Für einen individuellen Ausdruck passen Sie bitte dieEinstellungen in der Druckvorschau Ihres Browsers an. Regelwerk |
![]() |
VBUS - Vorläufige Berechnungsmethode für den Umgebungslärm an Straßen
Vom 22. Mai 2006
(BAnz. Nr. 154a vom 17.08.2006 S. 30, 22.11.2018 - AT 28.12.2018 B7aufgehoben)
1 Anwendungsbereich und Zielsetzung
Mit der "Vorläufigen Berechnungsmethode für den Umgebungslärm an Straßen (VBUS)" können die Lärmindizes LDEN (Tag-Abend-Nacht-Lärmindex) und LNight (Nacht-Lärmindex) der 34. Verordnung zur Durchführung des Bundes-Immissionsschutzgesetzes (Verordnung über die Lärmkartierung - 34. BImSchV) für den Straßenverkehr berechnet werden, die für die Kartierung von Umgebungslärm nach § 47c des Bundes-Immissionsschutzgesetzes benötigt werden.
Die VBUS gilt nicht für Schallberechnungen nach dem Bundes-Immissionsschutzgesetz (Verkehrslärmschutzverordnung - 16. BImSchV).
Die VBUS ist angelehnt an die "Richtlinien für den Lärmschutz an Straßen (RLS-90)", wurde jedoch an die Erfordernisse der Anhänge I und II der Richtlinie 2002/49/EG angepasst. Dies beinhaltet die ausschließliche Berücksichtigung von A-bewerteten äquivalenten Dauerschallpegeln ohne Beurteilungszu- oder -abschläge, die Berücksichtigung eines für die Lärmemission ausschlaggebenden und hinsichtlich der Witterungsbedingungen durchschnittlichen Jahres sowie die Lage der Ermittlungspunkte für die Immissionspegel.
Die VBUS ist bis zur verbindlichen Einführung eines harmonisierten Berechnungsverfahrens gemäß Artikel 5 Abs. 1 Satz 2 der Richtlinie 2002/49/EG anzuwenden.
2 Begriffe, Definitionen, Abkürzungen und Symbole
In dieser Berechnungsmethode werden folgende Begriffe, Definitionen, Abkürzungen und Symbole verwendet:
Schallpegel, A-Schallpegel L
Unter dem Schallpegel L in Dezibel (dB) wird hier der Schalldruckpegel nach DIN 1320 verstanden. I)er A-bewertete Schalldruckpegel LA in dB bzw. L in dB(A) - auch A-Schallpegel genannt - ist ein nach DIN EN 60.651 frequenzbewerteter Schallpegel. Durch die A-Bewertung wird die frequenzabhängige Empfindlichkeit des Gehörs berücksichtigt.
Hier wird nur mit A-bewerteten Schallpegeln gerechnet und deshalb zur Vereinfachung am Symbol "L" der Index "A" fortgelassen.
Mittelungspegel Lm
Unter dem Mittelungspegel Lm in dB(A) (auch: energieäquivalenter Dauerschallpegel Leq) wird hier der in DIN 45.641 definierte zeitliche Mittelwert des A-Schallpegels verstanden:
![]() |
( 1) |
mit
| Tm | Mittelungszeitraum | ||
| Tag: | 12 | Stunden von 06.00-18.00 Uhr | |
| Abend: | 4 | Stunden von 18.00-22.00 Uhr | |
| Nacht: | 8 | Stunden von 22.00-06.00 Uhr | |
| L(t) | Schallpegel in dB(A) zur Zeit t | ||
Schalllemission, Emissionspegel Lm,E, Emissionsort
Abstrahlung von Schall aus einer oder mehreren Schallquellen. Die Schallemission des Verkehrs auf einer Straße oder einem Fahrstreifen wird durch den Emissionspegel Lm,E gekennzeichnet. Das ist der Mittelungspegel in 25 m Abstand von ihrer (seiner) Achse und einer Höhe von 4 m bei freier Schallausbreitung in ebenem Gelände.
Der für die Berechnung des Emissionspegels maßgebende Emissionsort (Schallquelle) ist in 0,5 m Höhe über der Mitte der Straße oder des Fahrstreifens anzunehmen.
Tabelle 1: Erläuterungen der Abkürzungen und Symbole
| Zeichen | Einheit | Bedeutung |
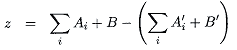
| Ai | m | Für i = 1: Abstand1 des Emissionsortes von der Beugungskante des ersten Hindernisses Für i ≠ 1: Abstand der Beugungskante des (i - 1)-ten Hindernisses von der Beugungskante des iten Hindernisses |
| A"i | m | Für i = 1: Abstand des Emissionsortes von dem um / h1 erhöhten Durchstoßpunkt des ersten Hindernisses Für i ≠ 1: Abstand des um Δhi-1 erhöhten Durchstoßpunktes des (i - 1)-ten Hindernisses von dem um Δhi erhöhten Durchstoßpunkt des i-ten Hindernisses |
| ai | m | Entfernung2 Emissionsort zum Hindernis i |
| aR | m | Entfernung zwischen Emissionsort und einer reflektierenden Fläche |
| B | m | Abstand der letzten (nten) Beugungskante vom Immissionsort |
| B" | m | Abstand des Immissionsortes von dem um Δhn erhöhten Durchstoßpunkt des letzten (nten) Hindernisses |
| bi | m | Entfernung Hindernis i zum Immissionsort |
| Co | m | meteorologische Korrektur |
| DTV | Kfz / 24 h | Durchschnittliche Tägliche Verkehrsstärke |
| Δhi | m | Änderung der Höhe der Abschirmeinrichtung i aufgrund der parabolischen Krümmung der Schallstrahlen |
| D | dB(A) | Differenz der Mittelungspegel LLkw - LPkw |
| DB | dB(A) | Pegeländerung durch topographische Gegebenheiten und bauliche Maßnahmen |
| DBM | dB(A) | Pegeländerung durch Boden- und Meteorologiedämpfung |
| DE | dB(A) | Korrektur zur Berücksichtigung der Absorptionseigenschaften von reflektierenden Flächen |
| Dl | dB(A) | Korrektur zur Berücksichtigung der Teilstücklänge |
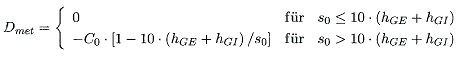
| Dmet | dB(A) | meteorologische Korrektur für unterschiedliche Ausbreitungsbedingungen |
| Drefl | dB(A) | Pegelerhöhung durch Mehrfachreflexion |
| Ds | dB(A) | Pegeländerung durch unterschiedliche Abstände |
| DStg | dB(A) | Korrektur für Steigungen und Gefälle |
| DStrO | dB(A) | Korrektur für unterschiedliche Straßenoberflächen |
| Dv | dB(A) | Korrektur für unterschiedliche zulässige Höchstgeschwindigkeiten |
| Dz | dB(A) | Abschirmmaß eines Lärmschirmes |
| F | m2 | Fläche zwischen Schallstrahl und Boden |
| g | % | Längsneigung |
| γ | m | Parabolische Krümmung |
| hBeb | m | mittlere Höhe von baulichen Anlagen |
| hD,i | m | Höhe des Durchstoßpunktes des iten Hindernisses, bezogen auf die Straßenoberfläche |
| hGE | m | Höhe des Emissionsortes über Grund (^= Straßenoberfläche) |
| hGI | m | Höhe des Immissionsortes über Grund |
| hi | m | Höhe des iten Hindernisses, bezogen auf die Straßenoberfläche |
| hm | m | mittlerer Abstand zwischen dem Grund und der Verbindungslinie zwischen Emissions- und Immissionsort |
| hR | m | Höhe einer reflektierenden Fläche |
| hSI | m | Höhe des Immissionsortes, bezogen auf die Straßenoberfläche |
| i | - | Index des Hindernisses, beginnend an der Straße |
| L(t) | dB(A) | Schallpegel zur Zeit t |
| Lm | dB(A) | L(t) |
| LDay | dB(A) | Mittelungspegel für die Zeit von 06.00 bis 18.00 Uhr |
| LDEN | dB(A) | Tag-Abend-Nacht-Index (day-evening-night) |
| LEvening | dB(A) | Mittelungspegel für die Zeit von 18.00 bis 22.00 Uhr |
| Lm(25) | dB(A) | Mittelungspegel für Standardbedingungen (s. Abschnitt 3.5.1) |
| Lm,n | dB(A) | Mittelungspegel des nahen äußeren Fahrstreifens |
| Lm,f | dB(A) | Mittelungspegel des fernen äußeren Fahrstreifens |
| Lm,i | dB(A) | Mittelungspegel für ein Teilstück |
| Lm,E | dB(A) | Emissionspegel |
| LNight | dB(A) | Mittelungspegel für die Zeit von 22.00 bis 06.00 Uhr |
| LPkw | dB(A) | Mittelungspegel für 1 Pkw/h |
| LLkw | dB(A) | Mittelungspegel für 1 Lkw/h |
| l | m | Abschnittslänge |
| M | Kfz/h | maßgebende stündliche Verkehrsstärke |
| N | - | Anzahl der Hindernisse |
| p | % | maßgebender Lkw-Anteil (über 3,5 t zulässiges Gesamtgewicht) |
| s | m | Abstand zwischen Emissions- und Immissionsort |
| so | m | Entfernung zwischen Emissions- und Immissionsort |
| Tm | h | Mittelungszeitraum |
| vLkw | km/h | zulässige Höchstgeschwindigkeit für Lkw |
| vPkw | km/h | zulässige Höchstgeschwindigkeit für Pkw |
| w | m | Abstand der reflektierenden Flächen voneinander |
| z | m | Schirmwert |
| 1) Dreidimensionaler Abstand zweier Punkte im Raum 2) Projektion des dreidimensionalen Abstands auf die horizontale Ebene. |
||
Schallimmission, Immissionsort
Einwirken von Schall auf ein Gebiet oder einen Punkt eines Gebietes, den Immissionsort. Die Stärke der Schallimmission wird durch den Mittelungspegel gekennzeichnet.
Die Höhe des Immissionsortes zur Ermittlung von LDEN ist im Fall von Berechnungen zur Ausarbeitung von Lärmkarten für die Lärmbelastung in Gebäuden und in der Nähe von Gebäuden auf 4,0 ± 0,2 m (3,8 - 4,2 m) über dem Boden festgelegt.
3 Berechnung des Mittelungspegels
Die Stärke der Schallemission von einer Straße oder einem Fahrstreifen (beschrieben durch den Emissionspegel Lm,E) wird nach dieser Berechnungsmethode aus der Verkehrsstärke, dem Lkw-Anteil, der zulässigen Höchstgeschwindigkeit, der Art der Straßenoberfläche und der Gradiente (Längsneigung) berechnet.
Die Höhe des Schallpegels an einem Immissionsort hängt außerdem noch vom Abstand zwischen Immissions- und Emissionsort (Schallquelle) und von der mittleren Höhe des Strahls von der Quelle zum Immissionsort über dem Boden ab. Sie kann außerdem durch Reflexionen (z.B. an Hausfronten oder Stützmauern) verstärkt oder durch Abschirmung (z.B. durch Lärmschutzwände, Wälle, Gebäude, Geländeerhebungen oder durch Tieflage der Straße) verringert werden.
Der Einfluss der Straßennässe wird nicht berücksichtigt.
Der Mittelungspegel von Verkehrsgeräuschen wird getrennt für Tag, Abend und Nacht berechnet:
Der Berechnung werden über alle Tage des Jahres gemittelte durchschnittliche tägliche Verkehrsstärken (DTV) und Lkw-Anteile p zugrunde gelegt.
Unterschiede in den meteorologischen Ausbreitungsbedingungen am Tag, abends und in der Nacht werden mit einer zusätzlichen Korrektur Dmet berücksichtigt.
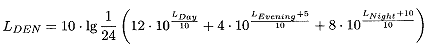
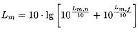
Tag-Abend-Nacht-Index LDEN
Der Tag-Abend-Nacht-Index (Day-Evening-Night) LDEN in Dezibel (dB) ist wie folgt definiert:
![]() |
( 2) |
Hierbei gilt:
Ein Jahr ist das für die Lärmemission ausschlaggebende und ein hinsichtlich der Witterungsbedingungen durchschnittliches Jahr.
Ein Vergleich von Messwerten mit den nach dieser Berechnungsmethode berechneten Werten ist nicht ohne weiteres möglich.
In allen Gleichungen in dieser Berechnungsmethode sind Längen in m, Geschwindigkeiten in km/h, Pegel und Pegeldifferenzen in dB(A) einzusetzen.
Mittelungspegel und Lärmindizes sind auf 0,1 dB(A) zu runden.
3.1 Immissionspegel von mehreren Quellen
Befindet sich ein Immissionsort im Einwirkungsbereich von mehr als einer Quelle, so sind für alle Quellen j (auch Spiegelschallquellen - siehe Abschnitt 3.11) die Mittelungspegel Lm,j zu berechnen und daraus der Gesamtmittelungspegel nach der Gleichung
![]() |
( 3) |
zu bestimmen.
3.2 Mittelungspegel einer Straße
Zur Berechnung des Mittelungspegels einer mehrstreifigen Straße wird je eine Schallquelle in 0,5 m Höhe über den Mitten der beiden äußeren Fahrstreifen angenommen (Abbildung 1). Für diese werden die Mittelungspegel getrennt berechnet und energetisch zum Mittelungspegel Lm an der Straße
![]() |
( 4) |
Abbildung 1: Fahrstreifen für die Berechnung des Mittelungspegels
zusammengefasst, mit
| Lm,n | Mittelungspegel des nahen äußeren Fahrstreifens |
| Lm,f | Mittelungspegel des fernen äußeren Fahrstreifens. |
Bei einstreifigen Straßen fallen ferner und naher Fahrstreifen zusammen.
3.3 Mittelungspegel eines Fahrstreifens
Zur Berechnung des Mittelungspegels Lm eines Fahrstreifens wird dieser in annähernd gerade Teilstücke i unterteilt. Die Teilstücke sind so zu wählen, dass über die Länge jedes einzelnen die Emission und die Ausbreitungsbedingungen annähernd konstant sind. Der Emissionsort wird in der Mitte des Teilstücks in 0,5 m Höhe über dem Fahrstreifen angenommen. Die Länge li eines Teilstückes darf höchstens 0,5 · si sein, wobei s der Abstand des Immissionsortes vom Emissionsort ist. Für jedes Teilstück i ist der Mittelungspegel Lm,i getrennt nach Abschnitt 3.4 zu berechnen. Diese Pegel sind energetisch zum Mittelungspegel zusammenzufassen:
![]() |
( 5) |
3.4 Mitteilungspegel eines Teilstücks
Der Mittelungspegel Lm,i eines Teilstücks ist
| Lm,i = Lm,E + Dl - Ds - max[DBM, Dz] + Drefl + Dmet | ( 6) |
mit
| Lm,E | Emissionspegel nach Abschnitt 3.5 für das Teilstück |
| Dl | Korrektur zur Berücksichtigung der Teilstück-Länge: Dl = 10 · lg(l) |
| Ds | Pegeländerung nach Abschnitt 3.6 zur Berücksichtigung des Abstandes und der Luftabsorption |
| DBM | Pegeländerung nach Abschnitt 3.7 zur Berücksichtigung der Boden- und Meteorologiedämpfung |
| Dz | Abschirmmaß nach 3.9 |
| Drefl | Pegelerhöhung nach Abschnitt 3.8 durch Mehrfachreflexion bei Fahrstreifen zwischen parallelen Wänden (Straßenschluchten, Troglagen) |
| Dmet | Pegeländerung nach Abschnitt 3.10 durch Anpassung der Witterungsbedingung von leichtem Wind-(etwa 3 m/s) von der Straße zum Immissionsort und/oder Temperaturinversion auf Langzeitmittelung. |
3.5 Emissionspegel
Der Emissionspegel ist
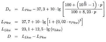
| Lm,E = Lm(25) + Dv + DStrO + DStg + DE | ( 7) |
mit
| Lm(25) | Mittelungspegel nach Abschnitt 3.5.1 |
| Dv | Korrektur nach Abschnitt 3.5.2 für unterschiedliche zulässige Höchstgeschwindigkeiten |
| DStrO | Korrektur nach Abschnitt 3.5.3 für unterschiedliche Straßenoberflächen |
| DStg | Zuschlag nach Abschnitt 3.5.4 für Steigungen und Gefälle |
| DE | ]Korrektur nach Abschnitt 3.11 (nur bei Spiegelschallquellen). |
3.5.1 Mittelungspegel Lm(25)
Der Mittelungspegel Lm(25) gilt für folgende Randbedingungen:
Der Mittelungspegel Lm(25)ist
| Lm(25)= 37,3 + 10 · lg [M · (1 + 0,082 · p)] | ( 8) |
mit
| M | maßgebende stündliche Verkehrsstärke nach Tabelle 2 für einstreifige Straßen. Bei mehrstreifigen Straßen ist M zu gleichen Teilen auf die beiden äußeren Fahrstreifen aufzuteilen |
| p | maßgebender Lkw-Anteil in % nach Tabelle 2 (Lkw mit einem zulässigen Gesamtgewicht über 3,5 t). Auf die Anwendung der Tabelle 2 ist zu verzichten, wenn geeignete projektbezogene Untersuchungsergebnisse vorliegen, die zur Ermittlung
für die Zeiträume zwischen 6.00 - 18.00 Uhr, 18.00 - 22.00 Uhr bzw. 22.00 - 6.00 Uhr als Mittelwert für alle Tage des Jahres herangezogen werden können. |
Tabelle 2: Maßgebende Verkehrsstärke M in Kfz/h und maßgebende Lkw-Anteile p (über 3,5 t zulässiges Gesamtgewicht) in %
| Straßengattung | tags (6.00-18.00 Uhr) |
abends (18.00-22.00 Uhr) |
nachts (22.00-6.00 Uhr) |
||||
| M [Kfz/h] | p[%] | M [Kfz/h] | p[%] | M [Kfz/h] | p[%] | ||
| 1 | 2 | 3 | 4 | 5 | 6 | 7 | |
| 1 | Bundesautobahnen | 0,062·DTV | 25 | 0,042·DTV | 35 | 0,014·DTV | 45 |
| 2 | Bundesstraßen | 0,062·DTV | 20 | 0,042·DTV | 20 | 0,011·DTV | 20 |
| 3 | Landes-, Kreis-, und Gemeindeverbindungsstraßen | 0,062·DTV | 20 | 0,042·DTV | 15 | 0,008·DTV | 10 |
| 4 | Gemeindestraßen | 0,062·DTV | 10 | 0,042·DTV | 6,5 | 0,011·DTV | 3 |
3.5.2 Geschwindigkeitskorrektur
Durch die Korrektur Dv werden von 100 km/h abweichende zulässige Höchstgeschwindigkeiten berücksichtigt:
![]() |
( 9) |
mit
| vPkw | zulässige Höchstgeschwindigkeit für Pkw, jedoch mindestens 30 km/h und höchstens 130 km/h, |
| vLkw | zulässige Höchstgeschwindigkeit für Lkw, jedoch mindestens 30 km/h und höchstens 80 km/h, |
| LPkw, LLkw | Mittelungspegel für 1 Pkw/h bzw. 1 Lkw/h. |
3.5.3 Straßenoberfläche
Die Korrektur DStrO für unterschiedliche Straßenoberflächen erfolgt nach Tabelle 3.
Tabelle 3: Korrektur DStrO für unterschiedliche Straßenoberflächen
| DStrO* in dB(A) bei zulässiger Höchstgeschwindigkeit von | |||||
| Straßenoberfläche | 30 km/h | 40 km/h | ≥ 50 km/h | > 60 km/h | |
| 1 | 2 | 3 | 4 | ||
| 1 | nicht geriffelte Gussasphalte, Asphaltbetone oder Splittmastixasphalte | 0,0 | 0,0 | 0,0 | |
| 2 | Betone oder geriffelte Gussasphalte | 1,0 | 1,5 | 2,0 | |
| 3 | Pflaster mit ebener Oberfläche | 2,0 | 2,5 | 3,0 | |
| 4 | Sonstiges Pflaster | 3,0 | 4,5 | 6,0 | |
| 5 | Betone nach ZTV Beton 78 mit Stahlbesenstrich mit Längsglätter | 1,0 | |||
| 6 | Betone nach ZTV Beton-StB 01 mit Waschbetonoberfläche sowie mit Jutetuch-Längstexturierung | -2,0 | |||
| 7 | Asphaltbetone < 0/11 und Splittmastixasphalte 0/8 und 0/11 ohne Absplittung | -2,0 | |||
| 8 | Offenporige Asphaltdeckschichten, die im Neubau einen Hohlraumgehalt > 15 % aufweisen | ||||
| - mit Kornaufbau 0/11 | -4,0 | ||||
| - mit Kornaufbau 0/8 | -5,0 | ||||
| *) Für lärmmindernde Straßenoberflächen, bei denen aufgrund neuer bautechnischer Entwicklungen eine dauerhafte Lärmminderung nachgewiesen ist, können auch andere Korrekturwerte DStrO berücksichtigt werden. | |||||
3.5.4 Steigungen und Gefälle
Steigungen und Gefälle werden durch
| DStg = 0,6 x |g| - 3 | für |g| > 5% |
| DStg = 0 | für |g| < 5% |
berücksichtigt, mit
| g | Längsneigung des Fahrstreifens in %. |
3.6 Abstand und Luftabsorption
Der Einfluss des Abstandes und der Luftabsorption wird berücksichtigt durch
| Ds = 20 · lg (s) + s/200 - 11,2 | ( 10) |
mit
| s | Abstand zwischen Immissions- und Emissionsort. |
3.7 Boden- und Meteorologiedämpfung
Die Pegeländerung durch Boden- und Meteorologiedämpfung bei freier Schallausbreitung ist
| DBM = 4,8 - (hm/s) · (34 + 600/s) ≥ 0. | ( 11) |
Der mittlere Abstand zwischen dem Grund und der Verbindungslinie zwischen Emissions- und Immissonsort hm wird bestimmt aus dem Quotienten vom Flächenintegral F und dem Laufweg zwischen Emissionsort und Immissionsort (s. Abbildung 2).
| hm = F / s | ( 12) |
mit
| hm | mittlerer Abstand zwischen dem Grund und der Verbindungslinie zwischen Emissions- und Immissonsort |
| s | Laufweg zwischen Emissionsort und Immissionsort |
| F | Fläche zwischen Laufweg und Boden |
Abbildung 2: Mittlere Höhe hm
3.8 Mehrfachreflexion
Verläuft ein Teilstück zwischen parallelen, reflektierenden Stützmauern, Lärmschutzwänden oder geschlossenen Hausfassaden (Lückenanteil < 30 %), erhöht sich der Mittelungspegel zusätzlich zur ersten Reflexion nach Abschnitt 3.11 (Abbildung 3) um
| Drefl = 4 · hBeb / w ≤ 3,2 | ( 13) |
mit
| hBeb | mittlere Höhe der Stützmauern, Lärmschutzwände oder Hausfassaden. Sind diese nicht auf beiden Straßenseiten gleich hoch, ist die mittlere Höhe der niedrigeren Flächen anzusetzen. |
| w | Abstand der reflektierenden Flächen voneinander. |
Abbildung 3: Erläuterung zur Pegelerhöhung durch Mehrfachreflexion
Sind die Lärmschutzwände oder Stützmauern absorbierend (siehe ZTV- Lsw 88 1), ist
| Drefl = 2 · hBeb/w ≤ 1,6 | ( 14) |
Bei hochabsorbierenden Lärmschutzwänden (siehe ZTV- Lsw 88) wird die Mehrfachreflexion vernachlässigt.
3.9 Abschirmung
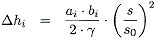
Eine Pegelminderung durch Abschirmung tritt erst dann ein, wenn die Verbindungslinie zwischen Emissions- und Immissionsort mindestens tangiert wird. Der Effekt der Strahlenkrümmung wird durch eine Verlagerung der Beugungskante um Δh berücksichtigt (s. Abbildung 4).
Abbildung 4: Erläuterung der Abschirmung
![]() |
( 15) |
![]() |
( 16) |
![]() |
( 17) |
![]() |
( 18) |
![]() |
( 19) |
mit
| i | Index des Hindernisses i = 1 ... n, beginnend an der Straße |
| ai | Entfernung Emissionsort zum Hindernis i |
| bi | Entfernung Hindernis i zum Immissionsort |
| Ai | Für i = 1: Abstand des Emissionsortes von der Beugungskante des ersten Hindernisses Für i ≠ 1: Abstand der Beugungskante des (i - 1)-ten Hindernisses von der Beugungskante des i-ten Hindernisses |
| A"i | Für i = 1: Abstand des Emissionsortes von dem um Δh1 erhöhten Durchstoßpunkt des ersten Hindernisses Für i ≠ 1: Abstand des um Δhi-1 erhöhten Durchstoßpunktes des (i -1)-ten Hindernisses von dem um Δhi erhöhten Durchstoßpunkt des iten Hindernisses |
| B | Abstand der letzten (n-ten) Beugungskante vom Immissionsort |
| B" | Abstand des Immissionsortes von dem um Δhn erhöhten Durchstoßpunkt des letzten (n-ten) Hindernisses |
| Δhi | Änderung der Höhe der Abschirmeinrichtung i aufgrund der parabolischen Krümmung der Schallstrahlen |
| γ | Parabolische Krümmung |
| hi | Höhe des Hindernisses, bezogen auf die Straßenoberfläche |
| hD,i | Höhe des Durchstoßpunktes des Hindernisses, bezogen auf die Straßenoberfläche |
| hSI | Höhe des Immissionsortes, bezogen auf die Straßenoberfläche |
| s | Abstand zwischen Emissions- und Immissionsort |
| s0 | Entfernung zwischen Emissions- und Immissionsort |
| z | Schirmwert (siehe Abbildung 4) |
Befinden sich mehrere Hindernisse zwischen Emissions- und Immissionsort, so kann Mehrfachbeugung auftreten (siehe Abbildung 4 unten). Zu berücksichtigen ist die Abschirmwirkung jener Hindernisse, die von einem Gummiband berührt werden, das vom Emissionsort zum Immissionsort über die Hindernisse gespannt wird.
Innerhalb des Teilstückes darf sich die Höhe der Beugungskante über der Achse des Fahrstreifens um nicht mehr als 0,2 m und die senkrechte Entfernung der Beugungskante von der Fahrstreifenmitte um nicht mehr als 0,5 m ändern. Andernfalls ist das Teilstück weiter zu unterteilen.
3.10 Berücksichtigung von unterschiedlichen Ausbreitungsbedingungen
Je nach Tageszeit herrschen unterschiedliche Ausbreitungsbedingungen des Schalls in der Atmosphäre vor. Die Pegeländerung ist
![]() |
( 20) |
mit der in Tabelle 4 angegebenen meteorologischen Korrektur.
Tabelle 4: Meteorologische Korrektur
| Meteorologische Korrektur | CO [dB(A)] | |
| 1 | 2 | |
| 1 | Tag | 2,0 |
| 2 | Abend | 1,0 |
| 3 | Nacht | 0,0 |
3.11 Berücksichtigung von Einfachreflexionen
Trifft Schall auf Stützmauern, Hausfassaden oder andere Flächen, wird er reflektiert. Dadurch kann sich der Mittelungspegel an einem Immissionsort erhöhen. Reflexionen sind zu berücksichtigen, wenn die Höhe hR der reflektierenden Fläche der Bedingung hR ≥ 0,3 · √aR genügt, wobei aR die Entfernung zwischen Quelle und Reflektor ist.
Zur Berücksichtigung der Reflexion wird die Straße (Originalschallquelle) an der reflektierenden Fläche gespiegelt. Vom Immissionsort aus gesehen scheint sich hinter der reflektierenden Wandfläche eine zusätzliche Schallquelle (Spiegelschallquelle) zu befinden (Abbildung 5, Fall a). Es ist zu beachten, dass von der Spiegelschallquelle nur das Teilstück wirksam ist, von dem aus die "Schallstrahlen" zum Immissionsort durch die reflektierende Fläche hindurch verlaufen (Strahlen 1 und 2 in Abbildung 5, Fall b). Diese Bedingung ist z.B. Für den Strahl 3 in Abbildung 5, Fall b nicht erfüllt.
Diffus reflektierter Schall wird vernachlässigt.
Abbildung 6 enthält Beispiele zur Konstruktion von Spiegelschallquellen. In Abbildung 6 a) wird ein kurzes Straßenstück an einem längeren Reflektor gespiegelt. In Abbildung 6 b) und c) werden lange Straßen an einem kurzen Reflektor gespiegelt. Von der Originalstraße ist jeweils das Straßenstück gekennzeichnet (Originalschallquelle), dem eine für den Immissionsort wirksame Spiegelschallquelle entspricht.
Bei der Berechnung des Mittelungspegels sind Spiegelschallquellen wie Originalschallquellen zu behandeln. Da aber bei der Reflexion Energieverluste auftreten, wird bei den Spiegelschallquellen mit einem durch den Summanden DE (siehe Gleichung 7 und Tabelle 5) korrigierten Emissionspegel gerechnet.
Tabelle 5: Korrektur zur Berücksichtigung der Absorptionseigenschaften von reflektierenden Flächen (nur bei Spiegelschallquellen)
| Reflexionsart | DE [dB(A)] | |
| 1 | 2 | |
| 1 | glatte Gebäudefassaden und reflektierende Lärmschutzwände | -1 |
| 2 | gegliederte Hausfassaden (z.B. Fassaden mit Erkern, Balkonen etc.) | -2 |
| 3 | absorbierende Lärmschutzwände | -4 |
| 4 | hochabsorbierende Lärmschutzwände | -8 |
Abbildung 5: Spiegelung von Schallquellen
Bei Straßen, die zwischen parallelen Wänden verlaufen (z.B. Straßen in Troglage, Straßen zwischen Lärmschutzwänden oder Straßen zwischen Häuserfronten) wird nur die erste Reflexion durch DE berücksichtigt, die weiteren Reflexionen durch den Zuschlag Drefl nach Abschnitt 3.8.
Abbildung 6: Beispiele für die Konstruktion von Spiegelschallquellen
___________
1) Zusätzliche Technische Vorschriften und Richtlinien für die Ausführung von Lärmschutzwänden an Straßen, Allgemeines Rundschreiben Straßenbau Nr. 8/1988, 18.3.1988
![]() |
ENDE | ![]() |
(Stand: 20.01.2025)
Alle vollständigen Texte in der aktuellen Fassung im Jahresabonnement
Nutzungsgebühr: ab 105.- € netto
(derzeit ca. 7200 Titel s.Übersicht - keine Unterteilung in Fachbereiche)
Die Zugangskennung wird kurzfristig übermittelt
? Fragen ?
Abonnentenzugang/Volltextversion