Verordnung (EU) 2019/2024 der Kommission vom 1. Oktober 2019 zur Festlegung von Ökodesign-Anforderungen an Kühlgeräte mit Direktverkaufsfunktion gemäß der Richtlinie 2009/125/EG des Europäischen Parlaments und des Rates

(Text von Bedeutung für den EWR)

(ABl. L 315 vom 05.12.2019 S. 313, ber. 2021 L 65 S. 91)



=> Zur nachfolgenden Fassung

s.:Normenübersicht / Normen zurÖkodesign-Richtlinie

Hinweis: Reglungen zur Umsetzungder RL 2009/125/EG "Ökodesign-Richtlinie"

Die Europäische Kommission -

gestützt auf Artikel 114 des Vertrags über die Arbeitsweise der Europäischen Union,

gestützt auf die Richtlinie 2009/125/EG des Europäischen Parlaments und des Rates vom 21. Oktober 2009 zur Schaffung eines Rahmens für die Festlegung von Anforderungen an die umweltgerechte Gestaltung energieverbrauchsrelevanter Produkte 1, insbesondere auf Artikel 15 Absatz 1,

in Erwägung nachstehender Gründe:

(1) Nach der Richtlinie 2009/125/EG sollte die Kommission Anforderungen an die umweltgerechte Gestaltung (im Folgenden "Ökodesign") energieverbrauchsrelevanter Produkte festlegen, die in der Union ein erhebliches Vertriebs- und Handelsvolumen, erhebliche Umweltauswirkungen und ein erhebliches Potenzial für gestaltungsbedingte Verbesserungen ihrer Umweltverträglichkeit ohne übermäßig hohe Kosten aufweisen.

(2) Die Mitteilung COM(2016) 773 der Kommission 2 mit dem von der Kommission gemäß Artikel 16 Absatz 1 der Richtlinie 2009/125/EG erstellten Ökodesign-Arbeitsprogramm enthält die Prioritäten für die Arbeit in den Bereichen Ökodesign und Energieverbrauchskennzeichnung im Zeitraum 2016-2019. Kühlgeräte mit Direktverkaufsfunktion gehören zu den energieverbrauchsrelevanten Produktgruppen, die bei der Durchführung von Vorstudien und der anschließenden Verabschiedung von Maßnahmen vorrangig behandelt werden sollen.

(3) Die Maßnahmen des Ökodesign-Arbeitsprogramms könnten Schätzungen zufolge im Jahr 2030 insgesamt zu jährlichen Endenergieeinsparungen von mehr als 260 TWh führen, was im Jahr 2030 einer Verringerung der Treibhausgasemissionen um rund 100 Mio. Tonnen jährlich entspricht. Zu den im Arbeitsprogramm genannten Produktgruppen gehören auch Kühlgeräte mit Direktverkaufsfunktion, deren jährlicher Endenergieverbrauch den Schätzungen zufolge bis 2030 um 48 TWh gesenkt werden könnte.

(4) Die Kommission hat zwei Vorstudien zu den technischen, ökologischen und wirtschaftlichen Merkmalen von in der EU üblicherweise verwendeten Kühlgeräten mit Direktverkaufsfunktion durchgeführt. Die Studien wurden in enger Zusammenarbeit mit Interessenträgern und anderen interessierten Kreisen aus der Union und Drittländern durchgeführt. Die Ergebnisse der Studien wurden veröffentlicht und dem gemäß Artikel 18 der Richtlinie 2009/125/EG eingesetzten Konsultationsforum vorgelegt.

(5) Diese Verordnung sollte für folgende Kühlgeräte mit Direktverkaufsfunktion gelten: Verkaufskühlmöbel (Gefrier- bzw. Kühlschränke) für Supermärkte, Getränkekühler, Speiseeis-Gefriermaschinen, Verkaufskühlmöbel für Speiseeis und gekühlte Verkaufsautomaten.

(6) Für die Zwecke dieser Verordnung ist der Energieverbrauch von Kühlgeräten mit Direktverkaufsfunktion in der Nutzungsphase als der wichtigste Umweltaspekt anzusehen. Dieser Energieverbrauch könnte durch kostengünstige, nicht eigentumsrechtlich geschützte Technologien gesenkt werden, ohne die Gesamtkosten für die Anschaffung und den Betrieb dieser Produkte zu erhöhen. Direkte Emissionen aus Kältemitteln und die Verfügbarkeit von Ersatzteilen wurden ebenfalls als relevante Aspekte ermittelt.

(7) Da Kältemittel der Verordnung (EU) Nr. 517/2014 des Europäischen Parlaments und des Rates 3 unterliegen, werden in der vorliegenden Verordnung keine spezifischen Anforderungen an Kältemittel festgelegt. Darüber hinaus deutet eine zunehmende Nutzung von Kältemitteln mit geringem Treibhauspotenzial in den vergangenen zehn Jahren in der Union darauf hin, dass die Hersteller bereits allmählich zu umweltfreundlicheren Kältemitteln übergehen, ohne dass zusätzliche politische Eingriffe in Form von Ökodesign-Maßnahmen notwendig wären.

(8) Der unionsweite jährliche Energieverbrauch der von dieser Verordnung erfassten Produkte betrug im Jahr 2015 schätzungsweise 65 TWh, was Emissionen von 26 Mio. Tonnen CO2-Äquivalent entspricht. Für ein Szenario mit unveränderten Rahmenbedingungen wird bis 2030 eine Verringerung des Energieverbrauchs von Kühlgeräten mit Direktverkaufsfunktion projiziert. Diese Verringerung dürfte sich jedoch verlangsamen, wenn keine Ökodesign-Anforderungen festgelegt werden.

(9) Minibars und Weinlagerschränke mit Verkaufsfunktion sollten nicht als Kühlgeräte mit Direktverkaufsfunktion angesehen und daher von dieser Verordnung ausgenommen werden; sie fallen in den Anwendungsbereich der Verordnung (EU) der Kommission 4.

(10) Vertikale Kühlmöbel mit statischer Kühlung sind in der Verordnung (EU) 2015/1095 der Kommission 5 definierte gewerbliche Kühlgeräte und sollten daher von dieser Verordnung ausgenommen werden.

(11) Diese Verordnung gilt für Produkte mit unterschiedlichen technischen Merkmalen und Funktionen. Aus diesem Grund werden die Energieeffizienzanforderungen in Abhängigkeit von den Funktionen der Geräte festgelegt. Bei diesem funktionsbasierten Ansatz wird eine Mindestgliederung von Kühlgeräten mit Direktverkaufsfunktion in Kategorien vorgeschlagen, um den Märkten deutlich zu machen, welche der Kühlgeräte mit Direktverkaufsfunktion innerhalb einer Kategorie von Geräten, die dieselbe Funktion erfüllen, eine höhere/geringere Energieeffizienz aufweisen. Für ineffiziente Kühlgeräte mit Direktverkaufsfunktion wird es damit schwieriger, eine bestimmte Energieeffizienzklasse zu erreichen oder möglicherweise überhaupt die Mindestanforderungen an die Energieeffizienz zu erfüllen.

(12) In der Mitteilung der Kommission an das Europäische Parlament, den Rat, den Europäischen Wirtschafts- und Sozialausschuss und den Ausschuss der Regionen COM(2015) 614 final 6 (Aktionsplan für die Kreislaufwirtschaft) und im Ökodesign-Arbeitsplan wird hervorgehoben, dass der Ökodesign-Rahmen zur Unterstützung des Übergangs zu einer ressourceneffizienteren Kreislaufwirtschaft genutzt werden sollte. In der Richtlinie 2012/19/EU des Europäischen Parlaments und des Rates 7 wird auf die Richtlinie 2009/125/EG verwiesen und betont, dass Ökodesign-Anforderungen die Wiederverwendung, die Demontage und die Verwertung von Elektro- und Elektronik-Altgeräten erleichtern sollten, indem diese Umweltaspekte bereits in einer früheren Phase der Produktlebensdauer berücksichtigt werden. In dieser Verordnung sollten daher entsprechende Anforderungen festgelegt werden.

(13) Die relevanten Produktparameter sollten mithilfe zuverlässiger, genauer und reproduzierbarer Methoden gemessen werden. Diese Methoden sollten dem anerkannten Stand der Messtechnik sowie gegebenenfalls harmonisierten Normen Rechnung tragen, die von den in Anhang I der Verordnung (EU) Nr. 1025/2012 des Europäischen Parlaments und des Rates 8 genannten europäischen Normungsgremien erlassen wurden.

(14) Nach Artikel 8 der Richtlinie 2009/125/EG sollte in dieser Verordnung festgelegt werden, welche Konformitätsbewertungsverfahren anzuwenden sind.

(15) Zur Erleichterung der Konformitätsprüfungen sollten die Hersteller, Importeure oder Bevollmächtigten in der technischen Dokumentation gemäß den Anhängen IV und V der Richtlinie 2009/125/EG Angaben in Bezug auf die einschlägigen Anforderungen dieser Verordnung machen.

(16) Für Marktaufsichtszwecke sollte es den Herstellern gestattet sein, auf die Produktdatenbank Bezug zu nehmen, sofern die technische Dokumentation gemäß der Delegierten Verordnung (EU) der Kommission 9 dieselben Informationen enthält.

(17) Um die Wirksamkeit dieser Verordnung zu verbessern und die Verbraucher zu schützen, sollten Produkte verboten werden, die ihre Leistungsmerkmale unter Prüfbedingungen automatisch verändern, um bessere Parameterwerte zu erzielen.

(18) Neben den rechtlich bindenden Anforderungen sollten in dieser Verordnung gemäß Anhang I Teil 3 Nummer 2 der Richtlinie 2009/125/EG Referenzwerte für die besten verfügbaren Technologien aufgeführt werden, um sicherzustellen, dass Informationen über die Umweltverträglichkeit der unter diese Verordnung fallenden Produkte hinsichtlich ihres gesamten Lebenszyklus allgemein verfügbar und leicht zugänglich sind.

(19) Bei einer Überprüfung dieser Verordnung sollten die Eignung und Wirksamkeit ihrer Bestimmungen im Hinblick auf die angestrebten Ziele bewertet werden. Die Überprüfung sollte zu einem Zeitpunkt stattfinden, zu dem alle Bestimmungen umgesetzt sind.

(20) Die in dieser Verordnung vorgesehenen Maßnahmen entsprechen der Stellungnahme des nach Artikel 19 Absatz 1 der Richtlinie 2009/125/EG eingesetzten Ausschusses

- hat folgende Verordnung erlassen:

Artikel 1 Gegenstand und Anwendungsbereich

(1) Mit dieser Verordnung werden Ökodesign-Anforderungen für das Inverkehrbringen und die Inbetriebnahme netzbetriebener Kühlgeräte mit Direktverkaufsfunktion festgelegt, einschließlich Geräten, die für die Kühlung anderer Kühlgüter als Lebensmittel zum Verkauf angeboten werden.

(2) Diese Verordnung gilt nicht für

  1. Kühlgeräte mit Direktverkaufsfunktion, die nicht mit Strom betrieben werden;
  2. getrennt aufgestellte Bauteile wie Verflüssigungssätze, Verdichter oder wassergekühlte Verflüssiger, an die ein nicht steckerfertiges Kühlmöbel angeschlossen werden muss, um betrieben zu werden;
  3. Lebensmittel verarbeitende Kühlgeräte mit Direktverkaufsfunktion;
  4. Kühlgeräte mit Direktverkaufsfunktion, die speziell für die Lagerung von Arzneimitteln oder wissenschaftlichen Proben geprüft und zugelassen sind;
  5. Kühlgeräte mit Direktverkaufsfunktion, die über kein eingebautes Kühlsystem verfügen und durch Zuleitung gekühlter Luft betrieben werden, die in einer externen Kühlanlage produziert wird; hiervon ausgenommen sind nicht steckerfertige Kühlmöbel und gekühlte Verkaufsautomaten der Kategorie 6 gemäß Anhang III Tabelle 5;
  6. gewerbliche Kühllagerschränke, Schnellkühler/-froster, Verflüssigungssätze und Prozesskühler im Sinne der Verordnung (EU) 2015/1095;
  7. Weinlagerschränke und Minibars.

(3) Die Anforderungen in Anhang II Nummer 1 und Nummer 3 Buchstabe k gelten nicht für

  1. Kühlgeräte mit Direktverkaufsfunktion, die keinen Dampfkompressionskältekreislauf nutzen;
  2. Kühlgeräte mit Direktverkaufsfunktion für den Verkauf und die Präsentation lebender Lebensmittel, z.B. Kühlgeräte für den Verkauf und die Präsentation lebender Fischen und Schalentiere, gekühlte Aquarien und Wasserbehälter;
  3. Saladetten;
  4. horizontale Bedienungstheken mit eingebautem Vorratsfach, die für den Betrieb bei Kühlbetriebstemperaturen ausgelegt sind;
  5. Eckkühlmöbel;
  6. Verkaufsautomaten, die für den Betrieb bei Gefrierbetriebstemperaturen ausgelegt sind;
  7. Fischbedienungstheken mit Scherbeneis.

Artikel 2 Begriffsbestimmungen

Für die Zwecke dieser Verordnung gelten folgende Begriffsbestimmungen:

  1. "Kühlgerät mit Direktverkaufsfunktion" bezeichnet ein isoliertes Kühlmöbel mit einem oder mehreren auf bestimmte Temperaturen geregelten Fächern, das durch natürliche oder erzwungene Konvektion mittels eines oder mehrerer energieverbrauchender Verfahren gekühlt wird und dazu dient, Kunden Lebensmittel und andere Waren, die eine bestimmte Temperatur unterhalb der Umgebungstemperatur aufweisen und direkt über offene Seiten oder über eine oder mehrere Türen oder Schubladen oder über beides zugänglich sind, zu präsentieren und mit oder ohne Bedienung zu verkaufen, einschließlich Kühlgeräten mit Direktverkaufsfunktion mit Bereichen für die Lagerung von Lebensmitteln und anderen Waren, die den Kunden nicht zugänglich sind, mit Ausnahme von Minibars und Weinlagerschränken;
  2. "Lebensmittel" bezeichnet Nahrungsmittel, Zutaten und Getränke einschließlich Wein sowie andere hauptsächlich für den Verzehr bestimmte Dinge, die einer Kühlung bei bestimmten Temperaturen bedürfen;
  3. "Verflüssigungssatz" bezeichnet gemäß der Verordnung (EU) 2015/1095 ein Produkt, in dem wenigstens ein elektrisch angetriebener Verdichter und ein Verflüssiger eingebaut sind und das in der Lage ist, den Innenraum eines gekühlten Geräts oder einer gekühlten Anlage abzukühlen und darin ständig eine niedrige oder mittlere Temperatur aufrechtzuerhalten, und zwar - nach Anschluss an einen Verdampfer und eine Ausdehnungsvorrichtung - unter Nutzung eines Dampfkompressionskältekreislaufes;
  4. "nicht steckerfertiges Kühlmöbel" bezeichnet ein Kühlgerät mit Direktverkaufsfunktion, das aus einer werkseitig montierten Baugruppe besteht, die für den Betrieb als Kühlgerät mit Direktverkaufsfunktion zusätzlich an getrennt aufgestellte Bauteile (Verflüssigungssatz und/oder Verdichter und/oder wassergekühlter Verflüssiger), die keine integralen Bestandteile des Kühlmöbels sind, angeschlossen werden muss;
  5. "Lebensmittel verarbeitendes Kühlgerät mit Direktverkaufsfunktion" bezeichnet ein Kühlgerät mit Direktverkaufsfunktion, das speziell für die Lebensmittelverarbeitung geprüft und zugelassen ist, wie Speiseeismaschinen oder gekühlte Verkaufsautomaten mit integriertem Mikrowellengerät oder Eisbereiter; hiervon ausgenommen sind Kühlgeräte mit Direktverkaufsfunktion, die ein speziell für die Lebensmittelverarbeitung ausgelegtes Fach enthalten, auf das weniger als 20 % des Nettorauminhalts des Kühlgeräts entfallen;
  6. "Nettorauminhalt" bezeichnet den in Kubikdezimetern (dm3) oder Litern (l) angegebenen Teil des Bruttorauminhalts eines Fachs, der nach Abzug des Rauminhalts von Bauteilen und Räumen, die nicht zur Lagerung oder Präsentation von Lebensmitteln und anderen Waren genutzt werden können, verbleibt;
  7. "Bruttorauminhalt" bezeichnet das in Kubikdezimetern (dm3) oder Litern (l) angegebene Volumen innerhalb der Innenauskleidung eines Fachs ohne Innenausstattung bei geschlossener Tür oder geschlossenem Deckel;
  8. "speziell geprüft und zugelassen" bedeutet, dass das Produkt alle folgenden Anforderungen erfüllt:
    1. es wurde im Einklang mit den genannten Rechtsvorschriften der Union oder damit verbundenen Rechtsakten, relevanten Rechtsvorschriften der Mitgliedstaaten und/oder relevanten europäischen oder internationalen Normen speziell für die genannte Betriebsbedingung oder Anwendung ausgelegt und geprüft;
    2. es weist in seiner technischen Dokumentation einen Nachweis in Form einer Bescheinigung, eines Typgenehmigungszeichens oder eines Prüfberichts auf, dass das Produkt speziell für die genannte Betriebsbedingung oder Anwendung zugelassen wurde;
    3. es wurde speziell für die genannte Betriebsbedingung oder Anwendung in Verkehr gebracht, was zumindest durch die technische Dokumentation, die Angaben zum Produkt und etwaiges Werbe-, Informations- oder Marketingmaterial nachgewiesen werden muss;
  9. "Weinlagerschrank" bezeichnet gemäß der Verordnung (EU) ein Kühlgerät mit nur einem für die Lagerung von Wein bestimmten Fachtyp, das über eine Präzisionstemperaturregelung für die Lagerbedingungen und die Zieltemperatur sowie über Vibrationsschutzmaßnahmen verfügt;
  10. "Fach" bezeichnet einen geschlossenen, von anderen Fächern durch eine Trennwand, einen Behälter oder eine ähnliche Vorrichtung abgetrennten Raum innerhalb eines Kühlgeräts mit Direktverkaufsfunktion, der durch eine oder mehrere Außentüren direkt zugänglich ist und selbst wiederum in Unterfächer unterteilt sein kann. Sofern nichts anderes angegeben ist, umfasst der Begriff "Fach" für die Zwecke dieser Verordnung sowohl Fächer als auch Unterfächer;
  11. "Außentür" bezeichnet den Teil eines Kühlgeräts mit Direktverkaufsfunktion, der bewegt oder entfernt werden kann, um mindestens die Ladung in das Kühlgerät mit Direktverkaufsfunktion hinein oder aus ihm heraus zu befördern;
  12. "Unterfach" bezeichnet einen geschlossenen Raum innerhalb eines Fachs, der einen anderen Betriebstemperaturbereich aufweist als das Fach, in dem er sich befindet;
  13. "Minibar" bezeichnet gemäß der Verordnung (EU) ein Kühlgerät mit einem Gesamtrauminhalt von höchstens 60 Litern, das hauptsächlich für die Lagerung und den Verkauf von Lebensmitteln in Hotelzimmern und ähnlichen Räumen bestimmt ist;
  14. "gekühlter Trommelverkaufsautomat" bezeichnet einen gekühlten Verkaufsautomaten mit Drehtrommeln, die jeweils in Abteile unterteilt sind, in denen die Lebensmittel und anderen Waren auf einer horizontalen Oberfläche platziert sind und über einzelne Ausgabetüren entnommen werden;
  15. "gekühlter Verkaufsautomat" bezeichnet ein Kühlgerät mit Direktverkaufsfunktion, das dafür ausgelegt ist, gegen Bezahlung und ohne Serviceeinsatz gekühlte Lebensmittel oder andere Waren auszugeben;
  16. "Saladette" bezeichnet ein Kühlgerät mit Direktverkaufsfunktion, das in der vertikalen Ebene über eine oder mehrere Türen oder Schubladenfronten sowie auf der Oberseite über Aussparungen verfügt, in die Behälter zur vorübergehenden Lagerung eingesetzt werden können, um Lebensmittel wie Pizzabeläge oder Salate leicht zugänglich zu lagern;
  17. "horizontale Bedienungstheke mit eingebautem Vorratsfach" bezeichnet ein horizontales Kühlmöbel für den Verkauf mit Bedienung, das ein gekühltes Vorratsfach von mindestens 100 Litern (l) je Meter (m) Länge enthält, das sich in der Regel auf dem Sockel der Bedienungstheke befindet;
  18. "horizontales Kühlmöbel" bezeichnet ein Kühlgerät mit Direktverkaufsfunktion, das über einen horizontalen, auf der Oberseite des Geräts zu öffnenden und von oben zugänglichen Auslagenbereich verfügt;
  19. "Kühlbetriebstemperatur" bezeichnet bei Geräten, die zur Einsparung von Energie mit Energiemanagementsystemen ausgestattet sind, eine Temperatur zwischen -3,5 Grad Celsius (°C) und 15 (°C) und bei Geräten ohne Energiemanagementsystem eine Temperatur zwischen -3,5 °C und 10 °C;
  20. "Betriebstemperatur" bezeichnet die Bezugstemperatur im Inneren eines Fachs während der Prüfung;
  21. "Eckkühlmöbel" bezeichnet ein Kühlgerät mit Direktverkaufsfunktion, das dazu dient, die geometrische Kontinuität zwischen zwei geraden Kühlmöbeln herzustellen, die in einem Winkel zueinander angeordnet sind und/oder eine Kurve bilden. Ein Eckkühlmöbel hat keine erkennbare Längsachse oder Länge, da es nur aus einer Füllform (Keil oder Ähnlichem) besteht und nicht dafür ausgelegt ist, als eigenständige Kühleinheit betrieben zu werden. Die beiden Seiten des Eckschranks bilden einen Winkel zwischen 30° und 90°;
  22. "Gefrierbetriebstemperatur" bezeichnet eine Temperatur unterhalb von -12 Grad Celsius (°C);
  23. "Fischbedienungstheke mit Scherbeneis" bezeichnet ein Kühlmöbel für den horizontalen Verkauf mit Bedienung, das speziell für die Präsentation frischer Fische ausgelegt ist und vermarktet wird. Auf der Oberseite verfügt es charakteristischerweise über ein Eisbett mit Scherbeneis, mit dem die Temperatur der präsentierten frischen Fische aufrechterhalten wird, sowie über einen eingebauten Abfluss;
  24. "gleichwertiges Modell" bezeichnet ein Modell, das mit Blick auf die bereitzustellenden technischen Informationen dieselben technischen Merkmale aufweist, aber von demselben Hersteller, Importeur oder Bevollmächtigten als gesondertes Modell mit einer anderen Modellkennung in Verkehr gebracht oder in Betrieb genommen wird;
  25. "Modellkennung" bezeichnet den üblicherweise alphanumerischen Code, der ein bestimmtes Produktmodell von anderen Modellen mit der gleichen Handelsmarke oder demselben Hersteller-, Importeur- oder Bevollmächtigtennamen unterscheidet;
  26. "Produktdatenbank" bezeichnet eine Sammlung systematisch angeordneter Daten zu Produkten gemäß der Verordnung (EU) 2017/1369 des Europäischen Parlaments und des Rates 10, bestehend aus einem öffentlichen Teil, der sich an Verbraucher richtet und in dem Informationen zu einzelnen Produktparametern elektronisch zugänglich sind, einem Online-Portal für die Zugänglichkeit sowie einem Konformitätsteil, mit eindeutig festgelegten Zugänglichkeits- und Sicherheitsanforderungen;
  27. "Getränkekühler" bezeichnet ein Kühlgerät mit Direktverkaufsfunktion, das dafür ausgelegt ist, abgepackte, haltbare und bei Umgebungstemperatur in das Kühlgerät eingebrachte Getränke, ausgenommen Wein, für den Verkauf bei bestimmten Temperaturen unterhalb der Umgebungstemperatur in einer bestimmten Geschwindigkeit zu kühlen. Ein Getränkekühler ermöglicht den Zugang zu diesen Getränken direkt über offene Seiten oder über eine oder mehrere Türen, Schubladen oder beides. Da es sich um haltbare Getränke handelt, darf die Temperatur im Inneren des Getränkekühlers, wenn keine Nachfrage besteht, ansteigen, um Energieeinsparungen zu ermöglichen;
  28. "Energieeffizienzindex" (EEI) bezeichnet eine Indexzahl für die relative Energieeffizienz eines Kühlgeräts mit Direktverkaufsfunktion in Prozent, berechnet gemäß Anhang III Nummer 2.

Zusätzliche Begriffsbestimmungen für die Zwecke der Anhänge sind in Anhang I aufgeführt.

Artikel 3 Ökodesign-Anforderungen

Die Ökodesign-Anforderungen des Anhangs II gelten ab den dort genannten Zeitpunkten.

Artikel 4 Konformitätsbewertung

(1) Das in Artikel 8 der Richtlinie 2009/125/EG genannte Verfahren zur Konformitätsbewertung ist das in Anhang IV der Richtlinie beschriebene interne Entwurfskontrollsystem oder das in Anhang V der Richtlinie beschriebene Managementsystem.

(2) Zur Konformitätsbewertung gemäß Artikel 8 der Richtlinie 2009/125/EG muss die technische Dokumentation eine Kopie der gemäß Anhang II Nummer 3 bereitgestellten Produktinformationen sowie die Einzelheiten und Ergebnisse der Berechnungen gemäß Anhang III dieser Verordnung enthalten.

(3) Wurden die in der technischen Dokumentation enthaltenen Angaben für ein bestimmtes Modell

  1. anhand eines Modells ermittelt, das in Bezug auf die relevanten bereitzustellenden Informationen dieselben technischen Merkmale aufweist, aber von einem anderen Hersteller hergestellt wird, oder
  2. durch Berechnung anhand der Bauart oder durch Extrapolation auf der Grundlage der Werte eines anderen Modells des gleichen oder eines anderen Herstellers oder beides,

so werden in der technischen Dokumentation die Einzelheiten dieser Berechnung, die vom Hersteller vorgenommene Bewertung der Genauigkeit der Berechnung und gegebenenfalls die Erklärung zur Gleichwertigkeit der Modelle verschiedener Hersteller aufgeführt.

Die technische Dokumentation muss eine Liste aller gleichwertigen Modelle einschließlich der Modellkennungen umfassen.

(4) Die technische Dokumentation muss die Informationen gemäß der Verordnung (EU) 2019/2018 in der dort angegebenen Reihenfolge enthalten. Für Marktaufsichtszwecke können die Hersteller, Importeure oder Bevollmächtigten außer für die in Artikel 1 Absatz 3 genannten Produkte und unbeschadet des Anhangs IV Nummer 2 Buchstabe g der Richtlinie 2009/125/EG auf die in die Produktdatenbank hochgeladene technische Dokumentation verweisen, die gemäß der Verordnung (EU) dieselben Informationen enthält.

Artikel 5 Nachprüfungsverfahren zur Marktaufsicht

Bei der Durchführung der in Artikel 3 Absatz 2 der Richtlinie 2009/125/EG genannten Marktaufsichtsprüfungen wenden die Mitgliedstaaten das Nachprüfungsverfahren gemäß Anhang IV an.

Artikel 6 Umgehung und Software-Aktualisierungen

Der Hersteller, Importeur oder Bevollmächtigte darf keine Produkte in Verkehr bringen, die so gestaltet sind, dass sie erkennen können, dass sie geprüft werden (z.B. durch Erkennung der Prüfbedingungen oder des Prüfzyklus), und dass sie während der Prüfung automatisch durch eine gezielte Änderung ihrer Leistungsmerkmale reagieren, um einen günstigeren Wert in Bezug auf einen der Parameter zu erzielen, die vom Hersteller, Importeur oder Bevollmächtigten in der technischen Dokumentation angegeben oder in die beigefügte Dokumentation aufgenommen werden.

Nach einer Software- oder Firmware-Aktualisierung dürfen sich der Energieverbrauch des Produkts und alle anderen angegebenen Parameter, die nach der ursprünglich für die Konformitätserklärung verwendeten Prüfnorm gemessen werden, nicht verschlechtern, außer wenn der Endnutzer vor der Aktualisierung seine ausdrückliche Zustimmung gibt. Bei Ablehnung der Aktualisierung dürfen sich die Leistungsmerkmale nicht ändern.

Eine Software-Aktualisierung darf niemals bewirken, dass sich die Leistungsmerkmale des Produkts derart verändern, dass die für die Konformitätserklärung geltenden Ökodesign-Anforderungen nicht mehr eingehalten werden.

Artikel 7 Referenzwerte

Die Werte der effizientesten Produkte und Techniken, die zum Zeitpunkt der Verabschiedung dieser Verordnung auf dem Markt sind, sind als Referenzwerte in Anhang V aufgeführt.

Artikel 8 Überprüfung

Die Kommission überprüft diese Verordnung vor dem Hintergrund des technischen Fortschritts und legt dem Konsultationsforum die Ergebnisse dieser Überprüfung sowie gegebenenfalls den Entwurf eines Überarbeitungsvorschlags spätestens am 25. Dezember 2023 vor.

Bei dieser Überprüfung bewertet sie unter anderem

  1. die Strenge der Anforderungen bezüglich des Energieeffizienzindex;
  2. ob die EEI-Formel einschließlich der Modellierungsparameter und der Korrekturfaktoren geändert werden sollte;
  3. ob die Produktkategorien weiter unterteilt werden sollten;
  4. ob im Einklang mit den Zielen der Kreislaufwirtschaft zusätzliche Anforderungen in Bezug auf die Ressourceneffizienz festgelegt und unter anderem weitere Ersatzteile in den Anwendungsbereich einbezogen werden sollten;
  5. ob für Saladetten, horizontale Bedienungstheken mit eingebautem Vorratsfach für den Betrieb bei Kühlbetriebstemperaturen, Eckkühlmöbel, Verkaufsautomaten, die für den Betrieb bei Gefrierbetriebstemperaturen ausgelegt sind, und Fischbedienungstheken mit Scherbeneis Energieeffizienzanforderungen und zusätzliche Informationsanforderungen festgelegt werden sollten;
  6. ob das [Äquivalentvolumen] eines Getränkekühlers auf dem Nettorauminhalt anstatt auf dem Bruttorauminhalt beruhen sollte;
  7. ob für Kühlmöbel für Supermärkte eine EEI-Formel eingeführt werden sollte, die auf dem Nettorauminhalt anstatt auf der Warenpräsentationsfläche beruht;
  8. die Toleranzschwellen.

Artikel 9 Inkrafttreten und Geltungsbeginn

Diese Verordnung tritt am zwanzigsten Tag nach ihrer Veröffentlichung im Amtsblatt der Europäischen Union in Kraft.

Sie gilt ab dem 1. März 2021.

Diese Verordnung ist in allen ihren Teilen verbindlich und gilt unmittelbar in jedem Mitgliedstaat.

Brüssel, den 1. Oktober 2019

1) ABl. L 285 vom 31.10.2009 S. 10.

2) Mitteilung der Kommission, Ökodesign-Arbeitsprogramm 2016-2019, COM(2016) 773 final vom 30.11.2016.

3) Verordnung (EU) Nr. 517/2014 des Europäischen Parlaments und des Rates vom 16. April 2014 über fluorierte Treibhausgase und zur Aufhebung der Verordnung (EG) Nr. 842/2006 (ABl. L 150 vom 20.05.2014 S. 195).

4) Verordnung (EU) der Kommission vom 1. Oktober 2019 zur Festlegung von Ökodesign-Anforderungen an Kühlgeräte gemäß der Richtlinie 2009/125/EG des Europäischen Parlaments und des Rates und zur Aufhebung der Verordnung (EG) Nr. 643/2009 der Kommission (siehe Seite 187 dieses Amtsblatts).

5) Verordnung (EU) 2015/1095 der Kommission vom 5. Mai 2015 zur Durchführung der Richtlinie 2009/125/EG des Europäischen Parlaments und des Rates im Hinblick auf die Festlegung von Anforderungen an die umweltgerechte Gestaltung von gewerblichen Kühllagerschränken, Schnellkühlern/-frostern, Verflüssigungssätzen und Prozesskühlern (ABl. L 177 vom 08.07.2015 S. 19).

6) Mitteilung der Kommission an das Europäische Parlament, den Rat, den Europäischen Wirtschafts- und Sozialausschuss und den Ausschuss der Regionen: Den Kreislauf schließen - Ein Aktionsplan der EU für die Kreislaufwirtschaft, COM(2015) 614 final vom 02.12.2015.

7) Richtlinie 2012/19/EU des Europäischen Parlaments und des Rates vom 4. Juli 2012 über Elektro- und Elektronik-Altgeräte (ABl. L 197 vom 24.07.2012 S. 38).

8) Verordnung (EU) Nr. 1025/2012 des Europäischen Parlaments und des Rates vom 25. Oktober 2012 zur europäischen Normung, zur Änderung der Richtlinien 89/686/EWG und 93/15/EWG des Rates sowie der Richtlinien 94/9/EG, 94/25/EG, 95/16/EG, 97/23/EG, 98/34/EG, 2004/22/EG, 2007/23/EG, 2009/23/EG und 2009/105/EG des Europäischen Parlaments und des Rates und zur Aufhebung des Beschlusses 87/95/EWG des Rates und des Beschlusses Nr. 1673/2006/EG des Europäischen Parlaments und des Rates (ABl. L 316 vom 14.11.2012 S. 12).

9) Delegierte Verordnung (EU) der Kommission vom 11. März 2019 zur Ergänzung der Verordnung (EU) 2017/1369 des Europäischen Parlaments und des Rates im Hinblick auf die Energieverbrauchskennzeichnung von Kühlgeräten mit Direktverkaufsfunktion (siehe Seite 155 dieses Amtsblatts).

10) Verordnung (EU) 2017/1369 des Europäischen Parlaments und des Rates vom 4. Juli 2017 zur Festlegung eines Rahmens für die Energieverbrauchskennzeichnung und zur Aufhebung der Richtlinie 2010/30/EU (ABl. L 198 vom 28.07.2017 S. 1).

.

Begriffsbestimmungen für die Anhänge Anhang I

Es gelten folgende Begriffsbestimmungen:

  1. "Ersatzteil" bezeichnet ein separates Teil, das bei einem Produkt ein Teil mit derselben oder einer ähnlichen Funktion ersetzen kann;
  2. "fachlich kompetenter Reparateur" bezeichnet eine Person oder ein Unternehmen, die bzw. das fachgerechte Reparatur- und Wartungsdienstleistungen für Kühlgeräte mit Direktverkaufsfunktion erbringt;
  3. "Türdichtung" bezeichnet eine mechanische Abdichtung, die den Raum zwischen der Tür und dem Gehäuse des Kühlgeräts mit Direktverkaufsfunktion verschließt, um zu verhindern, dass aus dem Gehäuse Luft ausdringt;
  4. "Vakuumisolierpaneel" (VIP) bezeichnet eine aus einem festen, hochporösen Material bestehende Isolierplatte, die von einer dünnen, gasdichten Hülle umgeben ist, aus der die vorhandenen Gase abgesaugt werden und die dann abgedichtet wird, damit von außen keine Gase in das Paneel eindringen können;
  5. "Speiseeis-Gefriermaschine" bezeichnet ein horizontales Kühlmöbel, das zur Lagerung und/oder zur Präsentation und zum Verkauf von vorverpacktem Speiseeis bestimmt ist, bei dem der Zugriff des Verbrauchers auf das vorverpackte Speiseeis durch Öffnen eines nicht durchsichtigen oder durchsichtigen Deckels von oben erfolgt und das einen Nettorauminhalt von< 600 Litern (l) aufweist, wobei - nur im Fall von Speiseeis-Gefriermaschinen mit durchsichtigem Deckel - das Verhältnis Nettorauminhalt/Warenpräsentationsfläche> 0,35 Meter (m) beträgt;
  6. "durchsichtiger Deckel" bezeichnet eine Tür aus einem durchsichtigen Material, das mindestens 75 % der Türoberfläche einnimmt und es dem Endnutzer ermöglicht, Waren durch die Tür hindurch zu sehen;
  7. "Warenpräsentationsfläche" bezeichnet die gesamte sichtbare Fläche zur Präsentation von Lebensmitteln und anderen Waren, einschließlich der durch eine Verglasung hindurch sichtbaren Fläche, definiert durch die Summe der horizontalen und vertikalen Projektionsflächen des Nettorauminhalts, ausgedrückt in Quadratmetern (m2);
  8. "Garantie" bezeichnet jede dem Verbraucher gegenüber eingegangene Verpflichtung des Einzelhändlers oder eines Herstellers, Importeurs oder Bevollmächtigten,
    1. den Kaufpreis zu erstatten oder
    2. Kühlgeräte mit Direktverkaufsfunktion zu ersetzen, zu reparieren oder in irgendeiner Form zu bearbeiten, falls sie nicht die in der Garantieerklärung oder der einschlägigen Werbung aufgeführten Eigenschaften aufweisen;
  9. "Verkaufskühlmöbel für Speiseeis" bezeichnet ein Kühlgerät mit Direktverkaufsfunktion, in dem Speiseeis innerhalb vorgeschriebener Temperaturgrenzen gemäß Anhang III Tabelle 5 gelagert, präsentiert und entnommen werden kann;
  10. "jährlicher Energieverbrauch" (annual energy consumption, AE) bezeichnet den durchschnittlichen täglichen Energieverbrauch, multipliziert mit 365 (Tagen im Jahr), ausgedrückt in Kilowattstunden pro Jahr (kWh/a) und berechnet gemäß Anhang III Nummer 2 Buchstabe b;
  11. "täglicher Energieverbrauch" (daily energy consumption, Edaily) bezeichnet den Energieverbrauch eines Kühlgeräts mit Direktverkaufsfunktion bei Referenzbedingungen über einen Zeitraum von 24 Stunden, ausgedrückt in Kilowattstunden pro Tag (kWh/24h);
  12. "standardmäßiger jährlicher Energieverbrauch" (standard annual energy consumption, SAE) bezeichnet den jährlichen Bezugsenergieverbrauch eines Kühlgeräts mit Direktverkaufsfunktion, ausgedrückt in Kilowattstunden pro Jahr (kWh/a) und berechnet gemäß Anhang III Nummer 2 Buchstabe c;
  13. "M" und "N" bezeichnen Modellierungsparameter, mit denen die Warenpräsentationsfläche oder die Volumenabhängigkeit des Energieverbrauchs berücksichtigt werden, mit den in Anhang III Tabelle 4 angegebenen Werten;
  14. "Temperaturkoeffizient" (C) bezeichnet einen Korrekturfaktor, mit dem Unterschiede bei der Betriebstemperatur berücksichtigt werden;
  15. "Faktor für die Klimaklasse" (CC) bezeichnet einen Korrekturfaktor, mit dem Unterschiede bei den Umgebungsbedingungen berücksichtigt werden, für die das Kühlgerät ausgelegt ist;
  16. "P" bezeichnet einen Korrekturfaktor, mit dem die Unterschiede zwischen steckerfertigen und nicht steckerfertigen Kühlmöbeln berücksichtigt werden;
  17. "steckerfertiges Kühlmöbel" bezeichnet ein Kühlgerät mit Direktverkaufsfunktion, das über ein eingebautes Kühlsystem mit einem Verdichter und einem Verflüssigungssatz verfügt;
  18. "Kühlschrank" bezeichnet ein Kühlgerät mit Direktverkaufsfunktion, das die im Gerät gelagerten Waren ständig auf Kühlbetriebstemperatur hält;
  19. "Gefrierschrank" bezeichnet ein Kühlgerät mit Direktverkaufsfunktion, das die im Gerät gelagerten Waren ständig auf Gefrierbetriebstemperatur hält;
  20. "vertikales Kühlmöbel" bezeichnet ein Kühlgerät mit Direktverkaufsfunktion, das eine vertikale oder eine geneigte Auslagenöffnung aufweist;
  21. "kombiniertes Kühlmöbel" bezeichnet ein Kühlgerät mit Direktverkaufsfunktion, bei dem Auslagen- und Öffnungsrichtungen eines vertikalen und eines horizontalen Kühlmöbels kombiniert werden;
  22. "Kühlmöbel für Supermärkte" bezeichnet ein Kühlgerät mit Direktverkaufsfunktion, das für den Verkauf und die Präsentation von Lebensmitteln und anderen Waren im Einzelhandel, z.B. in Supermärkten, bestimmt ist. Getränkekühler, gekühlte Verkaufsautomaten, Verkaufskühlmöbel für Speiseeis und Speiseeis-Gefriermaschinen gelten nicht als Kühlmöbel für Supermärkte;
  23. "Containerregal" bezeichnet ein Kühlmöbel für Supermärkte, das die Möglichkeit bietet, Waren direkt auf Paletten oder Rollen zu präsentieren, die durch Heben, Schwenken oder Abnehmen des unteren vorderen Teils, falls vorhanden, in das Kühlmöbel hineingeschoben werden können;
  24. "M-Paket" bezeichnet ein Prüfpaket, das mit einer Temperaturmesseinrichtung ausgestattet ist;
  25. "Verkaufsautomat für verschiedene Temperaturen" bezeichnet einen gekühlten Verkaufsautomaten, der mindestens zwei Fächer mit unterschiedlichen Betriebstemperaturen enthält.

.

Ökodesign-Anforderungen Anhang II

1. Energieeffizienzanforderungen:

a) Ab dem 1. März 2021 darf der EEI von Kühlgeräten mit Direktverkaufsfunktion die in Tabelle 1 angegebenen Werte nicht überschreiten.

Tabelle 1 Maximaler EEI für Kühlgeräte mit Direktverkaufsfunktion in %

EEI
Speiseeis-Gefriermaschinen 80
Alle anderen Kühlgeräte mit Direktverkaufsfunktion 100

b) Ab dem 1. September 2023 darf der EEI von Kühlgeräten mit Direktverkaufsfunktion, ausgenommen gekühlte Trommelverkaufsautomaten, die in Tabelle 2 angegebenen Werte nicht überschreiten.

Tabelle 2 Maximaler EEI für Kühlgeräte mit Direktverkaufsfunktion in %

EEI
Speiseeis-Gefriermaschinen 50
Alle anderen Kühlgeräte mit Direktverkaufsfunktion, ausgenommen gekühlte Trommelverkaufsautomaten 80

2. Ressourceneffizienzanforderungen

Ab dem 1. März 2021 müssen Kühlgeräte mit Direktverkaufsfunktion folgende Anforderungen erfüllen:

a) Verfügbarkeit von Ersatzteilen

(1) Die Hersteller, Importeure oder Bevollmächtigten der Hersteller von Kühlgeräten mit Direktverkaufsfunktion müssen fachlich kompetenten Reparateuren mindestens folgende Ersatzteile zur Verfügung stellen:

und zwar für einen Zeitraum von mindestens acht Jahren nach dem Inverkehrbringen des letzten Exemplars des Modells.

(2) Die Hersteller, Importeure oder Bevollmächtigten der Hersteller von Kühlgeräten mit Direktverkaufsfunktion müssen fachlich kompetenten Reparateuren und Endnutzern mindestens folgende Ersatzteile zur Verfügung stellen:

und zwar für einen Zeitraum von mindestens acht Jahren nach dem Inverkehrbringen des letzten Exemplars des Modells.

(3) Die Hersteller, Importeure oder Bevollmächtigten der Hersteller von Kühlgeräten mit Direktverkaufsfunktion müssen sicherstellen, dass die in den Absätzen 1 und 2 genannten Ersatzteile mit allgemein verfügbaren Werkzeugen und ohne dauerhafte Beschädigung am Gerät ausgewechselt werden können.

(4) Die Liste der in Absatz 1 genannten Ersatzteile und das Verfahren für die Bestellung dieser Ersatzteile müssen spätestens zwei Jahre nach dem Inverkehrbringen des ersten Exemplars eines Modells sowie bis zum Ende des Verfügbarkeitszeitraums dieser Ersatzteile auf der frei zugänglichen Website des Herstellers, Importeurs oder Bevollmächtigten öffentlich verfügbar sein.

(5) Die Liste der in Absatz 2 genannten Ersatzteile, das Verfahren für die Bestellung dieser Ersatzteile sowie die Reparaturanleitungen müssen zum Zeitpunkt des Inverkehrbringens des ersten Exemplars eines Modells sowie bis zum Ende des Verfügbarkeitszeitraums dieser Ersatzteile auf der frei zugänglichen Website des Herstellers, Importeurs oder Bevollmächtigten öffentlich verfügbar sein.

b) Höchstlieferzeiten von Ersatzteilen

Während des unter Buchstabe a genannten Zeitraums muss der Hersteller, Importeur oder Bevollmächtigte sicherstellen, dass die Ersatzteile für Kühlgeräte mit Direktverkaufsfunktion innerhalb von 15 Arbeitstagen nach Bestellungseingang geliefert werden.

Bei den unter Buchstabe a Absatz 1 genannten Ersatzteilen kann diese Verfügbarkeit auf fachlich kompetente Reparateure beschränkt werden, die gemäß Buchstabe c Nummern 1 und 2 registriert sind.

c) Zugang zu Reparatur- und Wartungsinformationen

Zwei Jahre nach dem Inverkehrbringen des ersten Exemplars eines Modells oder eines gleichwertigen Modells und bis zum Ende des unter Buchstabe a genannten Zeitraums stellt der Hersteller, Importeur oder Bevollmächtigte fachlich kompetenten Reparateuren gerätespezifische Reparatur- und Wartungsinformationen zu folgenden Bedingungen bereit:

(1) Die Website des Herstellers, Importeurs oder Bevollmächtigten muss Auskunft darüber geben, wie sich fachlich kompetente Reparateure registrieren lassen können, um Zugang zu Informationen zu erhalten; bevor sie dem Registrierungsantrag stattgeben, können die Hersteller, Importeure oder Bevollmächtigten vom fachlich kompetenten Reparateur den Nachweis verlangen,

  1. dass er über die fachliche Kompetenz zur Reparatur von Kühlgeräten mit Direktverkaufsfunktion verfügt und die Vorschriften einhält, die in den Mitgliedstaaten, in denen er tätig ist, für Reparateure elektrischer Geräte gelten. Als Nachweis für die Erfüllung dieser Anforderung wird der Verweis auf ein amtliches Registrierungssystem für fachlich kompetente Reparateure akzeptiert, falls ein solches in den betreffenden Mitgliedstaaten besteht;
  2. dass für den fachlich kompetenten Reparateur ein Versicherungsschutz besteht, der die Haftung im Zusammenhang mit seiner Tätigkeit abdeckt, auch wenn dies in dem Mitgliedstaat nicht verlangt wird;

(2) die Hersteller, Importeure oder Bevollmächtigten müssen die Registrierung innerhalb von fünf Arbeitstagen ab dem Antragstag zulassen oder verweigern;

(3) für den Zugang zu Reparatur- und Wartungsinformationen oder die Bereitstellung regelmäßiger Aktualisierungen dürfen die Hersteller, Importeure oder Bevollmächtigten angemessene und verhältnismäßige Gebühren verlangen. Eine Gebühr ist angemessen, wenn sie keine abschreckende Wirkung hat, da berücksichtigt wird, in welchem Umfang der fachlich kompetente Reparateur die bereitgestellten Informationen nutzt.

Registrierte fachlich kompetente Reparateure müssen innerhalb eines Arbeitstags nach ihrer Anfrage Zugang zu den angeforderten Reparatur- und Wartungsinformationen erhalten. Die Informationen können auch für ein gleichwertiges Modell oder gegebenenfalls ein Modell derselben Produktfamilie bereitgestellt werden.

Es sind unter anderem folgende Reparatur- und Wartungsinformationen bereitzustellen:

d) Anforderungen für die Demontage zur stofflichen Verwertung und zum Recycling bei gleichzeitiger Vermeidung von Umweltbelastungen

(1) Die Hersteller, Importeure oder Bevollmächtigten müssen hinsichtlich der Gestaltung der Kühlgeräte mit Direktverkaufsfunktion sicherstellen, dass die in Anhang VII der Richtlinie 2012/19/EU genannten Werkstoffe und Bauteile mit allgemein verfügbaren Werkzeugen entfernt werden können.

(2) Die Hersteller, Importeure und Bevollmächtigte müssen den in Artikel 15 Absatz 1 der Richtlinie 2012/19/EU genannten Verpflichtungen nachkommen.

(3) Enthält das Kühlgerät mit Direktverkaufsfunktion Vakuumisolierpaneele, muss das Kühlgerät mit Direktverkaufsfunktion mit den Buchstaben "VIP" gekennzeichnet werden.

3. Informationsanforderungen:

Ab dem 1. März 2021 müssen die Handbücher für Installateure und Endnutzer sowie die frei zugänglichen Websites der Hersteller, Importeure und Bevollmächtigten folgende Angaben in der nachstehenden Reihenfolge enthalten:

  1. die für jedes Fach empfohlenen Temperatureinstellungen, um eine optimale Aufbewahrung der Lebensmittel zu gewährleisten;
  2. eine Einschätzung, welchen Einfluss die Temperatureinstellungen auf das Anfallen von Lebensmittelabfällen haben;
  3. für Getränkekühler: "Dieses Gerät ist für den Betrieb bei einer Umgebungstemperatur von höchstens [bitte die entsprechende Höchsttemperatur für den Getränkekühler gemäß Tabelle 7 angeben] und einer Feuchtigkeit von [bitte die entsprechende relative Feuchtigkeit für den Getränkekühler gemäß Tabelle 7 angeben] bestimmt."
  4. für Speiseeis-Gefriermaschinen: "Dieses Gerät ist für den Betrieb bei Umgebungstemperaturen von [bitte die entsprechende Mindesttemperatur gemäß Tabelle 9 angeben] bis [bitte die entsprechende Höchsttemperatur gemäß Tabelle 9 angeben] und einer Feuchtigkeit von [bitte die entsprechende minimale relative Feuchtigkeit gemäß Tabelle 9 angeben] bis [bitte die entsprechende maximale relative Feuchtigkeit gemäß Tabelle 9 angeben] bestimmt."
  5. Anleitungen für die ordnungsgemäße Installation und Wartung einschließlich Reinigung des Kühlgeräts mit Direktverkaufsfunktion durch den Endnutzer;
  6. für steckerfertige Kühlmöbel: "Wird die Verflüssigerspirale nicht [die empfohlene Häufigkeit für die Reinigung der Verflüssigerspirale in Anzahl pro Jahr] gereinigt, führt dies zu einer erheblichen Verringerung der Effizienz des Gerätes.";
  7. Angaben zum Zugang zu fachgerechter Reparatur (beispielsweise Internetseiten, Adressen, Kontaktangaben);
  8. relevante Informationen für die Bestellung von Ersatzteilen direkt beim Hersteller, Importeur oder Bevollmächtigten oder über andere von diesen bereitgestellte Vertriebswege (beispielsweise Internetseiten, Adressen, Kontaktangaben);
  9. den Mindestzeitraum, in dem die für die Reparatur des Kühlgeräts mit Direktverkaufsfunktion erforderlichen Ersatzteile zur Verfügung stehen;
  10. die Mindestdauer der vom Hersteller, Importeur oder Bevollmächtigten für das Kühlgerät mit Direktverkaufsfunktion angebotenen Garantie;
  11. Anleitungen zum Auffinden der gemäß der Verordnung (EU) in der Produktdatenbank gespeicherten Informationen über das Modell, entweder in Form eines Weblinks, der direkt zu den in der Produktdatenbank gespeicherten Informationen über das Modell führt, oder in Form eines Links zur Produktdatenbank sowie Informationen darüber, wie die Modellkennung auf dem Produkt zu finden ist.

.

Messmethoden und Berechnungen Anhang III

Für die Feststellung und Überprüfung der Übereinstimmung mit den Anforderungen dieser Verordnung sind Messungen und Berechnungen unter Verwendung harmonisierter Normen oder anderer zuverlässiger, genauer und reproduzierbarer Verfahren vorzunehmen, die den nach dem Stand der Technik allgemein anerkannten Verfahren Rechnung tragen und mit den nachfolgenden Bestimmungen im Einklang stehen. Die Nummern dieser harmonisierten Normen wurden zu diesem Zweck im Amtsblatt der Europäischen Union veröffentlicht.

1. Allgemeine Prüfbedingungen:

  1. Die Umgebungsbedingungen müssen den in Tabelle 3 als Set 1 aufgeführten Bedingungen entsprechen, außer bei Speiseeis-Gefriermaschinen und Verkaufskühlmöbeln für Speiseeis, die bei den in Tabelle 3 als Set 2 aufgeführten Umgebungsbedingungen zu prüfen sind;
  2. kann ein Fach auf unterschiedliche Temperaturen eingestellt werden, so ist es bei der niedrigsten Betriebstemperatur zu prüfen;
  3. zur Prüfung von gekühlten Verkaufsautomaten mit Fächern mit einstellbarem Rauminhalt ist der Nettorauminhalt des Fachs mit der höchsten Betriebstemperatur auf den kleinsten Nettorauminhalt einzustellen;
  4. bei Getränkekühlern muss die angegebene Kühlgeschwindigkeit der Erholzeit bei halber Neubeladung entsprechen.

Tabelle 3 Umgebungsbedingungen

Trockenkugeltemperatur, °C Relative Feuchtigkeit, % Taupunkt, °C Wasserdampfgehalt in trockener Luft, g/kg
Set 1 25 60 16,7 12,0
Set 2 30 55 20,0 14,8

2. Ermittlung des EEI:

  1. Der EEI, ausgedrückt in % und auf eine Dezimalstelle gerundet, ist das Verhältnis des AE (in kWh/a) zur Bezugsgröße SAE (in kWh/a) und wird für alle Kühlgeräte mit Direktverkaufsfunktion wie folgt berechnet:

    EEI = AE/SAE.

  2. Der AE, ausgedrückt in kWh/a, wird wie folgt berechnet und auf zwei Dezimalstellen gerundet:

    AE = 365 × Edaily;

    dabei gilt:

  3. Der SAE wird in kWh/a ausgedrückt und auf zwei Dezimalstellen gerundet. Für Kühlgeräte mit Direktverkaufsfunktion, bei denen alle Fächer zur selben Temperaturklasse gehören, und für gekühlte Verkaufsautomaten wird der SAE wie folgt berechnet:

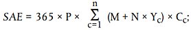
SAE = 365 × P × (M + N × Y) × C.

Für Kühlgeräte mit Direktverkaufsfunktion, bei denen mindestens zwei Fächer zu unterschiedlichen Temperaturklassen gehören, ausgenommen gekühlte Verkaufsautomaten, wird der SAE wie folgt berechnet:

Dabei gilt:

(1) c ist die Indexzahl eines Fachtyps mit einem Wert zwischen 1 und n, wobei n die Gesamtzahl der Fachtypen ist.

(2) Die Werte für M und N sind in Tabelle 4 angegeben.

Tabelle 4 Werte für M und N

Kategorie Wert für M Wert für N
Getränkekühler 2,1 0,006
Speiseeis-Gefriermaschinen 2,0 0,009
gekühlte Verkaufsautomaten 4,1 0,004
Verkaufskühlmöbel für Speiseeis 25,0 30,400
Vertikale und kombinierte Kühlschränke für Supermärkte 9,1 9,100
Horizontale Kühlschränke für Supermärkte 3,7 3,500
Vertikale und kombinierte Gefrierschränke für Supermärkte 7,5 19,300
Horizontale Gefrierschränke für Supermärkte 4,0 10,300
Containerregale (ab 1. März 2021) 9,2 11,600
Containerregale (ab 1. September 2023) 9,1 9,100

(3) Die Werte für den Temperaturkoeffizienten C sind in Tabelle 5 angegeben.

Tabelle 5 Temperaturbedingungen und entsprechende Werte des Temperaturkoeffizienten C

a) Kühlmöbel für Supermärkte
Kategorie Temperaturklasse Höchste Temperatur des wärmsten M-Pakets (°C) Niedrigste Temperatur des kältesten M-Pakets (°C) Höchste Mindesttemperatur aller M-Pakete (°C) Wert für C
Vertikale und kombinierte Kühlschränke für Supermärkte M2 < 7 > - 1 n. a. 1,00
H1 und H2 < + 10 > - 1 n. a. 0,82
M1 < 5 > - 1 n. a. 1,15
Horizontale Kühlschränke für Supermärkte M2 < 7 > - 1 n. a. 1,00
H1 und H2 < + 10 > - 1 n. a. 0,92
M1 < 5 > - 1 n. a. 1,08
Vertikale und kombinierte Gefrierschränke für Supermärkte L1 < - 15 n. a. < - 18 1,00
L2 < - 12 n. a. < - 18 0,90
L3 < - 12 n. a. < - 15 0,90
Horizontale Gefrierschränke für Supermärkte L1 < - 15 n. a. < - 18 1,00
L2 < - 12 n. a. < - 18 0,92
L3 < - 12 n. a. < - 15 0,92


b) Verkaufskühlmöbel für Speiseeis
Temperaturklasse Höchste Temperatur des wärmsten M-Pakets (°C) Niedrigste Temperatur des kältesten M-Pakets (°C) Höchste Mindesttemperatur aller M-Pakete (°C) Wert für C
G1 - 10 - 14 n. a. 1,00
G2 - 10 - 16 n. a. 1,00
G3 - 10 - 18 n. a. 1,00
L1 - 15 n. a. - 18 1,00
L2 - 12 n. a. - 18 1,00
L3 - 12 n. a. - 15 1,00
S Spezielle Klassifizierung 1,00


c) Gekühlte Verkaufsautomaten
Temperaturklasse ** Höchste gemessene Warentemperatur (TV)
(°C)
Wert für C
Kategorie 1 7 1+(12-TV)/25
Kategorie 2 12
Kategorie 3 3
Kategorie 4 (TV1+TV2)/2 *
Kategorie 6 (TV1+TV2)/2 *


d) Andere Kühlgeräte mit Direktverkaufsfunktion
Kategorie Wert für C
Andere Geräte 1,00


*) Bei Verkaufsautomaten für verschiedene Temperaturen ist TV der Mittelwert von TV1 (höchste gemessene Warentemperatur im wärmsten Fach) und TV2 (höchste gemessene Warentemperatur im kältesten Fach).

**) Kategorie 1 = gekühlte Dosen- und Flaschenautomaten mit geschlossener Vorderseite, in denen die Waren gestapelt werden;
Kategorie 2 = gekühlte Dosen- und Flaschen-, Süßwaren- und Snackautomaten mit Glasfront; Kategorie 3 = gekühlte Automaten mit Glasfront für ausschließlich verderbliche Lebensmittel; Kategorie 4 = gekühlte Automaten mit Glasfront und Bereichen unterschiedlicher Temperaturen; Kategorie 6 = kombinierte Automaten mit mehreren Automatenkategorien im selben Gehäuse, die mit einem gemeinsamen Kühlsystem betrieben werden.

n. a = nicht anwendbar.

(4) Der Koeffizient Y wird wie folgt berechnet:

a) für Getränkekühler:

Yc ist das Äquivalentvolumen der Fächer des Getränkekühlers mit der Zieltemperatur Tc, (Veqc) und wird wie folgt berechnet:

Yc = Veqc = Bruttorauminhaltc × ((25 - Tc)/20) × CC;

wobei Tc die durchschnittliche Fachtemperatur und CC der Faktor für die Klimaklasse ist. Die Werte für Tc sind in Tabelle 6 aufgeführt. Die Werte für CC sind in Tabelle 7 aufgeführt.

Tabelle 6 Temperaturklassen und entsprechende durchschnittliche Fachtemperaturen (Tc) für Getränkekühler

Temperaturklasse * Tc (°C)
K1 3,5
K2 2,5
K3 - 1,0
K4 5,0

Tabelle 7 Betriebsbedingungen und entsprechende CC-Werte für Getränkekühler

Höchste Umgebungstemperatur (°C) Relative Umgebungsfeuchtigkeit (%) CC
25 60 1,00
32 65 1,05
40 75 1,10

b) für Speiseeis-Gefriermaschinen

Yc ist das Äquivalentvolumen der Fächer der Speiseeis-Gefriermaschine mit der Zieltemperatur Tc, (Veqc) und wird wie folgt berechnet:

Yc = Veqc = Nettorauminhaltc × ((12 - Tc)/30) × CC;

wobei Tc die durchschnittliche Fachtemperatur und CC der Faktor für die Klimaklasse ist. Die Werte für Tc sind in Tabelle 8 aufgeführt. Die Werte für CC sind in Tabelle 9 aufgeführt.

Tabelle 8 Temperaturklassen und entsprechende durchschnittliche Fachtemperaturen (Tc) für Speiseeis-Gefriermaschinen

Temperaturklasse Tc (°C)
Temperatur des wärmsten M-Pakets in allen Prüfungen (außer in der Prüfung zum Öffnen des Deckels) niedriger oder gleich (°C) Höchster in der Prüfung zum Öffnen des Deckels zulässiger Temperaturanstieg des wärmsten M-Pakets (°C)
- 18 2 - 18,0
- 7 2 - 7,0

Tabelle 9 Betriebsbedingungen und entsprechende CC-Werte für Speiseeis-Gefriermaschinen

Minimale Maximale CC
Umgebungs-
temperatur (°C)
Relative Umgebungsfeuchtigkeit (%) Umgebungs-
temperatur (°C)
Relative Umgebungs-
feuchtigkeit (%)
Speiseeis-Gefriermaschine mit durchsichtigem Deckel 16 80 30 55 1,00
35 75 1,10
40 40 1,20
Speiseeis-Gefriermaschine mit nicht durchsichtigem Deckel 16 80 30 55 1,00
35 75 1,04
40 40 1,10

c) für gekühlte Verkaufsautomaten:

Y ist der Nettorauminhalt des gekühlten Verkaufsautomaten, ausgedrückt in Litern (l) und auf die nächstliegende ganze Zahl gerundet, und entspricht der Summe der Rauminhalte aller Fächer, in denen sich die direkt für den Verkauf verfügbaren Waren befinden, und des Rauminhalts, den die Waren während des Abgabevorgangs durchlaufen;

d) für alle anderen Kühlgeräte mit Direktverkaufsfunktion:

Yc ist die Summe der Warenpräsentationsflächen aller Fächer des Kühlgeräts mit Direktverkaufsfunktion, die zur gleichen Temperaturklasse gehören, ausgedrückt in Quadratmetern (m2) und auf zwei Dezimalstellen gerundet.

(5) Die Werte für P sind in Tabelle 10 aufgeführt.

Tabelle 10 P-Werte

Art des Kühlmöbels P
Steckerfertige Kühlmöbel für Supermärkte 1,10
Andere Kühlgeräte mit Direktverkaufsfunktion 1,00

.

Nachprüfungsverfahren zur Marktaufsicht Anhang IV

Die in diesem Anhang festgelegten Prüftoleranzen gelten nur für die Nachprüfung der angegebenen Parameter durch die Behörden der Mitgliedstaaten und dürfen vom Hersteller, Importeur oder Bevollmächtigten keinesfalls als zulässige Toleranzen für die Angabe der Werte in der technischen Dokumentation oder bei deren Auslegung verwendet werden, um Konformität zu erreichen oder bessere Leistungskennwerte anzugeben.

Wurde ein Modell so gestaltet, dass es erkennen kann, dass es geprüft wird (z.B. durch Erkennung der Prüfbedingungen oder des Prüfzyklus), und dass es während der Prüfung automatisch durch eine gezielte Änderung seiner Leistungsmerkmale reagiert, um einen günstigeren Wert in Bezug auf einen der Parameter zu erzielen, die in dieser Verordnung festgelegt, in der technischen Dokumentation angegeben oder in die beigefügte Dokumentation aufgenommen werden, so erfüllen das Modell und alle gleichwertigen Modelle die Anforderungen dieser Verordnung nicht.

Wenn die Behörden der Mitgliedstaaten gemäß Artikel 3 Absatz 2 der Richtlinie 2009/125/EG prüfen, ob das Modell eines Produkts den in dieser Verordnung festgelegten Bestimmungen in Bezug auf die in diesem Anhang genannten Anforderungen entspricht, wenden sie folgendes Verfahren an:

  1. Die Behörden der Mitgliedstaaten prüfen ein einziges Exemplar des Modells.
  2. Das Modell erfüllt die geltenden Anforderungen, wenn
    1. die Werte in der technischen Dokumentation gemäß Anhang IV Nummer 2 der Richtlinie 2009/125/EG (angegebene Werte) und die gegebenenfalls zur Berechnung dieser Werte verwendeten Werte für den Hersteller, Importeur oder Bevollmächtigten nicht günstiger sind als die Ergebnisse der entsprechenden Messungen gemäß Buchstabe g des genannten Anhangs und
    2. die angegebenen Werte alle in dieser Verordnung festgelegten Anforderungen erfüllen und die erforderlichen vom Hersteller, Importeur oder Bevollmächtigten veröffentlichten Produktinformationen keine Werte enthalten, die für den Hersteller, Importeur oder Bevollmächtigten günstiger sind als die angegebenen Werte, und
    3. die Behörden der Mitgliedstaaten bei der Prüfung des Exemplars des Modells feststellen, dass der Hersteller, Importeur oder Bevollmächtigte ein System installiert hat, das den Anforderungen des Artikels 6 Absatz 2 genügt, und
    4. das Exemplar des Modells bei der Prüfung durch die Behörden der Mitgliedstaaten die Anforderungen gemäß Artikels 6 Absatz 3 sowie die Ressourceneffizienzanforderungen gemäß Anhang II Nummer 2 erfüllt, und
    5. bei Prüfung des Exemplars des Modells durch die Behörden der Mitgliedstaaten die ermittelten Werte (bei der Prüfung gemessene Werte der relevanten Parameter und die aufgrund dieser Messungen berechneten Werte) den in Tabelle 11 angegebenen Prüftoleranzen entsprechen.
  3. Werden die unter Nummer 2 Buchstaben a, b, c oder d genannten Ergebnisse nicht erreicht, so erfüllen das Modell und alle gleichwertigen Modelle die Anforderungen dieser Verordnung nicht.
  4. Wird das unter Nummer 2 Buchstabe e genannte Ergebnis nicht erreicht, so wählen die Behörden des Mitgliedstaats drei weitere Exemplare des gleichen Modells für die Prüfung aus. Alternativ können drei weitere Exemplare eines oder mehrerer anderer gleichwertiger Modelle ausgewählt werden.
  5. Das Modell erfüllt die geltenden Anforderungen, wenn für diese drei Exemplare das arithmetische Mittel der ermittelten Werte innerhalb der in Tabelle 11 angegebenen Prüftoleranzen liegt.
  6. Wird das unter Nummer 5 geforderte Ergebnis nicht erreicht, so erfüllen das Modell und alle gleichwertigen Modelle die Anforderungen dieser Verordnung nicht.
  7. Nach der Entscheidung, dass das Modell die Anforderungen gemäß den Nummern 3 oder 6 nicht erfüllt, übermitteln die Behörden des Mitgliedstaats den Behörden der anderen Mitgliedstaaten und der Kommission unverzüglich alle relevanten Informationen.

Die Behörden der Mitgliedstaaten wenden die in Anhang III beschriebenen Mess- und Berechnungsmethoden an.

Die Behörden der Mitgliedstaaten wenden nur die in Tabelle 11 aufgeführten Prüftoleranzen und in Bezug auf die in diesem Anhang genannten Anforderungen nur das unter den Nummern 1 bis 7 beschriebene Verfahren an. Auf die in Tabelle 11 aufgeführten Parameter werden keine anderen Toleranzen angewandt, die etwa in harmonisierten Normen oder für andere Messverfahren festgelegt sind.

Tabelle 11 Prüftoleranzen

Parameter Prüftoleranzen
Nettorauminhalt und gegebenenfalls Nettorauminhalt des Fachs/der Fächer Der ermittelte Wert a darf den angegebenen Wert um nicht mehr als 3 % oder 1 l unterschreiten, je nachdem, welcher Wert der größere ist.
Bruttorauminhalt und gegebenenfalls Bruttorauminhalt des Fachs/der Fächer Der ermittelte Wert a darf den angegebenen Wert um nicht mehr als 3 % oder 1 l unterschreiten, je nachdem, welcher Wert der größere ist.
Warenpräsentationsfläche und gegebenenfalls Warenpräsentationsfläche des Fachs/der Fächer Der ermittelte Wert a darf den angegebenen Wert um nicht mehr als 3 % unterschreiten.
Edaily Der ermittelte Wert a darf den angegebenen Wert um nicht mehr als 10 % überschreiten.
AE Der ermittelte Wert a darf den angegebenen Wert um nicht mehr als 10 % überschreiten.
a) Werden gemäß Nummer 4 drei zusätzliche Exemplare geprüft, so ist der ermittelte Wert der arithmetische Mittelwert der bei diesen drei zusätzlichen Exemplaren ermittelten Werte.

.

Referenzwerte Anhang V

Zum Zeitpunkt des Inkrafttretens dieser Verordnung wurden folgende Werte für die beste auf dem Markt verfügbare Technik für Kühlgeräte mit Direktverkaufsfunktion hinsichtlich ihres EEI ermittelt:

Warenpräsentationsfläche (m2), Nettorauminhalt (l) oder, falls zutreffend, Bruttorauminhalt (l) T1 oder TV AE (kWh/a)
Kühlmöbel für Supermärkte
(Vertikaler Kühlschrank für Supermärkte)
3,3 4526
(= 12,4 kWh/24h)
Kühlmöbel für Supermärkte
(Horizontaler Kühlschrank für Supermärkte)
2,2 2044
(= 5,6 kWh/24h)
Kühlmöbel für Supermärkte
(Vertikaler Gefrierschrank für Supermärkte)
3 9709
(= 26,6 kWh/24h)
Kühlmöbel für Supermärkte
(Horizontaler Gefrierschrank für Supermärkte)
1,4 1621
(= 4,4 kWh/24h)
2,76 6424
(= 17,6 kWh/24h)
Gekühlter Dosen- und Flaschenverkaufsautomat 548 7 °C 1547
(= 4,24 kWh/24h)
Gekühlter Spiralverkaufsautomat 472 3 °C 2070
(= 5,67 kWh/24h)
Getränkekühler 506 475
(= 1,3 kWh/24h)
Speiseeis-Gefriermaschine 302 329
(= 0,9 kWh/24h)
Verkaufskühlmöbel für Speiseeis 1,43 10862
(= 29,76 kWh/24h)


ENDE

umwelt-online - Demo-Version


(Stand: 12.03.2021)

Alle vollständigen Texte in der aktuellen Fassung im Jahresabonnement
Nutzungsgebühr: 90.- € netto (Grundlizenz)

(derzeit ca. 7200 Titel s.Übersicht - keine Unterteilung in Fachbereiche)

Preise & Bestellung

Die Zugangskennung wird kurzfristig übermittelt

? Fragen ?
Abonnentenzugang/Volltextversion