Durchführungsbeschluss (EU) 2019/1119 der Kommission vom 28. Juni 2019 über die Genehmigung der effizienten Außenbeleuchtung mit Leuchtdioden zur Verwendung an Fahrzeugen mit Verbrennungsmotor und an nicht extern aufladbaren Hybridelektrofahrzeugen als innovative Technologie zur Verringerung der CO2-Emissionen von Personenkraftwagen gemäß der Verordnung (EG) Nr. 443/2009 des Europäischen Parlaments und des Rates
(Text von Bedeutung für den EWR)
(ABl. L 176 vom 01.07.2019 S. 67;
VO (EU) 2020/1714 - ABl. L 384 vom 17.11.2020 S. 9InkrafttretenA;
VO (EU) 2021/136 - ABl. L 42 vom 05.02.2021 S. 13Inkrafttreten)
Hinweis: s. Liste über die Genehmigung ... als innovative Technologie ...
Die Europäische Kommission-
gestützt auf den Vertrag über die Arbeitsweise der Europäischen Union,
gestützt auf die Verordnung (EG) Nr. 443/2009 des Europäischen Parlaments und des Rates vom 23. April 2009 zur Festsetzung von Emissionsnormen für neue Personenkraftwagen im Rahmen des Gesamtkonzepts der Gemeinschaft zur Verringerung der CO2-Emissionen von Personenkraftwagen und leichten Nutzfahrzeugen 1, insbesondere auf Artikel 12 Absatz 4,
in Erwägung nachstehender Gründe:
(1) Die Hersteller Toyota Motor Europe NV/SA, Opel Automobile GmbH - PSA, FCa Italy S.p.A., Automobiles Citroën, Automobiles Peugeot, PSa Automobiles SA, Audi AG, Ford Werke GmbH, Jaguar Land Rover, Hyundai Motor Europe Technical center GmbH, Škoda Auto a.s., BMW AG, Renault SA, Honda Motor Europe Ltd, Volkswagen AG und Volkswagen AG Nutzfahrzeuge (im Folgenden die "Antragsteller") haben am 6. September 2018 gemeinsam die Genehmigung von effizienter Fahrzeugaußenbeleuchtung mit Leuchtdioden (LED) zur Verwendung an Fahrzeugen mit Verbrennungsmotor und an nicht extern aufladbaren Hybridelektrofahrzeugen als innovative Technologie beantragt. Der Antrag wurde gemäß Artikel 12 der Verordnung (EG) Nr. 443/2009 und der Durchführungsverordnung (EU) Nr. 725/2011 der Kommission 2 geprüft.
(2) Bei der effizienten LED-Beleuchtung handelt es sich um ein mit Leuchtdioden-Lichtquellen ausgestattetes Beleuchtungsmodul, dessen Stromverbrauch geringer ist als der von konventioneller Halogenbeleuchtung.
(3) Der Antrag wurde gemäß Artikel 12 der Verordnung (EG) Nr. 443/2009, der Durchführungsverordnung (EU) Nr. 725/2011 und dem technischen Leitfaden für die Vorbereitung von Anträgen auf Genehmigung innovativer Technologien gemäß der Verordnung (EG) Nr. 443/2009, Fassung vom Juli 2018 (Technical Guidelines) (im Folgenden "technischer Leitfaden") geprüft.
(4) Der Antrag betrifft CO2-Einsparungen durch die Verwendung von effizienter LED-Beleuchtung, die unter Bezugnahme auf das weltweit harmonisierte Prüfverfahren für Personenkraftwagen und leichte Nutzfahrzeuge (Worldwide Harmonised Light Vehicle Test Procedure, WLTP) gemäß der Verordnung (EU) 2017/1151 der Kommission 3 bewertet wurden.
(5) Mit den Durchführungsbeschlüssen 2014/128/EU 4, (EU) 2015/206 5, (EU) 2016/160 6, (EU) 2016/587 7 und (EU) 2016/1721 8 der Kommission ist effiziente LED-Beleuchtung bereits als innovative Technologie genehmigt worden, mit der CO2-Emissionen unter Bezugnahme auf den neuen Europäischen Fahrzyklus (NEFZ) gemäß der Verordnung (EG) Nr. 692/2008 der Kommission 9 verringert werden können. Aufgrund der Erfahrungen aus diesen Beschlüssen und anhand des vorliegenden Antrags wurde zufriedenstellend und schlüssig belegt, dass die effiziente LED-Beleuchtung, die eine effiziente LED-Leuchte wie Scheinwerfer für Abblendlicht, Fernlicht und Standlicht, Nebelscheinwerfer, Nebelschlusslicht, Vorder- und Heckblinker, Kennzeichenbeleuchtung und Rückfahrscheinwerfer oder geeignete Kombinationen dieser Leuchten umfasst, die in Artikel 12 der Verordnung (EG) Nr. 443/2009 und in der Durchführungsverordnung (EU) Nr. 725/2011 genannten Auswahlkriterien erfüllt.
(6) Die CO2-Einsparungen aus der Verwendung der effizienten LED-Beleuchtung können zum Teil durch die WLTP-Prüfung nachgewiesen werden. Die Antragsteller haben allerdings eine Prüfmethode übermittelt, die nachprüfbare, wiederholbare und vergleichbare Ergebnisse erbringt und mit der unter Berücksichtigung der teilweisen Erfassung nachgewiesen werden kann, dass die erzielten Einsparungen mindestens 0,5 g CO2/km betragen.
(7) Der Kontinuität wegen, insbesondere mit Blick auf den Übergang vom NEFZ zum WLTP zur Prüfung von CO2-Emissionen, empfiehlt es sich, gemäß den Bestimmungen der Durchführungsbeschlüsse 2014/128/EU, (EU) 2015/206, (EU) 2016/160, (EU) 2016/587 und (EU) 2016/1721 Halogenbeleuchtung als Vergleichstechnologie beizubehalten.
(8) Die Hersteller sollten die Möglichkeit haben, bei einer Typgenehmigungsbehörde die Zertifizierung der CO2-Einsparungen aus der Verwendung der effizienten LED-Beleuchtung an Fahrzeugen mit Verbrennungsmotor und an nicht extern aufladbaren Hybridelektrofahrzeugen zu beantragen. Zu diesem Zweck sollte der Hersteller sicherstellen, dass dem Zertifizierungsantrag ein Prüfbericht einer unabhängigen Prüfstelle beigefügt wird, in dem der Umfang der zu zertifizierenden CO2-Einsparungen und die Einhaltung aller einschlägigen Bedingungen bestätigt wird.
(9) Stellt die Typgenehmigungsbehörde fest, dass die LED-Beleuchtung die Zertifizierungsbedingungen nicht erfüllt, sollte der Antrag auf Zertifizierung der Einsparungen abgelehnt werden.
(10) Um die breitere Verwendung von effizienter LED-Beleuchtung an Neufahrzeugen zu erleichtern, sollte ein Hersteller außerdem die Möglichkeit haben, in einem einzigen Zertifizierungsantrag die Zertifizierung der CO2-Einsparungen aus mehreren effizienten LED-Beleuchtungen zu beantragen. Es empfiehlt sich jedoch sicherzustellen, dass, wenn von dieser Möglichkeit Gebrauch gemacht wird, automatisch Anreize dafür gegeben werden, dass nur die LED-Beleuchtung mit dem höchsten Wirkungsgrad verwendet wird.
(11) Die gemäß diesem Beschluss zertifizierten CO2-Einsparungen werden ab dem Kalenderjahr 2021 bei der Berechnung der durchschnittlichen spezifischen CO2-Emissionen der Hersteller berücksichtigt.
(12) Für die Bestimmung des allgemeinen Ökoinnovationscodes, der in den betreffenden Typgenehmigungsunterlagen gemäß den Anhängen I, VIII und IX der Richtlinie 2007/46/EG des Europäischen Parlaments und des Rates 10 zu verwenden ist, sollte der individuelle Code für die innovative Technologie für effiziente LED-Beleuchtungen für Fahrzeuge mit Verbrennungsmotor und für nicht extern aufladbare Hybridelektrofahrzeuge festgelegt werden
- hat folgenden Beschluss erlassen:
Artikel 1 Genehmigung
Die in effizienter Beleuchtung mit Leuchtdioden (LED) verwendete Technologie wird als innovative Technologie im Sinne von Artikel 12 der Verordnung (EG) Nr. 443/2009 genehmigt, sofern diese innovative Technologie für die Außenbeleuchtung an Fahrzeugen mit Verbrennungsmotor und an nicht extern aufladbaren Hybridelektrofahrzeugen verwendet wird.
Artikel 2 Begriffsbestimmung
Im Sinne dieses Beschlusses bedeutet effiziente LED-Beleuchtung eine Technologie, die aus einem mit Lichtquellen aus Leuchtdioden (LED) für die Fahrzeug-Außenbeleuchtung ausgestatteten Beleuchtungsmodul besteht, dessen Stromverbrauch niedriger ist als der von konventioneller Halogenbeleuchtung.
Artikel 3 Antrag auf Zertifizierung von CO2-Einsparungen
(1) Ein Hersteller kann die Zertifizierung der CO2-Einsparungen aus einer oder mehreren effizienten LED-Beleuchtungen beantragen, sofern diese für die Außenbeleuchtung von Fahrzeugen mit Verbrennungsmotor der Klasse M1 und von nicht extern aufladbaren Hybridelektrofahrzeugen der Klasse M1 verwendet werden. Die effiziente LED-Beleuchtung muss eine der folgenden LED-Leuchten oder eine Kombination dieser Leuchten umfassen:
Die LED-Leuchte oder die Kombination von LED-Leuchten, die die effiziente LED-Beleuchtung bildet, bewirken mindestens die in Artikel 9 Absatz 1 Buchstabe b der Durchführungsverordnung (EU) Nr. 725/2011 verlangte Verringerung der CO2-Emissionen, die mithilfe der Prüfmethode im Anhang dieses Beschlusses nachgewiesen wird.
(2) Einem Antrag auf die Zertifizierung der Einsparungen einer effizienten LED-Leuchte oder einer Kombination solcher Leuchten liegt ein unabhängiger Prüfbericht bei, in dem bescheinigt wird, dass die in Absatz 1 genannten Bedingungen erfüllt sind.
(3) Die Typgenehmigungsbehörde lehnt den Antrag auf Zertifizierung ab, wenn sie feststellt, dass die in Absatz 1 genannten Bedingungen nicht erfüllt sind.
Artikel 4 Zertifizierung der CO2-Einsparungen20
(1) Die Verringerung der CO2-Emissionen durch die Verwendung einer effizienten LED-Beleuchtung gemäß Artikel 3 Absatz 1 wird nach der im Anhang beschriebenen Methode bestimmt.
(2) Beantragt ein Hersteller in Bezug auf eine Fahrzeugversion die Zertifizierung der CO2-Einsparungen von mehr als einer effizienten LED-Beleuchtung gemäß Artikel 3 Absatz 1, so ermittelt die Typgenehmigungsbehörde, welche der geprüften effizienten LED-Beleuchtungen die geringsten CO2-Einsparungen bewirkt und trägt den niedrigsten Wert in die entsprechenden Typgenehmigungsunterlagen ein. Dieser Wert wird gemäß Artikel 11 Absatz 2 der Durchführungsverordnung (EU) Nr. 725/2011 in der Übereinstimmungsbescheinigung aufgeführt.
(2a) Wird die innovative Technologie in ein Bi-Fuel- oder Flex-Fuel-Fahrzeug installiert, erfasst die Genehmigungsbehörde die CO2-Einsparungen wie folgt:
(3) Die typengenehmigungsbehörde erstellt den Prüfbericht und zeichnet die Prüfergebnisse auf, auf deren Grundlage die Einsparungen bestimmt wurden, und stellt der Kommission diese Informationen auf Anfrage zur Verfügung.
Artikel 5 Übergangszeitraum und Ökoinnovationscodes20
(1) Ein Hersteller kann bis zum 24. März 2021 die Zertifizierung der CO2-Einsparungen durch die Typgenehmigungsbehörde nach Maßgabe dieses Beschlusses in seiner Fassung vom 28. Juni 2019 beantragen. In diesem Fall wird in die Typgenehmigungsunterlagen der Ökoinnovationscode Nr. 28 eingetragen.
(2) Beantragt der Hersteller die Zertifizierung der CO2-Einsparungen durch die Typgenehmigungsbehörde gemäß diesem Beschluss, ohne auf die Fassung vom 28. Juni 2019 Bezug zu nehmen, so wird in die Typgenehmigungsunterlagen der Ökoinnovationscode Nr. 37 eingetragen.
(3) Die mit Bezugnahme auf den Ökoinnovationscode Nr. 28 oder Nr. 37 zertifizierten CO2-Einsparungen können ab dem Kalenderjahr 2021 bei der Berechnung der durchschnittlichen spezifischen Emissionen eines Herstellers berücksichtigt werden.
Artikel 6 Inkrafttreten
Dieser Beschluss tritt am zwanzigsten Tag nach seiner Veröffentlichung im Amtsblatt der Europäischen Union in Kraft.
Brüssel, den 28. Juni 2019
2) Durchführungsverordnung (EU) Nr. 725/2011 der Kommission vom 25. Juli 2011 zur Einführung eines Verfahrens zur Genehmigung und Zertifizierung innovativer Technologien zur Verringerung der CO2-Emissionen von Personenkraftwagen nach der Verordnung (EG) Nr. 443/2009 des Europäischen Parlaments und des Rates (ABl. L 194 vom 26.07.2011 S. 19).
3) Verordnung (EU) 2017/1151 der Kommission vom 1. Juni 2017 zur Ergänzung der Verordnung (EG) Nr. 715/2007 des Europäischen Parlaments und des Rates über die Typgenehmigung von Kraftfahrzeugen hinsichtlich der Emissionen von leichten Personenkraftwagen und Nutzfahrzeugen (Euro 5 und Euro 6) und über den Zugang zu Fahrzeugreparatur- und -wartungsinformationen, zur Änderung der Richtlinie 2007/46/EG des Europäischen Parlaments und des Rates, der Verordnung (EG) Nr. 692/2008 der Kommission sowie der Verordnung (EU) Nr. 1230/2012 der Kommission sowie zur Aufhebung der Verordnung (EG) Nr. 692/2008 der Kommission (ABl. L 175 vom 07.07.2017 S. 1).
4) Durchführungsbeschluss 2014/128/EU der Kommission vom 10. März 2014 über die Genehmigung des Abblendlichtmoduls mit lichtemittierenden Dioden "E-Light" als innovative Technologie zur Verringerung der CO2-Emissionen von Personenkraftwagen gemäß der Verordnung (EG) Nr. 443/2009 des Europäischen Parlaments und des Rates(ABl. L 70 vom 11.03.2014 S. 30).
5) Durchführungsbeschluss (EU) 2015/206 der Kommission vom 9. Februar 2015 über die Genehmigung der effizienten Außenbeleuchtung mit Leuchtdioden der Daimler AG als innovative Technologie zur Verringerung der CO2-Emissionen von Personenkraftwagen gemäß der Verordnung (EG) Nr. 443/2009 des Europäischen Parlaments und des Rates (ABl. L 33 vom 10.02.2015 S. 52).
6) Durchführungsbeschluss (EU) 2016/160 der Kommission vom 5. Februar 2016 über die Genehmigung der effizienten Außenbeleuchtung mit Leuchtdioden der Toyota Motor Europe als innovative Technologie zur Verringerung der CO2-Emissionen von Personenkraftwagen gemäß der Verordnung (EG) Nr. 443/2009 des Europäischen Parlaments und des Rates (ABl. L 31 vom 06.02.2016 S. 70).
7) Durchführungsbeschluss (EU) 2016/587 der Kommission vom 14. April 2016 über die Genehmigung der in effizienter Außenbeleuchtung mit Leuchtdioden eingesetzten Technologie als innovative Technologie zur Verringerung der CO2-Emissionen von Personenkraftwagen gemäß der Verordnung (EG) Nr. 443/2009 des Europäischen Parlaments und des Rates (ABl. L 101 vom 16.04.2016 S. 17).
8) Durchführungsbeschluss (EU) 2016/1721 der Kommission vom 26. September 2016 über die Genehmigung der effizienten Außenbeleuchtung mit Leuchtdioden von Toyota zur Verwendung in nicht extern aufladbaren Hybrid-Elektro-Fahrzeugen als innovative Technologie zur Verringerung der CO2-Emissionen von Personenkraftwagen gemäß der Verordnung (EG) Nr. 443/2009 des Europäischen Parlaments und des Rates (ABl. L 259 vom 27.09.2016 S. 71).
9) Verordnung (EG) Nr. 692/2008 der Kommission vom 18. Juli 2008 zur Durchführung und Änderung der Verordnung (EG) Nr. 715/2007 des Europäischen Parlaments und des Rates über die Typgenehmigung von Kraftfahrzeugen hinsichtlich der Emissionen von leichten Personenkraftwagen und Nutzfahrzeugen (Euro 5 und Euro 6) und über den Zugang zu Reparatur- und Wartungsinformationen für Fahrzeuge (ABl. L 199 vom 28.07.2008 S. 1).
10) Richtlinie 2007/46/EG des Europäischen Parlaments und des Rates vom 5. September 2007 zur Schaffung eines Rahmens für die Genehmigung von Kraftfahrzeugen und Kraftfahrzeuganhängern sowie von Systemen, Bauteilen und selbstständigen technischen Einheiten für diese Fahrzeuge (Rahmenrichtlinie) (ABl. L 263 vom 09.10.2007 S. 1).
| Methode zur Ermittlung der CO2-Einsparungen von effizienter LED-Beleuchtung auf der Grundlage des weltweit harmonisierten Prüfverfahrens für Personenkraftwagen und leichte Nutzfahrzeuge | Anhang20 |
1. Einleitung
Um zu ermitteln, welche Verringerung der CO2-Emissionen auf eine aus einer geeigneten Kombination von LED-Fahrzeugaußenleuchten bestehende effiziente LED-Beleuchtung zur Verwendung an Fahrzeugen mit Verbrennungsmotor der Klasse M1 und an nicht extern aufladbaren Hybridelektrofahrzeugen der Klasse M1 zurückgeführt werden kann, ist Folgendes festzulegen:
(1) die Prüfbedingungen;
(2) die Prüfgeräte,
(3) das Verfahren zur Ermittlung der Stromeinsparungen;
(4) das Verfahren zur Ermittlung der CO2-Einsparungen;
(5) das Verfahren zur Ermittlung der Unsicherheit der CO2-Einsparungen.
2. Symbole, Parameter und Einheiten
Lateinische Symbole
Tiefgestellte Indizes
| c | bezieht sich auf die Zahl der Klassen adaptiver Frontbeleuchtungssysteme, für die im Rahmen der Stichprobe Messungen durchgeführt wurden |
| i | bezieht sich auf jede Kfz-Leuchte |
| j | bezieht sich auf die Messung der Stichprobe |
| t | bezieht sich auf jede Zahl der Messungen von T |
3. Prüfbedingungen
Die Prüfbedingungen genügen den Anforderungen der Regelungen (UN/ECE) Nrn. 4 1, 6 2, 7 3, 19 4, 23 5, 38 6, 48 7, 100 8, 112 9, 119 10 und 123 11. Der Stromverbrauch wird gemäß Absatz 6.1.4 sowie Anhang 10 Absätze 3.2.1 und 3.2.2 der Regelung (UN/ECE) Nr. 112 bestimmt.
Beim adaptiven Frontbeleuchtungssystem (AFS) für Abblendlicht, das unter mindestens zwei der Klassen C, E, V oder W im Sinne der Regelung (UN/ECE) Nr. 123 fällt, wird der Strom bei der LED-Intensität jeder Klasse (Pc) im Sinne der Verordnung (UN/ECE) Nr. 123 gemessen, es sei denn, mit dem technischen Dienst wird vereinbart, dass für den betreffenden Fahrzeugantrag die Klasse C als die repräsentative/mittlere LED-Intensität zugrunde gelegt wird. Wird für den betreffenden Fahrzeugantrag die Klasse C als repräsentative/mittlere LED-Intensität zugrunde gelegt, so werden die Strommessungen in derselben Weise durchgeführt wie für die übrigen LED-Außenleuchten der Kombination.
Prüfgeräte
Dabei sind die folgenden Geräte wie in Abbildung 1 dargestellt zu verwenden:
Prüfanordnung
Messungen und Bestimmung der Stromeinsparungen
Für jede effiziente LED-Außenleuchte der Kombination wird der Strom wie in der Abbildung dargestellt bei einer Spannung von 13,2 V gemessen. Bei LED-Modulen, die mit einem elektronischen Lichtquellen-Steuergerät betrieben werden, erfolgen die Messungen gemäß den Angaben des Antragstellers.
Der Hersteller kann verlangen, dass weitere Strommessungen bei weiteren zusätzlichen Stromspannungen vorgenommen werden. In diesem Fall legt der Hersteller der Typgenehmigungsbehörde eine geprüfte Dokumentation vor, nach der diese weiteren Messungen erforderlich sind. Bei jeder dieser zusätzlichen Stromspannungen wird der Strom mindestens fünf Mal konsekutiv gemessen. Die genaue Nennspannung und der gemessene Strom werden mit vier Dezimalstellen erfasst.
Der Stromverbrauch wird durch Multiplikation der Nennspannung mit dem gemessenen Strom ermittelt. Der Durchschnitt des Stromverbrauchs wird für jede effiziente LED-Außenleuchte (
) berechnet. Jeder Wert wird mit vier Dezimalstellen ausgedrückt. Werden die LED-Leuchten über einen Schrittmotor oder eine elektronische Steuereinheit mit Strom versorgt, so wird die Stromlast dieses Bauteils von der Messung ausgeschlossen.
Zusätzliche Messungen bei einem adaptiven Frontbeleuchtungssystem (AFS) für Abblendlicht
Tabelle 1 Klassen des Abblendlicht-AFS
| Klasse | Siehe Nummer 1.3 und Fußnote 2 der Regelung (UN/ECE) Nr. 123. | LED-Intensität (%) | Aktivierungsmodus * |
| C | Scheinwerfer für Abblendlicht (Land) | 100 % | 50km/h < Geschwindigkeit < 100 km/h
Oder wenn kein Modus mit einer anderen Abblendklasse aktiviert ist (V, W, E). |
| V | Stadt | 85 % | Geschwindigkeit < 50 km/h |
| E | Autobahn | 110 % | Geschwindigkeit > 100 km/h |
| W | ungünstige Bedingungen | 90 % | Scheibenwischer aktiviert > 2 min. |
| *) Die Aktivierungsgeschwindigkeiten sind für jeden Kfz-Antrag gemäß der Regelung (UN/ECE) Nr. 48 Abschnitt 6 Absatz 6.22 Nummern 6.22.7.4.1 (Klasse C), 6.22.7.4.2 (Klasse V), 6.22.7.4.3 (Klasse E) und 6.22.7.4.4 (Klasse W) zu prüfen. | |||
Muss der Strom bei der LED-Intensität jeder Klasse gemessen werden, so wird im Anschluss an die Messung jedes Pc der Strom des Abblendlicht-AFS (
) nach folgender Formel 1 als gewichteter Durchschnitt des LED-Stroms während der WLTC-Geschwindigkeitsintervalle berechnet:
Dabei ist:
![]() |
der Stromverbrauch (Mittelwert der n Messungen) für jede Klasse; |
| WLTC_sharec | der WLTC-Zeitanteil in % pro Geschwindigkeitsintervall in jeder Klasse (Dauer des WLTC-Zyklus insgesamt: 1.800 Sek.): |
| Geschwindigkeitsintervall | Dauer | WLTC_sharec (%) |
| < 50 km/h: | 1.058 s | 0,588 (58,8 %) |
| 50-100 km/h | 560 s | 0,311 (31,1 %) |
| > 100 km/h | 182 s | 0,101 (10,1 %) |
Wenn ein Abblendlicht-AFS lediglich zwei Klassen aufweist, die nicht alle WLTC-Geschwindigkeiten abdecken (z.B. C und V), schließt die Gewichtung des Stromverbrauchs bei Klasse C auch die WLTC-Dauer ein, die nicht durch die zweite Klasse abgedeckt wird (z.B. Dauer Klasse C "t" = 0,588 + 0,101).
Die resultierenden Stromeinsparungen werden für jede effiziente LED-Außenleuchte (ΔPi) nach folgender Formel 2 berechnet:
Dabei entspricht der Stromverbrauch der entsprechenden Vergleichs-Kfz-Leuchte dem Wert in Tabelle 3:
Tabelle 3 Strombedarf verschiedener Vergleichs-Kfz-Leuchten
| Kfz-Leuchte | Elektrischer Strom insgesamt (PB) [W] |
| Abblendlicht | 137 |
| Fernlicht | 150 |
| Begrenzungsleuchte | 12 |
| Kennzeichenbeleuchtung | 12 |
| Nebelscheinwerfer | 124 |
| Nebelschlussleuchte | 26 |
| Vorderblinker | 13 |
| Heckblinker | 13 |
| Rückfahrscheinwerfer | 52 |
| Abbiegescheinwerfer | 44 |
| statisches Kurvenlicht. | 44 |
4. Berechnung der CO2-Einsparungen und statistische Marge
4.1. Berechnung der CO2-Einsparungen
Die CO2-Gesamteinsparungen des Beleuchtungssystems werden im Einklang mit dem spezifischen Antriebsstrang des Fahrzeugs berechnet (d. h. konventionelles oder nicht extern aufladbares Hybridelektrofahrzeug).
4.1.1. Mit Verbrennungsmotor betriebene Personenkraftwagen und NOVC-HEV der Klasse M1, für die gemäß Anhang XXI Unteranhang 8 Anlage 2 Absatz 1.1.4 der Verordnung (EU) 2017/1151 unkorrigierte Messwerte für den Kraftstoffverbrauch und die CO2-Emissionen verwendet werden können
Die CO2-Einsparungen werden nach der Formel 3 berechnet:
Dabei ist:
v: die durchschnittliche Fahrgeschwindigkeit des WLTC [km/h]: 46,60 km/h
ηA: Wirkungsgrad des Stromgenerators: 0,67
VPe: der tatsächliche Energieverbrauch gemäß Tabelle 4:
Tabelle 4 Tatsächlicher Stromverbrauch
| Motortyp | Tatsächlicher Stromverbrauch (VPe) [l/kWh] |
| E85-kompatibler Ottomotor | 0,264 |
| E85-kompatibler Ottomotor mit Turbolader | 0,280 |
| Dieselmotor | 0,220 |
| LPG-Motor | 0,342 |
| LPG-Motor mit Turbolader | 0,363 |
| Tatsächlicher Stromverbrauch (VPe) [m3 /kWh] | |
| CNG-Motor (G20) | 0,259 |
| CNG-Motor (G20) mit Turbo | 0,275 |
CF: Umrechnungsfaktor gemäß Tabelle 5.
Tabelle 5 Kraftstoffumrechnungsfaktor
| Art des Kraftstoffs | Umrechnungsfaktor (CF) [g CO2/l] |
| Benzin/E85 | 2.330 |
| Diesel | 2.640 |
| LPG | 1.629 |
| Umrechnungsfaktor (CF) [g CO2/m3 ] | |
| CNG (G20) | 1.795 |
UFi: Nutzungsfaktor der Kfz-Leuchte [-] wie in Tabelle 6 definiert
Tabelle 6 Nutzungsfaktor für verschiedene Kfz-Leuchten
| Kfz-Leuchte | Nutzungsfaktor (UF) [-] |
| Abblendlicht | 0,33 |
| Fernlicht | 0,03 |
| Begrenzungsleuchte | 0,36 |
| Kennzeichenbeleuchtung | 0,36 |
| Nebelscheinwerfer | 0,01 |
| Nebelschlussleuchte | 0,01 |
| Vorderblinker | 0,15 |
| Heckblinker | 0,15 |
| Rückfahrscheinwerfer | 0,01 |
| Abbiegescheinwerfer | 0,019 |
| Statisches Kurvenlicht | 0,039 |
4.1.2. Nicht unter Nummer 4.1.1 fallende NOVC-HEV
Die CO2-Einsparungen werden nach der Formel 4 berechnet:
Dabei ist:
ηDCDC: Wirkungsgrad des GS-GS-Wandlers
: CO2-Korrekturfaktor
gemäß Anhang XXI Unteranhang 8 Anlage 2 Absatz 2.2 der Verordnung (EU) 2017/1151 der Kommission.
Der Wirkungsgrad des GS-GS-Wandlers (ηDCDC ) wird im Einklang mit der entsprechenden Fahrzeugarchitektur gemäß Tabelle 7 bewertet:
Tabelle 7 Wirkungsgrad des GS-GS-Wandlers bei unterschiedlichen Architekturen von Fahrzeugleuchten
| # | Architektur | ηDCDC |
| 1 | Parallel zur Niederspannungsbatterie geschaltete Leuchten und direkt über den GS-GS-Wandler aus der Hochspannungsbatterie gespeiste Leuchten | 0,xx |
| 2 | In Reihe nach der Niederspannungsbatterie geschaltete Leuchten und direkt in Reihe nach der Hochspannungsbatterie geschaltete Niederspannungsbatterie | 1 |
| 3 | Die Hochspannungs- und die Niederspannungsbatterie haben genau dieselbe Spannung (12V, 48V usw.) wie die Leuchten | 1 |
Bei der Architektur #1 ist der Wirkungsgrad des GS-GS-Wandlers (ηDCDC) der höchste Wert, der sich bei den im Betriebsstrombereich durchgeführten Wirkungsgradprüfungen ergibt. Das Messinterval beträgt 10 % des Betriebsstrombereichs oder weniger.
4.2. Berechnung der statistischen Marge
Die statistische Marge des Beleuchtungssystems wird im Einklang mit dem spezifischen Antriebsstrang des Fahrzeugs berechnet (d. h. konventionelles oder nicht extern aufladbares Hybridelektrofahrzeug).
4.2.1. Mit Verbrennungsmotor betriebene Personenkraftwagen und NOVC-HEV der Klasse M1, für die gemäß Anhang XXI Unteranhang 8 Anlage 2 Absatz 1.1.4 der Verordnung (EU) 2017/1151 unkorrigierte Messwerte für den Kraftstoffverbrauch und die CO2-Emissionen verwendet werden können
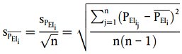
Die statistische Marge bei den Ergebnissen der Prüfmethode aufgrund der Messungen ist zu quantifizieren. Für jede effiziente LED-Außenleuchte des Systems wird die Standardabweichung nach Formel 5 berechnet:
Dabei ist:
n: Zahl der Messungen: mindestens 5.
Führt die Standardabweichung des Stromverbrauchs jeder effizienten LED-Außenleuchte (
) zu einem Fehler bei den CO2-Einsparungen (
), so wird dieser Fehler nach der Formel 6 berechnet:
4.2.2. Nicht unter Nummer 4.2.1 fallende NOVC-HEV
Die statistische Marge bei den Ergebnissen der Prüfmethode aufgrund der Messungen ist zu quantifizieren. Für jede effiziente LED-Außenleuchte des Systems wird die Standardabweichung nach Formel 7 berechnet:
Dabei ist:
n: Zahl der Messungen: mindestens 5.
Der CO2-Korrekturkoeffizient
wird durch eine Reihe von T Messungen des Herstellers im Einklang mit Anhang XXI Unteranhang 8 Anlage 2 Absatz 2.2 der Verordnung (EU) 2017/1151 bestimmt. Für jede Messung werden die Ladebilanz im Laufe der Prüfung und die gemessenen CO2-Emissionen aufgezeichnet.
Zur Einschätzung des statistischen Fehlers von
sind alle T Kombinationen ohne Wiederholungen von T-1 Messungen heranzuziehen, um T verschiedene Wert von
(d. h.
) zu extrapolieren. Die Extrapolation wird im Einklang mit der in Anhang XXI Unteranhang 8 Anlage 2 Absatz 2.2 der Verordnung (EU) 2017/1151 festgelegten Methode vorgenommen.
Die Standardabweichung von
(
) wird somit nach der Formel 8 berechnet:
Dabei ist:
T: Zahl der vom Hersteller durchgeführten Messungen für die Extrapolation von
gemäß Anhang XXI Unteranhang 8 Anlage 2 Absatz 2.2 der Verordnung (EU) 2017/1151.
: Mittelwert der T Werte von
Führen die Standardabweichung des Stromverbrauchs jeder effizienten LED-Außenleuchte (
) und die Standardabweichung von
(
)zu einem Fehler bei den CO2-Einsparungen (
), so wird dieser Fehler nach der Formel 9 berechnet:
Formel 921
4.3. Statistische Marge für Abblendlicht-AFS
Liegt ein Abblendlicht-AFS vor, so wird die Formel 9 angepasst, um die erforderlichen zusätzlichen Messungen zu berücksichtigen.
Der Wert der für das Abblendlicht-AFS heranzuziehenden Unsicherheit (
) wird nach folgenden Formeln 10 und 11 berechnet:
Dabei ist:
n: Zahl der Messungen: mindestens 5.
: Mittelwert der T Werte von Pc
5. Aufrunden
Der rechnerische Wert der CO2-Einsparungen (
) und die statistische Marge der CO2-Einsparungen (
) werden auf maximal zwei Dezimalstellen gerundet.
Jeder zur Berechnung der CO2-Einsparungen herangezogene Wert kann ungerundet oder auf die Mindestzahl von Dezimalstellen gerundet verwendet werden, sodass die kombinierte Auswirkung aller gerundeten Werte auf die Einsparungen weniger als 0,25 g CO2/km betragen kann.
6. Statistische Signifikanz
Für jeden Typ, jede Variante und jede Version eines Fahrzeugs, das mit der effizienten LED-Beleuchtung ausgestattet ist, ist nachzuweisen, dass die nach Formel 6 oder Formel 9 berechnete Unsicherheit der CO2-Einsparungen nicht größer ist als die Differenz zwischen den CO2-Gesamteinsparungen und dem Schwellenwert für die Mindesteinsparungen gemäß Artikel 9 Absatz 1 der Durchführungsverordnung (EU) Nr. 725/2011 (vgl. Formel 12).
MT <
-
Dabei sind:
| MT: | Mindestschwellenwert [g CO2/km]; |
: |
CO2-Gesamteinsparungen [g CO2/km]; |
: |
Standardabweichung der CO2-Gesamteinsparungen [g CO2/km]; |
Liegen die anhand der in diesem Anhang beschriebenen Prüfmethode bestimmten CO2-Gesamteinsparungen der effizienten LED-Beleuchtung unter der Schwelle gemäß Artikel 9 Absatz 1 Buchstabe b der Durchführungsverordnung (EU) Nr. 725/2011, ist Artikel 11 Absatz 2 Unterabsatz 2 der Verordnung anwendbar.
2) ABl. L 213 vom 18.07.2014 S. 1.
3) ABl. L 285 vom 30.09.2014 S. 1.
4) ABl. L 250 vom 22.08.2014 S. 1.
5) ABl. L 237 vom 08.08.2014 S. 1.
6) ABl. L 148 vom 12.06.2010 S. 55.
7) ABl. L 323 vom 06.12.2011 S. 46.
8) ABl. L 302 vom 28.11.2018 S. 114.
9) ABl. L 250 vom 22.08.2014 S. 67.
10) ABl. L 89 vom 25.03.2014 S. 101.
11) ABl. L 222 vom 24.08.2010 S. 1.
![]() |
ENDE | ![]() |
(Stand: 08.03.2024)
Alle vollständigen Texte in der aktuellen Fassung im Jahresabonnement
Nutzungsgebühr: 90.- € netto (Grundlizenz)
(derzeit ca. 7200 Titel s.Übersicht - keine Unterteilung in Fachbereiche)
Die Zugangskennung wird kurzfristig übermittelt
? Fragen ?
Abonnentenzugang/Volltextversion