Lieferung werden die Angaben hinsichtlich der Eigenschaften der Lieferung in Bezug auf die Nachhaltigkeit und Treibhausgaseinsparungen angepasst und im Einklang mit folgenden Vorschriften dem Output zugeordnet:
(3) Die Mitgliedstaaten treffen Maßnahmen, um sicherzustellen, dass die Wirtschaftsteilnehmer hinsichtlich der Einhaltung der in Artikel 25 Absatz 2 festgelegten und durch jenen Artikel angenommenen Mindestschwellenwerte für Treibhausgaseinsparungen sowie der in Artikel 29 Absatz 2 bis 7 und 10 festgelegten Nachhaltigkeitskriterien und Kriterien für Treibhausgaseinsparungen verlässliche Informationen vorlegen und dass die Wirtschaftsteilnehmer dem jeweiligen Mitgliedstaat auf Anfrage die Daten zur Verfügung zu stellen, die zur Zusammenstellung der Informationen verwendet wurden. Die Mitgliedstaaten verpflichten die Wirtschaftsteilnehmer, für ein angemessenes unabhängiges Audit der von ihnen vorgelegten Informationen zu sorgen und nachzuweisen, dass ein solches Audit erfolgt ist. Hinsichtlich der Einhaltung von Artikel 29 Absatz 6 Buchstabe a und Absatz 7 Buchstabe a kann bis zum Ersterfassungspunkt der forstwirtschaftlichen Biomasse das Erst- oder Zweitparteien-Audit verwendet werden. Das Audit erstreckt sich auf die Frage, ob die von den Wirtschaftsteilnehmern verwendeten Systeme genau, verlässlich und betrugssicher sind, wobei durch die Überprüfung auch sichergestellt wird, dass Materialien nicht absichtlich so verändert oder entsorgt werden, dass die Lieferung ganz oder teilweise zu Abfall oder Reststoffen werden könnte. Ferner werden die Häufigkeit und die Methode der Probenahme sowie die Zuverlässigkeit der Daten bewertet.
Die Verpflichtungen nach diesem Absatz gelten sowohl für in der Union produzierte als auch für importierte Biokraftstoffe, flüssige Biobrennstoffe, Biomasse-Brennstoffe, flüssige und gasförmige erneuerbare Kraftstoffe für den Verkehr nicht biogenen Ursprungs oder wiederverwertete kohlenstoffhaltige Kraftstoffe. Angaben zur geografischen Herkunft der Biokraftstoffe, flüssigen Biobrennstoffe und Biomasse-Brennstoffe der einzelnen Kraftstoffanbieter und zur Art der für sie verwendeten Rohstoffe werden Verbrauchern auf den Webseiten der Betreiber, der Versorger oder der jeweils zuständigen Behörden bereitgestellt und jährlich aktualisiert.
Die Mitgliedstaaten übermitteln die Angaben nach Unterabsatz 1 in aggregierter Form der Kommission. Diese veröffentlicht sie unter Wahrung der Vertraulichkeit wirtschaftlich sensibler Informationen in zusammengefasster Form auf der in der Verordnung (EU) 2018/1999 genannten Plattform für die elektronische Berichterstattung.
(4) Die Kommission kann beschließen, dass freiwillige nationale oder internationale Systeme, in denen Standards für die Produktion von Biokraftstoffen, flüssigen Biobrennstoffen oder Biomasse-Brennstoffen, oder anderen Brennstoffen, die auf den Zähler gemäß Artikel 27 Absatz 1 Buchstabe b angerechnet werden können, vorgegeben werden, genaue Daten zu den Treibhausgaseinsparungen für die Zwecke von Artikel 25 Absatz 2 und Artikel 29 Absatz 10 enthalten und als Nachweis dafür herangezogen werden dürfen, dass die Bestimmungen von Artikel 27 Absatz 3 und Artikel 28 Absatz 2 und 4 eingehalten werden, und/oder als Nachweis dafür herangezogen werden dürfen, dass Lieferungen von Biokraftstoff, flüssigem Brennstoff oder Biomasse-Brennstoffen den in Artikel 29 Absatz 2 bis 7 aufgeführten Nachhaltigkeitskriterien genügen. Für den Nachweis, dass den in Artikel 29 Absatz 6 und 7 festgelegten Anforderungen entsprochen wird, können die Betreiber beschließen, die erforderlichen Belege direkt auf Ebene des Gewinnungsgebiets vorzulegen. Die Kommission kann auch Flächen zum Schutz von seltenen, bedrohten oder gefährdeten Ökosystemen oder Arten, die in internationalen Übereinkünften anerkannt werden oder in den Verzeichnissen zwischenstaatlicher Organisationen oder der Internationalen Union für die Erhaltung der Natur aufgeführt sind, für die Zwecke von Artikel 29 Absatz 3 Unterabsatz 1 Buchstabe c Ziffer ii anerkennen.
Die Kommission kann beschließen, dass diese Systeme präzise Angaben über Maßnahmen enthalten, die zum Schutz von Boden, Wasser und Luft, zur Sanierung von degradierten Flächen und zur Vermeidung eines übermäßigen Wasserverbrauchs in Gebieten mit Wasserknappheit und zur Zertifizierung von Biokraftstoffen, flüssigen Biobrennstoffen und Biomasse-Brennstoffen, bei denen ein geringes Risiko indirekter Landnutzungsänderungen besteht, getroffen wurden.
(5) Die Kommission fasst Beschlüsse nach Absatz 4 in Form von Durchführungsrechtsakten. Diese werden in Einklang mit dem Prüfverfahren nach Artikel 34 Absatz 3 erlassen. Solche Beschlüsse sind nicht länger als fünf Jahre gültig.
Die Kommission verlangt, dass freiwillige Systeme, die Gegenstand eines Beschlusses nach Absatz 4 sind, bis zum 30. April jedes Jahres einen Bericht an die Kommission vorlegen, worin alle in der Verordnung (EU) 2018/1999 angeführten Punkte behandelt werden. Der Bericht bezieht sich auf das vorangegangene Kalenderjahr. Diese Pflicht zur Berichterstattung gilt nur für freiwillige Systeme, die seit mindestens 12 Monaten in Betrieb sind.
Die Kommission stellt die von freiwilligen Systemen vorgelegten Berichte, in aggregierter Form, oder, gegebenenfalls, in voller Länge, auf der in der Verordnung (EU) 2018/1999 genannten Plattform für die elektronische Berichterstattung zur Verfügung.
(6) Die Mitgliedstaaten können nationale Systeme einführen, in deren Rahmen die Einhaltung der in Artikel 29 Absatz 2 bis 7 und 10 festgelegten Kriterien für die Nachhaltigkeit und Treibhausgaseinsparungen und der in Artikel 25 Absatz 2 festgelegten und durch jenen Artikel sowie gemäß Artikel 28 Absatz 5 angenommenen, für flüssige und gasförmige erneuerbare Kraftstoffe für den Verkehr nicht biogenen Ursprungs und wiederverwertete kohlenstoffhaltige Kraftstoffe geltenden Mindestschwellenwerte für Treibhausgaseinsparungen entlang der gesamten Produktkette unter Beteiligung der zuständigen nationalen Behörden überprüft wird.
Ein Mitgliedstaat kann sein nationales System der Kommission melden. Die Kommission muss der Bewertung eines derartigen Systems Vorrang einräumen, um die gegenseitige bilaterale und multilaterale Anerkennung von Systemen zur Überprüfung der Vereinbarkeit mit den Nachhaltigkeitskriterien und den Kriterien für Treibhausgaseinsparungen für Biokraftstoffe, flüssige Biobrennstoffe und Biomasse-Brennstoffe und mit den in Artikel 25 Absatz 2 festgelegten und durch jenen Artikel angenommenen Mindestschwellenwerte für Treibhausgaseinsparungen für andere Brennstoffe, die auf den Zähler gemäß Artikel 27 Absatz 1 Buchstabe b angerechnet werden können, zu erleichtern. Die Kommission fasst Beschlüsse in Form von Durchführungsrechtsakten über die Vereinbarkeit eines solchen gemeldeten nationalen Systems mit den in dieser Richtlinie festgelegten Bedingungen. Diese Durchführungsrechtsakte werden in Einklang mit dem Prüfverfahren nach Artikel 34 Absatz 3 erlassen.
Ist der Beschluss positiv, so dürfen in Übereinstimmung mit diesem Artikel erstellte Systeme die gegenseitige Anerkennung der Systeme des jeweiligen Mitgliedstaats hinsichtlich der Überprüfung der Vereinbarkeit mit den Nachhaltigkeitskriterien und den Kriterien für Treibhausgaseinsparungen gemäß Artikel 29 Absatz 2 bis 7 und 10 sowie der in Artikel 25 Absatz 2 festgelegten und durch jenen Artikel angenommenen Mindestschwellenwerte für Treibhausgaseinsparungen nicht verweigern.
(7) Die Kommission kann nur dann Beschlüsse im Sinne von Absatz 4 fassen, wenn das betreffende System angemessenen Standards der Zuverlässigkeit, Transparenz und unabhängigen Audits entspricht und hinreichende Garantien dafür bietet, dass keine Materialien absichtlich so geändert oder entsorgt wurden, dass die Lieferung ganz oder teilweise unter Anhang IX fallen würde. Bei Systemen, mit denen die Treibhausgaseinsparung gemessen wird, müssen zudem die methodischen Anforderungen von Anhang V oder Anhang VI eingehalten werden. Im Falle von Flächen im Sinne des Artikels 29 Absatz 3 Unterabsatz 1 Buchstabe c Ziffer ii, die einen hohen Wert hinsichtlich der biologischen Vielfalt haben, müssen die Verzeichnisse dieser Flächen angemessenen Standards der Objektivität entsprechen und Kohärenz mit international anerkannten Standards aufweisen, wobei geeignete Beschwerdeverfahren vorzusehen sind.
Die freiwilligen Systeme nach Absatz 4 müssen mindestens jährlich eine Liste ihrer für unabhängige Audits eingesetzten Zertifizierungsstellen veröffentlichen, in der für jede Zertifizierungsstelle angegeben ist, von welcher Einrichtung oder nationalen öffentliche Stelle sie anerkannt wurde und von welcher Einrichtung oder nationalen öffentliche Stelle sie überwacht wird.
(8) Die Kommission erlässt zur Gewährleistung einer effizienten und einheitlichen Überprüfung der Einhaltung der Kriterien für die Nachhaltigkeit und Treibhausgaseinsparungen sowie der Bestimmungen bezüglich Biokraftstoffe, flüssige Biobrennstoffe und Biomasse-Brennstoffe mit einem geringen oder einem hohen Risiko direkter und indirekter Landnutzungsänderungen und insbesondere zur Verhinderung von Betrug Durchführungsrechtsakte, worin sie detaillierte Durchführungsbestimmungen, einschließlich angemessener Standards für Zuverlässigkeit, Transparenz und unabhängige Audits festlegt und vorschreibt, dass bei allen freiwilligen Systemen diese Standards angewandt werden. Diese Durchführungsrechtsakte werden in Einklang mit dem Prüfverfahren nach Artikel 34 Absatz 3 erlassen.
Bei der Festlegung dieser Standards durch Durchführungsrechtsakte berücksichtigt die Kommission insbesondere das Erfordernis, den Verwaltungsaufwand so weit wie möglich zu reduzieren. Die Durchführungsrechtsakte legen einen Zeitraum fest, in dem die freiwilligen Systeme diese Standards umsetzen müssen. Die Kommission kann Beschlüsse über die Anerkennung freiwilliger Systeme nach Absatz 4 aufheben, falls diese Systeme diese Standards nicht im vorgesehenen Zeitraum umgesetzt haben. Sollte ein Mitgliedstaat Bedenken äußern, dass ein freiwilliges System nicht gemäß den Standards für Zuverlässigkeit, Transparenz und unabhängige Audits, die die Grundlage für Beschlüsse gemäß Absatz 4 bilden, funktioniert, so prüft die Kommission die Angelegenheit und ergreift geeignete Maßnahmen.
(9) Wenn ein Wirtschaftsteilnehmer Nachweise oder Daten vorlegt, die im Einklang mit einem System eingeholt wurden, das Gegenstand eines Beschlusses im Sinne von Absatz 4 oder 6 dieses Artikels ist, darf ein Mitgliedstaat, soweit dieser Beschluss dies vorsieht, von dem Lieferanten keine weiteren Nachweise für die Einhaltung der Nachhaltigkeitskriterien und der Kriterien für Treibhausgaseinsparungen gemäß Artikel 29 Absatz 2 bis 7 und 10 verlangen.
Die zuständigen Behörden der Mitgliedstaaten überwachen die Arbeitsweise der Zertifizierungsstellen, die unabhängige Audits im Rahmen eines freiwilligen Systems durchführen. Die Zertifizierungsstellen übermitteln auf Antrag der zuständigen Behörden alle relevanten Informationen, die zur Überwachung der Arbeitsweise erforderlich sind, einschließlich genauer Angaben zu Datum, Uhrzeit und Ort der Durchführung der Audits. Sollten die Mitgliedstaaten Probleme bei der Einhaltung feststellen, so setzen sie das freiwillige System unverzüglich davon in Kenntnis.
(10) Auf Antrag eines Mitgliedstaats, der auf dem Antrag eines Wirtschaftsteilnehmers beruhen kann, prüft die Kommission auf der Grundlage der vorliegenden Nachweise, ob die in Artikel 29 Absatz 2 bis 7 und 10 festgelegten Nachhaltigkeitskriterien und Kriterien für Treibhausgaseinsparungen in Bezug auf eine Quelle von Biokraftstoffen, flüssigem Biobrennstoffen oder Biomasse-Brennstoffen und die in Artikel 25 Absatz 2 festgelegten und durch jenen Artikel angenommenen Mindestschwellenwerte für Treibhausgaseinsparungen eingehalten wurden.
Innerhalb von sechs Monaten nach Eingang eines solchen Antrags beschließt die Kommission gemäß dem in Artikel 34 Absatz 3 genannten Prüfverfahren, im Wege eines Durchführungsrechtsaktes, ob der betreffende Mitgliedstaat entweder
a) aus dieser Quelle stammende Biokraftstoffe, flüssige Biobrennstoffe, Biomasse-Brennstoffe oder andere Brennstoffe, die auf den Zähler gemäß Artikel 27 Absatz 1 Buchstabe b angerechnet werden können, für die Zwecke von Artikel 29 Absatz 1 Unterabsatz 1 Buchstaben a, b und c berücksichtigen darf oder
b) abweichend von Absatz 9 dieses Artikels von Anbietern der betreffenden Quelle von Biokraftstoffen, flüssigen Biobrennstoffen, Biomasse-Brennstoffen und anderen Brennstoffen, die auf den Zähler gemäß Artikel 27 Absatz 1 Buchstabe b angerechnet werden können, weitere Nachweise für die Einhaltung jener Nachhaltigkeitskriterien und der Kriterien für Treibhausgaseinsparungen nach Artikel 29 Absatz 2 bis 7 und 10 und der in Artikel 25 Absatz 2 festgelegten und durch jenen Artikel angenommenen Mindestschwellenwerte für Treibhausgaseinsparungen verlangen darf.
Artikel 31 Berechnung des Beitrags von Biokraftstoffen, flüssigen Biobrennstoffen und Biomasse-Brennstoffen zum Treibhauseffekt
(1) Für die Zwecke des Artikels 29 Absatz 10 wird die durch die Verwendung von Biokraftstoffen, flüssigen Biobrennstoffen und Biomasse-Brennstoffen erzielte Treibhausgaseinsparung nach einer der folgenden Methoden berechnet:
(2) Die Mitgliedstaaten können der Kommission Berichte mit Angaben zu den typischen Treibhausgasemissionen aus dem Anbau von landwirtschaftlichen Rohstoffen in den Gebieten ihres Hoheitsgebiets unterbreiten, die als Regionen der Ebene 2 der Klassifikation der "Gebietseinheiten für die Statistik" (NUTS) oder als stärker disaggregierte NUTS-Ebenen im Einklang mit der Verordnung (EG) Nr. 1059/2003 des Europäischen Parlaments und des Rates 27 eingestuft sind. Den Berichten ist eine Beschreibung der zur Berechnung des Emissionsniveaus verwendeten Methode und Datenquellen beigefügt. Diese Methode berücksichtigt Bodeneigenschaften, Klima und voraussichtliche Rohstoffernteerträge.
(3) Im Fall von Gebieten außerhalb der Union können der Kommission Berichte übermittelt werden, die den in Absatz 2 genannten Berichten gleichwertig sind und die von zuständigen Stellen erstellt wurden.
(4) Die Kommission kann in einem Durchführungsrechtsakt beschließen, dass Berichte nach Absatz 2 und 3 für die Zwecke von Artikel 29 Absatz 10 genaue Daten für die Messung der Treibhausgasemissionen enthalten, die auf den Anbau von in solchen Berichten genannten Gebieten hergestellten Rohstoffen für landwirtschaftliche Biomasse zurückgehen. Diese Durchführungsrechtsakte werden in Einklang mit dem Prüfverfahren nach Artikel 34 Absatz 3 erlassen.
Gemäß solcher Beschlüsse können diese Daten anstelle der für Biokraftstoffe und flüssige Biobrennstoffe in Anhang V Teil D oder Teil E und für Biomasse-Brennstoffe in Anhang VI Teil C festgelegten disaggregierten Standardwerten für den Anbau verwendet werden.
(5) Die Kommission überprüft Anhang V und Anhang VI im Hinblick auf die Hinzufügung oder Überarbeitung - sofern gerechtfertigt - von Werten für Produktionswege für Biokraftstoffe, flüssige Biobrennstoffe und Biomasse-Brennstoffe. Bei dieser Überprüfung wird auch die Änderung der Methoden nach Anhang V Teil C und Anhang VI Teil B in Erwägung gezogen.
Die Kommission hat die Befugnis, gegebenenfalls gemäß Artikel 35 delegierte Rechtsakte zu erlassen, um Anhang V oder Anhang VI durch Hinzufügung oder Überarbeitung oder Änderungen der Methoden zu ändern.
Ist im Fall einer Anpassung oder Ergänzung der Standardwerte in Anhang V und Anhang VI
(6) Falls dies zur Gewährleistung der einheitlichen Anwendung von Anhang V Teil C und Anhang VI Teil B erforderlich ist, kann die Kommission Durchführungsrechtsakte mit genauen technischen Spezifikationen, einschließlich Definitionen, Umrechnungsfaktoren, Berechnungen jährlicher Emissionen aus dem Anbau, entsprechenden Emissionseinsparungen durch unter- und oberirdische Änderungen des Kohlenstoffbestands von bereits landwirtschaftlich genutzten Flächen, sowie Berechnungen der Emissionseinsparungen durch Abscheidung, Einleitung und geologische Speicherung von CO2, erlassen. Diese Durchführungsrechtsakte werden gemäß dem in Artikel 34 Absatz 3 genannten Prüfverfahren erlassen.
Artikel 32 Durchführungsrechtsakte
Die in Artikel 29 Absatz 3 Unterabsatz 2 und Absatz 8, Artikel 30 Absatz 5 Unterabsatz 1, Artikel 30 Absatz 6 Unterabsatz 2, Artikel 30 Absatz 8 Unterabsatz 1, Artikel 31 Absatz 4 Unterabsatz 1 sowie Artikel 31 Absatz 6 dieser Richtlinie genannten Durchführungsmaßnahmen berücksichtigen vollständig die Zwecke der Bestimmungen über Treibhausgaseinsparungen nach Artikel 7a der Richtlinie 98/70/EG des Europäischen Parlaments und des Rates 28.
Artikel 33 Überwachung durch die Kommission
(1) Die Kommission überwacht die Herkunft von Biokraftstoffen, flüssigen Biobrennstoffen und Biomasse-Brennstoffen, die in der Union verbraucht werden, und die Auswirkungen ihrer Produktion - einschließlich der Auswirkungen von Verdrängungseffekten - auf die Flächennutzung in der Union und in den wichtigsten Lieferdrittländern. Die Überwachung stützt sich auf die integrierten nationalen Energie- und Klimapläne der Mitgliedstaaten und die entsprechenden Fortschrittsberichte gemäß , und der Verordnung (EU) 2018/1999, sowie auf Berichte einschlägiger Drittländer und zwischenstaatlicher Organisationen, wissenschaftliche Studien und alle sonstigen relevanten Informationen. Die Kommission überwacht auch die mit der energetischen Nutzung von Biomasse verbundenen Rohstoffpreisänderungen sowie damit verbundene positive und negative Folgen für die Nahrungsmittelsicherheit.
(2) Die Kommission pflegt einen Dialog und einen Informationsaustausch mit Drittländern, Produzenten von Biokraftstoffen, flüssigen Biobrennstoffen und Biomasse-Brennstoffen, Verbraucherorganisationen sowie mit der Zivilgesellschaft über die allgemeine Durchführung der Maßnahmen dieser Richtlinie in Bezug auf Biokraftstoffe, flüssige Biobrennstoffe und Biomasse-Brennstoffe. Den etwaigen Auswirkungen der Produktion von Biokraftstoff, flüssigem Biobrennstoff und Biomasse-Brennstoff auf die Nahrungsmittelpreise widmet sie hierbei besondere Aufmerksamkeit.
(3) Im Jahr 2026 legt die Kommission gegebenenfalls einen Gesetzgebungsvorschlag über einen Rechtsrahmen für die Förderung von Energie aus erneuerbaren Quellen für den Zeitraum nach 2030 vor.
Zu diesem Zweck werden in diesem Vorschlag die Erfahrungen mit der Umsetzung dieser Richtlinie, einschließlich ihrer Kriterien für die Nachhaltigkeit und für Treibhausgaseinsparungen, und die technologischen Entwicklungen im Bereich Energie aus erneuerbaren Quellen berücksichtigt.
(4) Im Jahr 2032 veröffentlicht die Kommission einen Bericht mit einer Überprüfung der Anwendung dieser Richtlinie.
Artikel 34 Ausschussverfahren
(1) Die Kommission wird von dem nach der Verordnung (EU) 2018/1999 eingerichteten Ausschuss der Energieunion unterstützt.
(2) Ungeachtet Absatz 1 wird die Kommission in Fragen der Nachhaltigkeit von Biokraftstoffen, flüssigen Biobrennstoffen und Biomasse-Brennstoffen von dem Ausschuss für die Nachhaltigkeit von Biokraftstoffen, flüssigen Biobrennstoffen und Biomasse-Brennstoffen unterstützt. Dieser Ausschuss ist ein Ausschuss im Sinne der Verordnung (EU) Nr. 182/2011.
(3) Wird auf diesen Absatz Bezug genommen, so gilt Artikel 5 der Verordnung (EU) Nr. 182/2011.
Gibt der Ausschuss keine Stellungnahme ab, so erlässt die Kommission den Durchführungsrechtsakt nicht und Artikel 5 Absatz 4 Unterabsatz 3 der Verordnung (EU) Nr. 182/2011 findet Anwendung.
Artikel 35 Ausübung der Befugnisübertragung
(1) Die Befugnis zum Erlass delegierter Rechtsakte wird der Kommission unter den in diesem Artikel festgelegten Bedingungen übertragen.
(2) Die Befugnis zum Erlass der in Artikel 8 Absatz 3 Unterabsatz 2, Artikel 25 Absatz 2 Unterabsatz 2, Artikel 26 Absatz 2 Unterabsatz 4 und 5, Artikel 27 Absatz 1 Buchstabe c und Absatz 3 Unterabsatz 7, Artikel 28 Absatz 5 und Absatz 6 Unterabsatz 2, und Artikel 31 Absatz 5 Unterabsatz 2 genannten delegierten Rechtsakte wird der Kommission für einen Zeitraum von fünf Jahren ab dem 24. Dezember 2018 übertragen. Die Kommission erstellt spätestens neun Monate vor Ablauf des Zeitraums von fünf Jahren einen Bericht über die Befugnisübertragung. Die Befugnisübertragung verlängert sich stillschweigend um Zeiträume gleicher Länge, es sei denn, das Europäische Parlament oder der Rat widersprechen einer solchen Verlängerung spätestens drei Monate vor Ablauf des jeweiligen Zeitraums.
(3) Die Befugnis zum Erlass delegierter Rechtsakte gemäß Artikel 7 Absatz 3 Unterabsatz 5 wird der Kommission bis zum 31. Dezember 2021 übertragen.
(4) Die Befugnisübertragung gemäß Artikel 7 Absatz 3 Unterabsatz 5, Artikel 8 Absatz 3 Unterabsatz 2, Artikel 25 Absatz 2 Unterabsatz 2, Artikel 26 Absatz 2 Unterabsatz 4 und 5, Artikel 27 Absatz 1 Buchstabe c und Absatz 3 Unterabsatz 7, Artikel 28 Absatz 5 und Absatz 6 Unterabsatz 2, und Artikel 31 Absatz 5 Unterabsatz 2 kann vom Europäischen Parlament oder vom Rat jederzeit widerrufen werden. Der Beschluss über den Widerruf beendet die Übertragung der in diesem Beschluss angegebenen Befugnis. Er wird am Tag nach seiner Veröffentlichung im Amtsblatt der Europäischen Union oder zu einem im Beschluss über den Widerruf angegebenen späteren Zeitpunkt wirksam. Die Gültigkeit von delegierten Rechtsakten, die bereits in Kraft sind, wird von dem Beschluss über den Widerruf nicht berührt.
(5) Vor dem Erlass eines delegierten Rechtsakts konsultiert die Kommission die von den einzelnen Mitgliedstaaten benannten Sachverständigen im Einklang mit den in der Interinstitutionellen Vereinbarung über bessere Rechtsetzung vom 13. April 2016 enthaltenen Grundsätzen.
(6) Sobald die Kommission einen delegierten Rechtsakt erlässt, übermittelt sie ihn gleichzeitig dem Europäischen Parlament und dem Rat.
(7) Ein delegierter Rechtsakt, der gemäß Artikel 7 Absatz 3 Unterabsatz 5, Artikel 8 Absatz 3 Unterabsatz 2, Artikel 25 Absatz 2 Unterabsatz 2, Artikel 26 Absatz 2 Unterabsatz 4 und 5, Artikel 27 Absatz 1 Buchstabe c und Absatz 3 Unterabsatz 7, Artikel 28 Absatz 5 und Absatz 6 Unterabsatz 2, und Artikel 31 Absatz 5 Unterabsatz 2 erlassen wurde, tritt nur in Kraft, wenn weder das Europäische Parlament noch der Rat innerhalb einer Frist von zwei Monaten nach Übermittlung dieses Rechtsakts an das Europäische Parlament und den Rat Einwände erhoben haben oder wenn vor Ablauf dieser Frist das Europäische Parlament und der Rat beide der Kommission mitgeteilt haben, dass sie keine Einwände erheben werden. Auf Initiative des Europäischen Parlaments oder des Rates wird diese Frist um zwei Monate verlängert.
Artikel 36 Umsetzung
(1) Die Mitgliedstaaten setzen die Rechts- und Verwaltungsvorschriften in Kraft, die erforderlich sind, um Artikel 2 bis 13 und 15 bis 31 und 37 sowie Anhang II, III und V bis IX dieser Richtlinie bis spätestens 30. Juni 2021 nachzukommen. Sie teilen der Kommission unverzüglich den Wortlaut dieser Vorschriften mit.
Wenn die Mitgliedstaaten diese Vorschriften erlassen, nehmen sie in den Vorschriften selbst oder durch einen Hinweis bei der amtlichen Veröffentlichung auf diese Richtlinie Bezug. In diese Vorschriften fügen sie die Erklärung ein, dass Bezugnahmen in den geltenden Rechts- und Verwaltungsvorschriften auf die durch die vorliegende Richtlinie aufgehobenen Richtlinie als Bezugnahmen auf die vorliegende Richtlinie gelten. Die Mitgliedstaaten regeln die Einzelheiten dieser Bezugnahme und die Formulierung dieser Erklärung.
(2) Die Mitgliedstaaten teilen der Kommission den Wortlaut der wichtigsten nationalen Rechtsvorschriften mit, die sie auf dem unter diese Richtlinie fallenden Gebiet erlassen.
(3) Die Bestimmungen dieser Richtlinie berühren nicht die Anwendung der Ausnahmen gemäß den Rechtsvorschriften der Union für den Elektrizitätsbinnenmarkt.
Artikel 37 Aufhebung
Die Richtlinie 2009/28/EG in der Fassung der in Anhang X Teil A aufgeführten Richtlinien wird unbeschadet der Verpflichtungen der Mitgliedstaaten hinsichtlich der in Anhang X Teil B genannten Fristen für die Umsetzung der dort genannten Richtlinien in innerstaatliches Recht und unbeschadet der im Jahr 2020 für die Mitgliedstaaten geltenden Verpflichtungen gemäß Artikel 3 Absatz 1 und Anhang I Teil a der Richtlinie 2009/28/EG mit Wirkung vom 1. Juli 2021 aufgehoben.
Bezugnahmen auf die aufgehobene Richtlinie gelten als Bezugnahmen auf die vorliegende Richtlinie und sind nach Maßgabe der Entsprechungstabelle in Anhang XI zu lesen.
Artikel 38 Inkrafttreten
Diese Richtlinie tritt am dritten Tag nach ihrer Veröffentlichung im Amtsblatt der Europäischen Union in Kraft.
Artikel 39 Adressaten
Diese Richtlinie ist an die Mitgliedstaaten gerichtet.
Geschehen zu Straßburg am 11. Dezember 2018.
2) ABl. C 342 vom 12.10.2017 S. 79.
3) Standpunkt des Europäischen Parlaments vom 13. November 2018 (noch nicht im Amtsblatt veröffentlicht) und Beschluss des Rates vom 4. Dezember 2018.
4) Richtlinie 2009/28/EG des Europäischen Parlaments und des Rates vom 23. April 2009 zur Förderung der Nutzung von Energie aus erneuerbaren Quellen und zur Änderung und anschließenden Aufhebung der Richtlinien 2001/77/EG und 2003/30/EG (ABl. L 140 vom 05.06.2009 S. 16).
5) Siehe Anhang X Teil A.
6) Verordnung (EU) des Europäischen Parlaments und des Rates vom 11. Dezember 2018 über das Governance-System für die Energieunion und für den Klimaschutz, zur Änderung der Richtlinie 94/22/EG, der Richtlinie 98/70/EG, der Richtlinie 2009/31/EG, der Verordnung (EG) Nr. 663/2009, der Verordnung (EG) Nr. 715/2009, der Richtlinie 2009/73/EG, der Richtlinie 2009/119/EG des Rates, der Richtlinie 2010/31/EU , der Richtlinie 2012/27/EU , der Richtlinie 2013/30/EU und der Richtlinie (EU) 2015/652 des Rates und zur Aufhebung der Verordnung (EU) Nr. 525/2013 (siehe Seite 1 dieses Amtsblatts).
7) Verordnung (EG) Nr. 1099/2008 des Europäischen Parlaments und des Rates vom 22. Oktober 2008 über die Energiestatistik (ABl. L 304 vom 14.11.2008 S. 1).
8) Richtlinie 2001/77/EG des Europäischen Parlaments und des Rates vom 27. September 2001 zur Förderung der Stromerzeugung aus erneuerbaren Energiequellen im Elektrizitätsbinnenmarkt (ABl. L 283 vom 27.10.2001 S. 33).
9) Richtlinie 2003/30/EG des Europäischen Parlaments und des Rates vom 8. Mai 2003 zur Förderung der Verwendung von Biokraftstoffen oder anderen erneuerbaren Kraftstoffen im Verkehrssektor (ABl. L 123 vom 17.05.2003 S. 42).
10) Richtlinie 2008/98/EG des Europäischen Parlaments und des Rates vom 19. November 2008 über Abfälle und zur Aufhebung bestimmter Richtlinien (ABl. L 312 vom 22.11.2008 S. 3).
11) ABl. L 198 vom 20.07.2006 S. 18.
12) Richtlinie 2012/27/EU des Europäischen Parlaments und des Rates vom 25. Oktober 2012 zur Energieeffizienz, zur Änderung der Richtlinien 2009/125/EG und 2010/30/EU und zur Aufhebung der Richtlinien 2004/8/EG und 2006/32/EG (ABl. L 315 vom 14.11.2012 S.1).
13) Richtlinie 2005/36/EG des Europäischen Parlaments und des Rates vom 7. September 2005 über die Anerkennung von Berufsqualifikationen (ABl. L 255 vom 30.09.2005 S. 22).
14) Richtlinie 2010/31/EU des Europäischen Parlaments und des Rates vom 19. Mai 2010 über die Gesamtenergieeffizienz von Gebäuden (ABl. L 153 vom 18.06.2010 S. 13).
15) Richtlinie (EU) 2015/1513 des Europäischen Parlaments und des Rates vom 9. September 2015 zur Änderung der Richtlinie 98/70/EG über die Qualität von Otto- und Dieselkraftstoffen und zur Änderung der Richtlinie 2009/28/EG zur Förderung der Nutzung von Energie aus erneuerbaren Quellen (ABl. L 239 vom 15.09.2015 S. 1).
16) Verordnung (EU) Nr. 525/2013 des Europäischen Parlaments und des Rates vom 21. Mai 2013 über ein System für die Überwachung von Treibhausgasemissionen sowie für die Berichterstattung über diese Emissionen und über andere klimaschutzrelevante Informationen auf Ebene der Mitgliedstaaten und der Union und zur Aufhebung der Entscheidung Nr. 280/2004/EG (ABl. L 165 vom 18.06.2013 S. 13).
17) Richtlinie 2003/4/EG des Europäischen Parlaments und des Rates vom 28. Januar 2003 über den Zugang der Öffentlichkeit zu Umweltinformationen und zur Aufhebung der Richtlinie 90/313/EWG des Rates (ABl. L 41 vom 14.02.2003 S. 26).
18) ABl. L 123 vom 12.05.2016 S. 1.
19) Verordnung (EU) Nr. 182/2011 des Europäischen Parlaments und des Rates vom 16. Februar 2011 zur Festlegung der allgemeinen Regeln und Grundsätze, nach denen die Mitgliedstaaten die Wahrnehmung der Durchführungsbefugnisse durch die Kommission kontrollieren (ABl. L 55 vom 28.02.2011 S. 13).
20) ABl. C 369 vom 17.12.2011 S. 14.
21) Richtlinie 2013/18/EU des Rates vom 13. Mai 2013 zur Anpassung der Richtlinie 2009/28/EG des Europäischen Parlaments und des Rates zur Förderung der Nutzung von Energie aus erneuerbaren Quellen aufgrund des Beitritts der Republik Kroatien (ABl. L 158 vom 10.06.2013 S. 230).
22) Richtlinie 2009/72/EG des Europäischen Parlaments und des Rates vom 13. Juli 2009 über gemeinsame Vorschriften für den Elektrizitätsbinnenmarkt und zur Aufhebung der Richtlinie 2003/54/EG (ABl. L 211 vom 14.08.2009 S. 55).
23) Verordnung (EU, Euratom) 2018/1046 des Europäischen Parlaments und des Rates vom 18. Juli 2018 über die Haushaltsordnung für den Gesamthaushaltsplan der Union, zur Änderung der Verordnungen (EU) Nr. 1296/2013, (EU) Nr. 1301/2013, (EU) Nr. 1303/2013, (EU) Nr. 1304/2013, (EU) Nr. 1309/2013, (EU) Nr. 1316/2013, (EU) Nr. 223/2014, (EU) Nr. 283/2014 und des Beschlusses Nr. 541/2014/EU sowie zur Aufhebung der Verordnung (EU, Euratom) Nr. 966/2012 (ABl. L 193 vom 30.07.2018 S. 1).
24) Empfehlung der Kommission 2003/361/EG vom 6. Mai 2003 betreffend die Definition der Kleinstunternehmen sowie der kleinen und mittleren Unternehmen (ABl. L 124 vom 20.05.2003 S. 36).
25) Richtlinie 2009/73/EG des Europäischen Parlaments und des Rates vom 13. Juli 2009 über gemeinsame Vorschriften für den Erdgasbinnenmarkt und zur Aufhebung der Richtlinie 2003/55/EG (ABl. L 211 vom 14.08.2009 S. 94).
26) Durchführungsbeschluss (EU) 2017/1442 der Kommission vom 31. Juli 2017 über Schlussfolgerungen zu den besten verfügbaren Techniken (BVT) gemäß der Richtlinie 2010/75/EU des Europäischen Parlaments und des Rates für Großfeuerungsanlagen (ABl. L 212 vom 17.08.2017 S. 1).
27) Verordnung (EG) Nr. 1059/2003 des Europäischen Parlaments und des Rates vom 26. Mai 2003 über die Schaffung einer gemeinsamen Klassifikation der Gebietseinheiten für die Statistik (NUTS) (ABl. L 154 vom 21.06.2003 S. 1).
28) Richtlinie 98/70/EG des Europäischen Parlaments und des Rates vom 13. Oktober 1998 über die Qualität von Otto- und Dieselkraftstoffen und zur Änderung der Richtlinie 93/12/EWG des Rates (ABl. L 350 vom 28.12.1998 S. 58).
| Nationale Gesamtziele für den Anteil von Energie aus erneuerbaren Quellen am Bruttoendenergieverbrauch im Jahr 2020 1 | Anhang I |
A. Nationale Gesamtziele
| Anteil von Energie aus erneuerbaren Quellen am Bruttoendenergieverbrauch im Jahr 2005 (S2005) | Zielwert für den Anteil von Energie aus erneuerbaren Quellen am Bruttoendenergieverbrauch im Jahr 2020 (S2020) | |
| Belgien | 2,2 % | 13 % |
| Bulgarien | 9,4 % | 16 % |
| Tschechische Republik | 6,1 % | 13 % |
| Dänemark | 17,0 % | 30 % |
| Deutschland | 5,8 % | 18 % |
| Estland | 18,0 % | 25 % |
| Irland | 3,1 % | 16 % |
| Griechenland | 6,9 % | 18 % |
| Spanien | 8,7 % | 20 % |
| Frankreich | 10,3 % | 23 % |
| Kroatien | 12,6 % | 20 % |
| Italien | 5,2 % | 17 % |
| Zypern | 2,9 % | 13 % |
| Lettland | 32,6 % | 40 % |
| Litauen | 15,0 % | 23 % |
| Luxemburg | 0,9 % | 11 % |
| Ungarn | 4,3 % | 13 % |
| Malta | 0,0 % | 10 % |
| Niederlande | 2,4 % | 14 % |
| Österreich | 23,3 % | 34 % |
| Polen | 7,2 % | 15 % |
| Portugal | 20,5 % | 31 % |
| Rumänien | 17,8 % | 24 % |
| Slowenien | 16,0 % | 25 % |
| Slowakische Republik | 6,7 % | 14 % |
| Finnland | 28,5 % | 38 % |
| Schweden | 39,8 % | 49 % |
| Vereinigtes Königreich | 1,3 % | 15 % |
| Normalisierungsregel für die Berücksichtigung von Elektrizität aus Wasserkraft und Windkraft | Anhang II |
Für die Berücksichtigung der in einem bestimmten Mitgliedstaat aus Wasserkraft erzeugten Elektrizität gilt folgende Normalisierungsregel:
Dabei sind:
| N | = | Bezugsjahr |
| QN(norm) | = | normalisierte Menge der von sämtlichen Wasserkraftwerken des Mitgliedstaats im Jahr N erzeugten Elektrizität, zum Zweck der Berücksichtigung |
| Qi | = | im Jahr i von sämtlichen Wasserkraftwerken des Mitgliedstaats tatsächlich erzeugte Elektrizitätsmenge in GWh unter Ausschluss der Elektrizitätsproduktion durch Pumpspeicherkraftwerke, bei der zuvor hochgepumptes Wasser genutzt wird |
| Ci | = | installierte Gesamtkapazität nach Abzug der Pumpspeicherung sämtlicher Wasserkraftwerke des Mitgliedstaats am Ende des Jahres i in MW |
Die in einem gegebenen Mitgliedstaat aus Onshore-Windkraft gewonnene Elektrizität wird wie folgt berechnet:
Dabei sind:
| N | = | Bezugsjahr |
| QN(norm) | = | normalisierte Menge der von sämtlichen Onshore-Windkraftwerken des Mitgliedstaats im Jahr N erzeugten Elektrizität zum Zweck der Berücksichtigung |
| Qi | = | im Jahr i von sämtlichen Onshore-Windkraftwerken des Mitgliedstaats tatsächlich erzeugte Elektrizitätsmenge in GWh |
| Cj | = | installierte Gesamtkapazität sämtlicher Onshore-Windkraftwerke des Mitgliedstaats am Ende des Jahres j in MW |
| n | = | 4 bzw. Anzahl der Jahre vor dem Jahr N, für welche im betreffenden Mitgliedstaat Daten über die Produktionskapazität und -mengen verfügbar sind, je nachdem, welche Zahl niedriger ist |
Die in einem gegebenen Mitgliedstaat aus Offshore-Windkraft gewonnene Elektrizität wird wie folgt berechnet:
Dabei sind:
| N | = | Bezugsjahr |
| QN(norm) | = | normalisierte Menge der von sämtlichen Offshore-Windkraftwerken des Mitgliedstaats im Jahr N erzeugten Elektrizität zum Zweck der Berücksichtigung |
| Qi | = | im Jahr i von sämtlichen Offshore-Windkraftwerken des Mitgliedstaats tatsächlich erzeugte Elektrizitätsmenge in GWh |
| Cj | = | installierte Gesamtkapazität sämtlicher Offshore-Windkraftwerke des Mitgliedstaats am Ende des Jahres j in MW |
| n | = | 4 bzw. Anzahl der Jahre vor dem Jahr N, für welche im betreffenden Mitgliedstaat Daten über die Produktionskapazität und -mengen verfügbar sind, je nachdem, welche Zahl niedriger ist |
| Energiegehalt von Brennstoffen | Anhang III |
| Brennstoff | Gewichtsspezifischer Energiegehalt (unterer Heizwert in MJ/kg) |
Volumenspezifischer Energiegehalt (unterer Heizwert in MJ/l) |
| Aus Biomasse und/oder durch Biomasseverarbeitung hergestellte Brennstoffe | ||
| Biopropan | 46 | 24 |
| Reines Pflanzenöl (durch Auspressen, Extraktion oder vergleichbare Verfahren aus Ölsaaten gewonnenes Öl, roh oder raffiniert, jedoch chemisch unverändert) | 37 | 34 |
| Biodiesel - Fettsäuremethylester (auf Grundlage von Öl aus Biomasse produzierter Methylester) | 37 | 33 |
| Biodiesel - Fettsäureethylester (auf Grundlage von Öl aus Biomasse produzierter Ethylester) | 38 | 34 |
| Biogas, das durch Reinigung Erdgasqualität erreichen kann | 50 | - |
| Hydriertes (thermochemisch mit Wasserstoff behandeltes) Öl aus Biomasse zur Verwendung als Dieselkraftstoffersatz | 44 | 34 |
| Hydriertes (thermochemisch mit Wasserstoff behandeltes) Öl aus Biomasse zur Verwendung als Ottokraftstoffersatz | 45 | 30 |
| Hydriertes (thermochemisch mit Wasserstoff behandeltes) Öl aus Biomasse zur Verwendung als Flugturbinenkraftstoffersatz | 44 | 34 |
| Hydriertes (thermochemisch mit Wasserstoff behandeltes) Öl aus Biomasse zur Verwendung als Flüssiggasersatz | 46 | 24 |
| (In einer Raffinerie mit fossilen Brennstoffen) gemeinsam verarbeitetes Öl aus Biomasse oder pyrolisierter Biomasse zur Verwendung als Dieselkraftstoffersatz | 43 | 36 |
| (In einer Raffinerie mit fossilen Brennstoffen) gemeinsam verarbeitetes Öl aus Biomasse oder pyrolisierter Biomasse zur Verwendung als Ottokraftstoffersatz | 44 | 32 |
| (In einer Raffinerie mit fossilen Brennstoffen) gemeinsam verarbeitetes Öl aus Biomasse oder pyrolisierter Biomasse zur Verwendung als Flugturbinenkraftstoffersatz | 43 | 33 |
| (In einer Raffinerie mit fossilen Brennstoffen) gemeinsam verarbeitetes Öl aus Biomasse oder pyrolisierter Biomasse zur Verwendung als Flüssiggasersatz | 46 | 23 |
| Erneuerbare Brennstoffe, die aus verschiedenen erneuerbaren Quellen produziert werden können, darunter auch Biomasse | ||
| Methanol aus erneuerbaren Quellen | 20 | 16 |
| Ethanol aus erneuerbaren Quellen | 27 | 21 |
| Propanol aus erneuerbaren Quellen | 31 | 25 |
| Butanol aus erneuerbaren Quellen | 33 | 27 |
| Fischer-Tropsch-Diesel (synthetischer/s Kohlenwasserstoff(gemisch) zur Verwendung als Dieselkraftstoffersatz) | 44 | 34 |
| Fischer-Tropsch-Ottokraftstoff (aus Biomasse produzierter/s synthetischer/s Kohlenwasserstoff(gemisch) zur Verwendung als Ottokraftstoffersatz) | 44 | 33 |
| Fischer-Tropsch-Flugturbinenkraftstoff (aus Biomasse produzierter/s synthetischer/s Kohlenwasserstoff(gemisch) zur Verwendung als Flugturbinenkraftstoffersatz) | 44 | 33 |
| Fischer-Tropsch-Flüssiggas (aus Biomasse hergestellter/s synthetischer/s Kohlenwasserstoff(gemisch) zur Verwendung als Flüssiggasersatz) | 46 | 24 |
| DME (Dimethylether) | 28 | 19 |
| Wasserstoff aus erneuerbaren Quellen | 120 | - |
| ETBE (auf der Grundlage von Ethanol produzierter Ethyl-Tertiär-Butylether) | 36 (davon 37 % aus erneuerbaren Quellen) |
27 (davon 37 % aus erneuerbaren Quellen) |
| MTBE (auf der Grundlage von Methanol produzierter Methyl-Tertiär-Butylether) | 35 (davon 22 % aus erneuerbaren Quellen) |
26 (davon 22 % aus erneuerbaren Quellen) |
| TAEE (auf der Grundlage von Ethanol produzierter Tertiär-Amyl-Ethyl-Ether) | 38 (davon 29 % aus erneuerbaren Quellen) |
29 (davon 29 % aus erneuerbaren Quellen) |
| TAME (auf der Grundlage von Methanol produzierter Tertiär-Amyl-Methyl-Ether) | 36 (davon 18 % aus erneuerbaren Quellen) |
28 (davon 18 % aus erneuerbaren Quellen) |
| THxEE (auf der Grundlage von Ethanol produzierter Tertiär-Hexyl-Ethyl-Ether) | 38 (davon 25 % aus erneuerbaren Quellen) |
30 (davon 25 % aus erneuerbaren Quellen) |
| THxME (auf der Grundlage von Methanol produzierter Tertiär-Hexyl-Methyl-Ether) | 38 (davon 14 % aus erneuerbaren Quellen) |
30 (davon 14 % aus erneuerbaren Quellen) |
| Fossile Brennstoffe | ||
| Ottokraftstoff | 43 | 32 |
| Dieselkraftstoff | 43 | 36 |
| Zertifizierung von Installateuren | Anhang IV |
Für die in Artikel 18 Absatz 3 genannten Zertifizierungssysteme und für gleichwertige Qualifizierungssysteme gelten folgende Kriterien:
| Regeln für die Berechnung des Beitrags von Biokraftstoffen, flüssigen Biobrennstoffen und des entsprechenden Vergleichswerts für fossile Brennstoffe zum Treibhauseffekt | Anhang V |
A. Typische Werte und Standardwerte für Biokraftstoffe bei Produktion ohne Netto-CO2-Emissionen infolge von Landnutzungsänderungen
| Produktionsweg des Biokraftstoffs | Typische Werte für die Minderung von Treibhausgasemissionen | Standardwerte für die Minderung von Treibhausgasemissionen |
| Ethanol aus Zuckerrüben (ohne Biogas aus Schlempe, Erdgas als Prozessbrennstoff in konventioneller Anlage) | 67 % | 59 % |
| Ethanol aus Zuckerrüben (mit Biogas aus Schlempe, Erdgas als Prozessbrennstoff in konventioneller Anlage) | 77 % | 73 % |
| Ethanol aus Zuckerrüben (ohne Biogas aus Schlempe, Erdgas als Prozessbrennstoff in KWK-Anlage *) | 73 % | 68 % |
| Ethanol aus Zuckerrüben (mit Biogas aus Schlempe, Erdgas als Prozessbrennstoff in KWK-Anlage *) | 79 % | 76 % |
| Ethanol aus Zuckerrüben (ohne Biogas aus Schlempe, Braunkohle als Prozessbrennstoff in KWK-Anlage *) | 58 % | 47 % |
| Ethanol aus Zuckerrüben (mit Biogas aus Schlempe, Braunkohle als Prozessbrennstoff in KWK-Anlage *) | 71 % | 64 % |
| Ethanol aus Mais (Erdgas als Prozessbrennstoff in konventioneller Anlage) | 48 % | 40 % |
| Ethanol aus Mais (Erdgas als Prozessbrennstoff in KWK-Anlage *) | 55 % | 48 % |
| Ethanol aus Mais (Braunkohle als Prozessbrennstoff in KWK-Anlage *) | 40 % | 28 % |
| Ethanol aus Mais (forstwirtschaftliche Reststoffe als Prozessbrennstoff in KWK-Anlage *) | 69 % | 68 % |
| Ethanol aus anderen Getreiden, ohne Mais (Erdgas als Prozessbrennstoff in konventioneller Anlage) | 47 % | 38 % |
| Ethanol aus anderen Getreiden, ohne Mais (Erdgas als Prozessbrennstoff in KWK-Anlage *) | 53 % | 46 % |
| Ethanol aus anderen Getreiden, ohne Mais (Braunkohle als Prozessbrennstoff in KWK-Anlage *) | 37 % | 24 % |
| Ethanol aus anderen Getreiden, ohne Mais (forstwirtschaftliche Reststoffe als Prozessbrennstoff in KWK-Anlage *) | 67 % | 67 % |
| Ethanol aus Zuckerrohr | 70 % | 70 % |
| Ethyl-Tertiär-Butylether (ETBE), Anteil aus erneuerbaren Quellen | Wie beim Produktionsweg für Ethanol | |
| Tertiär-Amyl-Ethyl-Ether (TAEE), Anteil aus erneuerbaren Quellen | Wie beim Produktionsweg für Ethanol | |
| Biodiesel aus Raps | 52 % | 47 % |
| Biodiesel aus Sonnenblumen | 57 % | 52 % |
| Biodiesel aus Sojabohnen | 55 % | 50 % |
| Biodiesel aus Palmöl (offenes Abwasserbecken) | 33 % | 20 % |
| Biodiesel aus Palmöl (Verarbeitung mit Methanbindung an der Ölmühle) | 51 % | 45 % |
| Biodiesel aus Altspeiseöl | 88 % | 84 % |
| Biodiesel aus ausgelassenen tierischen Fetten ** | 84 % | 78 % |
| Hydriertes Rapsöl | 51 % | 47 % |
| Hydriertes Sonnenblumenöl | 58 % | 54 % |
| Hydriertes Sojaöl | 55 % | 51 % |
| Hydriertes Palmöl (offenes Abwasserbecken) | 34 % | 22 % |
| Hydriertes Palmöl (Verarbeitung mit Methanbindung an der Ölmühle) | 53 % | 49 % |
| Hydriertes Altspeiseöl | 87 % | 83 % |
| Hydrierte tierische Fette ** | 83 % | 77 % |
| Reines Rapsöl | 59 % | 57 % |
| Reines Sonnenblumenöl | 65 % | 64 % |
| Reines Sojaöl | 63 % | 61 % |
| Reines Palmöl (offenes Abwasserbecken) | 40 % | 30 % |
| Reines Palmöl (Verarbeitung mit Methanbindung an der Ölmühle) | 59 % | 57 % |
| Reines Altspeiseöl | 98 % | 98 % |
| *) Standardwerte für KWK-Verfahren gelten nur, wenn die gesamte Prozesswärme durch KWK erzeugt wird.
**) Gilt nur für Biokraftstoffe aus tierischen Nebenprodukten, die in der Verordnung (EG) Nr. 1069/2009 des Europäischen Parlaments und des Rates 1 als Material der Kategorie 1 bzw. 2 eingestuft werden; in diesem Fall werden Emissionen im Zusammenhang mit der Entseuchung als Teil der Tierkörperverwertung nicht berücksichtigt. ___ 1) Verordnung (EG) Nr. 1069/2009 des Europäischen Parlaments und des Rates vom 21. Oktober 2009 mit Hygienevorschriften für nicht für den menschlichen Verzehr bestimmte tierische Nebenprodukte und zur Aufhebung der Verordnung (EG) Nr. 1774/2002 (Verordnung über tierische Nebenprodukte) (ABl. L 300 vom 14.11.2009 S. 1) |
||
B. Geschätzte typische Werte und Standardwerte für künftige Biokraftstoffe, die im Jahr 2016 nicht oder nur in vernachlässigbaren Mengen auf dem Markt waren, bei Produktion ohne Netto-CO2-Emission infolge von Landnutzungsänderungen
| Produktionsweg des Biokraftstoffs | Typische Werte für die Minderung von Treibhausgasemissionen | Standardwerte für die Minderung von Treibhausgasemissionen |
| Ethanol aus Weizenstroh | 85 % | 83 % |
| Fischer-Tropsch-Diesel aus Abfallholz in Einzelanlage | 83 % | 83 % |
| Fischer-Tropsch-Diesel aus Kulturholz in Einzelanlage | 82 % | 82 % |
| Fischer-Tropsch-Ottokraftstoff aus Abfallholz in Einzelanlage | 83 % | 83 % |
| Fischer-Tropsch-Ottokraftstoff aus Kulturholz in Einzelanlage | 82 % | 82 % |
| Dimethylether (DME) aus Abfallholz in Einzelanlage | 84 % | 84 % |
| DME aus Kulturholz in Einzelanlage | 83 % | 83 % |
| Methanol aus Abfallholz in Einzelanlage | 84 % | 84 % |
| Methanol aus Kulturholz in Einzelanlage | 83 % | 83 % |
| Fischer-Tropsch-Diesel aus der Vergasung von Schwarzlauge, integriert in Zellstofffabrik | 89 % | 89 % |
| Fischer-Tropsch-Ottokraftstoff aus der Vergasung von Schwarzlauge, integriert in Zellstofffabrik | 89 % | 89 % |
| Dimethylether (DME) aus der Vergasung von Schwarzlauge, integriert in Zellstofffabrik | 89 % | 89 % |
| Methanol aus der Vergasung von Schwarzlauge, integriert in Zellstofffabrik | 89 % | 89 % |
| Methyl-Tertiär-Butylether (MTBE), Anteil aus erneuerbaren Quellen | Wie beim Produktionsweg für Methanol | |
C. Methode
E = eec + el + ep + etd + eu - esca - eccs - eccr,
wobei:
| E | = | Gesamtemissionen bei der Verwendung des Kraftstoffs |
| eec | = | Emissionen bei der Gewinnung oder beim Anbau der Rohstoffe |
| el | = | auf das Jahr umgerechnete Emissionen aufgrund von Kohlenstoffbestandsänderungen infolge von Landnutzungsänderungen |
| ep | = | Emissionen bei der Verarbeitung |
| etd | = | Emissionen bei Transport und Vertrieb |
| eu | = | Emissionen bei der Nutzung des Kraftstoffs |
| esca | = | Emissionseinsparung durch Akkumulierung von Kohlenstoff im Boden infolge besserer landwirtschaftlicher Bewirtschaftungspraktiken |
| eccs | = | Emissionseinsparung durch Abscheidung und geologische Speicherung von CO2 |
| eccr | = | Emissionseinsparung durch Abscheidung und Ersetzung von CO2 |
Die mit der Herstellung der Anlagen und Ausrüstungen verbundenen Emissionen werden nicht berücksichtigt.
wobei:
| ECh,el | = | Gesamttreibhausgasemissionen durch das Endenergieprodukt |
| E | = | Gesamttreibhausgasemissionen des flüssigen Biobrennstoffs vor dessen Endumwandlung |
| ηel | = | elektrischer Wirkungsgrad, definiert als die jährlich produzierte elektrische Leistung, dividiert durch den jährlich eingesetzten flüssigen Biobrennstoff auf Grundlage des Energiegehalts |
| ηh | = | Wärmewirkungsgrad, definiert als die jährlich erzeugte Nutzwärme, dividiert durch den jährlich eingesetzten flüssigen Biobrennstoff auf Grundlage des Energiegehalts |
Dabei sind:
| ECh,el | = | Gesamttreibhausgasemissionen durch das Endenergieprodukt |
| E | = | Gesamttreibhausgasemissionen des flüssigen Biobrennstoffs vor dessen Endumwandlung |
| ηel | = | elektrischer Wirkungsgrad, definiert als die jährlich erzeugte elektrische Leistung, dividiert durch den jährlich eingesetzten Brennstoff auf Grundlage des Energiegehalts |
| ηh | = | Wärmewirkungsgrad, definiert als die jährlich produzierte Nutzwärme, dividiert durch den jährlich eingesetzten Brennstoff auf Grundlage des Energiegehalts |
| Cel | = | Exergieanteil der Elektrizität und/oder mechanischen Energie, festgesetzt auf 100 % (Cel = 1) |
| Ch | = | Carnot"scher Wirkungsgrad (Exergieanteil der Nutzwärme) |
Der Carnot"sche Wirkungsgrad (Ch) für Nutzwärme bei unterschiedlichen Temperaturen ist definiert als:
wobei:
| Th | = | Temperatur, gemessen als absolute Temperatur (Kelvin) der Nutzwärme am Lieferort |
| T0 | = | Umgebungstemperatur, festgelegt auf 273,15 Kelvin (0 °C) |
| Wenn die überschüssige Wärme zur Beheizung von Gebäuden ausgeführt wird, kann Ch für eine Temperatur unter 150 °C (423,15 Kelvin) alternativ wie folgt definiert werden: | ||
| Ch | = | Carnot"scher Wirkungsgrad für Wärme bei 150 °C (423,15 Kelvin) = 0,3546 |
Für die Zwecke dieser Berechnung bezeichnet der Begriff
Werden Wärme und Kälte gleichzeitig mit Elektrizität erzeugt, werden die Emissionen zwischen Wärme und Elektrizität aufgeteilt (wie unter Nummer 1 Buchstabe b), unabhängig davon, ob die Wärme wirklich für Heizzwecke oder zur Kühlung 1 genutzt wird.
Werden Treibhausgasemissionen durch die Gewinnung oder den Anbau von Rohstoffen (eec) als Einheit gCO2eq/Tonne Trockenrohstoff angegeben, wird die Umwandlung in gCO2eq/MJ (Gramm CO2-Äquivalent pro Megajoule Brennstoff) wie folgt berechnet 2:
wobei:
Die Emissionen pro Tonne Trockenrohstoff werden wie folgt berechnet:
EINSPARUNG = (EF(t) - EB)/EF(t)
wobei:
| EB | = | Gesamtemissionen bei der Verwendung des Biokraftstoffs |
| EF(t) | = | Gesamtemissionen des Komparators für Fossilbrennstoffe im Verkehrssektor |
EINSPARUNG = (ECF(h&c,el,) - ECB(h&c,el)/ECF (h&c,el)
Dabei sind
ECB(h&c,el) = Gesamtemissionen durch die Wärme- oder Elektrizitätserzeugung
ECF(h&c,el) = Gesamtemissionen des Komparators für Fossilbrennstoffe für Nutzwärme oder Elektrizität
| CO2 | : | 1 |
| N2O | : | 298 |
| CH4 | : | 25 |
el = (CSR - CSA) × 3,664 × 1/20 × 1/P - eB, 4
wobei:
| el | = | auf das Jahr umgerechnete Treibhausgasemissionen aus Kohlenstoffbestandsänderungen infolge von Landnutzungsänderungen (gemessen als Masse (Gramm) an CO2-Äquivalent pro Energieeinheit (Megajoule) Biokraftstoff bzw. Flüssig-Biobrennstoff)."Kulturflächen" 5 und "Dauerkulturen" 6 sind als eine einzige Landnutzungsart zu betrachten; |
| CSR | = | der mit der Referenzlandnutzung verbundene Kohlenstoffbestand pro Flächeneinheit (gemessen als Masse (Tonnen) an Kohlenstoff pro Flächeneinheit einschließlich Boden und Vegetation). Die Referenzlandnutzung ist die Landnutzung im Januar 2008 oder 20 Jahre vor der Gewinnung des Rohstoffes, je nachdem, welcher Zeitpunkt der spätere ist. |
| CSA | = | der mit der tatsächlichen Landnutzung verbundene Kohlenstoffbestand pro Flächeneinheit (gemessen als Masse (Tonnen) an Kohlenstoff pro Flächeneinheit einschließlich Boden und Vegetation). Wenn sich der Kohlenstoffbestand über mehr als ein Jahr akkumuliert, gilt als CSA-Wert der geschätzte Kohlenstoffbestand pro Flächeneinheit nach 20 Jahren oder zum Zeitpunkt der Reife der Pflanzen, je nachdem, welcher Zeitpunkt der frühere ist. |
| P | = | die Pflanzenproduktivität (gemessen als Energie des Biokraftstoffs oder flüssigen Biobrennstoffs pro Flächeneinheit pro Jahr) |
| eB | = | Bonus von 29 gCO2eq/MJ Biokraftstoff oder flüssiger Biobrennstoff, wenn die Biomasse unter den in Nummer 8 aufgestellten Bedingungen auf wiederhergestellten degradierten Flächen gewonnen wird |
Der Bonus von 29 gCO2eq/MJ gilt für einen Zeitraum von bis zu 20 Jahren ab dem Zeitpunkt der Umwandlung der Fläche in eine landwirtschaftliche Nutzfläche, sofern ein kontinuierlicher Anstieg des Kohlenstoffbestands und ein nennenswerter Rückgang der Erosion auf unter Buchstabe b fallenden Flächen gewährleistet werden.
Bei der Berücksichtigung des Verbrauchs an nicht in der Anlage zur Kraftstoffproduktion produzierter Elektrizität wird angenommen, dass die Treibhausgasemissionsintensität bei der Erzeugung und Verteilung dieser Elektrizität der durchschnittlichen Emissionsintensität bei der Produktion und Verteilung von Elektrizität in einer bestimmten Region entspricht. Abweichend von dieser Regel gilt, dass die Produzenten für die von einer einzelnen Elektrizitätserzeugungsanlage produzierte Elektrizität einen Durchschnittswert verwenden können, falls diese Anlagenicht an das Elektrizitätsnetz angeschlossen ist.
Die Emissionen bei der Verarbeitung schließen gegebenenfalls Emissionen bei der Trocknung von Zwischenprodukten und -materialien ein.
Die Emissionen von anderen Treibhausgasen als CO2 (N2O und CH4) bei der Nutzung von Biokraftstoffen werden in den eu-Faktor für flüssige Biobrennstoffe einbezogen.
wobei:
| Th | = | Temperatur, gemessen als absolute Temperatur (Kelvin) der Nutzwärme am Lieferort |
| T0 | = | Umgebungstemperatur, festgelegt auf 273,15 Kelvin (0 °C) |
| Wenn die überschüssige Wärme zur Beheizung von Gebäuden ausgeführt wird, kann Ch für eine Temperatur unter 150 °C (423,15 Kelvin) alternativ wie folgt definiert werden: | ||
| Ch | = | Carnot"scher Wirkungsgrad für Wärme bei 150 °C (423,15 Kelvin) = 0,3546 |
Für die Zwecke dieser Berechnung ist der tatsächliche Wirkungsgrad zu verwenden, der als jährlich produzierte mechanische Energie, Elektrizität bzw. Wärme dividiert durch die jährlich eingesetzte Energie definiert wird.
Für die Zwecke dieser Berechnung bezeichnet der Begriff
Im Falle von Biokraftstoffen und flüssigen Brennstoffen werden sämtliche Nebenprodukte für die Zwecke der Berechnung berücksichtigt. Abfällen und Reststoffen werden keine Emissionen zugeordnet. Für die Zwecke der Berechnung wird der Energiegehalt von Nebenprodukten mit negativem Energiegehalt mit null angesetzt.
Die Lebenszyklus-Treibhausgasemissionen von Abfällen und Reststoffen, einschließlich Baumspitzen und Ästen, Stroh, Hülsen, Maiskolben und Nussschalen, sowie Reststoffen aus der Verarbeitung einschließlich Rohglycerin (nicht raffiniertes Glycerin) und Bagasse werden bis zur Sammlung dieser Materialien mit null angesetzt, unabhängig davon, ob sie vor der Umwandlung ins Endprodukt zu Zwischenprodukten verarbeitet werden.
Bei Kraft- und Brennstoffen, die in anderen Raffinerien als einer Kombination von Verarbeitungsbetrieben mit konventionellen oder Kraft-Wärme-Kopplungsanlagen, die dem Verarbeitungsbetrieb Wärme und/oder Elektrizität liefern, hergestellt werden, ist die Analyseeinheit für die Zwecke der Berechnung nach Nummer 17 die Raffinerie.
Bei flüssigen Biobrennstoffen, die zur Elektrizitätsproduktion verwendet werden, ist für die Zwecke der Berechnung nach Nummer 3 der Vergleichswert für fossile Brennstoffe ECF(e) 183 gCO2eq/MJ.
Bei flüssigen Biobrennstoffen, die zur Nutzwärmeproduktion sowie zur Wärme- und/oder Kälteproduktion verwendet werden, ist für die Zwecke der Berechnung nach Nummer 3 der Vergleichswert für fossile Brennstoffe ECF(h&c) 80 gCO2eq/MJ.
D. Disaggregierte Standardwerte für Biokraftstoffe und flüssige Biobrennstoffe
Disaggregierte Standardwerte für den Anbau: "eec" gemäß Definition in Teil C dieses Anhangs einschließlich N2O-Bodenemissionen
| Produktionsweg der Biokraftstoffe und flüssigen Biobrennstoffe |
Treibhausgasemissionen- typischer Wert (gCO2eq/MJ) |
Treibhausgasemissionen - Standardwert (gCO2eq/MJ) |
| Ethanol aus Zuckerrüben | 9,6 | 9,6 |
| Ethanol aus Mais | 25,5 | 25,5 |
| Ethanol aus anderen Getreiden, ohne Mais | 27,0 | 27,0 |
| Ethanol aus Zuckerrohr | 17,1 | 17,1 |
| ETBE, Anteil aus erneuerbaren Quellen | Wie beim Produktionsweg für Ethanol | |
| TAEE, Anteil aus erneuerbaren Quellen | Wie beim Produktionsweg für Ethanol | |
| Biodiesel aus Raps | 32,0 | 32,0 |
| Biodiesel aus Sonnenblumen | 26,1 | 26,1 |
| Biodiesel aus Sojabohnen | 21,2 | 21,2 |
| Biodiesel aus Palmöl | 26,0 | 26,0 |
| Biodiesel aus Altspeiseöl | 0 | 0 |
| Biodiesel aus ausgelassenen tierischen Fetten * | 0 | 0 |
| Hydriertes Rapsöl | 33,4 | 33,4 |
| Hydriertes Sonnenblumenöl | 26,9 | 26,9 |
| Hydriertes Sojaöl | 22,1 | 22,1 |
| Hydriertes Palmöl | 27,3 | 27,3 |
| Hydriertes Altspeiseöl | 0 | 0 |
| Hydrierte tierische Fette * | 0 | 0 |
| Reines Rapsöl | 33,4 | 33,4 |
| Reines Sonnenblumenöl | 27,2 | 27,2 |
| Reines Sojaöl | 22,2 | 22,2 |
| Reines Palmöl | 27,1 | 27,1 |
| Reines Altspeiseöl | 0 | 0 |
| *) Gilt nur für Biokraftstoffe aus tierischen Nebenprodukten, die in der Verordnung (EG) Nr. 1069/2009 als Material der Kategorie 1 bzw. 2 eingestuft werden; in diesem Fall werden Emissionen im Zusammenhang mit der Entseuchung als Teil der Tierkörperverwertung nicht berücksichtigt. | ||
Disaggregierte Standardwerte für den Anbau: "eec" - ausschließlich für N2O-Bodenemissionen (diese sind bereits in den disaggregierten Werten in Tabelle "eec" für Emissionen aus dem Anbau enthalten) Herstellungsweg der Biokraftstoffe und flüssigen Biobrennstoffe
| Produktionsweg der Biokraftstoffe und flüssigen Biobrennstoffe | Treibhausgasemissionen - typischer Wert (gCO2eq/MJ) |
Treibhausgasemissionen - Standardwert (gCO2eq/MJ) |
| Ethanol aus Zuckerrüben | 4,9 | 4,9 |
| Ethanol aus Mais | 13,7 | 13,7 |
| Ethanol aus anderen Getreiden, ohne Mais | 14,1 | 14,1 |
| Ethanol aus Zuckerrohr | 2,1 | 2,1 |
| ETBE, Anteil aus erneuerbaren Quellen | Wie beim Produktionsweg für Ethanol | |
| TAEE, Anteil aus erneuerbaren Quellen | Wie beim Produktionsweg für Ethanol | |
| Biodiesel aus Raps | 17,6 | 17,6 |
| Biodiesel aus Sonnenblumen | 12,2 | 12,2 |
| Biodiesel aus Sojabohnen | 13,4 | 13,4 |
| Biodiesel aus Palmöl | 16,5 | 16,5 |
| Biodiesel aus Altspeiseöl | 0 | 0 |
| Biodiesel aus ausgelassenen tierischen Fetten * | 0 | 0 |
| Hydriertes Rapsöl | 18,0 | 18,0 |
| Hydriertes Sonnenblumenöl | 12,5 | 12,5 |
| Hydriertes Sojaöl | 13,7 | 13,7 |
| Hydriertes Palmöl | 16,9 | 16,9 |
| Hydriertes Altspeiseöl | 0 | 0 |
| Hydrierte tierische Fette * | 0 | 0 |
| Reines Rapsöl | 17,6 | 17,6 |
| Reines Sonnenblumenöl | 12,2 | 12,2 |
| Reines Sojaöl | 13,4 | 13,4 |
| Reines Palmöl | 16,5 | 16,5 |
| Reines Altspeiseöl | 0 | 0 |
| **) Gilt nur für Biokraftstoffe aus tierischen Nebenprodukten, die in der Verordnung (EG) Nr. 1069/2009 als Material der Kategorie 1 bzw. 2 eingestuft werden; in diesem Fall werden Emissionen im Zusammenhang mit der Entseuchung als Teil der Tierkörperverwertung nicht berücksichtigt. | ||
Disaggregierte Standardwerte für die Verarbeitung: "ep" gemäß Definition in Teil C dieses Anhangs
| Produktionsweg der Biokraftstoffe und flüssigen Biobrennstoffe | Treibhausgasemissionen - typischer Wert (gCO2eq/MJ) |
Treibhausgasemissionen - Standardwert (gCO2eq/MJ) |
| Ethanol aus Zuckerrüben (ohne Biogas aus Schlempe, Erdgas als Prozessbrennstoff in konventioneller Anlage) | 18,8 | 26,3 |
| Ethanol aus Zuckerrüben (mit Biogas aus Schlempe, Erdgas als Prozessbrennstoff in konventioneller Anlage) | 9,7 | 13,6 |
| Ethanol aus Zuckerrüben (ohne Biogas aus Schlempe, Erdgas als Prozessbrennstoff in KWK-Anlage *) | 13,2 | 18,5 |
| Ethanol aus Zuckerrüben (mit Biogas aus Schlempe, Erdgas als Prozessbrennstoff in KWK-Anlage *) | 7,6 | 10,6 |
| Ethanol aus Zuckerrüben (ohne Biogas aus Schlempe, Braunkohle als Prozessbrennstoff in KWK-Anlage *) | 27,4 | 38,3 |
| Ethanol aus Zuckerrüben (mit Biogas aus Schlempe, Braunkohle als Prozessbrennstoff in KWK-Anlage *) | 15,7 | 22,0 |
| Ethanol aus Mais (Erdgas als Prozessbrennstoff in konventioneller Anlage) | 20,8 | 29,1 |
| Ethanol aus Mais (Erdgas als Prozessbrennstoff in KWK-Anlage *) | 14,8 | 20,8 |
| Ethanol aus Mais (Braunkohle als Prozessbrennstoff in KWK-Anlage *) | 28,6 | 40,1 |
| Ethanol aus Mais (forstwirtschaftliche Reststoffe als Prozessbrennstoff in KWK-Anlage *) | 1,8 | 2,6 |
| Ethanol aus anderen Getreiden, ohne Mais (Erdgas als Prozessbrennstoff in konventioneller Anlage) | 21,0 | 29,3 |
| Ethanol aus anderen Getreiden, ohne Mais (Erdgas als Prozessbrennstoff in KWK-Anlage *) | 15,1 | 21,1 |
| Ethanol aus anderen Getreiden, ohne Mais (Braunkohle als Prozessbrennstoff in KWK-Anlage *) | 30,3 | 42,5 |
| Ethanol aus anderen Getreiden, ohne Mais (forstwirtschaftliche Reststoffe als Prozessbrennstoff in KWK-Anlage *) | 1,5 | 2,2 |
| Ethanol aus Zuckerrohr | 1,3 | 1,8 |
| ETBE, Anteil aus erneuerbaren Quellen | Wie beim Produktionsweg für Ethanol | |
| TAEE, Anteil aus erneuerbaren Quellen | Wie beim Produktionsweg für Ethanol | |
| Biodiesel aus Raps | 11,7 | 16,3 |
| Biodiesel aus Sonnenblumen | 11,8 | 16,5 |
| Biodiesel aus Sojabohnen | 12,1 | 16,9 |
| Biodiesel aus Palmöl (offenes Abwasserbecken) | 30,4 | 42,6 |
| Biodiesel aus Palmöl (Verarbeitung mit Methanbindung an der Ölmühle) | 13,2 | 18,5 |
| Biodiesel aus Altspeiseöl | 9,3 | 13,0 |
| Biodiesel aus ausgelassenen tierischen Fetten ** | 13,6 | 19,1 |
| Hydriertes Rapsöl | 10,7 | 15,0 |
| Hydriertes Sonnenblumenöl | 10,5 | 14,7 |
| Hydriertes Sojaöl | 10,9 | 15,2 |
| Hydriertes Palmöl (offenes Abwasserbecken) | 27,8 | 38,9 |
| Hydriertes Palmöl (Verarbeitung mit Methanbindung an der Ölmühle) | 9,7 | 13,6 |
| Hydriertes Altspeiseöl | 10,2 | 14,3 |
| Hydrierte tierische Fette ** | 14,5 | 20,3 |
| Reines Rapsöl | 3,7 | 5,2 |
| Reines Sonnenblumenöl | 3,8 | 5,4 |
| Reines Sojaöl | 4,2 | 5,9 |
| Reines Palmöl (offenes Abwasserbecken) | 22,6 | 31,7 |
| Reines Palmöl (Verarbeitung mit Methanbindung an der Ölmühle) | 4,7 | 6,5 |
| Reines Altspeiseöl | 0,6 | 0,8 |
| *) Standardwerte für KWK-Verfahren gelten nur, wenn die gesamte Prozesswärme durch KWK erzeugt wird.
**) Hinweis: Gilt nur für Biokraftstoffe aus tierischen Nebenprodukten, die in der Verordnung (EG) Nr. 1069/2009 als Material der Kategorie 1 bzw. 2 eingestuft werden; in diesem Fall werden Emissionen im Zusammenhang mit der Entseuchung als Teil der Tierkörperverwertung nicht berücksichtigt |
||
Disaggregierte Standardwerte ausschließlich für die Ölgewinnung (diese sind bereits in den disaggregierten Werten in Tabelle "ep" für Emissionen aus der Verarbeitung enthalten)
| Produktionsweg der Biokraftstoffe und flüssigen Biobrennstoffe | Treibhausgasemissionen - typischer Wert (gCO2eq/MJ) |
Treibhausgasemissionen - Standardwert (gCO2eq/MJ) |
| Biodiesel aus Raps | 3,0 | 4,2 |
| Biodiesel aus Sonnenblumen | 2,9 | 4,0 |
| Biodiesel aus Sojabohnen | 3,2 | 4,4 |
| Biodiesel aus Palmöl (offenes Abwasserbecken) | 20,9 | 29,2 |
| Biodiesel aus Palmöl (Verarbeitung mit Methanbindung an der Ölmühle) | 3,7 | 5,1 |
| Biodiesel aus Altspeiseöl | 0 | 0 |
| Biodiesel aus ausgelassenen tierischen Fetten * | 4,3 | 6,1 |
| Hydriertes Rapsöl | 3,1 | 4,4 |
| Hydriertes Sonnenblumenöl | 3,0 | 4,1 |
| Hydriertes Sojaöl | 3,3 | 4,6 |
| Reines Palmöl (offenes Abwasserbecken) | 21,9 | 30,7 |
| Hydriertes Palmöl (Verarbeitung mit Methanbindung an der Ölmühle) | 3,8 | 5,4 |
| Hydriertes Altspeiseöl | 0 | 0 |
| Hydrierte tierische Fette * | 4,3 | 6,0 |
| Reines Rapsöl | 3,1 | 4,4 |
| Reines Sonnenblumenöl | 3,0 | 4,2 |
| Reines Sojaöl | 3,4 | 4,7 |
| Reines Palmöl (offenes Abwasserbecken) | 21,8 | 30,5 |
| Reines Palmöl (Verarbeitung mit Methanbindung an der Ölmühle) | 3,8 | 5,3 |
| Reines Altspeiseöl | 0 | 0 |
| *) Hinweis: Gilt nur für Biokraftstoffe aus tierischen Nebenprodukten, die in der Verordnung (EG) Nr. 1069/2009 als Material der Kategorie 1 bzw. 2 eingestuft werden; in diesem Fall werden Emissionen im Zusammenhang mit der Entseuchung als Teil der Tierkörperverwertung nicht berücksichtigt. | ||
Disaggregierte Standardwerte für den Transport und Vertrieb: "etd" gemäß Definition in Teil C dieses Anhangs
| Produktionsweg der Biokraftstoffe und flüssigen Biobrennstoffe | Treibhausgasemissionen - typischer Wert (gCO2eq/MJ) |
Treibhausgasemissionen - Standardwert (gCO2eq/MJ) |
| Ethanol aus Zuckerrüben (ohne Biogas aus Schlempe, Erdgas als Prozessbrennstoff in konventioneller Anlage) | 2,3 | 2,3 |
| Ethanol aus Zuckerrüben (mit Biogas aus Schlempe, Erdgas als Prozessbrennstoff in konventioneller Anlage) | 2,3 | 2,3 |
| Ethanol aus Zuckerrüben (ohne Biogas aus Schlempe, Erdgas als Prozessbrennstoff in KWK-Anlage *) | 2,3 | 2,3 |
| Ethanol aus Zuckerrüben (mit Biogas aus Schlempe, Erdgas als Prozessbrennstoff in KWK-Anlage *) | 2,3 | 2,3 |
| Ethanol aus Zuckerrüben (ohne Biogas aus Schlempe, Braunkohle als Prozessbrennstoff in KWK-Anlage *) | 2,3 | 2,3 |
| Ethanol aus Zuckerrüben (mit Biogas aus Schlempe, Braunkohle als Prozessbrennstoff in KWK-Anlage *) | 2,3 | 2,3 |
| Ethanol aus Mais (Erdgas als Prozessbrennstoff in KWK-Anlage *) | 2,2 | 2,2 |
| Ethanol aus Mais (Erdgas als Prozessbrennstoff in konventioneller Anlage) | 2,2 | 2,2 |
| Ethanol aus Mais (Braunkohle als Prozessbrennstoff in KWK-Anlage *) | 2,2 | 2,2 |
| Ethanol aus Mais (forstwirtschaftliche Reststoffe als Prozessbrennstoff in KWK-Anlage *) | 2,2 | 2,2 |
| Ethanol aus anderen Getreiden, ohne Mais (Erdgas als Prozessbrennstoff in konventioneller Anlage) | 2,2 | 2,2 |
| Ethanol aus anderen Getreiden, ohne Mais (Erdgas als Prozessbrennstoff in KWK-Anlage *) | 2,2 | 2,2 |
| Ethanol aus anderen Getreiden, ohne Mais (Braunkohle als Prozessbrennstoff in KWK-Anlage *) | 2,2 | 2,2 |
| Ethanol aus anderen Getreiden, ohne Mais (forstwirtschaftliche Reststoffe als Prozessbrennstoff in KWK-Anlage *) | 2,2 | 2,2 |
| Ethanol aus Zuckerrohr | 9,7 | 9,7 |
| ETBE, Anteil aus erneuerbaren Quellen | Wie beim Produktionsweg für Ethanol | |
| TAEE, Anteil aus erneuerbaren Quellen | Wie beim Produktionsweg für Ethanol | |
| Biodiesel aus Raps | 1,8 | 1,8 |
| Biodiesel aus Sonnenblumen | 2,1 | 2,1 |
| Biodiesel aus Sojabohnen | 8,9 | 8,9 |
| Biodiesel aus Palmöl (offenes Abwasserbecken) | 6,9 | 6,9 |
| Biodiesel aus Palmöl (Verarbeitung mit Methanbindung an der Ölmühle) | 6,9 | 6,9 |
| Biodiesel aus Altspeiseöl | 1,9 | 1,9 |
| Biodiesel aus ausgelassenen tierischen Fetten ** | 1,6 | 1,6 |
| Hydriertes Rapsöl | 1,7 | 1,7 |
| Hydriertes Sonnenblumenöl | 2,0 | 2,0 |
| Hydriertes Sojaöl | 9,2 | 9,2 |
| Reines Palmöl (offenes Abwasserbecken) | 7,0 | 7,0 |
| Hydriertes Palmöl (Verarbeitung mit Methanbindung an der Ölmühle) | 7,0 | 7,0 |
| Hydriertes Altspeiseöl | 1,7 | 1,7 |
| Hydrierte tierische Fette ** | 1,5 | 1,5 |
| Reines Rapsöl | 1,4 | 1,4 |
| Reines Sonnenblumenöl | 1,7 | 1,7 |
| Reines Sojaöl | 8,8 | 8,8 |
| Reines Palmöl (offenes Abwasserbecken) | 6,7 | 6,7 |
| Reines Palmöl (Verarbeitung mit Methanbindung an der Ölmühle) | 6,7 | 6,7 |
| Reines Altspeiseöl | 1,4 | 1,4 |
| *) Standardwerte für KWK-Verfahren gelten nur, wenn die gesamte Prozesswärme durch KWK erzeugt wird.
**) Hinweis: Gilt nur für Biokraftstoffe aus tierischen Nebenprodukten, die in der Verordnung (EG) Nr. 1069/2009; in diesem Fall werden Emissionen im Zusammenhang mit der Entseuchung als Teil der Tierkörperverwertung nicht berücksichtigt. |
||
Disaggregierte Standardwerte ausschließlich für den Transport und Vertrieb des fertigen Brennstoffs. Diese sind bereits in der Tabelle als Emissionen bei Transport und Vertrieb "etd" gemäß Definition in Teil C dieses Anhangs enthalten; die folgenden Werte können jedoch hilfreich sein, wenn ein Wirtschaftsteilnehmer die tatsächlichen Transportemissionen nur für den Transport von Kulturpflanzen oder Öl angeben will.
| Produktionsweg der Biokraftstoffe und flüssigen Biobrennstoffe | Treibhausgasemissionen - typischer Wert (gCO2eq/MJ) |
Treibhausgasemissionen - Standardwert (gCO2eq/MJ) |
| Ethanol aus Zuckerrüben (ohne Biogas aus Schlempe, Erdgas als Prozessbrennstoff in konventioneller Anlage) | 1,6 | 1,6 |
| Ethanol aus Zuckerrüben (mit Biogas aus Schlempe, Erdgas als Prozessbrennstoff in konventioneller Anlage) | 1,6 | 1,6 |
| Ethanol aus Zuckerrüben (ohne Biogas aus Schlempe, Erdgas als Prozessbrennstoff in KWK-Anlage *) | 1,6 | 1,6 |
| Ethanol aus Mais (Erdgas als Prozessbrennstoff in KWK-Anlage *) | 1,6 | 1,6 |
| Ethanol aus Zuckerrüben (ohne Biogas aus Schlempe, Braunkohle als Prozessbrennstoff in KWK-Anlage *) | 1,6 | 1,6 |
| Ethanol aus Zuckerrüben (mit Biogas aus Schlempe, Braunkohle als Prozessbrennstoff in KWK-Anlage *) | 1,6 | 1,6 |
| Ethanol aus Mais (Erdgas als Prozessbrennstoff in konventioneller Anlage) | 1,6 | 1,6 |
| Ethanol aus Mais (Erdgas als Prozessbrennstoff in KWK-Anlage *) | 1,6 | 1,6 |
| Ethanol aus Mais (Braunkohle als Prozessbrennstoff in KWK-Anlage *) | 1,6 | 1,6 |
| Ethanol aus Mais (forstwirtschaftliche Reststoffe als Prozessbrennstoff in KWK-Anlage *) | 1,6 | 1,6 |
| Ethanol aus anderen Getreiden, ohne Mais (Erdgas als Prozessbrennstoff in konventioneller Anlage) | 1,6 | 1,6 |
| Ethanol aus anderen Getreiden, ohne Mais (Erdgas als Prozessbrennstoff in KWK-Anlage *) | 1,6 | 1,6 |
| Ethanol aus anderen Getreiden, ohne Mais (Braunkohle als Prozessbrennstoff in KWK-Anlage *) | 1,6 | 1,6 |
| Ethanol aus anderen Getreiden, ohne Mais (forstwirtschaftliche Reststoffe als Prozessbrennstoff in KWK-Anlage *) | 1,6 | 1,6 |
| Ethanol aus Zuckerrohr | 6,0 | 6,0 |
| Ethyl-Tertiär-Butylether (ETBE), Anteil aus Ethanol aus erneuerbaren Quellen | Wird angesehen wie beim Produktionsweg für Ethanol | |
| Tertiär-Amyl-Ethyl-Ether (TAEE), Anteil aus Ethanol aus erneuerbaren Quellen | Wird angesehen wie beim Produktionsweg für Ethanol | |
| Biodiesel aus Raps | 1,3 | 1,3 |
| Biodiesel aus Sonnenblumen | 1,3 | 1,3 |
| Biodiesel aus Sojabohnen | 1,3 | 1,3 |
| Biodiesel aus Palmöl (offenes Abwasserbecken) | 1,3 | 1,3 |
| Biodiesel aus Palmöl (Verarbeitung mit Methanbindung an der Ölmühle) | 1,3 | 1,3 |
| Biodiesel aus Altspeiseöl | 1,3 | 1,3 |
| Biodiesel aus ausgelassenen tierischen Fetten ** | 1,3 | 1,3 |
| Hydriertes Rapsöl | 1,2 | 1,2 |
| Hydriertes Sonnenblumenöl | 1,2 | 1,2 |
| Hydriertes Sojaöl | 1,2 | 1,2 |
| Reines Palmöl (offenes Abwasserbecken) | 1,2 | 1,2 |
| Hydriertes Palmöl (Verarbeitung mit Methanbindung an der Ölmühle) | 1,2 | 1,2 |
| Hydriertes Altspeiseöl | 1,2 | 1,2 |
| Hydrierte tierische Fette ** | 1,2 | 1,2 |
| Reines Rapsöl | 0,8 | 0,8 |
| Reines Sonnenblumenöl | 0,8 | 0,8 |
| Reines Sojaöl | 0,8 | 0,8 |
| Reines Palmöl (offenes Abwasserbecken) | 0,8 | 0,8 |
| Reines Palmöl (Verarbeitung mit Methanbindung an der Ölmühle) | 0,8 | 0,8 |
| Reines Altspeiseöl | 0,8 | 0,8 |
| *) Standardwerte für KWK-Verfahren gelten nur, wenn die gesamte Prozesswärme durch KWK erzeugt wird.
**) Hinweis: Gilt nur für Biokraftstoffe aus tierischen Nebenprodukten, die in der Verordnung (EG) Nr. 1069/2009 als Material der Kategorie 1 bzw. 2 eingestuft werden; in diesem Fall werden Emissionen im Zusammenhang mit der Entseuchung als Teil der Tierkörperverwertung nicht berücksichtigt. |
||
Insgesamt für Anbau, Verarbeitung, Transport und Vertrieb
| Produktionsweg der Biokraftstoffe und flüssigen Biobrennstoffe | Treibhausgasemissionen - typischer Wert (gCO2eq/MJ) |
Treibhausgasemissionen - Standardwert (gCO2eq/MJ) |
| Ethanol aus Zuckerrüben (ohne Biogas aus Schlempe, Erdgas als Prozessbrennstoff in konventioneller Anlage) | 30,7 | 38,2 |
| Ethanol aus Zuckerrüben (mit Biogas aus Schlempe, Erdgas als Prozessbrennstoff in konventioneller Anlage) | 21,6 | 25,5 |
| Ethanol aus Zuckerrüben (ohne Biogas aus Schlempe, Erdgas als Prozessbrennstoff in KWK-Anlage *) | 25,1 | 30,4 |
| Ethanol aus Zuckerrüben (mit Biogas aus Schlempe, Erdgas als Prozessbrennstoff in KWK-Anlage *) | 19,5 | 22,5 |
| Ethanol aus Zuckerrüben (ohne Biogas aus Schlempe, Braunkohle als Prozessbrennstoff in KWK-Anlage *) | 39,3 | 50,2 |
| Ethanol aus Zuckerrüben (mit Biogas aus Schlempe, Braunkohle als Prozessbrennstoff in KWK-Anlage *) | 27,6 | 33,9 |
| Ethanol aus Mais (Erdgas als Prozessbrennstoff in konventioneller Anlage) | 48,5 | 56,8 |
| Ethanol aus Mais (Erdgas als Prozessbrennstoff in KWK-Anlage *) | 42,5 | 48,5 |
| Ethanol aus Mais (Braunkohle als Prozessbrennstoff in KWK-Anlage *) | 56,3 | 67,8 |
| Ethanol aus Mais (forstwirtschaftliche Reststoffe als Prozessbrennstoff in KWK-Anlage *) | 29,5 | 30,3 |
| Ethanol aus anderen Getreiden, ohne Mais (Erdgas als Prozessbrennstoff in konventioneller Anlage) | 50,2 | 58,5 |
| Ethanol aus anderen Getreiden, ohne Mais (Erdgas als Prozessbrennstoff in KWK-Anlage *) | 44,3 | 50,3 |
| Ethanol aus anderen Getreiden, ohne Mais (Braunkohle als Prozessbrennstoff in KWK-Anlage *) | 59,5 | 71,7 |
| Ethanol aus anderen Getreiden, ohne Mais (forstwirtschaftliche Reststoffe als Prozessbrennstoff in KWK-Anlage *) | 30,7 | 31,4 |
| Ethanol aus Zuckerrohr | 28,1 | 28,6 |
| ETBE, Anteil aus erneuerbaren Quellen | Wie beim Produktionsweg für Ethanol | |
| TAEE, Anteil aus erneuerbaren Quellen | Wie beim Produktionsweg für Ethanol | |
| Biodiesel aus Raps | 45,5 | 50,1 |
| Biodiesel aus Sonnenblumen | 40,0 | 44,7 |
| Biodiesel aus Sojabohnen | 42,2 | 47,0 |
| Biodiesel aus Palmöl (offenes Abwasserbecken) | 63,3 | 75,5 |
| Biodiesel aus Palmöl (Verarbeitung mit Methanbindung an der Ölmühle) | 46,1 | 51,4 |
| Biodiesel aus Altspeiseöl | 11,2 | 14,9 |
| Biodiesel aus tierischen Fetten ** | 15,2 | 20,7 |
| Hydriertes Rapsöl | 45,8 | 50,1 |
| Hydriertes Sonnenblumenöl | 39,4 | 43,6 |
| Hydriertes Sojaöl | 42,2 | 46,5 |
| Hydriertes Palmöl (offenes Abwasserbecken) | 62,1 | 73,2 |
| Hydriertes Palmöl (Verarbeitung mit Methanbindung an der Ölmühle) | 44,0 | 47,9 |
| Hydriertes Altspeiseöl | 11,9 | 16,0 |
| Hydrierte tierische Fette ** | 16,0 | 21,8 |
| Reines Rapsöl | 38,5 | 40,0 |
| Reines Sonnenblumenöl | 32,7 | 34,3 |
| Reines Sojaöl | 35,2 | 36,9 |
| Reines Palmöl (offenes Abwasserbecken) | 56,4 | 65,5 |
| Reines Palmöl (Verarbeitung mit Methanbindung an der Ölmühle) | 38,5 | 40,3 |
| Reines Altspeiseöl | 2,0 | 2,2 |
| *) Standardwerte für KWK-Verfahren gelten nur, wenn die gesamte Prozesswärme durch KWK erzeugt wird.
**) Hinweis: Gilt nur für Biokraftstoffe aus tierischen Nebenprodukten, die in der Verordnung (EG) Nr. 1069/2009 als Material der Kategorie 1 bzw. 2 eingestuft werden; in diesem Fall werden Emissionen im Zusammenhang mit der Entseuchung als Teil der Tierkörperverwertung nicht berücksichtigt. |
||
E. Geschätzte disaggregierte Standardwerte für künftige Biokraftstoffe und flüssige Biobrennstoffe, die 2016 nicht oder nur in vernachlässigbaren Mengen auf dem Markt waren
Disaggregierte Standardwerte für den Anbau: "eec" gemäß Definition in Teil C dieses Anhangs einschließlich N2O-Emissionen (darunter Späne von Holzabfall oder Kulturholz)
| Produktionsweg der Biokraftstoffe und flüssigen Biobrennstoffe | Treibhausgasemissionen - typischer Wert (gCO2eq/MJ) |
Treibhausgasemissionen - Standardwert (gCO2eq/MJ) |
| Ethanol aus Weizenstroh | 1,8 | 1,8 |
| Fischer-Tropsch-Diesel aus Abfallholz in Einzelanlage | 3,3 | 3,3 |
| Fischer-Tropsch-Diesel aus Kulturholz in Einzelanlage | 8,2 | 8,2 |
| Fischer-Tropsch-Ottokraftstoff aus Abfallholz in Einzelanlage | 3,3 | 3,3 |
| Fischer-Tropsch-Ottokraftstoff aus Kulturholz in Einzelanlage | 8,2 | 8,2 |
| Dimethylether (DME) aus Abfallholz in Einzelanlage | 3,1 | 3,1 |
| Dimethylether (DME) aus Kulturholz in Einzelanlage | 7,6 | 7,6 |
| Methanol aus Abfallholz in Einzelanlage | 3,1 | 3,1 |
| Methanol aus Kulturholz in Einzelanlage | 7,6 | 7,6 |
| Fischer-Tropsch-Diesel aus der Vergasung von Schwarzlauge, integriert in Zellstofffabrik | 2,5 | 2,5 |
| Fischer-Tropsch-Ottokraftstoff aus der Vergasung von Schwarzlauge, integriert in Zellstofffabrik | 2,5 | 2,5 |
| Dimethylether (DME) aus der Vergasung von Schwarzlauge, integriert in Zellstofffabrik | 2,5 | 2,5 |
| Methanol aus der Vergasung von Schwarzlauge, integriert in Zellstofffabrik | 2,5 | 2,5 |
| MTBE, Anteil aus erneuerbaren Quellen | Wie beim Produktionsweg für Methanol | |
Disaggregierte Standardwerte für N2O-Bodenemissionen (diese sind bereits in den disaggregierten Werten in Tabelle "eec" für Emissionen aus dem Anbau enthalten)
| Produktionsweg der Biokraftstoffe und flüssigen Biobrennstoffe | Treibhausgasemissionen - typischer Wert (gCO2eq/MJ) |
Treibhausgasemissionen - Standardwert (gCO2eq/MJ) |
| Ethanol aus Weizenstroh | 0 | 0 |
| Fischer-Tropsch-Diesel aus Abfallholz in Einzelanlage | 0 | 0 |
| Fischer-Tropsch-Diesel aus Kulturholz in Einzelanlage | 4,4 | 4,4 |
| Fischer-Tropsch-Ottokraftstoff aus Abfallholz in Einzelanlage | 0 | 0 |
| Fischer-Tropsch-Ottokraftstoff aus Kulturholz in Einzelanlage | 4,4 | 4,4 |
| Dimethylether (DME) aus Abfallholz in Einzelanlage | 0 | 0 |
| Dimethylether (DME) aus Kulturholz in Einzelanlage | 4,1 | 4,1 |
| Methanol aus Abfallholz in Einzelanlage | 0 | 0 |
| Methanol aus Kulturholz in Einzelanlage | 4,1 | 4,1 |
| Fischer-Tropsch-Diesel aus der Vergasung von Schwarzlauge, integriert in Zellstofffabrik | 0 | 0 |
| Fischer-Tropsch-Ottokraftstoff aus der Vergasung von Schwarzlauge, integriert in Zellstofffabrik | 0 | 0 |
| Dimethylether (DME) aus der Vergasung von Schwarzlauge, integriert in Zellstofffabrik | 0 | 0 |
| Methanol aus der Vergasung von Schwarzlauge, integriert in Zellstofffabrik | 0 | 0 |
| MTBE, Anteil aus erneuerbaren Quellen | Wie beim Produktionsweg für Methanol | |
Disaggregierte Standardwerte für die Verarbeitung: "ep" gemäß Definition in Teil C dieses Anhangs
| Produktionsweg der Biokraftstoffe und flüssigen Biobrennstoffe | Treibhausgasemissionen - typischer Wert (gCO2eq/MJ) |
Treibhausgasemissionen - Standardwert (gCO2eq/MJ) |
| Ethanol aus Weizenstroh | 4,8 | 6,8 |
| Fischer-Tropsch-Diesel aus Abfallholz in Einzelanlage | 0,1 | 0,1 |
| Fischer-Tropsch-Diesel aus Kulturholz in Einzelanlage | 0,1 | 0,1 |
| Fischer-Tropsch-Ottokraftstoff aus Abfallholz in Einzelanlage | 0,1 | 0,1 |
| Fischer-Tropsch-Ottokraftstoff aus Kulturholz in Einzelanlage | 0,1 | 0,1 |
| Dimethylether (DME) aus Abfallholz in Einzelanlage | 0 | 0 |
| Dimethylether (DME) aus Kulturholz in Einzelanlage | 0 | 0 |
| Methanol aus Abfallholz in Einzelanlage | 0 | 0 |
| Methanol aus Kulturholz in Einzelanlage | 0 | 0 |
| Fischer-Tropsch-Diesel aus der Vergasung von Schwarzlauge, integriert in Zellstofffabrik | 0 | 0 |
| Fischer-Tropsch-Ottokraftstoff aus der Vergasung von Schwarzlauge, integriert in Zellstofffabrik | 0 | 0 |
| Dimethylether (DME) aus der Vergasung von Schwarzlauge, integriert in Zellstofffabrik | 0 | 0 |
| Methanol aus der Vergasung von Schwarzlauge, integriert in Zellstofffabrik | 0 | 0 |
| MTBE, Anteil aus erneuerbaren Quellen | Wie beim Produktionsweg für Methanol | |
Disaggregierte Standardwerte für den Transport und Vertrieb: "etd" gemäß Definition in Teil C dieses Anhangs
| Produktionsweg der Biokraftstoffe und flüssigen Biobrennstoffe | Treibhausgasemissionen - typischer Wert (gCO2eq/MJ) |
Treibhausgasemissionen - Standardwert (gCO2eq/MJ) |
| Ethanol aus Weizenstroh | 7,1 | 7,1 |
| Fischer-Tropsch-Diesel aus Abfallholz in Einzelanlage | 12,2 | 12,2 |
| Fischer-Tropsch-Diesel aus Kulturholz in Einzelanlage | 8,4 | 8,4 |
| Fischer-Tropsch-Ottokraftstoff aus Abfallholz in Einzelanlage | 12,2 | 12,2 |
| Fischer-Tropsch-Ottokraftstoff aus Kulturholz in Einzelanlage | 8,4 | 8,4 |
| Dimethylether (DME) aus Abfallholz in Einzelanlage | 12,1 | 12,1 |
| Dimethylether (DME) aus Kulturholz in Einzelanlage | 8,6 | 8,6 |
| Methanol aus Abfallholz in Einzelanlage | 12,1 | 12,1 |
| Methanol aus Kulturholz in Einzelanlage | 8,6 | 8,6 |
| Fischer-Tropsch-Diesel aus der Vergasung von Schwarzlauge, integriert in Zellstofffabrik | 7,7 | 7,7 |
| Fischer-Tropsch-Ottokraftstoff aus der Vergasung von Schwarzlauge, integriert in Zellstofffabrik | 7,9 | 7,9 |
| Dimethylether (DME) aus der Vergasung von Schwarzlauge, integriert in Zellstofffabrik | 7,7 | 7,7 |
| Methanol aus der Vergasung von Schwarzlauge, integriert in Zellstofffabrik | 7,9 | 7,9 |
| MTBE, Anteil aus erneuerbaren Quellen | Wie beim Produktionsweg für Methanol | |
Disaggregierte Standardwerte nur für den Transport und Vertrieb des fertigen Brennstoffs. Diese sind bereits in der Tabelle als Emissionen bei Transport und Vertrieb "etd" gemäß Definition in Teil C dieses Anhangs enthalten; die folgenden Werte können jedoch hilfreich sein, wenn ein Wirtschaftsteilnehmer die tatsächlichen Transportemissionen nur für den Rohstofftransport angeben will.
| Produktionsweg der Biokraftstoffe und flüssigen Biobrennstoffe | Treibhausgasemissionen - typischer Wert (gCO2eq/MJ) |
Treibhausgasemissionen - Standardwert (gCO2eq/MJ) |
| Ethanol aus Weizenstroh | 1,6 | 1,6 |
| Fischer-Tropsch-Diesel aus Abfallholz in Einzelanlage | 1,2 | 1,2 |
| Fischer-Tropsch-Diesel aus Kulturholz in Einzelanlage | 1,2 | 1,2 |
| Fischer-Tropsch-Ottokraftstoff aus Abfallholz in Einzelanlage | 1,2 | 1,2 |
| Fischer-Tropsch-Ottokraftstoff aus Kulturholz in Einzelanlage | 1,2 | 1,2 |
| Dimethylether (DME) aus Abfallholz in Einzelanlage | 2,0 | 2,0 |
| Dimethylether (DME) aus Kulturholz in Einzelanlage | 2,0 | 2,0 |
| Methanol aus Abfallholz in Einzelanlage | 2,0 | 2,0 |
| Methanol aus Kulturholz in Einzelanlage | 2,0 | 2,0 |
| Fischer-Tropsch-Diesel aus der Vergasung von Schwarzlauge, integriert in Zellstofffabrik | 2,0 | 2,0 |
| Fischer-Tropsch-Ottokraftstoff aus der Vergasung von Schwarzlauge, integriert in Zellstofffabrik | 2,0 | 2,0 |
| Dimethylether (DME) aus der Vergasung von Schwarzlauge, integriert in Zellstofffabrik | 2,0 | 2,0 |
| Methanol aus der Vergasung von Schwarzlauge, integriert in Zellstofffabrik | 2,0 | 2,0 |
| MTBE, Anteil aus erneuerbaren Quellen | Wie beim Produktionsweg für Methanol | |
Insgesamt für Anbau, Verarbeitung, Transport und Vertrieb
| Produktionsweg der Biokraftstoffe und flüssigen Biobrennstoffe | Treibhausgasemissionen - typischer Wert (gCO2eq/MJ) |
Treibhausgasemissionen - Standardwert (gCO2eq/MJ) |
| Ethanol aus Weizenstroh | 13,7 | 15,7 |
| Fischer-Tropsch-Diesel aus Abfallholz in Einzelanlage | 15,6 | 15,6 |
| Fischer-Tropsch-Diesel aus Kulturholz in Einzelanlage | 16,7 | 16,7 |
| Fischer-Tropsch-Ottokraftstoff aus Abfallholz in Einzelanlage | 15,6 | 15,6 |
| Fischer-Tropsch-Ottokraftstoff aus Kulturholz in Einzelanlage | 16,7 | 16,7 |
| Dimethylether (DME) aus Abfallholz in Einzelanlage | 15,2 | 15,2 |
| Dimethylether (DME) aus Kulturholz in Einzelanlage | 16,2 | 16,2 |
| Methanol aus Abfallholz in Einzelanlage | 15,2 | 15,2 |
| Methanol aus Kulturholz in Einzelanlage | 16,2 | 16,2 |
| Fischer-Tropsch-Diesel aus der Vergasung von Schwarzlauge, integriert in Zellstofffabrik | 10,2 | 10,2 |
| Fischer-Tropsch-Ottokraftstoff aus der Vergasung von Schwarzlauge, integriert in Zellstofffabrik | 10,4 | 10,4 |
| Dimethylether (DME) aus der Vergasung von Schwarzlauge, integriert in Zellstofffabrik | 10,2 | 10,2 |
| Methanol aus der Vergasung von Schwarzlauge, integriert in Zellstofffabrik | 10,4 | 10,4 |
| MTBE, Anteil aus erneuerbaren Quellen | Wie beim Produktionsweg für Methanol | |
2) Die Formel, mit der die Treibhausgasemissionen durch die Gewinnung oder den Anbau von Rohstoffen (eec) berechnet werden, beschreibt Fälle, in denen Rohstoffe in einem Schritt in Biokraftstoffe umgewandelt werden. Bei komplizierteren Versorgungsketten sind Anpassungen notwendig, damit auch die Treibhausgasemissionen (eec ) berechnet werden, die durch die Gewinnung oder den Anbau von Rohstoffen für Zwischenprodukte verursacht werden.
3) Bei einem solchen Nachweis kann es sich um Messungen des Kohlenstoffs im Boden handeln, beispielsweise in Form einer ersten Messung vor dem Anbau und anschließender regelmäßiger Messungen im Abstand von mehreren Jahren. In diesem Fall würde für den Anstieg des Bodenkohlenstoffs, solange der zweite Messwert noch nicht vorliegt, anhand repräsentativer Versuche oder Bodenmodelle ein Schätzwert ermittelt. Ab der zweiten Messung würden die Messwerte als Grundlage dienen, um zu ermitteln, ob und in welchem Maß der Bodenkohlenstoff steigt.
4) Der durch Division des Molekulargewichts von CO2 (44,010 g/mol) durch das Molekulargewicht von Kohlenstoff (12,011 g/mol) gewonnene Quotient ist gleich 3,664.
5) Kulturflächen im Sinne der Definition des IPCC.
6) Dauerkulturen sind definiert als mehrjährige Kulturpflanzen, deren Stiel normalerweise nicht jährlich geerntet wird (z.B. Niederwald mit Kurzumtrieb und Ölpalmen).
7) Verordnung (EU) 2018/841 des Europäischen Parlaments und des Rates vom 30. Mai 2018 über die Einbeziehung der Emissionen und des Abbaus von Treibhausgasen aus Landnutzung, Landnutzungsänderungen und Forstwirtschaft (LULUCF) in den Rahmen für die Klima- und Energiepolitik bis 2030 und zur Änderung der Verordnung (EU) Nr. 525/2013 und des Beschlusses Nr. 529/2013/EU (ABl. L 156 vom 19.06.2018 S. 1).
8) Beschluss 2010/335/EU der Kommission vom 10. Juni 2010 über Leitlinien für die Berechnung des Kohlenstoffbestands im Boden für die Zwecke des Anhangs V der Richtlinie 2009/28/EG (ABl. L 151 vom 17.06.2010 S. 19).
9) Richtlinie 2009/31/EG des Europäischen Parlaments und des Rates vom 23. April 2009 über die geologische Speicherung von Kohlendioxid und zur Änderung der Richtlinie 85/337/EWG des Rates sowie der Richtlinien 2000/60/EG, 2001/80/EG, 2004/35/EG, 2006/12/EG und 2008/1/EG des Europäischen Parlaments und des Rates sowie der Verordnung (EG) Nr. 1013/2006 (ABl. L 140 vom 05.06.2009 S. 114).
| Regeln für die Berechnung des Beitrags von Biomasse-Brennstoffen und des entsprechenden Vergleichswerts für fossile Brennstoffe zum Treibhauseffekt | Anhang VI |
A. Typische Werte und Standardwerte für Treibhausgaseinsparungen für Biomasse-Brennstoffe bei Produktion ohne Netto-CO2-Emissionen infolge von Landnutzungsänderungen
| Holzschnitzel | |||||
| Biomasse-Brennstoff-Produktionssystem | Transportentfernung | Typische Werte für die Minderung von Treibhausgasemissionen |
Standardwerte für die Minderung von Treibhausgasemissionen |
||
| Wärme | Elektrizität | Wärme | Elektrizität | ||
| Holzschnitzel aus forstwirtschaftlichen Reststoffen | 1 bis 500 km | 93 % | 89 % | 91 % | 87 % |
| 500 bis 2.500 km | 89 % | 84 % | 87 % | 81 % | |
| 2.500 bis 10.000 km | 82 % | 73 % | 78 % | 67 % | |
| Über 10.000 km | 67 % | 51 % | 60 % | 41 % | |
| Holzschnitzel aus Niederwald mit Kurzumtrieb (Eukalyptusholz) | 2.500 bis 10.000 km | 77 % | 65 % | 73 % | 60 % |
| Holzschnitzel aus Niederwald mit Kurzumtrieb (Pappelholz, gedüngt) | 1 bis 500 km | 89 % | 83 % | 87 % | 81 % |
| 500 bis 2.500 km | 85 % | 78 % | 84 % | 76 % | |
| 2.500 bis 10.000 km | 78 % | 67 % | 74 % | 62 % | |
| Über 10.000 km | 63 % | 45 % | 57 % | 35 % | |
| Holzschnitzel aus Niederwald mit Kurzumtrieb (Pappelholz, ungedüngt) | 1 bis 500 km | 91 % | 87 % | 90 % | 85 % |
| 500 bis 2.500 km | 88 % | 82 % | 86 % | 79 % | |
| 2.500 bis 10.000 km | 80 % | 70 % | 77 % | 65 % | |
| Über 10.000 km | 65 % | 48 % | 59 % | 39 % | |
| Holzschnitzel aus Stammholz | 1 bis 500 km | 93 % | 89 % | 92 % | 88 % |
| 500 bis 2.500 km | 90 % | 85 % | 88 % | 82 % | |
| 2.500 bis 10.000 km | 82 % | 73 % | 79 % | 68 % | |
| Über 10.000 km | 67 % | 51 % | 61 % | 42 % | |
| Holzschnitzel aus Industriereststoffen | 1 bis 500 km | 94 % | 92 % | 93 % | 90 % |
| 500 bis 2.500 km | 91 % | 87 % | 90 % | 85 % | |
| 2.500 bis 10.000 km | 83 % | 75 % | 80 % | 71 % | |
| Über 10.000 km | 69 % | 54 % | 63 % | 44 % | |
| Holzpellets * | ||||||
| Biomasse-Brennstoff-Produktionssystem | Transportentfernung | Typische Werte für die Minderung von Treibhausgasemissionen |
Standardwerte für die Minderung von Treibhausgasemissionen |
|||
| Wärme | Elektrizität | Wärme | Elektrizität | |||
| Holzbriketts oder -pellets aus forstwirtschaftlichen Reststoffen | Fall 1 | 1 bis 500 km | 58 % | 37 % | 49 % | 24 % |
| 500 bis 2.500 km | 58 % | 37 % | 49 % | 25 % | ||
| 2.500 bis 10.000 km | 55 % | 34 % | 47 % | 21 % | ||
| Über 10.000 km | 50 % | 26 % | 40 % | 11 % | ||
| Fall 2a | 1 bis 500 km | 77 % | 66 % | 72 % | 59 % | |
| 500 bis 2.500 km | 77 % | 66 % | 72 % | 59 % | ||
| 2.500 bis 10.000 km | 75 % | 62 % | 70 % | 55 % | ||
| Über 10.000 km | 69 % | 54 % | 63 % | 45 % | ||
| Fall 3a | 1 bis 500 km | 92 % | 88 % | 90 % | 85 % | |
| 500 bis 2.500 km | 92 % | 88 % | 90 % | 86 % | ||
| 2.500 bis 10.000 km | 90 % | 85 % | 88 % | 81 % | ||
| Über 10.000 km | 84 % | 76 % | 81 % | 72 % | ||
| Holzbriketts oder -pellets aus Niederwald mit Kurzumtrieb (Eukalyptusholz) | Fall 1 | 2.500 bis 10.000 km | 52 % | 28 % | 43 % | 15 % |
| Fall 2a | 2.500 bis 10.000 km | 70 % | 56 % | 66 % | 49 % | |
| Fall 3a | 2.500 bis 10.000 km | 85 % | 78 % | 83 % | 75 % | |
| Holzbriketts oder -pellets aus Niederwald mit Kurzumtrieb (Pappelholz, gedüngt) | Fall 1 | 1 bis 500 km | 54 % | 32 % | 46 % | 20 % |
| 500 bis 10.000 km | 52 % | 29 % | 44 % | 16 % | ||
| Über 10.000 km | 47 % | 21 % | 37 % | 7 % | ||
| Fall 2a | 1 bis 500 km | 73 % | 60 % | 69 % | 54 % | |
| 500 bis 10.000 km | 71 % | 57 % | 67 % | 50 % | ||
| Über 10.000 km | 66 % | 49 % | 60 % | 41 % | ||
| Fall 3a | 1 bis 500 km | 88 % | 82 % | 87 % | 81 % | |
| 500 bis 10.000 km | 86 % | 79 % | 84 % | 77 % | ||
| Über 10.000 km | 80 % | 71 % | 78 % | 67 % | ||
| Holzbriketts oder -pellets aus Niederwald mit Kurzumtrieb (Pappelholz, ungedüngt) | Fall 1 | 1 bis 500 km | 56 % | 35 % | 48 % | 23 % |
| 500 bis 10.000 km | 54 % | 32 % | 46 % | 20 % | ||
| Über 10.000 km | 49 % | 24 % | 40 % | 10 % | ||
| Fall 2a | 1 bis 500 km | 76 % | 64 % | 72 % | 58 % | |
| 500 bis 10.000 km | 74 % | 61 % | 69 % | 54 % | ||
| Über 10.000 km | 68 % | 53 % | 63 % | 45 % | ||
| Fall 3a | 1 bis 500 km | 91 % | 86 % | 90 % | 85 % | |
| 500 bis 10.000 km | 89 % | 83 % | 87 % | 81 % | ||
| Über 10.000 km | 83 % | 75 % | 81 % | 71 % | ||
| Stammholz | Fall 1 | 1 bis 500 km | 57 % | 37 % | 49 % | 24 % |
| 500 bis 2.500 km | 58 % | 37 % | 49 % | 25 % | ||
| 2.500 bis 10.000 km | 55 % | 34 % | 47 % | 21 % | ||
| Über 10.000 km | 50 % | 26 % | 40 % | 11 % | ||
| Fall 2a | 1 bis 500 km | 77 % | 66 % | 73 % | 60 % | |
| 500 bis 2.500 km | 77 % | 66 % | 73 % | 60 % | ||
| 2.500 bis 10.000 km | 75 % | 63 % | 70 % | 56 % | ||
| Über 10.000 km | 70 % | 55 % | 64 % | 46 % | ||
| Fall 3a | 1 bis 500 km | 92 % | 88 % | 91 % | 86 % | |
| 500 bis 2.500 km | 92 % | 88 % | 91 % | 87 % | ||
| 2.500 bis 10.000 km | 90 % | 85 % | 88 % | 83 % | ||
| Über 10.000 km | 84 % | 77 % | 82 % | 73 % | ||
| Holzbriketts oder -pellets aus Reststoffen der Holzindustrie | Fall 1 | 1 bis 500 km | 75 % | 62 % | 69 % | 55 % |
| 500 bis 2.500 km | 75 % | 62 % | 70 % | 55 % | ||
| 2.500 bis 10.000 km | 72 % | 59 % | 67 % | 51 % | ||
| Über 10.000 km | 67 % | 51 % | 61 % | 42 % | ||
| Fall 2a | 1 bis 500 km | 87 % | 80 % | 84 % | 76 % | |
| 500 bis 2.500 km | 87 % | 80 % | 84 % | 77 % | ||
| 2.500 bis 10.000 km | 85 % | 77 % | 82 % | 73 % | ||
| Über 10.000 km | 79 % | 69 % | 75 % | 63 % | ||
| Fall 3a | 1 bis 500 km | 95 % | 93 % | 94 % | 91 % | |
| 500 bis 2.500 km | 95 % | 93 % | 94 % | 92 % | ||
| 2.500 bis 10.000 km | 93 % | 90 % | 92 % | 88 % | ||
| Über 10.000 km | 88 % | 82 % | 85 % | 78 % | ||
| *) Fall 1 bezieht sich auf Verfahren, in denen ein Erdgaskessel genutzt wird, um der Pelletpresse Prozesswärme zu liefern. Die Elektrizität für die Pelletpresse stammt aus dem Stromnetz. Fall 2a bezieht sich auf Verfahren, in denen ein mit vorgetrockneten Schnitzeln betriebener Holzschnitzelkessel genutzt wird, um Prozesswärme zu liefern. Die Elektrizität für die Pelletpresse stammt aus dem Stromnetz. Fall 3a bezieht sich auf Verfahren, in denen ein mit vorgetrockneten Holzschnitzeln betriebener KWK-Kessel genutzt wird, um der Pelletpresse Elektrizität und Wärme zu liefern. |
||||||
| Landwirtschaftliche Optionen | |||||
| Biomasse-Brennstoff-Produktionssystem | Transportentfernung | Typische Werte für die Minderung von Treibhausgasemissionen |
Standardwerte für die Minderung von Treibhausgasemissionen |
||
| Wärme | Elektrizität | Wärme | Elektrizität | ||
| Landwirtschaftliche Reststoffe mit einer Dichte von < 0,2 t/m3 * | 1 bis 500 km | 95 % | 92 % | 93 % | 90 % |
| 500 bis 2.500 km | 89 % | 83 % | 86 % | 80 % | |
| 2.500 bis 10.000 km | 77 % | 66 % | 73 % | 60 % | |
| Über 10.000 km | 57 % | 36 % | 48 % | 23 % | |
| Landwirtschaftliche Reststoffe mit einer Dichte von > 0,2 t/m3 ** | 1 bis 500 km | 95 % | 92 % | 93 % | 90 % |
| 500 bis 2.500 km | 93 % | 89 % | 92 % | 87 % | |
| 2.500 bis 10.000 km | 88 % | 82 % | 85 % | 78 % | |
| Über 10.000 km | 78 % | 68 % | 74 % | 61 % | |
| Strohpellets | 1 bis 500 km | 88 % | 82 % | 85 % | 78 % |
| 500 bis 10.000 km | 86 % | 79 % | 83 % | 74 % | |
| Über 10.000 km | 80 % | 70 % | 76 % | 64 % | |
| Bagassebriketts | 500 bis 10.000 km | 93 % | 89 % | 91 % | 87 % |
| Über 10.000 km | 87 % | 81 % | 85 % | 77 % | |
| Palmkern-Extraktionsschrot | Über 10.000 km | 20 % | -18 % | 11 % | -33 % |
| Palmkern-Extraktionsschrot (keine CH4-Emissionen aus der Ölmühle) | Über 10.000 km | 46 % | 20 % | 42 % | 14 % |
| *) Diese Gruppe von Materialien umfasst landwirtschaftliche Reststoffe von geringer Schüttdichte, darunter u. a. Strohballen, Haferspelzen, Reisspelzen und Rohrzuckerbagasseballen (demonstrative Aufzählung).
**) Die Gruppe von landwirtschaftlichen Reststoffen mit höherer Schüttdichte umfasst Maiskolben, Nussschalen, Sojabohnenschalen und Palmkernschalen (demonstrative Aufzählung). |
|||||
| Biogas für Elektrizitätserzeugung * | ||||
| Biogasproduktionssystem | Technologische Optionen | Typische Werte für die Minderung von Treibhausgasemissionen |
Standardwerte für die Minderung von Treibhausgasemissionen |
|
| Gülle 1 | Fall 1 | Offenes Gärrückstandslager 2 | 146 % | 94 % |
| Geschlossenes Gärrückstandslager 3 | 246 % | 240 % | ||
| Fall 2 | Offenes Gärrückstandslager | 136 % | 85 % | |
| Geschlossenes Gärrückstandslager | 227 % | 219 % | ||
| Fall 3 | Offenes Gärrückstandslager | 142 % | 86 % | |
| Geschlossenes Gärrückstandslager | 243 % | 235 % | ||
| Mais, gesamte Pflanze 4 | Fall 1 | Offenes Gärrückstandslager | 36 % | 21 % |
| Geschlossenes Gärrückstandslager | 59 % | 53 % | ||
| Fall 2 | Offenes Gärrückstandslager | 34 % | 18 % | |
| Geschlossenes Gärrückstandslager | 55 % | 47 % | ||
| Fall 3 | Offenes Gärrückstandslager | 28 % | 10 % | |
| Geschlossenes Gärrückstandslager | 52 % | 43 % | ||
| Bioabfall | Fall 1 | Offenes Gärrückstandslager | 47 % | 26 % |
| Geschlossenes Gärrückstandslager | 84 % | 78 % | ||
| Fall 2 | Offenes Gärrückstandslager | 43 % | 21 % | |
| Geschlossenes Gärrückstandslager | 77 % | 68 % | ||
| Fall 3 | Offenes Gärrückstandslager | 38 % | 14 % | |
| Geschlossenes Gärrückstandslager | 76 % | 66 % | ||
| 1) Die Werte für die Biogasproduktion aus Mist/Gülle schließen negative Emissionen durch Emissionseinsparungen aufgrund der Bewirtschaftung von Frischmist/-gülle ein. Der esca-Wert ist gleich - 45 gCO2eq/MJ für in der anaeroben Zersetzung verwendete(n) Mist/Gülle.
2) Die offene Lagerung von Gärrückständen bringt zusätzliche CH4- und N2O Emissionen mit sich. Der Umfang dieser Emissionen hängt von den Umgebungsbedingungen, Substrattypen und der Zersetzungseffizienz. 3) Bei der geschlossenen Lagerung werden die Gärrückstände aus dem Zersetzungsprozess in einem gasdichten Tank gelagert, und es wird davon ausgegangen, dass das zusätzlich während der Lagerung freigegebene Gas für die Erzeugung zusätzlicher Elektrizität oder zusätzlichen Biomethans aufgefangen wird. Dieses Verfahren schließt keine Treibhausgasemissionen ein. 4) Der Begriff "Mais, gesamte Pflanze" sollte als Mais ausgelegt werden, der zur Verwendung als Futtermittel geerntet und zur Haltbarmachung siliert wurde. *) Fall 1 bezieht sich auf Optionen, bei denen die für das Verfahren erforderliche Elektrizität und Wärme von der KWK-Anlage selbst geliefert werden. |
||||
| Biogas zur Elektrizitätserzeugung - Vermischung von Mist/Gülle und Mais | ||||
| Biogasproduktionssystem | Technologische Optionen | Typische Werte für die Minderung von Treibhausgasemissionen |
Standardwerte für die Minderung von Treibhausgasemissionen |
|
| Mist/Gülle - Mais 80 % - 20 % |
Fall 1 | Offenes Gärrückstandslager | 72 % | 45 % |
| Geschlossenes Gärrückstandslager | 120 % | 114 % | ||
| Fall 2 | Offenes Gärrückstandslager | 67 % | 40 % | |
| Geschlossenes Gärrückstandslager | 111 % | 103 % | ||
| Fall 3 | Offenes Gärrückstandslager | 65 % | 35 % | |
| Geschlossenes Gärrückstandslager | 114 % | 106 % | ||
| Mist/Gülle - Mais 70 % - 30 % |
Fall 1 | Offenes Gärrückstandslager | 60 % | 37 % |
| Geschlossenes Gärrückstandslager | 100 % | 94 % | ||
| Fall 2 | Offenes Gärrückstandslager | 57 % | 32 % | |
| Geschlossenes Gärrückstandslager | 93 % | 85 % | ||
| Fall 3 | Offenes Gärrückstandslager | 53 % | 27 % | |
| Geschlossenes Gärrückstandslager | 94 % | 85 % | ||
| Mist/Gülle - Mais 60 % - 40 % |
Fall 1 | Offenes Gärrückstandslager | 53 % | 32 % |
| Geschlossenes Gärrückstandslager | 88 % | 82 % | ||
| Fall 2 | Offenes Gärrückstandslager | 50 % | 28 % | |
| Geschlossenes Gärrückstandslager | 82 % | 73 % | ||
| Fall 3 | Offenes Gärrückstandslager | 46 % | 22 % | |
| Geschlossenes Gärrückstandslager | 81 % | 72 % | ||
| Biomethan für den Verkehrssektor * | |||
| Biomethanproduktionssystem | Technologische Optionen | Typische Werte für die Minderung von Treibhausgasemissionen |
Standardwerte für die Minderung von Treibhausgasemissionen |
| Gülle | Offenes Gärrückstandslager, keine Abgasverbrennung | 117 % | 72 % |
| Offenes Gärrückstandslager, Abgasverbrennung | 133 % | 94 % | |
| Geschlossenes Gärrückstandslager, keine Abgasverbrennung | 190 % | 179 % | |
| Geschlossenes Gärrückstandslager, Abgasverbrennung | 206 % | 202 % | |
| Mais, gesamte Pflanze | Offenes Gärrückstandslager, keine Abgasverbrennung | 35 % | 17 % |
| Offenes Gärrückstandslager, Abgasverbrennung | 51 % | 39 % | |
| Geschlossenes Gärrückstandslager, keine Abgasverbrennung | 52 % | 41 % | |
| Geschlossenes Gärrückstandslager, Abgasverbrennung | 68 % | 63 % | |
| Bioabfall | Offenes Gärrückstandslager, keine Abgasverbrennung | 43 % | 20 % |
| Offenes Gärrückstandslager, Abgasverbrennung | 59 % | 42 % | |
| Geschlossenes Gärrückstandslager, keine Abgasverbrennung | 70 % | 58 % | |
| Geschlossenes Gärrückstandslager, Abgasverbrennung | 86 % | 80 % | |
| *) Die Treibhausgaseinsparungen für Biomethan beziehen sich ausschließlich auf komprimiertes Biomethan gegenüber dem Komparator für Fossilbrennstoffe im Verkehrssektor in Höhe von 94 gCO2eq/MJ. | |||
| Biomethan - Vermischung von Mist/Gülle und Mais * | |||
| Biomethanproduktionssystem | Technologische Optionen | Typische Werte für die Minderung von Treibhausgasemissionen |
Standardwerte für die Minderung von Treibhausgasemissionen |
| Mist/Gülle - Mais 80 % - 20 % |
Offenes Gärrückstandslager, keine Abgasverbrennung1 | 62 % | 35 % |
| Offenes Gärrückstandslager, Abgasverbrennung2 | 78 % | 57 % | |
| Geschlossenes Gärrückstandslager, keine Abgasverbrennung | 97 % | 86 % | |
| Geschlossenes Gärrückstandslager, Abgasverbrennung | 113 % | 108 % | |
| Mist/Gülle - Mais 70 % - 30 % |
Offenes Gärrückstandslager, keine Abgasverbrennung | 53 % | 29 % |
| Offenes Gärrückstandslager, Abgasverbrennung | 69 % | 51 % | |
| Geschlossenes Gärrückstandslager, keine Abgasverbrennung | 83 % | 71 % | |
| Geschlossenes Gärrückstandslager, Abgasverbrennung | 99 % | 94 % | |
| Mist/Gülle - Mais 60 % - 40 % |
Offenes Gärrückstandslager, keine Abgasverbrennung | 48 % | 25 % |
| Offenes Gärrückstandslager, Abgasverbrennung | 64 % | 48 % | |
| Geschlossenes Gärrückstandslager, keine Abgasverbrennung | 74 % | 62 % | |
| Geschlossenes Gärrückstandslager, Abgasverbrennung | 90 % | 84 % | |
| 1) Diese Kategorie umfasst die folgenden technologischen Kategorien zur Aufbereitung von Biogas zu Biomethan: Druckwechsel- Adsorption (Pressure Swing Adsorption - PSA), Druckwasserwäsche (Pressurised Water Scrubbing - PWS), Membrantrenntechnik, kryogene Trennung und physikalische Absorption mit einem organischen Lösungsmittel (Organic Physical Scrubbing - OPS). Dies schließt die Emission von 0,03 MJ CH4/MJ Biomethan für die Emission von Methan in den Abgasen ein.
2) Diese Kategorie umfasst die folgenden technologischen Kategorien zur Aufbereitung von Biogas zu Biomethan: Druckwasserwäsche (Pressurised Water Scrubbing - PWS), sofern das Wasser aufbereitet wird, Druckwechsel-Adsorption (Pressure Swing Adsorption - PSA), chemische Absorption (Chemical Scrubbing), physikalische Absorption mit einem organischen Lösungsmittel (Organic Physical Scrubbing OPS), Membrantrenntechnik und kryogene Trennung. Für diese Kategorie werden keine Methanemissionen berücksichtigt (das Methan im Abgas verbrennt gegebenenfalls). *) Die Treibhausgaseinsparungen für Biomethan beziehen sich ausschließlich auf komprimiertes Biomethan gegenüber dem Komparator für Fossilbrennstoffe im Verkehrssektor in Höhe von 94 gCO2eq/MJ. |
|||
B. Methode
E = eec + el + ep + etd + eu - esca - eccs - eccr
Dabei sind:
| E | = | Gesamtemissionen bei der Produktion des Brennstoffs vor der Energieumwandlung |
| eec | = | Emissionen bei der Gewinnung oder beim Anbau der Rohstoffe |
| el | = | auf das Jahr umgerechnete Emissionen durch Kohlenstoffbestandsänderungen infolge von Landnutzungsänderungen |
| ep | = | Emissionen bei der Verarbeitung |
| etd | = | Emissionen bei Transport und Vertrieb |
| eu | = | Emissionen bei der Nutzung des Brennstoffs |
| esca | = | Emissionseinsparung durch Akkumulierung von Kohlenstoff im Boden infolge besserer landwirtschaftlicher Bewirtschaftungspraktiken |
| eccs | = | Emissionseinsparung durch Abscheidung und geologische Speicherung von Kohlendioxid |
| eccr | = | Emissionseinsparung durch Abscheidung und Ersetzung von Kohlendioxid |
Die mit der Herstellung der Anlagen und Ausrüstungen verbundenen Emissionen werden nicht berücksichtigt.
Dabei sind:
| E | = | Treibhausgasemissionen pro MJ Biogas oder Biomethan, das mittels Co-Vergärung einer bestimmten Mischung von Substraten produziert wird |
| Sn | = | Rohstoffanteil n am Energiegehalt |
| En | = | Emissionen in gCO2/MJ für Option n gemäß Teil D dieses Anhangs * |
Dabei sind:
| Pn | = | Energieausbeute [MJ] pro Kilogramm Flüssiginput des Rohstoffs n ** |
| Wn | = | Gewichtungsfaktor des Substrats n, definiert als: |
Dabei sind:
| In | = | jährliches Input in den Vergärer des Substrats n [ Tonne Frischmasse] |
| AMn | = | jährliche Durchschnittsfeuchte des Substrats n [kg Wasser/kg Frischmasse] |
| SMn | = | Standardfeuchte des Substrats n *** |
| _______ *) Bei Verwendung von Mist/Gülle als Substrat wird ein Bonus von 45 gCO2eq/MJ Gülle (- 54 kgCO2eq/t Frischmasse) für die verbesserte landwirtschaftliche und Mist-/Güllebewirtschaftung angerechnet. |
||
**) Für die Berechnung der typischen Werte und der Standardwerte werden die folgenden Werte für Pn verwendet:
P(Mais): 4,16 [MJBiogas/kgFeuchtmais @ 65 % Feuchte] |
||
***) Die folgenden Standardfeuchtewerte werden für Substrat SMn verwendet:
SM(Mais): 0,65 [kg Wasser/kg Frischmasse] |
||
Dabei sind:
| E | = | Gesamtemissionen bei der Produktion des Biogases oder Biomethans vor der Energieumwandlung; |
| Sn | = | Rohstoffanteil n am Anteil des Inputs in den Vergärer; |
| eec,n | = | Emissionen bei der Gewinnung oder beim Anbau des Rohstoffs n; |
| etd, Rohstoff,n | = | Emissionen beim Transport des Rohstoffs n zum Vergärer; |
| el,n | = | auf das Jahr umgerechnete Emissionen durch Kohlenstoffbestandsänderungen infolge von Landnutzungsänderungen für Rohstoff n; |
| esca | = | Emissionseinsparung infolge besserer landwirtschaftlicher Bewirtschaftungspraktiken des Rohstoffs n *; |
| ep | = | Emissionen bei der Verarbeitung; |
| etd, Produkt | = | Emissionen bei Transport und Vertrieb des Biogases und/oder Biomethans; |
| eu | = | Emissionen bei der Nutzung des Brennstoffs, d. h. bei der Verbrennung emittierte Treibhausgase; |
| eccs | = | Emissionseinsparung durch Abscheidung und geologische Speicherung von CO2; und |
| eccr | = | Emissionseinsparung durch Abscheidung und Ersetzung von CO2. |
| ____ *) Bei Verwendung von Mist/Gülle als Substrat für die Produktion von Biogas und Biomethan wird ein Bonus von 45 gCO2eq/MJ Mist/Gülle für die verbesserte landwirtschaftliche und Mist-/Güllebewirtschaftung auf esca angerechnet. |
||
Dabei sind:
| ECh,el | = | Gesamttreibhausgasemissionen durch das Endenergieprodukt |
| E | = | Gesamttreibhausgasemissionen des Brennstoffs vor dessen Endumwandlung |
| ηel | = | elektrischer Wirkungsgrad, definiert als die jährlich produzierte Elektrische Leistung, dividiert durch den jährlich eingesetzten Brennstoff auf Grundlage des Energiegehalts |
| ηh | = | Wärmewirkungsgrad, definiert als die jährlich erzeugte Nutzwärme, dividiert durch den jährlich eingesetzten Brennstoff auf Grundlage des Energiegehalts |
Dabei sind:
| ECh,el | = | Gesamttreibhausgasemissionen durch das Endenergieprodukt |
| E | = | Gesamttreibhausgasemissionen des Brennstoffs vor dessen Endumwandlung |
| ηel | = | elektrischer Wirkungsgrad, definiert als die jährlich produzierte Elektrische Leistung, dividiert durch die jährlich eingesetzte Energie auf Grundlage des Energiegehalts |
| ηh | = | Wärmewirkungsgrad, definiert als die jährlich erzeugte Nutzwärme, dividiert durch die jährlich eingesetzte Energie auf Grundlage des Energiegehalts |
| Cel | = | Exergieanteil der Elektrizität und/oder mechanischen Energie, festgesetzt auf 100 % (Cel = 1) |
| Ch | = | Carnot"scher Wirkungsgrad (Exergieanteil der Nutzwärme) |
Der Carnot"sche Wirkungsgrad (Ch) für Nutzwärme bei unterschiedlichen Temperaturen ist definiert als:
Dabei sind:
| Th | = | Temperatur, gemessen als absolute Temperatur (Kelvin) der Nutzwärme am Lieferort |
| T0 | = | Umgebungstemperatur, festgelegt auf 273,15 Kelvin (0 °C) |
| Wenn die überschüssige Wärme zur Beheizung von Gebäuden ausgeführt wird, kann Ch für eine Temperatur unter 150 °C (423,15 Kelvin) alternativ wie folgt definiert werden: | ||
| Ch | = | Carnot"scher Wirkungsgrad für Wärme bei 150 °C (423,15 Kelvin) = 0,3546 |
Für die Zwecke dieser Berechnung bezeichnet der Begriff
Werden Wärme und Kälte gleichzeitig mit Elektrizität erzeugt, werden Emissionen zwischen Wärme und Elektrizität aufgeteilt (wie unter Nummer 1 Buchstabe d), unabhängig davon, ob die Wärme wirklich für Heizzwecke oder zur Kühlung genutzt wird 1.
Werden Treibhausgasemissionen durch die Gewinnung oder den Anbau von Rohstoffen (eec) als Einheit gCO2eq/Tonne Trockenrohstoff angegeben, wird die Umwandlung in gCO2eq/MJ (Gramm CO2-Äquivalent pro Megajoule Brennstoff) wie folgt berechnet 2:
wobei:
Die Emissionen pro Tonne Trockenrohstoff werden wie folgt berechnet:
EINSPARUNG = (EF(t) - EB)/EF(t)
Dabei sind:
| EB | = | Gesamtemissionen bei der Verwendung von Biomasse-Brennstoffen als Kraftstoffe für den Verkehr |
| EF(t) | = | Gesamtemissionen des Komparators für Fossilbrennstoffe im Verkehrssektor |
EINSPARUNG = (ECF(h&c,el) - ECB(h&c,el))/ECF(h&c,el)
Dabei sind:
| ECB(h&c,el) | = | Gesamtemissionen durch die Wärme- oder Elektrizitätserzeugung |
| ECF(h&c,el) | = | Gesamtemissionen des Komparators für Fossilbrennstoffe für Nutzwärme oder Elektrizität |
CO2: 1
N2O: 298
CH4: 25
Alternativ zu den tatsächlichen Werten können für die Emissionen beim Anbau und bei der Ernte forstwirtschaftlicher Biomasse anhand der auf nationaler Ebene für geografische Gebiete berechneten Durchschnittswerte für die Emissionen aus dem Anbau und der Ernte Schätzungen abgeleitet werden.
el = (CSR - CSA) × 3,664 × 1/20 × 1/P - eB, 4
Dabei sind:
| El | = | auf das Jahr umgerechnete Treibhausgasemissionen aus Kohlenstoffbestandsänderungen infolge von Landnutzungsänderungen (gemessen als Masse an CO2-Äquivalent pro Biomasse-Brennstoff-Energieeinheit)."Kulturflächen" 5 und "Dauerkulturen" 6 sind als eine einzige Landnutzungsart zu betrachten. |
| CSR | = | der mit der Referenzlandnutzung verbundene Kohlenstoffbestand pro Flächeneinheit (gemessen als Masse (Tonnen) an Kohlenstoff pro Flächeneinheit einschließlich Boden und Vegetation). Die Landnutzung der Bezugsflächen ist die Landnutzung im Januar 2008 oder 20 Jahre vor der Gewinnung des Rohstoffs, je nachdem, welcher Zeitpunkt der spätere ist. |
| CSA | = | der mit der tatsächlichen Landnutzung verbundene Kohlenstoffbestand pro Flächeneinheit (gemessen als Masse (Tonnen) an Kohlenstoff pro Flächeneinheit einschließlich Boden und Vegetation). Wenn sich der Kohlenstoffbestand über mehr als ein Jahr akkumuliert, gilt als CSA-Wert der geschätzte Kohlenstoffbestand pro Flächeneinheit nach 20 Jahren oder zum Zeitpunkt der Reife der Pflanzen, je nachdem, welcher Zeitpunkt der frühere ist. |
| P | = | Pflanzenproduktivität (gemessen als Energie des Biomasse-Brennstoffs pro Flächeneinheit und Jahr). |
| eB | = | Bonus von 29 gCO2eq/MJ Biokraftstoff oder flüssiger Biobrennstoff, wenn die Biomasse unter den in Nummer 8 aufgestellten Bedingungen auf wiederhergestellten degradierten Flächen gewonnen wird. |
Der Bonus von 29 gCO2eq/MJ gilt für einen Zeitraum von bis zu 20 Jahren ab dem Zeitpunkt der Umwandlung der Fläche in eine landwirtschaftliche Nutzfläche, sofern ein kontinuierlicher Anstieg des Kohlenstoffbestands und ein nennenswerter Rückgang der Erosion auf unter Buchstabe b fallenden Flächen gewährleistet werden.
Bei der Berücksichtigung des Verbrauchs an nicht in der Anlage zur Produktion fester oder gasförmiger Biomasse-Brennstoffe produzierter Elektrizität wird angenommen, dass die Treibhausgasemissionsintensität bei der Produktion und Verteilung dieser Elektrizität der durchschnittlichen Emissionsintensität bei der Produktion und Verteilung von Elektrizität in einer bestimmten Region entspricht. Abweichend von dieser Regel gilt: Die Produzenten können für die von einer einzelnen Elektrizitätserzeugungsanlage produzierte Elektrizität einen Durchschnittswert verwenden, falls diese Anlagenicht an das Elektrizitätsnetz angeschlossen ist.
Die Emissionen bei der Verarbeitung schließen gegebenenfalls Emissionen bei der Trocknung von Zwischenprodukten und -materialien ein.
Dabei sind:
| Th | = | Temperatur, gemessen als absolute Temperatur (Kelvin) der Nutzwärme am Lieferort |
| T0 | = | Umgebungstemperatur, festgelegt auf 273,15 Kelvin (0 °C) |
| Wenn die überschüssige Wärme zur Beheizung von Gebäuden ausgeführt wird, kann Ch für eine Temperatur unter 150 °C (423,15 Kelvin) alternativ wie folgt definiert werden: | ||
| Ch | = | Carnot"scher Wirkungsgrad für Wärme bei 150 °C (423,15 Kelvin) = 0,3546 |
Für die Zwecke dieser Berechnung ist der tatsächliche Wirkungsgrad zu verwenden, der als jährlich produzierte mechanische Energie, Elektrizität bzw. Wärme dividiert durch die jährlich eingesetzte Energie definiert wird.
Für die Zwecke dieser Berechnung bezeichnet der Begriff
Im Falle von Biogas und Biomethan werden sämtliche Nebenprodukte für die Zwecke der Berechnung berücksichtigt. Abfällen und Reststoffen werden keine Emissionen zugeordnet. Für die Zwecke der Berechnung wird der Energiegehalt von Nebenprodukten mit negativem Energiegehalt mit null angesetzt.
Bei Biomasse-Brennstoffen, die in anderen Raffinerien als einer Kombination von Verarbeitungsbetrieben mit konventionellen oder Kraft-Wärme-Kopplungsanlagen, die dem Verarbeitungsbetrieb Wärme und/oder Elektrizität liefern, produziert werden, ist die Analyseeinheit für die Zwecke der Berechnung nach Nummer 17 die Raffinerie.
Bei Biomasse-Brennstoffen, die zur Elektrizitätsproduktion verwendet werden, ist für die Zwecke der Berechnung nach Nummer 3 der Komparator für Fossilbrennstoffe ECF(el) 183 gCO2eq/MJ Elektrizität oder, für Gebiete in äußerster Randlage, 212 gCO2eq/MJ Elektrizität.
Bei Biomasse-Brennstoffen, die zur Nutzwärmeproduktion sowie zur Wärme- und/oder Kälteproduktion verwendet werden, ist für die Zwecke der Berechnung nach Nummer 3 der Komparator für Fossilbrennstoffe ECF(h) 80 gCO2eq/MJ Wärme.
Bei Biomasse-Brennstoffen, die zur Nutzwärmeproduktion verwendet werden, bei der eine direkte physische Substitution von Kohle nachgewiesen werden kann, ist für die Zwecke der Berechnung nach Nummer 3 der Komparator für Fossilbrennstoffe ECF(h) 124 gCO2eq/MJ Wärme.
Bei Biomasse-Brennstoffen, die als Kraftstoffe für den Verkehr verwendet werden, ist für die Zwecke der Berechnung nach Nummer 3 der Komparator für Fossilbrennstoffe EF(t) 94 gCO2eq/MJ.
C. Disaggregierte Standardwert für Biomasse-Brennstoffe:
Holzbriketts oder -pellets
| Biomasse-Brennstoff-Produktionssystem | Transportentfernung | Treibhausgasemissionen - typischer Wert (gCO2eq/MJ) |
Treibhausgasemissionen - Standardwert (gCO2eq/MJ) |
||||||
| Anbau | Verarbeitung | Transport | Nicht-CO2-Emissionen bei der Nutzung des Brennstoffs |
Anbau | Verarbeitung | Transport | Nicht-CO2-Emissionen bei der Nutzung des Brennstoffs |
||
| Holzschnitzel aus forstwirtschaftlichen Reststoffen | 1 bis 500 km | 0,0 | 1,6 | 3,0 | 0,4 | 0,0 | 1,9 | 3,6 | 0,5 |
| 500 bis 2.500 km | 0,0 | 1,6 | 5,2 | 0,4 | 0,0 | 1,9 | 6,2 | 0,5 | |
| 2.500 bis 10.000 km | 0,0 | 1,6 | 10,5 | 0,4 | 0,0 | 1,9 | 12,6 | 0,5 | |
| Über 10.000 km | 0,0 | 1,6 | 20,5 | 0,4 | 0,0 | 1,9 | 24,6 | 0,5 | |
| Holzschnitzel aus Niederwald mit Kurzumtrieb (Eukalyptusholz) | 2.500 bis 10.000 km | 4,4 | 0,0 | 11,0 | 0,4 | 4,4 | 0,0 | 13,2 | 0,5 |
| Holzschnitzel aus Niederwald mit Kurzumtrieb (Pappelholz, gedüngt) | 1 bis 500 km | 3,9 | 0,0 | 3,5 | 0,4 | 3,9 | 0,0 | 4,2 | 0,5 |
| 500 bis 2.500 km | 3,9 | 0,0 | 5,6 | 0,4 | 3,9 | 0,0 | 6,8 | 0,5 | |
| 2.500 bis 10.000 km | 3,9 | 0,0 | 11,0 | 0,4 | 3,9 | 0,0 | 13,2 | 0,5 | |
| Über 10.000 km | 3,9 | 0,0 | 21,0 | 0,4 | 3,9 | 0,0 | 25,2 | 0,5 | |
| Holzschnitzel aus Niederwald mit Kurzumtrieb (Pappelholz, ungedüngt) | 1 bis 500 km | 2,2 | 0,0 | 3,5 | 0,4 | 2,2 | 0,0 | 4,2 | 0,5 |
| 500 bis 2.500 km | 2,2 | 0,0 | 5,6 | 0,4 | 2,2 | 0,0 | 6,8 | 0,5 | |
| 2.500 bis 10.000 km | 2,2 | 0,0 | 11,0 | 0,4 | 2,2 | 0,0 | 13,2 | 0,5 | |
| Über 10.000 km | 2,2 | 0,0 | 21,0 | 0,4 | 2,2 | 0,0 | 25,2 | 0,5 | |
| Holzschnitzel aus Stammholz | 1 bis 500 km | 1,1 | 0,3 | 3,0 | 0,4 | 1,1 | 0,4 | 3,6 | 0,5 |
| 500 bis 2.500 km | 1,1 | 0,3 | 5,2 | 0,4 | 1,1 | 0,4 | 6,2 | 0,5 | |
| 2.500 bis 10.000 km | 1,1 | 0,3 | 10,5 | 0,4 | 1,1 | 0,4 | 12,6 | 0,5 | |
| Über 10.000 km | 1,1 | 0,3 | 20,5 | 0,4 | 1,1 | 0,4 | 24,6 | 0,5 | |
| Holzschnitzel aus Reststoffen der Holzindustrie | 1 bis 500 km | 0,0 | 0,3 | 3,0 | 0,4 | 0,0 | 0,4 | 3,6 | 0,5 |
| 500 bis 2.500 km | 0,0 | 0,3 | 5,2 | 0,4 | 0,0 | 0,4 | 6,2 | 0,5 | |
| 2.500 bis 10.000 km | 0,0 | 0,3 | 10,5 | 0,4 | 0,0 | 0,4 | 12,6 | 0,5 | |
| Über 10.000 km | 0,0 | 0,3 | 20,5 | 0,4 | 0,0 | 0,4 | 24,6 | 0,5 | |
Holzbriketts oder -pellets
| Biomasse-Brennstoff-Produktionssystem | Transportentfernung | Treibhausgasemissionen - typischer Wert (gCO2eq/MJ) |
Treibhausgasemissionen - Standardwert (gCO2eq/MJ) |
||||||
| Anbau | Verarbeitung | Transport und Vertrieb | Nicht-CO2-Emissionen bei der Nutzung des Brennstoffs |
Anbau | Verarbeitung | Transport und Vertrieb | Nicht-CO2-Emissionen bei der Nutzung des Brennstoffs |
||
| Holzbriketts oder -pellets aus forstwirtschaftlichen Reststoffen (Fall 1) | 1 bis 500 km | 0,0 | 25,8 | 2,9 | 0,3 | 0,0 | 30,9 | 3,5 | 0,3 |
| 500 bis 2.500 km | 0,0 | 25,8 | 2,8 | 0,3 | 0,0 | 30,9 | 3,3 | 0,3 | |
| 2.500 bis 10.000 km | 0,0 | 25,8 | 4,3 | 0,3 | 0,0 | 30,9 | 5,2 | 0,3 | |
| Über 10.000 km | 0,0 | 25,8 | 7,9 | 0,3 | 0,0 | 30,9 | 9,5 | 0,3 | |
| Holzbriketts oder -pellets aus forstwirtschaftlichen Reststoffen (Fall 2a) | 1 bis 500 km | 0,0 | 12,5 | 3,0 | 0,3 | 0,0 | 15,0 | 3,6 | 0,3 |
| 500 bis 2.500 km | 0,0 | 12,5 | 2,9 | 0,3 | 0,0 | 15,0 | 3,5 | 0,3 | |
| 2.500 bis 10.000 km | 0,0 | 12,5 | 4,4 | 0,3 | 0,0 | 15,0 | 5,3 | 0,3 | |
| Über 10.000 km | 0,0 | 12,5 | 8,1 | 0,3 | 0,0 | 15,0 | 9,8 | 0,3 | |
| Holzbriketts oder -pellets aus forstwirtschaftlichen Reststoffen (Fall 3a) | 1 bis 500 km | 0,0 | 2,4 | 3,0 | 0,3 | 0,0 | 2,8 | 3,6 | 0,3 |
| 500 bis 2.500 km | 0,0 | 2,4 | 2,9 | 0,3 | 0,0 | 2,8 | 3,5 | 0,3 | |
| 2.500 bis 10.000 km | 0,0 | 2,4 | 4,4 | 0,3 | 0,0 | 2,8 | 5,3 | 0,3 | |
| Über 10.000 km | 0,0 | 2,4 | 8,2 | 0,3 | 0,0 | 2,8 | 9,8 | 0,3 | |
| Holzbriketts oder -pellets aus Niederwald mit Kurzumtrieb (Eukalyptusholz - Fall 1) |
2.500 bis 10.000 km | 3,9 | 24,5 | 4,3 | 0,3 | 3,9 | 29,4 | 5,2 | 0,3 |
| Holzbriketts oder -pellets aus Niederwald mit Kurzumtrieb (Eukalyptusholz - Fall 2a) |
2.500 bis 10.000 km | 5,0 | 10,6 | 4,4 | 0,3 | 5,0 | 12,7 | 5,3 | 0,3 |
| Holzbriketts oder -pellets aus Niederwald mit Kurzumtrieb (Eukalyptusholz - Fall 3a) |
2.500 bis 10.000 km | 5,3 | 0,3 | 4,4 | 0,3 | 5,3 | 0,4 | 5,3 | 0,3 |
| Holzbriketts oder -pellets aus Niederwald mit Kurzumtrieb (Pappelholz, gedüngt - Fall 1) |
1 bis 500 km | 3,4 | 24,5 | 2,9 | 0,3 | 3,4 | 29,4 | 3,5 | 0,3 |
| 500 bis 10.000 km | 3,4 | 24,5 | 4,3 | 0,3 | 3,4 | 29,4 | 5,2 | 0,3 | |
| Über 10.000 km | 3,4 | 24,5 | 7,9 | 0,3 | 3,4 | 29,4 | 9,5 | 0,3 | |
| Holzbriketts oder -pellets aus Niederwald mit Kurzumtrieb (Pappelholz, gedüngt - Fall 2a) |
1 bis 500 km | 4,4 | 10,6 | 3,0 | 0,3 | 4,4 | 12,7 | 3,6 | 0,3 |
| 500 bis 10.000 km | 4,4 | 10,6 | 4,4 | 0,3 | 4,4 | 12,7 | 5,3 | 0,3 | |
| Über 10.000 km | 4,4 | 10,6 | 8,1 | 0,3 | 4,4 | 12,7 | 9,8 | 0,3 | |
| Holzbriketts oder -pellets aus Niederwald mit Kurzumtrieb (Pappelholz, gedüngt - Fall 3a) |
1 bis 500 km | 4,6 | 0,3 | 3,0 | 0,3 | 4,6 | 0,4 | 3,6 | 0,3 |
| 500 bis 10.000 km | 4,6 | 0,3 | 4,4 | 0,3 | 4,6 | 0,4 | 5,3 | 0,3 | |
| Über 10.000 km | 4,6 | 0,3 | 8,2 | 0,3 | 4,6 | 0,4 | 9,8 | 0,3 | |
| Holzbriketts oder -pellets aus Niederwald mit Kurzumtrieb (Pappelholz, ungedüngt - Fall 1) |
1 bis 500 km | 2,0 | 24,5 | 2,9 | 0,3 | 2,0 | 29,4 | 3,5 | 0,3 |
| 500 bis 2.500 km | 2,0 | 24,5 | 4,3 | 0,3 | 2,0 | 29,4 | 5,2 | 0,3 | |
| 2.500 bis 10.000 km | 2,0 | 24,5 | 7,9 | 0,3 | 2,0 | 29,4 | 9,5 | 0,3 | |
| Holzbriketts oder -pellets aus Niederwald mit Kurzumtrieb (Pappelholz, ungedüngt - Fall 2a) |
1 bis 500 km | 2,5 | 10,6 | 3,0 | 0,3 | 2,5 | 12,7 | 3,6 | 0,3 |
| 500 bis 10.000 km | 2,5 | 10,6 | 4,4 | 0,3 | 2,5 | 12,7 | 5,3 | 0,3 | |
| Über 10.000 km | 2,5 | 10,6 | 8,1 | 0,3 | 2,5 | 12,7 | 9,8 | 0,3 | |
| Holzbriketts oder -pellets aus Niederwald mit Kurzumtrieb (Pappelholz, ungedüngt - Fall 3a) |
1 bis 500 km | 2,6 | 0,3 | 3,0 | 0,3 | 2,6 | 0,4 | 3,6 | 0,3 |
| 500 bis 10.000 km | 2,6 | 0,3 | 4,4 | 0,3 | 2,6 | 0,4 | 5,3 | 0,3 | |
| Über 10.000 km | 2,6 | 0,3 | 8,2 | 0,3 | 2,6 | 0,4 | 9,8 | 0,3 | |
| Holzbriketts oder -pellets aus Stammholz (Fall 1) | 1 bis 500 km | 1,1 | 24,8 | 2,9 | 0,3 | 1,1 | 29,8 | 3,5 | 0,3 |
| 500 bis 2.500 km | 1,1 | 24,8 | 2,8 | 0,3 | 1,1 | 29,8 | 3,3 | 0,3 | |
| 2.500 bis 10.000 km | 1,1 | 24,8 | 4,3 | 0,3 | 1,1 | 29,8 | 5,2 | 0,3 | |
| Über 10.000 km | 1,1 | 24,8 | 7,9 | 0,3 | 1,1 | 29,8 | 9,5 | 0,3 | |
| Holzbriketts oder -pellets aus Stammholz (Fall 2a) | 1 bis 500 km | 1,4 | 11,0 | 3,0 | 0,3 | 1,4 | 13,2 | 3,6 | 0,3 |
| 500 bis 2.500 km | 1,4 | 11,0 | 2,9 | 0,3 | 1,4 | 13,2 | 3,5 | 0,3 | |
| 2.500 bis 10.000 km | 1,4 | 11,0 | 4,4 | 0,3 | 1,4 | 13,2 | 5,3 | 0,3 | |
| Über 10.000 km | 1,4 | 11,0 | 8,1 | 0,3 | 1,4 | 13,2 | 9,8 | 0,3 | |
| Holzbriketts oder -pellets aus Stammholz (Fall 3a) | 1 bis 500 km | 1,4 | 0,8 | 3,0 | 0,3 | 1,4 | 0,9 | 3,6 | 0,3 |
| 500 bis 2.500 km | 1,4 | 0,8 | 2,9 | 0,3 | 1,4 | 0,9 | 3,5 | 0,3 | |
| 2.500 bis 10.000 km | 1,4 | 0,8 | 4,4 | 0,3 | 1,4 | 0,9 | 5,3 | 0,3 | |
| Über 10.000 km | 1,4 | 0,8 | 8,2 | 0,3 | 1,4 | 0,9 | 9,8 | 0,3 | |
| Holzbriketts oder -pellets aus Reststoffen der Holzindustrie (Fall 1) | 1 bis 500 km | 0,0 | 14,3 | 2,8 | 0,3 | 0,0 | 17,2 | 3,3 | 0,3 |
| 500 bis 2.500 km | 0,0 | 14,3 | 2,7 | 0,3 | 0,0 | 17,2 | 3,2 | 0,3 | |
| 2.500 bis 10.000 km | 0,0 | 14,3 | 4,2 | 0,3 | 0,0 | 17,2 | 5,0 | 0,3 | |
| Über 10.000 km | 0,0 | 14,3 | 7,7 | 0,3 | 0,0 | 17,2 | 9,2 | 0,3 | |
| Holzbriketts oder -pellets aus Reststoffen der Holzindustrie (Fall 2a) | 1 bis 500 km | 0,0 | 6,0 | 2,8 | 0,3 | 0,0 | 7,2 | 3,4 | 0,3 |
| 500 bis 2.500 km | 0,0 | 6,0 | 2,7 | 0,3 | 0,0 | 7,2 | 3,3 | 0,3 | |
| 2.500 bis 10.000 km | 0,0 | 6,0 | 4,2 | 0,3 | 0,0 | 7,2 | 5,1 | 0,3 | |
| Über 10.000 km | 0,0 | 6,0 | 7,8 | 0,3 | 0,0 | 7,2 | 9,3 | 0,3 | |
| Holzbriketts oder -pellets aus Reststoffen der Holzindustrie (Fall 3a) | 1 bis 500 km | 0,0 | 0,2 | 2,8 | 0,3 | 0,0 | 0,3 | 3,4 | 0,3 |
| 500 bis 2.500 km | 0,0 | 0,2 | 2,7 | 0,3 | 0,0 | 0,3 | 3,3 | 0,3 | |
| 2.500 bis 10.000 km | 0,0 | 0,2 | 4,2 | 0,3 | 0,0 | 0,3 | 5,1 | 0,3 | |
| Über 10.000 km | 0,0 | 0,2 | 7,8 | 0,3 | 0,0 | 0,3 | 9,3 | 0,3 | |
Landwirtschaftliche Optionen
| Biomasse-Brennstoff-Produktionssystem | Transportentfernung | Treibhausgasemissionen - typischer Wert (gCO2eq/MJ) | Treibhausgasemissionen - Standardwert (gCO2eq/MJ) | ||||||
| Anbau | Verarbeitung | Transport und Vertrieb | Nicht-CO2-Emissionen bei der Nutzung des Brennstoffs |
Anbau | Verarbeitung | Transport und Vertrieb | Nicht-CO2-Emissionen bei der Nutzung des Brennstoffs |
||
| Landwirtschaftliche Reststoffe mit einer Dichte von < 0,2 t/m3 | 1 bis 500 km | 0,0 | 0,9 | 2,6 | 0,2 | 0,0 | 1,1 | 3,1 | 0,3 |
| 500 bis 2.500 km | 0,0 | 0,9 | 6,5 | 0,2 | 0,0 | 1,1 | 7,8 | 0,3 | |
| 2.500 bis 10.000 km | 0,0 | 0,9 | 14,2 | 0,2 | 0,0 | 1,1 | 17,0 | 0,3 | |
| Über 10.000 km | 0,0 | 0,9 | 28,3 | 0,2 | 0,0 | 1,1 | 34,0 | 0,3 | |
| Landwirtschaftliche Reststoffe mit einer Dichte von > 0,2 t/m3 | 1 bis 500 km | 0,0 | 0,9 | 2,6 | 0,2 | 0,0 | 1,1 | 3,1 | 0,3 |
| 500 bis 2.500 km | 0,0 | 0,9 | 3,6 | 0,2 | 0,0 | 1,1 | 4,4 | 0,3 | |
| 2.500 bis 10.000 km | 0,0 | 0,9 | 7,1 | 0,2 | 0,0 | 1,1 | 8,5 | 0,3 | |
| Über 10.000 km | 0,0 | 0,9 | 13,6 | 0,2 | 0,0 | 1,1 | 16,3 | 0,3 | |
| Strohpellets | 1 bis 500 km | 0,0 | 5,0 | 3,0 | 0,2 | 0,0 | 6,0 | 3,6 | 0,3 |
| 500 bis 10.000 km | 0,0 | 5,0 | 4,6 | 0,2 | 0,0 | 6,0 | 5,5 | 0,3 | |
| Über 10.000 km | 0,0 | 5,0 | 8,3 | 0,2 | 0,0 | 6,0 | 10,0 | 0,3 | |
| Bagassebriketts | 500 bis 10.000 km | 0,0 | 0,3 | 4,3 | 0,4 | 0,0 | 0,4 | 5,2 | 0,5 |
| Über 10.000 km | 0,0 | 0,3 | 8,0 | 0,4 | 0,0 | 0,4 | 9,5 | 0,5 | |
| Palmkern-Extraktionsschrot | Über 10.000 km | 21,6 | 21,1 | 11,2 | 0,2 | 21,6 | 25,4 | 13,5 | 0,3 |
| Palmkern-Extraktionsschrot (keine CH4-Emissionen aus der Ölmühle) | Über 10.000 km | 21,6 | 3,5 | 11,2 | 0,2 | 21,6 | 4,2 | 13,5 | 0,3 |
Disaggregierte Standardwerte für Biogas zur Elektrizitätsproduktion
| Biomasse-Brennstoff-Produktionssystem | Technologie | Typischer Wert [gCO2eq/MJ] | Standardwert [gCO2eq/MJ] | |||||||||
| Anbau | Verarbeitung | Nicht-CO2-Emissionen bei der Nutzung des Brennstoffs |
Transport | Gutschrift für Mist-/ Güllenutzung | Anbau | Verarbeitung | Nicht-CO2-Emissionen bei der Nutzung des Brennstoffs |
Transport | Gutschrift für Mist-/Güllenutzung | |||
| Gülle1 | Fall 1 | Offenes Gärrückstandslager | 0,0 | 69,6 | 8,9 | 0,8 | - 107,3 | 0,0 | 97,4 | 12,5 | 0,8 | - 107,3 |
| Geschlossenes Gärrück- standslager | 0,0 | 0,0 | 8,9 | 0,8 | - 97,6 | 0,0 | 0,0 | 12,5 | 0,8 | - 97,6 | ||
| Fall 2 | Offenes Gärrückstandslager | 0,0 | 74,1 | 8,9 | 0,8 | - 107,3 | 0,0 | 103,7 | 12,5 | 0,8 | - 107,3 | |
| Geschlossenes Gärrückstandslager | 0,0 | 4,2 | 8,9 | 0,8 | - 97,6 | 0,0 | 5,9 | 12,5 | 0,8 | - 97,6 | ||
| Fall 3 | Offenes Gärrückstandslager | 0,0 | 83,2 | 8,9 | 0,9 | - 120,7 | 0,0 | 116,4 | 12,5 | 0,9 | - 120,7 | |
| Geschlossenes Gärrückstandslager | 0,0 | 4,6 | 8,9 | 0,8 | - 108,5 | 0,0 | 6,4 | 12,5 | 0,8 | - 108,5 | ||
| Mais, gesamte Pflanze2 | Fall 1 | Offenes Gärrückstandslager | 15,6 | 13,5 | 8,9 | 0,03 | - | 15,6 | 18,9 | 12,5 | 0,0 | - |
| Geschlossenes Gärrückstandslager | 15,2 | 0,0 | 8,9 | 0,0 | - | 15,2 | 0,0 | 12,5 | 0,0 | - | ||
| Fall 2 | Offenes Gärrückstandslager | 15,6 | 18,8 | 8,9 | 0,0 | - | 15,6 | 26,3 | 12,5 | 0,0 | - | |
| Geschlossenes Gärrückstandslager | 15,2 | 5,2 | 8,9 | 0,0 | - | 15,2 | 7,2 | 12,5 | 0,0 | - | ||
| Fall 3 | Offenes Gärrückstandslager | 17,5 | 21,0 | 8,9 | 0,0 | - | 17,5 | 29,3 | 12,5 | 0,0 | - | |
| Geschlossenes Gärrückstandslager | 17,1 | 5,7 | 8,9 | 0,0 | - | 17,1 | 7,9 | 12,5 | 0,0 | - | ||
| Bioabfall | Fall 1 | Offenes Gärrückstandslager | 0,0 | 21,8 | 8,9 | 0,5 | - | 0,0 | 30,6 | 12,5 | 0,5 | - |
| Geschlossenes Gärrückstandslager | 0,0 | 0,0 | 8,9 | 0,5 | - | 0,0 | 0,0 | 12,5 | 0,5 | - | ||
| Fall 2 | Offenes Gärrückstandslager | 0,0 | 27,9 | 8,9 | 0,5 | - | 0,0 | 39,0 | 12,5 | 0,5 | - | |
| Geschlossenes Gärrückstandslager | 0,0 | 5,9 | 8,9 | 0,5 | - | 0,0 | 8,3 | 12,5 | 0,5 | - | ||
| Fall 3 | Offenes Gärrückstandslager | 0,0 | 31,2 | 8,9 | 0,5 | - | 0,0 | 43,7 | 12,5 | 0,5 | - | |
| Geschlossenes Gärrückstandslager | 0,0 | 6,5 | 8,9 | 0,5 | - | 0,0 | 9,1 | 12,5 | 0,5 | - | ||
| 1) Die Werte für die Biogasproduktion aus Mist/Gülle schließen negative Emissionen durch Emissionseinsparungen aufgrund der Bewirtschaftung von Frischmist/-gülle ein. Der esca-Wert ist gleich - 45 gCO2eq/MJ für in der anaeroben Zersetzung verwendete(n) Mist/Gülle
2) Der Begriff "Mais, gesamte Pflanze" sollte als Mais ausgelegt werden, der zur Verwendung als Futtermittel geerntet und zur Haltbarmachung siliert wurde. 3) Der Wert für den "Anbau" umfasst gemäß der im Bericht der Kommission vom 25. Februar 2010 an den Rat und das Europäische Parlament über Nachhaltigkeitskriterien für die Nutzung fester und gasförmiger Biomasse bei Stromerzeugung, Heizung und Kühlung enthaltenen Methode auch den Transport von landwirtschaftlichen Rohstoffen zur Umwandlungsanlage. Der Wert für den Transport von Maissilage liegt bei 0,4 gCO2eq/MJ Biogas. |
||||||||||||
Disaggregierte Standardwerte für Biomethan
| Biomethanproduktionssystem | Technologische Optionen | Typischer Wert [gCO2eq/MJ] | STANDARDWERT [gCO2eq/MJ] | |||||||||||
| Anbau | Verarbeitung | Aufbereitung | Transport | Kompression an der Tankstelle | Gutschrift für Mist-/Güllenutzung | Anbau | Verarbeitung | Aufbereitung | Transport | Kompression an der Tankstelle | Gutschrift für Mist-/ Güllenutzung | |||
| Gülle | Offenes Gärrückstandslager | keine Abgasverbrennung | 0,0 | 84,2 | 19,5 | 1,0 | 3,3 | - 124,4 | 0,0 | 117,9 | 27,3 | 1,0 | 4,6 | - 124,4 |
| Abgasverbrennung | 0,0 | 84,2 | 4,5 | 1,0 | 3,3 | - 124,4 | 0,0 | 117,9 | 6,3 | 1,0 | 4,6 | - 124,4 | ||
| Geschlossenes Gärrückstandslager | keine Abgasverbrennung | 0,0 | 3,2 | 19,5 | 0,9 | 3,3 | - 111,9 | 0,0 | 4,4 | 27,3 | 0,9 | 4,6 | - 111,9 | |
| Abgasverbrennung | 0,0 | 3,2 | 4,5 | 0,9 | 3,3 | - 111,9 | 0,0 | 4,4 | 6,3 | 0,9 | 4,6 | - 111,9 | ||
| Mais, gesamte Pflanze | Offenes Gärrückstandslager | keine Abgasverbrennung | 18,1 | 20,1 | 19,5 | 0,0 | 3,3 | - | 18,1 | 28,1 | 27,3 | 0,0 | 4,6 | - |
| Abgasverbrennung | 18,1 | 20,1 | 4,5 | 0,0 | 3,3 | - | 18,1 | 28,1 | 6,3 | 0,0 | 4,6 | - | ||
| Geschlossenes Gärrückstandslager | keine Abgasverbrennung | 17,6 | 4,3 | 19,5 | 0,0 | 3,3 | - | 17,6 | 6,0 | 27,3 | 0,0 | 4,6 | - | |
| Abgasverbrennung | 17,6 | 4,3 | 4,5 | 0,0 | 3,3 | - | 17,6 | 6,0 | 6,3 | 0,0 | 4,6 | - | ||
| Bioabfall | Offenes Gärrückstandslager | keine Abgasverbrennung | 0,0 | 30,6 | 19,5 | 0,6 | 3,3 | - | 0,0 | 42,8 | 27,3 | 0,6 | 4,6 | - |
| Abgasverbrennung | 0,0 | 30,6 | 4,5 | 0,6 | 3,3 | - | 0,0 | 42,8 | 6,3 | 0,6 | 4,6 | - | ||
| Geschlossenes Gärrückstandslager | keine Abgasverbrennung | 0,0 | 5,1 | 19,5 | 0,5 | 3,3 | - | 0,0 | 7,2 | 27,3 | 0,5 | 4,6 | - | |
| Abgasverbrennung | 0,0 | 5,1 | 4,5 | 0,5 | 3,3 | - | 0,0 | 7,2 | 6,3 | 0,5 | 4,6 | - | ||
D. Typische Gesamtwerte und Standardgesamtwerte der Biomasse-Brennstoffoptionen
| Biomasse-Brennstoff-Produktionssystem | Transportentfernung | Treibhausgasemissionen - typischer Wert (gCO2eq/MJ) |
Treibhausgasemissionen - Standardwert (gCO2eq/MJ) |
| Holzschnitzel aus forstwirtschaftlichen Reststoffen | 1 bis 500 km | 5 | 6 |
| 500 bis 2.500 km | 7 | 9 | |
| 2.500 bis 10.000 km | 12 | 15 | |
| Über 10.000 km | 22 | 27 | |
| Holzschnitzel aus Niederwald mit Kurzumtrieb (Eukalyptusholz) | 2.500 bis 10.000 km | 16 | 18 |
| Holzschnitzel aus Niederwald mit Kurzumtrieb (Pappelholz, gedüngt) | 1 bis 500 km | 8 | 9 |
| 500 bis 2.500 km | 10 | 11 | |
| 2.500 bis 10.000 km | 15 | 18 | |
| über 10.000 km | 25 | 30 | |
| Holzschnitzel aus Niederwald mit Kurzumtrieb (Pappelholz, ungedüngt) | 1 bis 500 km | 6 | 7 |
| 500 bis 2.500 km | 8 | 10 | |
| 2.500 bis 10.000 km | 14 | 16 | |
| über 10.000 km | 24 | 28 | |
| Holzschnitzel aus Stammholz | 1 bis 500 km | 5 | 6 |
| 500 bis 2.500 km | 7 | 8 | |
| 2.500 bis 10.000 km | 12 | 15 | |
| über 10.000 km | 22 | 27 | |
| Holzschnitzel aus Industriereststoffen | 1 bis 500 km | 4 | 5 |
| 500 bis 2.500 km | 6 | 7 | |
| 2.500 bis 10.000 km | 11 | 13 | |
| Über 10.000 km | 21 | 25 | |
| Holzbriketts oder -pellets aus forstwirtschaftlichen Reststoffen (Fall 1) | 1 bis 500 km | 29 | 35 |
| 500 bis 2.500 km | 29 | 35 | |
| 2.500 bis 10.000 km | 30 | 36 | |
| Über 10.000 km | 34 | 41 | |
| Holzbriketts oder -pellets aus forstwirtschaftlichen Reststoffen (Fall 2a) | 1 bis 500 km | 16 | 19 |
| 500 bis 2.500 km | 16 | 19 | |
| 2.500 bis 10.000 km | 17 | 21 | |
| Über 10.000 km | 21 | 25 | |
| Holzbriketts oder -pellets aus forstwirtschaftlichen Reststoffen (Fall 3a) | 1 bis 500 km | 6 | 7 |
| 500 bis 2.500 km | 6 | 7 | |
| 2.500 bis 10.000 km | 7 | 8 | |
| Über 10.000 km | 11 | 13 | |
| Holzbriketts oder -pellets aus Niederwald mit Kurzumtrieb (Eukalyptusholz - Fall 1) | 2.500 bis 10.000 km | 33 | 39 |
| Holzbriketts oder -pellets aus Niederwald mit Kurzumtrieb (Eukalyptusholz - Fall 2a) | 2.500 bis 10.000 km | 20 | 23 |
| Holzbriketts oder -pellets aus Niederwald mit Kurzumtrieb (Eukalyptusholz - Fall 3a) | 2.500 bis 10.000 km | 10 | 11 |
| Holzbriketts oder -pellets aus Niederwald mit Kurzumtrieb (Pappelholz, gedüngt - Fall 1) | 1 bis 500 km | 31 | 37 |
| 500 bis 10.000 km | 32 | 38 | |
| Über 10.000 km | 36 | 43 | |
| Holzbriketts oder -pellets aus Niederwald mit Kurzumtrieb (Pappelholz, gedüngt - Fall 2a) | 1 bis 500 km | 18 | 21 |
| 500 bis 10.000 km | 20 | 23 | |
| Über 10.000 km | 23 | 27 | |
| Holzbriketts oder -pellets aus Niederwald mit Kurzumtrieb (Pappelholz, gedüngt - Fall 3a) | 1 bis 500 km | 8 | 9 |
| 500 bis 10.000 km | 10 | 11 | |
| Über 10.000 km | 13 | 15 | |
| Holzbriketts oder -pellets aus Niederwald mit Kurzumtrieb (Pappelholz, ungedüngt - Fall 1) | 1 bis 500 km | 30 | 35 |
| 500 bis 10.000 km | 31 | 37 | |
| Über 10.000 km | 35 | 41 | |
| Holzbriketts oder -pellets aus Niederwald mit Kurzumtrieb (Pappelholz, ungedüngt - Fall 2a) | 1 bis 500 km | 16 | 19 |
| 500 bis 10.000 km | 18 | 21 | |
| Über 10.000 km | 21 | 25 | |
| Holzbriketts oder -pellets aus Niederwald mit Kurzumtrieb (Pappelholz, ungedüngt - Fall 3a) | 1 bis 500 km | 6 | 7 |
| 500 bis 10.000 km | 8 | 9 | |
| Über 10.000 km | 11 | 13 | |
| Holzbriketts oder -pellets aus Stammholz (Fall 1) | 1 bis 500 km | 29 | 35 |
| 500 bis 2.500 km | 29 | 34 | |
| 2.500 bis 10.000 km | 30 | 36 | |
| Über 10.000 km | 34 | 41 | |
| Holzbriketts oder -pellets aus Stammholz (Fall 2a) | 1 bis 500 km | 16 | 18 |
| 500 bis 2.500 km | 15 | 18 | |
| 2.500 bis 10.000 km | 17 | 20 | |
| Über 10.000 km | 21 | 25 | |
| Holzbriketts oder -pellets aus Stammholz (Fall 3a) | 1 bis 500 km | 5 | 6 |
| 500 bis 2.500 km | 5 | 6 | |
| 2.500 bis 10.000 km | 7 | 8 | |
| Über 10.000 km | 11 | 12 | |
| Holzbriketts oder -pellets aus Reststoffen der Holzindustrie (Fall 1) | 1 bis 500 km | 17 | 21 |
| 500 bis 2.500 km | 17 | 21 | |
| 2.500 bis 10.000 km | 19 | 23 | |
| Über 10.000 km | 22 | 27 | |
| Holzbriketts oder -pellets aus Reststoffen der Holzindustrie (Fall 2a) | 1 bis 500 km | 9 | 11 |
| 500 bis 2.500 km | 9 | 11 | |
| 2.500 bis 10.000 km | 10 | 13 | |
| Über 10.000 km | 14 | 17 | |
| Holzbriketts oder -pellets aus Reststoffen der Holzindustrie (Fall 3a) | 1 bis 500 km | 3 | 4 |
| 500 bis 2.500 km | 3 | 4 | |
| 2.500 bis 10.000 km | 5 | 6 | |
| Über 10.000 km | 8 | 10 |
Fall 1 bezieht sich auf Verfahren, in denen ein Erdgaskessel genutzt wird, um der Pelletpresse Prozesswärme zu liefern. Der Prozessstrom wird aus dem Netz bezogen.
Fall 2a bezieht sich auf Verfahren, in denen ein mit Holzschnitzeln betriebener Kessel genutzt wird, um der Pelletpresse Prozesswärme zu liefern. Der Prozessstrom wird aus dem Netz bezogen.
Fall 3a bezieht sich auf Verfahren, in denen eine mit Holzschnitzeln betriebene KWK-Anlage genutzt wird, um der Pelletpresse Wärme und Elektrizität zu liefern.
| Biomasse-Brennstoff-Produktionssystem | Transportentfernung | Treibhausgasemissionen - typischer Wert (gCO2eq/MJ) |
Treibhausgasemissionen - Standardwert (gCO2eq/MJ) |
| Landwirtschaftliche Reststoffe mit einer Dichte von < 0,2 t/m3 1 | 1 bis 500 km | 4 | 4 |
| 500 bis 2.500 km | 8 | 9 | |
| 2.500 bis 10.000 km | 15 | 18 | |
| Über 10.000 km | 29 | 35 | |
| Landwirtschaftliche Reststoffe mit einer Dichte von > 0,2 t/m3 2 | 1 bis 500 km | 4 | 4 |
| 500 bis 2.500 km | 5 | 6 | |
| 2.500 bis 10.000 km | 8 | 10 | |
| Über 10.000 km | 15 | 18 | |
| Strohpellets | 1 bis 500 km | 8 | 10 |
| 500 bis 10.000 km | 10 | 12 | |
| Über 10.000 km | 14 | 16 | |
| Bagassebriketts | 500 bis 10.000 km | 5 | 6 |
| Über 10.000 km | 9 | 10 | |
| Palmkern-Extraktionsschrot | Über 10.000 km | 54 | 61 |
| Palmkern-Extraktionsschrot (keine CH4-Emissionen aus der Ölmühle) | Über 10.000 km | 37 | 40 |
| 1) Diese Gruppe von Materialien umfasst landwirtschaftliche Reststoffe von geringer Schüttdichte, darunter u. a. Strohballen, Haferspelzen, Reisspelzen und Rohrzuckerbagasseballen (unvollständige Liste).
2) Die Gruppe von landwirtschaftlichen Reststoffen mit höherer Schüttdichte umfasst Maiskolben, Nussschalen, Sojabohnenschalen und Palmkernschalen (unvollständige Liste). |
|||
Typische Werte und Standardwerte - Biogas zur Elektrizitätserzeugung
| Biogasproduktionssystem | Technologische Optionen | Typischer Wert | Standardwert | |
| Treibhausgasemissionen (gCO2eq/MJ) |
Treibhausgasemissionen (gCO2eq/MJ) |
|||
| Biogas aus Gülle zur Elektrizitätserzeugung | Fall 1 | Offenes Gärrückstandslager1 | - 28 | 3 |
| Geschlossenes Gärrückstandslager2 | - 88 | - 84 | ||
| Fall 2 | Offenes Gärrückstandslager | - 23 | 10 | |
| Geschlossenes Gärrückstandslager | - 84 | - 78 | ||
| Fall 3 | Offenes Gärrückstandslager | - 28 | 9 | |
| Geschlossenes Gärrückstandslager | - 94 | - 89 | ||
| Biogas aus Mais (gesamte Pflanze) zur Elektrizitätserzeugung | Fall 1 | Offenes Gärrückstandslager | 38 | 47 |
| Geschlossenes Gärrückstandslager | 24 | 28 | ||
| Fall 2 | Offenes Gärrückstandslager | 43 | 54 | |
| Geschlossenes Gärrückstandslager | 29 | 35 | ||
| Fall 3 | Offenes Gärrückstandslager | 47 | 59 | |
| Geschlossenes Gärrückstandslager | 32 | 38 | ||
| Biogas aus Bioabfall zur Elektrizitätserzeugung | Fall 1 | Offenes Gärrückstandslager | 31 | 44 |
| Geschlossenes Gärrückstandslager | 9 | 13 | ||
| Fall 2 | Offenes Gärrückstandslager | 37 | 52 | |
| Geschlossenes Gärrückstandslager | 15 | 21 | ||
| Fall 3 | Offenes Gärrückstandslager | 41 | 57 | |
| Geschlossenes Gärrückstandslager | 16 | 22 | ||
| 1) Die offene Lagerung von Gärrückständen bringt zusätzliche Methanemissionen in Abhängigkeit von Wetter, Substrat und Vergärungseffizienz mit sich. Bei diesen Berechnungen entsprechen der Betrag für Mist/Gülle 0,05 MJ CH4/MJ Biogas, für Mais 0,035 MJ CH4/MJ Biogas und für Bioabfall 0,01 MJ CH4/MJ Biogas. 2) Bei der geschlossenen Lagerung werden die Gärrückstände aus dem Zersetzungsprozess in einem gasdichten Tank gelagert, und es wird davon ausgegangen, dass das zusätzlich während der Lagerung freigegebene Gas für die Erzeugung zusätzlicher Elektrizität oder zusätzlichen Biomethans aufgefangen wird |
||||
Typische Werte und Standardwerte für Biomethan
| Biomethanproduktionssystem | Technologische Optionen | Treibhausgasemissionen - typischer Wert (gCO2eq/MJ) |
Treibhausgasemissionen - Standardwert (gCO2eq/MJ) |
| Biomethan aus Gülle | Offenes Gärrückstandslager, keine Abgasverbrennung1 | - 20 | 22 |
| Offenes Gärrückstandslager, Abgasverbrennung2 | - 35 | 1 | |
| Geschlossenes Gärrückstandslager, keine Abgasverbrennung | - 88 | - 79 | |
| Geschlossenes Gärrückstandslager, Abgasverbrennung | - 103 | - 100 | |
| Biomethan aus Mais (gesamte Pflanze) | Offenes Gärrückstandslager, keine Abgasverbrennung | 58 | 73 |
| Offenes Gärrückstandslager, Abgasverbrennung | 43 | 52 | |
| Geschlossenes Gärrückstandslager, keine Abgasverbrennung | 41 | 51 | |
| Geschlossenes Gärrückstandslager, Abgasverbrennung | 26 | 30 | |
| Biomethan aus Bioabfall | Offenes Gärrückstandslager, keine Abgasverbrennung | 51 | 71 |
| Offenes Gärrückstandslager, Abgasverbrennung | 36 | 50 | |
| Geschlossenes Gärrückstandslager, keine Abgasverbrennung | 25 | 35 | |
| Geschlossenes Gärrückstandslager, Abgasverbrennung | 10 | 14 | |
| 1) Diese Kategorie umfasst die folgenden technologischen Kategorien zur Aufbereitung von Biogas zu Biomethan: Druckwechsel- Adsorption (Pressure Swing Adsorption - PSA), Druckwasserwäsche (Pressurised Water Scrubbing - PWS), Membrantrenntechnik, kryogene Trennung und physikalische Absorption mit einem organischen Lösungsmittel (Organic Physical Scrubbing - OPS). Dies schließt die Emission von 0,03 MJ CH4/MJ Biomethan für die Emission von Methan in den Abgasen ein. 2) Diese Kategorie umfasst die folgenden technologischen Kategorien zur Aufbereitung von Biogas zu Biomethan: Druckwasserwäsche (Pressurised Water Scrubbing - PWS), sofern das Wasser aufbereitet wird, Druckwechsel-Adsorption (Pressure Swing Adsorption - PSA), chemische Absorption (Chemical Scrubbing), physikalische Absorption mit einem organischen Lösungsmittel (Organic Physical Scrubbing - OPS), Membrantrenntechnik und kryogene Trennung. Für diese Kategorie werden keine Methanemissionen berücksichtigt (das Methan im Abgas verbrennt gegebenenfalls). |
|||
Typische Werte und Standardwerte - Biogas zur Elektrizitätserzeugung - Vermischung von Mist/Gülle und Mais: Treibhausgasemissionen mit Anteilsangaben auf Grundlage von Frischmasse
| Biogasproduktionssystem | Technologische Optionen | Treibhausgasemissionen - typischer Wert (gCO2eq/MJ) |
Treibhausgasemissionen - Standardwert (gCO2eq/MJ) |
|
| Mist/Gülle - Mais 80 % - 20 % |
Fall 1 | Offenes Gärrückstandslager | 17 | 33 |
| Geschlossenes Gärrückstandslager | - 12 | - 9 | ||
| Fall 2 | Offenes Gärrückstandslager | 22 | 40 | |
| Geschlossenes Gärrückstandslager | - 7 | - 2 | ||
| Fall 3 | Offenes Gärrückstandslager | 23 | 43 | |
| Geschlossenes Gärrückstandslager | - 9 | - 4 | ||
| Mist/Gülle - Mais 70 % - 30 % |
Fall 1 | Offenes Gärrückstandslager | 24 | 37 |
| Geschlossenes Gärrückstandslager | 0 | 3 | ||
| Fall 2 | Offenes Gärrückstandslager | 29 | 45 | |
| Geschlossenes Gärrückstandslager | 4 | 10 | ||
| Fall 3 | Offenes Gärrückstandslager | 31 | 48 | |
| Geschlossenes Gärrückstandslager | 4 | 10 | ||
| Mist/Gülle - Mais 60 % - 40 % |
Fall 1 | Offenes Gärrückstandslager | 28 | 40 |
| Geschlossenes Gärrückstandslager | 7 | 11 | ||
| Fall 2 | Offenes Gärrückstandslager | 33 | 47 | |
| Geschlossenes Gärrückstandslager | 12 | 18 | ||
| Fall 3 | Offenes Gärrückstandslager | 36 | 52 | |
| Geschlossenes Gärrückstandslager | 12 | 18 | ||
Anmerkungen
Fall 1 bezieht sich auf Optionen, bei denen die für das Verfahren erforderliche Elektrizität und Wärme von der KWK-Anlage selbst geliefert werden.
Fall 2 bezieht sich auf Optionen, bei denen die für das Verfahren erforderliche Elektrizität dem Stromnetz entnommen, die Prozesswärme jedoch von der KWK-Anlage selbst geliefert wird. In einigen Mitgliedstaaten ist es Betreibern nicht gestattet, Beihilfen für die Bruttoproduktion zu beantragen, sodass eine Zusammensetzung wie in Fall 1 wahrscheinlicher ist.
Fall 3 bezieht sich auf Optionen, bei denen die für das Verfahren erforderliche Elektrizität dem Stromnetz entnommen und die Prozesswärme von einem Biogaskessel geliefert wird. Dieser Fall gilt für einige Anlagen, bei denen der KWK-Kessel nicht vor Ort ist und Biogas verkauft (aber nicht zu Biomethan aufbereitet) wird.
Typische Werte und Standardwerte - Biomethan - Vermischung von Mist/Gülle und Mais: Treibhausgasemissionen mit Anteilsangaben auf Grundlage von Frischmasse
| Biomethanproduktionssystem | Technologische Optionen | Typischer Wert | Standardwert |
| (gCO2eq/MJ) | (gCO2eq/MJ) | ||
| Mist/Gülle - Mais 80 % - 20 % |
Offenes Gärrückstandslager, keine Abgasverbrennung | 32 | 57 |
| Offenes Gärrückstandslager, Abgasverbrennung | 17 | 36 | |
| Geschlossenes Gärrückstandslager, keine Abgasverbrennung | - 1 | 9 | |
| Geschlossenes Gärrückstandslager, Abgasverbrennung | - 16 | - 12 | |
| Mist/Gülle - Mais 70 % - 30 % |
Offenes Gärrückstandslager, keine Abgasverbrennung | 41 | 62 |
| Offenes Gärrückstandslager, Abgasverbrennung | 26 | 41 | |
| Geschlossenes Gärrückstandslager, keine Abgasverbrennung | 13 | 22 | |
| Geschlossenes Gärrückstandslager, Abgasverbrennung | - 2 | 1 | |
| Mist/Gülle - Mais 60 % - 40 % |
Offenes Gärrückstandslager, keine Abgasverbrennung | 46 | 66 |
| Offenes Gärrückstandslager, Abgasverbrennung | 31 | 45 | |
| Geschlossenes Gärrückstandslager, keine Abgasverbrennung | 22 | 31 | |
| Geschlossenes Gärrückstandslager, Abgasverbrennung | 7 | 10 |
Bei Biomethan, das in Form von komprimiertem Biomethan als Kraftstoff für den Verkehr verwendet wird, müssen zu den typischen Werten 3,3 gCO2eq/MJ Biomethan und zu den Standardwerten 4,6 gCO2eq/MJ Biomethan addiert werden.
2) Die Formel, mit der die Treibhausgasemissionen durch die Gewinnung oder den Anbau von Rohstoffen eec berechnet werden, beschreibt Fälle, in denen Rohstoffe in einem Schritt in Biokraftstoffe umgewandelt werden. Bei komplizierteren Versorgungsketten sind Anpassungen notwendig, damit auch die Treibhausgasemissionen eec berechnet werden, die durch die Gewinnung oder den Anbau von Rohstoffen für Zwischenprodukte verursacht werden.
3) Bei einem solchen Nachweis kann es sich um Messungen des Kohlenstoffs im Boden handeln, beispielsweise in Form einer ersten Messung vor dem Anbau und anschließender regelmäßiger Messungen im Abstand von mehreren Jahren. In diesem Fall würde für den Anstieg des Bodenkohlenstoffs, solange der zweite Messwert noch nicht vorliegt, anhand repräsentativer Versuche oder Bodenmodelle ein Schätzwert ermittelt. Ab der zweiten Messung würden die Messwerte als Grundlage dienen, um zu ermitteln, ob und in welchem Maß der Bodenkohlenstoff steigt.
4) Der durch Division des Molekulargewichts von CO2 (44,010 g/mol) durch das Molekulargewicht von Kohlenstoff (12,011 g/mol) gewonnene Quotient ist gleich 3,664.
5) Kulturflächen im Sinne der Definition des IPCC.
6) Dauerkulturen sind definiert als mehrjährige Kulturpflanzen, deren Stiel normalerweise nicht jährlich geerntet wird (z.B. Niederwald mit Kurzumtrieb und Ölpalmen).
7) Beschluss 2010/335/EU der Kommission vom 10. Juni 2010 über Leitlinien für die Berechnung des Kohlenstoffbestands im Boden für die Zwecke des Anhangs V der Richtlinie 2009/28/EG (ABl. L 151 vom 17.06.2010 S. 19).
| Berücksichtigung der für die Wärme- und Kälteversorgung genutzten erneuerbaren Energie | Anhang VII22 |
Teil A: Berücksichtigung der mit Wärmepumpen für die Wärmeversorgung genutzten erneuerbaren Energie
Die Menge der durch Wärmepumpen gebundenen aerothermischen, geothermischen oder hydrothermischen Energie, die für die Zwecke dieser Richtlinie als Energie aus erneuerbaren Quellen, ERES, betrachtet wird, wird nach folgender Formel berechnet:
ERES = Qusable * (1-1/SPF)
Dabei sind:
| - | Qusable | = | die geschätzte, durch Wärmepumpen, die die in Artikel 7 Absatz 4 genannten Kriterien erfüllen, erzeugte gesamte Nutzwärme, wie folgt umgesetzt: Nur Wärmepumpen, für die SPF > 1,15 * 1/η, werden berücksichtigt; |
| - | SPF | = | der geschätzte jahreszeitbedingte Leistungsfaktor für diese Wärmepumpen; |
| - |
η |
= |
das Verhältnis zwischen der gesamten Bruttoelektrizitätsproduktion und dem Primärenergieverbrauch für die Elektrizitätsproduktion; sie wird als EU-Durchschnitt auf der Grundlage von Eurostat-Daten berechnet. |
Teil B: Berücksichtigung der für die Kälteversorgung genutzten erneuerbaren Energie
1. Begriffsbestimmungen
Bei der Berechnung der für die Kälteversorgung genutzten erneuerbaren Energie gelten folgende Begriffsbestimmungen:
(1) " Kälteversorgung" oder "Kühlung" bezeichnet den Entzug von Wärme aus einem geschlossenen Raum oder einem Innenraum (Komfortanwendung) oder einem Prozess, um die Temperatur des Raumes oder des Prozesses auf eine bestimmte Temperatur (Sollwert) zu verringern oder auf dieser Temperatur zu halten; bei Kälteversorgungssystemen wird die entzogene Wärme in die Umgebungsluft, in Umgebungswasser oder in den Boden abgegeben und dort aufgenommen, wobei die Umgebung (Luft, Boden und Wasser) eine Senke für die entzogene Wärme darstellt und somit als Kältequelle dient;
(2) " Kälteversorgungssystem" bezeichnet eine Baugruppe aus Komponenten, die ein Wärmeentzugssystem, eine oder mehrere Kühlvorrichtungen und ein Wärmeabführungssystem sowie - im Falle der aktiven Kühlung - ein Fluid als Kühlmedium umfassen und zusammenarbeiten, um einen bestimmten Wärmetransfer herbeizuführen, und so eine vorgegebene Temperatur gewährleisten;
(3) " freie Kühlung" bezeichnet ein Kälteversorgungssystem, das eine natürliche Kältequelle nutzt, um aus einem zu kühlenden Raum oder Prozess durch den Transport eines oder mehrerer Fluide über eine oder mehrere Pumpen und/oder einen oder mehrere Ventilatoren Wärme zu entziehen, ohne dass dabei ein Kälteerzeuger erforderlich ist;
(4) " Kälteerzeuger" bezeichnet den Teil eines Kälteversorgungssystems, der mithilfe eines Kaltdampfkompressions- oder Sorptionsprozesses oder eines anderen thermodynamischen Kreisprozesses eine Temperaturdifferenz erzeugt, die es ermöglicht, dem zu kühlenden Raum oder Prozess Wärme zu entziehen, und der genutzt wird, wenn die Kältequelle nicht verfügbar oder unzureichend ist;
(5) " aktive Kühlung" bezeichnet den Entzug von Wärme aus einem Raum oder einem Prozess, wobei Energie zugeführt werden muss, um den Kühlbedarf zu decken; die aktive Kühlung wird genutzt, wenn der natürliche Energiefluss nicht verfügbar oder unzureichend ist, und kann mit oder ohne Kälteerzeuger erfolgen;
(6) " passive Kühlung" bezeichnet den Entzug von Wärme durch Leitung, Konvektion, Strahlung oder Massentransfer über den natürlichen Energiefluss, ohne dass dabei ein Kühlfluid für den Entzug und die Abführung von Wärme oder für die Erzeugung einer niedrigeren Temperatur mit einem Kälteerzeuger erforderlich ist; sie umfasst auch die Verringerung des Kühlbedarfs durch Merkmale der Gebäudeauslegung wie Gebäudedämmung, Dach- oder Fassadenbegrünung, Beschattung oder eine höhere Gebäudemasse sowie durch Belüftung oder Komfortventilatoren;
(7) " Belüftung" bezeichnet eine natürliche oder erzwungene Luftbewegung, mit der Umgebungsluft in einen Raum eingebracht wird, um für eine angemessene Innenluftqualität und -temperatur zu sorgen;
(8) " Komfortventilator" bezeichnet ein Produkt aus einem Ventilator und einer Baugruppe mit einem elektrischen Motor, das Luft bewegt, um das Wohlbefinden im Sommer durch Erhöhung der Luftgeschwindigkeit in der Nähe des menschlichen Körpers zu erhöhen, da dies ein thermisches Kühlungsempfinden auslöst;
(9) " Menge der für die Kälteversorgung genutzten erneuerbaren Energie" bezeichnet die mit einer bestimmten Energieeffizienz bereitgestellte Kälteversorgung, wobei die Energieeffizienz als jahreszeitbedingter, in Primärenergie berechneter Leistungsfaktor ausgedrückt wird;
(10) " Wärmesenke" oder "Kältequelle" bezeichnet eine externe natürliche Senke, in die die dem Raum oder dem Prozess entzogene Wärme abgegeben wird; dabei kann es sich um Umgebungsluft, Umgebungswasser in Form natürlicher oder künstlicher Wasserkörper sowie um geothermische Formationen unter der festen Erdoberfläche handeln;
(11) " Wärmeentzugssystem" bezeichnet eine Vorrichtung, die dem zu kühlenden Raum oder Prozess Wärme entzieht, wie z.B. einen Verdampfer in einem Kaltdampfkompressionsprozess;
(12) " Kühlvorrichtung" bezeichnet eine für die aktive Kühlung ausgelegte Vorrichtung;
(13) " Wärmeabführungssystem" bezeichnet die Vorrichtung, mit der die abschließende Wärmeübertragung vom Kühlmedium auf die Wärmesenke erfolgt, wie z.B. einen Luft-Kältemittel-Kondensator in einem luftgekühlten Kaltdampfkompressionsprozess;
(14) " Energiezufuhr" bezeichnet die Energie, die für den Transport des Fluids (bei der freien Kühlung) oder für den Transport des Fluids und den Antrieb des Kälteerzeugers (bei der aktiven Kühlung mit einem Kälteerzeuger) erforderlich ist;
(15) " Fernkälteversorgung" bezeichnet die Verteilung thermischer Energie in Form kalter Flüssigkeiten von zentralen oder dezentralen Erzeugungsquellen über ein Netz an mehrere Gebäude oder Standorte, damit sie für die Raum- oder Prozesskühlung genutzt werden kann;
(16) " jahreszeitbedingter Primärleistungsfaktor" bezeichnet eine Messgröße für die Effizienz eines Kälteversorgungssystems bei der Primärenergieumwandlung;
(17) " äquivalente Volllaststunden" bezeichnet die Anzahl der Stunden, in denen ein Kälteversorgungssystem bei Volllast betrieben werden müsste, um die Kühlmenge zu erzeugen, die es im Laufe eines Jahres - bei unterschiedlicher Last - tatsächlich erzeugt;
(18) " Kühlungs-Grad-Tage" bezeichnet die auf der Grundlage von 18 °C berechneten Klimawerte, die als Eingabewerte zur Bestimmung der äquivalenten Volllaststunden dienen.
2. Anwendungsbereich
Die Mitgliedstaaten können aus Umweltschutzgründen weitere Kategorien von Kälteversorgungssystemen von der Berechnung der für die Kälteversorgung genutzten erneuerbaren Energie ausschließen, um natürliche Kältequellen in bestimmten geografischen Gebieten zu erhalten. Ein Beispiel ist der Schutz von Flüssen oder Seen vor Überwärmung.
3. Methode zur Berücksichtigung der für Einzel-Kälteversorgung und Fernkälteversorgung genutzten erneuerbaren Energie
Nur Kälteversorgungssysteme, die die als jahreszeitbedingter Primärleistungsfaktor (SPFp) ausgedrückte Mindesteffizienzanforderung gemäß Abschnitt 3.2 Absatz 2 überschreiten, werden bei der Nutzung erneuerbarer Energie berücksichtigt.
3.1. Menge der für die Kälteversorgung genutzten erneuerbaren Energie
Die Menge der für die Kälteversorgung genutzten erneuerbaren Energie (ERES-C) wird nach der folgenden Formel berechnet:
Dabei gilt:
ist die von dem Kälteversorgungssystem in Umgebungsluft, Umgebungswasser oder den Boden abgegebene Wärmemenge 3;
EINPUT ist der Energieverbrauch des Kälteversorgungssystems; bei Systemen, bei denen eine Messung erfolgt, z.B. bei der Fernkälteversorgung, umfasst dies auch den Energieverbrauch der Hilfssysteme;
ist die von dem Kälteversorgungssystem bereitgestellte Kühlenergie 4;
ist je Kälteversorgungssystem als Anteil der bereitgestellten Kühlung definiert, die im Einklang mit den SPF-Anforderungen als erneuerbar betrachtet werden kann, und wird als Prozentsatz angegeben. Der SPF wird ohne Berücksichtigung von Verteilungsverlusten bestimmt. Für die Fernkälteversorgung bedeutet dies, dass der SPF für jeden Kälteerzeuger oder für jedes System mit freier Kühlung bestimmt wird. Für Kälteversorgungssysteme, bei denen ein Standard-SPF genutzt werden kann, werden die Koeffizienten F(1) und F(2) aus der Verordnung (EU) 2016/2281 der Kommission 5 und der damit verbundenen Mitteilung der Kommission 6 nicht als Korrekturfaktoren angewandt.
Bei einer zu 100 % mit erneuerbarer Wärme betriebenen Kälteversorgung (Absorption und Adsorption), sollte die gesamte bereitgestellte Kühlmenge als erneuerbar betrachtet werden.
Die für die Berechnung von
und
erforderlichen Schritte werden in den Abschnitten 3.2 bis 3.4 erläutert.
3.2. Berechnung des als erneuerbare Energie einzustufenden Anteils des jahreszeitbedingten Leistungsfaktors -
SSPF ist der Anteil der bereitgestellten Kühlung, der als erneuerbar betrachtet werden kann. Der
nimmt mit steigenden SPFp-Werten zu. Der SPFp 7 ist gemäß der Verordnung (EU) 2016/2281 der Kommission und der Verordnung (EU) Nr. 206/2012 der Kommission 8 definiert, wobei jedoch der Standard-Primärenergiefaktor für Strom in der Richtlinie 2012/27/EU des Europäischen Parlaments und des Rates (in der durch die Richtlinie (EU) 9 geänderten Fassung) aktualisiert wurde und nun 2,1 beträgt. Es sind die Randbedingungen aus der Norm EN 14511 anzuwenden.
Die als jahreszeitbedingter Primärleistungsfaktor ausgedrückte Mindesteffizienz, die das Kälteversorgungssystem aufweisen muss, beträgt mindestens 1,4 (SPFpLOW). Damit
100 % beträgt, muss das Kälteversorgungssystem eine Effizienz von mindestens 6 (SPFpHIGH) aufweisen. Bei allen anderen Kälteversorgungssystemen wird folgende Berechnung durchgeführt:
SPFp ist die als jahreszeitbedingter Primärleistungsfaktor ausgedrückte Effizienz des Kälteversorgungssystems;
ist der als Primärenergie angegebene und auf der Effizienz von Standard-Kälteversorgungssystemen beruhende Mindestwert des jahreszeitbedingten Leistungsfaktors (Ökodesign-Mindestanforderungen);
ist der als Primärenergie angegebene und auf besten verfügbaren Verfahren für die freie Kühlung bei der Fernkälteversorgung beruhende obere Schwellenwert des jahreszeitbedingten Leistungsfaktors 10.
3.3. Berechnung der Menge der für die Kälteversorgung genutzten erneuerbaren Energie mit Standard-SPF-Werten und mit gemessenen SPF-Werten
Standard-SPF und gemessener SPF
Aufgrund der Ökodesign-Anforderungen aus der Verordnung (EU) Nr. 206/2012 und der Verordnung (EU) 2016/2281 liegen standardisierte SPF-Werte für elektrisch oder mit Verbrennungsmotoren betriebene Kaltdampfkompressions-Kälteerzeuger vor. Diese Werte sind bei der Komfortkühlung für Kälteerzeuger mit einer Leistung von bis zu 2 MW und bei der Prozesskühlung mit einer Leistung von bis zu 1,5 MW verfügbar. Für andere Technologien und Leistungsbereiche liegen keine Standardwerte vor. Für die Fernkälteversorgung gibt es keine Standardwerte, es werden jedoch Messwerte verwendet, die zur Verfügung stehen; sie ermöglichen es, SPF-Werte zumindest auf jährlicher Basis zu berechnen.
Für die Berechnung der Menge der für die Kälteversorgung genutzten erneuerbaren Energie können Standard-SPF-Werte verwendet werden, soweit sie verfügbar sind. Wenn keine Standardwerte vorliegen oder Messung gängige Praxis ist, sind die gemessenen SPF-Werte zu verwenden, die anhand von Schwellenwerten für die Kühlleistung eingeteilt werden. Bei Kälteerzeugern mit einer Kühlleistung von weniger als 1,5 MW kann der Standard-SPF verwendet werden, während der gemessene SPF für die Fernkälteversorgung, für Kälteerzeuger mit einer Kühlleistung von mindestens 1,5 MW und für Kälteerzeuger, für die keine Standardwerte vorliegen, zu verwenden ist.
Zudem ist für alle Kälteversorgungssysteme ohne Standard-SPF, einschließlich aller Lösungen mit freier Kühlung und wärmebetriebener Kälteerzeuger, ein gemessener SPF zu bestimmen, um die Berechnungsmethode für die Menge der für die Kälteversorgung genutzten erneuerbaren Energie anwenden zu können.
Festlegung von Standard-SPF-Werten
SPF-Werte werden als Primärenergieeffizienz angegeben, die anhand von Primärenergiefaktoren gemäß der Verordnung (EU) 2016/2281 berechnet wird, um die Effizienz der verschiedenen Arten von Kälteerzeugern bei der Raumkühlung zu bestimmen 11. Der Primärenergiefaktor aus der Verordnung (EU) 2016/2281 beträgt 1/η, wobei η das durchschnittliche Verhältnis zwischen der gesamten Bruttostromerzeugung und dem mit der Stromerzeugung verbundenen Primärenergieverbrauch in der gesamten EU angibt. Aufgrund der Änderung des Standard-Primärenergiefaktors für Strom, der unter Nummer 1 des Anhangs der Richtlinie (EU) zur Änderung der Fußnote 3 aus Anhang IV der Richtlinie 2012/27/EU als Koeffizient bezeichnet wird, wird der in der Verordnung (EU) 2016/2281 angegebene Primärenergiefaktor von 2,5 bei der Berechnung der SPF-Werte durch den Wert 2,1 ersetzt.
Werden Primärenergieträger wie Wärme oder Gas für die Energiezufuhr des Kälteerzeugers genutzt, beträgt der Primärenergiefaktor (1/η) standardmäßig 1, da keine Energieumwandlung stattfindet und somit η = 1.
Die Standardbetriebsbedingungen und die weiteren für die Bestimmung des SPF erforderlichen Parameter sind - je nach Kälteerzeugerkategorie - in der Verordnung (EU) 2016/2281 und der Verordnung (EU) Nr. 206/2012 festgelegt. Es sind die Randbedingungen aus der Norm EN 14511 anzuwenden.
Bei reversiblen Kälteerzeugern (Umkehrwärmepumpen), die vom Anwendungsbereich der Verordnung (EU) 2016/2281 ausgenommen sind, da ihre Wärmeversorgungsfunktion von der Verordnung (EU) Nr. 813/2013 der Kommission mit Anforderungen an die umweltgerechte Gestaltung von Raumheizgeräten und Kombiheizgeräten 12 abgedeckt ist, wird die SPF-Berechnung auf dieselbe Weise vorgenommen, die in der Verordnung (EU) 2016/2281 für vergleichbare nicht reversible Kälteerzeuger festgelegt wurde.
Beispielsweise wird der SPFp für elektrisch betriebene Kaltdampfkompressions-Kälteerzeuger wie folgt definiert (der Indexp gibt an, dass der SPF im Hinblick auf die Primärenergie definiert ist):
Dabei gilt:
F(1) und F(2) sind Korrekturfaktoren gemäß der Verordnung (EU) 2016/2281 und der damit verbundenen Mitteilung der Kommission. Diese Koeffizienten werden gemäß der Verordnung (EU) 2016/2281 nicht auf die Prozesskühlung angewandt, da in diesen Fällen die direkt auf die Endenergie bezogene Messgröße SEPR verwendet wird. Soweit keine angepassten Werte vorliegen, werden für die SEER-Umrechnung dieselben Werte verwendet wie für die SEPR-Umrechnung.
SPF-Randbedingungen
Bei der Bestimmung des SPF des Kälteerzeugers werden die in der Verordnung (EU) 2016/2281 und in der Verordnung (EU) Nr. 206/2012 festgelegten Randbedingungen angewandt. Bei Wasser-Luft- und Wasser-Wasser-Kälteerzeugern wird die zur Bereitstellung der Kältequelle erforderliche Energiezufuhr mit dem Korrekturfaktor F(2) berücksichtigt. Die SPF-Randbedingungen sind in Abbildung 1 dargestellt. Diese Randbedingungen gelten für alle Kälteversorgungssysteme, d. h. sowohl für Systeme mit freier Kühlung als auch für Systeme mit Kälteerzeugern.
Diese Randbedingungen sind mit denen für Wärmepumpen (bei Verwendung im Heizbetrieb) gemäß dem Beschluss 2013/114/EU der Kommission 14 vergleichbar. Im Unterschied zu Kälteversorgungssystemen wird bei Wärmepumpen der dem Hilfsstromverbrauch entsprechende Stromverbrauch (Thermostat-Aus-Zustand, Bereitschaftszustand, Aus-Zustand, Betriebszustand mit Kurbelwannenheizung) bei der Bewertung des SPF ausgenommen. Da jedoch im Falle der Kälteversorgung sowohl Standard-SPF-Werte als auch gemessene SPF-Werte verwendet werden und beim gemessenen SPF der Hilfsstromverbrauch berücksichtigt wird, ist es erforderlich, den Hilfsstromverbrauch in beiden Fällen zu berücksichtigen.
Im Falle der Fernkälteversorgung werden die verteilungsbedingten Kälteverluste und der Stromverbrauch der Verteilungspumpen zwischen der Kälteversorgungsanlage und der Übergabestation beim Kunden nicht in die Schätzung des SPF einbezogen.
Bei luftgeführten Kälteversorgungssystemen, die auch eine Belüftungsfunktion aufweisen, wird die mit dem Luftstrom bei der Belüftung verbundene Kälteversorgung nicht berücksichtigt. Auch die vom Ventilator für die Belüftung aufgenommene Leistung wird anteilig - im Verhältnis des Luftstroms, der auf die Belüftung entfällt, zum Kühlluftstrom - ausgenommen.
Abbildung 1 Darstellung der SPF-Randbedingungen für Kälteerzeuger bei Anwendung eines Standard-SPF und bei der Fernkälteversorgung (sowie bei anderen großen Kälteversorgungssystemen, auf die ein gemessener SPF angewandt wird), wobei EINPUT_AUX die Energiezufuhr an den Ventilator und/oder die Pumpe und EINPUT_CG die Energiezufuhr an den Kälteerzeuger ist.
Bei luftgeführten Kälteversorgungssystemen mit interner Kälterückgewinnung wird die auf die Kälterückgewinnung zurückgehende Kälteversorgung nicht berücksichtigt. Die auf die Kälterückgewinnung durch den Wärmetauscher zurückgehende Leistungsaufnahme des Ventilators wird anteilig - im Verhältnis der Druckverluste aufgrund des für die Kälterückgewinnung genutzten Wärmetauschers zu den Gesamtdruckverlusten des luftgeführten Kühlsystems - ausgenommen.
3.4. Berechnung anhand von Standardwerten
Bei Einzel-Kälteversorgungssystemen mit einer Leistung von weniger als 1,5 MW, für die ein Standard-SPF-Wert verfügbar ist, kann für die Schätzung der insgesamt bereitgestellten Kühlenergie eine vereinfachte Methode angewandt werden.
Bei dieser vereinfachten Methode ist die von dem Kälteversorgungssystem bereitgestellte Kühlenergie (QCsupply) die Nennkühlleistung (Pc), multipliziert mit der Anzahl der äquivalenten Volllaststunden ( EFLH). Es ist möglich, einen einzigen Wert für die Kühlungs-Grad-Tage auf ein ganzes Land anzuwenden oder unterschiedliche Werte für unterschiedliche Klimazonen zu verwenden, sofern Nennleistungen und SPF-Werte für diese Klimazonen verfügbar sind.
Zur Berechnung von EFLH können folgende Standardmethoden angewandt werden:
Dabei gilt:
ts ist ein Aktivitätsfaktor, der den Betriebsstunden der jeweiligen Verfahren Rechnung trägt (z.B. Betrieb an allen Tagen des Jahres: τs = 1, kein Betrieb an Wochenenden: τs = 5/7). Es gibt keinen Standardwert.
3.4.1. Berechnung anhand von Messwerten
Bei Systemen, für die keine Standardwerte vorliegen, sowie bei Kälteversorgungssystemen mit einer Leistung von mehr als 1,5 MW und bei Fernkältesystemen wird die für die Kälteversorgung genutzte erneuerbare Energie auf der Grundlage folgender Messungen berechnet:
Gemessene Energiezufuhr: Die gemessene Energiezufuhr umfasst alle Energiequellen des Kälteversorgungssystems einschließlich etwaiger Kälteerzeuger, d. h. Strom, Gas, Wärme usw. Zudem umfasst sie die Energiezufuhr für Hilfspumpen und -ventilatoren des Kälteversorgungssystems, nicht jedoch für die Verteilung der Kälte an ein Gebäude oder einen Prozess. Bei der luftgeführten Kälteversorgung mit Belüftungsfunktion wird hinsichtlich der Energiezufuhr des Kälteversorgungssystems nur die auf die Kälteversorgung zurückgehende zusätzliche Energiezufuhr berücksichtigt.
Gemessene bereitgestellte Kühlenergie: Die bereitgestellte Kühlenergie wird als Energie am Ausgang des Kälteversorgungssystems gemessen, von der etwaige Kälteverluste abgezogen werden, um die bereitgestellte Nettokühlenergie für das Gebäude oder den Prozess (d. h. den Endnutzer der Kälteversorgung) zu schätzen. Zu den Kälteverlusten zählen Verluste in einem Fernkältesystem sowie im Kälteverteilungssystem in einem Gebäude oder an einem Industriestandort. Bei luftgeführter Kühlung mit Belüftungsfunktion wird die Energie für die Einbringung frischer Luft für Belüftungszwecke von der bereitgestellten Kühlenergie abgezogen.
Die Messungen müssen für das jeweilige Meldejahr durchgeführt werden, d. h. sie müssen die gesamte Energiezufuhr sowie die gesamte bereitgestellte Kühlenergie für das gesamte Jahr umfassen.
3.4.2. Fernkälteversorgung: zusätzliche Anforderungen
Bei Fernkältesystemen wird die Nettokälteversorgung auf Kundenebene als bereitgestellte Nettokälteversorgung berücksichtigt und als Qc_supply_net angegeben. Thermische Verluste im Verteilungsnetz (QC_Loss) werden von der Bruttokälteversorgung (QC_Supply_gross) wie folgt abgezogen:
Qc_supply_net = QC_Supply_gross - QC_Loss
3.4.2.1. Unterteilung in Teilsysteme
Fernkältesysteme können in Teilsysteme unterteilt werden, wobei diese Teilsysteme mindestens einen Kälteerzeuger oder mindestens ein freies Kühlsystem umfassen. Dabei ist die bereitgestellte Kühlenergie und die Energiezufuhr für jedes Teilsystem zu messen, und die Kälteverluste sind jedem Teilsystem wie folgt zuzuweisen:
3.4.2.2.Hilfsvorrichtungen
Bei der Unterteilung eines Kälteversorgungssystems in Teilsysteme müssen die Hilfsvorrichtungen (z.B. Regelgeräte, Pumpen und Ventilatoren) des/der Kälteerzeuger(s) und/oder des Systems/der Systeme mit freier Kühlung in dasselbe/dieselben Teilsystem(e) einbezogen werden. Hilfsenergie, die für die Verteilung der Kälte innerhalb des Gebäudes aufgewandt wird, d. h. für Hilfspumpen und Endeinheiten (z.B. Gebläsekonvektoren, Ventilatoren von Luftaufbereitungsanlagen), wird nicht berücksichtigt.
Für Hilfsvorrichtungen, die keinem bestimmten Teilsystem zugeordnet werden können, wie z.B. Pumpen des Fernkältenetzes, die die von allen Kälteerzeugern gelieferte Kühlenergie bereitstellen, wird der Primärenergieverbrauch den einzelnen Kälteversorgungsteilsystemen wie bei den Kälteverlusten im Netz anteilig - im Verhältnis der von den Kälteerzeugern und/oder dem System der freien Kühlung jedes Teilsystems bereitgestellten Kühlenergie zur insgesamt bereitgestellten Kühlenergie - wie folgt zugeordnet:
Dabei gilt:
EINPUT_AUX1_i ist der Hilfsenergieverbrauch des Teilsystems "i";
EINPUT_AUX2 ist der Hilfsenergieverbrauch des Kälteversorgungssystems insgesamt, der nicht einem bestimmten Teilsystem zugeordnet werden kann.
3.5. Berechnung der für die Kälteversorgung genutzten erneuerbaren Energie im Hinblick auf den Gesamtanteil der erneuerbaren Energie und im Hinblick auf den Anteil der für die Wärme- und Kälteversorgung genutzten erneuerbaren Energie
Zur Berechnung der Gesamtanteile erneuerbarer Energie wird die Menge der für die Kälteversorgung genutzten erneuerbaren Energie sowohl zum Zähler "Bruttoendverbrauch von Energie aus erneuerbaren Quellen" als auch zum Nenner "Bruttoendenergieverbrauch" addiert.
Zur Berechnung der Gesamtanteile der für die Wärme- und Kälteversorgung genutzten erneuerbaren Energie wird die Menge der für die Kälteversorgung bereitgestellten erneuerbaren Energie sowohl zum Zähler "Bruttoendverbrauch von Energie aus erneuerbaren Quellen für die Wärme- und Kälteversorgung" als auch zum Nenner "Bruttoendenergieverbrauch für die Wärme- und Kälteversorgung" addiert.
3.6. Leitlinien für die Entwicklung genauerer Methoden und Berechnungen
Es ist vorgesehen und wird angeraten, dass die Mitgliedstaaten ihre eigenen Schätzungen des SPF und der äquivalenten Volllaststunden (EFLH) vornehmen. Solche nationalen/regionalen Ansätze sollten auf genauen Annahmen und ausreichend großen repräsentativen Stichproben beruhen, sodass die erneuerbare Energie im Vergleich zu der in diesem delegierten Rechtsakt beschriebenen Methode deutlich genauer geschätzt werden kann. Solche verbesserten Methoden können auf detaillierten Berechnungen basieren, die sich auf technische Daten stützen, mit denen unter anderem Faktoren wie das Jahr des Einbaus, die Qualität des Einbaus, der Verdichtertyp und die Größe der Maschine, der Betriebsmodus, das Wärmeverteilungssystem, Kaskadensysteme für Kälteerzeuger und die vorherrschenden regionalen Klimaverhältnisse berücksichtigt werden. Bei Verwendung alternativer Methoden und/oder Werte müssen die Mitgliedstaaten diese der Kommission zusammen mit einem Bericht über die angewandte Methode und die verwendeten Daten vorlegen. Die Kommission wird die Unterlagen erforderlichenfalls übersetzen und auf ihrer Transparenzplattform veröffentlichen.
2) Abwärme ist in Artikel 2 Nummer 9 dieser Richtlinie definiert. Abwärme kann für die Zwecke der Artikel 23 und 24 dieser Richtlinie berücksichtigt werden.
3) Der Umfang der Kältequelle entspricht der von der Umgebungsluft, dem Umgebungswasser und dem Boden als Wärmesenken aufgenommenen Wärmemenge. Umgebungsluft und Umgebungswasser entsprechen "Umgebungsenergie" im Sinne von Artikel 2 Absatz 2. Der Boden entspricht "geothermischer Energie" im Sinne von Artikel 2 Absatz 3.
4) Thermodynamisch entspricht die bereitgestellte Kühlung einem Teil der Wärme, die ein Kälteversorgungssystem in Umgebungsluft, Umgebungswasser oder den Boden abgibt, die als Wärmesenken oder Kältequellen dienen. Umgebungsluft und Umgebungswasser entsprechen "Umgebungsenergie" im Sinne von Artikel 2 Absatz 2 dieser Richtlinie. Die Funktion des Bodens als Wärmesenke oder Kältequelle entspricht "geothermischer Energie" im Sinne von Artikel 2 Absatz 3 dieser Richtlinie.
5) 2016/2281 der Kommission vom 30. November 2016 zur Durchführung der Richtlinie 2009/125/EG des Europäischen Parlaments und des Rates zur Schaffung eines Rahmens für die Festlegung von Anforderungen an die umweltgerechte Gestaltung energieverbrauchsrelevanter Produkte im Hinblick auf Luftheizungsprodukte, Kühlungsprodukte, Prozesskühler mit hoher Betriebstemperatur und Gebläsekonvektoren (ABl. L 346 vom 20.12.2016 S. 1).
6) https://eur-lex.europa.eu/legal-content/DE/TXT/?uri=uriserv:OJ.C_.2017.229.01.0001.01.ENG&toc=OJ:C:2017:229:TOC
7) Falls die tatsächlichen Betriebsbedingungen von Kälteerzeugern zu SPF-Werten führen, die aufgrund unterschiedlicher Installationsvorschriften erheblich niedriger sind als bei Standardbedingungen, können die Mitgliedstaaten diese Systeme vom Anwendungsbereich der Definition für die für die Kälteversorgung genutzten erneuerbaren Energie ausnehmen (z.B. einen wassergekühlten Kälteerzeuger, der ein Trockenkühlgerät anstelle eines Kühlturms nutzt, um Wärme an die Umgebungsluft abzugeben).
8) Verordnung (EU) Nr. 206/2012 der Kommission vom 6. März 2012 zur Durchführung der Richtlinie 2009/125/EG des Europäischen Parlaments und des Rates im Hinblick auf die Festlegung von Anforderungen an die umweltgerechte Gestaltung von Raumklimageräten und Komfortventilatoren (ABl. L 72 vom 10.03.2012 S. 7).
9) Richtlinie (EU) des Europäischen Parlaments und des Rates vom 11. Dezember 2018 zur Änderung der Richtlinie 2012/27/EU zur Energieeffizienz (ABl. L 328 vom 21.12.2018 S. 210).
10) ENER/C1/2018-493, Renewable Cooling under the Revised Renewable Energy Directive (Kälteversorgung aus erneuerbaren Quellen gemäß der überarbeiteten Erneuerbare-Energien-Richtlinie), TU-Wien, 2021.
11) SPFp ist mit ηs,c im Sinne der Verordnung (EU) 2016/2281 identisch.
12) Verordnung (EU) Nr. 813/2013 der Kommission vom 2. August 2013 zur Durchführung der Richtlinie 2009/125/EG des Europäischen Parlaments und des Rates im Hinblick auf die Festlegung von Anforderungen an die umweltgerechte Gestaltung von Raumheizgeräten und Kombiheizgeräten (ABl. L 239 vom 06.09.2013 S. 136).
13) Teil 1 der Studie ENER/C1/2018-493 mit dem Titel "Cooling Technologies Overview and Market Share" (Überblick über Kühltechnologien und ihre Marktanteile) enthält in Kapitel 1.5 "Energy efficiency metrics of stateof-theart cooling systems" (Energieeffizienzparameter moderner Kühlsysteme) detailliertere Definitionen und Gleichungen für diese Parameter.
14) Beschluss der Kommission vom 1. März 2013 zur Festlegung von Leitlinien für die Mitgliedstaaten zur Berechnung der durch verschiedene Wärmepumpen-Technologien aus erneuerbaren Quellen gewonnenen Energie gemäß Artikel 5 der Richtlinie 2009/28/EG des Europäischen Parlaments und des Rates (ABl. L 62 vom 06.03.2013 S. 27).
| Anhang VIII |
Teil A. Vorläufige geschätzte Emissionen infolge von indirekten Landnutzungsänderungen durch Rohstoffe für Biokraftstoffe, flüssige Biobrennstoffe und Biomasse-Brennstoffe (gCO2eq/MJ) 1
| Rohstoffgruppe | Mittelwert1 | Aus der Sensitivitätsanalyse abgeleitete Bandbreite zwischen den Perzentilen2 |
| Getreide und sonstige Kulturpflanzen mit hohem Stärkegehalt | 12 | 8 bis 16 |
| Zuckerpflanzen | 13 | 4 bis 17 |
| Ölpflanzen | 55 | 33 bis 66 |
| 1) Die hier aufgenommenen Mittelwerte stellen einen gewichteten Durchschnitt der individuell dargestellten Rohstoffwerte dar.
3) Die hier berücksichtigte Bandbreite entspricht 90 % der Ergebnisse unter Verwendung des aus der Analyse resultierenden fünften und fünfundneunzigsten Perzentilwerts. Das fünfte Perzentil deutet auf einen Wert hin, unter dem 5 % der Beobachtungen angesiedelt waren (d. h. 5 % der verwendeten Gesamtdaten zeigten Ergebnisse unter 8, 4 und 33 gCO2eq/MJ). Das fünfundneunzigste Perzentil deutet auf einen Wert hin, unter dem 95 % der Beobachtungen angesiedelt waren (d. h. 5 % der verwendeten Gesamtdaten zeigten Ergebnisse über 16, 17 und 66 gCO2eq/MJ). |
||
Teil B. Biokraftstoffe, flüssige Biobrennstoffe und Biomasse-Brennstoffe, bei denen die Emissionen infolge indirekter Landnutzungsänderungen mit Null angesetzt werden
Bei Biokraftstoffen, flüssigen Biobrennstoffen und Biomasse-Brennstoffen, die aus den folgenden Kategorien von Rohstoffen produziert werden, werden die geschätzten Emissionen infolge indirekter Landnutzungsänderungen mit Null angesetzt:
2) Dauerkulturen sind definiert als mehrjährige Kulturpflanzen, deren Stiel normalerweise nicht jährlich geerntet wird, z.B. Niederwald mit Kurzumtrieb und Ölpalmen.
| Anhang IX |
Teil A. Rohstoffe zur Produktion von Biogas für den Verkehr und fortschrittlicher Biokraftstoffe, deren Beitrag zu den Mindestanteilen gemäß Artikel 25 Absatz 1 Unterabsatz 1 und 4 mit dem Doppelten ihres Energiegehalts angesetzt werden kann
Teil B. Rohstoffe zur Produktion von Biokraftstoffen und Biogas für den Verkehr, deren Beitrag zu den Mindestanteilen gemäß Artikel 25 Unterabsatz 1 begrenzt ist und mit dem Doppelten ihres Energiegehalts angesetzt werden kann
| Anhang X |
Teil A
Aufgehobene Richtlinie mit Liste ihrer nachfolgenden Änderungen
(gemäß Artikel 37)
| Richtlinie 2009/28/EG des Europäischen Parlaments und des Rates (ABl. L 140 vom 05.06.2009 S. 16) |
|
Richtlinie 2013/18/EU des Rates |
|
Richtlinie (EU) 2015/1513 des Europäischen Parlaments und des Rates |
Nur Artikel 2 |
Teil B
Fristen für die Umsetzung in nationales Recht
(gemäß Artikel 36)
| Richtlinie | Frist für die Umsetzung |
| 2009/28/EG | 25. Juni 2009 |
| 2013/18/EU | 1. Juli 2013 |
| (EU) 2015/1513 | 10. September 2017 |
| Entsprechungstabelle | Anhang XI |
| Richtlinie 2009/28/EG | Diese Richtlinie |
| Artikel 1 | Artikel 1 |
| Artikel 2 Unterabsatz 1 | Artikel 2 Unterabsatz 1 |
| Artikel 2 Unterabsatz 2 Eingangsteil | Artikel 2 Unterabsatz 2 Eingangsteil |
| Artikel 2 Unterabsatz 2 Buchstabe a | Artikel 2 Unterabsatz 2 Nummer 1 |
| Artikel 2 Unterabsatz 2 Buchstabe b | - |
| - | Artikel 2 Unterabsatz 2 Nummer 2 |
| Artikel 2 Unterabsatz 2 Buchstabe c | Artikel 2 Unterabsatz 2 Nummer 3 |
| Artikel 2 Unterabsatz 2 Buchstabe d | - |
| Artikel 2Unterabsatz 2 Buchstaben e, f, g, h, i, j, k, l, m, n, o, p, q, r, s, t, u, v und w | Artikel 2 Unterabsatz 2 Nummern 2, 4, 19, 32, 33, 12, 5, 6, 45, 46, 47, 23, 39, 41, 42, 43, 36, 44 und 37 |
| - | Artikel 2 Unterabsatz 2 Nummern 7, 8, 9, 10, 11, 13, 14, 15, 16, 17, 18, 20, 21, 22, 25, 26, 27, 28, 29, 30, 31, 34, 35, 38 und 40 |
| Artikel 3 | - |
| - | Artikel 3 |
| Artikel 4 | - |
| - | Artikel 4 |
| - | Artikel 5 |
| - | Artikel 6 |
| Artikel 5 Absatz 1 | Artikel 7 Absatz 1 |
| Artikel 5 Absatz 2 | - |
| Artikel 5 Absatz 3 | Artikel 7 Absatz 2 |
| Artikel 5 Absatz 4, Unterabsätze 1, 2, 3 und 4 | Artikel 7 Absatz 2 Unterabsätze 1, 2, 3 und 4 |
| - | Artikel 7 Absatz 3 Unterabsätze 5 und 6 |
| - | Artikel 7 Absatz 4 |
| Artikel 5 Absatz 5 | Artikel 27 Absatz 1 Unterabsatz 1 Buchstabe c |
| Artikel 5 Absätze 6 und 7 | Artikel 7 Absätze 5 und 6 |
| Artikel 6 Absatz 1 | Artikel 8 Absatz 1 |
| - | Artikel 8 Absätze 2 und 3 |
| Artikel 6 Absätze 2 und 3 | Artikel 8 Absätze 4 und 5 |
| Artikel 7 Absätze 1,2, 3, 4 und 5 | Artikel 9 Absätze 1,2, 3, 4 und 5 |
| - | Artikel 9 Absatz 6 |
| Artikel 8 | Artikel 10 |
| Artikel 9 Absatz 1 | Artikel 11 Absatz 1 |
| Artikel 9 Absatz 2 Unterabsatz 1 Buchstaben a, b und c | Artikel 11 Absatz 2 Unterabsatz 1 Buchstaben a, b und c |
| - | Artikel 11 Absatz 2 Unterabsatz 1 Buchstabe d |
| Artikel 10 | Artikel 12 |
| Artikel 11 Absätze 1, 2 und 3 | Artikel 13 Absätze 1, 2 und 3 |
| - | Artikel 13 Absatz 4 |
| Artikel 12 | Artikel 14 |
| Artikel 13 Absatz 1 Unterabsatz 1 | Artikel 15 Absatz 1 Unterabsatz 1 |
| Artikel 13 Absatz 1 Unterabsatz 2 | Artikel 15 Absatz 1 Unterabsatz 2 |
| Artikel 13 Absatz 1 Unterabsatz 2 Buchstaben a und b | - |
| Artikel 13 Absatz 1 Unterabsatz 2 Buchstaben c, d, e und f | Artikel 15 Absatz 1 Unterabsatz 2 Buchstaben a, b, c und d |
| Artikel 13 Absätze 2, 3, 4 und 5 | Artikel 15 Absätze 2, 3, 4 und 5 |
| Artikel 13 Absatz 6 Unterabsatz 1 | Artikel 15 Absatz 6 Unterabsatz 1 |
| Artikel 13 Absatz 6 Unterabsätze 2, 3, 4 und 5 | - |
| - | Artikel 15 Absätze 7 und 8 |
| - | Artikel 16 |
| - | Artikel 17 |
| Artikel 14 | Artikel 18 |
| Artikel 15 Absatz 1 | Artikel 19 Absatz 1 |
| Artikel 15 Absatz 2 Unterabsätze 1, 2 und 3 | Artikel 19 Absatz 2 Unterabsätze 1, 2 und 3 |
| - | Artikel 19 Absatz 2 Unterabsätze 4 und 5 |
| Artikel 15 Absatz 2 Unterabsatz 4 | Artikel 19 Absatz 2 Unterabsatz 6 |
| Artikel 15 Absatz 3 | - |
| - | Artikel 19 Absätze 3 und 4 |
| Artikel 15 Absätze 4 und 5 | Artikel 19 Absätze 5 und 6 |
| Artikel 15 Absatz 6 Unterabsatz 1 Buchstabe a | Artikel 19 Absatz 7 Unterabsatz 1 Buchstabe a |
| Artikel 15 Absatz 6 Unterabsatz 1 Buchstabe b Ziffer i | Artikel 19 Absatz 7 Unterabsatz 1 Buchstabe b Ziffer i |
| - | Artikel 19 Absatz 7 Unterabsatz 1 Buchstabe b Ziffer ii |
| Artikel 15 Absatz 6 Unterabsatz 1 Buchstabe b Ziffer ii | Artikel 19 Absatz 7 Unterabsatz 1 Buchstabe b Ziffer iii |
| Artikel 15 Absatz 6 Unterabsatz 1 Buchstaben c, d, e und f | Artikel 19 Absatz 7 Unterabsatz 1 Buchstaben c, d, e und f |
| - | Artikel 19 Absatz 7 Unterabsatz 2 |
| Artikel 15 Absatz 7 | Artikel 19 Absatz 8 |
| Artikel 15 Absatz 8 | - |
| Artikel 15 Absätze 9 und 10 | Artikel 19 Absätze 9 und 10 |
| - | Artikel 19 Absatz 11 |
| Artikel 15 Absätze 11 | Artikel 19 Absatz 12 |
| Artikel 15 Absatz 12 | - |
| - | Artikel 19 Absatz 13 |
| Artikel 16 Absätze 1, 2, 3, 4, 5, 6, 7 und 8 | - |
| Artikel 16 Absätze 9, 10 und 11 | Artikel 20 Absätze 1, 2 und 3 |
| - | Artikel 21 |
| - | Artikel 22 |
| - | Artikel 23 |
| - | Artikel 24 |
| - | Artikel 25 |
| - | Artikel 26 |
| - | Artikel 27 |
| - | Artikel 28 |
| Artikel 17 Absatz 1 Unterabsätze 1 und 2 | Artikel 29 Absatz 1 Unterabsätze 1 und 2 |
| - | Artikel 29 Absatz 1 Unterabsätze 3 und 4 |
| - | Artikel 29 Absatz 2 |
| Artikel 17 Absatz 2 Unterabsätze 1 und 2 | - |
| Artikel 17 Absatz 2 Unterabsatz 3 | Artikel 29 Absatz 10 Unterabsatz 3 |
| Artikel 17 Absatz 3 Unterabsatz 1 Buchstabe a | Artikel 29 Absatz 3 Unterabsatz 1 Buchstabe a |
| - | Artikel 29 Absatz 3 Unterabsatz 1 Buchstabe b |
| Artikel 17 Absatz 3 Unterabsatz 1 Buchstaben b und c | Artikel 29 Absatz 3 Unterabsatz 1 Buchstaben c und d |
| - | Artikel 29 Absatz 3 Unterabsatz 2 |
| Artikel 17 Absatz 4 | Artikel 29 Absatz 4 |
| Artikel 17 Absatz 5 | Artikel 29 Absatz 5 |
| Artikel 17 Absätze 6 und 7 | - |
| - | Artikel 29 Absätze 6, 7, 8, 9, 10 und 11 |
| Artikel 17 Absatz 8 | Artikel 29 Absatz 12 |
| Artikel 17 Absatz 9 | - |
| - | Artikel 29 Absätze 13 und 14 |
| Artikel 18 Absatz 1 Unterabsatz 1 | Artikel 30 Absatz 1 Unterabsatz 1 |
| Artikel 18 Absatz 1 Unterabsatz 1 Buchstaben a, b und c | Artikel 30 Absatz 1 Unterabsatz 1 Buchstaben a, c und d |
| - | Artikel 30 Absatz 1 Unterabsatz 1 Buchstabe b |
| - | Artikel 30 Absatz 1 Unterabsatz 2 |
| Artikel 18 Absatz 2 | - |
| - | Artikel 30 Absatz 2 |
| Artikel 18 Absatz 3 Unterabsatz 1 | Artikel 30 Absatz 3 Unterabsatz 1 |
| Artikel 18 Absatz 3 Unterabsätze 2 und 3 | - |
| Artikel 18 Absatz 3 Unterabsätze 4 und 5 | Artikel 30 Absatz 3 Unterabsätze 2 und 3 |
| Artikel 18 Absatz 4 Unterabsatz 1 | - |
| Artikel 18 Absatz 4 Unterabsätze 2 und 3 | Artikel 30 Absatz 4 Unterabsätze 1 und 2 |
| Artikel 18 Absatz 4 Unterabsatz 4 | - |
| Artikel 18 Absatz 5 Unterabsätze 1 und 2 | Artikel 30 Absatz 5 Unterabsätze 1 und 2 |
| Artikel 18 Absatz 5 Unterabsatz 3 | Artikel 30 Absatz 8 Unterabsätze 1 und 2 |
| Artikel 18 Absatz 5 Unterabsatz 4 | Artikel 30 Absatz 5 Unterabsatz 3 |
| - | Artikel 30 Absatz 6 Unterabsatz 1 |
| Artikel 18 Absatz 5 Unterabsatz 3 | Artikel 30 Absatz 6 Unterabsatz 2 |
| Artikel 18 Absatz 6 Unterabsätze 1 und 2 | Artikel 30 Absatz 5 Unterabsätze 1 und 2 |
| Artikel 18 Absatz 6 Unterabsatz 3 | - |
| Artikel 18 Absatz 6 Unterabsatz 4 | Artikel 30 Absatz 6 Unterabsatz 3 |
| - | Artikel 30 Absatz 6 Unterabsatz 4 |
| Artikel 18 Absatz 6 Unterabsatz 5 | Artikel 30 Absatz 6 Unterabsatz 5 |
| Artikel 18 Absatz 7 | Artikel 30 Absatz 7 Unterabsatz 1 |
| - | Artikel 30 Absatz 7 Unterabsatz 2 |
| Artikel 18 Absätze 8 und 9 | - |
| - | Artikel 30 Absatz 10 |
| Artikel 19 Absatz 1 Unterabsatz 1 | Artikel 31 Absatz 1 Unterabsatz 1 |
| Artikel 19 Absatz 1 Unterabsatz 1 Buchstaben a, b und c | Artikel 31 Absatz 1 Unterabsatz 1 Buchstaben a, b und c |
| - | Artikel 31 Absatz 1 Unterabsatz 1 Buchstabe d |
| Artikel 19 Absätze 2, 3 und 4 | Artikel 31 Absätze 2, 3 und 4 |
| Artikel 19 Absatz 5 | - |
| Artikel 19 Absatz 7 Unterabsatz 1 | Artikel 31 Absatz 5 Unterabsatz 1 |
| Artikel 19 Absatz 7 Unterabsatz 1 erster, zweiter, dritter und vierter Gedankenstrich | - |
| Artikel 19 Absatz 7 Unterabsätze 2 und 3 | Artikel 31 Absatz 5 Unterabsätze 2 und 3 |
| Artikel 19 Absatz 8 | Artikel 31 Absatz 6 |
| Artikel 20 | Artikel 32 |
| Artikel 22 | - |
| Artikel 23 Absätze 1 und 2 | Artikel 33 Absätze 1 und 2 |
| Artikel 23 Absätze 3, 4, 5, 6, 7 und 8 | - |
| Artikel 23 Absatz 9 | Artikel 33 Absatz 3 |
| Artikel 23 Absatz 10 | Artikel 33 Absatz 4 |
| Artikel 24 | - |
| Artikel 25 Absatz 1 | Artikel 34 Absatz 1 |
| Artikel 25 Absatz 2 | - |
| Artikel 25 Absatz 3 | Artikel 34 Absatz 2 |
| Artikel 25a Absatz 1 | Artikel 35 Absatz 1 |
| Artikel 25a Absatz 2 | Artikel 35 Absätze 2 und 3 |
| Artikel 25a Absatz 3 | Artikel 35 Absatz 4 |
| - | Artikel 35 Absatz 5 |
| Artikel 25a Absätze 4 und 5 | Artikel 35 Absätze 6 und 7 |
| Artikel 26 | - |
| Artikel 27 | Artikel 36 |
| - | Artikel 37 |
| Artikel 28 | Artikel 38 |
| Artikel 29 | Artikel 39 |
| Anhang I | Anhang I |
| Anhang II | Anhang II |
| Anhang III | Anhang III |
| Anhang IV | Anhang IV |
| Anhang V | Anhang V |
| Anhang VI | - |
| - | Anhang VI |
| Anhang VII | Anhang VII |
| Anhang VIII | Anhang VIII |
| Anhang IX | Anhang IX |
| - | Anhang X |
| - | Anhang XI |
![]() |
ENDE | ![]() |
(Stand: 14.11.2023)
Alle vollständigen Texte in der aktuellen Fassung im Jahresabonnement
Nutzungsgebühr: 90.- € netto (Grundlizenz)
(derzeit ca. 7200 Titel s.Übersicht - keine Unterteilung in Fachbereiche)
Die Zugangskennung wird kurzfristig übermittelt
? Fragen ?
Abonnentenzugang/Volltextversion