Durchführungsbeschluss (EU) 2020/174 der Kommission vom 6. Februar 2020 über die Genehmigung der in effizienten 12-Volt-Generatoren für bestimmte Personenkraftwagen und leichte Nutzfahrzeuge verwendeten Technologie als innovative Technologie gemäß der Verordnung (EU) 2019/631 des Europäischen Parlaments und des Rates

(Text von Bedeutung für den EWR)

(ABl. L 35 vom 07.02.2020 S. 13)



=> Zur nachfolgenden Fassung

s.a.: Liste - zur Festsetzung/Genehmigung ... gem. der VO (EU) 2019/631

Die Europäische Kommission -

gestützt auf den Vertrag über die Arbeitsweise der Europäischen Union,

gestützt auf die Verordnung (EU) 2019/631 des Europäischen Parlaments und des Rates vom 17. April 2019 zur Festsetzung von CO2-Emissionsnormen für neue Personenkraftwagen und für neue leichte Nutzfahrzeuge und zur Aufhebung der Verordnungen (EG) Nr. 443/2009 und (EU) Nr. 510/2011 1, insbesondere auf Artikel 11 Absatz 4,

in Erwägung nachstehender Gründe:

(1) Die Hersteller Toyota Motor Europe NV/SA, Opel Automobile GmbH - PSA, FCa Italy S.p.A., Automobile Citroën, Automobile Peugeot, PSa Automobiles SA, Mitsubishi Electric Corporation, Audi AG, Ford Werke GmbH, Jaguar Land Rover Ltd, Hyundai Motor Europe Technical center GmbH, Bayerische Motoren Werke AG, Renault SA, Honda Motor Europe Ltd, Volkswagen AG, Volkswagen Nutzfahrzeuge, Daimler AG, Denso Corporation und SEG Automotive Germany GmbH haben am 12. April 2019 einen gemeinsamen Antrag (im Folgenden "der Antrag") auf Genehmigung der in effizienten 12-Volt-Generatoren für Personenkraftwagen und leichte Nutzfahrzeuge mit Verbrennungsmotorantrieb verwendeten Technologie als innovative Technologie gestellt.

(2) Der Antrag wurde gemäß Artikel 11 der Verordnung (EU) 2019/631, den Durchführungsverordnungen (EU) Nr. 725/2011 2 und (EU) Nr. 427/2014 der Kommission 3 und dem technischen Leitfaden für die Vorbereitung von Anträgen auf Genehmigung innovativer Technologien gemäß der Verordnung (EG) Nr. 443/2009 des Europäischen Parlaments und des Rates 4 (Fassung vom Juli 2018) bewertet. Dem Antrag war gemäß Artikel 11 Absatz 3 der Verordnung (EU) 2019/631 ein Prüfbericht einer unabhängigen und zertifizierten Stelle beigefügt.

(3) Die in effizienten 12-Volt-Generatoren verwendete Technologie zur Umwandlung mechanischer Energie in elektrische Energie mit einem bestimmten Umwandlungswirkungsgrad ist bereits mit den Durchführungsbeschlüssen 2013/341/EU 5, 2014/465/EU 6, (EU) 2015/158 7, (EU) 2015/295 8, (EU) 2015/2280 9 und (EU) 2016/588 10 der Kommission zur Verwendung in Personenkraftwagen und mit dem Durchführungsbeschluss (EU) 2018/1876 11 der Kommission zur Verwendung in leichten Nutzfahrzeugen (im Folgenden gemeinsam "frühere Genehmigungsbeschlüsse") als innovative Technologie genehmigt worden, die CO2-Emissionen auf eine Weise verringern kann, die von den Messungen im Rahmen der Emissionsprüfung des neuen Europäischen Fahrzyklus (NEFZ) gemäß der Verordnung (EG) Nr. 692/2008 der Kommission 12 nicht erfasst wird.

(4) In dem Antrag wird jedoch auf das neue Standardprüfverfahren, das weltweit harmonisierte Prüfverfahren für Personenkraftwagen und leichte Nutzfahrzeuge (Worldwide Harmonised Light Vehicle Test Procedure, WLTP) gemäß der Verordnung (EU) 2017/1151 der Kommission 13, Bezug genommen; ferner wird nachgewiesen, dass die Messungen, die als Teil der Emissionsprüfung im Rahmen des WLTP durchgeführt werden, die CO2-Einsparungen, die sich durch die in effizienten 12-Volt-Generatoren verwendeten Technologie ergeben, nicht erfassen.

(5) Angesichts der im Rahmen der früheren Genehmigungsbeschlüsse gewonnenen Erfahrung mit der Bewertung von Anträgen betreffend Technologien, die zur Steigerung des Wirkungsgrads von Generatoren beitragen, sowie der mit dem Antrag vorgelegten Berichte und sonstigen Informationen wurde zufriedenstellend und schlüssig belegt, dass die in effizienten 12-Volt-Generatoren verwendete Technologie die in Artikel 11 Absatz 2 der Verordnung (EU) 2019/631 genannten Kriterien und die in Artikel 9 Absatz 1 Buchstabe b der Durchführungsverordnungen (EU) Nr. 725/2011 und (EU) Nr. 427/2014 genannten Auswahlkriterien erfüllt.

(6) In dem Antrag wird eine Methode für die Prüfung der CO2-Einsparungen durch den Einsatz der Technologie in 12-Volt-Generatoren in Personenkraftwagen und leichten Nutzfahrzeugen dargelegt. Abgesehen davon, dass auf WLTP-Prüfverfahren Bezug genommen wird, unterscheidet sich diese Methode von der in den früheren Genehmigungsbeschlüssen festgelegten Prüfmethode im Wesentlichen durch die Definition des Stromverbrauchs, die Definition der Durchschnittsgeschwindigkeit und die Durchführung eines Einfahrverfahrens.

(7) Die Definitionen des Stromverbrauchs und der Durchschnittsgeschwindigkeit sollten angepasst werden, um dem WLTP-Prüfverfahren Rechnung zu tragen. Was die Aufnahme eines Einfahrverfahrens für den Generator in die Prüfmethode betrifft, so wird in dem Antrag nicht hinreichend genau dargelegt, wie diese Einfahrverfahren durchzuführen und wie die Auswirkungen des Einfahrens zu berücksichtigen sind. Darüber hinaus sieht die in den früheren Genehmigungsbeschlüssen festgelegte Prüfmethode bereits vor, dass solche Auswirkungen gegebenenfalls dadurch berücksichtigt werden können, dass der Wirkungsgrad des Generators mindestens fünfmal gemessen werden muss. Da der Wirkungsgrad von Generatoren auf der Grundlage des Durchschnitts der Messergebnisse bestimmt wird, können etwaige positive oder negative Auswirkungen des Einfahrens bei der endgültigen Bestimmung des Wirkungsgrads angemessen berücksichtigt werden, gegebenenfalls indem die Anzahl der Messungen erhöht wird. Vor diesem Hintergrund ist es nicht angemessen, die Prüfmethode, wie im Antrag vorgeschlagen wird, um ein zusätzliches spezielles Einfahrverfahren zu ergänzen.

(8) Es ist ferner angezeigt, die Umwandlungswirkungsgrade auf dem Niveau der früheren Genehmigungsbeschlüsse zu halten, weil nicht nachgewiesen wurde, dass Generatoren mit einem geringeren Wirkungsgrad die Marktdurchdringungsanforderungen von Artikel 2 Absatz 2 Buchstabe a der Durchführungsverordnungen (EU) Nr. 725/2011 und (EU) Nr. 427/2014 erfüllen.

(9) Unter Berücksichtigung der vorstehenden Erwägungen sollte die angepasste Prüfmethode als geeignet angesehen werden, um die durch die betreffende innovative Technologie erzielten CO2-Einsparungen zu ermitteln.

(10) Die Hersteller sollten die Möglichkeit haben, bei einer Typgenehmigungsbehörde die Zertifizierung von CO2-Einsparungen durch den Einsatz der Technologie in effizienten 12-Volt-Generatoren, die die in diesem Beschluss festgelegten Bedingungen erfüllt, zu beantragen. Zu diesem Zweck sollten die Hersteller sicherstellen, dass dem Zertifizierungsantrag ein Prüfbericht einer unabhängigen und zertifizierten Stelle beigefügt ist, in dem bestätigt wird, dass die im effizienten 12-Volt-Generator verwendete Technologie den in diesem Beschluss festgelegten Bedingungen entspricht und dass die Einsparungen nach der in diesem Beschluss dargelegten Prüfmethode ermittelt wurden.

(11) Um den breiteren Einsatz von effizienten 12-Volt-Generatoren in neuen Fahrzeugen zu erleichtern, sollte ein Hersteller außerdem die Möglichkeit haben, die Zertifizierung der CO2-Einsparungen von Fahrzeugen mit verschiedenen effizienten 12-Volt-Generatoren in einem einzigen Zertifizierungsantrag zu beantragen. Es empfiehlt sich jedoch sicherzustellen, dass, wenn von dieser Möglichkeit Gebrauch gemacht wird, automatisch Anreize dafür gegeben werden, dass nur die Generatoren mit dem höchsten Wirkungsgrad zum Einsatz kommen.

(12) Es obliegt der Typgenehmigungsbehörde, gründlich zu überprüfen, ob die Bedingungen für die Zertifizierung der CO2-Einsparungen durch den Einsatz einer innovativen Technologie gemäß diesem Beschluss erfüllt sind. Wird die Zertifizierung erteilt, sollte die Typgenehmigungsbehörde sicherstellen, dass alle für die Zertifizierung berücksichtigten Elemente in einem Prüfbericht festgehalten und zusammen mit dem Prüfbericht der unabhängigen Stelle aufbewahrt werden und dass diese Informationen der Kommission auf Anfrage zur Verfügung gestellt werden.

(13) Für die Zwecke der Bestimmung des allgemeinen Ökoinnovationscodes, der in den betreffenden Typgenehmigungsunterlagen gemäß den Anhängen I, VIII und IX der Richtlinie 2007/46/EG des Europäischen Parlaments und des Rates 14 zu verwenden ist, muss der innovativen Technologie ein individueller Code zugewiesen werden.

(14) Ab 2021 muss die Einhaltung der Zielvorgaben für die spezifischen CO2-Emissionen durch die Hersteller auf der Grundlage der nach dem WLTP ermittelten CO2-Emissionen festgestellt werden. CO2-Einsparungen durch die nach diesem Beschluss zertifizierte innovative Technologie können daher ab dem Kalenderjahr 2021 bei der Berechnung der durchschnittlichen spezifischen CO2-Emissionen der Hersteller berücksichtigt werden

- hat folgenden Beschluss erlassen:

Artikel 1 Innovative Technologie

Die in effizienten 12-Volt-Generatoren zur Umwandlung mechanischer Energie in elektrische Energie verwendete Technologie wird als innovative Technologie im Sinne von Artikel 11 der Verordnung (EU) 2019/631 genehmigt, wobei zu berücksichtigen ist, dass sie nicht von dem Standardprüfverfahren gemäß der Verordnung (EU) 2017/1151 erfasst wird, und sofern die innovative Technologie folgende Bedingungen erfüllt:

  1. sie ist in Personenkraftwagen (M1) bzw. leichte Nutzfahrzeuge (N1) mit Verbrennungsmotorantrieb eingebaut;
  2. sie dient ausschließlich zum Aufladen der Fahrzeugbatterie und zur Stromversorgung der elektrischen Installation des Fahrzeugs bei laufendem Verbrennungsmotor;
  3. sie hat einen Wirkungsgrad, d. h. eine Umwandlungsrate von mechanischer in elektrische Energie, von mindestens:
    1. 73,8 % bei Fahrzeugen mit Ottomotor ohne Turbolader;
    2. 73,4 % bei Fahrzeugen mit Ottomotor mit Turbolader;
    3. 74,2 % bei Fahrzeugen mit Dieselmotor.

Artikel 2 Antrag auf Zertifizierung von CO2-Einsparungen

(1) Ein Hersteller kann bei einer Typgenehmigungsbehörde unter Bezugnahme auf diesen Beschluss die Zertifizierung der CO2-Einsparungen beantragen, die durch den Einsatz der gemäß Artikel 1 genehmigten Technologie (im Folgenden "Technologie") in einem oder verschiedenen effizienten 12-Volt-Generatoren erzielt werden.

(2) Der Hersteller stellt sicher, dass dem Zertifizierungsantrag ein Prüfbericht einer unabhängigen und zertifizierten Stelle beigefügt ist, in dem bestätigt wird, dass die in Artikel 1 genannten Bedingungen erfüllt sind.

(3) Werden die Einsparungen gemäß Artikel 3 zertifiziert, so stellt der Hersteller sicher, dass die zertifizierten CO2-Einsparungen und der in Artikel 4 Absatz 1 genannte Ökoinnovationscode in die Übereinstimmungsbescheinigungen der betreffenden Fahrzeuge eingetragen werden.

Artikel 3 Zertifizierung der CO2-Einsparungen

(1) Die Typgenehmigungsbehörde stellt sicher, dass die durch den Einsatz der innovativen Technologie erzielten CO2-Einsparungen nach der im Anhang beschriebenen Methode ermittelt wurden.

(2) Beantragt ein Hersteller für eine Fahrzeugversion die Zertifizierung der CO2-Einsparungen durch den Einsatz der Technologie in mehr als einem effizienten 12-Volt-Generator, so ermittelt die Typgenehmigungsbehörde, welcher der geprüften effizienten 12-Volt-Generatoren die geringsten CO2-Einsparungen erzielt. Dieser Wert ist für die Zwecke von Absatz 3 heranzuziehen.

(3) Die Typgenehmigungsbehörde trägt die gemäß Absatz 1 oder 2 ermittelten zertifizierten CO2-Einsparungen und den in Artikel 4 Absatz 1 genannten Ökoinnovationscode in die einschlägigen Typgenehmigungsunterlagen ein.

(4) Die Typgenehmigungsbehörde hält alle bei der Zertifizierung berücksichtigten Elemente in einem Prüfbericht fest und bewahrt diesen Prüfbericht zusammen mit dem in Artikel 2 Absatz 2 genannten Prüfbericht auf und stellt der Kommission diese Informationen auf Anfrage zur Verfügung.

(5) Die Typgenehmigungsbehörde zertifiziert CO2-Einsparungen nur, wenn sie feststellt, dass die in dem effizienten 12-Volt-Generator bzw. den effizienten 12-Volt-Generatoren verwendete Technologie die in Artikel 1 genannten Bedingungen erfüllt, und wenn die erzielten CO2-Einsparungen, wie in Artikel 9 Absatz 1 Buchstabe b der Durchführungsverordnung (EU) Nr. 725/2011 für Personenkraftwagen bzw. der Durchführungsverordnung (EU) Nr. 427/2014 für leichte Nutzfahrzeuge festgelegt, mindestens 0,5 g CO2/km betragen.

Artikel 4 Ökoinnovationscode

(1) Der mit diesem Beschluss genehmigten innovativen Technologie wird der Ökoinnovationscode Nr. 29 zugewiesen.

(2) Die mit Bezugnahme auf diesen Ökoinnovationscode zertifizierten CO2-Einsparungen können ab dem Kalenderjahr 2021 bei der Berechnung der durchschnittlichen spezifischen Emissionen der Hersteller berücksichtigt werden.

Artikel 5 Inkrafttreten

Dieser Beschluss tritt am zwanzigsten Tag nach seiner Veröffentlichung im Amtsblatt der Europäischen Union in Kraft.

Brüssel, den 6. Februar 2020

1) ABl. L 111 vom 25.04.2019 S. 13.

2) Durchführungsverordnung (EU) Nr. 725/2011 der Kommission vom 25. Juli 2011 zur Einführung eines Verfahrens zur Genehmigung und Zertifizierung innovativer Technologien zur Verringerung der CO2-Emissionen von Personenkraftwagen nach der Verordnung (EG) Nr. 443/2009 des Europäischen Parlaments und des Rates (ABl. L 194 vom 26.07.2011 S. 19).

3) Durchführungsverordnung (EU) Nr. 427/2014 der Kommission vom 25. April 2014 zur Einführung eines Verfahrens zur Genehmigung und Zertifizierung innovativer Technologien zur Verringerung der CO2-Emissionen von leichten Nutzfahrzeugen nach der Verordnung (EU) Nr. 510/2011 des Europäischen Parlaments und des Rates (ABl. L 125 vom 26.04.2014 S. 57).

4) Verordnung (EG) Nr. 443/2009 des Europäischen Parlaments und des Rates vom 23. April 2009 zur Festsetzung von Emissionsnormen für neue Personenkraftwagen im Rahmen des Gesamtkonzepts der Gemeinschaft zur Verringerung der CO2-Emissionen von Personenkraftwagen und leichten Nutzfahrzeugen (ABl. L 140 vom 05.06.2009 S. 1), https://circabc.europa.eu/w/browse/f3927eae-29f8-4950-b3b3-d2e700598b52 (in englischer Sprache).

5) Durchführungsbeschluss 2013/341/EU der Kommission vom 27. Juni 2013 über die Genehmigung des Wechselstromgenerators "Valeo Efficient Generation Alternator" als innovative Technologie zur Verringerung der CO2-Emissionen von Personenkraftwagen gemäß der Verordnung (EG) Nr. 443/2009 des Europäischen Parlaments und des Rates (ABl. L 179 vom 29.06.2013 S. 98).

6) Durchführungsbeschluss 2014/465/EU der Kommission vom 16. Juli 2014 über die Genehmigung des effizienten DENSO-Wechselstromgenerators als innovative Technologie zur Verringerung der CO2-Emissionen von Personenkraftwagen gemäß der Verordnung (EG) Nr. 443/2009 des Europäischen Parlaments und des Rates und zur Änderung des Durchführungsbeschlusses 2013/341/EU der Kommission (ABl. L 210 vom 17.07.2014 S. 17).

7) Durchführungsbeschluss (EU) 2015/158 der Kommission vom 30. Januar 2015 über die Genehmigung von zwei hocheffizienten Generatoren der Robert Bosch GmbH als innovative Technologie zur Verringerung der CO2-Emissionen von Personenkraftwagen gemäß der Verordnung (EG) Nr. 443/2009 des Europäischen Parlaments und des Rates (ABl. L 26 vom 31.01.2015 S. 31).

8) Durchführungsbeschluss (EU) 2015/295 der Kommission vom 24. Februar 2015 über die Genehmigung des effizienten Generators MELCO GXi als innovative Technologie zur Verringerung der CO2-Emissionen von Personenkraftwagen gemäß der Verordnung (EG) Nr. 443/2009 des Europäischen Parlaments und des Rates (ABl. L 53 vom 25.02.2015 S. 11).

9) Durchführungsbeschluss (EU) 2015/2280 der Kommission vom 7. Dezember 2015 über die Genehmigung des effizienten Generators DENSO als innovative Technologie zur Verringerung der CO2-Emissionen von Personenkraftwagen gemäß der Verordnung (EG) Nr. 443/2009 des Europäischen Parlaments und des Rates (ABl. L 322 vom 08.12.2015 S. 64).

10) Durchführungsbeschluss (EU) 2016/588 der Kommission vom 14. April 2016 über die Genehmigung der in effizienten 12-Volt-Generatoren eingesetzten Technologie als innovative Technologie zur Verringerung der CO2-Emissionen von Personenkraftwagen gemäß der Verordnung (EG) Nr. 443/2009 des Europäischen Parlaments und des Rates (ABl. L 101 vom 16.04.2016 S. 25).

11) Durchführungsbeschluss (EU) 2018/1876 der Kommission vom 29. November 2018 über die Genehmigung der in effizienten 12-Volt-Generatoren für leichte Nutzfahrzeuge mit konventionellem Verbrennungsmotorantrieb verwendeten Technologie als innovative Technologie zur Verringerung der CO2-Emissionen von leichten Nutzfahrzeugen gemäß der Verordnung (EU) Nr. 510/2011 des Europäischen Parlaments und des Rates (ABl. L 306 vom 30.11.2018 S. 53).

12) Verordnung (EG) Nr. 692/2008 der Kommission vom 18. Juli 2008 zur Durchführung und Änderung der Verordnung (EG) Nr. 715/2007 des Europäischen Parlaments und des Rates über die Typgenehmigung von Kraftfahrzeugen hinsichtlich der Emissionen von leichten Personenkraftwagen und Nutzfahrzeugen (Euro 5 und Euro 6) und über den Zugang zu Reparatur- und Wartungsinformationen für Fahrzeuge (ABl. L 199 vom 28.07.2008 S. 1).

13) Verordnung (EU) 2017/1151 der Kommission vom 1. Juni 2017 zur Ergänzung der Verordnung (EG) Nr. 715/2007 des Europäischen Parlaments und des Rates über die Typgenehmigung von Kraftfahrzeugen hinsichtlich der Emissionen von leichten Personenkraftwagen und Nutzfahrzeugen (Euro 5 und Euro 6) und über den Zugang zu Fahrzeugreparatur- und -wartungsinformationen, zur Änderung der Richtlinie 2007/46/EG des Europäischen Parlaments und des Rates, der Verordnung (EG) Nr. 692/2008 der Kommission sowie der Verordnung (EU) Nr. 1230/2012 der Kommission sowie zur Aufhebung der Verordnung (EG) Nr. 692/2008 der Kommission (ABl. L 175 vom 07.07.2017 S. 1).

14) Richtlinie 2007/46/EG des Europäischen Parlaments und des Rates vom 5. September 2007 zur Schaffung eines Rahmens für die Genehmigung von Kraftfahrzeugen und Kraftfahrzeuganhängern sowie von Systemen, Bauteilen und selbstständigen technischen Einheiten für diese Fahrzeuge (Rahmenrichtlinie) (ABl. L 263 vom 09.10.2007 S. 1).

.

Methode zur Ermittlung der CO2-Einsparungen von effizienten 12-Volt-Generatoren in Personenkraftwagen und leichten Nutzfahrzeugen mit Verbrennungsmotorantrieb [Erfüllung der in Artikel 1 genannten Bedingungen unter Bezugnahme auf das weltweit harmonisierte Prüfverfahren für Personenkraftwagen und leichte Nutzfahrzeuge] Anhang

1. Einleitung

Um die auf den Einsatz eines effizienten 12-Volt-Generators in einem Personenkraftwagen oder leichtem Nutzfahrzeug mit Verbrennungsmotorantrieb zurückzuführenden CO2-Einsparungen ermitteln zu können, ist Folgendes festzulegen:

(1) die Prüfbedingungen;

(2) die Prüfgeräte,

(3) das Verfahren zur Ermittlung der Gesamteffizienz;

(4) das Verfahren zur Ermittlung der CO2-Einsparungen;

(5) das Verfahren zur Ermittlung der Unsicherheit der CO2-Einsparungen.

2. Symbole, Parameter und Einheiten

Lateinische Symbole

-

CO2-Einsparungen [g CO2/km]
CO2
-
Kohlendioxid
CF
-
Umrechnungsfaktor (l/100 km) - (g CO2/km) [gCO2/l] wie in Tabelle 3 definiert
h
-
Frequenz wie in Tabelle 1 definiert
I
-
Stromstärke, bei der die Messung durchzuführen ist [A]
m
-
Zahl der Messungen der Stichprobe
M
-
Drehmoment [Nm]
n
-
Drehzahl [min-1] wie in Tabelle 1 definiert
P
-

Leistung [W]

-
Standardabweichung des Wirkungsgrads des ökoinnovativen Generators [%]
-
Standardabweichung des mittleren Wirkungsgrads des ökoinnovativen Generators [%]
-
Standardabweichung der CO2-Gesamteinsparungen [g CO2/km]
U
-
Prüfspannung, bei der die Messung durchzuführen ist [V]
v
-
durchschnittliche Fahrgeschwindigkeit des weltweit harmonisierten Prüfzyklus für Personenkraftwagen und leichte Nutzfahrzeuge (WLTC) [km/h]
VPe
-
Tatsächlicher Energieverbrauch [l/kWh] wie in Tabelle 2 definiert
-
Sensitivität der berechneten CO2-Einsparungen, bezogen auf den Wirkungsgrad des ökoinnovativen Generators

Griechische Symbole

Δ
-
Differenz
η
-
Wirkungsgrad des Vergleichsgenerators [%]
ηEI
-
Wirkungsgrad des effizienten Generators [%]
-
durchschnittlicher Wirkungsgrad des ökoinnovativen Generators am Betriebspunkt i [%]

Tiefgestellte Symbole

i bezieht sich auf den Betriebspunkt

j bezieht sich auf die Messung der Stichprobe

EI
-
ökoinnovativ
m
-
mechanisch
RW
-
Reale Bedingungen
TA
-
Typgenehmigungsbedingungen
B
-
Vergleichswert

3. Prüfbedingungen

Die Prüfbedingungen müssen die Anforderungen der Norm ISO 8854:2012 1 erfüllen.

4. Prüfgeräte

Die Prüfgeräte müssen den Spezifikationen der Norm ISO 8854:2012 entsprechen.

5. Messungen und Bestimmung des Wirkungsgrads

Der Wirkungsgrad des effizienten 12-Volt-Generators wird im Einklang mit ISO 8854:2012 bestimmt; eine Ausnahme stellen die in diesem Abschnitt dargestellten Elemente dar.

Die Messungen sind an unterschiedlichen Betriebspunkten i, wie in Tabelle 1 definiert, vorzunehmen. Die Stromstärke des Generators ist definiert als die halbe Nennstromstärke für alle Betriebspunkte. Für jede Drehzahl müssen Spannung und Ausgangsstromstärke des Generators konstant gehalten werden, die Spannung bei 14,3 V.

Tabelle 1

Betriebspunkt
i
Haltezeit
[s]
Drehzahl
ni [min-1]
Frequenz
hi
1 1.200 1.800 0,25
2 1.200 3.000 0,40
3 600 6.000 0,25
4 300 10.000 0,10

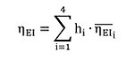
Der Wirkungsgrad wird nach Formel 1 berechnet.

Formel 1

Alle Messungen des Wirkungsgrads werden mindestens fünf (5) Mal hintereinander ausgeführt. Zu berechnen ist der Durchschnitt der Messungen bei jedem Betriebspunkt ().

Der Wirkungsgrad des ökoinnovativen Generators (ηEI) wird nach Formel 2 berechnet.

Formel 2

Der effiziente Generator führt zu einer Einsparung bei der mechanischen Leistung unter realen Bedingungen (ΔPmRW) und unter Typgenehmigungsbedingungen (ΔPmTA) wie in Formel 3 definiert.

Formel 3

Dabei werden die Einsparungen bei der mechanischen Leistung unter realen Bedingungen (ΔPmRW) nach Formel 4 und die Einsparungen bei der mechanischen Leistung unter den Bedingungen der Typgenehmigung (ΔPmTA) nach Formel 5 berechnet.

Formel 4


Formel 5

Dabei ist:

PRW:
Leistungsbedarf unter realen Fahrbedingungen [W]: 750 W
PTA
Leistungsbedarf unter Typgenehmigungsbedingungen [W]: 350 W
ηB:
Wirkungsgrad des Vergleichsgenerators [%]: 67 %

6. Berechnung der CO2-Einsparungen

Die CO2-Einsparungen des effizienten Generators sind nach Formel 6 zu berechnen:

Formel 6

Dabei ist:

v:
die durchschnittliche Fahrgeschwindigkeit des WLTC [km/h]: 46,60 km/h
VPe:
der in nachstehender Tabelle 2 spezifizierte tatsächliche Energieverbrauch:

Tabelle 2 Tatsächlicher Energieverbrauch

Motortyp Tatsächlicher Energieverbrauch (VPe)
[l/kWh]
Ottomotor 0,264
Turbo-Ottomotor 0,280
Diesel 0,220

CF: der in nachstehender Tabelle 3 spezifizierte Faktor:

Tabelle 3 Kraftstoffumrechnungsfaktor

Kraftstofftyp Umrechnungsfaktor (l/100 km) - (g CO2/km) (CF)
[gCO2/l]
Benzin 2.330
Diesel 2.640

7. Berechnung des statistischen Fehlers

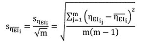
Die statistischen Fehler bei den Ergebnissen der Prüfmethode aufgrund der Messungen werden quantifiziert. Für jeden Betriebspunkt wird die Standardabweichung nach Formel 7 berechnet:

Formel 7

Die Standardabweichung des Wirkungsgrads des effizienten Generators (SηEI) wird nach Formel 8 berechnet:

Formel 8

Die Standardabweichung des Wirkungsgrads des Generators (SηEI) führt zu einem Fehler bei den CO2-Einsparungen. Der Fehler wird nach Formel 9 berechnet:

Formel 9


8. Statistische Signifikanz

Für jeden Typ, jede Variante und jede Version eines Fahrzeugs, das mit dem effizienten Generator ausgestattet ist, ist nachzuweisen, dass der nach Formel 9 berechnete Fehler bei den CO2-Einsparungen nicht größer ist als die Differenz zwischen den CO2-Gesamteinsparungen und dem Schwellenwert für die Mindesteinsparungen gemäß Artikel 9 Absatz 1 der Verordnung (EU) Nr. 725/2011 (vgl. Formel 10).

Formel 10

Dabei ist:

MT:
Mindestschwellenwert [g CO2/km];
CO2-Gesamteinsparungen [g CO2/km]
Standardabweichung der CO2-Gesamteinsparungen [g CO2/km]
CO2-Korrektureffizient, der sich aus der positiven Massendifferenz zwischen dem effizienten Generator und dem Vergleichsgenerator ergibt.wird nach Tabelle 4 berechnet:

Tabelle 4

CO2-Korrekturkoeffizient infolge der zusätzlichen Masse
Benzin [g CO2 /km kg] 0,0277•Δm
Diesel[g CO2/km kg] 0,0383•Δm

In Tabelle 4 ist "Δm" die zusätzliche Masse infolge des Einbaus des effizienten Generators. Sie ist die positive Differenz zwischen der Masse des effizienten Generators und der Masse des Vergleichsgenerators. Die Masse des Vergleichsgenerators beträgt 7 kg. Zur Bewertung der zusätzlichen Masse muss der Hersteller geprüfte Unterlagen an die Typgenehmigungsbehörde übergeben.

9. Prüf- und Bewertungsbericht

Der Bericht umfasst

10. Der effiziente Generator zum Einbau in Fahrzeuge

Die Typgenehmigungsbehörde zertifiziert die CO2-Einsparungen anhand von Messungen am effizienten Generator und am Vergleichsgenerator nach der in diesem Anhang festgelegten Prüfmethode. Liegen die CO2-Emissionseinsparungen unterhalb des in Artikel 9 Absatz 1 angegebenen Schwellenwerts, so gilt Artikel 11 Absatz 2 der Verordnung (EU) Nr. 725/2011.

1) ISO 8854:2012 Straßenfahrzeuge - Drehstrom-Generatoren mit Regler - Prüfungen und allgemeine Anforderungen Referenznummer ISO 8854:2012, veröffentlicht am 1. Juni 2012.

ENDE

umwelt-online - Demo-Version


(Stand: 05.04.2021)

Alle vollständigen Texte in der aktuellen Fassung im Jahresabonnement
Nutzungsgebühr: 90.- € netto (Grundlizenz)

(derzeit ca. 7200 Titel s.Übersicht - keine Unterteilung in Fachbereiche)

Preise & Bestellung

Die Zugangskennung wird kurzfristig übermittelt

? Fragen ?
Abonnentenzugang/Volltextversion