zurück

Kapitel 2.6 Klasse 6 - Giftige und ansteckungsgefährliche Stoffe

2.6.0 Einleitende Bemerkungen

Bemerkung 1: Der Begriff "toxisch" hat die gleiche Bedeutung wie der Begriff "giftig".

Bemerkung 2: Genetisch veränderte Mikroorganismen, die nicht der Begriffsbestimmung für ansteckungsgefährliche Stoffe entsprechen die Einstufung in Klasse 9 in Betracht gezogen und der UN-Nr. 3245 zugeordnet werden.

Bemerkung 3: Toxine pflanzlichen, tierischen oder bakteriellen Ursprungs, die keine ansteckungsgefährlichen Stoffe enthalten, oder Toxine, die in Stoffen enthalten sind, die keine infektiösen Stoffe sind, müssen für die Einstufung in Klasse 6.1 in Betracht gezogen und der UN-Nr. 3172 zugeordnet werden.

2.6.1 Begriffsbestimmungen

Die Klasse 6 ist wie folgt in zwei Klassen unterteilt:

Klasse 6.1 - Giftige Stoffe

Diese Stoffe können tödlich wirken, schwere Vergiftungen oder gesundheitliche Schäden beim Menschen verursachen, wenn sie verschluckt oder eingeatmet werden oder mit der Haut in Berührung kommen.

Klasse 6.2 - Ansteckungsgefährliche Stoffe

Dies sind Stoffe, von denen bekannt ist oder bei denen ein begründeter Verdacht besteht, dass sie Krankheitserreger enthalten. Krankheitserreger sind Mikroorganismen (einschließlich Bakterien, Viren, Rickettsien, Parasiten, Pilze) und andere Erreger wie Prionen, die bei Menschen oder Tieren Krankheite hervorrufen können.

2.6.2 Klasse 6.1 - Giftige Stoffe

2.6.2.1 Begriffsbestimmungen und Eigenschaften

2.6.2.1.1 LD50 (mittlere tödliche Dosis) für die akute Giftigkeit beim Einatmen ist die statistisch abgeleitet Einzeldosis eines Stoffes, bei der erwartet werden kann, dass innerhalb von 14 Tagen bei oraler Einnahme der Tod von 50 Prozent junger ausgewachsener Albino-Ratten herbeigeführt wird. Der LD50-Wert wird in Masse Prüfsubstanz zu Masse Versuchstier (mg/kg) ausgedrückt.

2.6.2.1.2 LD50 für akute dermale Toxizität ist die Dosis des Stoffes, die bei ununterbrochenem Kontakt mit der nackten Haut des Albinokaninchens über einen Zeltraum von 24 Stunden voraussichtlich bei der Hälfte der Versuchstiere innerhalb von 14 Tagen zum Tode führt. Die Anzahl der Versuchtstiere muß zur Erzielung eines statistisch signifikanten Ergebnisses ausreichend sein und der guten pharmakologischen Praxis entsprechen. Das Ergebnis wird in Milligramm pro Kilogramm Körpergewicht ausgedrückt.

2.6.2.1.3 LC50 für akute Toxizität beim Einatmen ist die Dampf-, Nebel- oder Staubkonzentration, die bei ununterbrochenem Einatmen über einen Zeitraum von 1 Stunde durch sowohl männliche als auch weibliche junge ausgewachsene Albinoratten voraussichtlich innerhalb von 14 Tagen zum Tode führt. Ein fester Stoff muss geprüft werden, wenn mindestens 10 Masse-% seiner Gesamtmasse einatembarer Staub sein können, z.B. wenn der aerodynamische Durchmesser dieser Fraktion von Teilchen 10 µm oder weniger beträgt. Ein flüssiger Stoff muss geprüft werden, wenn bei einer Undichtigkeit eines Transportbehälters ein Nebel (Aerosol) entstehen kann. Sowohl für feste Stoffe als auch für flüssige Stoffe gilt, dass mehr als 90 Masse-% einer zur Inhalationstoxizitätsprüfung eingesetzten Probe im einatembaren Bereich (wie oben angegeben) liegen müssen. Das Ergebnis wird in Milligramm pro Liter Luft für Stäube und Nebel bzw. Milliliter pro Kubikmeter Luft (Teile pro Million) für Dämpfe ausgedrückt.

2.6.2.1.4 Eigenschaften

  1. Die von diesen Stoffen ausgehenden Vergiftungsgefahren sind abhängig von der Art und Weise, wie sie mit dem menschlichen Körper in Berührung kommen, d. h. durch Einatmen der Dämpfe durch Personen, die sich in Unkenntnis der Gefahr in der Nähe der Ladung aufhalten, oder durch direkten körperlichen Kontakt mit den Stoffen. Diese Möglichkeiten sind im Zusammenhang mit der Wahrscheinlichkeit eines Unfalls während der Beförderung mit Seeschiffen berücksichtigt worden.
  2. Nahezu alle giftigen Stoffe entwickeln unter Feuereinwirkung oder bei der Zersetzung durch Wärmeeinwirkung giftige Gase.
  3. Ein Stoff, bei dem der Zusatz "stabilisiert" angegeben ist, darf in nicht stabilisiertem Zustand nicht befördert werden.

2.6.2.2 Einstufung von giftigen Stoffen in Verpackungsgruppen

2.6.2.2.1 Giftige Stoffe sind für Verpackungszwecke nach dem Grad der bei der Beförderung von ihnen ausgehenden Vergiftungsgefahren in drei Verpackungsgruppen eingestuft:

  1. Verpackungsgruppe I: Stoffe und Zubereitungen mit hoher Vergiftungsgefahr,
  2. Verpackungsgruppe II: Stoffe und Zubereitungen mit mittlerer Vergiftungsgefahr,
  3. Verpackungsgruppe III: Stoffe und Zubereitungen mit geringer Vergiftungsgefahr.

2.6.2.2.2 Bei dieser Einstufung sind Erfahrungen aus Fällen, in denen Menschen unbeabsichtigt Vergiftungen erlitten haben, sowie die besonderen Eigenschaften jedes einzelnen Stoffes wie z.B. Flüssigkeitszustand, hohe Flüchtigkeit, Penetrationswahrscheinlichkeit und besondere biologische Wirkungen in Betracht gezogen worden.

2.6.2.2.3 Sofern keine Erfahrungswerte in Bezug auf den Menschen vorlagen, erfolgte die Einstufung auf der Grundlage von Daten aus Tierversuchen. Drei mögliche Applikationsarten sind untersucht worden. Diese sind:

2.6.2.2.3.1 Zu den entsprechenden Tierversuchsdaten für die verschiedenen Applikationsarten siehe 2.6.2.1. Wies ein Stoff bei zwei oder mehr Applikationsarten unterschiedliche Toxizitätsgrade auf, erfolgte die Einstufung in die Verpackungsgruppe entsprechend dem in den Versuchen ermittelten höchsten Gefahrengrad.

2.6.2.2.4 Die Kriterien für die Einstufung eines Stoffes entsprechend seiner Toxizität bei allen drei Applikationsarten sind im Folgenden dargestellt.

2.6.2.2.4.1 Die Kriterien für die Einstufung in die Verpackungsgruppe für die orale und die dermale Applikationsart sowie für das Einatmen von Stäuben und Nebeln sind in der folgenden Tabelle aufgeführt.

Kriterien für die Einstufung in die Verpackungsgruppe für die Applikationsarten orale Aufnahme, Hautkontakt und Einatmen von Stäuben und Nebeln

Verpackungs-
gruppe
Giftigkeit bei Einnahme
LD50 (mg/kg)
Giftigkeit bei Absorption durch die Haut
LD50 (mg/kg)
Inhalationstoxizität durch Staub und Nebel
LC50(mg/l)
I < 5,0 < 50 < 0,2
II > 5,0 und< 50 > 50 und< 200 > 0,2 und< 2,0
III* > 50 und< 300 > 200 und< 1000 > 2,0 und< 4,0
 *) Tränenreizstoffe müssen in die Verpackungsgruppe II eingestuft werden, auch wenn ihre Toxitätsdaten den Werten für die Verpackungsgruppe III entsprechen.

2.6.2.2.4.2 Die Kriterien für die Inhalationstoxizität von Stäuben und Nebeln nach 2.6.2.2.4.1 basieren auf den LC50-Werten bei einstündiger Applikation. Wenn diese Angaben verfügbar sind, müssen sie verwendet werden. Wenn jedoch nur LC50-Werte bei vierstündiger Applikation von Stäuben und Nebeln verfügbar sind, können diese Werte mit vier multipliziert und die Ergebnisse anstelle der obengenannten Kriterien eingesetzt werden, d. h. LC50 (4 h) x 4 gilt als Äquivalent von LC50 (1 h).

Bemerkung: Stoffe, die die Kriterien der Klasse 8 erfüllen und eine Toxizität beim Einatmen von Stäuben und Nebeln (LC50) entsprechend Verpackungsgruppe I aufweisen, dürfen nur dann der Klasse 6.1 zugeordnet werden, wenn die Toxizität bei oraler Aufnahme oder bei Hautkontakt mindestens der Verpackungsgruppe I oder II entspricht. Andernfalls sind die Stoffe, soweit zutreffend, der Klasse 8 zuzuordnen (siehe 2.8.2.2).

2.6.2.2.4.3 Flüssige Stoffe, die giftige Dämpfe abgeben, sind den nachstehenden Verpackungsgruppen zuzuordnen. Der Buchstabe "V" ist die gesättigte Dampfkonzentration in ml/m3 Luft bei 20 °C und Standardatmosphärendruck.

Verpackungsgruppe I: wenn V> 10 LC50 und LC50< 1000 ml/m3,

Verpackungsgruppe II: wenn V> LC50 und LC50< 3000 ml/m3 und die Kriterien für Verpackungsgruppe I nicht erfüllt sind,

Verpackungsgruppe III*: wenn V> 1/5 LC50 und LC50< 5000 ml/m3 und die Kriterien für Verpackungsgruppe I oder II nicht erfüllt sind.

Bemerkung: Tränenreizstoffe müssen in die Verpackungsgruppe II eingestuft werden, auch wenn ihre Toxizitätsdaten den Werten für die Verpackungsgruppe III entsprechen.

2.6.2.2.4.4 Zur Erleichterung der Zuordnung sind in der Abbildung 2-3 die Kriterien nach 2.6.2.2.4.3 graphisch dargestellt. Wegen der nur ungefähren Genauigkeit, die sich durch die Verwendung graphischer Darstellungen ergibt, müssen Stoffe, die auf eine Grenzlinie zwischen den Verpackungsgruppen fallen oder nahe an der Grenzlinie liegen, anhand von Zahlenwerten überprüft werden.

Abb. 2-3 - Inhalationstoxizität, Grenzlinien zwischen den Verpackungsgruppen

2.6.2.2.4.5 Die Kriterien für die Inhaltionstoxizität von Dämpfen nach 2.6.2.2.4.3 basieren auf den LC50-Werten bei einstündiger Applikation. Wenn diese Angaben verfügbar sind, müssen sie verwendet werden. Wenn jedoch nur LC50-Werte bei vierstündiger Applikation der Dämpfe verfügbar sind, können diese Werte mit zwei multipliziert und die Ergebnisse anstelle der oben genannten Kriterien eingesetzt werden, d.h. LC50 (4 h) x 2 gilt als Äquivalent von LC50 (1 h).

2.6.2.2.4.6 Gemische von flüssigen Stoffen, die beim Einatmen giftig sind, müssen den Verpackungsgruppen entsprechend 2.6.2.2.4.7 oder 2.6.2.2.4.8 zugeordnet werden.

2.6.2.2.4.7 Ist der LC50-Wert für jeden giftigen Stoff, der Bestandteil eines Gemisches ist, bekannt, kann die Verpackungsgruppe wie folgt bestimmt werden:

  1. Berechnung des LC50-Wertes des Gemisches anhand der folgenden Formel:

Hierin bedeuten: fi = Molenbruch des i-ten Bestandteils des Gemisches,

LC50i = mittlere tödliche Konzentration des i-ten Bestandteils in ml/m³

  1. Berechnung der Flüchtigkeit jedes Bestandteils des Gemisches anhand der folgenden Formel:

Hierin bedeuten: pi = Partialdruck des i-ten Bestandteils in kPa bei 20 °C und atmosphärischem Normaldruck

  1. Berechnung des Verhältnisses Flüchtigkeit zu LC5U-Wert anhand der folgenden Formel:

  1. Die Verpackungsgruppe des Gemisches wird unter Verwendung der errechneten Werte für LC50 (Gemisch) und R bestimmt:

Verpackungsgruppe I: R> 10 und LC50 (Gemisch)< 1000 ml/m3,

Verpackungsgruppe II: R> 1 und LC50 (Gemisch)< 3000 ml/m3und die Kriterien für die Verpackungsgruppe I

Verpackungsgruppe III: R> 1/5 und LC50 (Gemisch)< 5000 ml/m3 und die Kriterien für die Verpackungsgruppe I oder II werden nicht erfüllt.

2.6.2.2.4.8 Ist der LC50-Wert der giftigen Komponenten nicht bekannt, kann das Gemisch aufgrund der nachstehend beschriebenen vereinfachten Prüfungen der Schwellentoxizität in eine Verpackungsgruppe eingestuft werden. Bei diesen Prüfungen muss die strengste Verpackungsgruppe bestimmt und für die Beförderung des Gemisches verwendet werden.

  1. Ein Gemisch wird der Verpackungsgruppe I nur dann zugeordnet, wenn es die beiden folgenden Kriterien erfüllt:
  2. Ein Gemisch wird der Verpackungsgruppe II nur dann zugeordnet, wenn es die beiden folgenden Kriterien, nicht aber die Kriterien für die Verpackungsgruppe I erfüllt:
  3. Ein Gemisch wird der Verpackungsgruppe Ill nur dann zugeordnet, wenn es die beiden folgenden Kriterien, nicht aber die Kriterien für die Verpackungsgruppe I oder II erfüllt:

2.6.2.3 Methoden zur Bestimmung der oralen und dermalen Toxizität von Gemischen

2.6.2.3.1 Für die Zuordnung von Gemischen zur Klasse 6.1 und die Einstufung in die geeignete Verpackungsgruppe entsprechend den Kriterien für die orale und dermale Toxizität nach 2.6.2.2 ist die Bestimmung des akuten LD50-Wertes des Gemisches erforderlich.

2.6.2.3.2 Wenn ein Gemisch nur einen Wirkstoff enthält, dessen LD50-Wert bekannt ist, kann, wenn keine verlässlichen Angaben zur oralen und dermalen akuten Toxizität des zu befördernden Gemisches bekannt sind, der orale oder der dermale LD50-Wert durch folgende Berechnungsmethode ermittelt werden:

2.6.2.3.3 Wenn ein Gemisch mehr als einen Wirkstoff enthält, können drei mögliche Methoden für die Bestimmung des oralen oder dermalen LD50-Wertes des Gemisches angewendet werden. Die Ermittlung verlässlicher Daten über die akute orale oder dermale Toxizität des zu befördernden Gemisches gilt als die bevorzugte Methode. Liegen keine verlässlichen genauen Daten vor, kann eine der folgenden Methoden angewendet werden

  1. Zuordnung der Zubereitung entsprechend dem gefährlichsten Bestandteil des Gemisches unter der dieser Bestandteil in der gleichen Konzentration wie die Gesamtkonzentration aller Wirkstoffe vorliegt oder
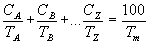
  2. Anwendung der folgenden Formel:

Hierin bedeuten:

C = die Konzentration in % des Bestandteils A, B.... Z des Gemisches
T = der orale LD50-Wert des Bestandteils A, B,.... Z
TM = der orale LD50-Wert des Gemisches.


Bemerkung: Diese Formel kann auch für die dermale Toxizität Anwendung finden, vorausgesetzt, dass diese Angaben in der gleichen Art für alle Bestandteile verfügbar sind. Die Anwendung dieser Formel berücksichtigt keine Potenzierung oder gegenseitige Abschwächung der Wirkungen.

2.6.2.4 Klassifizierung von Pestiziden

2.6.2.4.1 Alle Pestizid-Wirkstoffe und ihre Zubereitungen, deren LC50- und/oder LD50-Werte bekannt sind und die der Klasse 6.1 zugeordnet sind, müssen gemäß den Kriterien in 2.6.2.2 in die geeigneten Verpackungsgruppen eingestuft werden. Die Zuordnung von Stoffen und Zubereitungen, die Zusatzgefahren aufweisen, muss nach der Tabelle der überwiegenden Gefahr in 2.0.3 mit der Einstufung in die entsprechende Verpackungsgruppe erfolgen.

2.6.2.4.2 Ist der orale oder dermale LD50-Wert einer Pestizidzubereitung nicht bekannt, der LD50-Wert ihres (ihrer) Wirkstoffe(s) jedoch bekannt, kann der LD50-Wert der Zubereitung durch Anwendung der Verfahren in 2.6.2.3 ermittelt werden.

Bemerkung: Die LD50-Toxizitätsdaten einer Reihe häufig verwendeter Pestizide können aus der neuesten Ausgabe der Veröffentlichung "The WHO Recommended Classification of Pesticides by Hazard and Guidelines to Classification" entnommen werden, die über Weltgesundheitsorganisation (WHO), International Programme an Chemical Safety, 1211 Genf 27, Schweiz bezogen werden kann. Dieses Dokument kann zwar als Quelle für die LD50-Werte von Pestiziden verwendet werden, das darin enthaltene Einstufungssystem darf jedoch nicht für die Einstufung von Pestiziden für Beförderungszwecke und ihre Einstufung in Verpackungsgruppen angewendet werden. Die Zuordnung und Einstufung müssen nach den Vorschriften dieses Code erfolgen.

2.6.2.4.3 Die bei der Beförderung der Pestizide verwendeten richtigen technischen Namen sind auf der Grundlage des wirksamen Bestandteils, des Aggregatzustands des Pestizids und möglicher Zusatzgefahren zu wählen.

2.6.3 Klasse 6.2 - Ansteckungsgefährliche Stoffe

2.6.3.1 Begriffsbestimmungen

Für Zwecke dieses Code gilt:

2.6.3.1.1 Ansteckungsgefährliche Stoffe sind Stoffe, von denen bekannt oder anzunehmen ist, dass sie Krankheitserreger enthalten. Krankheitserreger sind Mikroorganismen (einschließlich Bakterien, Viren, Rickettsien, Parasiten und Pilze) und andere Erreger wie Prionen, die bei Menschen oder Tieren Krankheiten hervorrufen können.

2.6.3.1.2 Biologische Produkte sind Produkte von lebenden Organismen, die in Übereinstimmung mit den Vorschriften der entsprechenden nationalen Behörden, die besondere Zulassungsvorschriften erlassen können, hergestellt und verteilt werden und die entweder für die Vorbeugung, Behandlung oder Diagnose von Krankheiten an Menschen oder Tieren oder für diesbezügliche Entwicklungs-, Versuchs- oder Forschungszwecke verwendet werden. Sie schließen Fertigprodukte, wie Impfstoffe, oder Zwischenprodukte ein, sind aber nicht auf diese begrenzt.

2.6.3.1.3 Kulturen sind das Ergebnis eines Prozesses, bei dem Krankheitserreger absichtlich vermehrt werden. Diese Begriffsbestimmung schließt von menschlichen oder tierischen Patienten entnommene Proben gemäß der Begriffsbestimmung in 2.6.3.1.4 nicht ein.

2.6.3.1.4 Von Patienten entnommene Proben (Patientenproben) sind menschliches oder tierisches Material, das direkt von Menschen oder Tieren entnommen wird, einschließlich, jedoch nicht begrenzt auf Ausscheidungsstoffe, Sekrete, Blut und Blutbestandteile, Gewebe und Abstriche von Gewebsflüssigkeit sowie Körperteile, die insbesondere zu Forschungs-, Diagnose-, Untersuchungs-, Behandlungs- oder Vorsorgezwecken befördert werden

2.6.3.1.5 Genetisch veränderte Mikroorganismen und Organismen sind Mikororganismen und Organismen, in denen das genetische Material durch gentechnische Methoden absichtlich in einer Weise verändert worden ist, wie sie in der Natur nicht vorkommt.

2.6.3.1.6 Medizinische oder klinische Abfälle sind Abfälle, die aus der medizinischen Behandlung von Tieren oder Menschen oder aus der biologischen Forschung stammen.

2.6.3.2 Klassifizierung ansteckungsgefährliche Stoffe

2.6.3.2.1 Ansteckungsgefährliche Stoffe sind der Klasse 6.2 und je nach Fall der UN-Nummer 2814, 2900, 3291 oder 3373 zuzuordnen.

2.6.3.2.2 Ansteckungsgefährliche Stoffe werden in folgende Kategorien unterteilt:

2.6.3.2.2.1 Kategorie A: Ein ansteckungsgefährlicher Stoff, der in einer solchen Form befördert wird, dass er bei einer Exposition bei sonst gesunden Menschen oder Tieren eine dauerhafte Behinderung oder eine lebensbedrohende oder tödliche Krankheit hervorrufen kann. Beispiele für Stoffe, die diese Kriterien erfüllen, sind in der Tabelle dieses Absatzes aufgeführt.

Bemerkung: Eine Exposition erfolgt, wenn ein ansteckungsgefährlicher Stoff aus der Schutzverpackung austritt und zu einern physischen Kontakt mit Menschen oder Tieren führt.

(a) Ansteckungsgefährliche Stoffe, die diese Kriterien erfüllen und die bei Menschen oder sowohl bei Menschen als auch bei Tieren eine Krankheit hervorrufen können, sind der UN-Nummer 2814 zuzuordnen. Ansteckungsgefährliche Stoffe, die nur bei Tieren eine Krankheit hervorrufen können, sind der UN-Nummer 2900 zuzuordnen.

(b) Die Zuordnung zur UN-Nummer 2814 oder 2900 hat auf der Grundlage der bekannten Anamnese und Symptome des erkrankten Menschen oder Tieres, der lokalen endemischen Gegebenheiten oder der Einschätzung eines Spezialisten bezüglich des individuellen Zustands des erkrankten Menschen oder Tieres zu erfolgen.

Bemerkung 1: Der richtige technische Name für die Beförderung der UN-Nummer 2814 lautet "ANSTECKUNGSGEFÄHRLICHER STOFF, GEFÄHRLICH FUR MENSCHEN". Der richtige technische Name für die Beförderung der UN-Nummer 2900 lautet "ANSTECKUNGSGEFÄHRLICHER STOFF, nur GEFÄHRLICH FUR TIERE".

Bemerkung 2: Die nachfolgende Tabelle ist nicht vollständig. Ansteckungsgefährliche Stoffe, einschließlich neue oder auftauchende Krankheitserreger, die in der Tabelle nicht aufgeführt sind, die jedoch dieselben Kriterien erfüllen, sind der Kategorie a zuzuordnen. Darüber hinaus ist ein Stoff in die Kategorie a aufzunehmen, wenn Zweifel darüber bestehen, ob dieser die Kriterien erfüllt oder nicht.

Bemerkung 3: Diejenigen Mikroorganismen, die in der nachfolgenden Tabelle in Kursivschrift dargestellt sind, sind Bakterien, Mykoplasmen, Rickettsien oder Pilze.

Beispiele für ansteckungsgefährliche Stoffe, die in jeder Form unter die Kategorie a fallen, sofern nichts anderes angegeben ist (siehe 2.6.3.2.2.1 (a))
UN-Nummer und richtiger technischer Name Mikroorganismus
UN 2814
ANSTECKUNGSGEFÄHRLICHER STOFF,
GEFÄHRLICH FÜR MENSCHEN
Bacillus anthracis (nur Kulturen)
Brucela abortus (nur Kulturen)
Brucella melitensis (nur Kulturen)
Brucella suis (nur Kulturen)
Burkholderia mallei - Pseudomonas malei - Rotz (nur Kulturen)
Burkholderia pseudomallei - Pseudomonas pseudomallei (nur Kulturen)
Chiamydia psittaci - aviäre Stämme (nur Kulturen)
Clostridium botulinum (nur Kulturen)
Coccidioides immitis (nur Kulturen)
Coxiella burnetii (nur Kulturen)
Virus des hämorrhagischen Krim-Kongo-Fiebers
Dengue-Virus (nur Kulturen)
Virus der östlichen Pferde-Encephalitis (nur Kulturen)
Escherichia toll, verotoxigen (nur Kulturen)
Ebola-Virus
Flexal-Virus
Francisella tularensis (nur Kulturen)
Guanarito-Virus
Hantaan-Virus
Hanta-Virus, das hämorrhagisches Fieber mit Nierensyndrom hervorruft
Hendra-Virus
Hepatitis-B-Virus (nur Kulturen)
Herpes-B-Virus (nur Kulturen)
humanes Immundefizienz-Virus (nur Kulturen)
hoch pathogenes Vogelgrippe-Virus (nur Kulturen)
japanisches Encephalititis-Virus (nur Kulturen)
Junin-Virus
Kyasanur-Waldkrankheit-Virus
Lassa-Virus
Machupo-Virus
Marburg-Virus
Affenpocken-Virus
Mycobacterium tuberculosis (nur Kulturen)
Nipah-Virus
Virus des hämorrhagischen Omsk-Fiebers
Polio-Virus (nur Kulturen)
Tollwut-Virus (nur Kulturen)
Rickettsia prowazekii (nur Kulturen)
Rickettsia rickettsii (nur Kulturen)
Rifttal-Fiebervirus (nur Kulturen)
Virus der russischen Frühsommer-Encephalitis (nur Kulturen)
Sabia-Virus
Shigella dysenteriae type 1 (nur Kulturen)
Zecken-Encephalitis-Virus (nur Kulturen)
Pocken-Virus
Virus der Venezuela-Pferde-Encephalitis (nur Kulturen)
West-Nil-Virus (nur Kulturen)
Gelbfieber-Virus (nur Kulturen)
Yersinia pestis (nur Kulturen)
UN 2900
ANSTECKUNGSGEFÄHRLICHER STOFF,
nur GEFÄHRLICH FÜR TIERE
Virus des afrikanischen Schweinefiebers (nur Kulturen)
Aviäres Paramyxo-Virus Typ 1 - Virus der velogenen Newcastle-Krankheit (nur Kulturen
klassisches Schweinefieber-Virus (nur Kulturen)
Maul- und Klauenseuche-Virus (nur Kulturen)
Lumpy skin disease virus (nur Kulturen)
Mycoplasma mycoides - infektiöse bovine Pleuropneumonie (nur Kulturen)
Kleinwiederkäuer-Pest-Virus (nur Kulturen)
Rinderpest-Virus (nur Kulturen)
Schafpocken-Virus (nur Kulturen)
Ziegenpocken-Virus (nur Kulturen)
Virus der vesikulären Schweinekrankheit (nur Kulturen)
Vesicular stomatitis virus (nur Kulturen)

2.6.3.2.2.2 Kategorie B: Ein ansteckungsgefährlicher Stoff, der den Kriterien für eine Aufnahme in Kategorie a nicht entspricht. Ansteckungsgefährliche Stoffe der Kategorie B sind der UN-Nummer 3373 zuzuordnen.

Bemerkung: Der richtige technische Name für die Beförderung der UN-Nummer 3373 lautet "BIOLOGISCHER STOFF, KATEGORIE B".

2.6.3.2.3 Freistellungen

2.6.3.2.3.1 Stoffe, die keine ansteckungsgefährlichen Stoffe enthalten, oder Stoffe, bei denen es unwahrscheinlich ist, dass sie bei Menschen oder Tieren Krankheiten hervorrufen, unterliegen nicht den Vorschriften dieses Codes, es sei denn, sie entsprechen den Kriterien für die Aufnahme in eine andere Klasse.

2.6.3.2.3.2 Stoffe, die Mikroorganismen enthalten, die gegenüber Menschen oder Tieren nicht pathogen sind, unterliegen nicht den Vorschriften dieses Codes, es sei denn, sie entsprechen den Kriterien für die Aufnahme in eine andere Klasse.

2.6.3.2.3.3 Stoffe in einer Form, in der jegliche vorhandene Krankheitserreger so neutralisiert oder deaktiviert wurden, dass sie kein Gesundheitsrisiko mehr darstellen, unterliegen nicht den Vorschriften dieses Codes, es sei denn, sie entsprechen den Kriterien für die Aufnahme in eine andere Klasse.

2.6.3.2.3.4 Umweltproben (einschließlich Nahrungsmittel und Wasserproben), bei denen nicht davon auszugehen ist, dass sie ein bedeutsames Infektionsrisiko darstellen, unterliegen nicht den Vorschriften dieses Codes, es sei denn, sie entsprechen den Kriterien für die Aufnahme in eine andere Klasse.

2.6.3.2.3.5 Getrocknetes Blut, das durch Aufbringen eines Blutropfens auf eine absorbierende Fläche gewonnen wird, oder Vorsorgeuntersuchungen (Screening-Tests) für im Stuhl enthaltenes Blut sowie Blut oder Blutbestandteile, die für Zwecke der Transfusion oder der Zubereitung von Blutprodukten für die Verwendung bei der Transfusion oder der Transplantation gesammelt wurden, und alle Gewebe oder Organe, die zur Transplantation bestimmt sind, unterliegen nicht den Vorschriften dieses Codes.

2.6.3.2.3.6 Von Menschen oder Tieren entnommene Proben (Patientenproben), bei denen eine minimale Wahrscheinlichkeit besteht, dass sie Krankheitserreger enthalten, unterliegen nicht den Vorschriften dieses Codes, wenn die Probe in einer Verpackung befördert wird, die jegliches Freiwerden verhindert und die mit dem Aufdruck "FREIGESTELLTE MEDIZINISCHE PROBE" bzw. "FREIGESTELLTE VETERINÄRMEDIZINISCHE PROBE" gekennzeichnet ist.

Die Verpackung sollte den folgenden Bedingungen entsprechen:

  1. Die Verpackung sollte aus drei Bestandteilen bestehen:
    1. (einem) wasserdichten Primärgefäß(en);
    2. einer wasserdichten Sekundärverpackung und
    3. einer in Bezug auf ihren Fassungsraum, ihre Masse und ihre beabsichtigte Verwendung ausreichend festen Außenverpackung, bei der mindestens eine der Oberflächen eine Mindestabmessung von 100 mm x 100 mm aufweist.
  2. Für flüssige Stoffe sollte zwischen dem (den) Primärgefäß(en) und der Sekundärverpackung absorbierendes Material in einer für die Aufnahme des gesamten Inhalts ausreichenden Menge eingesetzt sein, so dass ein während der Beförderung austretender oder auslaufender flüssiger Stoff nicht die Außenverpackung erreicht und nicht zu einer Beeinträchtigung der Unversehrtheit des Polstermaterials führt.
  3. Wenn diese entweder einzeln eingewickelt oder so voneinander getrennt sein, dass eine gegenseitige Berührung verhindert wird.
Bemerkung: Für die Feststellung, ob ein Stoff nach den Vorschriften dieses Absatzes freigestellt fachliche Beurteilung erforderlich. Diese Beurteilung sollte auf der Grundlage der bekannten Anamnese, Symptome und individuellen Gegebenheiten des betreffenden Patienten oder Tieres und den lokalen endemischen Bedingungen erfolgen. Beispiele für Proben, die nach den Vorschriften dieses Absatzes befördert werden können, sind

2.6.3.3 Biologische Produkte

2.6.3.3.1 Für Zwecke dieses Codes werden biologische Produkte in folgende Gruppen unterteilt:

(a) solche Produkte, die in Übereinstimmung mit den Vorschriften der zuständigen nationalen Behörden hergestellt und verpackt sind und zum Zwecke ihrer endgültigen Verpackung oder Verteilung befördert werden und die für die Behandlung durch medizinisches Personal oder Einzelpersonen verwendet werden. Stoffe dieser Gruppe unterliegen nicht den Vorschriften dieses Codes;

(b) solche Produkte, die nicht unter den Absatz a) fallen und von denen bekannt ist oder bei denen Gründe für die Annahme bestehen, dass sie ansteckungsgefährliche Stoffe enthalten, und die den Kriterien für eine Aufnahme in Kategorie a oder B entsprechen. Stoffe dieser Gruppe sind je nach Fall der UN-Nummer 2814, 2900 oder 3373 zuzuordnen.

Bemerkung: Bei einigen amtlich zugelassenen biologischen Produkten ist eine biologische Gefahr nur in bestimmten Teilen der Welt gegeben. In diesem Fall können die zuständigen Behörden vorschreiben, dass diese biologischen Produkte den örtlichen Vorschriften für ansteckungsgefährliche Stoffe entsprechen müssen, oder andere Einschränkungen verfügen.

2.6.3.4 Genetisch veränderte Mikroorganismen und Organismen

Genetische veränderte Mikroorganismen, die nicht der Begriffsbestimmung für ansteckungsgefährliche Stoffe entsprechen, sincl nach Kapitel 2.9 zu klassifizieren.

2.6.3.5 Medizinische oder klinische Abfälle

2.6.3.5.1 Medizinische oder klinische Abfälle, die ansteckungsgefährliche Stoffe der Kategorie a enthalten, sind je nach Fall der UN-Nummer 2814 oder 2900 zuzuordnen. Medizinische oder klinische Abfälle, die ansteckungsgefährliche Stoffe der Kategorie B enthalten, sind der UN-Nummer 3291 zuzuordnen.

2.6.3.5.2 Medizinische oder klinische Abfälle, bei denen Gründe für die Annahme bestehen, dass eine geringe Wahrscheinlichkeit für das Vorhandensein ansteckungsgefährlicher Stoffe besteht, sind der UN-Nummer 3291 zuzuordnen.

Bemerkung: Der richtige technische Name für die Beförderung von UN 3291 lautet "KLINI-SCHER ABFALL, UNSPEZIFIZIERT, N.A.G." oder "(BIO)MEDIZINISCHER ABFALL, N.A.G." oder "UNTER DIE VORSCHRIFTEN FALLENDER MEDIZINISCHER ABFALL, N.A.G.".

2.6.3.5.3 Dekontaminierte medizinische oder klinische Abfälle, die vorher ansteckungsgefährliche Stoffe enthalten haben, unterliegen nicht den Vorschriften dieses Codes, es sei denn, sie entsprechen den Kriterien für die Aufnahme in eine andere Klasse.

2.6.3.6 Infizierte Tiere

2.6.3.6.1 Lebende Tiere dürfen nicht dazu benutzt werden, ansteckungsgefährliche Stoffe zu befördern, es sei denn, dieser kann nicht auf eine andere Weise befördert werden. Lebende Tiere, die absichtlich infiziert wurden und von denen bekannt ist oder bei denen der Verdacht besteht, dass sie einen ansteckungsgefährlichen Stoff enthalten, dürfen nur unter den von den zuständigen Behörden genehmigten Bedingungen und nach den einschlägigen Regelungen für Tiertransporte befördert werden.

2.6.3.6.2 Tierkörper, die mit Krankheitserregern der Kategorie a oder mit Krankheitserregern, die nur in Kulturen der Kategorie a zuzuordnen wären, behaftet sind, sind je nach Fall der UN-Nummer 2814 oder 2900 zuzuordnen.

Die übrigen Tierkörper, die mit Krankheitserregern der Kategorie B behaftet sind, sind gemäß den von der zuständigen Behörde festgelegten Vorschriften zu befördern.

_____________

*) Tränenreizstoffe müssen in die Verpackungsgruppe II eingestuft werden, auch wenn ihre Toxizitätsdaten den Werten für die Verpackungsgruppe III entsprechen.

weiter .

umwelt-online - Demo-Version


(Stand: 29.03.2021)

Alle vollständigen Texte in der aktuellen Fassung im Jahresabonnement
Nutzungsgebühr: ab 105.- € netto

(derzeit ca. 7200 Titel s.Übersicht - keine Unterteilung in Fachbereiche)

Preise & Bestellung

Die Zugangskennung wird kurzfristig übermittelt

? Fragen ?
Abonnentenzugang/Volltextversion