Für einen individuellen Ausdruck passen Sie bitte dieEinstellungen in der Druckvorschau Ihres Browsers an. Regelwerk, Gefahrgut/Transport, Techn.Regeln |
![]() |
BAM-GGR 012 - Leitlinie zur Berechnung der Deckelsysteme und Lastanschlagsysteme von Transportbehältern für radioaktive Stoffe
BAM-Gefahrgutregeln (BAM-GGR)
Ausgabe 2012-11
(aufgehoben)
1 Einleitung
1.1 Anwendung und Inhalt der Leitlinie
Die vorliegende Leitlinie betrifft die Auslegung von verschraubten Deckel- und Lastanschlagsystemen von Transportbehältern für radioaktive Stoffe. Sie legt Auslegungsanforderungen bezüglich der Lastannahmen, des Einsatzes von Berechnungsverfahren und der Bewertungskriterien fest. Die Leitlinie bezieht sich primär auf die in [24] hinsichtlich ihrer Auslegungsmerkmale definierten Behälter für Typ B(U)-Versandstücke, kann jedoch auch auf andere, für den Transport von radioaktiven Stoffen verwendete, Behälter entsprechend übertragen werden.
In dieser Leitlinie wird die isolierte Betrachtung einzelner Bauteile durch eine Systembetrachtung erweitert, um auch die Wechselwirkungen zwischen den Bauteilen zu erfassen. Dabei werden ausgehend vom Versandstück das Verschlusssystem mit mehreren Deckeln bzw. Deckelsystemen und das Lastanschlagsystem behandelt. Diese Betrachtung wird ergänzt durch Untersuchungen einzelner Bauteile dieser Systeme. Diese Hierarchie der Modellbildung ermöglicht das Berücksichtigen von vielfältigen Wechselwirkungen zwischen Teilsystemen des Versandstücks, zwischen Teilsystem und zugehörigen Bauteilen sowie zwischen einzelnen Bauteilen.
Ein Lastanschlagsystem besteht beispielsweise aus einem Lastanschlagpunkt (Tragzapfen, Greifpilz o. a.) und der zugehörigen Verschraubung. Ein Deckelsystem umfasst neben den eigentlichen Deckeln (Primärdeckel, Sekundärdeckel, Kleindeckel, etc.) die dazu gehörenden Verschraubungen und Dichtungen.
Grundlage für die Betrachtung der Deckelsysteme sind die aus dem Gefahrgutrecht resultierenden Anforderungen für Routine-, normale und Unfall-Beförderungsbedingungen von Versandstücken für radioaktive Stoffe. In dieser Leitlinie werden zusätzlich die bei der Montage der Schraubenverbindungen zu beachtenden Kriterien erläutert.
Bezüglich der Lastanschlagsysteme werden in dieser Leitlinie neben dem Nachweis für den Montagezustand der Verschraubungen auch die Anforderungen an die statische Festigkeit und die Ermüdungsfestigkeit der Systemkomponenten behandelt. Die Anforderungen berücksichtigen die Belastungen der Lastanschlagsysteme sowohl bei der Kranhandhabung als auch beim Transport auf öffentlichen Verkehrswegen (Routine-Beförderungsbedingungen [24]). Bei den Kranhandhabungen wird zwischen Handhabungen innerhalb und außerhalb des Geltungsbereichs der sicherheitstechnischen Regeln des kerntechnischen Ausschusses (KTA ) unterschieden.
Diese Leitlinie beschränkt sich auf die Fragen des allgemeinen Spannungsnachweises und des Ermüdungsfestigkeitsnachweises von als fehlerfrei vorausgesetzten Bauteilen. Für eine bruchmechanische Bewertung sind gegebenenfalls zusätzliche Nachweise erforderlich, beispielsweise auf der Grundlage der Leitlinie zur Verwendung von Gusseisen mit Kugelgraphit für Transport- und Lagerbehälter für radioaktive Stoffe ( BAM-GGR 007) [4] oder anderer anwendbarer Vorschriften wie der FKM-Richtlinie zum bruchmechanischen Festigkeitsnachweis [19].
Die in dieser Leitlinie angegebenen Sicherheitsfaktoren setzen eine realitätsnahe bzw. konservative Modellbildung voraus. Dafür verwendete Lastannahmen, Werkstoffkennwerte und geometrische Idealisierungen sind entsprechend zu begründen.
Diese Leitlinie wurde erstellt vom Fachbereich 3.3 der BAM Bundesanstalt für Materialforschung und -prüfung im Zuge des früheren Projekts "0207-3.32-0090: Sicherheitstechnische Begutachtung und Bauartprüfung von Transportbehältern für radioaktive Stoffe", um die wesentlichen Gesichtspunkte für den Nachweis der Deckel- und Lastanschlagsysteme von Transportbehältern für radioaktive Stoffe zusammenzustellen. Es ist Aufgabe des Antragstellers zu prüfen und gegebenenfalls zu begründen, ob die Maßgaben dieser Leitlinie jeweils ergänzt oder modifiziert anzuwenden sind. Im Gegensatz zu der in dieser Leitlinie genannten Vorgehensweise sind alternative Nachweiskonzepte zulässig, wenn die Einhaltung gefahrgutrechtlicher Schutzziele gewährleistet werden kann.
1.2 Rechtsgrundlagen
Die Basis der anzuwendenden gefahrgutrechtlichen Regelwerke für den Transport radioaktiver Stoffe sind die Empfehlungen der Internationalen Atomenergieorganisation (IAEA) [24]. Die genannten Empfehlungen sind für die verschiedenen Verkehrsträger Straße, Schiene, Wasser und Luft über die Gefahrgutvorschriften in verbindliches nationales und internationales Recht überführt worden.
Die gefahrgutrechtlichen Regelwerke zielen bei der Auslegung von Transportbehältern für radioaktive Stoffe vor allem auf die Erfüllung folgender Funktionen ab:
Die Deckelsysteme der Transportbehälter müssen neben der Abschirmung auch den sicheren Einschluss des Inhalts mit spezifizierten Anforderungen an die Dichtheit der Behälter gewährleisten. Lastanschlagsysteme sollen die sichere Handhabung der Behälter und ihrer Bauteile, z.B. Deckel, und ggf. die sichere Arretierung der Behälter auf dem Transportmittel gewährleisten.
Aus den in den zu berücksichtigenden Regelwerken definierten abgestuften Anforderungen für Routine-, normale und Unfall-Beförderungsbedingungen ergeben sich mechanische und thermische Beanspruchungen, bzw. Lastannahmen für die Sicherheitsnachweise der entsprechenden Systeme bzw. Komponenten.
Als Routine-Beförderungsbedingungen sind dabei Belastungen zu betrachten, die im zwischenfallfreien Betrieb auf den Behälter einwirken. Normale Beförderungsbedingungen hingegen berücksichtigen kleine Zwischenfälle während des Transports. Unfall-Beförderungsbedingungen schließen schwere Transportunfälle ein. Sie werden durch kumulierte Prüfungen, wie beispielsweise einen freien Fall aus einer Höhe von 9 m auf ein unnachgiebiges Fundament, einen Fall aus 1 m Höhe auf einen Stahldorn sowie ein nachfolgendes halbstündiges Feuer mit einer durchschnittlichen Temperatur von 800°C, abgedeckt. Weiterhin ist eine Wassertauchprüfung bei 15 m Wassertiefe für die Dauer von mindestens 8 Stunden (für Typ B(U) Versandstücke mit Inhalten größer 105A2 bei 200 m Wassertiefe und mindestens einer Stunde) zu betrachten [24].
Als Nachweisverfahren werden in den gefahrgutrechtlichen Vorschriften experimentelle Prüfungen mit Prototypen bzw. Serienmustern, Bezugnahme auf frühere Versuche mit bauartähnlichen Behältern, Versuche mit maßstäblichen Modellen, Rechnungen oder begründete Annahmen sowie eine Kombination aus mehreren der genannten Möglichkeiten zugelassen [24]. Die vorliegende Leitlinie bezieht sich auf spezifische Methoden der rechnerischen Nachweisführung auf der Basis einer konservativen oder experimentellen Absicherung der zugrunde liegenden Parameter und Annahmen.
1.3 Andere Normen und Richtlinien
Für verschiedene bei Transportbehältern für radioaktive Stoffe verwendete Bauteile liegen einschlägige Richtlinien vor, auf die in dieser Leitlinie Bezug genommen wird. Dem Stand der Technik entsprechen beispielsweise bei der Auslegung von Schraubenverbindungen die Richtlinie VDI 2230 [31], bei der Auslegung von Lastanschlagsystemen die KTA -Regel 3905 [27] für Lastanschlagpunkte in Kernkraftwerken.
Die aus dem gefahrgutrechtlichen Regelwerk resultierenden Anforderungen an Transportbehälter für radioaktive Stoffe gehen jedoch zum Teil über die in den oben genannten Regelungen behandelten Fälle hinaus. Beispielsweise können die bei Deckelsystemen durch die spezielle Dichtungsanordnung auftretenden Klaffungserscheinungen mit der VDI 2230 [31] nur unzureichend modelliert und berechnet werden [28]. Insbesondere die mehrstufige gefahrgutrechtliche Betrachtung nach Routine-, normalen und Unfall-Beförderungsbedingungen erfordert differenzierte Bewertungskriterien, die von vorhandenen Richtlinien und Normen in dieser Form nicht abgedeckt werden.
Darüber hinaus ist bis auf Ausnahmefälle eine Systembetrachtung des Deckelbereichs und der Lastanschlagsysteme erforderlich, um die Wechselwirkungen zwischen den Komponenten dieser Systeme und eventuellen Wechselwirkungen mit anderen Bauteilen (z.B. des Deckels mit Stoßdämpfer) zu berücksichtigen. Für eine solche Betrachtung ist in der Regel eine numerische Analyse notwendig, die damit eine realitätsnahe Berechnung des Deckel- und des Lastanschlagsystems ermöglicht.
Für numerische Analysen sind die Empfehlungen der Richtlinie für numerisch geführte Sicherheitsnachweise im Rahmen der Bauartprüfung von Transport- und Lagerbehältern für radioaktive Stoffe ( BAM-GGR 008)[5] zu berücksichtigen, um die ergebnissichere Anwendung numerischer Rechenprogramme zu gewährleisten. Das Auswerten dieser numerischen Analysen und das Bewerten der Ergebnisse bezüglich der zutreffenden Vorschriften und Regelwerke ist Teil der vorliegenden Leitlinie.
2 Lastanschlagsysteme
Das Lastanschlagsystem (LAS) dient der Handhabung des Behälters und seiner Bauteile sowie ggf. der Arretierung des Behälters auf dem Transportmittel. In der vorliegenden Leitlinie werden geschraubte LAS behandelt.
Hauptbestandteil eines LAS ist der Lastanschlagpunkt (LAP), der nach [27] als Verbindungselement zwischen Lastaufnahmeeinrichtungen und Last definiert ist. (Definitionen zu Lastaufnahmeeinrichtungen und Last siehe [14].) Weitere Bestandteile eines LAS sind u. a. Schrauben zur Befestigung des LAP und die zugehörigen Mutter- bzw. Sacklochgewinde. Ein geschraubtes Tragzapfensystem als ein LAS im Sinne dieser Leitlinie besteht damit beispielsweise aus dem Tragzapfen, den Tragzapfenschrauben und dem Teil des Behälterkörpers, der das Sacklochgewinde zur Aufnahme der Tragzapfenschrauben enthält. Weitere Beispiele für LAS im Sinne dieser Leitlinie sind - neben den angesprochenen geschraubten Tragzapfensystemen zur Handhabung und soweit vorgesehen zur Arretierung des Behälters während des Transports - auch Tragpilz- oder Greifpilzkonstruktionen zur sicheren Handhabung eines Deckels oder Tragkorbes.
In dieser Leitlinie werden Belastungen der LAS durch die Handhabung und den Transport auf öffentlichen Verkehrswegen betrachtet. Bei den Belastungen aus den Handhabungen wird zwischen den Kranhandhabungen innerhalb und außerhalb des Geltungsbereichs der KTA 3905 unterschieden. Zu den Kranhandhabungen außerhalb des Geltungsbereichs der KTA 3905 zählen z.B. Umladungen während des Transports. Zusätzlich treten transportbedingte Beanspruchungen dann auf, wenn die LAP für die Arretierung des Versandstücks auf dem Transportmittel genutzt werden.
Die Auslegung von LAS muss daher auf der einen Seite bezüglich der Umladungen und der Transportbelastungen gefahrgutrechtliche Anforderungen erfüllen, auf der anderen Seite auch die für die Handhabungen innerhalb des Geltungsbereichs der KTA 3905 festgelegten Anforderungen. In der Auslegung für das jeweilige LAS müssen diese Anforderungen überlagert betrachtet werden. Im Einzelnen sind ausgehend von einem Nachweis der sachgemäßen Montage ein allgemeiner Spannungs- und ein Ermüdungsfestigkeitsnachweis für das LAS zu führen, wobei für die Lastannahmen sowohl gefahrgutrechtliche Anforderungen als auch Anforderungen der KTA 3905 zu berücksichtigen sind. Darüber hinaus muss die Auslegung des LAS ein selbsttätiges Lösen der Verschraubung unter Betriebsbeanspruchungen mit einer ausreichenden Sicherheit ausschließen.
Die hier vorgestellte Nachweisführung basiert auf der Bewertung von örtlichen Spannungen aus einer Finite Elemente (FE) Analyse und ist eine Erweiterung des Nennspannungskonzeptes der KTA 3905.
Wenn LAP an Deckeln für die Handhabung des Behälters oder für die Arretierung des Behälters während des Transports verwendet werden, müssen auch die Auswirkungen der zusätzlichen Belastungen auf die Deckelschrauben und das Dichtsystem betrachtet werden. Dazu sind die entsprechenden Vorgaben in Kapitel 3 dieser Leitlinie heranzuziehen.
2.1 Berechnungsverfahren und Modellbildung
Falls zur anforderungsgerechten Auslegung des LAS die Erfassung der Wechselwirkungen zwischen seinen einzelnen Bauteilen notwendig ist, erfordert diese Systembetrachtung in der Regel eine Analyse mit der FE-Methode. Im Fall geschraubter Tragzapfensysteme sollte die Modellierung zumindest die Tragzapfen, die Tragzapfenschrauben und die verschraubten Teile umfassen. Die verschraubten Teile können auf die Einflusszone des LAS reduziert werden: Bereiche, die nachweislich von den Vorgängen am LAS nicht betroffen sind, brauchen nicht modelliert zu werden. Die Interaktion zwischen Lagerschale und Tragzapfen ist entweder durch eine direkte Modellierung der Lagerschale oder durch ausreichend konservative Annahmen hinsichtlich des Umschlingungswinkels sowie der Verteilung der Kraft über die Kontaktfläche zu berücksichtigen.
Für die Schrauben ist eine Betrachtung des Montagezustands erforderlich. Dieser Nachweis kann auf der Grundlage der VDI 2230 [31] erfolgen.
Für Kranhandhabung und Routinebeförderungsbedingungen ist neben dem allgemeinen Nachweis der statischen Festigkeit ein zusätzlicher Ermüdungsfestigkeitsnachweis 1 erforderlich. Der Betriebsfestigkeitsnachweis kann auf analytischer Basis geführt werden. Vorzugsweise sollte dabei die lineare Schadensakkumulationshypothese nach Palmgren-Miner verwendet werden, der die Miner-Regel zugrunde liegt (2.1) [21].
Die einzelnen Spannungskollektive werden durch Treppenkurven mit der Stufenhäufigkeithi und der jeweiligen Stufenspannung σai angenähert. Es giltni = K·hi nach K Kollektivdurchgängen. Die Anzahl der ertragbaren Spiele Ni in der Kollektivstufei ist eine Funktion der jeweiligen Ausschlagsspannung σai und der jeweiligen Mittelspannung σmi und wird mit Hilfe der Zeitfestigkeitsgeraden der zugehörigen Wöhlerkurve berechnet. Damit erhält man die Gesamtschädigung D des Bauteils.
Wenn LAP innerhalb des Geltungsbereichs der KTA 3905 betrieben werden, muss die elementare Miner-Regel (lineare Schadensakkumulation bei stetig verlaufender Wöhlerlinie in doppeltlogarithmischer Darstellung) angewendet werden [27]. Bei gleicher ertragbarer Minersumme ergibt sich nach der elementaren Miner-Regel eine konservative Bewertung [21]. Dieses Verfahren ist auch zu empfehlen, sofern keine Anforderungen des KTA zwingend zu erfüllen sind.
2.2 Lastannahmen
2.2.1 Montage
Für das Ermitteln der Vorspannung von Schrauben eines LAS ist die VDI 2230 [31] anzuwenden. Dabei sollte die mögliche Schwankungsbreite der Vorspannung entweder durch die Festlegung eines geeigneten Anziehfaktors nach [31] oder direkt aus der Drehmomenttoleranz des Anziehverfahrens in Verbindung mit der Schwankungsbreite der Reibungsbeiwerte für das verwendete Schmiermittel bestimmt werden: Das maximale Anziehmoment (Nennanziehmoment zuzüglich der Drehmomenttoleranz des Anziehverfahrens) gekoppelt mit dem minimalen Reibungsbeiwert ist zur Bestimmung der maximalen Schraubenvorspannkraft anzusetzen, während das minimale Anziehmoment (Nennanziehmoment abzüglich der Drehmomenttoleranz des Anziehverfahrens) gekoppelt mit dem maximalen Reibungsbeiwerten für die minimale Schraubenvorspannkraft zu berücksichtigen ist 2.
Zusätzlich sind bei Definition der minimalen Vorspannkraft die Setzeffekte in der Verbindung sowie die mögliche Reduzierung infolge der Temperaturänderungen einzubeziehen. Ein möglicher temperaturabhängiger Zuwachs der maximalen Vorspannung ist ebenfalls zu betrachten. Dabei sind die Temperaturen gemäß den gefahrgutrechtlichen Anforderungen zu untersuchen. Der Temperaturbereich kann sich von -40°C ([24], § 637) bis zur höchsten zu unterstellenden Betriebstemperatur erstrecken. Die erhaltenen Vorspannkräfte sollten nachfolgend bei den Lastannahmen u. a. in den FE-Analysen des LAS Berücksichtigung finden. Bei einer geeigneten Modellierung (vor allem hinsichtlich der Vorspannkraft) können die temperaturbedingten Effekte direkt in diese Analyse integriert werden.
2.2.2 Allgemeiner Spannungsnachweis
Zur Bestimmung der für den allgemeinen Spannungsnachweis maßgebenden Last muss eine Beschreibung der Belastung vorliegen, die die verschiedenen Transport- und Handhabungssituationen des Behälters bzw. des betreffenden Bauteils abdeckt. Dabei sind beispielsweise auch zusätzliche Belastungen bei Kranhandhabung in Kernkraftwerken durch eine Flutung des Behälters zu berücksichtigen (Nassbeladung). Unterschiedliche Belastungen können jedoch auch aus einer Veränderung des Behältereigengewichts (Handhabung ohne Stoßdämpfer, Teilbeladungen mit radioaktivem Inventar u. a.) resultieren.
Die auf diese Weise ermittelte Last ist bei Kranhandhabung mit einem Hublastbeiwert zu multiplizieren. Der Hublastbeiwert ist abhängig von der Einstufung des Handhabungsbereichs. So können im Geltungsbereich der KTA 3905 spezielle Hublastbeiwerte (erhöhte und zusätzliche Anforderungen) gelten, die zum einen zusätzliche Sicherheitsfaktoren beinhalten und zum anderen höhere Anforderungen an Krananlagen in diesem Bereich berücksichtigen [27]. Wenn die LAP nicht nur für die Kranhandhabung sondern auch für den Lastanschlag auf dem Transportmittel verwendet werden, ist auch für den Transport auf öffentlichen Verkehrswegen ein geeigneter Lastbeiwert zu definieren. Die entsprechenden Lastbeiwerte sind in der Tabelle 2.1 zusammengefasst. Der angegebene Hublastbeiwert von 1,45 für die allgemeinen Anforderungen an die Kranhandhabung ist für Kräne der Hubklassen H1 bis H4 5 nach der DIN 15018 6, Teil 1 [15] abdeckend.
Tabelle 2.1: Lastbeiwerte
| Verwendungsbereich | Lastbeiwert |
| Erhöhte Anforderungen nach KTA 3905 [27] | 1,8 |
| Zusätzliche Anforderungen nach KTA 3905 [27] | 1,35 |
| Allg. Anforderungen an die Kranhandhabung 3 | 1,45 |
| Transport auf öffentlichen Verkehrswegen 4 | 2,0 |
Der zu berücksichtigende Lastbeiwert für den Transport auf öffentlichen Verkehrswegen hängt von den vorgesehenen Verkehrsträgern (Straße, Schiene, Wasser oder Luft) ab. Die Lastbeiwerte werden in der Regel in Längs-, Quer- und senkrechte Richtung des Fahrzeugs definiert. Der beispielsweise in Tabelle 2.1 angegebene Wert von 2,0 ist nach [23], Appendix IV, Tabelle IV.1, abdeckend in Längs- und Querrichtungen für Straßentransporte. Weitere relevante nationale wie internationale Normen bzw. Regularien sind [7,8, 25, 30, 32]. Der bei der Auslegung verwendete Lastbeiwert ist vom Antragsteller zu begründen. Möglicherweise sind zu seiner Einhaltung auch Vorkehrungen zu treffen, die den Modus der Beförderung näher bestimmen (u. a. durch zugelassene Beschilderungen). Darüber hinaus ist die eventuelle Kombination der abgeleiteten Lasten, etwa in Fahrzeuglängsrichtung und senkrecht, ebenfalls zu begründen (vgl. z.B. [25] und [8]).
Da die Last in der Regel von mehreren LAS gehalten wird, ist die Verteilung der Last auf die einzelnen LAS zu beachten [27].
2.2.3 Betriebsfestigkeitsnachweis
Eine Betriebsbeanspruchung umfasst in der Regel mehrere Spannungskollektive. Ein Spannungskollektiv einer Betriebsbeanspruchung setzt sich aus den Spannungswerten und der Anzahl der zugehörigen Spannungsspiele zusammen. Spannungswerte einer Kollektivstufe sind Oberspannung und Unterspannung, die um eine Mittelspannung schwingen. Ein Spannungsspiel ist dabei das Durchlaufen der Spannungs-Zeit-Kurve beispielsweise von der Oberspannung bis zum erneuten Erreichen der Oberspannung. Die Spannungsamplitude ist der Abstand zwischen Ober- und Mittelspannung bzw. der Abstand zwischen Mittel- und Unterspannung.
Kranhandhabung
Entsprechend der KTA 3905 [27] ist für die LAP, die nicht in den Anwendungsbereich der DIN 15018 [15] fallen, ein Betriebsfestigkeitsnachweis bei mehr als 6000 Spannungsspielen zu führen. 7 Die Spannungsspielzahl wird als Summe der Spannungszyklen über durchzuführende Lastarbeitsspiele berechnet ([27], Gl. 5.1-1). Ein Lastarbeitsspiel ist dabei der Vorgang zwischen Aufnahme und Absetzen der Last. Die Zahl von Spannungszyklen während eines Lastarbeitsspiels ergibt sich nach [27] zu 30 (Hubwerke mit Feinhub, umrichterbetriebene Antriebe) bzw. 60 (andere Antriebe). Somit sind 200 bzw. 100 Lastarbeitsspiele ohne Betriebsfestigkeitsnachweis zulässig.
Wird ein Betriebsfestigkeitsnachweis erforderlich, so kann gemäß [27] für ein Lastarbeitsspiel mit der zugehörigen Zahl der Spannungsspiele ein Einstufen-Spannungskollektiv erstellt werden. Die Oberspannung entspricht dabei dem Größtwert des Spannungsausschlages nach dem Ankoppeln der Last und wird unter Berücksichtigung der in [27] für die jeweiligen Anforderungsbereiche angegebenen Hublastbeiwerte berechnet. Die Unterspannung ist für den LAP gleich Null (rein zugschwellendes Spannungskollektiv). Für die Schraube ist die Unterspannung gleich der Vorspannung (zugschwellendes Spannungskollektiv) 8.
Im Sinne dieser Leitlinie ist entsprechend [27] ein Betriebsfestigkeitsnachweis nach mehr als 200 (Hubwerke mit Feinhub) bzw. 100 (ohne Feinhub) Lastarbeitsspielen zu führen. 9 Hier wird jedoch die Verwendung eines Zweistufen-Spannungskollektivs empfohlen. Dadurch wird eine einheitliche Nachweisführung für die Kranhandhabungen unabhängig von dem Handhabungsbereich sowie ggf. die Kombination mit Transportkollektiven ermöglicht. Die erste Stufe steht für das Anheben und das Absetzen der Last und ist damit über ein Spannungsspiel wirksam. Die restlichen Spannungsspiele bilden die Beanspruchung ab, die durch die Schwingungen beim Verfahren der Last zwischen Anheben und Absetzen hervorgerufen wird. Für Hubwerke mit Feinhub sind 99 Spannungsspiele in dieser Stufe zu berücksichtigen. Für andere Antriebe erhöht sich diese Zahl auf 199.
Die Tabelle 2.2 zeigt die für die Ermittlung der Spannungskollektive zu verwendenden Lastbeiwerte, mit denen die nach den Vorgaben im Abschnitt 2.2.2 dieser Leitlinie ermittelte Last zu multiplizieren ist. Die Lastkollektive gemäß Tabelle 2.2 berücksichtigen konservativ die
Tabelle 2.2: Lastbeiwerte für ein Lastarbeitsspiel während der Kranhandhabung
| Kollektivstufe | I | II |
| Anzahl der Spannungsspiele | 1 | 99 bzw. 199 |
| Verwendungsbereich | Lastbeiwert | |
| Erhöhte Anforderungen nach KTA 3905 [27] | 0...1,45 | 0,55...1,45 |
| Zusätzliche Anforderungen nach KTA 3905 [27] | 0...1,35 | 0,65...1,35 |
| Allg. Anforderungen an die Kranhandhabung | 0...1,45 | 0,55...1,45 |
Ergebnisse von eigenen Untersuchungen der BAM (z.B. [3]) sowie die aus der Zulassungspraxis bekannten Erfahrungswerte. Entsprechend dem Abschnitt 5.1.3 (4) von [27] ist die Verwendung solcher Kollektive im Geltungsbereich der KTA 3905 zulässig. Die zusätzlichen Sicherheitsfaktoren, mit denen nach Abschnitt 5.3.1.1 (3) bzw. 5.3.2.1 (3) von [27] die gemessenen Hublastbeiwerte zu multiplizieren sind, werden durch die Lastfaktoren in Tabelle 2.2 ebenfalls erfasst. Für erhöhte Anforderungen nach Abschnitt 4.3 von [27] ist lastseitig noch ein zusätzlicher Redundanzfaktor von 1,25 anzusetzen, falls bei Versagen des LAS kein Bauteil verfügbar ist, das die vorgesehene Funktion (sicheres Halten der Last) erfüllen kann. Dies ist beispielsweise beim Anheben eines Behälters an zwei deckelseitig vorhandenen Tragzapfen der Fall. Bei Verwendung der Lastbeiwerte nach Tabelle 2.2 ist, falls erforderlich, der Redundanzfaktor bei der Spannungsbewertung als zusätzlicher Sicherheitsfaktor zu berücksichtigen.
Transport auf öffentlichen Verkehrswegen
Da es nicht möglich ist, allgemein gültige Spannungskollektive für den Transport auf öffentlichen Verkehrswegen zu definieren, sind diese sowohl auf der Grundlage der beantragten Verkehrsträger (Straße, Schiene, Wasser oder Luft) als auch der Länge und Anzahl der unterstellten Transporte festzulegen. Zur Einhaltung der Festlegungen sind entsprechende Regelungen in die Benutzungsanweisung des Versandstücks aufzunehmen. Falls Transporte unter Bedingungen durchgeführt werden, die durch die Sicherheitsnachweise nicht abgedeckt sind, sind neue bzw. zusätzliche Betriebsfestigkeitsnachweise zu erstellen.
Für die Transportkollektive kann neben experimentellen Nachweisen auch auf veröffentlichte Messungen zurückgegriffen werden [6, 16, 29, 30]. Dabei können beispielsweise die Übertragung auf andere Bauarten oder Transportstrecken sowie die Berücksichtigung von Messfehlern die Verwendung zusätzlicher Sicherheitsfaktoren beim Betriebsfestigkeitsnachweis erforderlich machen.
2.3 Werkstoffkennwerte
Bei der Werkstoffauswahl für die Komponenten des LAS sind die Hinweise in [27, 25] zu beachten. Für die Auslegung sollten grundsätzlich die in den zum Sicherheitsbericht gehörenden Werkstoffspezifikationen festgelegten Werkstoffkennwerte berücksichtigt werden. Diese Werkstoffkennwerte sind im Zuge einer Werkstoffqualifikation oder durch Rückgriff auf die in den geltenden Normen festgelegten Mindestwerte nachzuweisen. Zum Teil müssen die Werkstoffkennwerte zusätzlich auch im Zuge der Qualitätssicherung während der Fertigung nachgewiesen werden.
Es ist zwischen Werkstoffkennwerten bei Raumtemperatur T0 und bei Auslegungstemperatur zu unterscheiden. Bei der Definition des auslegungsrelevanten Temperaturbereichs sind die Festlegungen des § 637 [24] sowie die Ergebnisse der thermischen Analyse des Behälters zu beachten.
Für die Betrachtung des Montagezustands können die Werkstoffkennwerte bei Raumtemperatur angesetzt werden, z.B. Rp0,2(T0). Unter Betriebsbedingungen ist es im Allgemeinen konservativ, die bei der thermischen Analyse ermittelte maximale Betriebstemperatur Tmax als Grundlage zu verwenden, z.B. Rp0,2(Tmax).
2.3.1 Mechanische Kennwerte
E-Modul, Streckgrenze und Zugfestigkeit
Zum Ermitteln der wirksamen Spannungen sollte insbesondere für FE-Analysen ein realitätsnahes Werkstoffmodell verwendet werden. Wesentlicher Bestandteil eines solchen Modells ist der Elastizitätsmodul E(T), der für alle relevanten Bauteile vorliegen muss. Weitere Werkstoffkennwerte, die zum Ermitteln der wirksamen Spannungen verwendet werden, sind ebenfalls in geeigneter Weise zu belegen.
Für die Nachweisführung sowohl des LAP als auch der Schrauben ist die Streckgrenze 10 bei maximaler Betriebstemperatur Rp0,2(Tmax) entscheidend. Sie ist für beide Bauteile zu definieren. Die Zugfestigkeiten des jeweiligen Schraubenwerkstoffs (Bolzengewinde) RmB (Tmax) und der verschraubten Teile (Mutter- bzw. Sacklochgewinde) RmM (Tmax) werden vor allem für die Bestimmung einer ausreichenden Einschraubtiefe benötigt.
In der VDI 2230 [31] wird die temperaturabhängige Vorspannkraftänderung aufbauend auf der Vorspannkraft bei Raumtemperatur ermittelt. Hierfür wird zusätzlich zu den Elastizitätsmoduln bei Raumtemperatur E(T0) und bei maximaler Betriebstemperatur E(Tmax) auch der Elastizitätsmodul bei minimaler Auslegungstemperatur benötigt, die gemäß des Regelwerks für die Bauart zu berücksichtigen ist.
Grenzflächenpressung
Die für die Bewertung der Flächenpressung in der Schraubenverbindung benötigte GrenzflächenpressungpG kann vereinfachend nach der VDI 2230, Tabelle A9 [31] bestimmt werden, falls keine geeigneteren Werte zur Verfügung stehen, die durch Literaturangaben oder experimentelle Daten ausreichend belegt werden können. Die zulässigen Werte für die maximale Flächenpressung zwischen Tragzapfen und Lagerschalen (für die Lastfälle Kranhandhabung und Transport) müssen ebenfalls ausreichend abgesichert sein.
Kennwerte zum Nachweis der Betriebsfestigkeit
Das Ermitteln der für den Betriebsfestigkeitsnachweis des Bauteils erforderlichen Wöhlerlinien unter Berücksichtigung des Werkstoffes und der Kerbfälle ist in der Regel sehr aufwändig. Daher können auch synthetische Wöhlerlinien in den Nachweisen verwendet werden. Die in verschiedenen Richtlinien vorgeschlagenen synthetischen Wöhlerlinien sind jedoch nicht austauschbar, da sie oft in Zusammenhang mit dem jeweiligen Berechnungsverfahren und vor allem den dort verwendeten Sicherheitsfaktoren stehen. Die in dieser Leitlinie empfohlenen synthetischen Wöhlerlinien werden in Zusammenhang mit der jeweiligen Nachweisführung explizit genannt: Für den Betriebsfestigkeitsnachweis der Tragzapfen sind die synthetischen Wöhlerlinien der FKM-Richtlinie [18] entnommen, für den Betriebsfestigkeitsnachweis der Tragzapfenschrauben der VDI 2230 [31].
2.3.2 Thermische Kennwerte
Insbesondere bei Behältern mit nennenswert wärmeentwickelnden Inhalten benötigt man für die gegebenenfalls dadurch erforderliche Berechnung von zusätzlich auftretenden Verformungen und Spannungen sowie für die Ermittlung der temperaturabhängigen Änderungen der Vorspannung den Wärmeausdehnungskoeffizienten αT für die einzelnen Bauteile des jeweils betrachteten Systems. Der Wärmeausdehnungskoeffizient αT ist seinerseits wieder temperaturabhängig und in geeigneter Weise zu belegen.
2.3.3 Tribologische Kennwerte
Zur Bestimmung der Schwankungsbreite der Vorspannung sollten minimale und maximale Reibungsbeiwerte für die entsprechenden Materialpaarungen und Schmiermittel berücksichtigt werden. Es ist zwischen den Reibungsbeiwerten unter dem Schraubenkopf (µKmin undµKmax) und den Reibungsbeiwerten im Gewinde (µGmin undµGmax) zu unterscheiden. Die Reibungsbeiwerte sollten vorzugsweise experimentell ermittelt werden, wobei die Übertragbarkeit der Versuchsergebnisse auf die von der untersuchten Konfiguration abweichenden Verbindungen sicherzustellen ist. Daneben ist auch die Verwendung von ausreichend abgesicherten Literaturwerten zulässig, wenn damit die Konservativität des Ansatzes sichergestellt ist [2]. Gleiches gilt für den Haftreibungsbeiwert in der Trennfuge, der für den Nachweis der Sicherheit gegen Verrutschen des LAP notwendig ist.
2.4 Ermitteln der wirksamen Beanspruchungen und deren Bewertung
2.4.1 Allgemeine Festigkeit der Lastanschlagpunkte
Ermitteln der wirksamen Spannungen
Falls die Komplexität der Lasteinleitung, der Geometrie oder der zu berücksichtigenden Wechselwirkungen es erfordern (z.B. für Tragzapfen), wird der allgemeine Spannungsnachweis für den LAP mit örtlichen Spannungen geführt. Ein Nachweis mit Nennspannungen ist in diesem Fall infolge der nicht mehr gegebenen Gültigkeit der zugrunde gelegten Hypothesen nicht mehr ausreichend. Die örtliche Verteilung der wirksamen Spannungen im LAP ist dabei mit FE-Analysen oder anderen geeigneten Berechnungsverfahren zu ermitteln. Der Spannungsbewertung ist die Vergleichsspannung nach der Gestaltänderungsenergiehypothese (von Mises-Vergleichsspannung) an der höchstbeanspruchten Stelle zugrunde zu legen.
Bewertung der Spannungen
Die Bewertung der Vergleichsspannungen erfolgt in Anlehnung an das Nennspannungskonzept der KTA 3905 [27] und unter Berücksichtigung der Anforderungen gemäß [13]. Falls Gleichung (2.2) für die maximale Kerbspannung (bei der Nachweisführung mit Nennspannungen die maximale Nennspannung) erfüllt ist, gilt der allgemeine Spannungsnachweis als erbracht [27].
Überschreitet die maximale Kerbspannung bei der Nachweisführung mit örtlichen Spannungen den Wert Rp0,2(Tmax)/1,5, liegt aber noch unterhalb Rp0,2(Tmax), kann der Nachweis auch als Traglastnachweis mit einer 2,25-fachen Lastüberhöhung geführt werden. Dabei müssen die in der Tabelle 2.3 aufgeführten Lastbeiwerte verwendet werden. Der dort festgelegte Lastbeiwert für die zusätzlichen Anforderungen nach KTA 3905 entspricht den Anforderungen in [13]: Bei Lastaufnahmemitteln, die statisch mit einem Lastbeiwert von 3,0 belastet werden, darf kein vollständiges Plastizieren des tragenden Querschnitts auftreten 11.
Tabelle 2.3: Lastbeiwerte für den Traglastnachweis
| Verwendungsbereich | Lastbeiwert 12 |
| Erhöhte Anforderungen nach KTA 3905 [27] | 4,0 |
| Zusätzliche Anforderungen nach KTA 3905 [27] | 3,0 |
| Allg. Anforderungen an die Kranhandhabung | 3,25 |
| Transport auf öffentlichen Verkehrswegen | 4,5 |
Der Traglastnachweis ist für den LAP auf der Basis örtlicher Dehnungen zu führen. Dabei muss für das LAS einschließlich der Schrauben ein elastischidealplastisches Materialmodell mit dem Rp0,2(Tmax)-Wert als Fließspannung zugrunde gelegt werden. Das Kriterium zum Erfüllen der Sicherheitsanforderungen ist keine vollständige Plastizierung des für die Tragfähigkeit relevanten Querschnitts: Entlang eines Schnittes durch den höchstbelasteten Querschnitt des LAP muss mindestens ein Bereich existieren, in demµpl = 0 gilt.µpl ist dabei der plastische Anteil der Vergleichsdehnung. Die Schrauben werden beim Traglastnachweis nicht bewertet. Sie müssen den Anforderungen des Abschnitts 2.4.4, Tabelle 2.5, genügen.
2.4.2 Flächenpressung zwischen Tragzapfen und Lagerschale
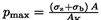
Als Lastanschlagmittel am Tragzapfen werden im Allgemeinen Laschen verwendet. Zwischen Lasche und Tragzapfen befindet sich in der Regel eine Lagerschale aus einem vergleichsweise weichem Metall, z.B. einer Kupferlegierung. Im Rahmen dieser Leitlinie wird lediglich das Einhalten der GrenzflächenpressungpG(Tmax) am Tragzapfen betrachtet. Die Ermittlung der Flächenpressung kann entweder mit Hilfe von konservativen analytischen Ansätzen oder auch numerisch erfolgen. Es ist bei der direkten Modellierunng der Interaktion zwischen Lagerschale und Tragzapfen oder unter Verwendung alternativer Rechenmodelle darauf zu achten, dass die am Tragzapfen ermittelte Kontaktspannung abdeckend erfasst wird. D. h. im Falle des Verwendens eines FE-Modells sollte für die Lagerschale ein verfestigendes Materialmodell mit einem oberen Wert für die Fließgrenze gewählt werden. Die ermittelte Kontaktspannungpmax muss unter der Grenzflächenpressung liegen.
2.4.3 Betriebsfestigkeit der Lastanschlagpunkte
Ermitteln der wirksamen Spannungen
Die wirksamen Spannungen sind den Analysen für die unterschiedlichen Lastannahmen nach Abschnitt 2.2.3 zu entnehmen. Dabei ist die höchstbeanspruchte Stelle unter Berücksichtigung aller Lastannahmen auszuwerten. Bei der Berechnung des LAS mit Hilfe einer FE-Analyse sind infolge der im Modell enthaltenen Nichtlinearitäten (Kontaktbedingungen) die resultierenden Spannungen oft nicht proportional zu der jeweils aufgenommenen Last. Die Ergebnisse der Berechnung für unterschiedliche Lastbeiwerte sind damit im Allgemeinen nicht durch lineare Interpolation der Ergebnisse einer FE-Analyse zugänglich.
Bewertung der wirksamen Betriebsbeanspruchung
Die Bewertung der wirksamen Betriebsbeanspruchung sollte nach der FKM-Richtlinie [18] vorgenommen werden unter Berücksichtigung der dort vorgeschlagenen synthetischen Wöhlerkurven, Sicherheitsfaktoren und ertragbaren Minersummen. Da das experimentelle Ermitteln von Bauteil-Wöhlerkurven sehr aufwändig ist, können nach der FKM-Richtlinie auch synthetische Wöhlerkurven herangezogen werden (siehe auch Abschnitt 2.3.1). Knickpunktzyklenzahlen ND und Neigungsexponenten k für die Konstruktion synthetischer Wöhlerkurven sind dabei Tabelle 4.4.4 der FKM-Richtlinie zu entnehmen [18]. Der zur endgültigen Bestimmung der synthetischen Wöhlerlinie erforderliche Sicherheitsfaktorjerf basiert auf den Sicherheitsbeiwerten von 2,0 für zusätzliche und von 2,5 für erhöhte Anforderungen nach KTA 3905 [27]. Diesen Sicherheitsbeiwerten liegt jedoch eine Überlebenswahrscheinlichkeit von 50 % zugrunde gegenüber 97,5 % für die Werte der FKM-Richtlinie. Daher können bei einer Berechnung nach der FKM-Richtlinie die von der KTA 3905 vorgegebenen Sicherheitsbeiwerte reduziert werden. Unter der Voraussetzung einer mittleren logarithmischen Standardabweichung von σlgS = 0,04 erhält man aus Tabelle 5.11.1 der FKM-Richtlinie [18] einen statistischen Umrechnungsfaktor von 1,2, so dass die
Tabelle 2.4: Sicherheitsbeiwerte für den Betriebsfestigkeitsnachweis der LAP
| Verwendungsbereich | Sicherheitsbeiwert |
| Erhöhte Anforderungen nach KTA 3905 [27] | 2,1 (2,6) 13 |
| Zusätzliche Anforderungen nach KTA 3905 [27] | 1,7 |
| Allg. Anforderungen an die Kranhandhabung | 1,35 |
| Transport auf öffentlichen Verkehrswegen | 1,35 |
Sicherheitsbeiwerte mit Hilfe der Gleichung (2.3) angepasst werden können.
Auf diese Weise erhält man die Sicherheitsfaktoren der Tabelle 2.4 für den Geltungsbereich der KTA 3905. Falls der Redundanzfaktor für erhöhte Anforderungen nach der KTA 3905 zu berücksichtigen ist, muss für nicht redundante LAP ein Sicherheitsbeiwert von 2,1-1,25 = 2,6 angesetzt werden. Für die Kranhandhabungen außerhalb des Geltungsbereichs der KTA 3905 und für den Transport auf öffentlichen Verkehrswegen sollte der Sicherheitsfaktor der FKM-Richtlinie [18], Tabelle 4.5.1, für den Fall regelmäßiger Inspektion und hoher Schadensfolgen gewählt werden. Ist für die LAP eine kombinierte Beanspruchung zu berücksichtigen, beispielsweise aus den Kranhandhabungen im Geltungsbereich der KTA 3905 und aus der transportbedingten Belastung, ist der höhere von den dazugehörigen Sicherheitsbeiwerten der Auslegung zugrunde zu legen. Die für den eigentlichen Betriebsfestigkeitsnachweis notwendige ertragbare Minersumme DM variiert je nach Fertigungsverfahren und Werkstoffgruppe und muss nach den Vorgaben der FKM-Richtlinie [18], Tabelle 4.4.3, gewählt werden.
2.4.4 Allgemeine Festigkeit der Schrauben von Lastanschlagsystemen
Ermitteln der wirksamen Spannungen
Die Zugspannung σZ, Mondie Torsionsspannung ÄG, Mon bei der Montage der Verbindung werden nach VDI 2230 [31] ermittelt. Die für die Festigkeitsbewertung der Schrauben im Montagezustand notwendige Vergleichsspannung wird nach Gleichung (2.4)
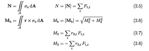
mit dem ReduktionskoeffizientenkÄ = 1,0 gebildet. Für Kranhandhabung und Routine-Beförderungsbedingungen werden die Verläufe der wirksamen Zug- und Biegespannungen über die Schraubenachse mit der in der FE-Analyse erhaltenen Spannungsverteilung σ in den jeweiligen Querschnitten ermittelt. Dazu werden zunächst die Beiträge der Axialkraft N und des Biegemoments Mb durch Integration der Spannungsverteilung σn über die entsprechende Schnittfläche bzw. durch Summation über die Knotenkräfte 14 des FE-Modells, wie in Gleichungen (2.5) bis (2.8) dargestellt, berechnet.
Dabei steht da = n da für das Flächenelement und σn für die Normalspannung. F1,iist die axiale Kraft an einem diskreten Knoten i und r = [0,r2,i,r3,i] der Abstandsvektor des Knotens in einem in der jeweiligen Querschnittsfläche willkürlich orientierten kartesischen Koordinatensystem. Dabei befindet sich der Koordinatenursprung auf der Schraubenachse und die Koordinatex1zeigt in Richtung der Schraubenachse. Die Verhältnisse sind in Abbildung 2.1 veranschaulicht. Die Vernetzung der Schraube ist entsprechend regelmäßig zu gestalten. Aus der nach Gleichungen (2.5) bis (2.8) bestimmten Normalkraft N und dem Biegemoment
Abbildung 2.1: Ermittlung der Normalkraft und der Momente an der Schraube
Mb können nun mit Hilfe des Querschnitts a und des Widerstandsmoments W die Zug- und Biegespannungen σz und σb gemäß Gleichung (2.9) bestimmt werden. Diese Spannungen haben den Charakter von Nennspannungen.
Die wirksamen Spannungen für die Schrauben von LAS unter der Betriebsbeanspruchung werden nach Gleichung (2.10) mit dem Reduktionskoeffizientenkr= 0,5 [31] ermittelt.
Da die FE-Modellierung der Schrauben in der Regel stark idealisierend ist (z.B. vereinfachte Modellierung des Gewindes), werden diese Nennspannungen anstatt der lokalen Spannungen aus FE-Analysen für die nachfolgende Bewertung herangezogen. Diese Verfahrensweise erlaubt eine Bewertung in Anlehnung an die Kriterien der KTA 3905 [27] und der VDI 2230 [31].
Bewertung der Spannungen
Die Kriterien für den Montagezustand und die Betriebsbeanspruchung sind in der Tabelle 2.5 zusammenfassend dargestellt.
Tabelle 2.5: Kriterien für die Spannungsbewertung der Schrauben von LAS
Außerhalb des Geltungsbereichs der KTA 3905 kann bezüglich der Montagebedingungen die Festlegung der VDI 2230 [31] zur Anwendung gebracht werden. Im Geltungsbereich der KTA 3905 muss bei der Handhabung zusätzlich noch Gleichung (2.11) berücksichtigt werden [27].
| σz - σz,Mon < 0,1 Rp0,2(Tmax) | (2.11) |
Falls ein Traglastnachweis für den LAP nach Abschnitt 2.4.1 vorgenommen werden muss, werden die Schrauben mit einem elastischidealplastischen Materialgesetz modelliert, um eine realitätsnahe Lastverteilung sicherzustellen. Als Fließgrenze ist Rp0,2(Tmax) zu verwenden. Der Traglastnachweis dient ausschließlich der zusätzlichen Absicherung der Auslegung des LAP. Die Schrauben werden dabei nicht bewertet.
2.4.5 Flächenpressung in der Schraubenverbindung
Ermitteln der wirksamen Flächenpressung
Aufgrund der überlagerten Biegebeanspruchung der Schrauben kommt zum Ermitteln der wirksamen Flächenpressung ein gegenüber der VDI 2230 [31] weitergehender Ansatz zur Anwendung. Ausgehend von den bei der Auswertung der Analysen ermittelten Spannungen σz und σb (beschrieben in Abschnitt 2.4.4) wird die wirksame Flächenpressung nach Gleichung (2.12) berechnet 15.
Die Spannung σz multipliziert mit dem Querschnitt A der Schraube ergibt die axiale Schraubenkraft und die Biegespannung σb multipliziert mit dem Widerstandsmoment W der Schraube ergibt das Biegemoment. Die Flächenpressung erhält man durch Division mit dem für die Flächenpressung relevanten Querschnitt AK bzw. dem Widerstandsmoment WK, welche die Kopfauflagefläche darstellen.
Bewertung der Flächenpressung
Die Bewertung der Flächenpressung erfolgt nach Gleichung (2.13). Zur Bestimmung der GrenzflächenpressungpG(Tmax) wird auf Abschnitt 2.3.1 verwiesen. (2.13)
pmax ≤pG (Tmax)
2.4.6 Einschraubtiefe
Ermitteln der erforderlichen Einschraubtiefe
Eine Schraubenverbindung sollte so ausgelegt werden, dass im Falle einer Überbeanspruchung das Versagen durch Bruch im freien belasteten Gewinde oder im Schaft erfolgt und kein Abstreifen der ineinander greifenden Gewindegänge von Schraube und Mutter bzw. Sacklochgewinde stattfindet. Dazu muss die erforderliche Einschraubtiefe lerf bei der Auslegung durch eine gezielte Abstimmung der Tragfähigkeiten der einzelnen Bereiche von Schraube und Mutter bestimmt werden. Die Berechnungsansätze sind beispielsweise der VDI 2230 [31] oder KTA 3201.2 [26] zu entnehmen.16 Die erforderliche Einschraubtiefe kann auch ausgehend von ausreichend repräsentativen Versuchsergebnissen definiert werden.
Bewertung der Einschraubtiefe
Für die Bewertung der aus den Zeichnungsangaben ermittelten Einschraubtiefe lGew soll Gleichung (2.14) gelten. Je nach Berechnungsansatz müssen die Gewindeansenkungen bei der Berechnung von lerf oder beim Ermitteln von lGew berücksichtigt werden. (2.14)
lGew ≥lerf
Bei einem Nachweis über die Tragfähigkeiten muss gezeigt werden, dass die geringste Tragfähigkeit im freien belasteten Gewinde oder im Schaft auftritt.
2.4.7 Betriebsfestigkeit der Schrauben von Lastanschlagsystemen
Ermitteln der wirksamen Spannungen
Die wirksamen Spannungen sind den FE-Analysen für die unterschiedlichen Lastannahmen nach Abschnitt 2.2.3 zu entnehmen. Dabei sind die über den Querschnitt linearisierten Ausschlagspannungen der Schrauben nach Abschnitt 2.4.4 zu berücksichtigen. Des Weiteren kann es erforderlich sein, die Beanspruchungen der Schrauben durch Montage, Demontage und Remontage zu berücksichtigen [27].
Bewertung der wirksamen Betriebsbeanspruchung
Der Betriebsfestigkeitsnachweis der Schrauben von LAS kann auf der Grundlage der linearen Schadensakkumulationshypothese (2.1) in Verbindung mit der VDI 2230 [31] erfolgen. Die synthetische Wöhlerlinie ist dabei anhand der VDI 2230 [31] zu ermitteln. Dazu ist die dort angegebene Knickpunktzyklenzahl ND zu verwenden und die Spannungsamplitude der Dauerhaltbarkeit σASG für schlussgewalzte bzw. σASV für schlussvergütete Schrauben entsprechend zu berechnen.
Der erforderliche Sicherheitsfaktor SD muss je nach Verwendungsbereich gewählt werden und ist in der Tabelle 2.6 aufgeführt. Falls der Redundanzfaktor für erhöhte Anforderungen nach der KTA 3905 [27] zu berücksichtigen ist, muss für die Schrauben von nicht redundanten LAS ein Sicherheitsfaktor von 2,5.1,25 = 3,1 angesetzt werden. Ist für die Schrauben von LAS eine kombinierte Beanspruchung zu berücksichtigen, beispielsweise aus den Kranhandhabungen im Geltungsbereich der KTA 3905 und aus der transportbedingten Belastung, ist der höhere von den dazugehörigen Sicherheitsbeiwerten der Auslegung zugrunde zu legen.
Tabelle 2.6: Sicherheitsbeiwerte für den Betriebsfestigkeitsnachweis der Schrauben von LAS
| Verwendungsbereich | Sicherheitsbeiwert | |
| Erhöhte Anforderungen nach KTA 3905 [27] | 2,5 | (3,1) 17 |
| Zusätzliche Anforderungen nach KTA 3905 [27] | 2,0 | |
| Allg. Anforderungen an die Kranhandhabung | 1,5 18 | |
| Transport auf öffentlichen Verkehrswegen | 1,5 | |
Die für die Bewertung jeweils anzusetzende ertragbare Minersumme ist ausreichend zu begründen.
3 Deckelsysteme
Transportbehälter für radioaktive Stoffe werden in der Regel mit Deckeln verschlossen, die mit Metall- oder Elastomerdichtungen versehen sind. So wird beispielsweise das Verschlusssystem eines Behälters für abgebrannte Brennelemente in der für die langzeitige Zwischenlagerung in Deutschland konzipierten Variante als doppelte Barriere ausgeführt und besteht aus einem Primärdeckel, einem Sekundärdeckel, Kleindeckeln, die Durchbrüche in Primär- und Sekundärdeckel verschließen, Schrauben mit zugehörigen Sacklochgewinden sowie den Metall- und Elastomerdichtungen. Die einzelnen Deckel mit ihren zugehörigen Komponenten (Schrauben, Sacklochgewinden und Dichtungen) bilden jeweils ein Deckelsystem.
Das Verschlusssystem hat in erster Linie eine Dichtfunktion zu gewährleisten. In der Regel sind daher alle seine Komponenten Teil der dichten Umschließung des Versandstücks. Bei einem Doppeldeckelsystem wird die Dichtfunktion vom Primärdeckelsystem und je nach Konzept, alternativ oder zusätzlich, auch vom Sekundärdeckelsystem sichergestellt. Insbesondere der Primärdeckel erfüllt darüber hinaus auch eine Abschirmfunktion. Mit den im Primärdeckel integrierten Kleindeckeln wird der Zugang zum Innenraum des Behälters während der Abfertigung des Behälters nach der Beladung ermöglicht. Der Sekundärdeckel und die darin integrierten Kleindeckel sind in der Regel Bestandteile des Systems für die Überwachung der Dichtheit während der langfristigen Lagerung der Behälter in Zwischenlagern.
3.1 Berechnungsverfahren und Modellbildung
Um eine möglichst realitätsnahe Nachweisführung des gesamten Verschlusssystems unter Routine-, normalen und Unfall-Beförderungsbedingungen zu ermöglichen, ist selbst nach Versuchen eine numerische Festigkeitsanalyse, vorzugsweise mit der FE-Methode, anzustreben. Mit dieser Vorgehensweise können die Wechselwirkungen zwischen den einzelnen Bauteilen des Verschlusssystems hinreichend genau abgebildet werden. FE-Analysen für die unter normalen und Unfall-Beförderungsbedingungen vorliegenden stoßartigen Belastungen des Verschlusssystems können dabei auch quasistatisch durchgeführt werden, wenn nachgewiesen werden kann, dass dynamische Effekte nur einen vernachlässigbaren Einfluss auf die Beanspruchung der Bauteile haben bzw. durch statische Annahmen abgedeckt sind.
Sollten im Ausnahmefall dennoch analytische Berechnungsmethoden angewendet werden, muss sichergestellt sein, dass die angesprochenen Wechselwirkungen angemessen berücksichtigt werden und insbesondere auch die überlagerten Biegebeanspruchungen der Schrauben vernachlässigbar sind. In diesem Fall kann auf die Systembetrachtung verzichtet werden. Die Bauteile sind dann einzeln zu untersuchen.
Speziell für die Schrauben ist als Grundlage der Sicherheitsnachweise für Routine-, normale und Unfall-Beförderungsbedingungen auch eine Betrachtung des Montagezustands erforderlich. Diese Berechnungen können mit analytischen Methoden durchgeführt werden, vorzugsweise mit Hilfe der VDI 2230 [31].
Ein in das Gesamtmodell des Verschlusssystems integriertes oder seperates FE-Modell eines Deckelsystems sollte geeignete Teilmodelle für den Deckel selbst, die Deckelschrauben und den Grundkörper 19, mit dem der Deckel verschraubt ist, enthalten. Wenn die Beanspruchungen und Verformungen des jeweiligen Grundkörpers keinen Einfluss auf die Beanspruchung der Komponenten des betrachteten Deckelsystems haben und andere Wechselwirkungen vernachlässigbar sind, kann eine separate Modellierung der Deckelsysteme oder auch von einzelnen Komponenten erfolgen. Die verschraubten Teile können dabei auf die Einflusszone des Deckelsystems reduziert werden. Bereiche, die auf die Ermittlung der Beanspruchung am Deckelsystem keinen Einfluss haben, müssen nicht modelliert werden. Die Betrachtung kann auf einen Systemausschnitt beschränkt werden (z.B. Kreisausschnitt oder Sektor), wenn die Symmetrie der Deckelgeometrie und der Belastung dies zuläßt.
Für die Untersuchung der Auswirkungen einer ungleichmäßigen Betriebstemperaturverteilung auf die Integrität und die Dichtfunktion des Verschlusssystems sowie für die Analyse des Verschlusssystems während und nach der Erhitzungsprüfung sind weitere geeignete FE-Modelle zu erstellen.
3.2 Lastannahmen
3.2.1 Montage
Zur Berechnung der für die Deckelbefestigung benötigten Vorspannung der Deckelschrauben ist die Anwendung der VDI 2230 [31] zu empfehlen. Dabei sollte die mögliche Schwankungsbreite der Vorspannung entweder durch die Festlegung eines geeigneten Anziehfaktors nach [31] oder direkt aus der Drehmomenttoleranz des Anziehverfahrens in Verbindung mit der Schwankungsbreite der Reibungsbeiwerte für das verwendete Schmiermittel bestimmt werden: Das maximale Anziehmoment (Nennanziehmoment zuzüglich der Drehmomenttoleranz des Anziehverfahrens) gekoppelt mit den minimalen Reibungsbeiwerten ist zur Bestimmung der maximalen Schraubenvorspannkraft anzusetzen, während das minimale Anziehmoment (Nennanziehmoment abzüglich der Drehmomenttoleranz des Anziehverfahrens) gekoppelt mit den maximalen Reibungsbeiwerten für die minimale Schraubenvorspannkraft zu berücksichtigen ist 20.
Zusätzlich sind bei Definition der minimalen Vorspannkraft die Setzeffekte in der Verbindung sowie die mögliche Reduzierung infolge der Temperaturänderungen einzubeziehen. Ein möglicher temperaturabhängiger Zuwachs der maximalen Vorspannung ist ebenfalls zu betrachten. Dabei sind die Temperaturen gemäß den gefahrgutrechtlichen Anforderungen zu untersuchen. Der Temperaturbereich kann sich von -40°C ([24], § 637) bis zur höchsten zu unterstellenden Betriebstemperatur erstrecken. Die erhaltenen Vorspannkräfte sollten nachfolgend bei den Lastannahmen u. a. in den FE-Analysen des Deckelsystems Berücksichtigung finden. Bei einer geeigneten Modellierung (vor allem hinsichtlich der Vorspannkraft) können die temperaturbedingten Effekte direkt in diese Analyse integriert werden.
3.2.2 Gefahrgutrechtliche Beförderungsbedingungen
Eine Analyse des Verschlusssystems für Routine-, normale und Unfall-Beförderungsbedingungen sollte insbesondere die Dichtungskräfte, die Schraubenvorspannung unter Berücksichtigung ihrer Änderung nach der Montage (Setzeffekte und thermische Einflüsse), den inneren sowie äußeren Druck (Wassertauchprüfung) und, im Falle einer quasistatischen Betrachtung, die auf das Verschlusssystem wirkenden Trägheitskräfte berücksichtigen. Bei der Untersuchung eines Deckelsystems resultieren die Trägheitskräfte aus der Masse des jeweiligen Deckels sowie aus der Masse des Inhalts, wenn eine direkte Wechselwirkung mit dem Deckel möglich ist. Zusätzliche Belastungen können durch Wechselwirkungen zwischen Deckelsystemen oder mit anderen Bauteilen des Versandstücks auftreten. Dabei sind insbesondere Wechselwirkungen zwischen den äußeren Teilen der dichten Umschließung (Deckel bzw. Sekundärdeckel bei Ausführung des Verschlusssystems als doppelte Barriere) und dem Stoßdämpfer zu beachten, die zu nennenswerten Belastungen der Komponenten des betroffenen Deckelsystems führen können. Im Falle einer dynamischen Analyse muss die Modellbildung sicherstellen, dass die angesprochenen Wechselwirkungen ausreichend abgebildet werden.
Bei der Analyse der thermisch bedingten Effekte sind je nach Belastungsfall entweder ungleichmäßige stationäre Verteilungen der Betriebstemperatur oder nichtstationäre Temperaturfelder infolge der Erhitzungsprüfung in den Lastannahmen zu berücksichtigen.
Wenn sich die für die Kranhandhabung des Behälters vorgesehenen LAP an Deckeln befinden, z.B. Ringschrauben, sind die zusätzlichen Beanspruchungen infolge der Kranhandhabung in den Nachweisen zu berücksichtigen.
3.3 Werkstoffkennwerte
Für die Auslegung sollten grundsätzlich die in den zum Sicherheitsbericht gehörenden Werkstoffspezifikationen festgelegten Werkstoffkennwerte berücksichtigt werden. Diese Werkstoffkennwerte sind im Zuge einer Werkstoffqualifikation oder durch Rückgriff auf die in den geltenden Normen festgelegten Mindestwerte nachzuweisen. Zum Teil müssen die Werkstoffkennwerte zusätzlich auch im Zuge der Qualitätssicherung während der Fertigung nachgewiesen werden.
Es ist zwischen Werkstoffkennwerten bei Raumtemperatur T0 und bei Auslegungstemperatur zu unterscheiden. Bei der Definition des auslegungsrelevanten Temperaturbereichs sind die Festlegungen des § 637 [24] sowie die Ergebnisse der thermischen Analyse des Behälters zu beachten.
Für die Betrachtung des Montagezustands können die Werkstoffkennwerte bei Raumtemperatur angesetzt werden, z.B. Rp0,2(T0). Unter Betriebsbedingungen ist es im Allgemeinen konservativ die bei der thermischen Analyse ermittelte maximale Betriebstemperatur Tmax als Grundlage zu verwenden, z.B. Rp0,2(Tmax).
3.3.1 Mechanische Kennwerte
E-Modul, Streckgrenze und Zugfestigkeit
Zum Ermitteln der wirksamen Spannungen sollte insbesondere für FE-Analysen ein realitätsnahes Werkstoffmodell verwendet werden. Wesentlicher Bestandteil eines solchen Modells ist der Elastizitätsmodul E(T), der für alle relevanten Bauteile vorliegen muss. Weitere Werkstoffkennwerte, die zum Ermitteln der wirksamen Spannungen verwendet werden, sind ebenfalls in geeigneter Weise zu belegen.
Für die Nachweisführung sowohl des Deckels als auch der Schrauben ist die Streckgrenze bei maximaler Betriebstemperatur Rp0,2 (Tmax) entscheidend. Sie ist für beide Bauteile zu definieren. Die Zugfestigkeiten des jeweiligen Schraubenwerkstoffs (Bolzengewinde) RmB(Tmax) und der verschraubten Teile (Mutter- bzw. Sacklochgewinde) RmM(Tmax) werden vor allem für die Bestimmung einer ausreichenden Einschraubtiefe benötigt.
In der VDI 2230 [31] wird die temperaturabhängige Vorspannkraftänderung aufbauend auf der Vorspannkraft bei Raumtemperatur ermittelt. Hierfür wird zusätzlich zu den Elastizitätsmoduln bei Raumtemperatur E(T0) und bei maximaler Betriebstemperatur E(Tmax) auch der Elastizitätsmodul bei minimaler Auslegungstemperatur benötigt, die gemäß des Regelwerks für die Bauart zu berücksichtigen ist.
Grenzflächenpressung
Die für die Bewertung der Flächenpressung in der Schraubenverbindung benötigte GrenzflächenpressungpG kann vereinfachend nach der VDI 2230, Tabelle A9 [31] bestimmt werden, falls keine geeigneteren Werte zur Verfügung stehen, die durch Literaturangaben oder experimentelle Daten ausreichend belegt werden können.
3.3.2 Thermische Kennwerte
Insbesondere bei Behältern mit wärmeentwickelnden Inhalten und für die Ermittlung der Beanspruchung bei der Erhitzungsprüfung benötigt man für die erforderliche Berechnung von zusätzlich auftretenden Verformungen und Spannungen sowie für die Ermittlung der temperaturabhängigen Änderungen der Vorspannung den Wärmeausdehnungskoeffizienten αT für die einzelnen Bauteile des jeweils betrachteten Systems. Der Wärmeausdehnungskoeffizient αT ist seinerseits wieder temperaturabhängig und in geeigneter Weise zu belegen.
3.3.3 Tribologische Kennwerte
Zur Bestimmung der Schwankungsbreite der Vorspannung sollten minimale und maximale Reibungsbeiwerte für die entsprechenden Materialpaarungen und Schmiermittel berücksichtigt werden. Es ist dabei zwischen den Reibungsbeiwerten unter dem Schraubenkopf (µKmin undµKmax) und den Reibungsbeiwerten im Gewinde (µGmin undµGmax) zu unterscheiden. Die Reibungsbeiwerte sollten vorzugsweise experimentell ermittelt werden, wobei die Übertragbarkeit der Versuchsergebnisse auf die von der untersuchten Konfiguration abweichenden Verbindungen sicherzustellen ist. Daneben ist auch die Verwendung von ausreichend abgesicherten Literaturwerten zulässig, wenn damit die Konservativität des Ansatzes sichergestellt ist [2] .
Dieser Abschnitt gilt analog auch für den HaftreibungsbeiwertµDmin in der Trennfuge, der für den Nachweis der Sicherheit gegen Verrutschen der jeweiligen Deckel notwendig ist. Falls in Berechnungsmodellen Wechselwirkungen des Verschlusssystems mit anderen Bauteilen des Behälters betrachtet werden (z.B. Deckel mit Stoßdämpfer), sind bei Kontaktdefinitionen in FE-Modellen die jeweils ausgewählten Reibungsbeiwerte in geeigneter Weise zu begründen.
3.3.4 Ummantelte Federkern-Metalldichtungen
Grundlage für die Ermittlung der Verformung der Dichtung nach der Montage der Deckel, unter Routine-Beförderungsbedingungen und nach den für normale und Unfall-Beförderungsbedingungen vorgesehenen Prüfungen [24] ist die jeweilige Dichtungskennlinie. Bei metallummantelten Dichtungen mit Federkern wird in der Dichtungskennlinie ein Verformungs- und ein Entspannungszyklus unterschieden [20]. Dieser Zyklus, aufgetragen für die auf die Dichtungslänge bezogene Verpresskraft über die Verformung, ist in Abbildung 3.1 als schwarze Kennlinie dargestellt, die der linken vertikalen Achse zugeordnet ist. Der rechten vertikalen Achse ist die dem Verformungsgrad entsprechende Leckagerate zugeordnet, die zusätzlich als blaue Kennlinie eingezeichnet ist. Während des Verformungszyklus unterschreitet die Dichtung bei der Presskraft Y0 und der Verformunge0 erstmals die als Dichtheitskriterium spezifizierte Standard-Helium-Leckagerate.
Abbildung 3.1: Dichtungskennlinie, schematische Darstellung, z. T. nach [20]
Oberhalb einer kritischen Verformungec besteht die Gefahr eines Versagens der Dichtung. Der gewählte Arbeitspunkt der Dichtung liegt zwischen diesen beiden Grenzwerten bei der Presskraft Y2 und der Verformunge2.
Im Entspannungszyklus bleibt die Dichtwirkung (Unterschreiten der spezifizierten Standard-Helium-Leckagerate) oberhalb der Presskraft Y1 und der Verformunge1 erhalten. Bei Unterschreiten der Presskraft Y1 tritt eine Überschreitung der spezifizierten Leckagerate auf. Als spezifizierte Standard-Helium-Leckagerate ist dabei die Heliumdichtheit anzusetzen, die unter Berücksichtigung der herstellerspezifischen Qualitätsmerkmale für Dichtungen und Dichtflächen erreicht wird. Sie beträgt für den o.g. Dichtungstyp in der Regel 10-8 Pa m3/s [20]. Der für die Auslegung wichtige optimale Arbeitspunkt der Dichtung liegt im Punkt (e2, Y2). Bei Metalldichtringen anderen Typs ist deren spezifische Dichtungskennlinie bei der Auslegung zugrunde zu legen.
Ausgehend von der Dichtungskennlinie (Abbildung 3.1) wird der Rückverformungskennwert (nutzbare elastische Verformung)ru definiert (3.1).
ru=e2 -e1
Der Wertru wird auf Basis von Untersuchungen der charakteristischen Dichtungskennlinie festgelegt. Diese Versuche werden in der Regel bei Raumtemperatur und mit vernachlässigbarer Standzeit der Dichtung durchgeführt. Aufgrund von temperatur- und standzeitbedingten Alterungsprozessen verringert sich das Rückstellvermögen der Dichtung. Diese Effekte sind bei der Bewertung der Dichtfunktion des Verschlusssystems zu berücksichtigen.
3.3.5 Elastomerdichtungen
Wenn Elastomerdichtungen Bestandteil der dichten Umschließung sind, muss auch für diese Dichtungswerkstoffe ein Rückstellvermögen definiert werden. Die notwendigen Festlegungen sind im Zuge der Dichtungsqualifizierung zu treffen.
Das Rückstellvermögen der Dichtung während des Betriebes im verpressten Zustand reduziert sich durch eine Beeinträchtigung der Gummielastizität resultierend aus physikalischen bzw. chemischen Veränderungen des Werkstoffs. Temperatur, umgebende Medien und ionisierende Strahlung sind Faktoren, die diesen Prozess beeinflussen. Diesen Einflussgrößen auf das Rückstellvermögen der Elastomerdichtung ist bei der Auslegung des Verschlusssystems Rechnung zu tragen. Des Weiteren ist zu beachten, dass die gemäß den gefahrgutrechtlichen Vorschriften tiefste anzusetzende Temperatur die Gummielastizität des Werkstoffs ebenfalls beeinträchtigen kann. Das Rückstellvermögen der Dichtung kann sich dadurch reversibel verringern oder ganz verloren gehen.
3.4 Ermitteln der wirksamen Beanspruchungen und deren Bewertung
3.4.1 Festigkeit der Deckelschrauben
Ermitteln der wirksamen Spannungen
Die Zugspannung σz, Mon und die Torsionsspannung τG, Monbei der Montage der Verbindung werden nach VDI 2230 [31] ermittelt. Die für die Festigkeitsbewertung der Schrauben im Montagezustand notwendige Vergleichsspannung σv wird nach Gleichung (2.4) mit dem Reduktionskoeffizientenkτ = 1,0 gebildet.
Für Routine-, normale und Unfall-Beförderungsbedingungen müssen zunächst die wirksamen Zug- und Biegespannungen (Nennspannungen) aus der in der FE-Analyse erhaltenen Spannungsverteilung analog der im Abschnitt 2.4.4 beschriebenen Vorgehensweise abgeleitet werden. Die Nennvergleichsspannung wird dann nach Gleichung (2.10) mit einem Reduktionskoeffizientkτ= 0,5 [31] ermittelt. In begründeten Ausnahmefall, z.B. bei geringen Belastungen können die Schraubenspannungen analytisch, vorzugsweise nach [31], ermittelt werden.
Bewertung der Spannungen
Die Kriterien für die Spannungsbewertung sind in Tabelle 3.1 niedergelegt. Abweichungen von den genannten Grenzwerten für die Montage sind in begründeten Einzelfällen zulässig, wenn die Kriterien für Routine-, normale und Unfall-Beförderungsbedingungen erfüllt werden. Für die Schrauben der nicht zusätzlich durch die einwirkenden Inhaltsmassen belasteten Kleindeckel dürfen mit entsprechender Begründung auch geringere Sicherheitsfaktoren angewendet werden. Unter Unfall-Beförderungsbedingungen sollte der Maximalwert der Vergleichsspannung grundsätzlich das Kriterium σv:≤ Rp0,2(Tmax) erfüllen (Tabelle 3.1). Wenn dieses Kriterium für den begründeten Ausnahmefall nicht erfüllt wird, wobei es sich nur um eine geringfügige Überschreitung des Grenzwertes handeln darf, muss von einer plastischen Restverformung der Schrauben nach dem Unfall ausgegangen werden. Daher ist in diesem Fall ein zusätzlicher Nachweis erforderlich, dass die Schrauben trotz der örtlichen plastischen Längung noch eine ausreichende, die Heliumdichtheit sicherstellende Verpressung der Dichtung nach dem Unfall gewährleisten. In der dazu erforderlichen rechnerischen Nachweisführung für die Stoßphase eines Unfalls ist ein elastischplastisches Materialverhalten für den Schraubenwerkstoff zugrunde zu legen. Bei der nachfolgenden Simulation der Entlastung nach dem Aufprall werden die Dichtungskraft und der maximale Betriebsdruck als äußere Last auf den Deckel angesetzt. Die Bewertung der Dichtfunktion wird nach den Maßgaben des Abschnitts 3.4.3 vorgenommen. Schrauben mit einem hohen Verhältnis von Streckgrenze zu Zugfestigkeit (Streckgrenzenverhältnis) und gleichzeitig einem eingeschränkten plastischen Verformungsvermögen, vergleichbar der Festigkeitsklasse 10.9, sind von dieser Regelung ausgenommen und müssen in jedem Fall die Kriterien der Tabelle 3.1 erfüllen.
Tabelle 3.1: Kriterien für die Spannungsbewertung der Deckelschrauben (Fn.: 21)
3.4.2 Flächenpressung und Einschraubtiefe
Die Berechnung der wirksamen Flächenpressung in den Deckelschraubenverbindungen erfolgt nach Gleichung (2.12). Die Flächenpressung ist relevant bei Kriechvorgängen und Dauerbelastung [31]. Eine Bewertung ist daher nur für die Montage und Routine-Beförderungsbedingungen gemäß Gleichung (2.13) sinnvoll. Zur Bestimmung der GrenzflächenpressungpG(Tmax) wird auf Abschnitt 3.3.1 verwiesen.
Hinsichtlich der Ermittlung und Bewertung der Einschraubtiefe für die Deckelschrauben gelten sinngemäß die Festlegungen im Abschnitt 2.4.6.
3.4.3 Verpressen der Dichtungen
Auch unter Berücksichtigung des Setzverhaltens und der thermisch bedingten Änderungen muss die nach den Vorgaben des Abschnitts 3.2.1 ermittelte minimale Schraubenvorspannkraft FM,min eine ausreichende Verpressung der Dichtung, d. h. den Sitz des Deckels auf Block, gewährleisten. Die Montage auf Block muss geometrisch den vom Dichtungshersteller vorgegebenen Arbeitspunkt der jeweiligen Dichtung (e2, Y2, Abbildung 3.1) sicherstellen. Die Dichtungen werden in den FE-Modellen oft als linienförmige Dichtungskräfte simuliert. Daher können die FE-Analysen bereits im Montagezustand geringe lokale Aufweitungen zwischen verspannten Bauteilen im Dichtungsbereich ausweisen. Mögliche Abstandsänderungen infolge der Anordnung der Dichtung und der Schrauben auf unterschiedlichen Teilkreisdurchmessern werden bei der FE-Analyse ebenfalls erfasst. Die gesamte initiale Aufweitung um kann aus der FE-Analyse des Montagezustands aus dem Knotenabstand im Dichtungsbereich abgelesen werden.
Ermitteln der Rückfederung der Dichtung im Belastungszustand
Die Rückfederung Δs unter Routine-, normalen und Unfall-Beförderungsbedingungen kann geometrisch aufgefasst werden als der berechnete AbstanduD der Dichtflächen unter Belastung bezogen auf den berechneten initialen AbstanduM der Dichtflächen nach der Deckelmontage auf Block (Gleichung 3.2), wenn uM nachweislich durch rechnerische oder Modellierungseffekte begründet ist. Ist dies nicht der Fall, kann die Rückfederung As konservativ nur mit uD ermittelt werden. (3.2)
Δs =uD -uM
Bewertung der Rückfederung der Dichtung im Belastungszustand
Die Bewertung der Rückfederung Δs im Belastungszustand wird mit Hilfe des Kriteriums (3.3) vorgenommen, das die zulässige Rückfederung der Dichtungru,zulunter Berücksichtigung der minimalen Schraubenvorspannkraft FM,min begrenzt. Der in (3.3) enthaltene Sicherheitsbeiwert von 2,0 gegenüber den aus Kennlinienversuchen ermittelten Werten für die nutzbare elastische Rückfederung bis zum Verletzen des Dichtheitskriteriums (Rückverformungskennwertru, siehe Abschnitt 3.3.4) kann bei ausreichend statistisch abgesicherter Datengrundlage auch hinsichtlich der temperatur- und standzeitbedingten Alterungseffekte geringer angesetzt werden.
Während der Belastungsphase gilt unter Routine-Beförderungsbedingungen ebenso wie unter normalen und Unfall-Beförderungsbedingungen das Kriterium (3.3). Nach der kurzzeitigen Entlastung während der Stoßphase unter normalen oder Unfall-Beförderungsbedingungen ist dann von einer ausreichenden Verpressung der Dichtung auszugehen, wenn die Schrauben nur elastisch verformt wurden. Wird das Kriterium (3.3) in der Stoßphase kurzzeitig verletzt, sind in den Freisetzungsbetrachtungen ggf. erhöhte Leckageraten gegenüber der geforderten Standard-Helium-Leckagerate aus Abschnitt 3.3.4 zu berücksichtigen.
Tritt im Ausnahmefall unter Unfall-Beförderungsbedingungen während der Stoßphase eine geringfügige plastische Verformung der Schraube auf, muss eine zusätzliche Berechnung durchgeführt werden, die elastischplastische Materialgesetze berücksichtigt (siehe Abschnitt 3.4.1). Es ist sicherzustellen, dass das Kriterium (3.3) auch nach der Entlastung wieder eingehalten wird. In diesem Fall sind in der Freisetzungsbetrachtung ebenfalls erhöhte Leckageraten zu berücksichtigen.
Das Erfüllen des Rückfederkriteriums (3.3) ist eine notwendige Bedingung für das Einhalten der geforderten Dichtwirkung, die in der Praxis oft durch den Nachweis über die Standard-Helium-Leckagerate, wie in Abschnitt 3.3.4 dargestellt, erbracht wird. Die Dichtwirkung und damit die in den Freisetzungsbetrachtungen anzusetzende Leckagerate kann jedoch noch weiteren Einflüssen unterliegen, die rechnerisch nicht zu erfassen sind, z.B. die Oberflächenbeschaffenheit der Dichtsystempartner. Für das Ableiten von Leckageraten für die Aktivitätsfreisetzungsanalyse sind daher in der Regel zusätzlich Ergebnisse aus Fallversuchen und gegebenenfalls aus Bauteilversuchen heranzuziehen.
Die mögliche Beeinträchtigung der Dichtwirkung durch ein seitliches Verrutschen des Deckels (z.B. beim Fall mit horizontaler Behälterachse, siehe Abschnitt 3.4.5) ist gesondert zu bewerten und muss ebenfalls in den Aktivitätsfreisetzungsanalysen entsprechend berücksichtigt werden. Die dabei anzunehmenden Leckageraten sind auch für diese Belastungssituation auf Basis von Fall- oder Bauteilversuchen festzulegen.
Im Unterschied zu den stoßartigen Belastungen bei den mechanischen Fallprüfungen wird das Verschlusssystem bei der Erhitzungsprüfung über einen längeren Zeitraum beansprucht. Das Kriterium nach Gleichung (3.3) darf während dieser Prüfung und in der danach folgenden Abkühlungsphase zu keinem Zeitpunkt verletzt werden. Die Verformungen in Dichtungsbereichen des Verschlusssystems infolge der Erhitzungsprüfung sind mit den dort eventuell festgestellten geometrischen Änderungen (plastische Verformungen, Verschiebungen) nach den Fallprüfungen zu überlagern.
3.4.4 Festigkeit der Deckel
Ermitteln der wirksamen Spannungen
Bei der in der Regel notwendigen FE-Analyse für das Deckelsystem kann auch die Spannungsverteilung im Deckel ausgewertet werden. Im begründeten Ausnahmefall, z.B. bei einfachen Deckelgeometrien, ist im Rahmen einer separaten Berechnung auch ein Rückgriff auf analytische Lösungsverfahren zulässig, wie sie die Plattentheorie liefert [1, 33].
Bewertung der Spannungen
Die Kriterien für die Bewertung der Spannungen des Deckels werden entsprechend dem Werkstoff, aus dem der Deckel gefertigt ist, festgelegt.
So muss beispielsweise der Nachweis der Integrität von Deckeln aus ferritischem, duktilem Gusseisen mit Kugelgraphit auf Grundlage der Leitlinie zur Verwendung von Gusseisen mit Kugelgraphit für Transport- und Lagerbehälter für radioaktive Stoffe ( BAM-GGR 007) [4] erfolgen.
Der Nachweis gegen unzulässige plastische Verformungen für die aus Stahl gefertigten Deckel gilt als erbracht, wenn die Bedingung nach Gleichung (3.4) für die lokalen Spannungen an der höchst belasteten Stelle erfüllt ist. (3.4)
σV ≤ Rp0,2(Tmax)
Wird das Kriterium nach Gleichung (3.4) nicht eingehalten, sind weitere Begründungen erforderlich, die unter Bezugnahme auf die Werkstoffeigenschaften und die konstruktive Ausführung des Deckelsystems die Erfüllung der Sicherheitsziele belegen.
3.4.5 Verrutschen der Deckel
Ermitteln der wirksamen Kräfte
Beim Verrutschen der Deckel in transversaler Richtung muss im Allgemeinen von einer Beeinträchtigung der Dichtungswirkung und damit von einer veränderten Leckagerate ausgegangen werden.
Für das Ermitteln der wirksamen Kräfte unter Routine-Beförderungsbedingungen sind neben dem Innendruck auch die entsprechenden Beschleunigungen zu berücksichtigen. Einen ersten Überblick über die dafür anzuwendenden Beschleunigungen für die Verkehrsträger Straße, Schiene, Wasser und Luft gibt Anhang IV des IAEa Safety Guides[23]. Weitere relevante nationale wie internationale Normen bzw. Regularien sind [25, 8, 30, 32, 7].
Falls die Effekte nicht in einer dynamischen Analyse untersucht werden, müssen unter normalen und Unfall-Beförderungsbedingungen die entsprechenden Beschleunigungen während der Stoßphase verwendet werden. Dabei auftretende Wechselwirkungen des Deckels mit anderen Bauteilen des Versandstücks sind ebenfalls zu berücksichtigen.
Die Beschleunigungen für die angesprochenen Lastfälle unter Routine-, normalen und Unfall-Beförderungsbedingungen sind Grundlage für die zu ermittelnde Trägheitskraft FT des Deckels. Dabei sind die Komponenten der Beschleunigungen transversal zur Behälterlängsachse sowie deren eventuelle Kombination zu berücksichtigen.
Die axialen Komponenten der Beschleunigungen und der Innendruck wirken als Betriebskraft auf die Schrauben. Die daraus resultierende Klemmkraft FN kann beispielsweise aus der FE-Analyse durch Auswertung der Knotenkräfte in der Trennfuge gewonnen werden. Zusammen mit dem minimalen Haftreibungsbeiwert µ zwischen Deckel und Grundkörper erhält man die Reibkraft FR (3.5).
FR =µFN
Bewertung der Kräfte
Unter Routine-Beförderungsbedingungen muss das Verrutschen der Deckel ausgeschlossen werden. Der Nachweis einer ausreichenden Sicherheit gegen Verrutschen SG gilt als erbracht, wenn die Reibkraft, die sich bei minimaler Vorspannung der Schrauben unter Berücksichtigung des Setzverhaltens sowie der axial gerichteten Kräfte (Innendruck, axiale Beschleunigung) ergibt, entsprechend größer als die Trägheitskraft ist (3.6).
FR (FM,min) ≥ SG FT
Für den Sicherheitsfaktor unter Routine-Beförderungsbedingungen wird ein Wert von SG = 1,8 in Anlehnung an [31] (dynamische Wechselbeanspruchung) empfohlen. Falls Bedingung (3.6) für normale und Unfall-Beförderungsbedingungen mit einer Sicherheit von SG = 1,1 nicht erfüllt ist, kann ein Verrutschen des Deckels nicht mehr ausgeschlossen werden. Dieses Verrutschen ist in den Freisetzungsbetrachtungen hinsichtlich einer dadurch möglicherweise bedingten Änderung der Leckagerate sowie im Hinblick auf eine zusätzliche Beanspruchung der Schrauben zu berücksichtigen.
3.4.6 Weitere Nachweise
In IAEa TS-R-1, § 612 [24] wird der Nachweis gefordert, dass das Versandstück den Einwirkungen von Beschleunigung, Schwingung oder Schwingungsresonanz, die unter Routine-Beförderungsbedingungen auftreten können, ohne Beeinträchtigung der Wirksamkeit der Verschlussvorrichtungen standhalten kann [24]. Wenn Belastungen unter Routine-Beförderungsbedingungen zu Beanspruchungen führen, die in diesem Sinne sicherheitstechnisch relevant sind, müssen weitere Nachweise erbracht werden, auf die in dieser Leitlinie jedoch nicht eingegangen wird. Der ebenfalls geforderte Nachweis gegen das unbeabsichtigte Lösen von Befestigungsmitteln ist für die in dieser Leitlinie betrachteten Deckelverbindungen mit dem Nachweis gegen das Verrutschen des Deckels (Abschnitt 3.4.5) erbracht und kann entfallen [22].
Ein Betriebsfestigkeitsnachweis für die Schrauben von Deckelsystemen kann erforderlich sein, wenn sich die für die Kranhandhabung des Behälters vorgesehenen LAP an Deckeln befinden. Hinsichtlich der Lastannahmen, der Nachweisverfahren und der Bewertungskriterien gelten dann die Festlegungen in den Abschnitten 2.2.3 und 2.4.7 dieser Leitlinie sinngemäß. Die Auswirkungen der wiederholten Montage- und Demontagevorgänge auf die Betriebsfestigkeit der Deckelschrauben sind analog zu [27] zu berücksichtigen.
| Formelzeichenverzeichnis . | |
| A | Querschnittsfläche |
| AK | Kopfauflagefläche |
| A | Spannungsquerschnitt einer Schraube |
| D | Gesamtschädigung des Bauteils nach Palmgren-Miner |
| DM | Ertragbare Minersumme |
| E(T0) | Elastizitätsmodul bei Raumtemperatur |
| E(Tmax) | Elastizitätsmodul bei maximaler Betriebstemperatur |
| FM,min | Minimale Schraubenvorspannkraft |
| FN | Klemmkraft |
| FR | Reibkraft |
| FT | Trägheitskraft |
| K | Anzahl der Kollektivdurchläufe |
| Mb | Biegemoment |
| N | Axialkraft |
| ND | Knickpunktzyklenzahl der Wöhlerlinie |
| Ni | Anzahl der ertragbaren Spannungsspiele fürjerf ≤ σai |
| NKran | Anzahl der Spannungsspiele bei Kranhandhabung |
| R | Spannungsverhältnis |
| RmB(Tmax) | Zugfestigkeit des Schrauben-(Bolzen-)werkstoffs bei maximaler Betriebstemperatur |
| RmM(Tmax) | Zugfestigkeit des Mutterwerkstoffs bei maximaler Betriebstemperatur |
| Rp0,2(T0) | 0,2-%Dehngrenze bei Raumtemperatur |
| Rp0,2(Tmax) | 0,2-% Dehngrenze bei maximaler Betriebstemperatur |
| SD | Sicherheitsbeiwert für die Dauerfestigkeit von Schrauben |
| T0 | Raumtemperatur bei Montage |
| Tmax | Maximale Betriebstemperatur |
| U | Anzahl der Lastarbeitsspiele bei Kranhandhabung |
| W | Widerstandsmoment der Schraube |
| WK | Widerstandsmoment unter der Kopfauflage |
| Y0 | Preßkraft (Linienlast), ab der bei erstmaliger Belastung im Verformungszyklus die geforderte Standard-Helium-Leckagerate unterschritten wird |
| Y1 | Preßkraft (Linienlast), oberhalb der im Entspannungszyklus die geforderte Standard-Helium-Leckagerate unterschritten bleibt |
| Y2 | Preßkraft (Linienlast) im optimalen Arbeitspunkt |
| ZSch | Anzahl der Schaltungen bei Kranhandhabung |
| e0 | Verformung bei der Preßkraft (Linienlast) Y0 |
| e1 | Verformung bei der Preßkraft (Linienlast) Y1 |
| e2 | Optimaler Verformungsweg bei der Preßkraft (Linienlast) Y2 |
| ec | Verformung, ab der die Dichtung beschädigt werden kann |
| eR | Rückverformungskennwert |
| hi | Anzahl der Spannungsspiele für Stufe i (Stufenhäufigkeit) eines Spannungskollektivs |
| jerf | Erforderlicher Sicherheitsbeiwert |
| jKTA | Sicherheitsbeiwert nach KTA |
| k | Neigungsexponent der Wöhlerlinie |
| ka | Anzahl der Spannungsspiele infolge einer Schaltung bei Kranhandhabung |
| kr | Faktor zur Berücksichtigung der Torsionsspannung |
| lerf | Erforderliche Einschraubtiefe |
| lGew | Wirksame Einschraubtiefe |
| ni | Gesamtzahl der Spannungsspiele für Stufe i |
| pG | Grenzflächenpressung |
| pG(Tmax) | Grenzflächenpressung bei maximaler Betriebstemperatur |
| pmax | Wirksame Flächenpressung |
| s | Hebelarm zum Bezugspunkt |
| Δs | Rückfederung |
| uD | Abstand der Dichtflächen unter Belastung |
| uM | Abstand der Dichtflächen im Montagezustand |
| ΔT | Wärmeausdehnungskoeffizient |
| εpl | Plastischer Anteil der Vergleichsdehnung |
| µKmin | Minimaler Reibungsbeiwert am Schraubenkopf |
| µKmax | Maximaler Reibungsbeiwert am Schraubenkopf |
| µGmin | Minimaler Reibungsbeiwert im Gewinde |
| µGmax | Maximaler Reibungsbeiwert im Gewinde |
| µ | Haftreibungsbeiwert in der Trennfuge |
| σ | Normalspannung |
| σai | Ausschlagspannung der Stufe i |
| σΑSG | Dauerfestigkeit für schlußgewalzte Schrauben |
| σASV | Dauerfestigkeit für schlußvergütete Schrauben |
| σb | Biegespannung |
| σb,max | Maximale Biegespannung im Deckel |
| σlgS | Mittlere logarithmische Standardabweichung |
| σmi | Mittelspannung der Stufe i |
| σo | Oberspannung |
| σu | Unterspannung |
| σv | Vergleichsspannung nach Gestaltänderungsenergiehypothese (von Mises-Spannung) |
| σz | Zugspannung |
| σz, Mon | Zugspannung der Schraube im Montagezustand |
| τG, Mon | Torsionsspannung durch das Anziehen der Schraube |
Quellenverzeichnis
[1] Beitz, W. (Hrsg.); Küttner, K.-H. (Hrsg.): Dubbel: Taschenbuch für den Maschinenbau. 17. Aufl. Berlin : Springer, 1990
[2] Bickford, John H. (Hrsg.) ; Nassar, Sayed (Hrsg.): Handbook of Bolts and Bolted Joints. New York : Dekker, 1998
[3] Botzem, W. ; Günther, B.: Experimental and Analytical Evaluation of Dynamic Loads on Shipping Cask Trunnions. In: U.S. Department of Energy (Hrsg.): The 9th Symposium on the Packaging and Transportation of Radioactive Materials PATRAM '89 Bd. II. Washington, Juni 1989, S. 940-947
[4] Bundesanstalt für Materialforschung und -prüfung: Leitlinie zur Verwendung von Gusseisen mit Kugelgraphit für Transport- und Lagerbehälter für radioaktive Stoffe ( BAM-GGR 007). 2002
[5] Bundesanstalt für Materialforschung und -prüfung: Richtlinie für numerisch geführte Sicherheitsnachweise im Rahmen der Bauartprüfung von Transport- und Lagerbehältern für radioaktive Stoffe ( BAM-GGR 008). 2003
[6] Cory, A. R.: Flask Tiedown Design and Experience of Monitoring Forces. In: RAM-TRANS 2 (1991), Nr. 1/3, S. 15-22
[7] CTU-Packrichtlinien: Richtlinien für das Packen von Ladung außer Schüttgut in oder auf Beförderungseinheiten (CTUs) bei Beförderung mit allen Verkehrsträgern zu Wasser und zu Lande. Bundesministerium für Verkehr, Bau- und Wohnungswesen (BMVBW) vom 17. Februar 1999 (VkBl. Dokument Nr. B 8087), 1999
[8] DIN 12663: Festigkeitsanforderungen an Wagenkästen von Schienenfahrzeugen. Deutsches Institut für Normung, 2000
[9] DIN 13001-1: Krane - Konstruktion allgemein - Teil 1: Allgemeine Prinzipien und Anforderungen. Fassung 2009-12. Deutsches Institut für Normung, 2009
[10] DIN 13001-1 Berichtigung: Krane - Konstruktion allgemein - Teil 1: Allgemeine Prinzipien und Anforderungen. Fassung 2010-06. Deutsches Institut für Normung, 2010
[11] DIN 13001-2: Kransicherheit - Konstruktion allgemein - Teil 2: Lasteinwirkungen. Fassung 2012-10. Deutsches Institut für Normung, 2012
[12] DIN 13001-3-1: Krane - Konstruktion allgemein - Teil 3-1: Grenzzustände und Sicherheitsnachweis von Stahltragwerken. Fassung 2012-09. Deutsches Institut für Normung, 2012
[13] DIN 13155: Krane - Sicherheit - Lose Lastaufnahmemittel; Deutsche Fassung EN 13155. Deutsches Institut für Normung, 2009
[14] DIN 15003: Lastaufnahmeeinrichtungen, Lasten und Kräfte. Deutsches Institut für Normung, 1970
[15] DIN 15018, Teil 1: Krane; Grundsätze für Stahltragwerke, Berechnung. Deutsches Institut für Normung, 1984
[16] Dixon, P.: Package Tie-Downs - a Programme of Measurement and Assessment. In: RAMTRANS 8 (1997), Nr. 3-4, S. 339-344
[17] Dünkel, V.: Berechnung der Einschraubtiefe - Ergänzende Definitionen und Vergleich zur Mutterhöhe. In: VDI-Berichte 1903. Düsseldorf : VDI-Verlag, 2005, S. 51-80
[18] Forschungskuratorium Maschinenbau (FKM): Rechnerischer Festigkeitsnachweis für Maschinenbauteile. 5. erweiterte Ausgabe. Frankfurt : VDMA-Verlag, 2003
[19] Forschungskuratorium Maschinenbau (FKM): Bruchmechanischer Festigkeitsnachweis für Maschinenbauteile. 3. Ausgabe. Frankfurt : VDMA-Verlag, 2006
[20] Garlock Sealing Technologies: HELICOFLEX® Federelastische Metalldichtungen, 2007
[21] Haibach, Erwin: Betriebsfestigkeit: Verfahren und Daten zur Bauteilberechung. Berlin Heidelberg : Springer-Verlag, 2006
[22] Illgner, K. H. ; Esser, J.: Schrauben Vademecum. 9. Aufl. Bramsche : Rasch, 2001
[23] International Atomic Energy Agency (IAEA): Advisory Material for the IAEa Regulations for the Safe Transport of Radioactive Material. No. TS-G-1.1 (Rev. 1). Vienna : International Atomic Energy Agency, Edition 2008 (Safety Standard Series)
[24] International Atomic Energy Agency (IAEA): Regulations for the Safe Transport of Radioactive Material. No. TS-R-1. Vienna : International Atomic Energy Agency, Edition 2009 (Safety Standard Series)
[25] ISO 10276:2010: Nuclear energy - Fuel technology - Trunnions for packages used to transport radioactive material. Geneva : International Standards Organisation (ISO), 2010
[26] KTA 3201.2: Komponenten des Primärkreises von Leichtwasserreaktoren, Teil 2: Auslegung, Konstruktion und Berechnung. Regeländerungsentwurf November 2010. Salzgitter : Kerntechnischer Ausschuss (KTA), 2010
[27] KTA 3905: Lastanschlagpunkte an Lasten in Kernkraftwerken. Fassung 2012-11. Salzgitter : Kerntechnischer Ausschuss (KTA), 2012
[28] Lange, H. ; Lori, W.: Numerische Analyse der Spannungsverteilung in der Trennfuge von Schraubenverbindungen. In: VDI-Berichte 1644. Düsseldorf : VDI, 2001, S. 1944
[29] Pujet, D. ; Malesys, P.: Measurement of the Acceleration Undergone by Trunnions of Irradiated Fuel: Transport Flasks During Normal Use. In: PATRAM '89 Bd. II. Washington, 1989, S. 932939
[30] TCSC 1006: Transport of Radioactive Material Code of Practice: The Securing/Retention of Radioactive Material Packages on Conveyances. Didcot, UK : Tranport Container Standardisation Committee, 2003
[31] VDI 2230: Systematische Berechnung hochbeanspruchter Schraubenverbindungen: Zylindrische Einschraubenverbindungen. Düsseldorf : VDI-Gesellschaft Entwicklung Konstruktion Vertrieb, 2003
[32] VDI 2700: Ladungssicherung auf Straßenfahrzeugen. VDI-Gesellschaft Entwicklung Konstruktion Vertrieb, 2002
[33] YOUNG, Warren C.: Roark's Formulas for Stress & Strain. 6th edition. New York : McGraw-Hill, 1989
________________________
1) Gemäß [18] wird beim Ermüdungsfestigkeitsnachweis je nach Beanspruchungscharakteristik zwischen Dauer-, Zeit- und Betriebsfestigkeitsnachweis unterschieden. Da für LAS im Allgemeinen ein Betriebsfestigkeitsnachweis mit Mehrstufen-Spannungskollektiven zu führen ist, wird im Folgenden der Begriff Betriebsfestigkeitnachweis verwendet.
2) Die hier am Beispiel des drehmomentgesteuerten Verfahrens gezeigte Ermittlung der Schwankungsbreite der Schraubenvorspannkraft ist im Falle eines alternativen Anziehverfahrens sinngemäß anzuwenden.
3) Umfasst auch Kranhandhabungen während des Transports auf öffentlichen Verkehrswegen, z.B. Umladungen.
4) Umfasst Belastungen während des Transports auf öffentlichen Verkehrswegen. Kranhandhabungen sind nicht eingeschlossen.
5) Für H4 entspricht der Hublastbeiwert von 1,45 einer Hubgeschwindigkeit von 5,5 m/min [15], Tabelle 2, Zeile 3. Für höhere Hubgeschwindigkeiten ist eine Anpassung des Hublastbeiwertes erforderlich.
6) Die Norm wurde zurückgezogen und durch EN 13001-1 [9, 10], EN 13001-2 [11] und EN 13001-3-1 [12] ersetzt. In der vorliegenden Leitlinie wird zur Wahrung der Konsistenz mit KTA 3905 [27] weiterhin die zurückgezogene Norm verwendet.
7) Bei den Schrauben, die nach ihrer Demontage wieder remontiert werden, gelten ergänzend die Bestimmungen im Abschnitt 5.1.2 (4) von [27].
8) Diese Spannungskollektive entsprechen der in [27] vorgeschlagenen Einstufen-Spannungskollektiv-Methode. Dabei sind aus den im Geltungsbereich der KTA 3905 typischen Beanspruchungen unter Beachtung der Schädigungsäquivalenz Einstufen-Spannungskollektive (Spannungsausschlag in Kombination mit der zugehörigen Zahl der Spannungsspiele) konservativ abgeleitet worden. Sie stellen kein reales Beanspruchungsgeschehen dar. Alternativ ist in [27] auch die Nachweismethode über das reale Beanspruchungsgeschehen möglich.
9) Bei den Schrauben, die nach ihrer Demontage wieder remontiert werden, gelten ergänzend die Bestimmungen im Abschnitt 5.1.2 (4) von [27]. Vgl. 7
10) In dieser Leitlinie wird nicht zwischen der Streckgrenze Re und der 0,2 %-Dehngrenze Rp0,2 unterschieden. Typischerweise wird für Werkstoffe, die über keine ausgeprägte Streckgrenze verfügen, die Dehngrenze ermittelt und diese ersatzweise als Wert für die Streckgrenze in die Materialbeschreibung eingesetzt.
11) Siehe [13], Punkt 5.1.1.1, Satz (1)
12) Dieses sind die 2,25-fachen Werten der Tabelle 2.1.
13) Wert in Klammern, falls ein Redundanzfaktor zu berücksichtigen ist.
14) Die Summation der Knotenkräfte entspricht der Integration der Spannungen und stellt die praktisch am einfachsten umzusetzende Vorgehensweise dar.
15) Konservativ kann die Flächenpressung auch mit
abgeschätzt werden.
16) Bei Verwendung der VDI 2230 [31] (Fassung 2003) sind die Ergebnisse der Untersuchungen in [17] zu beachten (vor allem der dort auf Seite 70 empfohlenen Zuschlag für die Berücksichtigung von nichttragenden Gewindeanteilen). Die KTA 3201.2 [26] enthält bereits die entsprechenden Korrekturen.
17) Wert in Klammern, falls ein Redundanzfaktor zu berücksichtigen ist.
18) Gemäß VDI 2230 [31], Element (R9/4) sei die Sicherheit vom Anwender festzulegen, vorgeschlagen wird ein Wert von 1,2. Da jedoch für den Zeitfestigkeitsbereich keine gesicherten Erkenntnisse vorliegen ([31], Abschnitt 5.5.3) wird in dieser Leitlinie für die Nachweise außerhalb des Geltungsbereichs der KTA 3905 ein Sicherheitsbeiwert von 1,5 berücksichtigt.
19) Bei Primär- und Sekundärdeckel ist dieses der Behälterkörper, bei Kleindeckeln der Primär- bzw. Sekundärdeckel.
20) Die hier am Beispiel des drehmomentgesteuerten Verfahrens gezeigte Ermittlung der Schwankungsbreite der Schraubenvorspannkraft ist im Falle eines alternativen Anziehverfahrens sinngemäß anzuwenden.
21) Dieses Kriterium gilt für Schrauben mit einem hohen Streckgrenzenverhältnis und gleichzeitig einem eingeschränkten plastischen Verformungsvermögen, vergleichbar der Festigkeitsklasse 10.9. Daher ist für normale und Unfall-Beförderungsbedingungen bei Verwendung von solchen Schrauben ein höherer Sicherheitsbeiwert für das Kriterium der mittleren Zugspannung zugrunde zu legen. Kann dieses Kriterium nicht eingehalten werden, so ist eine Begründung erforderlich.
![]() |
ENDE | ![]() |
(Stand: 17.10.2022)
Alle vollständigen Texte in der aktuellen Fassung im Jahresabonnement
Nutzungsgebühr: ab 105.- € netto
(derzeit ca. 7200 Titel s.Übersicht - keine Unterteilung in Fachbereiche)
Die Zugangskennung wird kurzfristig übermittelt
? Fragen ?
Abonnentenzugang/Volltextversion