Für einen individuellen Ausdruck passen Sie bitte die
Einstellungen in der Druckvorschau Ihres Browsers an.
Regelwerk, Gefahrgut, Schifffahrt, MEPC

Entschließung MEPC.333(76)
"Richtlinien von 2021 über die Methode zur Berechnung des erreichten Energieeffizienz-Kennwerts für vorhandene Schiffe (EEXI)"

(Angenommen am 17. Juni 2021)
(VkBl. Nr. 18 vom 30.09.2022 S. 630; 31.12.2022 S. 896,aufgehoben)



Zur Nachfolgeregelung Entschließung MEPC.350(78)

DER AUSSCHUSS FÜR DEN SCHUTZ DER MEERES-UMWELT,

GESTÜTZT auf Artikel 38 Buchstabe a des Übereinkommens über die Internationale Seeschifffahrts-Organisation betreffend die Aufgaben, die dem Ausschuss für den Schutz der Meeresumwelt durch internationale Übereinkommen zur Verhütung und Bekämpfung der Meeresverschmutzung durch Schiffe übertragen werden,

IM HINBLICK DARAUF, dass er mit Entschließung MEPC.328(76) die revidierte Anlage VI von MARPOL von 2021 angenommen hat, deren Inkrafttreten nach ihrer als am 1. Mai 2022 erfolgt erachteten Billigung am 1. November 2022 erwartet wird,

INSBESONDERE IM HINBLICK DARAUF, dass die revidierte Anlage VI von MARPOL von 2021 Änderungen enthält, die verbindliche zielorientierte technische und betriebliche Maßnahmen zur Verringerung der Kohlenstoffintensität der internationalen Schifffahrt betreffen,

SOWIE IM HINBLICK DARAUF, dass Regel 23 der Anlage VI von MARPOL verlangt, dass der erreichte EEXI unter Berücksichtigung der von der Organisation erarbeiteten Richtlinien berechnet werden muss,

IN DER ERKENNTNIS, dass die zuvor genannten Änderungen der Anlage VI von MARPOL einschlägige Richtlinien erfordern, die für eine einheitliche und wirksame Umsetzung der Regeln sorgen und der Industrie hinreichende Vorlaufzeiten geben, sich vorzubereiten,

NACH DER auf seiner sechsundsiebzigsten Tagung erfolgten Prüfung desEntwurfs der Richtlinien von 2021 über die Methode zur Berechnung des erreichten Energieeffizienz-Kennwerts für vorhandene Schiffe (EEXI),

  1. BESCHLIESST dieRichtlinien von 2021 über die Methode zur Berechnung des erreichten Energieeffizienz-Kennwerts für vorhandene Schiffe (EEXI), deren Wortlaut in der Anlage zu dieser Entschließung wiedergegeben ist;
  2. FORDERT die Verwaltungen auf, die in der Anlage wiedergegebenen Richtlinien bei der Erarbeitung und Verabschiedung innerstaatlicher Rechtsvorschriften zur Inkraftsetzung und Durchführung der Bestimmungen in Regel 23 der Anlage VI von MARPOL zu berücksichtigen;
  3. ERSUCHT die Vertragsparteien der Anlage VI von MARPOL und die anderen Mitgliedsregierungen, die in der Anlage wiedergegebenen Richtlinien Kapitänen, Seeleuten, Schiffseignern, Schiffsbetreibern und jeglichen anderen beteiligten Parteien zur Kenntnis zu bringen;
  4. STIMMT DARIN ÜBEREIN, diese Richtlinien unter Berücksichtigung der bei ihrer Umsetzung gewonnenen Erfahrungen und angesichts der von der Organisation gemäß Regel 25 Absatz 3 der Anlage VI von MARPOL bis zum 1. Januar 2026 abzuschließenden Überarbeitung der EEXI-Regeln einer regelmäßigen Überprüfung zu unterziehen.

1 Begriffsbestimmungen

1.1 Der Ausdruck "MARPOL" bezeichnet die jeweils gültige Fassung des durch die diesbezüglichen Protokolle von 1978 und 1997 geänderten Internationalen Übereinkommens von 1973 zur Verhütung der Meeresverschmutzung durch Schiffe.

1.2 Im Sinne dieser Richtlinien gelten die Begriffsbestimmungen in der jeweils gültigen Fassung der Anlage VI von MARPOL.

2 Energieeffizienz-Kennwert für vorhandene Schiffe (EEXI)

2.1 EEXI-Formel

Der erreichte Energieeffizienz-Kennwert für vorhandene Schiffe ist ein Maß für die Energieeffizienz (g/t * nm) von Schiffen und wird mittels folgender Formel berechnet:

* Wird ein Teil des bei Normalbetrieb auf See maximal auftretenden Stromverbrauchs von Wellengeneratoren bereitgestellt, so können - für diesen Teil der Leistung - SFCME und CFME anstelle von SFCAE und CFAE verwendet werden.

** Ist PPTI(i) > 0, so ist der gewichtete Mittelwert von (SFCME x CFME) und (SFCAE x CFAE) zur Berechnung von Peff zu verwenden.

Anmerkung: Diese Formel kann möglicherweise nicht bei einem Schiff mit dieselelektrischem Antrieb, Turbinenantrieb oder einem Hybridantriebssystem angewendet werden; dies gilt nicht bei für Kreuzfahrten eingesetzten Fahrgastschiffen und bei LNG-Tankschiffen.

Für Schiffe, die in den Anwendungsbereich der EEDI-Anforderung fallen, kann deren gemäß den (nachfolgend als " EEDI-Berechnungsrichtlinien" bezeichneten)Richtlinien von 2018 über die Methode zur Berechnung des erreichten Energieeffizienz-Kennwerts (EEDI) für Schiffsneubauten (Entschließung MEPC.308(73) in ihrer jeweils gültigen Fassung) berechneter erreichter EEDI als erreichter EEXI verwendet werden, sofern der Wert des erreichten EEDI dem vorgeschriebenen EEXI entspricht oder geringer als dieser ist.

2.2 Parameter

Sofern nicht ausdrücklich etwas anderes angegeben ist, gelten für die Berechnung des erreichten EEXI mittels der Formel in Absatz 2.1 die Parameter gemäß den EEDI-Berechnungsrichtlinien. Bei der Bezugnahme auf die zuvor genannten Richtlinien ist die Bezeichnung "EEDI" als "EEXI" zu lesen.

2.2.1PME(i); Leistung von Hauptmotoren

In Fällen, in denen eine aufhebbare Drosselung der Wellen-/Motorleistung gemäß denRichtlinien von 2021 über die Drosselung der Wellen-/Motorleistung zur Einhaltung der EEXI-Anforderungen und über die Nutzung einer Leistungsreserve (Entschließung MEPC.335(76)) installiert ist, beträgt PME(i) für jeden Hauptmotor (i) 83 % der gedrosselten installierten Leistung (MCRlim) oder 75 % der ursprünglich installierten Leistung (MCR), je nachdem, welcher Wert der Geringere ist. In Fällen, in denen sowohl die aufhebbare Drosselung der Wellen-/Motorleistung als auch ein oder mehrere Wellengeneratoren installiert sind, muss bei der Bezugnahme auf Absatz 2.2.5.2 (Möglichkeit 1) der EEDI-Berechnungsrichtlinien "MCRME" als "MCRlim" gelesen werden.

Für LNG-Tankschiffe, die über einen Dampfturbinen- oder dieselelektrischen Antrieb verfügen, beträgt PME(i) für jeden Hauptmotor (bzw. jede Antriebsmaschine) (i) 83 % der gedrosselten installierten Leistung (MCRlim bzw. MPPlim), im Falle eines dieselelektrischen Antriebssystems geteilt durch den elektrischen Wirkungsgrad. Für LNG-Tankschiffe muss die aus der Verbrennung des überschüssigen natürlichen Boil-Off-Gases in den Motoren oder Kesseln gewonnene Leistung zur Vermeidung der Freisetzung in die Atmosphäre oder unnötiger thermischer Oxidation mit der Genehmigung durch den Prüfer von PME(i) abgezogen werden.

2.2.2PAE(i); Leistung von Hilfsmotoren

2.2.2.1PAE(i) wird gemäß Absatz 2.2.5.6 der EEDI-Berechnungsrichtlinien berechnet.

2.2.2.2 Für Schiffe, bei denen sich der mittels der Absätze 2.2.5.6.1 bis 2.2.5.6.3 der EEDI-Berechnungsrichtlinien als Leistung von Hilfsmotoren (PAE) berechnete Wert deutlich von der Gesamtleistungsaufnahme beim Normalbetrieb auf See unterscheidet, z.B. im Falle von Fahrgastschiffen, muss der PAE-Wert geschätzt werden, indem der Stromverbrauch (ausgenommen derjenige für den Vortrieb) unter Bedingungen, bei denen das Schiff mit der in der Stromverbrauchstabelle angegebenen Referenzgeschwindigkeit (Vref) in Fahrt ist, durch den durchschnittlichen, nach Leistung gewichteten Wirkungsgrad des Generators (der Generatoren) geteilt wird (siehe Anhang 2 der EEDI-Berechnungsrichtlinien).

2.2.2.3 In Fällen, in denen keine Stromverbrauchstabelle verfügbar ist, kann der PAE-Wert wie folgt abgeschätzt werden:

  1. entweder mittels des durchschnittlichen Jahreswertes von PAE im Seebetrieb, der vor der EEXI-Zertifizierung durch Auswertung an Bord erfasster Daten ermittelt wurde; oder
  2. bei für Kreuzfahrten eingesetzten Fahrgastschiffen als der wie folgt bestimmte Schätzwert für die Leistung der Hilfsmotoren (PAE,app):
    PAE,app = 0,1193 x GT + 1814,4 [kW]; oder
  3. bei Ro-Ro-Fahrgastschiffen als der wie folgt bestimmte Schätzwert für die Leistung der Hilfsmotoren (PAE,app):
    PAE,app = 0,866 x GT0,732 [kW]

2.2.3Vref; Schiffsgeschwindigkeit

2.2.3.1 Für Schiffe, die in den Anwendungsbereich der EEDI-Anforderung fallen, muss die Schiffsgeschwindigkeit Vref einer genehmigten Geschwindigkeits-Leistungskurve gemäß der jeweils gültigen Fassung derRichtlinien von 2014 über Besichtigungen im Hinblick auf den erreichten Energieeffizienz-Kennwert (EEDI) und die Ausstellung von Zeugnissen darüber (Entschließung MEPC.254(67), in ihrer jeweils gültigen Fassung) entnommen werden.

2.2.3.2 Für Schiffe, die nicht in den Anwendungsbereich der EEDI-Anforderung fallen, muss die Schiffsgeschwindigkeit Vref einer geschätzten Geschwindigkeits-Leistungskurve gemäß der Festlegung in denRichtlinien von 2021 über Besichtigungen im Hinblick auf den erreichten EEXI und die Ausstellung von Zeugnissen darüber (Entschließung MEPC.334(76)) entnommen werden.

2.2.3.3 Für Schiffe, die nicht in den Anwendungsbereich der EEDI-Anforderung fallen, aber deren beim EEDI-Tiefgang und unter den in Absatz 2.2.2 der EEDI-Berechnungsrichtlinien angegebenen Seeverhältnissen ermittelte Probefahrtergebnisse, die anhand des Tankversuchs kalibriert worden sein können, im Probefahrtbericht enthalten sind, kann die Schiffsgeschwindigkeit Vref dem Probefahrtbericht entnommen werden:

Dabei ist

VS,EEDI, die bei der Probefahrt beim EEDI-Tiefgang gemessene Dienstgeschwindigkeit; und

PS,EEDI die Leistung des Hauptmotors entsprechend VS,EEDI.

2.2.3.4 Für Containerschiffe, Massengutschiffe oder Tankschiffe, die nicht in den Anwendungsbereich der EEDI-Anforderung fallen, aber deren beim Entwurfstiefgang und unter den in Absatz 2.2.2 der EEDI-Berechnungsrichtlinien angegebenen Seeverhältnissen ermittelte Probefahrtergebnisse, die mittels des Tankversuchs kalibriert worden sein können, im Probefahrtbericht enthalten sind, kann die Schiffsgeschwindigkeit Vref dem Probefahrtbericht entnommen werden:

Dabei ist

VS,service die bei der Probefahrt beim Entwurfstiefgang gemessene Dienstgeschwindigkeit;

DWTS,service die Tragfähigkeit beim Entwurfstiefgang;

PS,service die Leistung des Hauptmotors entsprechend VS,service;

k der wie folgt anzusetzende Schiffsgrößen-Koeffizient:

  1. 0,95 für Containerschiffe mit nicht mehr als 120.000 DWT;
  2. 0,93 für Containerschiffe mit mehr als 120.000 DWT;
  3. 0,97 für Massengutschiffe mit nicht mehr als 200.000 DWT;
  4. 1,00 für Massengutschiffe mit mehr als 200.000 DWT;
  5. 0,97 für Tankschiffe mit nicht mehr als 100.000 DWT; und
  6. 1,00 für Tankschiffe mit mehr als 100.000 DWT.

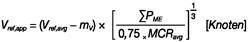
2.2.3.5 In Fällen, bei denen keine Geschwindigkeits-Leistungskurve verfügbar ist oder bei denen der Probefahrtbericht keine beim EEDI- oder Entwurfstiefgang gemessenen Daten enthält, kann die Schiffsgeschwindigkeit Vref durch die wie folgt aus dem statistischen Mittel der Verteilung von Schiffsgeschwindigkeit und Motorleistung zu bestimmende Geschwindigkeit Vref,app angenähert werden:

Bei LNG-Tankschiffen, die über ein dieselelektrisches Antriebssystem verfügen und bei für Kreuzfahrten eingesetzten Fahrgastschiffen mit unkonventionellem Antrieb gilt:

dabei ist

Vref,avg ein schiffstypen- und schiffsgrößenabhängiges statistisches Mittel der Verteilung der Schiffsgeschwindigkeit, das wie folgt zu berechnen ist:

Vref,avg = a x BC

dabei sind

A, B und C die im Anhang angegebenen Parameter;

mV eine Leistungsreserve eines Schiffes, die 5 % von Vref,avg oder 1 kn beträgt, je nachdem, welcher Wert der geringere ist; und

MCRavg ein schiffstypen- und schiffsgrößenabhängiges statistisches Mittel für die MCR-Verteilung bei Hauptmotoren und MPPavg ein schiffstypen- und schiffsgrößenabhängiges statistisches Mittel für die MPP-Verteilung bei Elektromotoren; diese Werte sind wie folgt zu berechnen:

MCRavg oder MPPavg = D x EF

dabei sind

D, E und F die im Anhang angegebenen Parameter;

In Fällen, in denen die aufhebbare Drosselung der Wellen-/Motorleistung installiert ist, muss die durch Vref,app angenäherte Schiffsgeschwindigkeit Vref wie folgt berechnet werden:

Bei LNG-Tankschiffen, die über ein dieselelektrisches Antriebssystem verfügen, und bei für Kreuzfahrten eingesetzten Fahrgastschiffen mit unkonventionellem Antrieb muss die durch Vref,app angenäherte Schiffsgeschwindigkeit Vref wie folgt berechnet werden:

2.2.3.6 Ungeachtet der vorstehenden Bestimmung kann sich in Fällen, in denen die Energiesparvorrichtung * installiert ist, deren Wirkung mit der Genehmigung durch den Prüfer in der Schiffsgeschwindigkeit Vref niederschlagen, wobei die folgenden Methoden in Übereinstimmung mit festgelegten Qualitätsstandards und technischen Normen zu Grunde zu legen sind:

  1. Probefahrten nach der Installation der Vorrichtung; und/oder
  2. diesbezügliche Modellversuche; und/oder
  3. numerische Berechnungen.

2.2.4SFC; Bescheinigter spezifischer Brennstoffverbrauch

In Fällen, in denen eine aufhebbare Drosselung der Wellen-/Motorleistung installiert ist, muss der der Leistung des Hauptmotors PME entsprechende spezifische Brennstoffverbrauch SFC unter Verwendung derjenigen SFCs interpoliert werden, die in dem betreffenden Prüfbericht aufgeführt sind, welcher in einer genehmigten Technischen NOX-Akte des Hauptmotors gemäß Absatz 1.3.15 der Technischen NOX-Vorschrift enthaltenen ist.

Ungeachtet der vorstehenden Bestimmung darf der vom Hersteller angegebene oder vom Prüfer bestätigte SFC verwendet werden.

Für diejenigen Motoren, deren Technische NOX -Akte keinen Prüfbericht enthält und für die kein SFC vom Hersteller angegeben oder vom Prüfer bestätigt ist, kann der SFC durch den wie folgt bestimmten SFCapp angenähert werden:

SFCME,app = 190 [g/kWh]
SFCAE,app = 215 [g/kWh]

2.2.5CF; Umrechnungsfaktor zwischen Brennstoffverbrauch und CO2-Ausstoß

Für diejenigen Motoren, deren Technische NOX -Akte keinen Prüfbericht enthält und für die kein SFC vom Hersteller angegeben ist, muss der dem SFCapp entsprechende Faktor CF wie folgt bestimmt werden:

CF = 3,114[t x CO2/t x Fuel] für mit Dieselkraftstoff (einschließlich des in der Praxis verwendeten Schweröls) betriebene Schiffe

Andernfalls gilt Absatz 2.2.1 der EEDI-Berechnungsrichtlinien.

2.2.6 Korrekturfaktor für Ro-Ro-Frachtschiffe und Ro-Ro-Fahrgastschiffe (fjRoRo)

Für Ro-Ro-Frachtschiffe und Ro-Ro-Fahrgastschiffe wird fjRoRo wie folgt berechnet:

falls fjRoRo > 1 ist, gilt fj = 1

Dabei ist FnL die wie folgt bestimmte Froude-Zahl:

dabei ist Vref,F die Entwurfsgeschwindigkeit des Schiffes bei 75 % MCRME, und die Exponenten α, β, γ und δ sind wie folgt bestimmt:

Schiffstyp Exponent:
α β γ δ
Ro-Ro-Frachtschiff 2,00 0,50 0,75 1,00
Ro-Ro-Fahrgastschiff 2,50 0,75 0,75 1,00

2.2.7 Korrekturfaktor für den Rauminhalt für Ro-Ro-Frachtschiffe (Fahrzeugtransportschiffe) (fcVEHICLE)

Für Ro-Ro-Frachtschiffe (Fahrzeugtransportschiffe), deren DWT/GT-Verhältnis kleiner als 0,35 ist, muss der folgende Korrekturfaktor für den Rauminhalt, fcVEHICLE, angewendet werden:

Dabei ist DWT die Kapazität und GT die Bruttoraumzahl gemäß Regel 3 der Anlage I des Internationalen Schiffsvermessungs-Übereinkommens von 1969.

.

Anhang

Parameter zur Berechnung von Vref,avg

Schiffstyp A B C
Massengutschiff 10,6585 DWT des Schiffes 0,02706
Gastankschiff 7,4462 DWT des Schiffes 0,07604
Tankschiff 8,1358 DWT des Schiffes 0,05383
Containerschiff 3,2395 DWT des Schiffes, wenn DWT ≤ 80.000;
80.000, wenn DWT > 80.000
0,18294
Stückgutschiff 2,4538 DWT des Schiffes 0,18832
Kühlfrachtschiff 1,0600 DWT des Schiffes 0,31518
Tank-Massengutschiff 8,1391 DWT des Schiffes 0,05378
LNG-Tankschiff 11,0536 DWT des Schiffes 0,05030
Ro-Ro-Frachtschiff (Fahrzeugtransportschiff) 16,6773 DWT des Schiffes 0,01802
Ro-Ro-Frachtschiff 8,0793 DWT des Schiffes 0,09123
Ro-Ro-Fahrgastschiff 4,1140 DWT des Schiffes 0,19863
Für Kreuzfahrten eingesetztes Fahrgastschiff mit unkonventionellem Antrieb 5,1240 GT des Schiffes 0,12714

Parameter zur Berechnung von MCRavg oder MPPavg (= D x EF)

Schiffstyp D E F
Massengutschiff 23,7510 DWT des Schiffes 0,54087
Gastankschiff 21,4704 DWT des Schiffes 0,59522
Tankschiff 22,8415 DWT des Schiffes 0,55826
Containerschiff 0,5042 DWT des Schiffes, wenn DWT ≤ 95.000;
95.000, wenn DWT > 95.000
1,03046
Stückgutschiff 0,8816 DWT des Schiffes 0,92050
Kühlfrachtschiff 0,0272 DWT des Schiffes 1,38634
Tank-Massengutschiff 22,8536 DWT des Schiffes 0,55820
LNG-Tankschiff 20,7096 DWT des Schiffes 0,63477
Ro-Ro-Frachtschiff (Fahrzeugtransportschiff) 262,7693 DWT des Schiffes 0,39973
Ro-Ro-Frachtschiff 37,7708 DWT des Schiffes 0,63450
Ro-Ro-Fahrgastschiff 9,1338 DWT des Schiffes 0,91116
Für Kreuzfahrten eingesetztes Fahrgastschiff mit unkonventionellem Antrieb 1,3550 GT des Schiffes 0,88664

Berechnung der Parameter zum Berechnen von Vref,avg und MCRavg

Datenquellen

1 Die IHS Fairplay (IHSF) Datenbank wurde wie folgt ausgewertet:

Schiffstyp Schiffsgröße Zeitraum der Ablieferung Art des Antriebssystems Anzahl der Schiffe
Massengutschiff > 10.000 DWT Vom 1. Januar 1999 bis zum 1. Januar 2009 konventionell 2433
Gastankschiff > 2.000 DWT konventionell 292
Tankschiff > 4.000 DWT konventionell 3345
Containerschiff > 10.000 DWT konventionell 2185
Stückgutschiff > 3.000 DWT konventionell 1673
Kühlfrachtschiff > 3.000 DWT konventionell 53
Tank-Massengutschiff > 4.000 DWT konventionell 3351
LNG-Tankschiff > 10.000 DWT konventionell, unkonventionell 185
Ro-Ro-Frachtschiff (Fahrzeugtransportschiff) > 10.000 DWT konventionell 301
Ro-Ro-Frachtschiff > 1.000 DWT Vom 1. Januar 1998 bis zum 31. Dezember 2010 konventionell 188
Ro-Ro-Fahrgastschiff > 250 DWT konventionell 350
Für Kreuzfahrten eingesetztes Fahrgastschiff mit unkonventionellem Antrieb > 25.000 GT Vom 1. Januar 1999 bis zum 1. Januar 2009 unkonventionell 93

2 Datensätze, bei denen die "Dienstgeschwindigkeit", die "Kapazität" und/oder die "Gesamt kW des Hauptmotors" nicht oder mit Null angegeben sind, wurden nicht berücksichtigt.

3 Die Schiffstypen stimmen mit denen in den Tabellen 1 und 2 der Entschließung MEPC.231(65)Richtlinien von 2013 für die Berechnung von Referenzlinien zur Verwendung in Verbindung mit dem Energieeffizienz-Kennwert (EEDI) überein. Jedoch beinhaltet das "Gastankschiff" hier nicht das "LNG-Tankschiff". Die Parameter für "LNG-Tankschiff" sind gesondert angegeben.

________

.

Bekanntmachung der Entschließung des Ausschusses für den Schutz der Meeresumwelt MEPC.333(76) "Richtlinien von 2021 über die Methode zur Berechnung des erreichten Energieeffizienz-Kennwerts für vorhandene Schiffe (EEXI)", in deutscher Sprache

Hamburg, den 01. September 2022
(VkBl. Nr. 18 vom 30.09.2022 S. 630)

Az.: 11-3-0

Durch die Dienststelle Schiffssicherheit der BG Verkehr wird hiermit die Entschließung des Ausschusses für den Schutz der Meeresumwelt MEPC.333(76) "Richtlinien von 2021 über die Methode zur Berechnung des erreichten Energieeffizienz-Kennwerts für vorhandene Schiffe (EEXI)", in deutscher Sprache amtlich bekannt gemacht.
ID: 222032

* Vorrichtungen, die die Leistungskurve verschieben, wodurch sich PP und Vref ändern, wie im Rundschreiben MEPC.1/Rundschreiben 815 zur Anleitung von 2013 zur Behandlung innovativer Energieeffizienztechnologien bei der Berechnung und Überprüfung des erreichten EEDI angegeben.

ENDE

umwelt-online - Demo-Version


(Stand: 07.06.2024)

Alle vollständigen Texte in der aktuellen Fassung im Jahresabonnement
Nutzungsgebühr: ab 105.- € netto

(derzeit ca. 7200 Titel s.Übersicht - keine Unterteilung in Fachbereiche)

Preise & Bestellung

Die Zugangskennung wird kurzfristig übermittelt

? Fragen ?
Abonnentenzugang/Volltextversion