Für einen individuellen Ausdruck passen Sie bitte die
Einstellungen in der Druckvorschau Ihres Browsers an.
Regelwerk

KAS-18 - Leitfaden - Empfehlungen für Abstände zwischen Betriebsbereichen nach der Störfall-Verordnung und schutzbedürftigen Gebieten im Rahmen der Bauleitplanung - Umsetzung § 50 BImSchG
Kommission für Anlagensicherheit (KAS)

Vom 20. April 2011
(Korrekturen: 06.11.2013 1; 06.11.2013 2aufgehoben)



Zur aktuellen Fassung

(siehe KAS 32 -ArbeitshilfeSzenarienspezifische Fragestellungen zum Leitfaden KAS-18)

Die Kommission für Anlagensicherheit (KAS) ist ein nach § 51a Bundes-Immissionsschutzgesetz beim Bundesministerium für Umwelt, Naturschutz und Reaktorsicherheit gebildetes Gremium.

Ihre Geschäftsstelle ist bei der GFI Umwelt - Gesellschaft für Infrastruktur und Umwelt mbH in Bonn eingerichtet.

Anmerkung:

Dieses Werk wurde mit großer Sorgfalt erstellt. Dennoch übernehmen Verfasser und Auftraggeber keine Haftung für die Richtigkeit von Angaben, Hinweisen und Ratschlägen sowie für eventuelle Druckfehler. Aus etwaigen Folgen können daher keine Ansprüche gegenüber Verfasser und/oder Auftraggeber gemacht werden.

Dieses Werk darf für nichtkommerzielle Zwecke vervielfältigt werden. Auftraggeber und Verfasser übernehmen keine Haftung für Schäden im Zusammenhang mit der Vervielfältigung oder mit Reproduktionsexemplaren.

Vorbemerkung

Zur Begrenzung von Unfallfolgen für Mensch und Umwelt aufgrund schwerer Unfälle mit gefährlichen Stoffen fordert der Artikel 12 der Seveso-II-Richtlinie 1, angemessene Abstände zwischen Betriebsbereichen und schutzbedürftigen Gebieten im Sinne der Richtlinie mit den Mitteln der Raum- und Flächenplanung langfristig sicherzustellen.

Um den für die Bauleitplanung verantwortlichen Planungs- und Immissionsschutzbehörden eine Grundlage in Form eines Leitfadens als Arbeitshilfe für die Beurteilung angemessener Abstände zwischen Betriebsbereich einerseits und schutzbedürftigem Gebiet andererseits an die Hand zu geben, haben die Störfall-Kommission (SFK) und der Technische Ausschuss für Anlagensicherheit (TAA) gemeinsam im Oktober 2005 den Leitfaden "Empfehlungen für Abstände zwischen Betriebsbereichen nach der Störfall-Verordnung und schutzbedürftigen Gebieten im Rahmen der Bauleitplanung - Umsetzung § 50 BImSchG" (SKK/TAA-GS-1) 2 verabschiedet.

Dies geschah unter der Vorgabe, ihn nach einer angemessenen Zeit fortzuschreiben und darin die gemachten Erfahrungen mit der praktischen Anwendung einfließen zu lassen.

Die Kommission für Anlagensicherheit (KAS) als Nachfolgerin von SFK und TAa beauftragte den Ausschuss " Seveso-II-Richtlinie" (AS-Seveso) mit der Überprüfung der praktischen Anwendbarkeit des Leitfadens und der daraus folgenden Überarbeitung. Die Aufgabe wurde vom AS-Seveso an die Arbeitsgruppe "Fortschreibung des Leitfadens" (AG-LUP) delegiert.

Eine wesentliche Grundlage für die vorliegende Überarbeitung bildet ein vom Umweltbundesamt (UBA) in Auftrag gegebenes Gutachten 3, bei dem Behördenvertreter, Betreiber und Gutachter über ihre Erfahrungen in der Anwendung des Leitfadens befragt wurden.

Die wesentlichen inhaltlichen Aussagen und getroffenen Konventionen hinsichtlich der Ermittlung angemessener Abstände bleiben erhalten.

Die Fortschreibung umfasst neben einer redaktionellen Überarbeitung insbesondere ein näheres Eingehen auf folgende Punkte:

Mit der Fortschreibung soll die Akzeptanz des Leitfadens und damit auch die Zusammenarbeit zwischen den Planungs- und Immissionsschutzbehörden weiter gestärkt werden. Im Sinne des Konsultationsgebots nach Art. 12 Abs. 2 der Seveso-II-Richtlinie wird der Leitfaden auch von der Fachkommission Städtebau (FKS) der Bauministerkonferenz mit getragen.

Der Leitfaden dient als Arbeitshilfe. Er schließt andere Herangehensweisen an das Thema nicht aus. Voraussetzung für eine sachgerechte Anwendung bei dem komplexen Thema ist, dass sich die zuständigen Behörden und Betreiber von Betriebsbereichen frühzeitig über beabsichtigte Planungen informieren und versuchen, im Interesse des Gemeinwohls Lösungswege für den jeweiligen Planungsfall zu erarbeiten.

Alle Beteiligten werden gebeten, ihre Erfahrungen in der Anwendung des Leitfadens im Rahmen der Umsetzung des § 50 BImSchG der Geschäftsstelle der KAS 7mitzuteilen.

1 Grundsätze des "Land-Use-Planning"

Art. 12 Abs. 1 Satz 1 der europäischen Seveso-II-Richtlinie verpflichtet die Mitgliedstaaten dafür zu sorgen, "dass in ihren Politiken der Flächenausweisung oder der Flächennutzung und/oder anderen einschlägigen Politiken das Ziel, schwere Unfälle zu verhüten und ihre Folgen zu begrenzen, Berücksichtigung findet".

Die Überwachung der Ansiedlung betrifft nach Art. 12 Abs. 1 Satz 2

  1. die Ansiedlung neuer Betriebe,
  2. Änderungen bestehender Betriebe im Sinne des Art. 10,
  3. neue Entwicklungen in der Nachbarschaft bestehender Betriebe wie beispielsweise Verkehrswege, Örtlichkeiten mit Publikumsverkehr, Wohngebiete, wenn diese Ansiedlungen oder Maßnahmen das Risiko eines schweren Unfalls vergrößern oder die Folgen eines solchen Unfalls verschlimmern können.

Das im Satz 3 des Art. 12 formulierte Abstandsgebot fordert, dass die Mitgliedstaaten dafür sorgen, dass "langfristig dem Erfordernis Rechnung getragen wird, dass zwischen den unter die Richtlinie fallenden Betrieben einerseits und

ein angemessener Abstand gewahrt bleibt und dass bei bestehenden Betrieben zusätzliche technische Maßnahmen nach Artikel 5 ergriffen werden, damit es zu keiner Zunahme der Gefährdung der Bevölkerung kommt."

Unter dem Gesichtspunkt des Schutzzieles der Richtlinie bedeutet "langfristig" nicht, dass Planungen auf unbestimmte Zeit verschoben werden können.

2 Politiken nach Art. 12 Abs. 1 der Seveso-II-Richtlinie - Umsetzung im deutschen Recht

Die Anforderungen des Art. 12 Abs. 1 der Seveso-II-Richtlinie wurden im Wesentlichen durch Novellierung des § 50 BImSchG 8 und Ergänzung des § 9 Abs. 1 Nr. 24 BauGB 9 in deutsches Recht umgesetzt.

2.1 Planungsgrundsatz des § 50 Satz 1 BImSchG - immissionsschutzrechtlicher Trennungsgrundsatz

§ 50 Satz 1 BImSchG lautet:

"Bei raumbedeutsamen Planungen und Maßnahmen sind die für eine bestimmte Nutzung vorgesehenen Flächen einander so zuzuordnen, dass schädliche Umwelteinwirkungen und von schweren Unfällen im Sinne des Artikels 3 Nr. 5 der Richtlinie 96/82/EG in Betriebsbereichen hervorgerufene Auswirkungen auf die ausschließlich oder überwiegend dem Wohnen dienenden Gebiete sowie auf sonstige schutzbedürftige Gebiete, insbesondere öffentlich genutzte Gebiete, wichtige Verkehrswege, Freizeitgebiete und unter dem Gesichtspunkt des Naturschutzes besonders wertvolle oder besonders empfindliche Gebiete und öffentlich genutzte Gebäude, so weit wie möglich vermieden werden".

§ 50 BImSchG trägt der besonderen Bedeutung Rechnung, die einer ordnungsgemäßen Planung für den Immissionsschutz und die Störfallvorsorge zukommt. Die Vorschrift verfolgt einen planerischen, d. h. flächenbezogenen, und keinen anlagenbezogenen Ansatz.

§ 50 Satz 1 BImSchG bezieht sich gleichermaßen auf den bestimmungsgemäßen Betrieb von Anlagen nach § 3 Abs. 5 BImSchG und den damit verbundenen schädlichen Umwelteinwirkungen, als auch auf den nicht bestimmungsgemäßen Betrieb im Hinblick auf die Begrenzung der Auswirkungen möglicher schwerer Unfälle in Betriebsbereichen.

Schwere Unfälle i. S. d. Seveso-II-Richtlinie sind größere Ereignisse, wie z.B. Explosionen, Brände oder Stofffreisetzungen, die sich aus einer Störung des bestimmungsgemäßen Betriebes eines Betriebsbereichs ergeben und unter Beteiligung eines oder mehrerer gefährlicher Stoffe unmittelbar oder später zu einer ernsten Gefahr für die menschliche Gesundheit und/oder die Umwelt führen können.

Für eine sachgerechte Zuordnung der Flächen sind die möglichen Auswirkungen von schädlichen Umwelteinwirkungen i. S. d. § 3 Abs.1 BImSchG 10und von schweren Unfällen gleichrangig zu bewerten. Die vorzunehmende Gesamtbewertung kann je nach Einzelfall zu dem Ergebnis führen, dass die zu erwartenden schädlichen Umwelteinwirkungen, z.B. in Form von Lärm, für die planerische Bewertung abstandsbestimmend sein können. Wird dies nicht beachtet, ist die Planung rechtlich angreifbar.

Der Begriff "Betriebsbereich" ist in § 3 Abs. 5a BImSchG abschließend definiert. Danach ist ein Betriebsbereich der gesamte unter der Aufsicht eines Betreibers stehende Bereich, in dem gefährliche Stoffe nach Anhang I der StörfallV in einer Menge oberhalb der dort genannten Mengenschwelle nach Spalte 4 vorhanden oder vorgesehen sind oder vorhanden sein können.

Betriebsbereiche bedürfen keiner eigenständigen Zulassung, sondern ergeben sich aus einem geografischorganisatorischen Zusammenhang bestimmter Anlagen und Tätigkeiten. Die Errichtung und der Betrieb der zugeordneten Anlagen oder Tätigkeiten sowie deren wesentliche Änderungen bedürfen in der Regel einer Genehmigung nach dem BImSchG, der jeweiligen Landesbauordnung oder in Einzelfällen nach sonstigen Vorschriften.

2.1.1 Geltungsbereich des § 50 Satz 1 BImSchG

§ 50 Satz 1 BImSchG bezieht sich auf raumbedeutsame Planungen und Maßnahmen.

  1. Raumbedeutsamkeit

    Zur Auslegung des Begriffs der raumbedeutsamen Planungen und Maßnahmen kann auf § 3 Nr. 6 ROG 11zurückgegriffen werden.

    Raumbedeutsam sind demnach Planungen und Maßnahmen, durch die entweder Raum in Anspruch genommen (raumbeanspruchende Vorhaben) oder die räumliche Entwicklung oder Funktion eines Gebiets beeinflusst wird. Raumbeanspruchende Vorhaben sind dadurch gekennzeichnet, dass für ihre Verwirklichung regelmäßig größere Flächen benötigt werden. Raumbeeinflussend sind Vorhaben hingegen dann, wenn sie - auch ohne selbst Raum in Anspruch zu nehmen - Auswirkungen auf die räumliche Struktur eines Gebietes haben.

    Bei der Beurteilung der Raumbedeutsamkeit einer Planung oder Maßnahme ist regelmäßig vom konkreten Gegenstand der Planung oder der konkret beabsichtigten Maßnahme auszugehen. Dabei sind auch mögliche Vorbelastungen eines Gebiets zu berücksichtigen.

  2. raumbedeutsame Planungen
  3. raumbedeutsame Maßnahmen

2.1.2 Schutzbedürftige Gebiete i. S. d. § 50 Satz 1 BImSchG

§ 50 Satz 1 BImSchG geht nicht abschließend darauf ein, was unter den Begriff schutzbedürftige Gebiete fallen kann. Ausgehend vom Schutzziel des Art. 12 der Seveso-II-Richtlinie und in Anlehnung an einschlägige Kommentierungen zum § 50 Satz 1 BImSchG sowie Arbeiten zu diesem Thema 14sind insbesondere folgende Gebiete, Nutzungen und/oder Objekte als schutzbedürftig i. S. d. Vorschrift einzustufen:

  1. Baugebiete i. S. d. BauNVO, mit dauerhaftem Aufenthalt von Menschen, wie Reine Wohngebiet (WR), Allgemeine Wohngebiete (WA), Besondere Wohngebiete (WB), Dorfgebiete (MD), Mischgebiete (MI) und Kerngebiete (MK), Sondergebiete (SO), sofern der Wohnanteil oder die öffentliche Nutzung überwiegt, wie z.B. Campingplätze, Gebiete für großflächigen Einzelhandel, Messen, Schulen/Hochschulen, Kliniken.
  2. Gebäude oder Anlagen zum nicht nur dauerhaften Aufenthalt von Menschen oder sensible Einrichtungen, wie
  3. Wichtige Verkehrswege z.B. Autobahnen, Hauptverkehrsstraßen, ICE-Trassen. Was wichtige Verkehrswege sind, hängt letztendlich von deren Frequentierung ab. Orientierungswerte zur Einstufung von Verkehrswegen finden sich in Ref. Nr. B 18 der "Fragen und Antworten zur Richtlinie 96/82/EG ( Seveso-II-Richtlinie)". Sie dienen als Orientierungshilfe zur Auslegung der Richtlinie zur Beherrschung der Gefahren bei Unfällen mit gefährlichen Stoffen. Sie sind jedoch nicht verpflichtend und schließen eine andere vernünftige Auslegung nicht aus 15.

Aus der Planbegründung sollte erkennbar sein, dass der Plangeber sich im erforderlichen Umfang damit auseinandergesetzt hat, welche schutzbedürftigen Gebiete nach § 50 Satz 1 BImSchG bezogen auf den Planungsfall und im Hinblick auf die Zuordnung von Flächen unterschiedlicher Nutzung zu betrachten waren. 16Die Entscheidung darüber obliegt der Planungsbehörde.

Die Abstandsempfehlungen des Leitfadens beziehen sich nur auf den Menschen bzw. dessen Leben und körperliche Unversehrtheit als zu schützende Rechtsgüter. Für andere nach § 50 BImSchG Satz 1 schutzbedürftige Gebiete, die beispielsweise der Flora-Fauna-Habitat-Richtlinie ( 92/43/EWG) 17, der Vogelschutzrichtlinie (79/409/EWG) 18oder nationalen Landschaftsschutzgebietsregelungen unterliegen, wie auch Gewässer, die unter die Gewässerrahmenrichtlinie ( 2000/60/EG) 19fallen, sind gesonderte Betrachtungen, insbesondere nach diesen Vorschriften vorzunehmen.

2.1.3 Anwendbarkeit des Leitfadens 1.Kor.

  1. Genehmigungsverfahren innerhalb von Betriebsbereichen
    Gemäß den Entscheidungen des EuGH vom 15.09.2011 und des BVerwG vom 20.12.2012 ist der Artikel 12 der Seveso-II-Richtlinie auch in Baugenehmigungsverfahren im Umfeld von Betriebsbereichen zu berücksichtigen, sofern dies nicht im Rahmen der Planung vorher bereits geschehen ist. Der Ausschuss für Rechtsfragen, Umsetzung und Vollzug der Bund/Länder-Arbeitsgemeinschaft Immissionsschutz (LAI) hat in seinem Beschluss vom 26.06.2012 festgestellt, dass auch in Genehmigungsverfahren nach § § 4 und 16 BImSchG die Ermittlung angemessener Abstände notwendig sein kann. Außerdem wurde festgestellt, dass der Artikel 12 im Falle der Änderung von Betriebsbereichen ergänzend zum § 3 (3) der Störfall-Verordnung einen zusätzlichen Prüfpunkt darstellt.
    Da die Ermittlung angemessener Abstände in der Plan ung und im Genehmigungsverfahren grundsätzlich nach der gleichen Vorgehensweise erfolgen sollte, kann der Leitfaden, insbesondere Kap. 3.2, für diese Fälle ebenfalls he rangezogen werden.
  2. Vorhandene Bebauungen
    In bestimmten Fällen ist es notwendig, zu prüfen, inwieweit bestehende Situationen bereits eine Unverträglichkeit zwischen Betriebsbereichen und schutzwürdiger Nutzung mit sich bringen. Auch hier können die im Leitfaden genannte n Achtungsabstände bzw. die nach den Vorgaben des Leitfadens ermittelten angemessenen Ab stände Hinweise liefern.
  3. Externe Notfallplanung
    Da der Notfallplanung i.d.R. andere Szenarien zugrunde liegen als die in diesem Leitfaden beschriebenen, sind die hier ausgesprochenen Abstandsempfehlungen nicht als Beurteilungsmaßstab für externe Notfallplanungen heranzuziehen. Hierzu wird auf die Empfehlungen der Störfall-Kommission (SFK-GS-45 "Schnittstelle Notfallplanung") 20verwiesen.
    Entwicklungen im Umfeld von Betriebsbereichen könne n aber Auswirkungen auf die Notfallplanung haben. Verdichtet sich im Umfeld eines Betriebsbereichs z.B. die Wohnbebauung aufgrund heranrückender Wohngebiete oder sind Einrichtungen mit Publikumsverkehr geplant, erhöht sich damit auch die Anzahl der Person en, die von einem möglichen schweren Unfall betroffen sein können.
    Dem Planungsträger wird empfohlen, bei einer räumlichen Erweiterung von Betriebsbereichen in der Nachbarschaft schutzbedürftiger Gebiete oder bei Planungen im Umfeld von Betriebsbereichen, die je nach Landesrecht für die externe Notfallplanung zuständigen Stellen frühzeitig zu beteiligen und deren Stellungnahme im konkreten Bauleitplanverfahren einzuholen. 21

2.2 Anwendung des § 50 Satz 1 BImSchG

2.2.1 Bauleitplanung nach dem BauGB

In der Praxis ergeben sich für die Behörden und beteiligten Stellen in der Umsetzung der Ziele des § 50 Satz 1 BImSchG im Wesentlichen die folgenden Planungsfälle:

Diese Planungsfälle fallen in die Planungshoheit der Städte und Gemeinden, sodass der Leitfaden insbesondere auf diese Verfahren abstellt.

Aufgabe der kommunalen Bauleitplanung ist es, die baulichen und sonstigen Nutzungen der Grundstücke in der Gemeinde nach Maßgabe des BauGB vorzubereiten und zu leiten ( § 1 Abs. 1 BauGB). Dabei sind insbesondere auch die Anforderungen an gesunde Wohn- und Arbeitsverhältnisse und die Sicherheit der Wohn- und Arbeitsbevölkerung zu berücksichtigen (§ 1 Abs. 6 Nr. 1 BauGB).

Die Bauleitpläne sollen eine nachhaltige städtebauliche Entwicklung gewährleisten und die sozialen, wirtschaftlichen und umweltschützenden Anforderungen auch in Verantwortung für die Zukunft in Einklang bringen ( § 1 Abs. 5 BauGB).

Der Betreiber eines Betriebsbereichs kann seine Interessen in die Planung einbringen, wie auch die Anwohner ihre Interessen oder Bedenken z.B. zu einer geplanten Erweiterung vorhandener Betriebsbereichsflächen vorbringen können ( § 3 BauGB).

Der Planungsträger holt die Stellungnahmen der Behörden und sonstiger Träger öffentlicher Belange ein, deren Aufgabenbereich von der Planung berührt wird. Verfügen diese beispielsweise über Informationen, die für die Ermittlung und Bewertung des Abwägungsmaterials zweckdienlich und für die städtebauliche Entwicklung und Ordnung des Gebietes bedeutsam sein können, haben sie diese Informationen der Gemeinde zur Verfügung zu stellen (§ 4 Abs. 2 BauGB).

Die öffentlichen und privaten Belange sind vom Planungsträger bei seiner Entscheidung gegeneinander und untereinander gerecht abzuwägen - Abwägungsgebot - (§ 1 Abs. 7 BauGB).

Nach der Rechtsprechung des Bundesverwaltungsgerichts handelt es sich bei dem in § 50 Satz 1 BImSchG verankerten Trennungsgebot um eine Abwägungsdirektive, die trotz ihres herausgehobenen Gewichts der Abwägung grundsätzlich zugänglich ist 22. § 50 Satz 1 BImSchG begründet bei raumbedeutsamen Planungen und Maßnahmen keinen generellen Vorrang für schutzbedürftige Gebiete vor anderen öffentlich-rechtlichen oder privaten Belangen i. S. d. BauGB 23. Das kann im Einzelfall bedeuten, dass andere Planungsziele überwiegen können, z.B. dringend erforderliche und anderweitig nicht zu erreichende Verbesserungen der Infrastruktur eines Gebietes. In jedem Fall muss aber auf die Erfordernisse des Immissionsschutzes entsprechend Rücksicht genommen werden. Insbesondere eine mögliche irreversible Schädigung von Personen infolge der Auswirkungen schwerer Unfälle in Betriebsbereichen hat im Rahmen der Abwägung ein angemessen hohes Gewicht gegenüber den anderen Belangen.

Die Auslegung und Abwägung der Ziele des § 50 Satz 1 BImSchG unterliegen dem Gebot, wirksam ein hohes Schutzniveau sicherzustellen (siehe Art. 1 Seveso-II-Richtlinie).

Rechtsverbindliche, planungsrechtliche Regelungen sind nur durch entsprechende Festsetzungen im Bebauungsplan möglich. Der Flächennutzungsplan als vorbereitender Bauleitplan stellt zwar für das ganze Gemeindegebiet die beabsichtigte städtebauliche Entwicklung in der Art der Bodennutzung dar, hat aber keinen Rechtsnormcharakter (§ 5 Abs. 1 BauGB).

Vom Planungsträger ist weiterhin das Gebot der planerischen Konfliktbewältigung zu beachten, d. h. die mit der Planung aufgeworfenen Konflikte sind grundsätzlich mit planerischen Mitteln zu lösen. Eine Verlagerung der Konfliktlösung in nachfolgende anlagenbezogene Zulassungsverfahren kann wegen eines Abwägungsdefizits zur Rechtswidrigkeit des Plans führen. 24

Gemäß dem planungsrechtlichen Trennungsgrundsatz sind unverträgliche Nutzungen zweckmäßig zuzuordnen.

Betriebsbereiche befinden sich üblicherweise wegen ihres erheblichen Gefahrenpotentials in einem Industriegebiet (GI) nach § 9 BauNVO.

Die Bauleitpläne sind den Zielen der jeweiligen Landes- und Gebietsentwicklungsplanung anzupassen (§ 1 Abs. 4 BauGB). Flächennutzungspläne bedürfen für ihre Wirksamkeit generell der Genehmigung ( § 6 Abs. 1 BauGB). Das gleiche gilt für Bebauungspläne, die ohne vorherigen Flächennutzungsplan aufgestellt wurden (§ 10 Abs. 2 BauGB). Die Genehmigung erteilt die höhere Verwaltungsbehörde i. S. d. BauGB (§§ 6, 10 BauGB).

Weitergehende Gestaltungsmöglichkeiten als in Angebotsbebauungsplänen bestehen in vorhabenbezogenen Bebauungsplänen auf der Grundlage eines Vorhaben- und Erschließungsplans (§ 12 BauGB). Praktikabel können sie insbesondere bei der Erweiterung von Betriebsbereichen sein oder wenn sich die Planung auf ein bereits konkretes Projekt bezieht. Der vorhabenbezogene Bebauungsplan ist ein Unterfall des Bebauungsplans. Der vorhabenbezogene Bebauungsplan und der Durchführungsvertrag eröffnen auch die Option, den Vorhabenträger auf die Erfüllung bestimmter Nutzungsbeschränkungen, Schutzvorkehrungen oder zu Maßnahmen zur ergänzenden Konfliktlösung zu verpflichten.

2.2.2 Bauleitplanung und Störfallrecht

Während § 50 Satz 1 BImSchG darauf abstellt, im Rahmen und mit den Mitteln der Raum- und Flächenplanung gebietsbezogene Vorsorge zu treffen, um schutzbedürftige Gebiete auch vor den Auswirkungen von schweren Unfällen so weit wie möglich zu schützen, fordert § 3 Abs. 1 StörfallV 25, dass der Betreiber die nach Art und Ausmaß der möglichen Gefahr erforderlichen Vorkehrungen trifft, um Störfälle zu verhindern. Dabei sind alle Gefahrenquellen zu betrachten, die vernünftigerweise nicht auszuschließen sind ( § 3 Abs. 2 StörfallV). Damit eine Anlage die Genehmigungsvoraussetzungen nach dem BImSchG erfüllen kann, dürfen vernünftigerweise nicht auszuschließende Gefahrenquellen nur Szenarien zur Folge haben, die am nächstgelegenen Schutzobjekt nicht zu einer ernsten Gefahr führen. Darüber hinaus muss der Betreiber nach § 3 Abs. 3 StörfallV vorbeugend Maßnahmen treffen, um die Auswirkungen von Störfällen so gering wie möglich zu halten. Grundlage dieser Maßnahmen wiederum sind Szenarien, deren Ursachen vernünftigerweise auszuschließen sind, die sogenannten Dennoch-Szenarien. Die Bezeichnung dieser Szenarien geht darauf zurück, dass trotz aller notwendigen störfallverhindernden Maßnahmen nach § 3 Abs. 1 StörfallV diese Szenarien erfahrungsgemäß "dennoch" auftreten können. Der Bereich der Dennoch-Szenarien kann sich bis hin zum Verlust des größten Behälterinventars (Größte Zusammenhängende Masse = GZM) erstrecken. Letzterer bildet vornehmlich die Grundlage für die Notfallplanung, die sich aufgabengemäß auf die größten zu unterstellenden Szenarien vorbereiten muss (s. SFK-GS-45).

Mit den Mitteln der StörfallV lässt sich eine Verdichtung schutzbedürftiger Nutzungen im Umfeld von Betriebsbereichen nicht verhindern. Dies ist präventiv nur mit den Mitteln des Planungsrechtes möglich. Die planungsrechtliche Zuordnung von Flächen unterschiedlicher Nutzung muss zukunftsorientiert sein und die Entwicklungsmöglichkeiten sowohl der Betriebsbereiche als auch der Kommune berücksichtigen. Angemessene Abstände im Rahmen der Bauleitplanung sind daher im Allgemeinen größer als die Abstände, die zur Erfüllung der Genehmigungsvoraussetzungen nach BImSchG erforderlich sind. Damit müssen im Rahmen der Bauleitplanung auch deutlich größere Szenarien berücksichtigt werden, wie sie in Kap. 3.2 näher ausgeführt sind. Diese sind aber per Konvention nicht so groß wie diejenigen, die für die Notfallplanung betrachtet werden müssen (Leckage analog GZM).

Die in diesem Leitfaden behandelten Empfehlungen für die Bemessung angemessener Abstände ersetzen weder Maßnahmen nach dem Stand der Sicherheitstechnik zur Verhinderung von Störfällen nach § 3 Abs. 1 StörfallV noch andere Maßnahmen nach § 3 Abs. 3 StörfallV, um die Auswirkungen von Störfällen so gering wie möglich zu halten.

Insbesondere sind angemessene Abstände kein Ausgleich für ein niedriges Sicherheitsniveau an den später zu genehmigenden Anlagen bzw. hinsichtlich der Anforderung an den Stand der Sicherheitstechnik an den bestehenden Anlagen im Betriebsbereich.

2.3 Informations- und Konsultationspflichten

2.3.1 Konsultationsgebot nach Art. 12 Abs. 2 Seveso-II-Richtlinie

Die Umsetzung der Zielvorgaben des Art. 12 Abs. 1 Seveso-II-Richtlinie erfordern, dass die zuständigen Behörden oder Stellen eng zusammenarbeiten.

Die Richtlinie fordert folgerichtig in Art. 12 Abs. 2, dass "alle zuständigen Behörden und alle für Entscheidungen in diesem Bereich zuständigen Dienststellen geeignete Konsultationsverfahren einrichten, um die Umsetzung der Politiken nach Abs. 1 zu erleichtern.

Die Verfahren haben zu gewährleisten, dass bei diesbezüglichen Entscheidungen unter Berücksichtigung des Einzelfalls oder nach allgemeinen Kriterien auf fachliche Beratung über die von dem Betrieb ausgehenden Risiken zurückgegriffen werden kann".

Die Beteiligung der verschiedenen Stellen in den jeweiligen Verfahren ist in den dafür geltenden Verfahrensvorschriften geregelt.

Zu empfehlen ist, dass die zuständigen Stellen nicht erst im konkreten Planungsverfahren, sondern frühzeitig über die bestehenden Betriebsbereiche und beabsichtigte Planungen oder Vorhaben in deren Umfeld Informationen austauschen.

In diese Informationskette sollten auch die für die Landes- und Gebietsentwicklungsplanung zuständigen Stellen sowie die für die Genehmigung der Bauleitpläne zuständige höhere Verwaltungsbehörde einbezogen werden.

2.3.2 Informationspflichten der Betreiber von Betriebsbereichen

Auch die Betreiber sind gefordert, den zuständigen Behörden und Stellen die erforderlichen Informationen zukommen zu lassen.

Gemäß § 9 Abs. 1 Nr. 5 StörfallV haben Betreiber eines Betriebsbereichs im Sicherheitsbericht darzulegen, dass "ausreichende Informationen bereitgestellt werden, damit die zuständigen Behörden Entscheidungen über die Ansiedlung neuer Tätigkeiten oder Entwicklungen in der Nachbarschaft bestehender Betriebsbereiche treffen können".

3 Abstandsempfehlungen für raumbedeutsame Planungen und Maßnahmen

§ 50 Satz 1 BImSchG macht keine Vorgaben, was konkret unter angemessenen Abständen i. S. des Art. 12 Seveso-II-Richtlinie zu verstehen ist.

Beim Herangehen an dieses Thema ist zu unterscheiden zwischen:

3.1 Abstandsempfehlungen für Neuplanungen von Flächen für Betriebsbereiche ohne Detailkenntnisse ("Grüne Wiese") sowie deren Erweiterung

Für diesen Planungsfall wird unterstellt, dass die späteren industriellen/gewerblichen Nutzungen auf den geplanten Flächen nicht bekannt sind bzw. aus dem Aufstellungsvorgang zum Bebauungsplan die konkrete Lage und Beschaffenheit der Anlagen des geplanten Betriebsbereiches sich noch nicht entnehmen lässt (Planung ohne Detailkenntnisse). Demzufolge ist es nicht möglich, schon jetzt sicherheitstechnische Maßnahmen, Schutzflächen oder aktive bzw. passive Schutzmaßnahmen etc. bei der Bewertung der Abstandsermittlung zu berücksichtigen.

In Bild 1 im Anhang 1 sind die Abstandsempfehlungen für die Bauleitplanung ohne Detailkenntnisse dargestellt. Sie basieren auf einem deterministischen Ansatz, der im Einklang mit dem in Deutschland praktizierten Störfallrecht steht, und einer typisierenden Betrachtung. Die Grundlagen für die Berechnungen der Abstandsangaben sind in den Anhängen 1 und 3 aufgeführt. Anhang 2 enthält für die einzelnen in Bild 1 enthaltenen Stoffe die Ergebnisse der Abstandsberechnungen zu verschiedenen Leckflächen.

Die Abstandsempfehlungen beziehen sich auf Planungen in ebenem Gelände und mittlere Ausbreitungsbedingungen. In Abhängigkeit insbesondere von den örtlichen Verhältnissen, wie z.B. Tallagen, können sich Abweichungen von den Abstandsempfehlungen ergeben. Aufgrund langjähriger Betriebserfahrung und der Analyse des deutschen Störfallgeschehens der letzten Jahrzehnte (vgl. ZEMA-Berichte) 26wurde für die Freisetzung in der Regel ein Leck von 490 mm2angenommen (Äquivalentdurchmesser von 25 mm). Abweichungen hiervon wurden im Einzelfall aufgrund von spezifischer Anlagenauslegung und Betriebserfahrung vorgenommen (Acrolein, Phosgen).

Sie basieren weiter auf der Vorgabe, dass die später zu genehmigenden Anlagen nach den Bestimmungen des BImSchG, der StörfallV sowie den sonstigen zu berücksichtigenden Vorschriften und Regelwerken, und damit nach dem Stand der Sicherheitstechnik zu errichten und zu betreiben sind. Wegen des danach zu gewährleistenden hohen Sicherheitsniveaus wurde für die Bauleitplanung davon ausgegangen, dass ein Spontanversagen von Behältern oder der Abriss von größeren Rohrleitungen für die vorliegenden Empfehlungen auszuschließen sind.

Befinden sich keine schutzbedürftigen Gebiete/Nutzungen gemäß Kap. 2.1.2 innerhalb der Grenzen der Abstandsempfehlungen, kann davon ausgegangen werden, dass mit planungsrechtlichen Mitteln hinreichend Vorsorge getroffen wurde, um die Auswirkungen von schweren Unfällen so weit wie möglich zu begrenzen, und dem planerischen Schutzziel des § 50 Satz 1 BImSchG in dem Punkt entsprochen wird.

Da bei dieser Art der Planung keine hinreichenden Details über die Art und Menge der zum Einsatz kommenden Stoffe, des Aufstellungsortes der zukünftigen Anlagenteile, der geplanten Anlagenkonfigurationen etc. für eine belastbare Abwägungsentscheidung vorliegen, sind die Abstandsempfehlungen ab den Grenzen des Betriebsbereichs zu bemessen. 27

3.2 Planungen im Umfeld von Betriebsbereichen

Die Abstandsempfehlungen in Kap. 3.1 bieten einen Anhalt dafür, ob durch ein weiteres Zusammenrücken von Betriebsbereich und schutzbedürftigem Gebiet der Planungsgrundsatz des § 50 Satz 1 BImSchG gefährdet sein kann. Die Abstandsempfehlungen sind in diesem Sinne als Achtungsabstände zu verstehen.

Zum Zeitpunkt einer Planung im Umfeld eines Betriebsbereichs ist das von diesem Betriebsbereich ausgehende stoffliche Gefahrenpotential bekannt bzw. beurteilbar (Planung mit Detailkenntnissen). Die im Betriebsbereich befindlichen Anlagen werden nach den Vorgaben des BImSchG, der StörfallV und den sonstigen einschlägigen Vorschriften errichtet und betrieben und entsprechen dem Stand der Sicherheitstechnik.

Werden die Achtungsabstände im Einzelfall unterschritten, ist ausgehend von der konkreten Lage und Beschaffenheit des Betriebsbereiches systematisch zu beurteilen, welcher Abstand im konkreten Planungsfall angemessen ist. Dabei werden die getroffenen Vorkehrungen und Maßnahmen zur Verhinderung von Störfällen und zu deren Begrenzung berücksichtigt, sodass sich andere Szenarien für die Abstandsermittlung als unter Kap. 3.1 ergeben können.

Abweichend von Kap. 3.1 wird für die Vorgehensweise folgende Empfehlung für die der Einzelfallbetrachtung zugrunde zu legenden Ereignisse 28 ausgesprochen:

Kann die Behörde die Einzelfallbetrachtung nicht selbst vornehmen, wird empfohlen, einen geeigneten z.B. nach § 29a BImSchG bekannt gegebenen Sachverständigen damit zu beauftragen. Es empfiehlt sich, die Formulierung der Aufgabenstellung an den Gutachter in enger Abstimmung mit der Immissionsschutzbehörde vorzunehmen.

Das Gutachten sollte schlüssige, nachvollziehbare und bewertbare Aussagen enthalten, um die Behörden in die Lage zu versetzen, im Rahmen der vorzunehmenden Abwägung einen angemessenen Abstand i. S. d. § 50 Satz 1 BImSchG festsetzen zu können.

Inhaltlich sollte im Gutachten insbesondere auf folgende Gesichtspunkte eingegangen werden:

Dem Planungsträger obliegt es im Rahmen seiner Planungshoheit unter Beachtung der einschlägigen Vorschriften und des Abwägungsgebotes, verantwortliche Entscheidungen zu treffen und diese in der Planbegründung nachvollziehbar darzulegen.

3.3 Umsetzung der Abstandsempfehlungen mit den Mitteln des Bauplanungsrechtes

Der angemessene Abstand muss auch zukünftig eine Entwicklung im Plangebiet ermöglichen und somit auch das Recht des Betreibers auf Bestandserhaltung und auf betriebliche Entwicklungsmöglichkeiten berücksichtigen.

Die Berücksichtigung angemessener Abstände kann im Allgemeinen nicht durch isoliert stehende Entfernungsangaben in den Bebauungsplänen erfolgen, da sich Darstellungen oder Festsetzungen nur auf die Fläche innerhalb des Plangebietes beziehen können. Die Achtungsabstände sind in der Regel nicht mit den Plangrenzen identisch.

Welche zeichnerischen und textlichen Darstellungs- und Festsetzungsmöglichkeiten im Hinblick auf den Planungsgrundsatz des § 50 Satz 1 BImSchG im Einzelfall möglich sind, ergibt sich für Flächennutzungspläne insbesondere aus § 5 Abs. 2 BauGB und für Bebauungspläne aus § 9 BauGB sowie der BauNVO.

3.3.1 Festsetzungen nach § 9 Abs. 1 Nr. 24 BauGB

Nach § 9 Abs. 1 Nr. 24 BauGB können zur Begrenzung der Auswirkungen schwerer Unfälle in Betriebsbereichen aus städtebaulichen Gesichtspunkten folgende Festsetzungen getroffen werden:

Die zulässigen Festsetzungen müssen in der Weise hinreichend bestimmt sein, dass ihnen die konkret zu treffenden Maßnahmen entnommen werden können. Die Anforderungen an die Errichtung und den Betrieb der Anlagen sind im späteren Genehmigungsverfahren festzulegen.

Freihalten von Bebauung meint im Zusammenhang mit der Festsetzung von Schutzflächen das Freihalten von Gebäuden und Freiflächen, die dem nicht nur gelegentlichen Aufenthalt von Menschen dienen. Ein gelegentliches Betreten oder Befahren, z.B. zum Zweck der Bewirtschaftung landwirtschaftlich genutzter Flächen, ist jedoch möglich.

Grünflächen kommen nur dann in Betracht, wenn ihre Zweckbestimmung nicht mit dem häufigen Aufenthalt von Menschen verbunden ist. Gärten und Parkanlagen sind daher im Allgemeinen ungeeignet.

Festsetzungen nach § 9 Abs. 1 Nr. 24 BauGB können im Bebauungsplan nur im Hinblick auf bodenrechtlich relevante Flächen, Anlagen oder Einrichtungen getroffen werden und müssen immer baulicher oder technischer Art sein. Verhaltens- oder anlagenbezogene Festsetzungen, wie etwa der Einsatz von Fahrzeugen oder beweglichen Maschinen, technische/organisatorische Anforderungen an den Anlagenbetrieb etc., sind nicht zulässig.

3.3.2 Feinsteuerung nach § 1 BauNVO

Um ein unerwünschtes Nebeneinander von Baugebieten mit unverträglichen Nutzungen zu vermeiden, kommt die nach dem Grad ihrer Schutzbedürftigkeit abgestufte Ausweisung getrennter Baugebiete nach den §§ 2 - 11 BauNVO in Betracht. Daneben bieten aber auch die § § 1 Abs. 4 bis 10 BauNVO Gliederungs- und Ausschlussmöglichkeiten, mit denen die zulässigen Nutzungen durch eine Feinsteuerung modifiziert und den speziellen örtlichen Verhältnissen angepasst werden können.

Auf der Grundlage des § 1 Abs. 4 Satz 1 BauNVO können im Bebauungsplan Festsetzungen getroffen werden, die die in den § § 4 bis 9 BauNVO bezeichneten Baugebiete nach der Art der zulässigen Nutzung (Nr. 1) und nach der Art der Betriebe und Anlagen und deren besonderen Bedürfnissen und Eigenschaften (Nr. 2) gliedern - (Binnen-) Gliederung des Baugebietes. Die Gliederung eines Baugebiets bewirkt, dass in den jeweiligen Teilen des Baugebiets nur bestimmte gleichartige Nutzungen, Betriebe oder Anlagen zugelassen werden. Damit sind dort zugleich die anderen, ebenfalls allgemein zulässigen Nutzungen, Betriebe und Anlagen ausgeschlossen. Dabei darf die Festsetzung nicht den Charakter des Baugebiets ändern (z.B. von einem Industriegebiet in ein Gewerbegebiet). Die Festsetzung muss hinreichend bestimmt sein; es muss deutlich sein, welche Betriebe oder Anlagen erfasst sind.

Die Gliederungsmöglichkeit nach den besonderen Eigenschaften der Betriebe und Anlagen nach § 1 Abs. 4 Satz 1 Nr. 2 BauNVO ermöglicht es, Betriebe und Anlagen insbesondere nach ihren erforderlichen Schutzabständen zu den nach § 50 Satz 1 BImSchG schutzbedürftigen Gebieten zu gliedern. Das Vorhandensein gefährlicher Stoffe i. S. der StörfallV kennzeichnet den Störgrad von Betrieben und ist damit eine Eigenschaft nach § 1 Absatz 4 BauNVO, sodass im Bebauungsplan die Zulässigkeit solcher Betriebe und Anlagen ausgeschlossen oder eingeschränkt werden kann. Zulässig wäre z.B. ein Bereich, in dem uneingeschränkt alle Arten von Gewerbetrieben, also auch Betriebsbereiche i. S. d. § 3 Abs. 5a BImSchG, zugelassen werden können, und ein Bereich, in dem Betriebe unzulässig sind, in denen bestimmte Stoffe und Stoffmengen be- oder verarbeitet oder gelagert werden sollen. Dies können insbesondere gefährliche Stoffe im Sinne der Stoffliste in Anhang I der StörfallV sein. Dabei kann auch auf bestimmte Mengenschwellen in der Stoffliste des Anhangs I Bezug genommen werden 29.

Im Bebauungsplan kann als Ausnahme nach § 31 Abs. 1 BauGB festgesetzt werden, dass der Schutzabstand unterschritten werden kann, insbesondere wenn dies durch besondere technische Vorkehrungen und Maßnahmen zur Verhinderung von Störfällen gerechtfertigt erscheint 30.

Die Gliederungsmöglichkeit nach § 1 Abs. 4 Satz 1 BauNVO besteht nur innerhalb des jeweiligen Baugebiets (Binnengliederung). § 1 Abs. 4 Satz 2 BauNVO erweitert dieses Instrument auf die Gliederung mehrerer Industrie- und Gewerbegebiete untereinander (baugebietsüberschreitende Gliederung). Voraussetzung dafür ist, dass die Gemeinde in ihrem Gebiet (nicht notwendig im Bebauungsplangebiet) über mindestens zwei Gewerbe- oder über mindestens zwei Industriegebiete verfügt. Sie kann die in diesen Baugebieten zulässigen Nutzungen, Betriebe und Anlagen auf die Gewerbe- oder Industriegebiete verteilen.

Die Gliederung kann sich auch auf Teile des Baugebiets beschränken ( § 1 Abs. 8 BauNVO).

Darüber hinaus ist der Ausschluss einer oder mehrerer Arten der in den Baugebietskatalogen der BauNVO ausdrücklich aufgeführten regelmäßig oder ausnahmsweise zulässigen Nutzungen aus dem gesamten Baugebiet nur unter den Voraussetzungen des § 1 Abs. 5 BauNVO möglich. Hierbei ist jedoch zu berücksichtigen, dass Betriebe, auf die immissionsschutzrechtlich die StörfallV Anwendung findet, nicht als "Arten von Nutzungen" bezeichnet werden können, da es keinen eigenständigen Störfallbetrieb als Nutzungsart gibt. Soweit sich solche Betriebe zu einer Unterart von baulichen Anlagen zusammen fassen lassen, kann jedoch im Bebauungsplan nach § 1 Abs. 9 BauNVO beim Vorliegen besonderer städtebaulicher Gründe festgesetzt werden, dass nur diese Unterarten zulässig oder nicht zulässig sind oder nur ausnahmsweise zugelassen werden 31.

Die Gliederung von Baugebieten kann also auf unterschiedliche Weise erfolgen. Wichtig ist, dass alle am Planverfahren beteiligten und alle späteren Nutzer des Plans zweifelsfrei erkennen, dass eine vom in der BauNVO enthaltenen Baugebietskatalog abweichende Regelung getroffen wurde und welche Reichweite diese Regelung hat, d. h. welche Betriebe und Anlagen erfasst sind.

4 Anwendung des Leitfadens bei verschiedenen Planungssituationen

4.1 Anwendung bei der Flächennutzungsplanung

Die nach Kap. 3.1 ermittelten Achtungsabstände können einen Anhalt dafür geben, inwieweit unter dem Gesichtspunkt der planerischen Störfallvorsorge ein Ausschluss oder eine Einschränkung für bestimmte Anlagen, Tätigkeiten oder Nutzungen im späteren Bebauungsplan festgesetzt werden müssen bzw. ob die vorgesehene Planung in dem vorgesehenen Umfang realisierbar ist, sofern Betriebsbereiche von der Planung erfasst werden bzw. aufgrund der geplanten Umgebungsbebauung davon tangiert sein können.

4.2 Erweiterung der Betriebsbereichsflächen in der Nähe schutzbedürftiger Gebiete

Diese Vorhaben sind in aller Regel raumbedeutsam und durch Bauleitplanverfahren abzusichern, sodass § 50 Satz 1 BImSchG Anwendung findet.

Das schutzbedürftige Gebiet und der Betriebsbereich rücken näher zusammen. Die Auswirkungen eines möglichen Schadenfalls können sich verstärken. Die zukünftige gewerblich/industrielle Nutzung auf den neuen Flächen ist in der Regel zumindest in den Grundzügen bekannt.

Der bestehende Betriebsbereich ist in der Regel in seinen Teilen genehmigt. Sofern ein Sicherheitsbericht gemäß § 9 StörfallV vorliegt, ist dort dargelegt, dass den Anforderungen der StörfallV entsprochen wird. Eine Bewertung dieser Darlegungen ist Gegenstand der immissionsschutzrechtlichen Genehmigungsverfahren bzw. obliegt der behördlichen Überwachung.

Sollen auch auf den neuen Flächen gefährliche Stoffe entsprechend dem Anhang I der StörfallV verwendet werden, ergibt sich die Frage, welche Auswirkungen dies auf die Bewertung des Gefährdungspotentials für die Nachbarschaft haben kann. Ist die Art, Lage und Beschaffenheit der späteren Nutzung auf den geplanten neuen Flächen zum Zeitpunkt der Planaufstellung noch nicht bekannt, ist für diesen Bereich von einer Planung ohne Detailkenntnisse auszugehen.

Planungsrechtlich steht hier nicht das spätere Einzelvorhaben, sondern eine zukunfts- und vorsorgeorientierte Bodennutzung in der Gesamtheit zur Diskussion, die u. a. die Anforderungen an gesunde Wohn- und Arbeitsverhältnisse und die Sicherheit der Wohn- und Arbeitsbevölkerung erfüllen muss (§ 1 Abs. 6 Nr. 1 BauGB). Dabei sollten auch die Entwicklungsmöglichkeiten des Betriebsbereichs bei der Abwägung berücksichtigt werden.

Sind die Abstände der geplanten Betriebsbereichserweiterung zum schutzbedürftigen Gebiet oder Nutzung kleiner als die Achtungsabstände, so empfiehlt sich zur Ermittlung eines angemessenen Abstandes eine Einzelfallbetrachtung unter Berücksichtigung der in Kap. 3.1 und 3.2 vorgeschlagenen Kriterien.

Das Ergebnis kann sein, dass die Erweiterung nicht oder nicht in dem geplanten Umfang erfolgen kann, Nutzungsbeschränkungen für die Flächen bzw. eine Gliederung des Plangebietes festgesetzt werden müssen.

Ist die spätere Nutzung zum Planungszeitpunkt noch nicht bekannt und können die Achtungsabstände vom bestehenden Betriebsbereich schon jetzt nicht eingehalten werden, ist kritisch zu prüfen, ob und welche Anlagen oder Tätigkeiten mit gefährlichen Stoffen i.S.d. StörfallV auf der neuen Fläche planungsrechtlich vertretbar sind.

Sind auf den neuen Flächen keine Anlagen mit gefährlichen Stoffe in sicherheitsrelevanter Mengen i. S. d. StörfallV geplant, sollte das ebenfalls durch Festsetzungen im Bebauungsplan geregelt werden. Dies gilt insbesondere dann, wenn die Achtungsabstände für einzelne Stoffe, die auf dem bestehenden Teil des Betriebsbereichs zum Einsatz kommen, schon zum Zeitpunkt der Planung nicht eingehalten werden können.

4.3 Festsetzung von schutzbedürftigen Gebieten im Umfeld bestehender Betriebsbereiche

Dies sind im Allgemeinen die häufigsten Planungsfälle im Zusammenhang mit dem Planungsgrundsatz des § 50 Satz 1 BImSchG. So werden z.B. neue Wohnbaugebiete ausgewiesen bzw. bestehende erweitert oder wichtige Verkehrswege geplant und rücken als schutzbedürftige Gebiete/Nutzungen näher an den Betriebsbereich heran. Dadurch erhöht sich unter Umständen der Personenkreis, der von einem möglichen schweren Unfall betroffen sein könnte. Hierzu wird auch auf Kap. 2.1.3 c) verwiesen.

Bei diesen Planungsfällen handelt es sich in der Regel um eine Planung mit Detailkenntnis, da das vom Betriebsbereich ausgehende Gefahrenpotential bekannt ist.

Im Rahmen der planerischen Störfallvorsorge ist nicht alleine von der Situation auszugehen, wie sie zum Planungszeitpunkt vorliegt. Bestehende Betriebsbereiche verfügen in der Regel über Erweiterungsmöglichkeiten, z.B. in Form von Freiflächen, Möglichkeiten einer Kapazitätserweiterung der Anlagen etc. Werden diese Erweiterungsmöglichkeiten bei der Zuordnung der Flächen nicht hinreichend berücksichtigt, kann das langfristig zu Problemen für den Standort führen.

Diese Gesichtspunkte müssen aufgrund des Gebots der planerischen Konfliktbewältigung in die Planung einfließen. Dem Betreiber ist zu empfehlen, seine Standortinteressen den zuständigen Behörden frühzeitig zur Kenntnis zu geben und in das Verfahren einzubringen.

Unter Berücksichtigung dieser Gesichtspunkte ist bei der Ermittlung eines angemessenen Abstandes, wie unter Kap. 3.2. empfohlen, vorzugehen.

Das Ergebnis kann sein, dass die Planung nicht oder nicht in dem geplanten Umfang erfolgen kann oder die Art der vorgesehenen Nutzung überdacht werden muss. Im Einzelfall ist auch zu bewerten, inwieweit passive Schutzmaßnahmen, wie die Ausrichtung der Gebäude, Schutzflächen etc. im Bebauungsplan im Rahmen der planerischen Konfliktbewältigung festzusetzen sind.

Maßnahmen an den bestehenden Anlagen, um die Planung realisieren zu können, können vom Betreiber bei genehmigungskonformer Errichtung und Betrieb seiner Anlagen planungsrechtlich nicht verlangt werden. Jedoch sind Vereinbarungen möglich, auf deren Basis z.B. die Kommune oder der Investor die Kosten für Maßnahmen an der Anlage übernehmen, mit deren Hilfe ein bestehender Nutzungskonflikt geregelt werden kann.

4.4 Berücksichtigung in Planfeststellungsverfahren

Ist ein Planfeststellungsverfahren oder eine Plangenehmigung raumbedeutsam und berührt das Vorhaben die Belange des § 50 Satz 1 BImSchG im Rahmen der planerischen Störfallvorsorge, z.B. Planung eines wichtigen Verkehrsweges in der Nachbarschaft eines Betriebsbereichs, empfiehlt es sich, den Leitfaden entsprechend den vorgenannten Kapiteln heranzuziehen.

4.5 Baurechtliche Vorhaben in der Nachbarschaft von Betriebsbereichen

Die Errichtung oder Änderung einer raumbedeutsamen baulichen Anlage bedarf in der Regel einer Genehmigung nach der jeweiligen Landesbauordnung oder nach sonstigen Vorschriften. Unabhängig von der planerischen Bewertung solcher Einzelvorhaben hat die zuständige Immissionsschutzbehörde im Rahmen ihrer Beteiligung im Genehmigungsverfahren zu prüfen, ob durch das Vorhaben Belange des BImSchG berührt sein können oder das Vorhaben schädlichen Umwelteinwirkungen oder sonstigen Gefahren ausgesetzt werden kann.

Im Geltungsbereich eines qualifizierten Bebauungsplans sind Bauvorhaben zulässig, wenn sie dem Bebauungsplan nicht widersprechen (§ 30 Abs. 1 BauGB).

Existiert kein qualifizierter Bebauungsplan, befindet sich ein Vorhaben aber innerhalb eines im Zusammenhang bebauten Ortsteils, richtet sich seine bauplanungsrechtliche Zulässigkeit nach § 34 BauGB.

Danach kommt es vor allem darauf an, ob sich das Vorhaben in die Eigenart der näheren Umgebung einfügt. Wie die Zulässigkeit einer Bebauung, die an Betriebsbereiche heranrückt, in diesem Zusammenhang rechtlich zu bewerten ist, ist umstritten und Gegenstand eines Verfahrens vor dem Bundesverwaltungsgericht. Das Bundesverwaltungsgericht hat das Verfahren ausgesetzt und Fragen zur Auslegung der Seveso-II-Richtlinie, namentlich zu ihrer Anwendbarkeit auf Genehmigungsentscheidungen bei heranrückender Bebauung, dem Europäischen Gerichtshof vorgelegt 32. Mit Rücksicht darauf, aber auch unabhängig vom Ausgang des Verfahrens, sollten die betroffenen Gemeinden insbesondere in komplexen Bebauungslagen (Gemengelagen), eine vorausschauende Konfliktbewältigung durch Überplanung des Gebietes prüfen. Die Aufstellung eines Bebauungsplanes kann hier nach § 1 Abs. 3 BauGB erforderlich sein 33und Konflikte bereits auf planerischer Ebene lösen 34.

4.6 Städtebauliche Überplanung von Gemengelagen

Bei bestehenden Gemengelagen, in denen historisch Wohnen, Gewerbe oder Industrie nebeneinander entstanden sind, kann es sinnvoll sein, dass die Gemeinde für das betreffende Gebiet einen Bebauungsplan aufstellt und somit eine städtebauliche Überplanung durchführt. Dies empfiehlt sich insbesondere zur Vermeidung städtebaulicher Fehlentwicklungen. Grundsätzlich ist zu bedenken, dass eine Verdichtung mit schutzbedürftigen Nutzungen im Umfeld von Betriebsbereichen den Kreis der Personen erhöht, die von einem möglichen schweren Unfall betroffen sein können. Durch Überplanungen solcher Gebiete können die Kommunen zu einer Entflechtung beitragen und für eine strukturierte Gebietsentwicklung sorgen, die langfristig eine nachhaltige städtebauliche Entwicklung i. S. d. BauGB ermöglicht, um auch den Anforderungen des Art. 12 Seveso-II-Richtlinie zu genügen.

Bei der städtebaulichen Überplanung von Gemengelagen ist § 50 Satz 1 BImSchG als Planungsgrundsatz dann nicht oder nur eingeschränkt anwendbar, wenn unverträgliche Nutzungen räumlich nicht getrennt werden können 35, 36. Die Angemessenheit eines Abstands zu einem Betriebsbereich kann nicht losgelöst von einer bestehenden Siedlungsstruktur betrachtet werden. Eine Vergrößerung der Abstände ist in der Regel nicht möglich. Der Leitfaden ist daher in solchen Fällen nicht anwendbar.

Erzielbare Verbesserungen hinsichtlich einer planerischen Störfallvorsorge werden in der Regel nicht in der Form möglich sein, wie das § 50 Satz 1 BImSchG fordert. Da sich in einer bestehenden Gemengelage meist keine optimalen Abstände erreichen lassen, ist der Leitfaden in solchen Fällen nicht strikt anwendbar. Es muss darum gehen, einen angemessenen Interessenausgleich zu finden. Hier kommt dem Gebot der gegenseitigen Rücksichtnahme eine besondere Bedeutung zu.

Auch wenn sich die Empfehlungen des Leitfadens am Planungsgrundsatz des § 50 Satz 1 BImSchG orientieren und daher als Beurteilungsmaßstab für Einzelfallvorhaben nur bedingt geeignet sind, können sie als Anhaltspunkt für die Prüfung des Rücksichtnahmegebots herangezogen werden 37.

Es empfiehlt sich ein frühzeitiger Informationsaustausch zwischen den zuständigen Behörden und dem Betreiber des Betriebsbereichs, um mögliche Fehlentwicklungen im Umfeld zu vermeiden.

.

Abstandsempfehlungen für die Bauleitplanung ohne Detailkenntnisse mit Erläuterungen - Achtungsabstände Anhang 1 2. Kor.

Bild 1: Abstandsempfehlungen für die Bauleitplanung ohne Detailkenntnisse

Anmerkung:

  1. Wegen eines geänderten ERPG-2-Wertes musste für den Stoff Acrolein eine neue Berechnung durchgeführt werden. Danach ergibt sich ein Achtungsabstand von rund 2190 m. Es wurde aber keine neue Abstandsklasse eingeführt (s. a. Anhang 2 Kap. 2.1)
  2. Der Stoff HCl liegt überwiegend als Druckgas vor. Dies wurde in der Abb. 1 sowie in Anhang 2 berücksichtigt.

1 Grundlagen der Abstandsempfehlungen für die Achtungsabstände

Die Abstandsempfehlungen im Bild 1 sind als Richtwerte zu verstehen. Sie sind entsprechend der Normgebung der Bauleitplanung von typisierender Art.

Die nachfolgenden Ausführungen gelten für die jeweils angegebenen gefährlichen Stoffe, für die auf Grundlage der gewählten Szenarien eine Zuordnung in Abstandsklassen erfolgte.

Ausschlaggebend für die Ermittlung der Achtungsabstände sind neben der Toxizität, Wärmestrahlungsbelastung und Druckbelastung, ausgedrückt über die entsprechenden Störfallbeurteilungswerte, stoffspezifische Eigenschaften wie der Dampfdruck und die typischen Prozessbedingungen, unter denen die gefährlichen Stoffe gehandhabt werden, wie Konzentration, Druck und Temperatur. Dies ergibt unterschiedliche Freisetzungsraten für die betrachteten repräsentativen Szenarien. Aus diesem Grund ergibt sich keine einfache Relation zwischen Toxizität, Wärmestrahlungsbelastung sowie Druckbelastung und Abstandsempfehlung. Es wurde deshalb eine Zuordnung in Abstandsklassen gebildet. Sie repräsentieren die Schwankungsbreiten, die sich für die Bereiche ergeben. Dies trägt der Variation der Ergebnisse aufgrund von Dampfdruck und Betriebsparametern wie Temperatur und Druck Rechnung.

2 Untersuchte Szenarien

Mit der deterministischen Vorgehensweise ist ein einfach durchschaubarer Rahmen geschaffen, dessen Voraussetzungen und Annahmen nachprüfbar sind, wie im Folgenden dargelegt.

Dabei waren maßgeblich:

Brände und Gaswolkenexplosionen mit unmittelbarer Zündung, Freisetzung toxischer Stoffe.

2.1 Quellterm

Aufgrund der Jahrzehnte langen Betriebserfahrungen und aus der Analyse des deutschen Störfallgeschehens wurde für die Freisetzung in der Regel ein Quellterm aus einer Austrittsfläche von 490 mm' angenommen. Dies entspricht einem Äquivalentdurchmesser von 25 mm. Abweichungen hiervon wurden im Einzelfall aufgrund von spezifischer Anlagenauslegung und Betriebserfahrung vorgenommen.

Die daraus errechneten Mengen lagen durchweg über den Mengen, die aufgrund dieser Betriebserfahrungen bei Freisetzung, Brand oder Explosion zu beobachten waren.

2.2 Freisetzung von toxischen Stoffen

Für die Bauleitplanung wurde als Konzentrationsleitwert der ERPG-2-Wert mit folgender Definition ausgewählt:

≫Die maximale luftgetragene Konzentration, bei der davon ausgegangen wird, dass unterhalb dieses Wertes beinahe sämtliche Personen bis zu einer Stunde lang exponiert werden könnten, ohne dass sie unter irreversiblen oder sonstigen schwerwiegenden gesundheitlichen Auswirkungen oder Symptomen leiden bzw. solche entwickeln, die die Fähigkeit einer Person beeinträchtigen könnten, Schutzmaßnahmen zu ergreifen.≪

Aus der Analyse der Begriffsidentität von StörfallV und ERPG-Definitionen wurde abgeleitet, dass die Beeinträchtigung einer großen Anzahl von Menschen i. S. des § 2 Nr. 4 b StörfallV für die Auswahl des relevanten Konzentrationsleitwertes maßgeblich ist. Damit ergibt sich eine weitgehende Definitionsüberschneidung mit dem ERPG-2-Wert, der hier verwendet wurde.

Die den Abstandsberechnungen zugrunde gelegten Randbedingungen und technischen Modelle sind der nachfolgenden Tab. 1 zu entnehmen.

Tabelle 1

Freisetzungsbedingungen:
Temperatur des Gefahrstoffs: 20 °C
Betriebsüberdruck: Dampfdruck bei 20 °C, aber mind. 2 bar (z.B. Pumpendruck)
Aggregatzustand: flüssig; Ausnahme: Fluor gasförmig
Ausflusszahl: 0,62 (scharfkantig)
Freisetzungsdauer: 10 Minuten
Lachenbildung:
Instationäre Berechnung der Lachenverdunstung bzw. -verdampfung Umgebungstemperatur: 20 °C
Windgeschwindigkeit: mittlere Ausbreitungssituation: 3 m/s
ungünstige Ausbreitungssituation: 1 m/s
Sonneneinstrahlung: 1 kW/ml
Untergrund: Beton
Schichtdicke der Lache: 5 mm
Zeitdauer: 30 Minuten
Gasausbreitung:
Schwergasausbreitung nach der VDI Richtlinie 3783 Blatt 2 für ein Gelände mit gleichförmiger Bebauung.
Leichtgasausbreitung nach der VDI Richtlinie 3783 Blatt 1 für folgenden Ausbreitungssituationen:
Mittlere Ausbreitungssituation: Windgeschwindigkeit: 3 m/s
indifferente Temperaturschichtung
keine Inversion
Ungünstige Ausbreitungssituation: Windgeschwindigkeit: 1 m/s
stabile Temperaturschichtung
keine Inversion
Massenstrom: entsprechend der Lachenverdunstung/-verdampfung für einen Zeitraum von 30 Minuten
Quellgeometrie: Punktquelle
Höhe des Aufschlagpunktes: 1-2 m (z.B. Kinder, stehende Personen)
Bodenrauigkeit: sehr rau

Neben den ERPG-Werten stehen außerdem noch AEGL-Werte (Acute Exposure Guidance Level) mit ähnlicher Aussage zur Verfügung. Liegen keine ERPG-2-Werte vor, kann auf die AEGL-2-Werte für 60 Minuten-Zeitintervalle zurückgegriffen werden.

2.3 Brände und Gaswolkenexplosionen

  1. Große Brände wurden unter dem Aspekt der Wärmestrahlungsbelastung betrachtet. Die Erfahrung zeigt, dass bei Bränden toxische Effekte durch die Brandgase für die Bauleitplanung i. d. R. vernachlässigbar sind.

    Als Immissions-Toleranzwert für die Wärmestrahlung wurde mit einem Grenzwert von 1,6 kW/m2 gerechnet, als Grenze des Beginns nachteiliger Wirkungen für den Menschen.

    Die den Abstandsberechnungen zugrunde gelegten Randbedingungen und technischen Modelle sind der nachfolgenden Tab. 2 zu entnehmen.

    Tabelle 2

    Freisetzungsbedingungen:
    Temperatur des Gefahrstoffs: 20 °C
    Betriebsüberdruck: Pumpendruck: 2 bar,
    Aggregatzustand: flüssig
    Ausflusszahl: 0,62 (scharfkantig)
    Freisetzungsdauer: 10 Minuten
    Lachenbildung:
    Untergrund: Beton
    Lachenbrand:
    mittlere spezifische Ausstrahlung, gefahrstoffunabhängig: 100 kW/m2
    Zeitdauer: 10 Minuten
  2. Gaswolkenexplosionen mit unmittelbarer Zündung wurden unter dem Aspekt der Druckwellen und der durch sie bedingten Auswirkungen betrachtet. Trümmerwurf wird aufgrund des bekannten Unfallgeschehens in Deutschland im Rahmen der Bauleitplanung nicht berücksichtigt.

Es wurde davon ausgegangen, dass bei den Wirkungen von Explosionen eine Grenze zu irreversiblen Gesundheitsschäden bei 0,175 bar Spitzenüberdruck für den Trommelfellriss erreicht ist. Schäden durch z.B. zersplittertes Glas sind schon ab 0,05 bar (für 100 % Bruch) zu erwarten. Als mittlerer Grenzwert wurde für die Bauleitplanung 0,1 bar gesetzt.

Die Randbedingungen für die Berechnungen sind der Tab. 3 zu entnehmen.

Tabelle 3

Freisetzungsbedingungen:
Temperatur des Gefahrstoffs: 20 °C
Betriebsüberdruck: Dampfdruck bei 20 'C
Aggregatzustand: flüssig
Ausflusszahl: 0,62 (scharfkantig)
Freisetzungsdauer: 10 Minuten
Lachenbildung: wird vernachlässigt
Gasausbreitung:

Schwergasausbreitung nach der VDI Richtlinie 3783 Blatt 2 für ein Gelände mit gleichförmiger Bebauung.

Betrachtung der unteren Zünddistanz und der explosionsfähigen Masse für eine mittlere Ausbreitungssituation.

2.4 Berechnungsgrundlagen

Hinsichtlich der den Abstandsberechnungen zugrunde liegenden Berechnungsmodelle wird auf Anhang 3 dieses Leitfadens verwiesen.

3 Hinweise für andere Stoffe im Anhang I der StörfallV

Für andere Stoffe des Anhangs I der StörfallV kann entsprechend ihrer physikalischen und toxischen Eigenschaften mittels so genannter Gefahrenindizes (GI) eine Orientierung an den entsprechenden Leitstoffen wie folgt vorgenommen werden.

Das Gefahrenpotential eines im Störfall freigesetzten Stoffes wird im Wesentlichen durch seine Toxizität und einen geeigneten Parameter für seine Flüchtigkeit, wie z.B. den Dampfdruck bestimmt. Die Toxizität lässt sich durch den LC50-Wert oder auch einen Beurteilungswert wie z.B. den ERPG-2-Wert ausdrücken. Das bedeutet, dass das Gefahrenpotential umso höher ist, je höher der Dampfdruck und je kleiner der Beurteilungswert ist. Vielfach wird dies als Quotient aus Dampfdruck und LC50-Wert ausgedrückt. In diesem Leitfaden wurde abweichend hiervon der Quotient aus Dampfdruck und ERPG-2-Wert herangezogen:

GI = pd/ ERPG-2

Ermittelt man die Gefahrenindizes GI für die in diesem Leitfaden betrachteten und Abstandsklassen zugeordneten Stoffe, so lässt sich aufgrund einer Betrachtung der bislang berechneten Stoffe folgende Zuordnung vornehmen 38:

GI < 0,05: → Abstandsklasse I
0,05 ≤ GI < 0,08: → Abstandsklasse II
0,08 ≤ GI < 1: → Abstandsklasse III
GI ≥ 1: → Abstandsklasse IV
pd Dampfdruck bei Normbedingungen

GI hat hier die Einheit [bar/ppm]. Es ist allerdings darauf hinzuweisen, dass diese Zuordnung nur für verdunstende Flüssigkeiten gilt.

Für den Fall einer exakten Zuordnung ist eine stoffspezifische Ermittlung des angemessenen Abstandes im Einzelfall unerlässlich!

.

Abstandsberechnungen für typische Stoffe Anhang 2

1 Ermittelte Abstände und Abstandsklassen

Unter Verwendung der in Anhang I StörfallV näher erläuterten Empfehlungen und der Gefährdungsart des jeweiligen Stoffs ergeben sich die in Tab. 4 aufgeführten Abstände sowie die Einordnung in die zugehörige Abstandsklasse.

Tabelle 4

Nr. nach
Anhang I
StörfallV
Stoff / Stoffkategorie Klasse* Abstand
[m]
Gefährdungsart
19 Brom II 448 Toxizität
20 Chlor IV 1343 Toxizität
21 Chlorwasserstoff IV 1411 Toxizität
23 Ethylenoxid I 179
55
Toxizität
Brand
24 Fluor II 242 Toxizität
25 Formaldehyd (Konzentration > 90 %) III 636 Toxizität
26 Methanol I 51
129
Toxizität
Brand
30 Phosgen IV 1440 Toxizität
36 Oleum 65% (Schwefeltrioxid) II 513 Toxizität


2 Schwefeldioxid III 826 Toxizität
2 Acrylnitril I 157 Toxizität
2 Ammoniak II 398 Toxizität
1 Schwefelwasserstoff III 797 Toxizität
1 Fluorwasserstoff II 315 Toxizität
1 Cyanwasserstoff III 604 Toxizität
1 Acrolein 2193 Toxizität
2 Benzol I 89 Brand
11 Propan (druckverflüssigtes Gas) I 126 Explosion

*Abstandsempfehlungen:

Klasse I = 200 m,
Klasse II = 500 m,
Klasse III = 900 m,
Klasse IV = 1500 m

Die Abstandsberechnungen wurden im Zuge der Überarbeitung des Leitfadens für die Stoffe Acrolein und Chlorwasserstoff aktualisiert. Dies war aufgrund der Änderung der ERPG-Werte für Acrolein im Jahr 2008 erforderlich geworden. Der ERPG-2 Wert hat sich dabei von 0,5 ppm auf 0,15 ppm verringert. Damit ergibt sich für Acrolein ein angemessener Abstand von 2193 m. Eine neue Abstandsklasse V wird nicht eröffnet.

In Deutschland wird Acrolein nur an wenigen Standorten der Chemischen Industrie hergestellt und verwendet. Neuplanungen von Standorten auf der grünen Wiese, die für die Planaufstellung eine Abstandsempfehlung erfordern, sind derzeit nicht zu erwarten.

Bei Abstandsberechnungen für Chlorwasserstoff wurde berücksichtigt, dass dieser Stoff auch druckverflüssigt verwendet wird.

2 Auswirkungsberechnungen für verschiedene Leckflächen

Mit den vorstehend beschriebenen Modellen wurden für verschiedene Leckflächen im Bereich von ca. 80 mm2 bis ca. 1963 mm2 (dies entspricht Äquivalentdurchmesser 10 mm bis 50 mm)

Es sind eine mittlere Ausbreitungssituation mit einer Windgeschwindigkeit von 3 m/s und eine ungünstige Ausbreitungssituation mit einer Windgeschwindigkeit von 1 m/s betrachtet worden. Durch die Windgeschwindigkeit wird die Lachenverdampfung bzw. -verdunstung beeinflusst und es ergeben sich unterschiedliche gasförmig freigesetzte Massen.

Da die mittlere Ausbreitungssituation als Bewertungsgrundlage herangezogen worden ist, wurde die freigesetzte gasförmige Masse bei einer Windgeschwindigkeit von 3 m/s mit den Informationen aus der ZEMA-Datenbank verglichen. Unter Berücksichtigung von spezifischen Anlagenauslegungen und Betriebserfahrungen wurden daraus die Leckflächen für die Bestimmung der Abstände auf der "Grünen Wiese" festgelegt.

Insgesamt ist bei der Bewertung der Berechnungsergebnisse zu berücksichtigen, dass die berechneten Entfernungen keine absoluten Werte darstellen, sondern von den ausgewählten Modellen und der Genauigkeit der Berechnungsverfahren abhängig sind und Berechnungen mit anderen Programmen Abweichungen ergeben können.

Übersicht zu Stoffdaten der betrachteten Stoffe

Tabelle 5

Stoff Siedetemperatur in °C Normdichte der Gasphase in kg/m3 Dampfdruck bei 20 °C in barabs ERPG-2/3 in ppm AEGL-2/3 60 Minuten; in ppm
I. Toxische Gefahren
Acrolein 53,0 2,50 0,29 0,15 / 1,5 0,1 / 1,4
Acrylnitril 77,9 2,37 0,11 35 / 75 - / -
Ammoniak -33,45 0,77 8,62 150 / 750 160 / 1100
Brom 58,75 7,13 0,23 0,5 / 5 0,24 / 8,5
Blausäure 25,75 1,21 0,84 10 / 25 7,1 / 15
Chlor -34,45 3,17 6,98 3 / 20 2 / 20
Chlorwasserstoff -85,05 1,63 42,10 20 / 150 22 / 100
Ethylenoxid 10,55 1,97 1,51 50 / 500 45 / 200
Fluor -188,15 1,7 --
(wird gasförmig
gerechnet)
5 / 20 5 / 13
Fluorwasserstoff 19,55 0,89 1,03 20 / 50 24 / 44
Formaldehyd
(> 90%)
-19,15 1,34 4,74 10 / 25 - / -
Methanol 64,65 1,43 0,13 1000 / 5000 2100 / 7900
Oleum 65% 63,85 3,3 0,1 10 / 30* - / -
Phosgen 7,65 4,42 1,65 0,2 / 1 0,3 / 0,75
Schwefelwasserstoff -60,35 1,54 16,64 30 / 100 28 / 50
Schwefeldioxid -10,15 2,92 3,3 3 / 15 - / -
II. Gefahren durch Wärmestrahlung
Benzol 80,15 3,49 0,1 - -
Ethylenoxid 10,55 1,97 1,51 - -
Methanol 64,65 1,43 0,13 - -
III. Gefahren durch Explosion
Propan -42,02 2,01 8,42 - -

* in mg/m3

In den folgenden Tabellen sind die Berechnungsergebnisse für die betrachteten Stoffe zusammengefasst.

Leckfläche in mm2/äquivalente Rohrnennweite Massenstrom in kg/s gesamte verdampfte Masse bei 1
m/s und 3 m/s in kg
Entfernung bei mittlerer Ausbreitungssituation ERPG-2 in m Entfernung bei ungünstiger Ausbreitungssituation ERPG-2 in m
Acrolein (Neuberechnung mit ERPG-2-Wert: 0,15 ppm)
80 / DN 10 0,76 288 / 355 1092 3423
178 / DN 15 1,71 629 / 781 1646 5515
314 / DN 20 3,04 1089 / 1363 2193 7683
490 / DN 25 4,76 1666 / 2102 2736 9865
804 / DN 32 7,79 2646 / 3374 3483 12831
1257 / DN 40 12,18 4010 / 5174 4336 16172
1963 / DN 50 19,03 6036 / 7906 5389 20522
Acrylnitril
80 / DN 10 0,75 111 / 169 79 111
178 / DN 15 1,68 243 / 371 104 159
314 / DN 20 2,98 423 / 649 130 225
490 / DN 25 4,66 653 / 1003 157 295
804 / DN 32 7,63 1052 / 1621 200 398
1257 / DN 40 11,93 1623 / 2506 253 524
1963 / DN 50 18,64 2501 / 3871 318 689
Ammoniak
80 / DN 10 1,26 450 / 480 175 334
178 / DN 15 2,85 1014 / 1076 252 501
314 / DN 20 5,06 1796 / 1900 326 674
490 / DN 25 7,90 2799 / 2954 398 850
804 / DN 32 12,95 4582 / 4824 500 1103
1257 / DN 40 20,23 7152 / 7513 615 1418
1963 / DN 50 31,61 11172 / 11710 756 1822
Leckfläche in mm2/äquivalente Rohrnennweite Massenstrom in kg/s Lachendurchmesser/Flammenhöhe
in m
Entfernung in m bei 1,6 kW/m2 Entfernung in m bei 3 kW/m2
Benzol (Brand)
80 / DN 10 0,78 3,9 / 7,7 21 14
178 / DN 15 1,76 5,2 / 9,9 29 19
314 / DN 20 3,11 7,0 / 12,8 38 25
490 / DN 25 4,87 8,7 / 15,5 46 30
804 / DN 32 7,97 11,1 / 19,2 59 38
1257 / DN 40 12,46 13,9 / 23,4 72 46
1963 / DN 50 19,46 17,4 / 28,4 89 57
Leckfläche in mm2/äquivalente Rohrnennweite Massenstrom in kg/s gesamte verdampfte Masse bei 1
m/s und 3 m/s in kg
Entfernung bei mittlerer Ausbreitungssituation ERPG-2 in m Entfernung bei ungünstiger Ausbreitungssituation ERPG-2 in m
Brom
80 / DN 10 1,47 38 / 74 163 334
178 / DN 15 3,31 82 / 161 255 559
314 / DN 20 5,89 143 / 280 350 808
490 / DN 25 9,2 219 / 431 448 1069
804 / DN 32 15,07 351 / 692 588 1451
1257 / DN 40 23,54 538 / 1063 751 1906
1963 / DN 50 36,78 824 / 1633 960 2485
Blausäure/Cyanwasserstoff
80 / DN 10 0,69 209 / 334 227 445
178 / DN 15 1,55 454 / 738 351 741
314 / DN 20 2,75 789 / 1293 476 1054
490 / DN 25 4,30 1214 / 2001 604 1384
804 / DN 32 7,05 1955 / 3242 785 1859
1257 / DN 40 11,02 3008 / 5013 994 2417
1963 / DN 50 17,22 4629 / 7747 1255 3138
Chlor
80 / DN 10 1,70 847 / 884 503 1543
178 / DN 15 3,83 1900 / 1978 780 2441
314 / DN 20 6,81 3371 / 3503 1061 3338
490 / DN 25 10,63 5255 / 5453 1343 4225
804 / DN 32 17,42 8599 / 8910 1738 5453
1257 / DN 40 27,22 13422 / 13888 2182 6823
1963 / DN 50 42,53 20953 / 21652 2730 8493
Chlorwasserstoff
80 / DN 10 4,09 2290 / 2348 541 1738
178 / DN 15 9,09 5061 / 5191 829 2572
314 / DN 20 16,04 8879 / 9111 1119 3373
490 / DN 25 25,03 13790 / 14056 1411 4158
804 / DN 32 41,07 22499 / 23107 1815 5233
1257 / DN 40 64,21 34973 / 35936 2260 6425
1963 / DN 50 100,28 54201 / 55744 2778 7848
Leckfläche in mm2/ äquivalente Rohrnennweite Massenstrom in kg/s gesamte verdampfte Masse bei 1m/s und 3 m/s in kg Entfernung bei mittlerer Ausbreitungssituation ERPG-2 in m Entfernung bei ungünstiger Ausbreitungssituation ERPG-2 in m
Ethylenoxid (Freisetzung)
80 / DN 10 0,78 184 / 193 96 147
178 / DN 15 1,75 411 / 430 113 220
314 / DN 20 3,11 729 / 760 146 313
490 / DN 25 4,86 1138 / 1184 179 411
804 / DN 32 7,96 1861 / 1933 227 556
1257 / DN 40 12,43 2903 / 3010 281 731
1963 / DN 50 19,43 4535 / 4695 349 961
Leckfläche in mm2/ äquivalente Rohrnennweite Massenstrom in kg/s Lachendurchmesser/ Flammenhöhe in m Entfernung in m bei 1,6 kW/m2 Entfernung in m bei 3 kW/m2
Ethylenoxid (Brand)
80 / DN 10 0,78 5,0 / 8,4 24 17
178 / DN 15 1,75 6,7 / 10,8 34 24
314 / DN 20 3,11 8,9 / 13,9 44 31
490 / DN 25 4,86 11,2 / 17,0 55 38
804 / DN 32 7,96 14,3 / 21,0 69 47
1257 / DN 40 12,43 17,9 / 25,6 85 59
1963 / DN 50 19,43 22,3 / 31,0 104 72


Leckfläche in mm2/äquivalente Rohrnennweite Massenstrom in kg/s Entfernung bei mittlerer Ausbreitungssituation ERPG-2 in m Entfernung bei ungünstiger Ausbreitungssituation ERPG-2 in m
Fluor
80 / DN 10 0,04 101 229
178 / DN 15 0,09 140 388
314 / DN 20 0,15 187 541
490 / DN 25 0,24 242 733
804 / DN 32 0,39 317 994
1257 / DN 40 0,61 406 1294
1963 / DN 50 0,96 522 1661
Hinweis: Fluor wird als gasförmig bei einem Betriebsüberdruck von 2 bar betrachtet.


Leckfläche in mm2/äquivalente Rohrnennweite Massenstrom in kg/s gesamte verdampfte Masse bei 1 m/s und 3 m/s in kg Entfernung bei mittlerer Ausbreitungssituation ERPG-2 in m Entfernung bei ungünstiger Ausbreitungssituation ERPG-2 in m
Fluorwasserstoff
80 / DN 10 0,82 184 / 185 112 315
178 / DN 15 1,84 413 / 415 177 537
314 / DN 20 3,27 735 / 737 245 783
490 / DN 25 5,1 1145 / 1149 315 1043
804 / DN 32 8,36 1877 / 1883 417 1434
1257 / DN 40 13,07 2935 / 2944 535 1901
1963 / DN 50 20,41 4583 / 4596 688 2514
Formaldehyd (> 90%)
80 / DN 10 0,84 365 / 384 232 684
178 / DN 15 1,88 813 / 854 362 1128
314 / DN 20 3,35 1445 / 1514 498 1595
490 / DN 25 5,23 2252 / 2356 636 2071
804 / DN 32 8,57 3685 / 3848 833 2745
1257 / DN 40 13,39 5752 / 5995 1062 3521
1963 / DN 50 20,92 8981 / 9343 1350 4487
Rohrnennweite Massenstrom in kg/s gesamte verdampfte Masse bei 1 m/s und 3 m/s in kg Entfernung bei mittlerer Ausbreitungssituation ERPG-2 in m Entfernung bei ungünstiger Ausbreitungssituation ERPG-2 in m
Methanol (Freisetzung)
DN 50 18,47 1940 / 2928 51 84
Hinweis: Die Berechnungen bei kleineren Leckflächen ergeben so geringe Entfernungen, dass sie mit den verwendeten Ausbreitungsmodellen nicht sinnvoll berechnet werden können.
Leckfläche in mm2/äquivalente Rohrnennweite Massenstrom in kg/s Lachendurchmesser/Flammenhöhe in m Entfernung in m bei 1,6 kW/m2 Entfernung in m bei 3 kW/m2
Methanol (Brand)
80 / DN 10 0,74 8,0 / 9,9 30 21
178 / DN 15 1,66 10,7 / 12,7 42 29
314 / DN 20 2,96 14,3 / 16,4 56 38
490 / DN 25 4,62 17,8 / 19,9 68 46
804 / DN 32 7,57 22,8 / 24,7 85 59
1257 / DN 40 11,82 28,5 / 30,0 105 72
1963 / DN 50 18,47 35,7 / 36,5 129 88
Leckfläche in mm2/äquivalente Rohrnennweite Massenstrom in kg/s gesamte verdampfte Masse bei 1m/s und 3 m/s in kg Entfernung bei mittlerer Ausbreitungssituation ERPG-2 in m Entfernung bei ungünstiger Ausbreitungssituation ERPG-2 in m
Oleum 65 % (Schwefeltrioxid)
80 / DN 10 1,14 122 / 271 195 336
178 / DN 15 2,58 264 / 589 299 558
314 / DN 20 4,58 455 / 1017 406 796
490 / DN 25 7,15 694 / 1553 513 1048
804 / DN 32 11,72 1108 / 2484 666 1422
1257 / DN 40 18,31 1691 / 3795 843 1872
1963 / DN 50 28,61 2581 / 5800 1067 2457
Phosgen
80 / DN 10 0.98 327 / 343 932 3161
178 / DN 15 2,2 730 / 764 1440 4992
314 / DN 20 3,91 1295 / 1351 1952 6761
490 / DN 25 6,11 2020 / 2104 2468 / 8453
804 / DN 32 10,02 3308 / 3438 3181 / 10740
1257 / DN 40 15,65 5162 / 5355 3991 / 13244
1963 / DN 50 24,46 8060 / 8349 4989 / 16268
Schwefelwasserstoff
80 / DN 10 2,07 1110 / 1145 310 818
178 / DN 15 4,66 2492 / 2566 465 1317 6
314 / DN 20 8,29 4427 / 4553 630 1824
490 / DN 25 12,95 6908 / 7098 797 2326
804 / DN 32 21,22 11309 / 11607 1032 3023
1257 / DN 40 33,16 17661 / 18109 1301 3811
1963 / DN 50 51,81 27582 / 28253 1637 4782
Schwefeldioxid
80 / DN 10 1,04 365 / 389 307 895
178 / DN 15 2,35 819 / 871 477 1468
314 / DN 20 4,18 1453 / 1539 651 2061
490 / DN 25 6,52 2261 / 2390 826 2666
804 / DN 32 10, 69 3700 / 3901 1076 3526
1257 / DN 40 16,71 5775 / 6075 1365 4520
1963 / DN 50 26,1 9009 / 9458 1726 5751


Leckfläche in mm2/äquivalente Rohrnennweite Massenstrom in kg/s untere Zünddistanz in m explosionsfähige Masse in kg Entfernung in m bei 0,03 bar Entfernung in m bei 0,01 bar
Propan (Explosion)
80 / DN 10 1,27 37 17 52 -
178 / DN 15 2,54 44 28 67 -
314 / DN 20 4,52 55 56 95 48
490 / DN 25 7,06 66 95 124 60
804 / DN 32 11,57 80 172 167 78
1257 / DN 40 18,07 96 293 219 100
1963 / DN 50 28,24 114 501 288 126

.

Berechnungsgrundlagen Anhang 3

1 Störfallauswirkungsbetrachtungen zur Freisetzung toxischer Gase als Bewertungsgrundlage für angemessene Abstände im Rahmen der Flächennutzungsplanung

1.1 Berechnungsmodelle

1.1.1 Freisetzung einer Flüssigkeit

Die aus einer Leckfläche austretende Flüssigkeitsmenge berechnet sich nach /L 1/ :

Hierbei ist µ der Ausflusszahl, pfl die FlÌssigkeitsdichte, a die Leckfläche, Δp der an der Leckstelle herrschende Überdruck, g die Erdbeschleunigung, h die Höhe der Flüssigkeitsoberfläche über dem Austrittspunkt der Flüssigkeit und ξ der Reibungsbeiwert. Die Ausflusszahl liegt im Bereich von 0,62 (scharfkantig) bis 0,92 (runde Düse) (siehe Kuchling /L 2/).

Der Reibungsbeiwert ist im vorliegenden Fall im Wesentlichen eine Funktion der Strahlkontraktion und berechnet sich nach /L 1/

Für die vorliegenden Berechnungen wird eine Ausflusszahl von 0,62 angenommen und eine mögliche Flüssigkeitssäule oberhalb der Freisetzungsstelle nicht berücksichtigt. Nach Sichtung weiterer Literatur ist bei den neuen Berechnungen für Acrolein und Chlorwasserstoff der Reibungsbeiwert nicht mehr berücksichtigt worden (ξ = 0).

1.1.2 Verdampfung bzw. Verdunstung einer Flüssigkeit aus einer Lache

Wird eine Flüssigkeit mit einer Temperatur oberhalb der Siedetemperatur freigesetzt, so wird ein Teil der Flüssigkeit spontan verdampfen. Mit der Annahme einer adiabaten Expansion ergibt sich für den spontan verdampften Flüssigkeitsanteil mg

Da die Wärmekapazität cp und die Verdampfungsenthalpie hv zwischen der Siede- und der Freisetzungstemperatur T0 deutlich variieren können, werden für die Stoffwerte Mittelwerte verwendet.

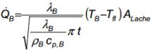
Die Restmenge der Flüssigphase wird sich, vernachlässigt man die mit der Luftströmung mitgerissenen Tröpfchen, als Lache auf dem Boden ausbreiten. Bei der oben beschriebenen Flashverdampfung wird der Flüssigkeit soviel Wärme entzogen, dass sie die Siedetemperatur annimmt. Der Sättigungsdampfdruck über der Flüssigkeitslache entspricht dem Umgebungsdruck und der freigesetzte Massenstrom ist von der Wärmezuführung aus der Umgebung bestimmt. Hierbei sind die folgenden Wärmeströme zu berücksichtigen:

Liegt die Siedetemperatur der Flüssigkeit oberhalb der Umgebungstemperatur, so wird sich die Flüssigkeit weiter abkühlen und es tritt ein Verdunstungsprozess ein. Bei einer Verdunstung ist der Sättigungsdampfdruck über der Flüssigkeitsoberfläche geringer als der Umgebungsdruck und der daraus resultierende Massenstrom kleiner als bei einer Verdampfung. Die treibende Kraft für die Verdunstung ist im Wesentlichen das Dampfdruckgefälle zwischen dem Sättigungsdampfdruck an der Flüssigkeitsoberfläche und dem Partialdruck in der Umgebungsluft, während bei der Verdampfung nur die zugeführte Wärmemenge für den Massenstrom ausschlaggebend ist.

Im Gegensatz zur Verdampfung ergibt sich bei einer Verdunstung aus der Energiebilanz zwischen zugeführter bzw. abgeführter Wärme aus der Umgebung und der für die Verdunstung erforderlichen Energie die zeitliche Änderung der Flüssigkeitstemperatur, die natürlich auch eine Veränderung des Dampfdrucks und somit auch des verdunsteten Massenstroms zu Folge hat. Soll dieser Effekt bei der Berechnung mit berücksichtigt werden, so muss eine instationäre Verdunstungsberechnung durchgeführt werden.

Die Änderung der Flüssigkeitstemperatur lässt sich aus folgender Energiebilanz berechnen:

1.1.3 Konvektiver Wärmestrom zwischen Luft und Flüssigkeit

Der konvektive Wärmestrom zwischen Luft und Flüssigkeitslache berechnet sich aus dem
Wärmeübergangskoeffizienten ± und der Temperaturdifferenz zwischen Luft und FlÌssigkeit.

Der Wärmeübergangskoeffizient wird aus dem Ansatz für eine mittlere Nusselt-Zahl bei einer längsangeströmten ebenen Platte in Abhängigkeit von der Windgeschwindigkeit w berechnet /L 3/:

Für die Oberströmlänge L wird der Lachendurchmesser angesetzt.

1.1.4 Wärmestrom aus dem Boden

Als Lösung der eindimensionalen Wärmeleitungsgleichung erhält man für den Wärmestrom aus dem Boden wie bei Lebuser, Schecker /L 4/ und Wörsdörfer /L 5/ dargestellt:

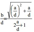
Der Wärmestrom aus dem Boden ist von der Zeitdauer abhängig, während der die siedende Flüssigkeit mit dem Boden Kontakt hat. Der Bereich, der zuerst mit der Flüssigkeit Kontakt hatte, ist schon abgekühlt und kann nur noch wenig Wärme abgeben, während der Außenbereich der sich ausbreitenden Lache auf einen warmen Boden trifft.

Es wird daher eine kreisförmige Lache vorausgesetzt, die in Kreisringe (äußerer Radius ri, innerer Radius ri-1) unterteilt wird. Für jeden Kreisring wird die Zeitdauer seit der Beaufschlagung mit Flüssigkeit (t - ti*) betrachtet und dementsprechend der Wärmestrom berechnet. Durch Summation aller Kreisringe wird anschließend der gesamte Wärmestrom zum Zeitpunkt t ermittelt:

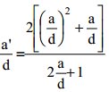
Wird die Ausbreitung der Lache nicht durch Umrandungen (Auffangwanne) begrenzt, so breitet sie sich unter der Einwirkung der Schwerkraft durch unterschiedliche Schichthöhen und gehemmt durch Oberflächenkräfte und Bodenreibung aus. Zur Berechnung des Radius einer sich radial ausbreitenden Flüssigkeit in Anlehnung an Briscoe und Shaw /L 6/ wird folgende Beziehung verwendet:

Im Rahmen der neuen Auswirkungsberechnungen für Acrolein, die bei der Überarbeitung des Leitfadens aufgrund veränderter ERPG-Werte erforderlich wurden, und für Chlorwasserstoff wird das komplexere Modell von Webber /L26/ eingesetzt.

Die Ausbreitung der Lache wird durch die minimale Schichtdicke begrenzt. Als Anhaltswerte können hierzu die bei Lebuser und Schecker /L 4/ zitierten Werte verwendet werden:

unebener sandiger Boden : 25 mm
ebener Sand, Kies: 10 mm
Beton, Stein: 5 mm

Bei den vorliegenden Berechnungen wird von einer Freisetzung auf Beton mit einer Schichtdicke von 5 mm ausgegangen.

1.1.5 Wärmestrahlung

Eine umfassende Berücksichtigung der Wärmeübertragung durch Strahlung muss nach Lebuser /L 7/ die Faktoren

beinhalten. Unter Berücksichtigung der entsprechenden Emissionskoeffizienten führt diese Betrachtung zu folgender Energiebilanz:

Für die solare Einstrahlung werden an wolkenlosen Sommertagen Werte von 0,9 bis 1,4 kW/ml (meistens 1 kW/ml) angegeben. Bei den vorliegenden Berechnungen wird von 1 kW/ml ausgegangen.

1.1.6 Verdunstungsmodell nach Mackay / Matsugu

Aus einer Stoffbilanz in der Grenzschicht oberhalb der Flüssigkeitslache lässt sich, wie bei Deutsch /L 8/ dargelegt, eine Beziehung für den verdunsteten Massenstrom herleiten:

Für die Bestimmung des Stoffübergangskoeffizienten k sind mehrere Ansätze bekannt. Die Formulierung von Mackay und Matsugu /L 7/ lautet:

hierbei ist die Windgeschwindigkeit w in [m/h] einzusetzen. Da bei der Verdunstung die Gaskonzentration in der Luft gering ist, wird für die kin. Viskosität½Luft der Stoffwert von Luft bei Umgebungstemperatur verwendet.

Der Vergleich dieses Modells mit experimentellen Untersuchungen an Methanollachen ergab bei Deutsch /L 8/ und bei Lebuser /L 7/ ausreichende bis große Stoffübergangskoeffizienten.

In der folgenden Abbildung ist der verdampfte Massenstrom einer Ammoniaklache als Ergebnis der instationären Berechnung bei einer Windgeschwindigkeit von 1 m/s dargestellt. Während der Freisetzungsdauer von 10 Minuten wird neben dem Massenstrom aus der Lachenverdampfung auch noch der Massenstrom aus der Flashverdampfung gasförmig freigesetzt. Danach verringert sich der Massenstrom durch die Abkühlung des Bodens und des damit verbundenen verringerten Wärmestroms in die Lache.

Bild 2: Verdampfter Massenstrom einer Ammoniaklache bei einer Windgeschwindigkeit von 1 m/s

1.1.7 Schwergasausbreitung

Für die Ausbreitungsberechnung von im Vergleich zu Luft schweren Gasen wird die VDI-Richtlinie 3783 Blatt 2 "Ausbreitung von störfallbedingten Freisetzungen schwerer Gase - Sicherheitsanalyse" /L 9/ herangezogen.

Schwere Gase werden nicht wie leichte oder dichteneutrale Gase durch die Bewegung der Luft weitergetragen und verteilt, sondern besitzen als Schwergaswolke eine ausgeprägte Eigendynamik. Durch den Dichtesprung am Rand der Gaswolke wird die turbulente Vermischung mit der Umgebungsluft und damit die Auflösung der Gaswolke behindert.

Durch die höhere Dichte breitet sich die Schwergaswolke in einer flachen, bodennahen Schicht aus. In diesem Bereich befinden sich Mauern, Hecken, Gebäude usw., die als Strömungshindernisse wirken. In der VDI-Richtlinie 3783 Blatt 2 sind die Ergebnisse von Windkanalversuchen mit schweren Gasen für eine Vielzahl von Ausbreitungsgebieten mit unterschiedlichen Hindernissen zusammengefasst worden.

Für die vorliegenden Berechnungen wird davon ausgegangen, dass die Gasfreisetzung auf einem Industriegelände mit Gebäuden und Anlagen erfolgt. Diese Ausbreitungssituation wird als eine Ausbreitung in ebenem Gelände mit gleichförmiger Bebauung, wie im folgenden Bild dargestellt, betrachtet.

Bild 3: Ausbreitung in ebenem Gelände mit gleichförmiger Bebauung

Die Abstände zwischen den Strömungshindernissen (Gebäude, Anlagen usw.) liegen bei den betrachteten Gasfreisetzungen im Bereich zwischen ca. 20 m und ca. 60 m.

Die Windkanalergebnisse decken das quellnahe Ausbreitungsgebiet ab, in dem die Gaskonzentration durch die Vermischung mit der Umgebungsluft bis auf etwa 1% der Quellkonzentration abgesunken ist. Bei der weiteren Ausbreitung wird davon ausgegangen (siehe auch VDI-Richtlinie 3783 Blatt 1 /L 10/), dass der Schwergascharakter nicht weiter berücksichtigt werden muss und die Ausbreitungsberechnung mit der VDI Richtlinie 3783 Blatt 1 für leichte und dichteneutrale Gase durchgeführt werden kann.

1.1.8 Leichtgasausbreitung

Für die Ausbreitungsberechnung von im Vergleich zu Luft dichteneutralen bis leichten Gasen wird die VDI-Richtlinie 3783 Blatt 1 "Ausbreitung von störfallbedingten Freisetzungen - Sicherheitsanalyse" /L 10/ herangezogen. Die Berechnungsgrundlage ist ein Gaußsches Ausbreitungsmodell. Es wird die Freisetzung einer Gaswolke in einer Höhe h über dem Erdboden angenommen, deren Mittelpunkt mit konstanter Windgeschwindigkeit fortbewegt wird.

Bei den vorliegenden Berechnungen wird von einer Freisetzung aus einer Lache auf Erdgleiche (h=0) ausgegangen.

Durch die Zumischung von Luft wird die Wolke laufend verdünnt, wobei ihr Gesamtvolumen wächst. Dieser Ausbreitungs- und Verdünnungsprozess der Wolke infolge der turbulenten Diffusion wird im Gaußmodell durch die "Streuung" wiedergegeben. Da die Streuungen aus experimentellen Untersuchungen in einem Bereich von 100 m bis 10.000 m bestimmt worden sind, ist bei Berechnungen außerhalb dieses Bereiches mit größeren Ungenauigkeiten zu rechnen.

In der VDI-Richtlinie 3783 Blatt 1 werden jeweils für eine ungünstige und eine mittlere Ausbreitungssituation Konzentrationen bzw. Dosen berechnet. Die Maximalwerte werden separat ausgegeben. Ungünstigste bzw. mittlere Ausbreitungssituationen entstehen durch unterschiedliche

Vertikale Temperaturschichtungen

Wie bei Schönbucher und Scheller /L 11/ ausgeführt, ist die Ausbildung atmosphärischer Turbulenz und somit auch die Ausbreitung von Gasen im Wesentlichen von der Temperaturschichtung innerhalb der planetarischen Grenzschicht bestimmt. Entspricht der vertikale Temperaturgradient in der Atmosphäre dem adiabaten Temperaturgradienten

dT 0,98 °C
= -
dZ 100 m,

wird eine derartige Temperaturschichtung als indifferent (neutral, adiabat) bezeichnet, weil sich ein Luftballen nach einer Steighöhe von 100 m infolge abnehmenden Druckes adiabat um -0,98 "C abgekühlt hat. Hierbei findet eine gute Durchmischung der Gaswolke mit der Atmosphäre statt. Ist die vertikale Temperaturabnahme größer als der adiabate Gradient, so liegt eine instabile (Iabile) Temperaturschichtung vor. Ein hierin adiabat aufsteigender Luftballen ist wärmer als seine Umgebung, sodass der Ballen infolge der immer größer werdenden Temperaturdifferenz gegenüber der umgebenden Atmosphäre beschleunigt nach oben wandert. Es entsteht eine besonders starke Turbulenz und folglich eine sehr rasche Mischung der Gaswolke mit der Luft. Dieser instabile Zustand tritt bei sehr starker Erwärmung bodennaher Luftschichten, z.B. an Sommernachmittagen ein und stellt einen Extremfall dar.

Ein weiterer Extremfall, die stabile Temperaturschichtung, liegt vor, wenn die vertikale Temperaturabnahme kleiner als die adiabate ist. Hierbei ist ein adiabat aufsteigender

Luftballen nach 100 m Höhe kälter als seine Umgebung, wodurch er einen zur Erdoberfläche gerichteten Abtrieb erfährt. Bei dieser Temperaturschichtung, die bei dT/dZ > 0 als Inversionsschichtung bezeichnet wird und die bevorzugt in den Wintermonaten über gefrorenem Boden und bei Windgeschwindigkeiten < 1 m/s eintreten kann, findet praktisch keine vertikale Durchmischung mehr statt.

In der VDI-Richtlinie 3783 Blatt 1 wird bei einer mittleren Ausbreitungssituation eine indifferente Temperaturschichtung ohne Inversion vorausgesetzt. Eine ungünstigste Ausbreitungssituation liegt nach der Richtlinie vor, wenn die Windgeschwindigkeit 1 m/s beträgt und eine Inversionswetterlage mit einer Sperrschicht vorliegt. Die Temperaturschichtung (labil, indifferent, stabil) wird dann variiert um die maximale Konzentration an einem Punkt zu erreichen.

Im vorliegenden Leitfaden wird eine ungünstige Ausbreitungssituation betrachtet, die durch eine stabile Temperaturschichtung, eine Windgeschwindigkeit von 1 m/s ohne Inversion (Sperrschicht) charakterisiert ist. Auf die Berücksichtigung einer Smog-Wetterlage mit Inversion wurde bewusst verzichtet, da die Berechnungsergebnisse im Fernbereich der Freisetzung im Wesentlichen von der Inversionshöhe abhängen, die aber nur grob in Abhängigkeit von der jeweils betrachteten Bebauungsstruktur und der vorhandenen Wärmequellen abgeschätzt werden kann.

Windgeschwindigkeit

Die Berechnungen mit der VDI-Richtlinie 3783 Blatt 1 können für Windgeschwindigkeiten zwischen 1 m/s und 10 m/s durchgeführt werden. Bei einer Windgeschwindigkeit von 1 m/s ist in der Regel die Konzentration am größten, d. h. es ist die ungünstigste Ausbreitungssituation bezüglich der Windgeschwindigkeit. Ist eine Quellüberhöhung, z.B. bei einem sehr leichten Gas zu berücksichtigen, können auch andere Windgeschwindigkeiten die ungünstigste Ausbreitungssituation ergeben.

Für die mittlere Ausbreitungssituation wird von einer Windgeschwindigkeit von 3 m/s und bei einer ungünstigen Situation von 1 m/s ausgegangen.

Effektive Quellhöhe

Wird ein Gas freigesetzt, dessen Dichte geringer als die Luftdichte (1,2 kg/ml) ist, oder treten Brandgase mit einer hohen Temperatur und somit geringer Dichte aus, so steigen diese Gase in der Atmosphäre auf. Die Gaswolke befindet sich dann oberhalb des Freisetzungsortes. Die effektive Quellhöhe setzt sich aus der Höhe des Freisetzungsortes und dieser Überhöhung zusammen und ist vom Abstand zum Freisetzungsort, der Temperaturschichtung und von der äquivalenten Wärmeemission abhängig.

Eine Quellüberhöhung ist bei den betrachteten Gefahrstoffen nicht zu berücksichtigen.

Bodenrauigkeit

Über die Bodenrauigkeit wird der Einfluss des Geländes auf die Turbulenz der Atmosphäre und somit auf die Verteilung der Gaswolke berücksichtigt. Es werden hierbei 5 effektive Rauigkeitslängen z0 für verschiedene Geländetypen festgelegt:

Tabelle 6

z0 [m] Beschreibung des Geländes
0,02 extrem glatt:

homogenes, extrem ebenes Gelände (keine Gebäude, Bäume, Büsche in weiterem Umkreis) und Wasserflächen

0,2 glatt:

homogenes, ebenes Gelände; nur einzelne Gebäude bzw. Bäume in weiterem Umkreis

0,5 wenig rau:

relativ ebenes Gelände, nur wenige Gebäude und mäßiger Bewuchs in weiterem Umkreis

0,8 mäßig rau:

unebenes Gelände; Ortschaften bzw. kleine Waldgebiete in weiterem Umkreis

1,2 sehr rau:

Stadt- und Waldgebiet

Aus dieser Aufteilung der Rauigkeitslänge ist zu entnehmen, dass die VDI-Richtlinie für die Berechnung von großräumigen Gasausbreitungen bestimmt ist. Die Turbulenzstruktur im bebauten Gelände (Stadt- oder Industriegebiet) wird aber maßgeblich durch die Anordnung der Gebäude und Anlagen bestimmt und kann nur annähernd durch die experimentell ermittelten Streuungen erfasst werden. Eine genauere Modellierung ist aber mit vertretbarem Aufwand nicht möglich, sodass zur Abschätzung der auftretenden Gaskonzentrationen trotz dieser Einschränkungen die vorgenannte VDI-Richtlinie herangezogen wird.

In den vorliegenden Berechnungen wird von einer sehr turbulenten Strömung in einem Stadtgebiet (z0 = 1,2 m) ausgegangen.

2 Störfallauswirkungsbetrachtungen zu Gaswolkenexplosionen als Bewertungsgrundlage für angemessene Abstände

2.1 Berechnungsmodelle

Bei einer gasförmigen Freisetzung aus einer verfahrenstechnischen Anlage kann davon ausgegangen werden, dass dies unter erhöhtem Druck erfolgt, sodass sich ein Freistrahl ausbildet. Durch die Einmischung von Luft wird die untere Explosionsgrenze nach einer relativ kurzen Entfernung unterschritten. Die explosionsfähige Masse innerhalb des Freistrahls ist so gering, dass die Auswirkungen der Explosion auf die nähere Umgebung der Anlage beschränkt bleibt und im Rahmen der vorliegenden Betrachtung vernachlässigt werden kann.

Große Gaswolken mit entsprechender explosionsfähiger Masse sind nur bei der Freisetzung von Gasen mit gegenüber Luft höherer Dichte zu erwarten. Dies können z.B. druckverflüssigte Gase (Propan, Butan usw.) als auch tiefkalt gelagerte Gase (z.B. Wasserstoff) sein. Bei Lachenverdunstungen sind keine großen explosionsfähigen Gaswolken zu erwarten.

Als typisches Szenario wird die Freisetzung von Propan aus der Flüssigphase betrachtet. Es wird konservativ davon ausgegangen, dass die gesamte freigesetzte Masse spontan verdampft und die Schwergaswolke bildet. Die Berechnung der Schwergasausbreitung erfolgt nach der VDI Richtlinie 3783 Blatt 2 für ein Gelände mit gleichförmiger Bebauung. Als Ergebnis dieser Berechnung wird die untere Zünddistanz und die explosionsfähige Masse für eine mittlere Ausbreitungssituation für die Explosionsberechnung verwendet.

Für die weiteren Berechnungen wird das speziell für Gaswolkenexplosionen entwickelte Explosionsmodell von Wiekema /L 12/ herangezogen. Mit diesem Modell können die auftretenden Spitzenüberdrücke in Abhängigkeit von der Entfernung zur gezündeten Gaswolke abgeschätzt werden. Hierbei wird berücksichtigt, dass bei einer abbrennenden Brenngaswolke eine deflagrative Flammenausbreitung vorausgesetzt werden kann.

S = 40 m/s : Δp Le

= 0.02
p0 Ra
S = 80 m/s : Δp Le

= 0.06
p0 Ra
S = 160 m/s : Δp Le

= 0.15
p0 Ra

Der Radius Ra wird vom Mittelpunkt der als Halbkugel idealisierten Gaswolke gemessen. Der Radius der Halbkugel beträgt r0 und wird aus der gesamten explosionsfähigen Masse und der unteren Explosionsgrenze berechnet.

Einflussparameter auf die Ergebnisse dieses Modells ist in erster Linie die Verbrennungsenergie der Gaswolke und die dadurch beeinflusste Flammengeschwindigkeit S. Die Verbrennungsenergie hängt im Wesentlichen vom Mischungsgrad zwischen Brenngas und Luft ab. Bei Giesbrecht u. a. /L 13/ wird der in der Praxis meist nicht vorliegende ideale stöchiometrische Mischungsgrad im Volumenvergrößerungsfaktor berücksichtigt, der im Idealfall 7 beträgt. Für Modellierungen von störfallbedingten, und somit unbestimmten Mischungsverhältnissen wird in Übereinstimmung mit /L 13/ der Volumenvergrößerungsfaktor 3,5 angesetzt. Hierdurch wird die unvollständige Verbrennung bei der Deflagration von Brenngasgemischwolken (ca. 30 % der Gesamtmenge) berücksichtigt. Die Berechnung der Flammengeschwindigkeit erfolgt nach Giesbrecht u. a. /L 14/.

Die Beziehung für die Flammengeschwindigkeit wurde aus den Messungen der Deflagration einer Propylen/Luft-Wolke nach einem Behälterbersten ermittelt. Die Flammengeschwindigkeit bei anderen Freisetzungsarten (Freistrahl, Abdampfen von Lache usw.) werden davon abweichen. Wegen des hohen Gehaltes an turbulenter Mischenergie wird die Flammengeschwindigkeit nach einem Behälterbersten jedoch als obere Abschätzung auch für andere Fälle betrachtet /L 14/.

3 Störfallauswirkungsbetrachtungen zu Flüssigkeitsbränden als Bewertungsgrundlage für angemessene Abstände im Rahmen der Flächennutzungsplanung

3.1 Berechnungsmodelle

Die bei einem Brand freiwerdende Wärme hängt im Wesentlichen von der Art des Brandmediums und der Größe des Brandherdes ab. Die Wärmeübertragung auf ein benachbartes Objekt erfolgt konvektiv und durch Strahlung, wobei der für die Flächennutzungsplanung betrachtete Abstand zwischen Anlage und gefährdetem Objekt so groß ist, dass nur die Wärmestrahlung betrachtet werden muss.

Die zeitlich gemittelte Bestrahlungsstärke E berechnet sich entsprechend dem konservativen Zylinderflammen-Strahlungsmodell

wobei ΦF,E die mittlere Einstrahlzahl, εF der Emissionsgrad der Flamme, Ã die Stefan-Boltzmann-Konstante und TF, TU die mittlere Flammen- bzw. Umgebungstemperatur bedeuten. Als Emissionsgrad einer Flamme wird der Wert 0,95 verwendet.

Die mittlere Einstrahlzahl ΦF,E zwischen einer Flamme und einem bestrahlten Empfängerflächenelement dAEkann durch

beschrieben werden. Bei einer näherungsweisen Betrachtung einer ebenen Flamme kann die mittlere Einstrahlzahl mit den im VDI-Wärmeatlas /L 3/ angegebenen Beziehungen einfach berechnet werden. Dieser Ansatz wird auch bei einer zylindrischen Flamme, z.B. auf einer kreisförmigen, brennenden Lache angewendet, da nur die sichtbare ebene Flammenfläche AF nach Seeger /L 15/ betrachtet wird:

Bild 4: Sichtbare strahlende Fläche bei einer zylindrischen Flamme

Wie in /L 16, L 17, L 18, L 19/ ausführlich diskutiert, ist durch die großen Temperaturschwankungsbreiten innerhalb der Flamme eines Kohlenwasserstoffbrandes und durch die schwierige Definition der Flammenfläche bei Experimenten eine mittlere Flammentemperatur nur mit großer Unsicherheit zu bestimmen. Während das Zylinderflammen-Strahlungsmodell /L 20/ für eine Flamme (Dieselkraftstoff) von einer mittleren Flammentemperatur von ca. 900 °C (mittlere spezifische Ausstrahlung: 100 kW/m2) ausgeht, wird bei OSRAMO II eine mittlere Temperatur der hot spots von 1056 °C und der Rußballen von 359 °C und eine durchmesserabhängige spezifische Ausstrahlung, z.B. von 36 kW/m2 bei d = 20 m, unterstellt /L 18, L 21/. Der Vergleich mit Messungen /L 16, L 17, L 21/ zeigt, dass bei kleineren Branddurchmessern von 1 - 5 m die obere Grenze der mittleren spezifischen Ausstrahlung von 100 kW/m2 erreicht wird und mit Zunahme des Branddurchmessers bzw. größerer Rußbildung die mittlere spezifische Ausstrahlung und damit auch die mittlere, effektive Flammentemperatur abnimmt.

Um eine konservative Abschätzung der emittierten Wärmestrahlung zu erhalten, wird in den Berechnungen unabhängig vom freigesetzten Gefahrstoff eine mittlere spezifische Ausstrahlung von 100 kW/m2 vorausgesetzt.

Neben der Flammentemperatur wird zur Berechnung des übertragenen Wärmestromes die Flammenfläche benötigt, die aus dem Flammendurchmesser und der zeitlich gemittelten Flammenhöhe gebildet wird.

Der Flammendurchmesser entspricht dem Lachendurchmesser und berechnet sich aus dem freigesetzten Gefahrstoffvolumen und der Schichtdicke der Lache. Für eine Beeinträchtigung von Gebäuden muss eine ausreichende Branddauer zu erwarten sein. Es wird daher von einer Branddauer von 10 Minuten ausgegangen. Um diese Branddauer zu erreichen muss die Schichtdicke der Lache entsprechend der Abbrandgeschwindigkeit ausreichend groß sein. Bei experimentellen Untersuchungen in Brandwannen bis 500 m2 wurden folgende Abbrandgeschwindigkeit gemessen /L 22/:

Pentan: 8 - 12 mm/min
Superbenzin: 4 - 5 mm/min
Dieselkraftstoff: 3 - 4 mm/min

Burgess u. a. /L 24/ entwickelten eine empirische Beziehung zur Berechnung der Abbrandgeschwindigkeit va aus dem Heizwert Hc und der Verdampfungsenthalpie hv

Für die Berechnungen wird von einer Branddauer von 10 Minuten ausgegangen, um eine Schädigung von Personen und Gebäuden in einiger Entfernung von der Flamme voraussetzen zu können. Die Schichtdicke der Lache ergibt sich somit aus dem freigesetzten Flüssigkeitsvolumen und der Abbrandgeschwindigkeit in Abhängigkeit vom Brandmedium.

Wie die Literaturübersicht in /L 16, L 17/ zeigt, variiert das experimentell oder theoretisch abgeleitete Flammenlänge-Flammendurchmesser-Verhältnis H/d von 0,2 bis 4,5 je nach Durchmesser der Brandfläche, dem Windeinfluss und dem Brennstoff. Außerdem wird darauf hingewiesen, dass die Flammenlänge bei gegebener Flammenbreite mit der Wärmestrahlung korreliert. Wird bei der Bestimmung der Flammenlänge der relativ kalte Anteil der Rußsäule der Flamme mit einbezogen, kann auch die Wärmestrahlung als integraler Mittelwert über die Zeit und die Fläche nur einen niedrigen Wert einnehmen. Wird hingegen der sichtbare Teil der Flamme als strahlende Fläche in Bezug genommen, so ergibt sich auch eine entsprechend hohe Wärmestrahlung. Daraus resultiert die Notwendigkeit, die in einer Literaturstelle angegebene Wärmestrahlung in Verbindung mit der Flammengeometrie zusammen zu verwenden.

Eine weitere Möglichkeit zur Abschätzung der Flammenhöhe H lässt sich aus den empirischen Korrelationen von Thomas /L 23/ und Moorhouse /L 25/ ableiten:

4 Formelzeichen

Die Formelzeichen in den verwendeten Gleichungen haben - soweit keine anderen Angaben gemacht worden sind - folgende Bedeutung:

ALache [m2] Fläche der Lache
AF[m2] strahlende Fläche
AE[m2] bestrahlte Fläche
a, a', b [m] Entfernungsangaben
cp,fl[kJ / (kg K)] spezifische Wärmekapazität der Flüssigkeit in der Lache
cp,0[kJ / (kg K)] spezifische Wärmekapazität der ausströmenden Flüssigkeit
cp, Luft[kJ / (kg K)] spezifische Wärmekapazität der Luft
cp,B[kJ / (kg K)] spezifische Wärmekapazität des Bodens
DN [mm] Nennweite einer Rohrleitung
d [m] Durchmesser der Lache oder Flammendurchmesser
DAB[m2/s] Diffusionskoeffzient Stoff a in Luft
eDW[kJ/kg] an die Umgebung abgegebene physikalische Arbeit = 60 kJ/kg
EGas[MJ] verfügbare Verbrennungsenergie = unterer Heizwert*Masse
F [-] Widerstandsterm
FL [-] laminarer Widerstandsterm
FT [-] turbulenter Widerstandsterm
g [m/sl] Erdbeschleunigung = 9.81 m/sl
HL [m] mittlere Schichtdicke oberhalb der minimalen Schichtdicke
H [m] Flammenhöhe
hv [kJ/kg spezifische Verdampfungsenthalpie
Hc [kJ/kg] unterer Heizwert
k [m/s] Stoffübergangskoeffizient
L [m] Überströmlänge
m [kg] Masse der Flüssigkeit in der Lache
m0 [kg/s] austretender Massenstrom
mgl[kg/s] verdunsteter Massenstrom
mg[kg/s] spontan verdampfter Massentrom
mfl[kg/s] Massenstrom der Flüssigphase
Nu [ ] Nusselt-Zahl
poa[Pa] Sättigungsdampfdruck an der Flüssigkeitsoberfläche
pu [Pa ] Umgebungsdruck
Pr [-] Prandtl-Zahl
QB[W] Wärmestrom aus dem Boden
QKonv[W] Wärmestrom durch Konvektion
QStr[W] Wärmestrom durch Strahlung
QVerd[W] Wärmestrom infolge Verdunstung
QSonne[kW/m2] Sonneneinstrahlung
Ra [m] Entfernung vom Mittelpunkt der Gaswolke
R [kJ / (kg K)] spezielle Gaskonstante
r0[m] Radius der Gaswolke als Halbkugel idealisiert
Re [ ] Reynolds-Zahl
r, ri [m] Radien der Lache
sL [-] Formfaktor
s [m] Abstand zwischen strahlender und bestrahlter Fläche
S [m/s] Flammengeschwindigkeit
S1 [m/s] laminare Flammengeschwindigkeit
T0 [K] Temperatur der ausströmenden Flüssigkeit
TLuft[K] Lufttemperatur
Tfl [K] Temperatur der Flüssigkeit in der Lache
TB[K Temperatur des Bodens
TS [K Siedetemperatur der Flüssigkeit
t [s] Zeit
ti* [s] Zeitpunkt, an dem ein Kreisring der Lache mit Flüssigkeit beaufschlagt wird
U [m/s] Radiale Ausbreitungsgeschwindigkeit der Lache
va [m/s] Abbrandgeschwindigkeit
Vfl[m3] Volumen der Flüssigkeit
V [m3/s] Volumenstrom in die Lache
w [m/s oder m/h] Windgeschwindigkeit
z0 [m] Rauigkeitslänge
z [m] Höhe über Erdgleiche

Griechische Symbole

β1, β2[°] Winkel zwischen strahlender und bestrahlter Fläche
α [W/m2K] Wärmeübergangskoeffizient Luft / Lache
αw[W/m2K] Wärmeübergangskoeffizient
υ [-] Volumenvergrößerungsfakto~
Δp / p0 [ ] Verhältnis Explosionsüberdruck zu Umgebungsdruck
ε [-] Emissionsverhältnis
εL [-] Faktor Lachenausbreitung

λLuft[W/(m K)
Wärmeleitfähigkeit der Luft

λB [W/(m K)]
Wärmeleitfähigkeit des Bodens
ρfl[kg/m3] Dichte der Flüssigkeit in der Lache
ρfl,0[kg/m3] Dichte der ausströmenden Flüssigkeit
ρB[kg/m3] Dichte des Bodens
νLuft[m2/s] kinematische Viskosität der Luft
ηLuft[pa/S] dynamische Viskosität der Luft
η [Pa/s] dynamische Viskosität der Flüssigkeit in der Lache
 σ [W m-2K-4] Stefan-Boltzmann Konstante

5 Literatur

/L 1/ R. Geike, A. Horn; Probleme bei Ausbreitungsrechnungen. TO Bd. 34 (1993) Nr. 4 /L 2/ Kuchling, Taschenbuch der Physik; Fachbuchverlag Leipzig-Köln, 1994

/L 3/ VDI-Wärmeatlas, 8. Auflage, Springer-Verlag Berlin Heidelberg New York, 1998

/L 4/ U. Lebuser, H.-G. Schecker, Verdampfung von Flüssigkeiten aus offenen Lachen. Dechema-Monographien, Band 197, 1987

/L 5/ K. Wörsdörfer, Beschreibung der thermodynamischen Vorgänge und Wechselwirkungen bei der Freisetzung von Ammoniak. Dissertation Bergische Universität Gesamthochschule Wuppertal; 1994

/L 6/ F. Briscoe, P. Shaw; Prog. Energy Comb. Sci. (1980)

/L 7/ U. Lebuser; Experimentelle und theoretische Untersuchungen zur Verdunstung aus Flüssigkeitslachen. Dissertation Uni. Dortmund 1989

/L 8/ S. Deutsch; Verdunstung aus Flüssigkeitslachen unter atmosphärischen Bedingungen. Dissertation Uni. Dortmund 1995

/L 9/ VDI-Richtlinie 3783 Blatt 2, Ausbreitung von störfallbedingten Freisetzungen schwerer Gase - Sicherheitsanalyse, Beuth Verlag GmbH

/L 10/ VDI-Richtlinie 3783 Blatt 1, Ausbreitung von störfallbedingten Freisetzungen - Sicherheitsanalyse, Beuth Verlag GmbH

/L 11/ V. Scheller, A. Schönbucher: Ausbreitung von Abgasfahnen. Chem.-Ing.-Tech. 53 (1981) Nr. 5, S. 320-334

/L 12/ B. J. Wiekema, Vapour cloud explosion model. Journal of Harzardous Materials, 3 (1980)

/L 13/ H. Giesbrecht, K. Hess, W. Leuckel, B. Maurer; Analyse der potentiellen Explosionswirkung von kurzzeitig in die Atmosphäre freigesetzten Brenngasmengen -Teil 1, Chemie-Ing.-Tech. 52 (1980)

/L 14/ H. Giesbrecht, G. Hemmer, K. Hess, W. Leuckel, A. Stoeckel, Analyse der potentiellen Explosionswirkung von kurzzeitig in die Atmosphäre freigesetzten Brenngasmengen - Teil 2., Chemie-Ing.-Tech. 53 (1981)

/L 15/ P. G. Seeger; Wärmeübertragung durch Strahlung und Konvektion bei Bränden in Flüssiggaslagern. VFDB 1/87, S. 7-12.

/L 16/ R. Becker, W. Huth, E. Müller: Lagerung brennbarer Stoffe. TO Bd. 32 (1991), Nr. 4, S. 142-149

/L 17/ W. Brötz, A. Schönbucher: Wärme- und Stofftransport in Tankflammen. Chem.-Ing.- Tech. 50 (1978), Nr. 8, S.573-585

/L 18/ Ch. Balluff, W. Brötz, D. Göck, N. Schieß, A. Schönbucher: Erforschung von Schadenfeuern flüssiger Kohlenwasserstoffe als Beitrag zur Sicherheit von Chemieanlagen. Chem.-Ing.-Tech. 57 (1985) Nr. 10, S. 823-834

/L 19/ D. Göck, R. Fiala, X. Zhang, A. Schönbucher: Das experimentell validierte Ballen-Strahlungsmodell OSRAMO. Teil 1, TO 33 (1992) S. 137-140 sowie Teil 2, TO 33 (1992) S 219-223

/L 20/ G. Seeger: Wärmeübertragung durch Strahlung und Konvektion bei Tankbränden als Basis für brandschutztechnische Maßnahmen, gwfgas/erdgas 120 (1979) 1, S. 25-30.

/L 21/ D. Göck: Experimentell fundierte Ballenstrahlungsmodelle zur Bestimmung von Sicherheitsabständen bei großen Poolflammen flüssiger Kohlenwasserstoffe. Diss. Uni. Stuttgart, 1988

/L 22/ Untersuchungen zur Optimierung des Brandschutzes in Großtanklägern, DGMK Berichte, Forschungsbericht 230-01,1985

/L 23/ P. H. Thomas, The size of Flames from natural fires. 9th Symp. (Int.) on Combustion, The Combustion Institute, Pittsburgh 1963

/L 24/ D. Burgess, M. Hertzberg. Heat Transfer in Flames, S. 413, (Eds. Afgan, N.,- Beer, J.) John Wiley, New York 1974

/L 25/ J. Moorhouse. Scaling criteria for pool fires derived from large scale experiments. I. Chem. Eng. Symp. Ser., Nr. 71 (1982)

/L26/ Webber, D.M.: Source Terms. J. Loss Prev. Process Ind., Vol. 4, 5-15, (1991)

.

Beurteilungsgrundlagen physikalischer und toxischer Endpunkte Anhang 4

1 Auswahl von Konzentrationsleitwerten für die Ermittlung von Sicherheitsabständen in der Bauleitplanung

1.1 ERPG-Werte: Emergency Response Planning Guidelines

Konzentrationsleitwerte, die für die Notfallplanung im Störfall dienen. Sie sind keine Grenzwerte für routinemäßige Arbeiten, sie können auch nicht als Grundlage einer quantitativen stofflichen Risikobewertung dienen. Die nachfolgende Definition ist wörtlich den amerikanischen Unterlagen entnommen 39:

ERPG-1:

≫Die maximale luftgetragene Konzentration, bei der davon ausgegangen wird, dass unterhalb dieses Wertes beinahe sämtliche Personen bis zu einer Stunde lang exponiert werden könnten, ohne dass sie unter mehr als leichten, vorübergehend nachteiligen gesundheitlichen Auswirkungen leiden bzw. ohne dass sie einen eindeutigen definierten unangenehmen Geruch wahrnehmen.≪

ERPG-2:

≫Die maximale luftgetragene Konzentration, bei der davon ausgegangen wird, dass unterhalb dieses Wertes beinahe sämtliche Personen bis zu einer Stunde lang exponiert werden könnten, ohne dass sie unter irreversiblen oder sonstigen schwerwiegenden gesundheitlichen Auswirkungen oder Symptomen leiden bzw. solche entwickeln, die die Fähigkeit einer Person beeinträchtigen könnten, Schutzmaßnahmen zu ergreifen.≪

ERPG-3:

≫Die maximale luftgetragene Konzentration, bei der davon ausgegangen wird, dass unterhalb dieses Wertes beinahe sämtliche Personen bis zu einer Stunde lang exponiert werden könnten, ohne dass sie unter lebensbedrohenden gesundheitlichen Auswirkungen leiden bzw. solche entwickeln.≪

Das für die Begründung der ERPG-Werte gewählte Modell bezieht sich auf eine Expositionszeit von einer Stunde. Die Bevorzugung eines Zeitraumes von einer Stunde beruht auf folgenden Erfahrungen bei Störfällen:

Aus der Abstufung der Werte, die stoffspezifisch nach dem toxikologischen Gesamtbild festgelegt werden, kann auf die Gefährlichkeit des betrachteten Stoffes geschlossen werden. Die ERPG-Werte orientieren sich bisher vorrangig am akuten Vergiftungsverlauf unter besonderer Berücksichtigung von Reizschwellen. Kanzerogene und mutagene Wirkungen bleiben weitgehend außer Betracht, da man von der Annahme ausgeht, dass die kurzzeitigen (erhöhten) Konzentrationen bei Störfällen diese Spätfolgen nicht verursachen.

1.2 Definition § 2 StörfallV

7. Störfall:

ein Ereignis, wie z.B. eine Emission, ein Brand oder eine Explosion größeren Ausmaßes, das sich aus einer Störung des bestimmungsgemäßen Betriebs in einem unter diese Verordnung fallenden Betriebsbereich oder in einer unter diese Verordnung fallenden Anlage ergibt, das unmittelbar oder später innerhalb oder außerhalb des Betriebsbereichs oder der Anlage zu einer ernsten Gefahr oder zu Sachschäden nach Anhang VI Teil 1 Ziffer I Nr. 4 führt und bei dem ein oder mehrere gefährliche Stoffe beteiligt sind;

8. ernste Gefahr: eine Gefahr, bei der

  1. das Leben von Menschen bedroht wird oder schwerwiegende Gesundheitsbeeinträchtigungen von Menschen zu befürchten sind,
  2. die Gesundheit einer großen Zahl von Menschen beeinträchtigt werden kann oder
  3. die Umwelt, insbesondere Tiere und Pflanzen, der Boden, das Wasser, die Atmosphäre sowie Kultur- oder sonstige Sachgüter geschädigt werden können, falls durch eine Veränderung ihres Bestandes oder ihrer Nutzbarkeit das Gemeinwohl beeinträchtigt würde;

1.3 Stellungnahme

Aus der Analyse der Begriffsidentitäten von StörfallV und ERPG-Definitionen kann geschlossen werden, dass die Beeinträchtigung einer großen Anzahl von Menschen i. S. des § 2 Nr. 4 b StörfallV für die Auswahl des relevanten Konzentrationsleitwertes maßgeblich ist. In der Regel wird bei der Bauleitplanung ein größeres Gebiet geplant, in dem sich mehrere Menschen aufhalten. Damit ergibt sich eine weitgehende Definitionsüberschneidung mit dem ERPG-2-Wert, der für die Bauleitplanung verwendet werden soll.

ERPG-3 markiert die Schwelle der "lebensbedrohenden gesundheitlichen Auswirkungen", die nach § 2 Nr. 4a für einen einzelnen Menschen maßgeblich ist (Nr. 2.7 Vollzugshilfe zur StörfallV, BMU (Hrsg.), Bonn 2004):

2.7 Ernste Gefahr

Ernste Gefahren können sowohl durch Ereignisse größeren Ausmaßes als auch durch andere Ereignisse unmittelbar, z.B. durch Emissionen, Brände oder Explosionen, oder zu einem späteren Zeitpunkt, z.B. durch verzögerte krebserzeugende, fortpflanzungsgefährdende oder umweltgefährdende Wirkung von gefährlichen Stoffen im Sinne der Störfall-Verordnung, hervorgerufen werden.

In der Begriffsbestimmung der ernsten Gefahr in § 2 Nr. 4 der Störfall-Verordnung wird unterschieden zwischen einer Gefahr für das Leben oder die Gesundheit von Menschen und einer Gefahr für die Umwelt. Eine Gefahr im Sinne von § 2 Nr. 4 Buchstabe a oder b kann für Menschen innerhalb und außerhalb des Betriebsbereichs oder der Anlage eintreten, also auch für die Beschäftigten.

2.7.1 Menschen (Leben, Gesundheit)

Für das Vorliegen einer ernsten Gefahr im Sinne des § 2 Nr. 4 Buchstabe a reicht es aus, wenn das Leben nur eines Menschen konkret gefährdet ist oder schwerwiegende Gesundheitsbeeinträchtigungen für einen Menschen zu befürchten sind.

Schwerwiegende Gesundheitsbeeinträchtigungen sind z.B. der Verlust von Körperteilen oder Körperfunktionen (z.B. Sehfähigkeit oder Gehör), die dauernde Entstellung oder eine unheilbare oder erst nach längerer Zeit heilbare Verletzung oder Erkrankung.

Nach § 2 Nr. 4 Buchstabe b reicht auch eine nicht schwerwiegende Gesundheitsbeeinträchtigung für das Vorliegen einer ernsten Gefahr aus, wenn eine größere Zahl von Menschen betroffen ist.

Da jede Gesundheitsbeeinträchtigung ausreicht, muss diese von der bloßen Belästigung abgegrenzt sein. Die Schwelle zur Gesundheitsbeeinträchtigung wird überschritten, wenn nicht nur das körperliche Wohlbefinden beeinträchtigt wird (z.B. durch Wahrnehmen eines unangenehmen Geruchs), sondern bestimmte Körperfunktionen ausgelöst oder gehemmt werden (z.B. durch eine Emission unmittelbar ausgelöster Brechreiz, Erbrechen). Für die Bewertung, ob eine Zahl von beeinträchtigten Personen als groß anzusehen ist, ist in erster Linie die Schwere der Gesundheitsbeeinträchtigung maßgebend. Bei größeren Gesundheitsbeeinträchtigungen, die an die Grenze zu schwerwiegenden Gesundheitsbeeinträchtigungen heranreichen, kann daher auch bei einer geringeren Zahl von betroffenen Personen eine ernste Gefahr vorliegen.

2 Grundlagen für die Festlegung von Toleranzbelastungswerten für Brände (Wärmestrahlung) und Explosionen (Spitzendruck) bei der Flächennutzungsplanung

Aus der Analyse der Begriffsdefinitionen der StörfallV kann geschlossen werden, dass die Beeinträchtigung einer großen Anzahl von Menschen i. S. des § 2 Nr. 4 b für die Auswahl der relevanten Toleranzwerte für die Belastung durch Wärmestrahlung und Explosionsdruckwirkungen maßgeblich ist. In der Regel wird bei der Bauleitplanung ein größeres Gebiet geplant, in dem sich mehrere Menschen aufhalten.

Für die Wärmestrahlung ist mit einem Grenzwert von 1,6 kW/m2 die Grenze des Beginns nachteiliger Wirkungen für Menschen erreicht (s. Kap. 4 Anhang 3).

Bei den Wirkungen von Explosionen ist eine Grenze zu irreversiblen Gesundheitsschäden bei 0,175 bar Spitzenüberdruck für den Trommelfellriss gesetzt. Schäden durch z.B. zersplittertes Glas sind schon ab 0,05 bar (für 100 % Bruch) zu erwarten (s. Kap. 5 Anhang 3). Als mittlerer Grenzwert könnte für die Flächennutzungsplanung 0,1 bar gesetzt werden.

Eine Bestrahlungsstärke von 10,5 kW/m2(40 s) und ein Explosionsspitzendruck von 1,85 bar markiert die Schwelle der "lebensbedrohenden gesundheitlichen Auswirkungen", die nach § 2 Nr. 4a für einen einzelnen Menschen maßgeblich ist (s. oben).

3 Übersicht Schwellenwerte für Wärmestrahlung, Explosionsdruck in Europa 40

Threshold levels used in Belgium. (Schwellenwerte in Belgien)

Radiation (Wärmestrahlung)
(kW/m2)
Blast
(Explosionsdruck)
(mbar)
Missiles
(Trümmerwurf)
Vigilance zone1
(Sicherheitszone)
---- ---- ----
Risk zone2
(Risikozone)
2,5 during 30 s 20 ----

1. Area in which reversible effects are observed. (Gebiet, in welchem reversible Effekte beobachtet werden.)
2. Area in which specific measures must be taken in order to limit the accidents consequences, the time factor taken into account.(Gebiet, in welchem unter Berücksichtigung der Einwirkzeit spezifische Maßnahmen zur Begrenzung der Unfallfolgen getroffen werden müssen.)

Threshold levels used in France. (Schwellenwerte in Frankreich)

Radiation2
(kW/m2)
Blast
(mbar)
Missiles
Irreversible effects 3 50 ----
Lethal effects 5 140 ----
Risk of domino effects1 8 for nonprotected structures
(für nichtgeschützte Strukturen)

12 for protected structures
(für geschützte Strukturen)

200 for significant damage
(für bedeutende Schäden)

350 for heavy damage
(für schwere Schäden)

500 mbar for very heavy damage
(für sehr schwere Schäden)

----

1. These thresholds are used by INERIS 41 but are nonofficial. (Diese Schwellenwerte werden bei INERIS benutzt, sind jedoch nicht offiziell.)
2. When exposure time is longer than 60 s. (Wenn die Einwirkungsdauer länger als 60s ist.)

Threshold levels used in Italy'.(Schwellenwerte in Italien)

Radiation
(kW/m2)
Blast
(mbar)
Missiles
Reversible effects
(Reversible Effekte)
3 ----
Irreversible effects
(Irreversible Effekte)
5 ----
Start of lethality
(Beginn der Letalität)
7 140 ----
High lethality
(Hohe Letalität)
12.5 300 ----
Risk of domino effects
(Risiko des Dominoeffekts)
12.5 300 ----

1. Italy gives also the following threshold levels for nonstationary thermal radiation (the case of fireball) (Italien hat ebenso folgende Schwellenwerte für nichtstationäre Wärmestrahlung (im Fall eines Feuerballs)): 125 kJ/m2(reversible effects (reversible Effekte)), 200 kJ/m2(irreversible effects (Irreversible Effekte)), 350 kJ/m2(start of lethality (Beginn der Lethalität)), fireball radius (Radius des Feuerballs) (high lethality (hohe Lethalität)), 200-800 m (domino effects (Dominoeffekte)). And for instantaneous thermal radiation (the case of flashfire) (Und für unmittelbare Wärmestrahlung (im Fall einer kurzfristigen Wärmestrahlung): 1/2 x LFL (start of lethality (Beginn der Lethalität)) and LFL (high lethality (Hohe Lethalität)).

Threshold levels used in Spain. (Schwellenwerte in Spanien)

Radiation (Wärmestrahlung)2
(kW/m)
Blast (Explosionsdruck)
(mbar)
Missiles
(Trümmerwurf)
Alert zone1 (Alarmzone) 3 50 Distance of 99,9 % of missiles
(Entfernung zu 99,9 % des Trümmerwurfs)
Intervention zone2(Interventionszone) 5 125 Distance of 95 % of missiles
(Entfernung zu 95 % des Trümmerwurfs)
Domino effects zone (Domino-Effekt-Zone) 12 for unprotected equipment
(für ungeschützte
Anlagenteile)
37 for protected equipment
(für geschützte Anlagenteile)
100 for buildings
(für Gebäude)
160 for atmospheric equipment
(für Anlagenteile unter Normaldruck)
350 for pressurized equipment
(für Anlagenteile unter Überdruck)
Distance of 100 % of missiles
(Entfernung zu
100% des
Trümmerwurfs)

1. The consequences of accidents are perceptible to the population but do not justify the intervention, except for critical groups. (Die Konsequenzen eines Unfalls sind für die Bevölkerung wahrnehmbar, rechtfertigen jedoch nicht, außer für kritische Personengruppen eine Intervention.)
2. The consequences of accidents give a level of damage that justifies the immediate intervention. (Die Konsequenzen des Unfalls stellen einen Schadensgrad dar, der eine sofortige Intervention rechtfertigt.)

Definition of the levels of effects (Definition der Effektschwellen)

Level of effects Radiation
(Wärmestrahlung)
(kW/m2)
Non Stationary radiation
(nichtstationäre
Wärmestrahlung)
(kJ/m2)
Blast
(Explosionsdruck)
(mbar)
Missiles1
(Trümmerwurf)
(%)
Comments
(Kommentare)
1 < 3 0-124 0-19 > 99.91 small or non effects (kleine oder keine Effekte)
2 3-4.9 125-199 20-49 99.9-96 Reversible effects
(Reversible Effekte)
3 5-7.9 200-349 50-299 d 95 Irreversible effects
(irreversible Effekte)
4 k 8 k 350
≥ 300
100 Lethality and/or risk of domino effects
(Lethalität und/ oder Risiko eines Dominoeffektes)

1. Range distance of the indicated percentage of missiles. (Abstandsbereiche des angezeigten Prozentsatzes des Trümmerwurfes.)

4 Belastungen durch Wärmestrahlung 42

Benötigte Angaben:

Auftreffende flächenspezifische

Wärmeleistung (Bestrahlungsstärke): P22Str in kW/m2
Dauer der Einwirkung: tStr in s

Durch die auftreffende Wärmestrahlung kommt es zur Erwärmung der Oberflächen. Bei ausreichender Intensität und Dauer kann es bei brennbaren Stoffen in der Folge zur Selbstentzündung und zu Bränden kommen. Die Intensität der Wärmestrahlung (flächenspezifische Leistung) wird als Bestrahlungsstärke bezeichnet.

Die Selbstentzündungsbedingungen ohne Schutzmaßnahmen und andere Effekte sind in der folgenden Tabelle zusammengestellt.

Tabelle 7

Wirkung/Entzündung Bestrahlungsstärke (kW/m2) Einwirkungsdauer (s)
Maximale Sonneneinstrahlung 1,3 -
Platzen von Fensterscheiben 5,0 6
Kunstfaser 7,0 sofort
Papier 43 8,0

13,0

5

8

Schmieröl an Maschinen 9,2 -
Anstrichfarbe an Anlagenteilen 12,2 -
Baumwollgewebe 24,0 900
Ungestrichene Holzfaserplatte 25,0 900
Ungestrichenes Holz 32,0 900
Stahlkonstruktionen versagen 42,0 900
Duroplastischer Kunststoff 84,0 900

Die hinsichtlich der Zulässigkeit kritischen Bestrahlungsstärken beliebiger Dauer P22sind in der folgenden Tabelle angegeben.

Tabelle 8

Zu schützendes Objekt Kritische Bestrahlungsstärke (kW/m2)
Grenze für nachteilige Wirkungen 1,6
Empfindliche Gebäude:

Krankenhäuser, Altenheime, Schulen, Wohnhäuser

2,0
Öffentliche Straßen 4,5
Grenze für wahrscheinliche Feuerübertragung 8,0
Ungekühlte Lagertanks 10,0
Fabrikgebäude: Leitwarten, Werkstätten 12,6
Gekühlte Lagertanks 37,8

Bei Explosionen liegt die Dauer der Einwirkung der Strahlung im Bereich von 0,5 bis 15 s. Deshalb ist es von Interesse, wie die für beliebig lange Einwirkungsdauern angegebenen kritischen Bestrahlungsstärken zur Beurteilung der Belastungen durch die Strahlung bei Explosionen herangezogen werden können.

Wenn man annimmt, dass die Selbstentzündung beim Erreichen einer bestimmten Temperatur der Oberfläche stattfindet und dass der Zeitverlauf annähernd durch eine Exponentialfunktion mit einer Zeitkonstanten τ beschrieben werden kann, gilt auch:

(1)

Ein Anhaltspunkt für die Bestimmung der Zeitkonstanten kann aus der weiter obenstehenden Tabelle für die Selbstentzündung von Papier gewonnen werden.

Die Bestrahlungsstärke P" wird gleich derjenigen bei t = 540 s gesetzt. Da die Bestrahlungsstärke bei 8 s bekannt ist, erhält man eine Bestimmungsgleichung für die Zeitkonstante:

Daraus ergibt sich τ = 8,37 s. Deshalb wird vorsichtig τ = 8 s festgelegt.

(3)

Im allgemeinen kann man für t die Dauer des Feuerballs einer Explosion tfire einsetzen.

(3)

Warnung

Bei Explosionen von Freistrahlen und Schwergaswolken (VCE) ist diese Abschätzung nicht plausibel, weil nach der Explosion mindestens die restliche Stoffmenge oberhalb der oberen Explosionsgrenze verbrennt und in Fällen mit kontinuierlicher Stofffreisetzung ein Folgebrand entsteht.

Falls die ungeschützte menschliche Haut betroffen ist, können unterschiedlich schwere Verletzungen (Verbrennungen) bis zum Tod bewirkt werden.

Die Abhängigkeit der Zeitdauer tStrbis zum Erreichen der Schmerzgrenze von der Bestrahlungsstärke P"Str ist in der folgenden Tabelle enthalten.

Tabelle 9

P"Str in kW/m2 1,7 2,3 2,9 4,7 6,9 9,5 11,7 19,9
tStr in s 60 40 30 16 9 6 4 2

Bei einer Bestrahlungsstärke von 10,5 kW/m2kommt es nach 10 bis 12 s zur Blasenbildung auf der Haut. Der Tod tritt bei dieser Bestrahlungsstärke nach etwa 40 s ein.

Bis zu einer Bestrahlungsstärke von 5 kW/m2 ist ein kurzfristiger Feuerwehreinsatz möglich. In besonderen Schutzanzügen sind auch noch Belastungen mit 8 kW/m2zulässig.

Für Menschen kann eine Bestrahlungsstärke von 1,6 kW/ml als Grenze für nachteilige Wirkungen betrachtet werden.

5 Belastungen durch Druckwirkungen 44

Benötigte Angaben:

Positiver Spitzenüberdruck der Stoßwelle in Ausbreitungsrichtung: Δp in bar

Die Schäden durch die Druckwirkungen können vereinfacht anhand des positiven Spitzenüberdrucks der Stoßwelle in Ausbreitungsrichtung abgeschätzt werden. Dabei wird außer Acht gelassen, dass auch die Dauer und Form des Druckimpulses im Zeitverlauf eine Rolle spielen und dass auch Schäden durch den dem Überdruck folgenden Unterdruck, der erheblich länger anhält, verursacht werden können.

Die folgenden Angaben zur Abhängigkeit zwischen Schäden und Spitzenüberdrücken sind hauptsächlich eine Auswahl aus der umfangreicheren Zusammenstellung in einem für das UBa von der BAM erarbeiteten Forschungsbericht 45.

Anmerkung: In der Zusammenstellung im Bericht wurden die senkrecht reflektierten Stoßdrücke angegeben. Davon abweichend werden hier zweckmäßigerweise die halben Werte, die etwa dem Spitzenüberdruck der ungestörten Stoßwelle in Ausbreitungsrichtung entsprechen, verwendet.

Glasscheiben werden schon bei geringen Spitzenüberdrücken zerstört. Die folgende Tabelle gibt einen Überblick.

Tabelle 10

Schadensbild Δp in bar Schadensbild Δp in bar
Gelegentlicher Bruch großer unter Spannung stehender Scheiben 0,002 Bruch von 10 % der Scheiben 0,01
Glasbruch durch Schallwellen 0,003 Bruch von 75 % der Scheiben 0,03
Bruch kleiner unter Spannung stehender Scheiben 0,005 Bruch von 100 % der Scheiben 0,05

Den Zusammenhang zwischen Schäden an Häusern und den Spitzenüberdrücken veranschaulicht die nächste Tabelle.

Tabelle 11

Schadensbild Δp in bar Schadensbild Δp in bar
Schäden an Fensterrahmen, Türen, Dächern 0,005 Zerstörung von Wänden aus Ziegel- und Schlackesteinen 0,13
Geringe Schäden an Dächern 0,020 Zerstörung von 20 bis 30 cm dicken Ziegelsteinausfachungen 0,15
Gelegentliche Beschädigung von Fensterrahmen, Risse im Mauerputz 0,035 Mittlere Schäden an Fachwerkgebäuden 0,20
Zerstörung der Dächer und Wände von Holzhäusern 0,06 Zerstörung 24er Mauerwerk 0,25
Zerstörung Seitenwandverkleidungen 0,075 Schwere Schäden an Fachwerkgebäuden 0,31
Beschädigung des Außenputzes 0,085 Nahezu vollständige Zerstörung üblicher Gebäude 0,40
Zerstörung gemauerter Wände 0,10 Zerstörung 50er Mauerwerk 0,50

Den Zusammenhang zwischen Schäden an Anlagenteilen und den Spitzenüberdrücken zeigt eine weitere Tabelle.

Tabelle 12

Schadensbild Δ in bar Schadensbild Δp in bar
Stahlblechplatten verbeult 0,075 Eisenbahnwagen umgeworfen 0,46
Stahlrahmen von Skelettgebäuden leicht verformt 0,095 99 % Schaden an Tanks mit konischem Dach 0,55
Öltanks aufgerissen 0,215 Beladene Güterwagen umgestürzt 0,60
Zerstörung von Stahlbeton- wänden 0,35 Beladene Güterwagen zerstört, 99 % Schaden an horizontal gelagerten Druckkesseln, chemischen Reaktoren und Wärmetauschern 0,75

Den Zusammenhang zwischen Personenschäden und den Spitzenüberdrücken enthält die abschließende Tabelle.

Tabelle 13

Schadensbild Δp in bar Schadensbild Δp in bar
Unangenehme Knallwirkung tiefer Frequenz 0,0015 Untere Grenze Trommelfellriss 0,175
Sehr lauter Knall 0,003 Untere Grenze für Lungenschäden 0,85
Umstoßen von Personen 0,010 Untere Grenze für ernste Lungenschäden 1,85
Druckbezogener Grenzwert für Schäden durch Spreng- und Wurfstücke 0,015 Untere Letalitätsgrenze 2,05

Im Zusammenhang mit Personenschäden ist zu beachten, dass auch Glassplitter, Sprengstücke, Wurfstücke und Trümmer schwere Verletzungen verursachen können.

Mitglieder und Gäste der Arbeitsgruppe jortschreibung des Leitfadens SFK/TAA-GS-1 " des Ausschusses "Seveso-Richtlinie"

Mitglieder:
NAME INSTITUTION / ORGANISATION
Hans Becher Rechtsanwalt Merck KGaA
Dr. Thomas Darimont Hessisches Ministerium für Umwelt, Energie, Landwirtschaft und Verbraucherschutz (HMUELV)
Dipl.-Ing. Dagmar Dräger Regierungspräsidium Darmstadt
Dr. Reinhold Ertmann Ministerium für Umwelt, Naturschutz und Verkehr Baden-Württemberg
Dipl.-Ing. Thomas Hackbusch Landesanstalt für Umwelt, Messungen und Naturschutz Baden-Württemberg (LUBW)
Dipl.-Phys. Oliver Kalusch Bundesverband Bürgerinitiativen Umweltschutz (BBU)
Dipl.-Ing. Hubert Marder vormals Bezirksregierung Köln (Vorsitz)
Dipl.-Ing. Klaus-Dietrich Paul † vormals RWTOV
Dr. Hans-Dieter Schmick Currenta GmbH & Co. OHG
Ulrich Staiger Hessisches Ministerium für Wirtschaft, Verkehr und Landesentwicklung (HMWVL)
Dr. Norbert Wiese (Stellv. Vorsitz) Landesamt für Natur, Umwelt und Verbraucherschutz Nordrhein-Westfalen (LANUV)
Gäste:
Dr. Ursula Fischbach Bund für Umwelt- und Naturschutz Deutschland e.V. (BUND)
Stefan Kraus Oberste Baubehörde im Bayer. Staatsministerium des Innern
Dr. Bernd Schalau Bundesanstalt für Materialforschung und -prüfung
BMU
Dr. Wolfgang Gierke Bundesministerium für Umwelt, Naturschutz und Reaktorsicherheit
BMVBS
Dr. Serge-Daniel Jastrow LLM Bundesministerium für Verkehr, Bau und Stadtentwicklung
Geschäftsstelle der KAS
Dipl.-Ing. Hans-Siegfried Göbel GFI Umwelt - Gesellschaft für Infrastruktur und Umwelt mbH

GFI Umwelt - Gesellschaft für Infrastruktur und Umwelt mbH

Geschäftsstelle der
Kommission für Anlagensicherheit
Königswinterer Str. 827

D-53227 Bonn

Telefon +49-(0)228-90 87 34-0
Telefax +49-(0)228-90 87 34-9
E-Mail kas@gfiumwelt.de http://www.kasbmu.de 1) Richtlinie 96/82/EG des Rates zur Beherrschung der Gefahren bei schweren Unfällen mit gefährlichen Stoffen vom 9. Dezember 1996 ( Seveso-II-Richtlinie), ABl. EG Nr. L 10 vom 14. Januar 1997, S. 13, geändert durch Richtlinie RL 2003/105/EG des Europäischen Parlaments und des Rates vom 16. Dezember 2003, ABl. EG Nr. L 345 vom 31. Dezember 2003, S. 97.

2) http://www.kasbmu.de/publikationen/sfk/sfk_taa_gs_1.pdf

3) UBa FuE-Vorhaben Förderkennzeichen 363 01.163, 2009; http://www.umweltdaten.de/publikationen/fpdfl/3695.pdf

4) Fassung der Bekanntmachung vom 23. September 2004 (BGBl. I S. 2414), zuletzt geändert durch Artikel 4 des Gesetzes vom 31. Juli 2009 (BGBl. I S. 2585).

5) Fassung der Bekanntmachung vom 23. Januar 1990 (BGBl. I S. 132), zuletzt geändert durch Artikel 3 des Gesetzes vom 22. April 1993 (BGBl. I S. 466).

6) Fassung der Bekanntmachung vom 26. September 2002 (BGBl. I S. 3830), zuletzt geändert durch Artikel 3 des Gesetzes vom 11. August 2010 (BGBl. I S. 1163).

7) http://www.kasbmu.de

8) Bis 1998 regelte § 50 BImSchG allein den Schutz vor schädlichen Umwelteinwirkungen. Die jetzige Fassung erhielt § 50 BImSchG durch Gesetz vom 25. Juni 2005 (BGBl. I S. 1865), wodurch die Schutzobjekte, zum Beispiel wichtige Verkehrswege oder Freizeitgebiete, zwischen denen und Industriebetrieben ein angemessener Abstand liegen soll, konkretisiert worden sind.

9) § 9 Abs. 1 Nr. 24 BauGB wurde durch das Europarechtsanpassungsgesetz Bau - EAG Bau vom 24. Juni 2004 (BGBl. I S. 1359) um die Wörter "sonstige Gefahren" ergänzt.

10) s. dazu RdErl. d. Ministers f. Umwelt und Naturschutz, Landwirtschaft und Verbraucherschutz NRW - V-3- 8804.25.1 v. 6.6.2007 - Abstandserlass

11) Raumordnungsgesetz vom 22. Dezember 2008 (BGBl. I S. 2986), zuletzt geändert durch Artikel 9 des Gesetzes vom 31. Juli 2009 (BGBl. I S. 2585).

12) Bundesnaturschutzgesetz - (BNatSchG) vom 29. Juli 2009 (BGBl. I S. 2542).

13) siehe Kapitel 4.5

14) siehe auch SFK Abschlussbericht "Sicherheitsabstände als Schadensvorsorge" SFK-GS-04

15) Deutsche Übersetzung der engl. Originalfassung siehe http://www.kasbmu.de/publikationen/andere/qa_feb2006d.pdf

16) vgl. OVG NRW, 10 D 121/07.NE, Urteil vom 03.09.2009, BauR 2010, 572, zitiert nach juris, Randziffer 143 ff.

17) Richtlinie 92/43/EWG des Rates vom 21. Mai 1992 zur Erhaltung der natürlichen Lebensräume sowie der wildlebenden Tiere und Pflanzen (ABl. Nr. L 206 vom 22.07.1992 S. 7)

18) Richtlinie 79/409/EWG des Rates vom 2. April 1979 über die Erhaltung der wildlebenden Vogelarten (Abl. L 103 vom 25.04.1979 S. 1 - 18)

19) Richtlinie 2000/60/EG des Europäischen Parlaments und des Rates vom 23.10.2000 zur Schaffung eines Ordnungsrahmens für Maßnahmen der Gemeinschaft im Bereich der Wasserpolitik (Abl. L 327 vom 22.12.2000 S. 1)

20) SFK (2005) SFK-GS-45 Leitfaden Schnittstelle Notfallplanung des Arbeitskreises "Schnittstelle Notfallplanung" der Störfall-Kommission beim Bundesministerium für Umwelt, Naturschutz und Reaktorsicherheit vom 18.10.2005, http://www.kasbmu.de/publikationen/sfk_pub.htm

21) siehe auch § 10 Abs. 1 Nr. 2 12. BImSchV ( StörfallV)

22) Vgl. BVerwG, Beschluss vom 05.12.2008 - 9 B 28.08 - NVwZ 2009, 320; Urteil vom 22.03.2007 - 4 CN 2.06 - BVerwGE 128, 238

23) vgl. Söfker in: Ernst/Zinkahn/Bielenberg/Krautzberger, BauGB-Kommentar, Loseblatt, Stand April 2010, § 1, Rn. 228, Hansmann in: Landmann/Rohmer, Umweltrecht, Kommentar, Loseblatt, Stand 56. Ergänzungslieferung 2009 , § 50 BImSchG, Rn. 49, jeweils mit weiteren Nachweisen.

24) vgl. OVG NRW, Urteil vom 03.09.2009, a.a.O., zitiert nach juris Randziffer 120 ff, vgl. BVerwG 4 BN 32/06 vom 08.11.2006, vgl. auch BVerwG, Beschl. v. 14.07.1994 - 4 NB 25.94 - Buchholz 406.11 § 1 BauGB Nr. 75

25) Störfall-Verordnung in der Fassung der Bekanntmachung vom 8. Juni 2005 (BGBl. I S. 1598), zuletzt geändert durch Artikel 5 Absatz 4 der Verordnung vom 26. November 2010 (BGBl. I S. 1643).

26) Zentrale Störfallmelde- und Auswertestelle im Umweltbundesamt (http://www.umweltbundesamt.de/zema)

27) vgl. auch OVG NRW, Urteil vom 03.09.2009, a.a.O., zitiert nach juris Randziffer 171

28) Die Ereignisse stellen einen "Dennoch-Störfall" nach Nr. 9.2.6.2.3 der Vollzugshilfe zur Störfall-Verordnung, BMU (Hrsg.), Bonn 2004, dar.

29) Zu Festsetzungsmöglichkeiten zur Gliederung von Baugebieten vgl. Schwier, Handbuch der Bebauungsplanfestsetzungen, 2002, S. 556 ff, OVG NRW, Urteil vom 30.09.2005 - 7 D 142/04.NE, zitiert nach juris Randziffer 92 ff.

30) OVG NRW, Urteil vom 30.09.2005, a.a.O., juris, Schlussfolgerung aus Randziffer 7f i.V.m. Randziffer 73

31) Nach dem BayVGH, Beschluss vom 21.10.1996, 20 CS 96.1561, BauR 1997, 84, ist der Ausschluss von Betrieben, die einer immissionsschutzrechtlichen Genehmigung bedürfen, nach § 1 Abs. 9 BauNVO zulässig, da diese Betriebe in der 4. Verordnung zur Durchführung des Bundes-Immissionsschutzgesetzes (4. BImSchV) typisiert sind.

32) BVerwG, Beschluss vom 3. Dezember 2009, Az. 4 C 5/09, BauR 2010, 726

33) Zu einer etwaigen Planungspflicht der Gemeinde vgl. BVerwG, Urteil vom 17. September 2003, Az. 4 C 14/01, BVerwGE 119, 25

34) siehe hierzu auch das nachfolgende Kapitel 4.6

35) vgl. zur Planfeststellung einer Straßentrasse BVerwG, Beschluss vom 5. Dezember 2008, Az. 9 B 28.08, UPR 2009, 154, 156

36) BVerwG, Beschluss vom 5. Dezember 2008, Az. 9 B 28.08, UPR 2009, 154, 156

37) Urteil BayVGH v. 14.07.2006 - 1 BV 03.2179; BauR 2007, 505

38) Untersuchungen des Landesamtes für Natur, Umwelt und Verbraucherschutz Nordrhein-Westfalen

39) zitiert nach SFK-GS-17 "Zusammenstellung und Interpretation der bisher bekannten lufthygienischen Grenz-, Richt-, Orientierungs- und Toxizitätswerte", Oktober 1998 (http://www.kasbmu.de/publikationen/sfk/sfk_gs_17.pdf

40) Cit. nach ARAMIS Projekt, Deliverable D.2.AìParameters composing the severity indexî WP 2: Severity evaluation v. 30 June 2003 (eigene übersetzung)

41) L'Institut National de l'Environnement Industriel et des Risques

42) Quelle: UBa F&E 29748.428 "Ermittlung und Berechnung von Störfallablaufszenarien nach Maßgabe der Störfallverwaltungsvorschrift W. Kaiser, P. Rogazewski, M. Schindler, TÜV Anlagentechnik GmbH, Band 1 Anhang 3 "Methodische Hinweise zur Abschätzung von Auswirkungen" UBa - Texte 15/00

43) unterschiedliche Messwerte

44) Quelle: UBa F&E 29748.428 "Ermittlung und Berechnung von Störfallablaufszenarien nach Maßgabe der 3. Störfallverwaltungsvorschrift" W. Kaiser, P. Rogazewski, M. Schindler, TÜV Anlagentechnik GmbH, Band 1 Anhang 3 "Methodische Hinweise zur Abschätzung von Auswirkungen" UBa - Texte 15/00

45) BAM:"Mustersicherheitsanalyse nach Störfall-Verordnung für eine Sprengstofffabrik. Forschungsbericht 104 09.211, UBA-FB 92-026, 1992

ENDE

umwelt-online - Demo-Version


(Stand: 23.12.2025)

Alle vollständigen Texte in der aktuellen Fassung im Jahresabonnement
Nutzungsgebühr: ab 105.- € netto (Grundlizenz)

(derzeit ca. 7200 Titel s.Übersicht - keine Unterteilung in Fachbereiche)

Preise & Bestellung

Die Zugangskennung wird kurzfristig übermittelt

? Fragen ?
Abonnentenzugang/Volltextversion