Für einen individuellen Ausdruck passen Sie bitte dieEinstellungen in der Druckvorschau Ihres Browsers an. Regelwerk |
![]() |
TRD 309 - Schrauben
- Berechnung -
Technische Regeln für Dampfkessel (TRD)
Ausgabe Juni 1965
(ArbSch 9/1965 S. 22; 4/1975 S. 142aufgehoben)
1. Geltungsbereich
Dieses Blatt gilt für die Berechnung von Schrauben, die als kraftschlüssige Verbindungselemente vom Innendruck her auf Zug und dabei vorwiegend ruhend beansprucht sind. Es werden übliche Verhältnisse vorausgesetzt. Außergewöhnlichen Verhältnissen ist besonders Rechnung zu tragen. Sie liegen vor, wenn die Berechnungstemperatur der Schrauben über 300 °C liegt, oder wenn z.B. mit übermäßig kurzen Anfahrzeiten gerechnet werden muß.
2. Allgemeines
2.1. Um eine Schraubenverbindung möglichst elastisch zu halten, empfiehlt es sich, die Schrauben als Dehnschrauben nach DIN 2510 auszuführen. Hochbelastete Schrauben müssen als Dehnschrauben ausgeführt sein. Dies gilt insbesondere bei Schrauben
(1) mit einer Berechnungstemperatur über 300 °C oder
(2) für einen höchstzulässigen Betriebsdruck über 80 atü oder
(3) mit Abmessungen über M 30
2.2. Schrauben mit einem Schaftdurchmesser unter 10 mm sind nicht zulässig.
2.3. Schrauben dürfen nicht im Heizgasstrom liegen.
2.4. Bei Verwendung von Rohrleitungs-Normflanschen gilt die festigkeitsmäßige Anforderung an die Schrauben als erfüllt, wenn nach DIN 2401 Blatt 2 Schrauben mit den dort angegebenen Werkstoffen 1 für einen dort angegebenen zulässigen Betriebsüberdruck und der dazugehörigen Betriebstemperatur verwendet werden.
2.5. Die Anzahl der Schrauben muß mindestens 4 betragen; sie soll mit Rücksicht auf das Dichthalten möglichst groß gewählt werden, da viele dünnere Schrauben mit dadurch kleinerer Teilung günstiger sind als wenige dicke Schrauben.
2.6. Um kleine Dichtungskräfte und damit kleine Schraubenkräfte zu erhalten, sind die Flanschdichtungen relativ schmal auszuführen. Die Ausführung "Nut und Feder" (DIN 2691) bzw. "Vor- und Rücksprung" ist in der Regel derjenigen der ebenen Dichtfläche" (DIN 2690) vorzuziehen, soweit nicht Metall- bzw. Metall/Weichstoffdichtungen verwendet werden.
3. Bezeichnungen
| PS | Schraubenkraft (allgemein) | in kg |
| PSB | die Schraubenkraft im Betriebszustand | in kg |
| PS0 | die Schraubenkraft im Einbauzustand vor Druckaufgabe | in kg |
| PSP | die Schraubenkraft beim Prüfdruck | in kg |
| PDB | die Betriebsdichtungskraft | in kg |
| PDV | bzw.PDV' die Vorverformungskraft | in kg |
| PF | die Ringflächenkraft | in kg |
| PR | die Rohrkraft | in kg |
| PRz | die zusätzliche Rohrkraft | in kg |
| p | der höchstzulässige Betriebsdruck | in atü |
| p' | der Prüfdruck | in atü |
| D | der innere Durchmesser des Mantels | in mm |
| Dd | der mittlere Dichtungsdurchmesser | in mm |
| dK | der Gewindekerndurchmesser | in mm |
| dS | der Schaftdurchmeuser einer Dehnschraube | in mm |
| K | der Festigkeitskennwert des Werkstoffes | in kg/mm2 |
| S | ein Sicherheitsbeiwert | |
| t | die Berechnungstemperatur | in C |
| Φ | ein Gütewert | |
| k1 | der Dichtungskennwert für den Betriebszustand (Betriebsdichtungskraft) | in mm |
| k0 | der Dichtungskennwert für die Verformungskraft | in mm |
| KD | der Formänderungswiderstand des Dichtungswerkstoffes | in kg/mm2 |
| A | Beiwert zur Errechnung der Dichtungtkraft | |
| c | ein Konstruktionszuschlag | in mm |
| n | die Anzahl der Schrauben |
4. Berechnung der Schraubendurchmesser
4.1. Der Kerndurchmesser einer Schraube ist zu berechnen
| (1) | für den Betriebszustand mit dem höchstzulässigen Betriebsdruck p und der Berechnungstemperaturt aus der SchraubenkraftPSB |
| (2) | für den Prüfdruckp' und 20 °C aus der SchraubenkraftPSP (nur beip' > 1,3 ·p notwendig) |
| (3) | für den Einbauzustand vor Druckaufgabe mitp = 0 und 20 °C aus der SchraubenkraftPS0 |
4.2. Der erforderliche Gewindekerndurchmesser einer Schraube in einer Schraubenverbindung mit n Schrauben beträgt
(1)
Bei Dehnschrauben ist der Schaftdurchmesser ds = 0,9 dk (s. DIN 2510).
Zur Erleichterung der Berechnung kann ein Hilfswert
(2)
eingeführt werden, s. Tafel 1. Dann wird
(3)
| Tafel 1. | Hilfswert Z zur Berechnung vondK (S siehe Abschnitt 8). |
| Gütewert Φ |
Hilfswert Z | |||
| Betriebszustand | Prüfdruck und Einbauzustand | |||
| S = 1,5 | S = 1,6 | S = 1,1 | S = 1,2 | |
| 0,75 | 1,60 | 1,65 | 1,37 | 1,43 |
| 1,00 | 1,38 | 1,43 | 1,19 | 1,24 |
4.3. Als Konstruktionszuschlagc ist einzusetzen
| (1) | für den Betriebszustand bis M 24 ab M 48 Im Zwischenbereich gilt |
c = 3 mm c = 1 mm c = 5-0,1dk |
| (2) | für den Prüfdruck | c = 0 mm |
| (3) | für den Einbauzustand vor Druckaufgabe | c = 0 mm |
5. Berechnung der Schraubenkraft
Die Schraubenkraft ist zu ermitteln für den Betriebszustand, den Prüfdruck und den Einbauzustand vor Druckaufgabe. Dabei gelten für kreisförmige Schraubenverbindungen nachstehende Formeln.
5.1 Für denBetriebszustand s. Nummer 4.1 (1) ist
PSB = PR + PDB + PF (4)
Hierbei sind einzusetzen
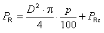
| (1) | die Rohrkraft PR mit
Die zusätzliche Rohrkraft PRz, muß aus den Verspannungszuständen etwa angeschlossener Rohrleitungen errechnet werden. PRz ist 0 bei Schraubenverbindungen, an die keine oder nur Rohrleitungen ohne zusätzliche Längskräfte angeschlossen sind. Pn. kann bei angeschlossenen normalverlegten Rohrleitungen, bei denen die Übertragung von zusätzlichen Längskräften auf die Schrauben durch Wärmespannungen möglich ist, mit
angesetzt werden. |
| (2) | die Betriebsdichtungskraft PDB mit
PDB = π ·Dd · 1,2 ·k1 ·p/100 (6) (bezüglich des Wertes 1,2 =SD s. DIN 2505). Sie ist notwendig, um dauerndes Dichthalten im Betrieb zu gewährleisten. Der Wert fürk1 ist Tafel 2 zu entnehmen. Bei verschweißtem Dichtspalt (z.B. Schweißlippendichtung, Membranschweißdichtung) istk1 = 0 und damitPDB = 0 zu setzen. |
| (3) | die RingflächenkraftPF mit
PF = π·(Dd2 -D2)/4 ·p/100 (7) Sie wird hervorgerufen durch den Innendruck p und lastet auf der Ringfläche, die durch den Dichtungskreis Dd und den Innendurchmesser D gebildet wird. Der Dichtungsdurchmesser 0d wird am zweckmäßigsten als mittlerer Durchmesser der Dichtung angenommen. da nicht genau vorbestimmt werden kann, bis zu welcher Stelle der Dichtungsbreite der Innendruck wirksam ist. Bei Schweißdichtungen ist der Durchmesser der äußeren Schweißnaht einzusetzen, da damit zu rechnen ist, daß der ganze Dichtungsspalt unter Innendruck steht. |
5.2. Für denPrüfdruck - s. Nummer 4.1 (2) - ist
(8)
5.3. Für denEinbauzustand vor Druckaufgabe - s. Nummer 4.1 (3) - sind folgende Fälle zu berücksichtigen:
Die Schraubenverbindung ist so anzuziehen, daß beim Einbau die notwendige Vorverformung der Dichtung gewährleistet ist, daß etwaige im Rohrsystem vorhandene Rohrkräfte Pf aufgenommen werden können und daß die Verbindung im Betriebszustand dicht bleibt.
Um diese drei Bedingungen zu erfüllen, ist zu fordern,
PS =PDV bzw.PDV (9)
(PDV s.a. DIN 2505), mindestens jedoch
PS0 = 1,1 (PDB +PF+PR) (10)
Dabei istPDV oderPDV' die Vorverformungskraft der Dichtung, die erforderlich ist. um ein ausreichendes Anpassen der Dichtung an die Dichtflächen zu gewährleisten.
PDV =Dd · π·k0 ·KD (11)
Die Praxis hat jedoch gezeigt, daß bei Weichstoffdichtungen zur Beherrschung niedriger Drücke nicht die vollkommene Angleichung der Dichtung an die Dichtungsfläche entsprechend Formel (11) erforderlich ist. Um in solchen Fällen unwirtschaftlich große Schraubendurchmesser zu vermeiden, kann bei Drücken
der WertPDV inPDV' ermäßigt werden.
(12)
wobei
a = 0,1 für Flüssigkeiten und
a = 0,2 für Gase und Dämpfe ist.
PRz ist erforderlichenfalls nach Nummer 5.1 (1) einzusetzen.
Die Faktorenk0,k1 undKD sind abhängig von der Dichtungsart, der Dichtungsform und dem Füllmedium (s. Tafel 2).
6. Berechnungstemperaturt
Die Temperatur, mit der die Schrauben zu berechnen sind, hängt von der Art der Schraubenverbindung und dem Wärmeschutz ab. Soweit kein besonderer Temperaturnachweis erfolgt, kann sie bei Schraubenverbindungen
| loser Flansch + loser Flansch | um 30 °C |
| fester Flansch + loser Flansch | um 25 °C |
| fester Flansch + fester Flansch | um 15 °C |
niedriger als die höchste Temperatur des durchströmenden Mediums angenommen werden. Diese Abschläge berücksichtigen den Abfall der Temperatur bei isolierten Schraubenverbindungen. Da die nur bei niedrigen Dampftemperaturen üblichen nicht isolierten Verbindungen bei zwar kälteren Schrauben zu entsprechend höheren Temperaturbeanspruchungen der gesamten Verbindung führen, sind hierfür weitere Abstriche nicht zulässig.
7. Festigkeitskennwert K
Als FestigkeitskennwertK gilt:
7.1. bei Berechnungstemperaturent bis 350 °C die Streckgrenze bzw. σ0,2 (Mindestwert) bei der Berechnungstemperatur (s. Abschnitt 6)
7.2. bei Berechnungstemperaturent über 350 °C der niedrigere der folgenden Werte:
| (1) | die Streckgrenze σ0,2 (Mindestwert) bei der Berechnungstemperaturt °C (s. Abschnitt 6) |
| (2) | die 100000 h-Festigkeit σB/100000 (Mittelwert bei der Berechnungstemperaturt °C (s. Abschnitt 6). |
Außerdem ist nachzuprüfen, ob noch mindestens 1,0fache Sicherheit besteht gegen
| (3) | σ1/100000 (Mittelwert) bei der Berechnungstemperaturt °C und |
| (4) | σB/100000 (Mittelwert) bei der Berechnungstemperaturt + 15 °C. |
7.3. Die Festigkeitskennwerte sind TRD 106 - Schrauben und Muttern aus Stahl - Ferritische Stähle - zu entnehmen.
8. Sicherheitsbeiwert S
Der Sicherheitsbeiwert ist wie folgt einzusetzen:
| Zustand | Bei Dehnschrauben (DIN 2510) |
bei Vollschaftschrauben (DIN 2509) |
| Für den Betriebszustand | S = 1,5 | S = 1,6 |
| Für den Prüfdruck Für den drucklosen Einbauzustand |
S = 1,1 | S = 1,2 |
9. Gütewert Φ
Vollschaftschrauben müssen mindestens der Bearbeitungsgüte mg noch DIN 267 entsprechen. Dehnschrauben müssen allseitig bearbeitet sein. Bei unbearbeiteten planparallelen Auflageflächen ist Φ = 0,75 einzusetzen. Bei spanabhebend bearbeiteten Auflageflächen der zu verbindenden Teile kann Φ = 1,0 gesetzt werden. Nicht planparallele Auflageflächen (wie z.B. an Winkelprofilen) sind nicht zulässig.
![]() |
![]() |
1) Mit Ausnahme der Werkstoffe für Schrauben 4.6 (früher 4 D) und der Werkstoffe C 35 sowie C 45 - siehe TRD 106.
(Stand: 20.08.2018)
Alle vollständigen Texte in der aktuellen Fassung im Jahresabonnement
Nutzungsgebühr: ab 105.- € netto
(derzeit ca. 7200 Titel s.Übersicht - keine Unterteilung in Fachbereiche)
Die Zugangskennung wird kurzfristig übermittelt
? Fragen ?
Abonnentenzugang/Volltextversion