Für einen individuellen Ausdruck passen Sie bitte die
Einstellungen in der Druckvorschau Ihres Browsers an.
Regelwerk

WBR 2014 - Waldbewertungsrichtlinien *
- Niedersachsen -

Vom 18. Dezember 2013
(Nds. MBl. Nr. 2 vom 15.01.2014 S. 38 Außerkrafttretenaufgehoben)
Gl.-Nr.: 79100



Zur aktuellen Fassung

RdErl. d. ML v. 18.12.2013 - 405-64310-30.1-2 -

- VORIS 79100 -

I. Allgemeine Bestimmungen

1 Geltungsbereich

Diese Richtlinien sind, soweit nicht durch Gesetz oder Verordnung etwas anderes bestimmt ist, von den Dienststellen der Anstalt Niedersächsische Landesforsten, der Oberfinanzdirektion Niedersachsen und der Landwirtschaftskammer Niedersachsen für Waldbewertungen anzuwenden.

Die Anwender erstellen die ergänzenden Anlagen, Tabellen und Vordrucke zur WBR 2014 nach gemeinsamer Beratung in eigener Zuständigkeit.

Freiberuflichen Forstsachverständigen, die im Bereich des Landes Niedersachsen tätig sind, wird die Anwendung dieser Richtlinien empfohlen.

Die vom Bund herausgegebenen "Richtlinien für die Ermittlung und Prüfung des Verkehrswertes von Waldflächen und für Nebenentschädigungen" (WaldR) bleiben unberührt.

2 Bewertungsobjekte und -fälle

Bewertungsobjekte sind:

Waldbewertungen sind in folgenden Fällen erforderlich:

3 Wertermittlungsgrundsatz

Ziel der Wertermittlung ist i. d. R. die Feststellung des Verkehrswertes gemäß § 194 Baugesetzbuch.

Grundsätzlich ist zu unterstellen, dass die Bewertungsobjekte im Rahmen der gesetzlichen Bestimmungen ordnungsgemäß und gemeinüblich bewirtschaftet werden. Hierbei kann die Holzproduktion des Waldes im Vordergrund stehen, es können aber auch die Schutz- und Erholungsfunktionen Vorrang haben.

In jedem Einzelfall ist zu prüfen, welche Umstände den Wert beeinflussen können und welche Wertermittlungsverfahren anzuwenden sind.

II. Berechnungsgundlagen

4 Landesdurchschnittswerte

Einige der Berechnungsgrundlagen wie Holzpreise, Holzernte-, Kultur- und Verwaltungskosten sowie Bodenrenten werden als Landesdurchschnittswerte ermittelt und regelmäßig aktualisiert. Sie sind im Regelfall der Bewertung zugrunde zu legen.

Weichen die im einzelnen Bewertungsfall ermittelten Grundlagen erheblich von den Landesdurchschnittswerten ab, sind sie an deren Stelle zu verwenden.

5 Flächen

Der Bestandesbewertung sind die Holzbodenflächen zugrunde zu legen.

Die Größe der Flächen ist aus Flächennachweisungen herzuleiten, sofern sie auf Katasterunterlagen abgestimmt und die Bestandesgrenzen unverändert sind. Anderenfalls sind die Flächengrößen auf der Grundlage von Katasterunterlagen einzelbestandsweise zu ermitteln.

6 Bestandesdaten

Für die Wertberechnungen sind in der Regel Bestandesschicht, Baumart, Alter, Mittel- oder Oberhöhe, Leistungsklasse, Brusthöhendurchmesser (BHD), Anteilfläche und Bestockungsgrad, in besonderen Fällen auch der Holzvorrat, nach den Grundsätzen der Forsteinrichtung zu ermitteln.

Aus Betriebswerken oder -gutachten können die Daten nur nach örtlicher Überprüfung übernommen werden.

Zur Ermittlung des Bestandeswertes nach BLUME ist zusätzlich zum tatsächlichen Bestockungsgrad am Bewertungsstichtag ein gutachtlicher Bestockungsgrad im Endnutzungshalter anzugeben. Dieser ist so anzusetzen, dass die übliche Bewirtschaftung, die Regenerationsfähigkeit, der Lichtungszuwachs, eine von der angewendeten Ertragstafel oder vom derzeitigen Waldzustand abweichende waldbauliche Zielbestockung sowie die standörtlichen Risiken des Bestandes (vgl. Nr. 22) angemessen berücksichtigt werden.

Wenn z.B. die Bestände durch ordnungsgemäße Durchforstung nur vorübergehend aufgelockert werden, ist der gutachtliche Bestockungsgrad höher als der tatsächlich am Bewertungsstichtag gemessene oder geschätzte Bestockungsgrad anzusetzen. Dagegen ist er gutachtlich zu mindern, wenn damit zu rechnen ist, dass der Bestockungsgrad im Endnutzungsalter geringer als der derzeitige sein wird. In vielen Fällen wird der gutachtliche Bestockungsgrad dem tatsächlichen entsprechen.

Hiebsreife und annähernd hiebsreife Bestände, in der Regel auch Überhalt sowie Baumholzbestände auf Kleinflächen oder mit hoher Werterwartung sind möglichst zu kluppen. Vorhandene Kluppergebnisse, die nicht älter als 10 Jahre sind, können unter Berücksichtigung der Massenentnahme, des Massen- und des BHD-Zuwachses auf den Stichtag der Bewertung fortgeschrieben werden.

Alle übrigen Bestände sind im Anhalt an die Ertragstafeln einzuschätzen. Der BHD kann repräsentativ ermittelt werden. Er ist anzugeben, wenn er wesentlich vom BHD der Ertragstafel abweicht. Diese Abweichung ist auch bei der Herleitung des BHD im Endnutzungsalter (BHDu) zu berücksichtigen. Bei ungekluppten Beständen kann der BHD der Ertragstafel ebenfalls im Endnutzungsalter pauschal mittels geeigneter Korrekturfaktoren (z.B. auf Basis landesweiter Inventurverfahren) angepasst werden.

Eine dynamische Bonitierung der Bestände ist zugelassen.

7 Bestandes- und Endnutzungsalter

Das Alter eines Bestandes zum Bewertungsstichtag wird als Alter a, das Endnutzungsalter als Alter u bezeichnet.

Die Festsetzung eines wirtschaftlichen Alters a ist möglich, z.B. bei ungewöhnlichem Wuchsverlauf.

Das Endnutzungsalter ist nach der betrieblichen Zielsetzung oder nach den gegendüblichen Regeln einer ordnungsgemäßen Forstwirtschaft, ggf. bestandesweise, zu bestimmen. Dabei sind überdurchschnittliche Bestandesrisiken zu berücksichtigen (vgl. Nr. 22). Bei Baumarten für die keine eigenen Ertragstafeln vorliegen, ist das Endnutzungsalter auch im Hinblick auf die in der zugeordneten Ertragstafel enthaltenen Massen- und BHD-Angaben festzulegen.

Weicht das nach den vorstehenden Bestimmungen ermittelte Endnutzungsalter von dem Standard-Endnutzungsalter ab, so ist der Bestandeswert nach BLUME nach dem in Nr. 20 beschriebenen Verfahren herzuleiten.

8 Sortenanteile und Wertklassen

Für das Endnutzungsalter ist zu schätzen, welcher Stammholzanteil an der Gesamtderbholzmasse und welche Anteile der Güteklassen am Stammholz zu erwarten sind.

Stimmt das Ergebnis der Sortenschätzung im wesentlichen mit einer standardisierten Sortengliederung überein, so kann die zugehörige Wertklasse angewendet werden.

Der Berechnung von Abtriebswerten im Alter a (Nr. 16) sind die Stammholz- und Güteklassenanteile am Bewertungsstichtag zugrunde zu legen. Die nicht zum Stammholz zählenden Sorten werden als Nichtstammholz zusammengefasst.

9 Holzpreise

Bei der Ermittlung der Holzpreise ist vom regionalen Durchschnitt auszugehen, der in mehreren, dem Bewertungsstichtag vorangegangenen Wirtschaftsjahren erzielt wurde. Die allgemeine Entwicklungstendenz der Holzpreise und die besonderen gegendüblichen Verhältnisse sind angemessen zu berücksichtigen.

Für das Stammholz werden landesdurchschnittliche Nettopreise von Standardsorten (unentrindet, gerückt) ermittelt. Die Preise aller übrigen Stammholzsorten sind mit den entsprechenden Faktoren herzuleiten. Abschließend ist die Umsatzsteuer hinzuzurechnen.

Für das Nichtstammholz sind landesdurchschnittliche Erlöse pauschaliert und erntekostenfrei einschließlich Umsatzsteuer einzusetzen.

Wenn die örtlich erzielten Preise oder erntekostenfreien Erlöse stark von den Landesdurchschnittswerten abweichen, sind diese statt der Tabellenwerte als Berechnungsgrundlage zu verwenden.

10 Holzerntekosten, Beseitigungskosten

Als Holzerntekosten sind alle Kosten zu berechnen, die durch Fällung, Aufarbeitung und Bringung für unentrindetes, gerücktes Holz bei der Anwendung gegendüblicher Verfahren entstehen. Hierzu gehören die Lohnnebenkosten, die Holzerntenebenkosten - z.B. für die Aufnahme der Hiebsbedingungen und Vermessung - sowie die Umsatzsteuer für den Unternehmereinsatz. Da die Holzpreise für unentrindetes, gerücktes Holz ermittelt werden, sind Entrindungskosten nicht zu berücksichtigen, auch wenn bestimmte Sorten i. d. R. entrindet werden; dagegen sind stets Rückekosten zu veranschlagen, auch wenn das Holz ungerückt verkauft wird.

Für das Abräumen gering dimensionierten Aufwuchses (BHD < 10 cm) können in Entschädigungs- und Schadensfällen Beseitigungskosten verwendet werden.

11 Kulturkosten

Zu den Kulturkosten zählen die Kosten aller Maßnahmen, die zur Bestandesbegründung sowie zum Schutz des Jungwuchses vor Schäden nach gegendüblichen Verfahren bis zur Sicherung des Jungwuchses erforderlich sind, wie:

Schlagräumung, Bodenbearbeitung, Pflanzenbeschaffung, Pflanzung, Düngung, Jungwuchspflege, Einzel- oder Zaunschutz gegen Wildschäden und sonstige Schutzmaßnahmen. Zu den Löhnen sind die Lohnnebenkosten, zu den Material- und Unternehmerkosten die Umsatzsteuer zu rechnen.

Betriebszielgerecht gelungene Naturverjüngungen sind mindestens der Stufe 2 zuzuordnen.

Für geringwertige, misslungene oder stark unterbestockte Bestände sowie umwandlungsbedürftige Bestände sind die Kosten der Stufe 1 zu verwenden.

Wertloser Aufwuchs ist wie Blöße zu bewerten.

12 Verwaltungskosten

Als Verwaltungskosten im Sinne der Waldbewertung gelten:

Nicht reduzierbare jährliche Verwaltungskosten sind diejenigen Kosten, die bei Verhinderung der Aufforstung weiterhin dem Forstbetrieb entstehen.

13 Bodenrenten

Die jährliche Bodennettorente ergibt sich aus der Rentifizierung des Bodenwertes. Im Sinne einer Bodenpacht können hilfsweise 2 % des Waldbodenverkehrswertes in Anlehnung an den landwirtschaftlichen Bodenmarkt als jährliche Rente angesetzt werden.

Die Bodenbruttorente kann vereinfacht als die Summe aus Bodennettorente und den nicht reduzierbaren Verwaltungskosten (vgl. Nr. 12) angenommen werden.

III. Wertermittlungsverfahren

Einzelwertermittlung

14 Begriffe

In der Einzelwertermittlung werden die Werte für den Waldboden, die aufstockenden Bestände, Baumgruppen oder Einzelbäume gesondert ermittelt und summiert.

Die Bestandeswerte sind dabei in der Regel - getrennt nach Bestandesschichten und Baumarten - als Abtriebs- oder Bestandeswert nach BLUME, in besonderen Fällen auch als Bestandeskostenwerte (Nr. 49) zu berechnen.

15 Bodenwert

Der Waldbodenverkehrswert wird durch den Preis bestimmt, der am Wertermittlungsstichtag im gewöhnlichen Grundstücksverkehr ohne Rücksicht auf ungewöhnliche und persönliche Verhältnisse für Waldboden zu erzielen wäre. Er ist grundsätzlich aus Waldbodenpreisen herzuleiten, die bei Verkäufen von ähnlichen Waldflächen erzielt worden sind. Das bedeutet, dass die Vergleichsgrundstücke hinsichtlich regionaler Lage und Nutzungsmöglichkeit mit dem Wertermittlungsobjekt soweit wie möglich übereinstimmen sollten. Abweichungen in den Eigenschaften der Vergleichsgrundstücke sind angemessen zu berücksichtigen.

Waldbodenrichtwerte sind zu berücksichtigen und auf ihre Anwendbarkeit für das Bewertungsobjekt zu prüfen. Mittels Zu- oder Abschläge kann daraus der Waldbodenverkehrswert hergeleitet werden.

Liegen in der betreffenden Gegend weder Waldbodenrichtwerte noch Waldbodenpreise aus Verkäufen ähnlicher Waldflächen vor oder nicht in ausreichendem Maße vor, kann der Waldbodenverkehrswert auch über andere Methoden ermittelt werden.

Die Berücksichtigung des Jagdwertes ist in Nr. 35 geregelt.

16 Abtriebswert

Abtriebswert ist der um die Holzerntekosten (Nr. 10) verminderte Erlös, der sich beim Verkauf aller in einem bestimmten Bestandesalter anfallenden Holzmengen und -sorten (Nr. 8) zu den nach Nr. 9 ermittelten Holzpreisen ergibt oder ergeben würde.

Es sind zu unterscheiden:
Abtriebswert im Endnutzungsalter Au- Wert (Nrn. 7, 19 - 22)
Abtriebswert im Alter zum Bewertungsstichtag bzw. Einschlagszeitpunkt: Aa- Wert (Nr. 40 ist ggf. zu beachten).

17 Abtriebswert als Bestandeswert

Der Abtriebswert ist für diejenigen Bestände und Bestandesteile als Bestandeswert anzusetzen,

18 Bestandeswert nach BLUME

Der Bestandeseinzelwert wird als sogenannter Bestandeswert nach BLUME mittels Alterswertfaktoren durch Interpolation zwischen Kulturkosten und Abtriebswert (Au) unter Berücksichtigung aller noch bis zum Erreichen des Endnutzungsalters zu erwartenden Reinerträge und spezifischer Risiken, bezogen auf den Bewertungsstichtag, ermittelt.

Der Bestandeswert nach BLUME ist als Bestandeswert für diejenigen Bestände und Bestandesteile anzusetzen, für die weder der Abtriebswert (Nr. 17) noch der Bestandeskostenwert (Nr. 49) als Bestandeswert gilt.

19 Alterswertfaktor-Verfahren

Der Bestandeswert nach BLUME wird - getrennt nach Bestandesschichten und Baumarten - näherungsweise nach der Blumeschen Formel berechnet:

BE = [(Au- c) x ƒa+ c] x Bg

Darin bedeuten:

BE = Bestandeserwartungswert im Alter a in EUR/ha
Au = Abtriebswert im Endnutzungsalter bei Bestockungsgrad 1,0 in EUR/ha (Nrn. 7, 16, 22)
c = Kulturkosten in EUR/ha (Nrn. 11, 21)
ƒa = Alterswertfaktor für das Alter a (Nr. 20)
Bg = Bestockungsgrad. Es ist der gutachtliche Bestockungsgrad nach den Nrn. 6 und 22 anzuwenden.

Alle Alterswertfaktoren sind auf das Jahr der Kulturbegründung bezogen. Von dem üblicherweise z.B. in Betriebswerken angegebenen Pflanzenalter können hilfsweise 2 Jahre (3 Jahre bei Fichte, Douglasie und Strobe) abgezogen werden.

Für die Baumartengruppen Eiche, Buche, Fichte und Kiefer gibt es jeweils eine Alterswertfaktorenreihe mit einem Standard-Endnutzungsalter.

Alle anderen Baumarten sind einer der genannten Baumartengruppen zuzuordnen.

20 Berücksichtigung eines vom Standard abweichenden Endnutzungsalters

Weicht das tatsächliche Endnutzungsalter von dem Standard-Endnutzungsalter ab, ist das Bestandesalter vor dem Aufsuchen in einer Tabelle mit dem Quotienten


Standard-Endnutzungsalter

tatsächliches Endnutzungsalter

zu multiplizieren.

21 Berücksichtigung noch nicht aufgewendeter Kulturkosten

Wenn die Kultur noch nicht gesichert ist, ist der Bestandeswert nach BLUME um den Teilbetrag zu kürzen, der vom Wertermittlungsstichtag bis zur Sicherung der Kultur noch aufzuwenden ist (= k). Die in Nr. 19 angegebene Formel ist in diesem Falle wie folgt abzuwandeln:

BE = [(Au- c) x ƒa+ c] x Bg - k

22 Überdurchschnittliche Bestandesrisiken

Überdurchschnittliche Bestandesrisiken, z.B. Windwurfgefahr bei Fichte auf nassen Standorten oder ungünstige räumliche Ordnung, sind dadurch zu berücksichtigen, dass die Berechnung mit reduziertem Bestockungsgrad (Nr. 6) und/ oder verringertem Endnutzungsalter (Nr. 7) durchgeführt wird.

23 Besondere Betriebsarten und Bestandesformen

Plenter-, Mittel- und Niederwald sowie alle stufig aufgebauten Bestände sind in einzelne Bestandesschichten aufzuteilen und nach den Nrn. 16 bis 22 zu bewerten.

24 Einzelbäume und Baumgruppen

Einzelbäume, Waldränder, Baumgruppen, Baumreihen u. ä. sind nach ihren Funktionen zu bewerten. Die Bewertung kann nach den derzeit gebräuchlichen Methoden vorgenommen werden, z.B. gemäß den aktuellen Ziergehölzhinweisen oder der Methode KOCH.

Einzelbäume eines Bestandes können unter zu Hilfenahme von Einzelbaumschätzwerttabellen, die auf Basis durchschnittlicher Bestandeswerte dividiert durch Stammzahl erstellt wurden, bewertet werden.

Waldrentierungswertermittlung

25 Begriffe

Der Waldrentierungswert ist der Ertragswert eines Forstbetriebes, größerer Betriebsteile oder einer Betriebsklasse. Er kommt nur für Objekte in Betracht, die eine nachhaltige Bewirtschaftung erlauben.

26 Waldrentierungswert bei ausgeglichenem Altersklassenverhältnis

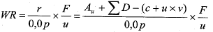
Entspricht das Bewertungsobjekt annähernd den Altersklassenverhältnissen des Normalwaldes, so ist der Waldrentierungswert - getrennt nach Baumarten - als kapitalisierter jährlicher Reinertrag nach folgender Formel zu ermitteln:

Die Symbole bedeuten:

r = nachhaltig jährlicher Reinertrag auf u ha in EUR
p = Zinsfuß in Prozent, in der Regel 3 %
Au = erntekostenfreier Wert der jährlichen Endnutzung in EUR/ha
Σ D = erntekostenfreier Wert aller jährlichen Vornutzungen auf u ha in EUR
c = jährliche Kulturkosten in EUR/ha (Nr. 11)
u = Umtriebszeit der Baumart in Jahren
v = jährliche Verwaltungskosten in EUR/ha (Nr. 12)
F = Fläche der Baumart in ha

27 Waldrentierungswert bei unausgeglichenem Altersklassenverhältnis

Bei mäßiger Abweichung vom normalen Altersklassenverhältnis kann der Waldrentierungswert ermittelt werden, indem der nach Nr. 26 berechnete Wert mit dem Quotienten "Vw: Vs " oder "2 am : u " multipliziert wird.

Die Symbole beziehen sich auf das Bewertungsobjekt bzw. die Baumart und bedeuten:

Vw = wirklicher Vorrat
Vs = Soll-Vorrat
am = Flächendurchschnittsalter

Bei stärkerer Abweichung vom normalen Altersklassenverhältnis müssen die Reinerträge periodenweise aus den Zustands- und Planungsdaten der Forsteinrichtung - z.B. über einen periodischen Nutzungsplan - hergeleitet und auf den Bewertungsstichtag diskontiert werden. Der nach Herstellung des idealen Altersklassenverhältnisses (z.B. nach Ende des periodischen Nutzungsplanes) sich ergebende nachhaltige ewige Reinertrag ist gem. Nr. 32 zu kapitalisieren und auf den Bewertungsstichtag zu diskontieren.

28 Zerschlagungswert

Alternativ zum Waldrentierungswert kann auch der Zerschlagungswert als Summe der positiven Abtriebswerte und des Bodenverkehrswertes herangezogen werden, insbesondere, wenn dieser über dem Waldrentierungswert liegt.

Herleitung des Verkehrswertes

29 Einzelwerte und sonstige Grundlagen

Die Summe der ermittelten Einzelwerte für den Boden und den Bestand (Nrn. 14 - 24) stellt i. d. R. den Verkehrswert dar. Bei größeren Bewertungsobjekten sollte nach Nr. 30 der Waldrentierungswert herangezogen werden. Wertbestimmende Merkmale, die nicht mit den Berechnungen erfasst werden, können nach Nr. 31 durch Zu- und Abschläge von den Einzelwerten oder von dem gewogenen Mittel der Einzel- und Rentierungswerte berücksichtigt werden. Sondernutzungen und -belastungen, Betriebsanlagen und Jagdwerte sind ggf. gesondert zu bewerten (Nrn. 32 - 35).

Als Ergebnis der verschiedenen Wertermittlungsverfahren ist der Verkehrswert des Bewertungsobjektes festzustellen.

30 Berücksichtigung des Waldrentierungswertes bei größeren Bewertungsobjekten

Liegt ein Wertermittlungsobjekt vor, dessen einzelne Bestände aufgrund ihrer Lage und ihres Zustands in starker gegenseitiger Abhängigkeit und Gebundenheit stehen und daher eine nach forstlichen Gesichtspunkten ausgerichtete Bewirtschaftung und Verwendung als wirtschaftliche Einheit (Renditeobjekt) im Vordergrund steht, kann die Einzelwertermittlung zu einem Ergebnis führen, das höher liegt als der im gewöhnlichen Geschäftsverkehr erzielbare Preis für ausreichend ähnliche Wertermittlungsobjekte.

In solchen Fällen ist zur Herleitung des Verkehrswertes neben der Einzelwertermittlung eine Waldrentierungswertermittlung (Nrn. 25 - 28) durchzuführen. Anschließend ist gutachtlich ein gewogenes Mittel aus den Ergebnissen der Einzelwertermittlung und der Waldrentierungswertermittlung herzuleiten.

31 Zu- und Abschläge

Wertbestimmende Merkmale des gesamten Objekts, die bei den Wertermittlungen nach Nrn. 14 - 30 und 32 - 35 nicht oder nur unzureichend erfasst sind, können vor Feststellung des Verkehrswertes gutachtlich als Zu- und Abschläge (mit einem Vomhundertsatz oder aufgrund besonderer Berechnungen) z.B. aus folgenden Gründen berücksichtigt werden:

Besondere Bewertungen

32 Sondernutzungen und -belastungen

Für besondere Nutzungen (z.B. anerkannte Saatgutbestände, Pflanzenanzucht in Sonderkulturen und Kämpen, Nebennutzungen, Forstrechte) sind i. d. R. die erzielbaren Reinerträge als Differenz der Erträge und Aufwendungen zu ermitteln.

Für besondere Belastungen sind die Aufwendungen - ggf. unter Abzug von Erträgen - herzuleiten.

Die Kapitalwerte sind mit den nachstehend aufgeführten Formeln zu berechnen, wobei als Zinsfuß 4 % einzusetzen sind, sofern nicht ein anderer Zinsfuß vorgeschrieben oder vereinbart wurde.

Einmalige Reinerträge werden auf einen früheren Zeitpunkt diskontiert:

k = r / 1,0 pn

bzw. auf einen späteren Zeitpunkt prolongiert: K = r x 1,0 pn

Bei jährlichen oder periodisch in längeren Zeitabständen möglichen Nutzungen können die Vorwerte nach folgenden Formeln ermittelt werden:

jährlich ewiger Reinertrag, erstmalig fällig nach einem Jahr: k = r / 0,0 p

periodisch ewiger Reinertrag erstmalig sofort, dann alle n Jahre fällig:

k = (r × 1,0 pn) / (1,0 pn - 1)

erstmalig nach n Jahren, dann wieder alle n Jahre fällig: k = r / (1,0 pn - 1)

erstmalig nach m Jahren und dann alle n Jahre fällig: k = (r × 1,0 pn-m)/ (1,0 pn - 1)

Der Vorwert eines zeitlich begrenzten jährlichen Reinertrages, der nmal anfällt, und zwar erstmalig nach einem Jahr, ist nach folgender Formel zu kapitalisieren:

k = (r × (1,0pn - 1)) / (1,0 pn × 0,0 p)

In den Formeln bedeuten:

k = Anfangskapital (Vorwert)

K = Endkapital (Nachwert)

p = Zinsfuß in Prozent

n, m = Anzahl der Jahre

r = Reinertrag

Soweit Nachwerte benötigt werden, sind die Vorwerte zu prolongieren.

33 Betriebsanlagen

Betriebsanlagen wie Betriebsgebäude, Schutzbauten, Jagd- und Erholungseinrichtungen sind mit dem Zeitwert zu bewerten, soweit nicht die Anwendung spezieller Richtlinien vorgeschrieben ist.

Wege sind i. d. R. im Bodenverkehrswert berücksichtigt (Nrn. 15 und 31). In besonderen Fällen (z.B. aus steuerlichen Gründen) kann eine getrennte Bewertung erforderlich sein.

34 Sozialfunktionen

Die Leistungen des Waldes im Rahmen der Erholungs- und anderen Sozialfunktionen können gutachtlich oder mit Hilfsrechnung bewertet werden, wenn sie nach der Zielsetzung des Forstbetriebes besondere Bedeutung haben. Die normalen gegendüblichen Sozialfunktionen sind mit dem Boden- und Bestandeswert abgegolten.

Wird durch den Bewertungsanlass die Verlagerung von Sozialfunktionen auf andere Flächen erforderlich, so sind - je nach Bewertungszweck - die zusätzlich notwendigen Aufwendungen zu veranschlagen, z.B. für das Umsetzen und die Neuanlage von Erholungseinrichtungen und Zäunen oder die erhöhten Kulturkosten.

35 Jagdwert und Jagdwertminderungen

Der Jagdwert ist grundsätzlich im Waldbodenverkehrswert enthalten und bei dessen Herleitung angemessen zu berücksichtigen.

Sofern der Wert des Eigenjagdrechtes (z.B. aus steuerlichen Gründen) gesondert zu ermitteln ist, kann er durch Kapitalisierung des ortsüblichen, unter ähnlichen Verhältnissen erzielbaren Jagdpachterlöses oder nach Hilfsverfahren ermittelt werden (Kapitalisierungsfaktor 25).

Jagdwertminderungen können z.B. bei Beeinträchtigungen des Jagdbezirks durch Verkehrsanlagen oder sonstige Bauten und Anlagen entstehen. Sie können durch gutachtlich eingeschätzte Abschläge oder nach anderen anerkannten Verfahren hergeleitet werden.

IV. Bewertungsfälle

36 Wahl der Wertermittlungsverfahren

In jedem Einzelfall ist zu prüfen, welche Wertermittlungsverfahren zur Bewertung heranzuziehen sind.

Die umsatzsteuerliche Behandlung der Entgelte aus dem Rechtsverkehr ist nicht Gegenstand der Waldwertermittlungen.

Freier Grundstücksverkehr

37 Verkehrswert

Der Wert von Waldgrundstücken, die durch frei vereinbarten Vertrag veräußert, angekauft oder getauscht werden sollen, ist als Verkehrswert zu ermitteln (Nrn. 29 bis 31).

Dem Eigentumsübergang ist die Begründung grundstücksgleicher Rechte (z.B. Erbbaurecht) gleichgestellt.

Grundstücksverkehr aus öffentlich-rechtlichem Anlass

38 Entschädigungsgrundsatz bei Enteignungen

Aus öffentlich-rechtlichem Anlass können Grundstücke zum Wohle der Allgemeinheit gänzlich beansprucht werden, z.B. für öffentliche Verkehrswege, oder kann die Nutzung von Grundstücken eingeschränkt werden, z.B. für öffentliche Versorgungsleitungen. Sofern der freihändige Erwerb scheitert, kann es zu einer Enteignung kommen. Der Betroffene soll für den Rechtsverlust mit der Enteignungsentschädigung einen angemessenen Wertausgleich erhalten, der sich im Sinne einer objektivierenden Betrachtungsweise am Verkehrswert orientiert. Daneben sind andere durch die Enteignung eintretende Vermögensnachteile (Nrn. 39 bis 47) zu entschädigen.

39 Erhöhte Aufwendungen

In Entschädigungsfällen können häufig erhöhte Aufwendungen als Nebenschäden geltend gemacht werden, z.B. für:

Die Verwaltungskosten sind i. d. R. nach dem Zeitaufwand des Personals und den Gebühren nach dem Verwaltungskostengesetz zu berechnen. Sie können auch mit einem Vomhundertsatz der Bewertungssumme (z.B. 10 - 20 %) in Ansatz gebracht werden.

Künftige erhöhte Aufwendungen sind nach Zeitpunkt und Dauer ihres Eintretens zu diskontieren bzw. zu kapitalisieren (Nr. 32).

40 Hiebsunreife und zwangsweiser Einschlag

Beim vorzeitigen Einschlag eines Bestandes entsteht in der Regel ein Vermögensschaden, der als Hiebsunreife bezeichnet wird und als Differenz zwischen dem Bestandeswert (Nrn. 17 - 22) und dem Abtriebswert (Nr. 16) zum Einschlagszeitpunkt (Aa) zu berechnen ist.

Wenn Bestände zwangsweise eingeschlagen werden müssen und deswegen Massenverluste, Minderung der Roherlöse oder Erntekostenerhöhungen gegenüber einer freiwilligen Nutzung hinzunehmen sind, ist zusätzlich zur Hiebsunreife die Differenz von normalem Abtriebswert zu tatsächlichem Abtriebswert als Schaden zu veranschlagen.

41 Verhinderung der Wiederaufforstung

Kann eine Fläche zeitweilig oder dauernd nicht wieder aufgeforstet werden, so ist diese Nutzungsbeschränkung mit der Bodenbruttorente (Nr. 13) zu bewerten und ggf. zu kapitalisieren (Nr. 32).

Die Verhinderung kann zeitlich befristet sein, wenn z.B. beim Leitungstrassenbau ein Arbeitsstreifen nur während der Bauzeit genutzt wird und anschließend für eine Wiederbestockung wieder zur Verfügung steht. Da z.B. Arbeitsstreifen in der Regel schmal sind und eine forstwirtschaftlich sinnvolle Bestandesneubegründung erst möglich wird, wenn der Nachbarbestand zur Verjüngung ansteht, ist für Kleinstflächen ein entsprechend langer Zeitraum des Erwerbsverlustes zu kalkulieren.

Wenn bis zur späteren Wiederaufforstung - z.B. durch Verunkrautung - Kulturerschwernisse entstehen, sind die dadurch voraussichtlich entstehenden Mehrkosten der Kultur zusätzlich zu veranschlagen und i. d. R. auf den Bewertungsstichtag zu diskontieren.

42 Wertminderungen am Boden und Bestand

Eingetretene oder zu erwartende Wertminderungen an Beständen, z.B. durch Verlust am Vorrat, am Massen- und Wertzuwachs oder durch erzwungenen Baumartenwechsel, sind als Differenz zwischen den Bestandeswerten im normalen und im beeinträchtigten Zustand zu errechnen. Bei Verlust oder Beschädigung einzelner Bäume können geschätzte Pauschalwerte verwendet werden.

Bodenschäden, die zu verminderter Standortleistung führen, sind mit den Kosten einer Melioration oder/ und mit einer gutachtlichen Minderung des Bodenverkehrswertes zu bewerten.

43 Randschäden

Die durch Freistellung von Bestandesrändern mit großer Wahrscheinlichkeit entstehenden zuwachs- und wertbedingten Schäden sind in der Regel pauschal im Voraus abzugelten.

Die Randschäden sind nach einem anerkannten Verfahren unter Berücksichtigung von Exposition, Randlänge, Aufhiebsbreite und Baumalter herzuleiten.

Spätere Folgeschäden durch Windwurf, -bruch und andere Kalamitäten, deren Entstehung nicht vorhersehbar ist, werden in der Regel erst nach Eintritt des Schadens veranschlagt.

44 Restbetriebsbelastung, Schadensminderung

Aufwendungen des Betriebes, die nach einer erzwungenen Veräußerung von Teilflächen oder nach Schadensfällen auf den Restbetrieb entfallen und von ihm mit getragen werden müssen, können in bestimmten Fällen als Restbetriebsbelastung entschädigt werden. Zu diesen Aufwendungen gehören u. a. Kosten für Überhang an Personal, Wirtschaftsgebäuden und Betriebsmitteln.

Der Betroffene ist im Rahmen der Schadensminderungspflicht gehalten, die Beeinträchtigung der Wirtschaftlichkeit nach Möglichkeit zu beheben.

Des Weiteren ist z.B. unter Anwendung der sogenannten Parallelverschiebungstheorie zu prüfen, in wieweit Nachteile hinzunehmen sind, wenn das eigene Grundstück nicht direkt beansprucht wird, bzw. was im Rahmen der Sozialpflichtigkeit des Eigentums noch zumutbar ist.

Eine Restbetriebsbelastung ist nicht in Ansatz zu bringen, wenn, soweit und sobald die Beeinträchtigung durch betriebliche Umstellung behoben werden kann, z.B. durch anderweitige Verwendung oder Veräußerung eines Überbestandes an Gebäuden oder Betriebsmitteln, durch Intensivierung der Bewirtschaftung auf der Restfläche, durch andere Verwendung, Umschulung oder Entlassung nicht mehr benötigten Personals. Ist die Umstellung wirtschaftlich sinnvoll, so ist die Belastung entsprechend den Kosten der erforderlichen Maßnahmen festzustellen. Kann die Beeinträchtigung durch Umstellungsmaßnahmen nicht oder nicht vollständig behoben werden, so ist festzustellen, welche Mehrkosten den Restbetrieb bei wirtschaftlicher Betriebsführung jährlich belasten.

Die zeitweilig oder dauernd verbleibenden Mehrkosten sind mit einem Zinsfuß von 4 % zu kapitalisieren (Nr. 32).

45 Lagezuschlag

Flächen aus arrondiertem Besitz oder in günstiger Lage zum Betriebszentrum können in der Regel vorteilhaft bewirtschaftet werden. Kommt es zu einem teilweisen Entzug der Nutzungsmöglichkeit, kann der Verlust dieses Vorteils durch einen Lagezuschlag berücksichtigt werden. Damit wird quasi der Mehrwert des arrondierten Besitzes für den Betrieb ausgeglichen.

46 Entschädigung des Erwerbsverlustes

Wenn dem Enteignungsbetroffenen Fläche entzogen wird, hat er in der Regel kaum die Möglichkeit, sich adäquate Ersatzflächen zu beschaffen. Es entfällt der Deckungsbeitrag, aus dem auch die laufenden nicht reduzierbaren Verwaltungskosten anteilig zu bezahlen sind. Der Forstbetrieb ist somit um den kapitalisierten Deckungsbeitrag in seinem Wert gemindert. Diese Wertminderung ist zu entschädigen. Die Höhe des Deckungsbeitrages richtet sich nach dem tatsächlich Möglichen und rechtlich Zulässigen, d. h. es kann ggf. mit Douglasie gerechnet werden auch wenn nur ein Kiefernbestand genommen wurde. Siehe auch Vorteilsausgleich (Nr. 47).

47 Vorteilsausgleich

Führt die Enteignung ursächlich zu einem dauerhaften wirtschaftlichen Vermögensvorteil bei dem Enteignungsbetroffenen, ist dieser gegen zurechnen.

Die Erträge aus der Grundstücksentschädigung treten anstelle der früheren Erträge aus dem beanspruchten Grundstück und sind mit der Entschädigung für den Erwerbsverlust zu verrechnen. Es sind somit die Zinsen, die aus dem Entschädigungsbetrag für den Bodenverkehrswert oder die Bodenverkehrswertminderung zu erzielen sind, zu berücksichtigen.

Schadensfälle

48 Auswirkungen von Schäden und Schadensersatz

Beim Schadensersatz handelt sich um die Wiedergutmachung einer unberechtigten Schädigung von Wald, z.B. durch einen Unfall oder unerlaubten Holzeinschlag. Gemäß § 249 Abs. 1 Bürgerliches Gesetzbuch (BGB) hat derjenige, der zum Schadensersatz verpflichtet ist, den Zustand herzustellen, der bestehen würde, wenn der zum Ersatz verpflichtende Umstand nicht eingetreten wäre. Der Schadensersatzanspruch ist in der Regel weitreichender als bei der Enteignungsentschädigung, es läuft jedoch oft ebenfalls auf einen Geldbetrag in Höhe des Verkehrswertes hinaus, weil z.B. eine 150-jährige Eiche nicht ohne Weiteres durch eine ebensolche Baumschulpflanze ersetzt werden kann. Die Grundsätze der Verhältnismäßigkeit und der Schadensminderungspflicht sind zu beachten.

Eingetretene Schäden wie auch Folgeschäden können u. a. die Leistungsfähigkeit des Bodens beeinträchtigen, einen Total- oder Teilverlust oder eine verminderte Wuchsleistung der betroffenen Bestände wie auch der benachbarten Bestände - z.B. durch Randschäden oder Windwurf - bewirken.

Ferner entstehen in der Regel erhöhte Aufwendungen und Risiken. In jedem Einzelfall ist zu prüfen, welche Schäden eingetreten und künftig noch zu erwarten sind.

Eine Beeinträchtigung des Gesamtbetriebes ist, soweit sie über die Schadenselemente der Einzelwertermittlung hinausgeht, in Form der Restbetriebsbelastung, Verkehrswertminderung, Jagdwertminderung usw. zu berücksichtigen (vgl. Nrn. 32 bis 47).

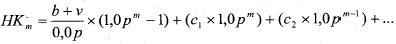
49 Bestandeskostenwert

In Schadensfällen kann als Bestandeswert der Bestandeskostenwert verwendet werden, sofern seit der ersten Maßnahme zur Bestandesbegründung nicht mehr als zehn Jahre verstrichen sind und die angefallenen Kulturkosten nachgewiesen werden können.

Der Bestandeskostenwert ist in diesen Fällen nach folgender Formel zu errechnen:

In der Formel bedeuten:

HKm = Bestandeskostenwert am Ende des Jahres m in EUR/ha
m = Zahl der Jahre von der ersten Maßnahme bis zum Bewertungsstichtag
b = jährliche Bodenrente in EUR/ha (Nr. 13)
v = jährliche Verwaltungskosten in EUR/ha (Nr. 12)
p = Zinsfuß in Prozent, in der Regel 4 %
cl, c2,... = für die Jahre 1,2,... entstandene und nachgewiesene Kultur- und Pflegekosten in EUR/ha

Sonstige Bewertungsfälle

50 Wertfindung für steuerliche Zwecke

Bei der Wertermittlung für steuerliche Zwecke (z.B. Teilwertschätzung, Ermittlung des gemeinen Wertes sowie des Liquidationswertes) sind die Grundsätze der Wertermittlung des freien Grundstücksverkehrs sinngemäß anzuwenden. Bei Kaufpreisaufteilungen ist die vom Bundesfinanzhof so genannte konventionelle Methode heranzuziehen.

51 Flurbereinigungen

Gemäß Flurbereinigungsgesetz und den dazu ergangenen Richtlinien für die Bearbeitung sind für die Bewertung eines Holzbestandes die Grundsätze der Waldbewertung anzuwenden.

52 Ablösung von Forstrechten

Sofern im Vertrag oder durch Gesetz nicht anders geregelt, sind Forstrechte im Fall der Ablösung grundsätzlich durch Kapitalisierung des jährlichen Reinertrages zu bewerten, der dem Berechtigten zusteht.

Der jährliche Reinertrag ergibt sich aus der Aufrechnung aller Leistungen und Gegenleistungen nach den gegenwärtigen Marktwerten bzw. Kosten.

Der Kapitalwert ist nach den unter Nr. 32 aufgeführten Formeln zu berechnen. Als Zinsfuß ist der durch Gesetz vorgeschriebene oder vertraglich vereinbarte Zinsfuß zu verwenden; anderenfalls sind 4 % einzusetzen.

53 Ideelle Genossenschaftsanteile und ähnliche Rechte

Eingeschränkte Eigentumsrechte am Wald, z.B. ideelle Genossenschaftsanteile, sind, ausgehend von den Reinerträgen des Gesamtbetriebes, mit dem Kapitalwert (Zinsfuß 4 %) zu bewerten.

Als Reinertrag kann herangezogen werden:

Die Einzelwertermittlung nach den Nrn. 14 - 24 nebst dem Finanz- und sonstigen Vermögen sollte mit einem angemessenen Abschlag ergänzend herangezogen werden.

54 Grundbuchliche Belastungen für Versorgungsleitungen

Für die Belastungen von Grundstücken durch Eintragung in das Grundbuch oder entsprechende vertragliche Regelungen sind neben den Kosten der Eintragung auch Minderungen des Bodenverkehrswertes zu erstatten. Mit vielen Versorgungsunternehmen sind feste Beträge ausgehandelt worden. In den übrigen Fällen ist die Minderung in der Regel mit 20 % des ursprünglichen Bodenverkehrswertes zu berechnen.

55 Pachten, Mieten und ähnliche Rechtsverhältnisse

Bei frei vereinbarten Pachten und Mieten sowie der Begründung ähnlicher Rechtsverhältnisse (z.B. Gestattungsverträgen) sind die jährlichen Entgelte als Verkehrswerte nach ausreichend ähnlichen Fällen bzw. im Anhalt an den nachhaltigen Reinertrag herzuleiten.

Bei der Bewertung von Nutzungsrechten aus privatrechtlichem Anlass und ähnlichen Rechten (z.B. Leitungs- und Wegerechten) ist nach enteignungsentschädigungsrechtlichen Grundsätzen zu verfahren.

56 Begründung von Nutzungsverhältnissen für Zwecke der Verteidigung

Der Bundesminister der Finanzen hat Richtlinien herausgegeben, die in der Regel der Begründung von Nutzungsverhältnissen für Zwecke der Verteidigung zugrunde zu legen sind.

Darstellung der Ergebnisse

57 Wertgutachten

Über die Ergebnisse der Wertermittlungen sind Wertgutachten zu erstellen.

In einfachen Fällen sind die Angaben auf dem entsprechenden Vordruck mit den hierzu erforderlichen Anlagen ausreichend.

In den übrigen Fällen sind zusätzliche Erläuterungen zu geben oder Wertgutachten in freier Form zu erstellen.

Das Bewertungsobjekt soll mit den Bestandesgrenzen in einer Karte bzw. Luftbild dargestellt werden. Die Berechnungsunterlagen usw. sind anzufügen.

Waldbewertungsrichtlinien

Die in der Anlage abgedruckten Waldbewertungsrichtlinien (im Folgenden: WBR 2014) sind von der Anstalt Niedersächsische Landesforsten, der OFD und der LWK verbindlich anzuwenden.

Die ständige Aktualisierung der für die Waldbewertung notwendigen Basisdaten obliegt dem Arbeitskreis Waldbewertung unter der Leitung des Fachreferats beim ML. Mitglieder sind die Anstalt Niedersächsische Landesforsten, die OFD, die LWK sowie beratend die Bundesanstalt für Immobilienaufgaben, Sparte Bundesforst. Die Anstalt Niedersächsische Landesforsten leistet die erforderliche fachliche Zuarbeit und unterstützt andere Landesbehörden sowie Dritte bei der Anwendung der WBR 2014.

Die WBR 2014 sind mit Anlagen, Tabellen und Vordrucken im Internet zugänglich unter "www.niedersachsen.de" oder "www.1andesforsten.de".

Dieser RdErl. tritt am 1.1.2014 in Kraft und mit Ablauf des 31.12.2019 außer Kraft.

ENDE

umwelt-online - Demo-Version


(Stand: 14.01.2020)

Alle vollständigen Texte in der aktuellen Fassung im Jahresabonnement
Nutzungsgebühr: ab 105.- € netto

(derzeit ca. 7200 Titel s.Übersicht - keine Unterteilung in Fachbereiche)

Preise & Bestellung

Die Zugangskennung wird kurzfristig übermittelt

? Fragen ?
Abonnentenzugang/Volltextversion