TRD 301 - Zylinderschalen unter innerem Überdruck (2)

zurück

5.3. Zylinderschalen mit Einzelausschnitt und senkrechtem Einzelabzweig

5.3.1. Für den Einzelausschnitt mit senkrechtem Abzweig und zusätzlicher Verstärkungsscheibe werden die Bereiche I und II von Bild 9 symmetrisch; die Berechnung erfolgt für Werkstoffe gleicher zulässiger Spannung noch Gl. ( 8). Werden Werkstoffe unterschiedlicher zulässiger Spannung verwendet so gelten die Abschnitte 5.2.3 und 5.2.4.

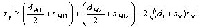
5.3.2. Für den Einzelausschnitt mit senkrechtem Abzweig ohne zusätzliche Verstärkung gilt die Festigkeitsbedingung

  ( 13)

Werden Werkstoffe unterschiedlicher zulässiger Spannung verwendet, so gelten die Abschnitte 5.2.3 und 5.2.4.

Die mittragenden Längen sind nach den Gln. ( 10) und ( 11) zu bestimmen.

Werden bei ausgehalsten Abzweigen die druckbelasteten FlächenAp und die tragenden Querschnittsflächen Aσ, wie bei aufgeschweißten oder durchgesteckten Abzweigen ermittelt, d.h. ohne Berücksichtigung der Aushalsungsradien, sind die tragenden Querschnittsflächen Aσ, mit 0,9 zu multiplizieren, um den Querschnittsverlust bei der üblichen Formgebung zu berücksichtigen. Im Fall der exakten Ermittlung der FlächenApund Aσ (z.B. durch Planimetrierung) braucht der Faktor 0,9 nicht angewendet zu werden.

5.3.3. Die der Gl. ( 13) entsprechende Wanddicke des Grundkörpers läßt sich auch berechnen zu

   ( 14)

wofür der VerschwächungsbeiwertvA bei nicht ausgehalsten Abzweigen fürsv/di< 0,05 aus Bild 10 entnommen werden kann; Zwischenwerte sind zu interpolieren. Die Bilder 11, 12, 13, 14, 15, 16 sind geeignet zur Nachrechnung ausgeführter Konstruktionen. (Man beachte zwischen dem Bild 10 und den Bildern 11, 12, 13, 14, 15, 16 die unterschiedlichen Bezugsgrößensv unds0). Die Bilder gelten stets für den gleichen Werkstoff von Grundkörper und Abzweig. Bei ausgehalsten Abzweigen ist dervA-Wert mit 0,9 zu multiplizieren, um den Querschnittsverlust bei der üblichen Formgebung zu berücksichtigen.

5.3.4. Der Verschwächungsbeiwert kann bei gleicher zulässiger Spannung der Werkstoffe von Grundkörper und Abzweig auch errechnet werden zu

    ( 15)

Fürsv/di = 0,05, Bild 12, ergibt sich volle Übereinstimmung des Verschwächungsbeiwertes nach Gl. (15) und denen der Bilder 10 und 11 Fürsv/di < 0,05 können sich rechnerisch etwas höhere Werte als noch den Bildern 10 und 11 ergeben. In Zweifelsfällen ist der nach Gl. ( 15) errechnete Wert maßgebend.

Bestehen Grundkörper und Abzweig aus Werkstoffen mit unterschiedlichen zulässigen Spannungen, so gelten die Abschnitte 5.2.3 und 5.2.4. In Übereinstimmung mit Gl. ( 12) ergibt sich der Verschwächungsbeiwert zu

  ( 15a)

Die Art der Wanddickenermittlung ist in den Vorprüfunterlagen anzugeben.

5.3.5. Die Verschwächungsbeiwerte gelten für bündig mit der Innenwand des Grundkörpers abschließende Abzweige und für den Fall, daß die mittragenden LängeneG nach Gl. ( 10) am Grundkörper sowieeA nach Gl. ( 11) am Abzweig vorhanden sind. In dies nicht der Fall, gelten die Bilder 11, 12, 13, 14, 15, 16 nicht, und Gl. ( 13) muß angewendet werden. Ist der Bohrungsdurchmesser im Grundkörper <dAi, dann ist trotzdem mitdAi zu rechnen.

5.3.6. Abzweigstücke nach den Bildern 5 und 6 oder ähnliche sind nach Gl. ( 13) zu berechnen. Hierzu sind planimetrierbare Zeichnungen vorzulegen.
Kegelige Ansätze und Ausrundungen werden bei der Flächenvergleichsrechnung durch flächengleiche Schnittflächen gemäß Bild 17 ersetzt.

5.3.7.Bei Abzweigstücken, die mit der Warmstreckgrenze berechnet werden, mitdAi/di> 0,7 und gleichzeitigsA0/sv < dAi/di ist im Querschnitt senkrecht zur Achse des Grundkörpers im Übergangsbereich Grundkörper/Abzweig zusätzlich folgende Bedingung zu erfüllen:

   ( 15b)

Bei Nachprüfungen gefertigter Bauteile ist in Gl. (15b) anstelle vonsv die tatsächlich ausgeführte Wanddicke im Übergangsbereich einzusetzen.

Bestehen Grundkörper und Abzweige aus Werkstoffen unterschiedlicher zulässiger Spannungen, ist in die Gl. (15b) für σzul der kleinste Wert einzusetzen.

5.4. Zylinderschalen mit mehreren Ausschnitten und Abzweigen

5.4.1. Benachbarte Ausschnitte oder Abzweige werden wie Einzelausschnitte oder Einzelabzweige behandelt, wenn für den MittenabstandtΦ gemäß Bild 18 und 19 die Beziehung gilt

   ( 16)

5.4.2.Im anderen Fall muß zusätzlich zu Abschnitt 5.3 die Festigkeitsbetrachtung für den durch die benachbarten Ausschnitte oder Abzweige unter dem Winkel ΦA zur Mantellinie gelegten Schnitt gemäß Bild 18 und 19 durchgeführt werden, wobei die Festigkeitsbedingung gilt

   ( 17)

Schräg- und/oder Umfangsteilungen werden rechnerisch auf eine Längsteilung zurückgeführt, wobei in der Festigkeitsbedingung nach Gl. (17) die Druckfläche 2Ap0 durch den Faktor (1+cos2 ΦA)/2 korrigiert wird.

Bestehen Grundkörper, Abzweig und Verstärkung aus Werkstoffen unterschiedlicher zulässiger Spannung und weist der Werkstoff des Grundkörpers den kleinsten Wert auf, so ist nach Abschnitt 5.2.3 zu verfahren. Ist die zulässige Spannung der Abzweige geringer als die des Grundkörpers, so gilt

  ( 18)

In Übereinstimmung mit Gl. (18) kann der Verschwächungsbeiwert bestimmt werden zu:

 ( 18a)

5.4.3. Bei benachbarten Ausschnitten oder Abzweigen gleichen Durchmessers aus Werkstoffen gleicher zulässiger Spannung mit einem kleineren MittenabstandtΦ , als noch Gl. ( 16) ergibt sich die Mittelspannungsj im Schnitt unter dem Winkel ΦA zur Achsrichtung mitAσ1 =Aσ2 sowie Ap1 = Ap2, Bild 18, zu

   ( 19)

Werden Werkstoffe unterschiedlicher zulässiger Spannung verwendet, so ist sinngemäß nach Abschnitt 5.4.2 zu verfahren.

5.4.4. Bei ungleichen TeilungsabständentΦ1 undtΦ2 nach Bild 20 ist die größte Stegbeanspruchung für die Bemessung der Wanddicke maßgebend. Diese Wanddicke des Grundkörpers muß allseitig bis zu einer LängeeG nach Gl. ( 10), vom Rand der Ausschnitte gemessen, vorhanden sein.

5.4.5. Bei Lochfeldern ist die Festigkeitsbetrachtung für die in Längs-, Umfangs- und Schrägrichtung verlaufenden Stege durchzuführen, wobei die größte Beanspruchung für die Bemessung der Wanddickesv maßgebend ist.

5.4.6. Für den Fall, daß an die Ausschnitte Rohre mit dem AußendurchmesserdAa, anschließen, die entsprechend ihrer WanddickesA0 nur den Innendruck aufnehmen können, ergibt sich die mittlere Beanspruchung zu

    ( 20)

Mit dem Verschwächungsbeiwert

   ( 21)

der für eine Längsteilung (ΦA = 0) zu

    ( 22)

und für eine Umfangsteilung (ΦA = 90°) zu

   ( 23)

wird, ergibt sich die Wanddicke

   ( 24)

Für Lochfelder mit symmetrisch versetzter Anordnung gilt der kleinste für Umfangs-, Längs- oder Schrägstege berechnete oder der aus Bild 21 zu entnehmende Verschwächungsbeiwert alsvL-Wert.

5.4.7. Die Art der Wanddickenermittlung ist in den Vorprüfunterlagen anzugeben.

5.5. Zylinderschalen mit einem nicht radial angeordneten Abzweig 8

5.5.1. Für Zylinderschalen, Bild 22 Teilbilder a und b, bei denen der Abzweig nicht radial, sondern unter dem Winkel ΨA1 zur Tangente an den Grundkörper angeordnet ist, kann die größere Beanspruchung im Querschnitt, Bild 22 Teilbild a, oder im Längsschnitt, Bild 22 Teilbild b, auftreten. In beiden Fällen gilt die Festigkeitsbedingung nach Gl. ( 13), wobei jeweils die in den Bildern gekennzeichneten FlächenAp undAσ einzusetzen sind.

Die mittragenden Längen dürfen höchstens eingesetzt werden für den Grundkörper noch Gl. ( 10) und für den Abzweig nach Gl. ( 11), wobei ΨA = ΨA1 zu setzen ist.

5.5.2. Die Abzweigwanddicke sA0 soll nicht größer sein als die Wanddickesv des Grundkörpers. Die Schweißverbindung zwischen Grundkörper und Abzweig muß volltragend sein, wie in Bild 22 angedeutet.

5.6. Zylinderschalen mit Y-förmigem Abzweig 8

5.6.1. Zylinderschalen, die sich gabelförmig verzweigen (Y-Stücke), können als Schmiedestücke, Bild 23, oder als Schweißkonstruktionen, beispielsweise nach Bild 24, ausgeführt werden mit ΨA> 15°. Die Festigkeitsbedingungen für die beiden hochbeanspruchten Bereiche I und II, Bilder 23, 24 und 27, lauten für den Bereich I

   ( 25)

bzw.   ( 26)

für den Bereich II

   ( 27)

Die mittragenden Längen dürfen höchstens eingesetzt werden für den Grundkörper nach Gl. ( 10) und für den Abzweig nach Gl. ( 11).

Der Faktorf5 in den Gl. ( 25) und ( 26) beträgt für Abzweige

mit Ψa> 45°
und für Abzweige mit einem
da< 102 mm und 15°< Ψa< 45°   
f5 = 1
f5 = 1 + 0,005 (45° - ΨA).

5.6.2. Eine rippenförmige Verstärkung muß volltragend mit Grundkörper und Abzweigen verschweißt sein. Für die Breite bs der Verstärkungsrippe gilt sv <bs < 2sv

5.6.3. Der Bewertungsfaktorf1 für die Tragfähigkeit einer solches Verstärkung richtet sich noch dem Verhältnisss/bs und der Ausführung der Schweißnähte und ist nach Tafel 2 Ziffer 3 einzusetzen. Zwischenwerte können interpoliert werden

5.7. Zylinderschalen als geschmiedete Formstücke (Krümmer)

Für geschmiedete und aufgebohrte Formstücke mit sv/di> 0,1 und di < 90 mm z.B. nach Bild 28, gilt im Bereich der Warmstreckgrenze die Festigkeitsbedingung

Die mittragenden Längen dürfen höchstens nach Gleichung ( 10) eingesetzt werden. Der Neigungswinkel Ψamuß gleich oder größer 45° sein.

6. Berechnung auf Wechselbeanspruchung durch schwellenden Innendruck bzw. durch kombinierte Innendruck- und Temperaturänderungen

6.1. Vereinfachte Berechnung für Stähle bis einschließlich 17 Mn 4

Zylinderschalen mit Ausschnitten aus unlegierten und niedriglegierten Kesselstählen bis einschließlich Stahlsorte 17 Mn 4 brauchen bis zu 10000 Kaltstarts 9 nicht auf Wechselbeanspruchung durch Innendruck- und/oder Temperaturänderungen nachgerechnet zu werden, wenn der zulässige Betriebsüberdruckp1 bzw. der zulässige Gesamtüberdruckp2< 3,2 N/mm2 beträgt oder wenn oberhalb dieses Druckes die Nennspannung

   ( 28)

kleiner als 150 N/mm2 bleibt.

6.2. Berechnung auf Wechselbeanspruchung allein durch schwellenden Innendruck (Sonderfälle für vernachlässigbare Temperaturänderungen)

6.2.1.Falls vom Besteller keine anderslautenden Angaben über Lastwechselzahlen gemacht werden, ist bei Zylinderschalen mit Ausschnitten eine Lastwechselzahl von 2000 Druckwechseln mit der Berechnung zugrunde zu legen.

Weitere 10000 Druckwechsel, bei denen der Druck zwischen 0,6p undp schwankt, werden dann im Rahmen der Lastwechselsicherheit von SL = 5 als abgedeckt angesehen.

6.2.2.Der Forderung nach Abschnitt 6.2.1 ist entsprochen, wenn mit au' nach den Bildern 25 und 26 und  α nach Tafel 3 die Bedingung

α ·0 <zul   ( 29)

erfüllt ist 10.

Bei wasserberührten Teilen ist mit Rücksicht auf die Magnetitschutzschicht neben Gl. (29) auch die Bedingung α ·0 < 600 N/mm2 zu erfüllen.

Tafel 3. Formzahl α für volltragende und nicht volltragende Verbindungen zwischen Grundkörper und Abzweig
Verbindung  α
Volltragend im Sinne von Abschnitt 3.2 (2)   3,5
Walzverbindung 3,5
Nicht volltragend (Walzschweißverbindung oder Kehlnahtverbindung mit wurzelseitigem Restspalt > 1,5 mm) 5,0

6.2.3. Für Zylinderschalen mit Ausschnitten, die entweder dem Abschnitt 6.2.2 nicht genügen oder andere Anforderungen als in Abschnitt 6.2.1 erfüllen müssen, ist die zulässige Lastwechselzahln noch Anlage 1 zu dieser TRD (Abschn. 5.2) ohne Berücksichtigung der Wärmespannungen zu ermitteln. Hierbei ist an Stelle der in Anlage 1 zu dieser TRD definierten Berechnungswanddickesb die Wanddickesv, einzusetzen.

6.2.4. Die vorgesehenen Lastwechselzahlen sind in den Unterlagen für die rechnerische Vorprüfung anzugeben, wenn sie von den Festlegungen in Abschnitt 6.2.1 abweichen.

6.3. Berechnung auf Wechselbeanspruchung durch kombinierte Innendruck- und Temperaturänderungen

Die Berechnung ist nur für diejenigen Bauteile durchzuführen, die die Fahrweise der Kesselanlage begrenzen.

6.3.1. Die zulässigen An- und Abfahrgeschwindigkeiten für die zylindrischen Bauteile, die nur die Festlegungen von Abschnitt 6.2.1 erfüllen sollen, können nach der Beziehung

     ( 30)

ermittelt werden. Hierin sindzul noch Bild 25 oder 26 undf2 noch Tafel 4 einzusetzen.

Tafel 4. Beiwertf2 11
   Sattdampf-Temperaturbereich
ϑ< 330 °C
Heißdampf-Temperaturbereich
330 < ϑ< 530 °C
ferritische Stähle 74 62
X 20 CrMoV 12 1 66 63
austenitische Stähle 28 30

Bei wasserberührten Teilen ist zusätzlich zu fordern

   ( 31)

    ( 32)

6.3.2. Die Anlage 1 zu dieser TRD ist für Zylinderscholen mit Ausschnitten anzuwenden,

(1) wenn sich nach Abschnitt 6.3.1 eine unzureichende An- und Abfahrgeschwindigkeit ergibt, oder
(2) wenn andere Lastwechselzahlen, als in Abschnitt 6.2.1 angegeben sind, zugrunde gelegt werden müssen, oder
(3) wenn die Kenntnis der Temperaturdifferenzen für die Überwachung der Bauteile erforderlich ist.

6.3.3. Die zulässigen Temperaturänderungsgeschwindigkeiten bzw. Temperaturdifferenzen und die Temperaturmeßstellen der betreffenden Bauteile sind in den Unterlagen für die rechnerische Vorprüfung anzugeben.

7. Berechnungsdruck

Siehe TRD 300 Abschnitt 7.

8. Berechnungstemperatur

Siehe TRD 300 Abschnitt 8.

9. Zulässige Spannung

Siehe TRD 300 Abschnitt 9.

Darüber hinaus ist zu beachten, daß bei ausgehalsten Abzweigen, die mit Zeitstandfestigkeitswerten berechnet werden, in Gl. ( 1) der TRD 300 der K-Wert mit 0,9 zu multiplizieren ist.

Bei der Berechnung auf Wechselbeanspruchung gelten bezüglich der zulässigen Spannungen die Ausführungen nach Anlage 1 zu dieser TRD.

10. Zuschläge zur Wanddicke

Siehe TRD 300 Abschnitt 10.

10.1. Berücksichtigung von zulässigen Wanddickenunterschreitungen

Abweichend von Abschnitt 10.1.1 der TRD 300 kann bei beheizten Zylinderschalen mitda < 44,5 mm der Zuschlagc1 entfallen, sofern nicht die axial Zugbeanspruchung für die Bemessung der Zylinderschale maßgebend ist. Ferner brauchen bei Zylinderschalen ohne Längsnaht nur die auf größeren Längen als 2 ·da< 300 mm zulässigen Abweichungen berücksichtigt zu werden.

11. Kleinste zulässige Wanddicke

Die kleinste zulässige Wanddickese bzw.sAe beträgt:

(1) bei ferritischem Stahl 3 mm

(2) bei Nichteisenmetallen 2 mm

(3) bei nichtrostendem (austenitischem und ferritischem) Stahl 1 mm

Diese kleinsten zulässigen Wanddicken können unterschritten werden, wenn die ausgeführte Wanddickese bzw.sAe mindestens 2 ·sv bzw. 2 ·sA0 beträgt.

12. Höchstwanddicke von Kesselrohren

Die auszuführende Wanddicke von stark beheizten Kesselrohren (z.B. bei Wasserrohrkesseln mit einer Heizgastemperatur von mehr als 800 °C) soll nicht mehr als 6,3 mm betragen. Dies gilt nicht für Überhitzerrohre.

13. Schrifttum

[1] Schwaigerer, S.: Erläuterungen zur TRD 301 "Zylinderschalen unter innerem Überdruck". Mitt. VGB 52 (1972) H. 4, S.352/58.
[2] Schwaigerer, S.: Festigkeitsberechnung von Bauelementen des Dampfkessel-, Behälter- und Rohrleitungsbaus.
2., neubearbeitete Auflage, Springer-Verlag, Berlin/Heidelberg/New York (1970).
[3] Schwaigerer, S.: Festigkeitsberechnung von Abzweigstücken unter Innendruck. Techn. Überwachung 9 (1968) H. 11, S. 372/77, 426.
[4] Siebel, E., u. S. Schwaigerer: Festigkeitsverhalten ausgehalster Abzweigstücke. VGB-Mitt., 2. Aufl., H. 1 (1954).
[5] Siebel, E., u. H. Hauser: Versuche über die Beanspruchung von Zylindern mit eingeschweißten Stutzen. Mitt. GWK-Verband (1950).
[6] Wellinger, K., H. G. Gaßmann u. G. Mall: Innendruckversuche an dickwandigen Stutzenrohren. Techn. Mitt. WKV (1960).
[7] Wellinger, K., H. G. H. Gaßmann u. G. Mall:. Innendruckschwellverhalten von Rohrleitungen mit rechtwinkligem Abzweigstück. Schweißen und Schneiden 21, H. 10 (1969).
[8] Wellinger, K., u. E. Krägeloh: Gestaltung und Berechnung von Ausschnitten in Zylindern und Kugeln. Bänder-Bleche-Rohre 9 (1968), S. 25.
[9] Schwaigerer, S.: Geschweißte Abzweigstücke für Rohrleitungen und ihre Berechnung. Schweißen und Schneiden 17 (1965), H.9.
[10] Wellinger, K., u. K. Lehr: Zur spannungsinduzierten Korrosion wasserberührter Kesselteile. Mitt. VGB 49 (1969) H.3, S.190/201.
[11] Schach, W., H. Spähn u. H. Kaes: Über die Rolle der spannungsinduzierten Korrosion und der Schwingungsrißkorrosion bei der Rißbildung an wasserberührten Kesselteilen. Sonderheft VGB Werkstofftagung 1971, S. 93/104.
[12] Schoch, W.: Bericht über die aufgetretenen Schäden an Kesseltrommeln. Mitt. VGB (1966) H.101, S.70/85.
[13] Henjes, G.: Spannungsverhältnisse an 30 Kesseltrommeln der Baujahre 1939 bis 1961. Mitt. VGB 49 (1969) H. 4, S.281/96.
[14] Henjes, G.: Spannungsverhältnisse an 2 Kesseltrommeln und 1 Überhitzersammler sowie deren Einfluß auf die künftige Betriebsweise. Mitt. VGB 49 (1969) H. 5, S. 336/44.
[15] Gassner, E., F. W. Griese u. E. Haibach: Ertragbare Spannungen und Lebensdauer einer Schweißverbindung aus Stahl St. 37 bei verschiedenen Formen des Beanspruchungskollektivs. Archiv für das Eisenhüttenwesen 35 (1964). S. 255/67.
[16] Schwaigerer, S.: Das Festigkeitsverhalten von Stahlrohr-Leitungen im Betrieb. Z. TÜ 13 (1972) H. 1, S.17/20.
[17] Schoch, W.: Schäden durch Zeitstandbrüche am Eintrittsammler eines dampfbeheizten Zwischenüberhitzern im Großkraftwerk Mannheim. Mitt. VGB (1966) H. 100, S. 62/64.


umwelt-online - Demo-Version


(Stand: 08.12.2018)

Alle vollständigen Texte in der aktuellen Fassung im Jahresabonnement
Nutzungsgebühr: ab 105.- € netto

(derzeit ca. 7200 Titel s.Übersicht - keine Unterteilung in Fachbereiche)

Preise & Bestellung

Die Zugangskennung wird kurzfristig übermittelt

? Fragen ?
Abonnentenzugang/Volltextversion