Für einen individuellen Ausdruck passen Sie bitte dieEinstellungen in der Druckvorschau Ihres Browsers an. Regelwerk, Technische Regeln, TRBS - TRGS - Arbeitsschutz |
![]() |
TRBS 2210 - Gefährdungen durch Wechselwirkungen
Technische Regeln für Betriebssicherheit (TRBS)
Vom 5. September 2006
(BAnz. 232a vom 09.12.2006; 06.03.2015 S. 340aufgehoben)
Vorbemerkung
Diese Technische Regel für Betriebssicherheit (TRBS) gibt dem Stand der Technik, Arbeitsmedizin und Hygiene entsprechende Regeln und sonstige gesicherte arbeitswissenschaftliche Erkenntnisse für die Bereitstellung und Benutzung von Arbeitsmitteln sowie für den Betrieb überwachungsbedürftiger Anlagen wieder.
Sie wird vom Ausschuss für Betriebssicherheit ermittelt und vom Bundesministerium für Arbeit und Soziales im Bundesarbeitsblatt bekannt gemacht.
Die Technische Regel konkretisiert die Betriebssicherheitsverordnung ( BetrSichV) hinsichtlich der Ermittlung und Bewertung von Gefährdungen sowie der Ableitung von geeigneten Maßnahmen. Bei Anwendung der beispielhaft genannten Maßnahmen kann der Arbeitgeber insoweit die Vermutung der Einhaltung der Vorschriften der Betriebssicherheitsverordnung für sich geltend machen. Wählt der Arbeitgeber eine andere Lösung, hat er die gleichwertige Erfüllung der Verordnung schriftlich nachzuweisen.
1 Anwendungsbereich
Nach § 3 Abs. 1 Satz 2 BetrSichV hat der Arbeitgeber bei der Gefährdungsbeurteilung die Gefährdungen durch Wechselwirkungen der Arbeitsmittel untereinander oder mit Arbeitsstoffen oder mit der Arbeitsumgebung zu berücksichtigen. Diese Technische Regel gilt für die Ermittlung von Maßnahmen zum Schutz vor Gefährdungen auf Grund von Wechselwirkungen, die durch die gegenseitige Beeinflussung mehrerer Arbeitsmittel untereinander oder von Arbeitsmitteln und Arbeitsstoffen oder von Arbeitsmitteln und der Arbeitsumgebung hervorgerufen werden. Diese Technische Regel konkretisiert die mit den Gefährdungsmerkmalen
verbundenen Anforderungen an die Bereitstellung und Benutzung von Arbeitsmitteln.
2 Ermittlung der Gefährdungen
Nach den in der TRBS 1111 festgelegten Vorgaben sind neben Gefährdungen, die von dem Arbeitsmittel selbst ausgehen können, auch die Gefährdungen zu berücksichtigen, die bei der Bereitstellung und der Benutzung hinsichtlich möglicher Wechselwirkungen des Arbeitsmittels mit bereits vorhandenen Arbeitsmitteln, Arbeitsstoffen und der Arbeitsumgebung zu erwarten sind.
Die mit der Benutzung des Arbeitsmittels verbundenen und durch Wechselwirkungen entstehenden Gefährdungen müssen nicht offensichtlich sein. Zum Beispiel können durch Kombination, Kopplung oder Überschneidung der Arbeitsbereiche von zwei oder mehreren Arbeitsmitteln zusätzliche Gefährdungen auftreten, die für das einzelne beteiligte Arbeitsmittel nicht typisch sind. Bei der Ermittlung der Gefährdungen ist zunächst davon auszugehen, dass durch Wechselwirkungen der Arbeitsmittel untereinander oder mit Arbeitsstoffen oder mit der Arbeitsumgebung grundsätzlich alle Gefährdungen auftreten können. Für diese Gefährdungen können bereits Maßnahmen, insbesondere in gefährdungsbezogenen TRBS, beschrieben sein.
2.1 Gefährdungen durch Wechselwirkungen der Arbeitsmittel untereinander
Durch Wechselwirkungen der Arbeitsmittel untereinander können insbesondere folgende Gefährdungen hervorgerufen oder Risiken erhöht werden:
2.1.1 Mechanische Gefährdung
Mehrere sich unabhängig voneinander bewegende Arbeitsmittel
2.1.2 Gefährdung durch Druck
Ungeeignete Platzierung von unter Druck stehenden Arbeitsmitteln
2.1.3 Gefährdung durch physikalische Einwirkungen
2.2 Gefährdungen durch Wechselwirkungen der Arbeitsmittel mit Arbeitsstoffen
Durch Wechselwirkungen der Arbeitsmittel mit Arbeitsstoffen können insbesondere folgende Gefährdungen hervorgerufen oder Risiken erhöht werden:
2.2.1 Mechanische Gefährdung
2.2.1.1 Mechanische Gefährdung durch unkontrolliert bewegte oder wegfliegende Arbeitsstoffe
2.2.1.2 Mechanische Gefährdung durch unkontrolliert bewegte Arbeitsmittel durch Einwirken des Impulses austretender Arbeitsstoffe
2.2.2 Elektrische Gefährdung
Elektrisch leitende Arbeitsstoffe und nicht ausreichende Schutzart (Isolierung) des elektrischen Arbeitsmittels
2.2.3 Brand- und Explosionsgefährdung
Physikalische Explosion (heiße Medien werden durch schlagartiges Verdampfen von Wasser herausgeschleudert)
2.2.4 Thermische Gefährdung
Unkontrolliertes Austreten oder Freisetzen heißer oder kalter Arbeitsstoffe
2.2.5 Gefährdung durch physikalische Einwirkungen
Immissionserhöhung beim Bearbeiten von Werkstücken aus anderem Werkstoff
2.2.6 Gefährdung Funktionsverlust von sicherheitsrelevanten Einrichtungen
2.2.7 Gefährdung durch chemische Einwirkungen
2.2.8 Chemische Gefährdung
Freisetzung von Gefahrstoffen aus Behältern, Rohrleitungen oder Maschinenteilen
2.3 Gefährdungen durch Wechselwirkungen der Arbeitsmittel mit der Arbeitsumgebung
Durch die Wechselwirkungen der Arbeitsmittel mit der Arbeitsumgebung können insbesondere folgende Gefährdungen hervorgerufen oder Risiken erhöht werden:
2.3.1 Mechanische Gefährdung
2.3.2 Elektrische Gefährdung
2.3.3 Brand- und Explosionsgefährdung
Beschädigung von Rohrleitungen oder Behältern mit brennbaren Gasen oder Flüssigkeiten
2.3.4 Thermische Gefährdung
Erwärmung oder Abkühlung von Arbeitsmitteln durch die Arbeitsumgebung
2.3.5 Gefährdung durch physikalische Einwirkungen
Auswirkung der Gestaltung und der Emissionen in der Arbeitsumgebung auf die Immissionen
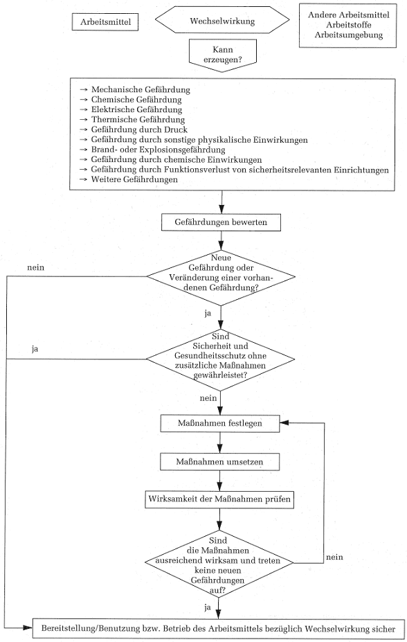
3 Bewertung der Gefährdung
Die ermittelten Gefährdungen durch Wechselwirkungen sind nach den Grundlagen der TABS 1111 darauf hin zu bewerten, ob zusätzliche Maßnahmen zur Gefährdungsvermeidung oder, falls dies nicht möglich ist, zur Minimierung der Gefährdungen erforderlich sind. Bewertungskriterien sind auch in den TRBS zu einzelnen Gefährdungen zu finden.
Der Ablauf für die Beurteilung der Gefährdungen auf Grund von Wechselwirkungen wird im folgenden Schema beispielhaft erläutert (Bild 1):
Bild 1: Beurteilung der Gefährdungen auf Grund von Wechselwirkungen

4 Maßnahmen
4.1 Maßnahmen zum Schutz vor Gefährdungen durch Wechselwirkungen der Arbeitsmittel untereinander
4.1.1 Maßnahmen zum Schutz vor mechanischen Gefährdungen
Beispiel 1: Mehrere sich unabhängig voneinander bewegende Arbeitsmittel:
Überschneiden sich die Arbeitsbereiche mehrerer Krane oder wird eine Last von mehreren Kranen gehoben, können Beschäftigte durch die gegenseitige Beeinflussung der Krane gefährdet werden.
Maßnahme 1: Sofern die Überschneidung der Arbeitsbereiche betrieblich nicht vorgesehen ist, können Bewegungsbegrenzer aktiviert werden.
Maßnahme 2: Sofern die Überschneidung der Arbeitsbereiche betrieblich erforderlich ist, muss der Arbeitsablauf vor Beginn der Arbeiten festgelegt und für eine einwandfreie Verständigung der Kranführer untereinander gesorgt werden.
Maßnahme 3: Wird eine Last von mehreren Kranen gehoben, ist der Arbeitsablauf vorher festzulegen und von einem Aufsichtführenden zu überwachen.
4.1.2 Maßnahmen zum Schutz vor Gefährdungen durch Druck
Beispiel 2: "Ungeeignete Platzierung von unter Druck stehenden Arbeitsmitteln"
Wird ein Druckgerät im Arbeitsbereich eines Hebezeuges platziert, besteht bei Kollision die Gefahr des Zerknalls.
Maßnahme 1: Sicherheitsgerechte Begrenzung des Arbeitsbereiches des Hebezeuges, um einen Zusammenstoß zu vermeiden
Maßnahme 2: Druckgerät außerhalb des Arbeitsbereichs des Hebezeuges oder außerhalb des Arbeitsraumes platzieren
4.1.3 Maßnahmen zum Schutz vor Gefährdungen durch physikalische Einwirkungen
Beispiel 3: "Elektromagnetische Wechselwirkungen zwischen Arbeitsmitteln"
Unerwünschte Wechselwirkungen zwischen Arbeitsmitteln können durch elektromagnetische Beeinflussung hervorgerufen werden. Industrielle Einrichtungen der Steuer- und Leittechnik unterliegen der EMV-Richtlinie und den zugehörigen harmonisierten Europäischen Normen und sind gegenüber den üblicherweise vorkommenden elektromagnetischen Feldern ausreichend geschützt.
Bei notwendigen Justier- oder Einrichtarbeiten können Maschinen oder Anlagen oft nicht vollständig freigeschaltet werden. Wird bei diesen Arbeiten an Maschinen oder Anlagen ein sehr leistungsstarkes Funkgerät in direktem Kontakt zu deren Steuerungen oder deren Mess- und Regeleinrichtungen betrieben, kann eine Beeinflussung der Steuerungselektronik durch die auftretende hohe Feldstärke nicht ausgeschlossen werden. Die Beeinflussung kann unerwünschte Bewegungen der Maschine auslösen und in deren Folge Beschäftigte gefährden.
Eine Beeinflussung von Steuerungen oder Mess- und Regeleinrichtungen von Maschinen oder Anlagen kann durch hohe elektromagnetische Felder, welche die Werte überschreiten, die den entsprechenden Normen zugrunde liegen, erfolgen.
Maßnahme: Da die Feldstärke mit zunehmendem Abstand vom Sender schnell auf unkritische Werte abnimmt, ist ein ausreichender Sicherheitsabstand zwischen Funkgerät und der Steuerung oder den Mess- und Regeleinrichtungen einzuhalten, In der Praxis. reicht im Allgemeinen ein Abstand von ein bis zwei Metern aus.
Beispiel 4: "Lärmimmission beim Parallelbetrieb mehrerer Arbeitsmittel"
Mehrere Arbeitsmittel, deren jeweilige einzelnen Lärmemissionen keine gefährliche Lärmimmission verursacht, werden in geringem Abstand gleichzeitig betrieben. Durch die Überlagerung der Schalldruckpegel der beiden Arbeitsmittel kann sich eine gefährliche Lärmimmission ergeben, die eine Gefährdung durch Lärm bedeutet.
Maßnahme: Verstärkte Schalldämmmaßnahmen an den Arbeitsmitteln
4.2 Maßnahmen zum Schutz vor Gefährdungen durch Wechselwirkungen der Arbeitsmittel mit Arbeitsstoffen
4.2.1 Maßnahmen zum Schutz vor mechanischen Gefährdungen
4.2.1.1 Maßnahmen zum Schutz vor unkontrolliert bewegten oder wegfliegenden Arbeitsstoffen
Beispiel 1: "Wegfliegende Späne"
Beim Zerspanen insbesondere von metallischen Werkstoffen entstehen je nach Rahmenbedingung (Material, Schnittgeschwindigkeit etc.) unterschiedlich ausgeprägte Späne. Diese scharfkantigen, heißen Späne können den Bediener während der Bearbeitung treffen.
Maßnahme: Maschinen an geeigneter Stelle ganz oder teilweise einhausen (Sichtscheibe).
Beispiel 2: "Schleifen von dünnen langen Bauteilen"
Beim Schleifen von dünnen langen Bauteilen an Schleifböcken kann das Werkstück von der Schleifscheibe erfasst und um die Welle derselben gewickelt werden oder es kann die Schleifscheibe bersten. Das Werkstück oder die Schleifscheibenteile können den Bediener treffen und verletzen.
Maßnahme: Der Spalt zwischen Auflage und Schleifscheibe muss kleiner als der Durchmesser des Bauteils nach dem Schleifen sein, ansonsten ist ein anderes Bearbeitungsverfahren zu wählen.
Beispiel 3: "Rotierendes Werkstück"
Beim Bohren mit einer Auslegerbohrmaschine kann sich das auf dem Tisch befestigte Werkstück lösen und sich mit dem Bohrer mitdrehen. Dadurch besteht für den Beschäftigten eine Gefährdung, von dem rotierenden Werkstück getroffen zu werden.
Maßnahme: Werkstück formschlüssig befestigen.
Beispiel 4: "Sich drehendes Arbeitsmittel"
Beim Bohren mit einer Handbohrmaschine in eine Wand kann sich die Bohrmaschine schlagartig zu drehen beginnen, wenn der Bohrer z.B. auf eine in der Wand befindliche Stahlplatte trifft. Durch die drehende Bohrmaschine können Verletzungen z.B. des Handgelenks auftreten.
Maßnahme: Verwendung von Bohrmaschinen mit entsprechend eingestellter Rutschkupplung
Beispiel 5: "Gefährdung durch Siedeverzug nach dem Öffnen von Autoklaven"
Werden Flüssigkeiten in Glasgefäßen in einem Autoklaven unter Druck über ihren Siedepunkt erhitzt und der Autoklav nach der Druckabsenkung geöffnet, besteht die Gefahr der explosionsartigen Verdampfung der Flüssigkeit, des .Zersplitterns des Glasgefäßes und der Verletzung von Beschäftigten durch herausgeschleuderte Glassplitter.
Maßnahme 1: Temperaturabhängige Türverriegelung.
Maßnahme 2: Messung der Flüssigkeitstemperaturen in den Glasgefäßen und den Autoklaven erst öffnen, nachdem die Flüssigkeitstemperatur unter die Siedetemperatur bei Atmosphärendruck abgesunken ist
4.2.1.2 Maßnahmen zum Schutz vor unkontrolliert bewegten Arbeitsmitteln durch Einwirken des Impulses austretender Arbeitsstoffe
Beispiel 6: "Bewegung der Abblasrohrleitung durch Einwirken des Impulses beim Abblasen"
Entweicht bei einer unzulässigen Druckbeanspruchung der Arbeitsstoff aus einem Druckbehälter über das Sicherheitsventil, kann der Impuls beim Abblasen eine Bewegung der Abblasrohrleitung verursachen. Durch die unkontrollierte Bewegung der Rohrleitung können Beschäftigte gefährdet werden.
Maßnahme: Abblasrohrleitung fixieren.
4.2.2 Maßnahmen zum Schutz vor elektrischen Gefährdungen
Beispiel 7: "Elektrisch leitende Arbeitsstoffe und nicht ausreichende Schutzart (Isolierung) des elektrischen Arbeitsmittels"
Schleifstaub, der beim Bearbeiten von Blechen mit einem Winkelschleifer entsteht, wird mit der zur Kühlung dienenden Luft angesaugt und lagert sich im Winkelschleifer ab. Es entsteht so eine elektrisch leitfähige Schicht, die von unter Spannung stehenden Teilen bis zu Lüftungsöffnungen des Winkelschleifers reicht. Beim Berühren der Lüftungsöffnungen kann es zu einer Körperdurchströmung kommen.
Maßnahme: Bereitstellung und Benutzung von druckluftbetriebenen Werkzeugen oder Werkzeug mit ausreichender Schutzart
4.2.3 Maßnahmen zum Schutz vor Brand- und Explosionsgefährdungen
Maßnahmen zum Schutz vor physikalischen Explosionen
Beispiel 8: "Eisen- und Stahlerzeugung"
In Anlagen, die der Eisen- und Stahlerzeugung dienen (Hochofen, Stahlwerk), können durch Kontakt der feuerflüssigen Massen (flüssiges Roheisen bzw. flüssiger Stahl) mit feuchten oder nassen Arbeitsmitteln gefährliche Reaktionen erfolgen.
Maßnahme: Verwendung trockener Arbeitsmittel
Beispiel 9: "Schmelzkammerfeuerungen"
In Schmelzkammern von Dampfkesseln können Leckagen aus den Verdampferrohren zu einem gefährlichen Kontakt von Wasser und Schlacke führen, so dass eine physikalische Explosion verursacht wird.
Maßnahme 1: Ansammlungen von Schlackeschmelze in der Schmelzkammer vermeiden
Maßnahme 2: Kühlsystem mit Leckageüberwachung und Schnellschlussschaltung versehen, die bei Leckage anspricht
Maßnahme 3: Videoüberwachung der Schmelzkammer
4.2.4 Maßnahmen zum Schutz vor thermischen Gefährdungen
Beispiel 10: "Unkontrolliertes Austreten oder Freisetzen heißer oder kalter Arbeitsstoffe"
Im Rahmen von Wartungsarbeiten kann das Abziehen von Schläuchen von abgesperrten aber produktführenden Leitungen aus glasfaserverstärktem Kunststoff (insbesondere bei einer Vorschwächung der Leitung durch Erosion) zum Abriss des Stutzens und somit zum Austritt eines heißen Arbeitsstoffes führen.
Maßnahme 1: Verstärkte Ausführung solcher Stutzen
Maßnahme 2: Wechseln von Schläuchen grundsätzlich bei abgestellter (und ggf. entleerter) Anlage
Maßnahme 3: Regelmäßige Prüfung von erosionsgefährdeten Rohrleitungen
Maßnahme 4: Schutz vor stofflichen Gefährdungen bei Instandsetzungsmaßnahmen (Tragen von Schutzkleidung)
4.2.5 Maßnahmen zum Schutz vor Gefährdungen durch physikalische Einwirkungen
Beispiel 11: "Immissionserhöhung beim Bearbeiten von Werkstücken aus anderem Werkstoff "
Der Schallleistungspegel von Zerkleinerungsmaschinen für Kunststoffe ist von der Härte des Einsatzstoffes abhängig. Beim Beschicken der Maschine mit härteren Einsatzstoffen ergeben sich erheblich höhere Lärmpegel.
Maßnahme 1: Aufstellung der Maschine in einem separaten Raum Maßnahme 2: Schallisolierung der Maschine
4.2.6 Maßnahmen zum Schutz vor Gefährdungen durch Funktionsverlust von sicherheitsrelevanten Einrichtungen
Beispiel 12: "Beschädigung mechanischer Positionsschalter durch Abrieb"
An einer Abfüllanlage werden staubförmige Produkte abgefüllt, die zum Abrieb der Antriebsrolle aus Kunststoff an mechanischen Positionsschaltern führen können. Dies kann zu einem Versagen von verriegelten trennenden Schutzeinrichtungen führen.
Maßnahme: Einsatz von berührungslos wirkenden Positionsschaltern
Beispiel 13: "Ablagerungen an sicherheitsrelevanten Einrichtungen"
Ablagerungen von Korrosionsschutzmitteln an Durchführungen von Hebelarmen von Flüssigkeitsstandsmessgeräten mit Grenzwertgeber können Füllstandsmessungen verfälschen. Bei beheizten Behältern kann dies zu Überhitzungen und Versagen der Behälterwand als Folge eines zu geringen Füllstands führen. Das. freigesetzte Produkt kann zu einer Gefährdung der Beschäftigten führen.
Maßnahme 1: Geeigneteres Messverfahren
Maßnahme 2: Regelmäßige Kontrollen der Messaufnehmer auf ihre sichere Funktion
Maßnahme 3: regelmäßige Spülungen der Messflaschen
Beispiel 14: "Abrieb der Schraubengewinde an Deckeln von Fahrzeugbehältern für staubförmige Arbeitsstoffe"
Verschlusselemente an Domdeckeln von Fahrzeugbehältern für staubförmige Arbeitsstoffe bestehen in der Regel aus klappbaren Spannschrauben und Flügelmuttern, an die beim Befüllen der Behälter Staub anhaftet, der beim Anziehen der Flügelmutter das Gewinde der Spannschraube durch Abrieb abnutzt. Die Gefährdung besteht darin, dass sich bei Innendruck im Behälter nach fortgeschrittenem Abrieb des Gewindes die Flügelmutter schlagartig löst und Beschäftigte durch die Wucht des aufschlagenden Deckels verletzt oder vom Fahrzeug geschleudert werden.
Maßnahme: Befestigung eines als Anschlag ausgebildeten Sicherungselements am Bolzenende der Spannschraube
4.2.7 Maßnahmen zum Schutz vor Gefährdungen durch chemische Einwirkungen
Beispiel 15: "Korrosion auf Grund von Leckagen"
Wenn Säuren oder andere korrosiv wirkende Flüssigkeiten durch geringe und deshalb häufig unbemerkt ablaufende Leckagen (Schleichleckagen) an zum Beispiel Rohrleitungsverbindungen auf weitere sich in der Nähe befindenden Rohrleitungen aus nicht korrosionsbeständigen Werkstoffen treffen, können diese Flüssigkeiten zur Korrosion und zum Versagen dieser Rohrleitungen führen. Die durch das Versagen bedingte Freisetzung von Arbeitsstoffen kann Beschäftigte gefährden.
Maßnahme 1: Auf Dauer technisch dichte Leitungsanschlüsse der säureführenden Rohrleitungen gewährleisten durch Ausführung und Montage sowie Instandhaltung und Überwachung
Maßnahme 2: Inspektion der Rohrleitungen aus nicht korrosionsbeständigen Werkstoffen in den entsprechenden Gefährdungsbereichen
Beispiel 16: "Organische Stoffe, Öl und Fett bei Sauerstoffinstallationen"
Organische Stoffe, wie Dichtungen aus organischen Werkstoffen, ölhaltige Lappen oder fettige Fingerabdrücke neigen bei Kontakten mit reinem Sauerstoff zur Selbstentzündung und zur Auslösung von Metallbränden. Beispielsweise kann sich eine organische Dichtung im Abgang einer Sauerstoffflasche beim Öffnen des Flaschenventils selbst entzünden. Der Brand kann auf den Stahlmantel der Flasche übergreifen und zum Bersten der Flasche führen. Die Gefährdung würde durch die Druckwelle und durch unkontrolliert herumfliegende Teile der Sauerstoffinstallation entstehen.
Maßnahme 1: Verwendung bestimmter anorganischer Werkstoffe für Dichtungen
Maßnahme 2: Berührung undichter Stellen an Sauerstoffinstallationen mit ölhaltigen Putzlappen oder fetthaltigen Fingern vermeiden
4.2.8 Maßnahmen zum Schutz vor chemischen Gefährdungen
Beispiel 17: "Austritt von Chlorgas aus einer Chlorungsanlage"
In einer Chlorungsanlage einer Wasseraufbereitungsanlage kann das Rückströmen von Wasser in chlorgasführende Leitungen zur beschleunigten Korrosion und infolge dessen zu einer Chlorgasfreisetzung führen.
Maßnahme 1: Verhinderung des Rückströmens von Wasser durch Druckdifferenzüberwachung, Rückströmsicherungen oder durch Einsatz einer Vakuum-Chlordosieranlage
Maßnahme 2: Installation von Chlorgaswarneinrichtungen
4.3 Maßnahmen zum Schutz vor Gefährdungen durch Wechselwirkungen der Arbeitsmittel mit der Arbeitsumgebung
4.3.1 Maßnahmen zum Schutz vor mechanischen Gefährdungen
Beispiel 1: "Quetschen zwischen sich bewegenden Arbeitsmitteln und ortsfesten Gegenständen in der Arbeitsumgebung"
Beweglicher Arbeitstisch einer Werkzeugmaschine nähert sich so weit einer Wand, dass die Gefahr eines Quetschens besteht.
Maßnahme 1: Sicherheitsabstand herstellen Maßnahme 2: Quetschstelle sichern
Beispiel 2: "Kippen von Arbeitsmitteln, hervorgerufen durch Winddruck auf Arbeitsmittel"
Aufragende Arbeitsmittel wie z.B. Hubarbeitsbühnen sind im Arbeitsbetrieb nicht mehr standsicher, wenn bestimmte Windlasten überschritten werden.
Maßnahme: Grenzwerte beachten.
Beispiel 3: "Kippen von Arbeitsmitteln auf Grund nicht ausreichender Tragfähigkeit des Untergrunds"
Beispiel 3a "Gerüst"
Gerüst wurde auf gefrorenem Untergrund aufgebaut. Auf Grund von Tauwetter verliert der Untergrund an Tragfähigkeit. Das Gerüst kann umkippen.
Maßnahme 1: Die von einem Gerüst ausgehende Flächenpressung ist so zu verteilen, dass ein nicht gefrorener Untergrund, diese aufnehmen kann
Maßnahme 2: Kontrolle der Tragfähigkeit des Untergrunds
Beispiel 3b "Kran"
Kran kann umfallen, wenn er zu nah an der Baugrube steht.
Maßnahme 1: Kran ordnungsgemäß aufstellen
Maßnahme 2: Sicherung der Baugrubenböschung z.B. durch Verhau
Maßnahme 3: Sicheren Abstand zur Baugrube einhalten
4.3.2 Maßnahmen zum Schutz vor elektrischen Gefährdungen
Beispiel 4: "Berühren unter Spannung stehender Teile durch sich bewegende Arbeitsmittel"
Ein Baukran wird für Arbeiten an einer Baustelle aufgebaut. Diese Baustelle liegt in der Nähe einer Freileitung. Es besteht die Gefahr, dass der Ausleger des Kranes bei einer Drehbewegung der Freileitung so nah kommt, dass es zu einem Überschlag von den Freileitungsseilen zum Kranausleger kommt.
Maßnahme 1: Freileitung abschalten oder abschranken
Maßnahme 2: Kran erden
Beispiel 5: "Mechanische Beschädigung der Isolierung unter Spannung stehender Teile durch Arbeitsmittel"
Ein Bagger kann mit seiner Schaufel bei Erdbauarbeiten die Isolierung eines stromführenden Starkstromkabels beschädigen und dadurch unter Spannung stehen. Dadurch besteht für einen Beschäftigten, der sich dem Bagger nähert, die Gefahr einer Körperdurchströmung.
Maßnahme: Erkundung der Arbeitsumgebung und erforderlichenfalls Handschachtung
Beispiel 6: "Benutzung elektrischer Arbeitsmittel in leitfähigen Bereichen mit begrenzter Bewegungsfreiheit"
Schlosserarbeiten mit Winkelschleifer in engem Behälter mit leitender Oberfläche. Dadurch besteht eine erhöhte elektrische Gefährdung, weil die leitfähige Umgebung bei dieser Arbeit großflächig mit dem Körper berührt werden kann. Beim Auftreten eines Isolationsfehlers im Arbeitsmittel oder an der Leitung kann es wegen des geringen Körperwiderstandes zu einem so hohen Strom durch den menschlichen Körper kommen, dass auch trotz kurzer Einwirkungsdauer Lebensgefahr besteht.
Maßnahme: Benutzung von elektrischen Arbeitsmitteln mit Schutzkleinspannung oder Schutztrennung
4.3.3 Maßnahmen zum Schutz vor Brand- und Explosionsgefährdungen
Beispiel 7: "Beschädigung von Rohrleitungen mit brennbaren Gasen oder Flüssigkeiten"
Beschädigung einer Erdgasleitung durch Baggerarbeiten kann zu einer explosionsfähigen Atmosphäre führen, die durch den Bagger gezündet werden kann.
Maßnahme: Erkundung der Arbeitsumgebung und erforderlichenfalls Handschachtung
4.3.4 Maßnahmen zum Schutz vor thermischen Gefährdungen
Beispiel 8: "Erwärmung oder Abkühlung von Arbeitsmitteln durch die Arbeitsumgebung"
Bei Arbeiten unter Hitzeeinwirkung in Kesseln oder Öfen können sich Arbeitsmittel auf Umgebungstemperatur erhitzen. Bei Temperaturen über 60 °C kann sich eine Gefährdung durch Kontakt mit heißen Oberflächen am Arbeitsmittel ergeben.
Maßnahme 1: Arbeitsmittel wärmeisolieren
Maßnahme 2: Entfernen des Arbeitsmittels in Arbeitspausen aus dem Hitzearbeitsbereich
Maßnahme 3: Verwendung persönlicher Schutzausrüstungen
4.3.5 Maßnahmen zum Schutz vor Gefährdungen durch physikalische Einwirkungen
Beispiel 9: "Auswirkung der Gestaltung und der Emissionen in der Arbeitsumgebung auf die Immissionen"
Die Situation in einer Maschinenhalle ist durch hohe Lärmpegel gekennzeichnet, jedoch liegt an keinem der Arbeitsplätze ein gesundheitsgefährdender Lärmpegel vor. Eine neue Maschine, die zusätzlich in dieser Maschinenhalle errichtet wird, hat für sich alleine beurteilt ebenfalls unkritische Schallemissionswerte. Jedoch kann auf Grund des bereits vorhandenen hohen Lärmpegels in der Maschinenhalle durch die zusätzlich aufgestellte Maschine die Schallimmission an Arbeitsplätzen in der Halle ein gesundheitsgefährdendes Niveau erreichen.
Maßnahme 1: Schallschutzkapselung einzelner Maschinen
Maßnahme 2: Verbesserung der Raumakustik (z.B. Reflexion von Decke und Wänden)
Maßnahme 3: Gegenseitige Verriegelung einzelner Maschinen, damit diese nicht gleichzeitig betrieben werden können
![]() |
ENDE | ![]() |
(Stand: 03.06.2019)
Alle vollständigen Texte in der aktuellen Fassung im Jahresabonnement
Nutzungsgebühr: ab 105.- € netto
(derzeit ca. 7200 Titel s.Übersicht - keine Unterteilung in Fachbereiche)
Die Zugangskennung wird kurzfristig übermittelt
? Fragen ?
Abonnentenzugang/Volltextversion