Für einen individuellen Ausdruck passen Sie bitte dieEinstellungen in der Druckvorschau Ihres Browsers an. Regelwerk, Gefahrgut/Transport / See / MSC |
Entschließung MSC.362(92)
Überarbeitete Empfehlung für ein Standardverfahren zur Bewertung von Querflutungseinrichtungen
Vom 11. Juni 2014
(VkBl. Nr. 23 vom 15.07.2014 S. 553)
Siehe Fn *
(angenommen am 14. Juni 2013)
Der Schiffssicherheitsausschuss,
Gestützt auf Artikel 28 Buchstabe b des Übereinkommens über die Internationale Seeschifffahrts-Organisation betreffend die Aufgaben des Ausschusses,
Sowie gestützt auf die Entschließung A.266(VIII), mit welcher die Vollversammlung auf ihrer achten Tagung die Recommendation on a standard method for establishing compliance with the requirements for crossflooding arrangements in passengerships (Empfehlung für ein Standardverfahren zum Nachweis der Einhaltung der Anforderungen an Querflutungseinrichtungen von Fahrgastschiffen) angenommen hat,
Des Weiteren gestützt auf die Entschließung MSC. 245(83), mit welcher der Schiffssicherheitsausschuss auf seiner dreiundachtzigsten Tagung die Empfehlung für ein Standardverfahren zur Bewertung von Querflutungseinrichtungen angenommen hat,
Unter Hinweis darauf, dass die oben erwähnte Empfehlung für ein Standardverfahren zur Bewertung von Querflutungseinrichtungen aufgrund neuer Forschungsergebnisse zum Thema Querflutung überarbeitungs- und verbesserungsbedürftig war,
In der Erkenntnis der Notwendigkeit, eine Methodik für die Bewertung von Querflutungseinrichtungen auf solchen Schiffen festzulegen, die den anwendbaren Unterteilungs- und Leckstabilitätsvorschriften im Kapitel II-1 SOLAS unterliegen, um eine einheitliche Behandlung ihrer Querflutungs- und Ausgleichseinrichtungen sicherzustellen,
Nach der auf seiner zweiundneunzigsten Tagung erfolgten Prüfung der vom Unterausschuss für Stabilität und Freibord, Sicherheit von Fischereifahrzeugen auf seiner fünfundfünfzigsten Tagung vorbereiteten Überarbeiteten
Empfehlung für ein Standardverfahren zur Bewertung von Querflutungseinrichtungen,
Überarbeitete Empfehlung für ein Standardverfahren zur Bewertung von Querflutungseinrichtungen
1 Begriffsbestimmungen
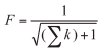
∑ k: Summe der Reibungskoeffizienten in der zu prüfenden Querflutungseinrichtung.
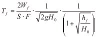
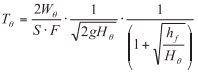
S(m2): Querschnittsfläche der Querflutungsrohrleitung oder des Querflutungskanals. Ist die Querschnittsfläche nicht kreisförmig, dann gilt:
Sequiv = π • D2equiv/ p
Hierbei sind:
Dequiv= 4 • a / p
a = tatsächliche Querschnittsfläche
p = tatsächlicher Querschnittsumfang
θ0(0): Winkel vor Beginn der Querflutung. Die Querflutungseinrichtung kann, in Abhängigkeit von ihrer Anordnung und ihres inneren Volumens, als voll geflutet oder als leer angenommen werden (siehe Abbildung 1b) im Anhang 1).
θf(0): Krängungswinkel bei Gleichgewichtsschwimmlage (θf< θ ).
θ (0): Jeder beliebige Krängungswinkel zwischen dem Beginn der Querflutung und der Gleichgewichtsschwimmlage zu einem bestimmten Zeitpunkt.
Wf(m3). Benötigte Wassermenge, um das Schiff vom Beginn der Querflutung θ0in die Gleichgewichtsschwimmlage θfzu bringen.
Wθ (m3): Benötigte Wassermenge, um das Schiff von jedem beliebigen Krängungswinkel θ in die Gleichgewichtsschwimmlage θfzu bringen.
H0(m3): Wasserdruckhöhe vor Beginn der Querflutung mit den gleichen Annahmen wie für θ0.
Hθ (m3): Wasserdruckhöhe, wenn ein beliebiger Krängungswinkel θ erreicht wird.
hf(m3): Endgültige Wasserdruckhöhe nach der Querflutung (hf = 0, wenn sich der Wasserstand innerhalb der ausgleichenden Abteilung an den des freien Meeresspiegels angeglichen hat).
g (m/s2): Die Erdbeschleunigung (aufgrund der Schwerkraft) (9,81 m/s2).
2 Formeln
2.1 Benötigte Zeit vom Beginn der Querflutung θ0bis zur Gleichgewichtsschwimmlage θf:

2.2 Benötigte Zeit, um das Schiff von jedem beliebigen Krängungswinkel θ in die Gleichgewichtsschwimmlage θf, zu bringen:

2.3 Benötigte Zeit vom Beginn der Querflutung θ0 bis ein beliebiger Krängungswinkel θ erreicht wird:
T = Tf - Tθ
2.4 Dimensionsloser Faktor der Geschwindigkeitsabnahme durch ein Ausgleichsbauelement als Funktion von Krümmern, Ventilen usw. im Querflutungssystem:

Die Werte für k können dem Anhang 2 oder sonstigen, einschlägigen Quellen entnommen werden, wie numerischen Strömungssimulationen (CFD computational fluid dynamics) oder Modellversuchen. Werden sonstige, einschlägige Quellen verwendet, kann der Term +1 in den Formeln zu unzutreffenden Ergebnissen führen. Numerische Strömungssimulationen können auch zur Ermittlung des Durchfluss-Koeffizienten des gesamten Querflutungskanals verwendet werden.
(Stand: 29.08.2018)
Alle vollständigen Texte in der aktuellen Fassung im Jahresabonnement
Nutzungsgebühr: ab 105.- € netto
(derzeit ca. 7200 Titel s.Übersicht - keine Unterteilung in Fachbereiche)
Die Zugangskennung wird kurzfristig übermittelt
? Fragen ?
Abonnentenzugang/Volltextversion