Für einen individuellen Ausdruck passen Sie bitte dieEinstellungen in der Druckvorschau Ihres Browsers an. Regelwerk |
![]() |
TROS Laserstrahlung Teil 2: Messungen und Berechnungen von Expositionen gegenüber Laserstrahlung
Technische Regeln zur Arbeitsschutzverordnung zu künstlicher optischer Strahlung
Vom 23. April 2015
(GMBl. Nr. 12-15 vom 05.05.2015 S. 249; 09.07.2018 S. 1000 18,aufgehoben)
Siehe Fn. *
IIIb4-34516-7
Die Technischen Regeln zur Arbeitsschutzverordnung zu künstlicher optischer Strahlung (TROS Laserstrahlung) geben den Stand der Technik, Arbeitsmedizin und Arbeitshygiene sowie sonstige gesicherte arbeitswissenschaftliche Erkenntnisse zum Schutz der Beschäftigten vor Gefährdungen durch Laserstrahlung wieder.
Sie werden vom Ausschuss für Betriebssicherheit unter Beteiligung des Ausschusses für Arbeitsmedizin ermittelt bzw. angepasst und vom Bundesministerium für Arbeit und Soziales im Gemeinsamen Ministerialblatt bekannt gemacht.
Diese TROS Laserstrahlung, Teil 2 "Messungen und Berechnungen von Expositionen gegenüber Laserstrahlung", konkretisiert im Rahmen ihres Anwendungsbereichs die Anforderungen der Arbeitsschutzverordnung zu künstlicher optischer Strahlung und der Verordnung zur Arbeitsmedizinischen Vorsorge. Bei Einhaltung der Technischen Regeln kann der Arbeitgeber insoweit davon ausgehen, dass die entsprechenden Anforderungen der Verordnungen erfüllt sind. Wählt der Arbeitgeber eine andere Lösung, muss er damit mindestens die gleiche Sicherheit und den gleichen Gesundheitsschutz für die Beschäftigten erreichen.
1 Anwendungsbereich
Die TROS Laserstrahlung, Teil 2 "Messungen und Berechnungen von Expositionen gegenüber Laserstrahlung" beschreibt das Vorgehen bei der Planung, der Beauftragung, der Durchführung und Auswertung von Messungen und Berechnungen zur Exposition am Arbeitsplatz nach dem Stand der Technik und den Vergleich der Messergebnisse mit den Expositionsgrenzwerten. Die Dokumentation der Expositionsmessungen von Laserstrahlung ist Teil der Gefährdungsbeurteilung (siehe auch Teil 1 "Beurteilung der Gefährdung durch Laserstrahlung" der TROS Laserstrahlung).
2 Begriffsbestimmungen
In diesem Teil 2 "Messungen und Berechnungen von Expositionen gegenüber Laserstrahlung" werden Begriffe so verwendet, wie sie im Teil " Allgemeines" der TROS Laserstrahlung definiert und erläutert sind.
3 Vorgehen bei Messungen von Expositionen gegenüber Laserstrahlung
3.1 Grundsätzliches
(1) Nach § 3 Arbeitsschutzverordnung zu künstlicher optischer Strahlung ( OStrV) hat der Arbeitgeber im Rahmen der Gefährdungsbeurteilung die auftretenden Expositionen durch Laserstrahlung an Arbeitsplätzen zu ermitteln und zu bewerten. Er kann sich die notwendigen Informationen beim Wirtschaftsakteur (Hersteller, Bevollmächtigter, Einführer und Händler) oder mit Hilfe anderer zugänglicher Quellen beschaffen. Dazu gehören z.B. Angaben der Strahlungsemissionen der Laserstrahlungsquellen in Bedienungsanleitungen und technischen Unterlagen. Im Fall von Laser-Einrichtungen kann davon ausgegangen werden, dass in vielen Fällen aufgrund der Klassifizierung der Laser-Einrichtungen nach DIN EN 60825-1 [4] die notwendigen Unterlagen zur Verfügung stehen.
(2) Lässt sich jedoch mit den vorhandenen Informationen nicht sicher feststellen, ob die Expositionsgrenzwerte nach Anlage 4, Abschnitt A4.1 dieser TROS Laserstrahlung beim vorgesehenen Gebrauch eingehalten werden, ist der Umfang der Expositionen durch Messungen oder Berechnungen nach § 4 OStrV festzustellen. Messungen und Berechnungen müssen nach dem Stand der Technik fachkundig (siehe Teil 1 "Beurteilung der Gefährdung durch Laserstrahlung" der TROS Laserstrahlung) geplant und durchgeführt werden. Die eingesetzten Messverfahren und Messgeräte sowie eventuell erforderliche Berechnungsverfahren müssen den vorhandenen Arbeitsplatz- und Expositionsbedingungen hinsichtlich der betreffenden Laserstrahlung angepasst und geeignet sein, die jeweiligen physikalischen Größen zu bestimmen. Die Messergebnisse müssen die Entscheidung erlauben, ob die jeweiligen Expositionsgrenzwerte eingehalten werden oder nicht.
(3) Das Messen der Expositionen durch Laserstrahlung ist eine komplexe Aufgabe und erfordert entsprechende Fachkenntnisse und Erfahrungen. Der Arbeitgeber kann damit fachkundige Personen beauftragen, falls er nicht selbst über die ausreichenden Kenntnisse und die notwendige Messtechnik verfügt (siehe § 5 OStrV).
3.2 Vorprüfung
(1) In einer Vorprüfung ist zunächst festzustellen, ob zur Ermittlung der Exposition eine Messung oder Berechnung notwendig ist, oder ob nicht bereits genügend Informationen vorhanden sind, um die Exposition auch ohne eine Messung ausreichend genau bestimmen zu können.
(2) Bei Laser-Einrichtungen, in denen eine Strahlungsquelle verwendet wird, deren Grenzwert der zugänglichen Strahlung (GZS) einer höheren Laserklasse entspricht als der gesamten Laser-Einrichtung (typischerweise eingehauste Laserstrahlungsquellen), kann es beim Entfernen der Einhausung oder der Überbrückung der Sicherheitsschaltung (z.B. bei Service oder Wartung, Definition siehe Teil " Allgemeines") zu einer Überschreitung der Expositionsgrenzwerte bzw. zu einer weiteren Erhöhung der Gefährdung kommen, da Laserstrahlung der eigentlich eingehausten Strahlungsquelle zugänglich ist.
(3) Das Ablaufschema (Abbildungen 1a und 1b) soll Hinweise geben, ob Messungen und Berechnungen notwendig sind. Ein weiteres vereinfachtes Schema ist in Abbildung 2 zu finden. Parameter, wie z.B. Wellenlänge, Laserklasse, Laserleistung, Impulsenergie, Strahldurchmesser, Strahldivergenz, Impulsdauer, Impulsfolgefrequenz und gegebenenfalls der Augensicherheitsabstand (NOHD) bzw. der erweiterte Augensicherheitsabstand (ENOHD) unter Berücksichtigung der Verwendung von optischen Geräten mit sammelnder Wirkung, werden in der Regel vom Wirtschaftsakteur (Hersteller, Bevollmächtigter, Einführer und Händler) mitgeliefert. Der Umfang der mitzuliefernden Unterlagen und Informationen sollte detailliert schriftlich mit dem jeweiligen Wirtschaftsakteur (z.B. im Rahmen des Kaufvertrages) vereinbart werden.
(4) Beispiele für Fälle, in denen keine Expositionsmessungen notwendig sind:
(5) Lässt sich in der Vorprüfung keine eindeutige Entscheidung treffen, ob die Expositionsgrenzwerte eingehalten oder überschritten werden, sind Messungen der Exposition erforderlich.
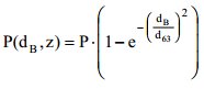
Abb. 1a Ablaufschema zur Vorgehensweise bei Laser-Einrichtungen der Klasse 1 gemäß DIN EN 60825-1:2008-05 [4]

Abb. 1b Ablaufschema zur Vorgehensweise bei Laser-Einrichtungen der Klasse 2 gemäß DIN EN 60825-1:2008-05 [4]

Abb. 2 Vereinfachtes Schema zur Vorprüfung

3.3 Analyse der Arbeitsaufgaben und Expositionsbedingungen
(1) Vor der Messung ist eine detaillierte Analyse der Arbeitsaufgaben und des Arbeitsablaufs der exponierten Beschäftigten sowie der Expositionsbedingungen durchzuführen. Hierbei müssen sämtliche Tätigkeiten berücksichtigt werden, bei denen Beschäftigte Laserstrahlung ausgesetzt sein können. Dabei ist immer vom ungünstigsten Fall ("worst-case"-Szenario) auszugehen. Hierzu gehört u. a. die Ermittlung der höchsten Bestrahlungsstärke bzw. Bestrahlung, die an der Stelle des kleinsten relevanten Strahldurchmessers zu finden ist, der die Beschäftigten ausgesetzt sein könnten.
(2) Die Analyse umfasst insbesondere die Ermittlung
(3) Wirkt Laserstrahlung auf mehrere Beschäftigte in vergleichbarer Weise ein, dann kann die Analyse als repräsentativ für die persönlichen Expositionen dieser Beschäftigten angesehen werden. In diesem Fall reicht die Durchführung einer einzigen Expositionsermittlung im Sinne einer Stichprobenerhebung nach § 4 Absatz 2 OStrV.
3.4 Messungen
3.4.1 Planung
(1) Vor der Messung ist eine sorgfältige Planung durchzuführen. Aus den technischen Parametern des Lasers ergibt sich, welches Messverfahren einzusetzen ist. Aus den örtlichen Gegebenheiten ergeben sich Anzahl und Position der Messpunkte.
(2) Wenn vor der Messung keine detaillierten Angaben über die Wellenlängen erhältlich sind, dann sollte zuerst eine Messung des optischen Strahlungsspektrums durchgeführt werden. Zusätzliche Wellenlängen, die nicht der Hauptwellenlänge entsprechen, können auftreten (z.B. 1064 nm bei einer Hauptwellenlänge von 532 nm). Zusätzlich auftretende inkohärente optische Strahlung ist gemäß TROS IOS zu bewerten. Hierzu zählt z.B. die Anregungsstrahlung (z.B. Blitzlampe, Vorionisierung (UV-Strahlung) und die Prozessstrahlung (Plasma)).
(3) Das gemessene Spektrum gibt Auskunft über die Wellenlängen, für die die Expositionsmessungen durchgeführt werden müssen und über die zu erwartenden Gefährdungen.
(4) Die Messgrößen und Parameter zur Charakterisierung von Laserstrahlung sind in Anlage 1 dieser TROS Laserstrahlung aufgeführt.
(5) Für die Expositionsermittlung sollte die Anzahl der Messgrößen und Parameter auf das Mindestmaß beschränkt werden, das eine vollständige und sachgerechte Analyse ermöglicht.
3.4.2 Messgeräte
(1) Bei der Anwendung von Messgeräten ist zu beachten, dass sie entsprechend der vorliegenden Messaufgabe ausgewählt werden. So müssen beispielsweise Laserleistungsmessgeräte für die jeweils vorliegende Wellenlänge, die Höhe der Leistung des Lasers und dessen Zeitverhalten geeignet ausgelegt sein. Die Anlage 3 dieser TROS Laserstrahlung gibt einen Überblick über häufig verwendete Messgeräte zur Charakterisierung von Laserstrahlung.
(2) Für die Messung von Laserstrahlung eingesetzte Detektoren sind geeignet, wenn deren Messunsicherheit bestimmt wurde und für die Messaufgabe ausreichend ist.
Hauptbeiträge hierzu können z.B. aus folgenden Effekten stammen:
(3) Die Messunsicherheit des Gerätes ist insbesondere dann von Bedeutung, wenn der zu ermittelnde Wert der Bestrahlung durch einen Laser im Bereich des Expositionsgrenzwertes liegt. Dann muss die Gesamt-Messunsicherheit klein genug sein, damit entschieden werden kann, ob die Summe aus Messwert und Messunsicherheit ober- oder unterhalb des Expositionsgrenzwertes liegt.
(4) Die Kalibrierung der Empfänger soll durch Laboratorien erfolgen, die eine Rückführung auf international anerkannte Normale gewährleisten können. In Deutschland sind dies die von der Deutschen Akkreditierungsstelle (DAkkS) akkreditierten Stellen bzw. direkt die Physikalisch-Technische Bundesanstalt (PTB) als technische Oberbehörde für das Messwesen.
(5) Abhängig von der zu analysierenden Strahlungsleistung kommen als Detektoren zur Bestimmung der Strahldurchmesser sowohl mechanische als auch bildgebende Verfahren zum Einsatz, mit denen die grundlegenden Strahlparameter (z.B. Strahlabmessungen, Divergenzwinkel (Strahldivergenz), Beugungsmaßzahlen) bestimmt werden können. Derartige Geräte entsprechen in der Regel den in den Normen DIN EN ISO 11146-1 [8] und DIN EN ISO 11146-2 [9] genannten Verfahren. Einen Überblick über die in diesen Normen genannten Verfahren gibt Anlage 3 dieser TROS Laserstrahlung.
(6) Spektral auflösende Geräte müssen nur in solchen Fällen eingesetzt werden, in denen keine Informationen über die von der Laser-Einrichtung emittierten Wellenlängen) vorliegen. Die Ausführung der Geräte reicht von einfacheren Laserspektrometern, die die wellenlängenabhängige Empfindlichkeit von Detektoren ausnutzen, über weit durchstimmbare Systeme mit optischen Gittern bis zu höchstauflösenden interferometrisch arbeitenden Wave-Metern, mit denen die longitudinale Modenstruktur von Laserlinien bestimmt werden kann.
(7) Ist die absolute Bestimmung eines wellenlängenabhängig breiteren Leistungsspektrums notwendig, so müssen die Geräte sorgfältig hinsichtlich ihrer wellenlängenabhängigen Empfindlichkeit kalibriert werden. Dies kann mit bezüglich der spektralen Strahldichte kalibrierten Breitbandstrahlern erfolgen.
3.4.3 Messblenden und Messabstände
(1) Bei der Messung von Bestrahlungsstärke und Bestrahlung ist zu berücksichtigen, dass sich die Expositionsgrenzwerte auf die Flächen beziehen, die mit den Grenzblenden in Tabellen A4.3, A4.4 und A4.5 definiert werden. Der Grund hierfür liegt darin, dass damit bei inhomogenen Leistungsdichteverteilungen eine definierte Mittelwertbildung festgelegt wird und dass Strahlungsanteile außerhalb dieser Flächen unberücksichtigt bleiben.
Tab. 1 Anforderungen an die Blendendurchmesser
| Wellenlängenbereich in nm | Blendendurchmesser D in mm | |
| Auge | Haut | |
| 100< λ < 400 | 1 für t< 0,35 s 1,5 × t3/8 für 0,35 s < t < 10 s t> 10 s |
3,5 |
| 400< λ < 1400 | 7 | 3,5 |
| 1.400< λ < 105 | 1 für t< 0,35 s 1,5 × t3/8 für 0,35 s < t < 10 s t> 10 s |
3,5 |
| 105< λ< 106 | 11 | 3,5 |
(2) Allgemeine Hilfestellung zur richtigen Durchführung von Messungen können der Norm DIN EN ISO 11554 [10] entnommen werden.
3.4.4 Grenz-Empfangswinkel γP
(1) Aus den Tabellen für die Expositionsgrenzwerte wird ersichtlich, dass für die fotochemische Gefährdung (400 nm< λ< 600 nm) ein sogenannter Grenz-Empfangswinkel γP zu berücksichtigen ist (Definition des Empfangswinkels siehe Teil " Allgemeines" der TROS Laserstrahlung). Dies ist dem Umstand geschuldet, dass bei längeren Beobachtungsdauern das Bild der Quelle durch die Augenbewegung verwischt und damit die Gefährdung verringert wird.
(2) Das Verwischen des Netzhautbildes bei längeren Beobachtungsdauern wird dadurch berücksichtigt, dass eine Blende vor der Strahlungsquelle (Feldblende) den Empfangswinkel einschränkt (siehe Anlage 2 dieser TROS Laserstrahlung, Abbildung A2.5). Eine weitere Möglichkeit zur Begrenzung des Empfangswinkels wird in Abbildung A2.6 gezeigt.
(3) Der Grenz-Empfangswinkel γP hängt von der Expositionsdauer t ab und ist wie folgt definiert:
| t< 100 s | γP = 11 mrad |
| 100 s < t< 104s | γP = 1,1 × t0,5 mrad |
| t > 104 s | γP = 110 mrad |
(4) Der Grenz-Empfangswinkel γP hängt biologisch mit den Augenbewegungen zusammen und nicht von der Winkelausdehnung α der Quelle ab. Der Grenz-Empfangswinkel γP kann größer oder kleiner als die Winkelausdehnung α der Quelle sein.
(5) Es ist in jedem Fall korrekt, wenn der errechnete Grenz-Empfangswinkel γP verwendet wird.
3.4.5 Messung der Impulsdauer und Impulsfolgefrequenz
(1) Die Messung der Impulsdauer und Impulsfolgefrequenz (Definition siehe Anlage 1 dieser TROS Laserstrahlung) kann mittels eines schnellen Fotodetektors und eines entsprechenden Oszilloskops realisiert werden.
(2) Die Parameter Impulsdauer und Impulsfolgefrequenz können in einigen Fällen auch anhand der elektrischen Ansteuerung berechnet werden, z.B. für Laserstrahlungsimpulse, die durch rotierende Spiegel erzeugt werden.
(3) Auch bei variablen Impulspaketen können die Impulse entsprechend Anlage 4 dieser TROS Laserstrahlung, Tabelle A4.7 aufsummiert werden.
3.4.6 Durchführung der Messung
(1) Bei der Durchführung der Strahlungsmessung ist sicherzustellen, dass keine Personen gefährdet werden. Hierzu sind entsprechende Schutzmaßnahmen unter Berücksichtigung vorkommender Wellenlängen, Strahlrichtungen und Bestrahlungsstärken sowie sekundärer Gefährdungen zu ergreifen.
(2) Die Orte, an denen die Messgeräte aufgestellt werden, und die Richtungen, in die die Empfänger ausgerichtet werden, sind so zu wählen, dass das Messergebnis den denkbar ungünstigsten Fall repräsentiert ("worst-case"-Szenario). Hierzu kann es nötig sein, Messungen an verschiedenen Orten und in verschiedene Richtungen durchzuführen.
(3) Ein wichtiger Faktor ist die Dauer der Messung. Sie muss sich am zeitlichen Verlauf der Exposition orientieren und muss repräsentativ für die Exposition sein.
(4) Ferner sind die spezifischen Umgebungsbedingungen an den Arbeitsplätzen, wie z.B. Temperatur, Luftfeuchte sowie elektromagnetische Felder, zu berücksichtigen. So kann die Leistung eines Halbleiterlasers bei niedrigen Temperaturen wesentlich ansteigen.
3.4.7 Auswertung der Messergebnisse
Die Auswertung der Messergebnisse ist so durchzuführen, dass die Endergebnisse in den Strahlungsgrößen und Einheiten der Expositionsgrenzwerte vorliegen. Neben dem Messergebnis selbst ist auch die Messunsicherheit zu berechnen oder zur sicheren Seite abzuschätzen und anzugeben.
3.4.8 Beurteilung der Exposition
(1) Das Ergebnis der Messung wird mit dem entsprechenden Expositionsgrenzwert aus Anlage 4, Abschnitt A4.1 dieser TROS Laserstrahlung verglichen. Hierbei ist auch die Messunsicherheit zu berücksichtigen. Dabei wird festgestellt, ob der Expositionsgrenzwert eingehalten ist oder überschritten wird. Ist eine solche klare Feststellung nicht möglich, weil das Messergebnis in der Nähe des Expositionsgrenzwertes liegt und die Messunsicherheit eine eindeutige Aussage nicht zulässt, dann sind zunächst Maßnahmen zur Verminderung der Exposition zu ergreifen und anschließend die Messung zu wiederholen.
(2) Zusätzlich zu dem Ergebnis der Beurteilung sind alle Faktoren festzuhalten, die zur Exposition der Beschäftigten beitragen oder für deren Bewertung von Bedeutung sind. So ist z.B. bei Beschäftigten mit erhöhter Fotosensibilität die Einhaltung der Expositionsgrenzwerte nach Anlage 4, Abschnitt A4.1 dieser TROS Laserstrahlung nicht ausreichend und eine weitergehende Reduzierung der Exposition ggf. notwendig. Gegebenenfalls ist eine arbeitsmedizinische Beratung erforderlich.
(3) Wirkt Laserstrahlung auf mehrere Beschäftigte in gleicher Weise ein, dann kann nach § 4 Absatz 2 OStrV das Ergebnis einer geeigneten Stichprobenmessung als repräsentativ für die persönlichen Expositionen angesehen werden.
3.5 Anwendung von Schutzmaßnahmen
Die Auswahl und Anwendung von Schutzmaßnahmen ist Gegenstand des Teils 3 "Maßnahmen zum Schutz vor Gefährdungen durch Laserstrahlung" der TROS Laserstrahlung.
3.6 Wiederholung von Messungen und Bewertung
Wiederholungen sind insbesondere dann durchzuführen, wenn:
3.7 Messbericht
(1) Die Ergebnisse von Vorprüfung, Messungen und Bewertung sind in einem Bericht zusammenzufassen. Sofern bereits auf Grundlage der Vorprüfung eine Aussage gemacht werden kann, ob Expositionsgrenzwerte eingehalten oder überschritten werden können, reicht ein Kurzbericht aus. Wird zusätzlich eine Messung und Bewertung der Exposition durchgeführt, ist ein ausführlicher Bericht anzufertigen.
Ein Messbericht enthält insbesondere Angaben zu:
(2) Der Bericht ist so abzufassen, dass die Expositionssituation nachvollziehbar dargestellt wird. Es muss erkennbar sein, ob Maßnahmen zur Reduzierung der Exposition erforderlich sind.
(3) Der Bericht ist gemäß § 3 Absatz 4 OStrV in einer solchen Form aufzubewahren, dass eine spätere Einsichtnahme möglich ist. Für Expositionen gegenüber UV-Strahlung sind diese Unterlagen mindestens 30 Jahre aufzubewahren.
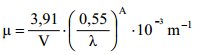
4 Einflussfaktoren bei der Ermittlung der Expositionsgrenzwerte
(1) Die Expositionsgrenzwerte für Expositionen von Beschäftigten an Arbeitsplätzen gegenüber Laserstrahlung sind in Anlage 4, Abschnitt A4.1 dieser TROS Laserstrahlung aufgeführt.
(2) Die Expositionsgrenzwerte werden in Abhängigkeit von der Wellenlänge, der Expositionsdauer und teilweise der Winkelausdehnung der Quelle angegeben. Die Angabe erfolgt in W · m-2(Bestrahlungsstärke) oder in J · m-2(Bestrahlung).
4.1 Relevante Expositionsdauern
(1) Die OStrV umfasst Bewertungen je nach Arbeitsplatzanalyse mit Expositionsdauern bis zu 30.000 s pro Tag. Im Folgenden werden zur Orientierung einige wichtige Zeiten genannt, die für bestimmte Expositionsbedingungen typisch sind. Diese Expositionsdauern werden zum Teil auch bei der Klassifizierung vom Hersteller verwendet.
(2) Als typische relevante Expositionsdauern kommen 30.000 s (entspricht einem achtstündigen Arbeitstag), 100 s (typisch für Laserstrahlung mit Wellenlängen größer als 400 nm bei unterstelltem nichtbeabsichtigtem zufälligem Blick), 10 s oder 5 s (typisch für die Auswahl von Laser-Schutzbrillen und Laser-Schutz-Filtern je nach Ausgabedatum der Norm, nach der der Filter geprüft wurde), 2 s (typisch für den bewussten Blick eines unterwiesenen Beschäftigten in einen Laser der Klasse 2 beim Justieren eines feststehenden Lasers) und die Zeitdauer von 0,25 s für den kurzzeitigen, zufälligen Blick (z.B. in den sichtbaren Strahl eines handgehaltenen oder -geführten Laserpointers) zur Anwendung (siehe Tabelle 2).
Tab. 2 Typische Expositionsdauer für verschiedene Anwendungsfälle
| Expositionsdauer | Anwendungen |
| 0,25 s | typisch für den kurzzeitigen, zufälligen Blick in den sichtbaren Laserstrahl eines handgehaltenen oder -geführten Laserpointers oder eines anderen Lasers |
| 2 s | typisch für den bewussten Blick eines unterwiesenen Beschäftigten in den Laserstrahl eines Klasse-2-Lasers beim Justieren (feststehender Laser) |
| 5 s | typisch für die Auswahl von Laser-Schutzbrillen und Filtern je nach Ausgabedatum der Norm, nach der der Filter geprüft wurde (seit 2010) |
| 10 s | typisch für die Auswahl von Laser-Schutzbrillen und Filtern je nach Ausgabedatum der Norm, nach der der Filter geprüft wurde (bis 2010) |
| 100 s | typisch für Laserstrahlung mit Wellenlängen größer als 400 nm bei unterstelltem nichtbeabsichtigtem zufälligen Blick |
| 30.000 s | typisch für Laserstrahlung mit unterstelltem beabsichtigtem Blick in Richtung Laserstrahlungsquelle über längere Zeiträume, d. h. länger als 100 s |
4.2 Strahlung mehrerer Wellenlängen
(1) Bei Expositionen, die Laserstrahlung mit unterschiedlichen Wellenlängen beinhalten, muss zunächst geprüft werden, ob die zulässigen Expositionsgrenzwerte für die einzelnen Wellenlängen überschritten sind. Daneben ist aber für verschiedene Wellenlängenbereiche eine Additivität der Wirkung der Strahlung zu berücksichtigen. Beispielsweise kann eine Bestrahlung im UV-A-Wellenlängenbereich ebenso zur Ausbildung eines Grauen Stars beitragen, wie die Einwirkung von IR-A-Strahlung. Einen Überblick bezüglich der Additivität gibt Tabelle 3.
Tab. 3 Additive Wirkung der Strahlungseinwirkung verschiedener Wellenlängenbereiche für Auge und Haut
| Wellenlängenbereich | 100 nm bis 315 nm | 315 nm bis 400 nm | 400 nm bis 1.400 nm | 1.400 nm bis 106 nm |
| 100 nm bis 315 nm | Auge/Haut | |||
| 315 nm bis 400 nm | Auge/Haut | Haut | Auge/Haut | |
| 400 nm bis 1.400 nm | Haut | Auge/Haut | Haut | |
| 1.400 nm bis 106 nm | Auge/Haut | Haut | Auge/Haut |
(2) Liegt eine additive Wirkung von i verschiedenen Wellenlängen λi vor, so muss die Summe der Quotienten aus der Bestrahlungsstärke Ei und der jeweiligen Expositionsgrenzwerte EEGW,λi für alle Werte von i gebildet werden. Der Grenzwert ist eingehalten, wenn diese Summe kleiner als 1 ist:
![]() |
Gl.4.1 |
(3) Entsprechendes gilt für Hi, falls der Expositionsgrenzwert als Bestrahlung angegeben wird.
(4) Liegt keine additive Wirkung vor, so muss jeder einzelne Expositionsgrenzwert eingehalten werden.
4.3 Ermittlung des Korrekturfaktors CEausgedehnter Quellen
Beim Betrachten nahezu paralleler Laserstrahlung (direkter Blick in den Laserstrahl) kann auf der Netzhaut ein minimaler Fleck von ca. 25 μm Durchmesser entstehen. Auf diesen ungünstigsten Fall beziehen sich die Expositionsgrenzwerte. Im Fall des Blicks in eine ausgedehnte Quelle kann der Expositionsgrenzwert um einen Korrekturfaktor CE angehoben werden. Dieser berücksichtigt die Vergrößerung des Abbilds auf der Netzhaut. Die Größe des Laserstrahlflecks auf der Netzhaut wird durch die Winkelausdehnung α gegeben, unter dem die Quelle erscheint (Anlage 2, Abschnitt A2.3 dieser TROS Laserstrahlung). Der Korrekturfaktor CE ist Tabelle A4.6 zu entnehmen.
5 Beispiele zur Berechnung von Expositionen und Expositionsgrenzwerten
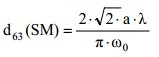
Aus den Herstellerangaben über die wichtigsten Daten des Lasers und der Strahlführung ist es meist möglich, die Bestrahlungsstärke E und die Bestrahlung H zu berechnen. Für die Aufgabe benötigt man Angaben über die Laserleistung bei kontinuierlichen Lasern und die Impulsenergie, Impulsbreite und Impulswiederholfrequenz bei gepulsten Lasern. Weiterhin benötigt man Angaben über den Strahldurchmesser (in dem 63 % der Laserleistung enthalten ist) und den Strahlverlauf (Konvergenz oder Divergenz). Daraus lässt sich bei verschiedenen Anwendungen der kleinste relevante Strahldurchmesser ermitteln.
5.1 Kollimierte Laserstrahlung
Bei kollimierter Laserstrahlung lässt sich der kleinste relevante Strahldurchmesser aus der Strahldivergenz und dem minimalen Abstand der Beschäftigten zur Laserstrahlungsquelle bestimmen (siehe Anlage 2, Abschnitt A2.1). Die Exposition kann in diesem und in den folgenden Fällen aus der angegebenen Laserleistung oder Impulsenergie und der Fläche, die dem kleinsten relevanten Durchmesser zugeordnet ist, berechnet werden.
Beispiel:
Ein Nd:YAG-Laser (Wellenlänge λ = 1.064 nm, Leistung P = 100 mW) strahlt mit einem Durchmesser von d63 = 2 mm. Zu berechnen ist die Bestrahlungsstärke E für eine Exposition der Augen und diese ist mit dem Expositionsgrenzwert EEGW zu vergleichen. Für den Fehlerfall wird von einer maximalen Expositionsdauer von t = 10 s ausgegangen. Die Strahldivergenz soll in diesem Beispiel vernachlässigt werden. Die Winkelausdehnung α ist kleiner als 1,5 mrad ("Punktlichtquelle").
Zunächst ist anhand von Tabelle 1 zu prüfen, welcher Blendendurchmesser D für die Berechnung der Fläche a zwecks Vergleichs mit dem Expositionsgrenzwert zu nehmen ist. Es muss danach für das Auge ein Blendendurchmesser von D = 7 mm verwendet werden.
Bestrahlte Fläche:
|
Gl. 5.1 |
Bestrahlungsstärke:
|
Gl. 5.2 |
Die Berechnung des Expositionsgrenzwertes EEGW erfolgt gemäß Anlage 4, Tabelle A4.4:
| EEGW= 10 × CA×CC × W × m-2 | Gl. 5.3 |
Aus Anlage 4, Tabelle A4.6 entnimmt man die Parameter Ca= 5 und CC= 1. Damit ergibt sich EEGW= 50 W × m-2. Die berechnete Bestrahlungsstärke E = 2597 W × m-2 liegt weit über dem Expositionsgrenzwert. Vom Arbeitgeber müssen geeignete Schutzmaßnahmen ausgewählt und getroffen werden.
5.2 Fokussierung von Laserstrahlung mit einer Linse
(1) Der kleinste relevante Strahldurchmesser ist abhängig vom Strahldurchmesser an der Linse sowie von der Brennweite der Linse und wird im kleinstmöglichen Abstand des Beobachters zur Laserstrahlungsquelle bestimmt (siehe Abbildung 3). Bei sichtbarer Laserstrahlung und im IR-A-Spektralbereich (400 nm bis 1.400 nm) - im Sinne einer "worst-case"-Abschätzung - kann von einem kleinsten Expositionsabstand von 100 mm hinter dem Fokus ausgegangen werden. Dies ist der Tatsache geschuldet, dass das schärfste (kleinste) Bild auf der Netzhaut in der Regel bei diesem Abstand entsteht.
(2) Man kann den Strahldurchmesser dx am Expositionsort wie folgt berechnen:
| dx= d63 × x/ f | Gl. 5.4 |
Dabei ist d63der Strahldurchmesser an der Linse, x die Entfernung des Orts der Exposition vom Fokus und f die Brennweite der Linse.
Abb. 3 Laserstrahlung mit einer Linse gebündelt

Beispiel:
Ein Diodenlaser (Wellenlänge λ = 950 nm, Leistung P = 1,1 W) sendet einen nahezu parallelen Laserstrahl mit einem Durchmesser d63 von 3 mm aus und wird durch eine Linse mit der Brennweite f = 10 mm fokussiert. Zur Ermittlung der maximalen Gefährdung für eine Exposition der Augen und der Haut über t = 100 s wird die Bestrahlungsstärke E mit den Expositionsgrenzwerten EEGW verglichen.
Berechnung für die Augengefährdung:
Da der Laserstrahl auf die Netzhaut fokussiert werden kann, wird der Strahldurchmesser dx in diesem Beispiel im ungünstigsten Abstand von x = 100 mm Entfernung vom Fokus der Linse bestimmt:
|
Gl. 5.5 |
Der Durchmesser des Strahls ist größer als die Messblende von 7 mm nach Abschnitt 3.4.3, Tabelle 1, und ist somit für die Berechnung der Strahlquerschnittsfläche a anzuwenden.
Berechnung der Strahlquerschnittsfläche A:
|
Gl. 5.6 |
|
Gl. 5.7 |
Expositionsgrenzwert EEGW: EEGW = 10 × CA × CC W × m-2
Aus Anlage 4, Tabelle A4.6 entnimmt man die Parameter Ca= 100,002 ×(λ - 700) = 3,16 und CC = 1. Damit erhält man EEGW = 31,6 W × m-2. Die berechnete Bestrahlungsstärke E = 1.549 W × m-2 liegt weit über dem Expositionsgrenzwert. Entsprechende technische und organisatorische Schutzmaßnahmen müssen vom Arbeitgeber getroffen werden.
Berechnung für die Hautgefährdung:
Da der Laserstrahl auf die Haut (dies gilt auch für die Hornhaut des Auges) fokussiert werden kann, muss der Durchmesser im Fokus der Linse bestimmt werden. Der Durchmesser des Strahls im Fokus ist daher kleiner als die Messblende mit einem Durchmesser von 3,5 mm. Nach Abschnitt 3.4.3 ist somit für die Berechnung der Fläche a die Messblende entsprechend der Tabelle 1 anzuwenden (D = 3,5 mm).
Berechnung der Strahlquerschnittsfläche A:
|
Gl. 5.8 | ||||||||||||||||||
|
Gl. 5.9 |
Expositionsgrenzwert EEGW für die Haut aus Anlage 4, Tabelle A4.5:
| EEGW= 2 × 103 × CA W × m-2 | Gl. 5.10 |
Mit Ca= 3,16, ergibt sich EEGW= 6.320 W × m-2 . Die berechnete Bestrahlungsstärke E ≈ 115.000 W × m-2 liegt deutlich über dem Expositionsgrenzwert. Entsprechende technische und organisatorische Schutzmaßnahmen müssen vom Arbeitgeber getroffen werden.
5.3 Laserstrahlung aus einem Lichtwellenleiter
(1) Laserstrahlung tritt aus Lichtwellenleitern divergent in Abhängigkeit von der numerischen Apertur (Na = sin(Φ /2), Φ = voller Öffnungswinkel) aus (siehe Abbildung 4). Als kleinstmöglicher Abstand von dem Laseraustritt kann im Wellenlängenbereich von 400 nm bis 1.400 nm ein Abstand von 100 mm angenommen werden.
Abb. 4 Laserstrahlung aus einem Lichtwellenleiter
(n1= Brechungsindex des Kerns, n2 = Brechungsindex des Mantels)

(2) In der folgenden Tabelle 4 wird der Zusammenhang zwischen der Numerischen Apertur Na und dem Strahldurchmesser bei dem ungünstigsten Abstand von 100 mm angegeben. Wenn die austretende Laserleistung (z.B. aus dem Datenblatt) bekannt ist, kann auf diese Weise die Bestrahlungsstärke im ungünstigsten Abstand von 100 mm vom LWL-Austritt berechnet werden.
Tab. 4 Strahldurchmesser in 100 mm Entfernung in Abhängigkeit von der Numerischen Apertur NA
| NA | Φ in Grad | Strahldurchmesser in mm |
| 0,0 | 0,0 | 0 |
| 0,1 | 11,5 | 20,1 |
| 0,2 | 23,1 | 40,8 |
| 0,3 | 34,9 | 62,9 |
| 0,4 | 47,2 | 87,3 |
| 0,5 | 60,0 | 115,5 |
| 0,6 | 73,7 | 150,0 |
| 0,7 | 88,9 | 196,0 |
| 0,8 | 106,3 | 266,7 |
| 0,9 | 128,3 | 412,9 |
5.4 Ausgedehnte Quellen bei vollkommen diffuser Reflexion
(1) Beim direkten Blick in einen gebündelten Laserstrahl (mit einem kleineren Durchmesser als dem der Pupille) wird u. U. die gesamte in das Auge fallende Strahlungsleistung durch die Augenlinse auf einen kleinen Punkt auf der Netzhaut fokussiert. Bei Blick in ausgedehnte Quellen entsteht auf der Netzhaut ein größeres Abbild, über welches die einfallende Strahlungsleistung verteilt wird. Der für den obigen Fall ("Punktlichtquellen") gültige Expositionsgrenzwert kann dann um den Faktor CE (siehe Anlage 4, Tabelle A4.6) vergrößert werden. Eine ausgedehnte Quelle kann beispielsweise vorliegen, wenn ein aufgeweiteter Laserstrahl auf eine diffus reflektierende Wand (z.B. mattweiß gestrichene Wand, keine spiegelnd reflektierende Flächen vorhanden) gerichtet ist und in diese Reflexionsstelle geblickt wird.
(2) Dabei ist zu berücksichtigen, dass diffuse Reflexion häufig auch gerichtet reflektierte Anteile besitzt. Dieses Beispiel ist nicht anwendbar bei optischen Strahlungsleistungen, die das Material (in diesem Beispiel die Wand) verändern würden.
Beispiel:
Ein Laserstrahl (Wellenlänge λ = 670 nm, Strahldivergenz Φ = 10 mrad) mit der Leistung P = 1,1 W wird an einer Fläche mit einem Fleckdurchmesser von d63= 1,5 cm ideal diffus reflektiert. Zu berechnen ist der Expositionsgrenzwert EEGW für thermische Netzhautschädigung für eine maximale Expositionsdauer von t = 100 s (zufälliger unbeabsichtigter Blick, siehe Abschnitt 4.1) und eine minimale Wandentfernung von r = 1,2 m und es ist festzustellen, ob eine sichere Betrachtung in diesem Abstand möglich ist.
Lösung:
Der Expositionsgrenzwert für thermische Netzhautschädigung wird nach Tabelle A4.4 (Bereich 400 nm - 700 nm) berechnet. Er hängt von den Parametern α, CEund T2ab. Nach Anlage 2, Abschnitt A2.3 gilt für die Winkelausdehnung α der scheinbaren Quelle:
|
Gl. 5.11 |
Dies gilt nur bei senkrechtem Einfall und Blick auf die diffus reflektierende Fläche ("worst-case"-Szenario). Bei schrägem Blick wird der Fleck in Form einer Ellipse gesehen und α ist entsprechend anzupassen.
Damit wird CE nach Anlage 4, Tabelle A4.6:
|
Gl. 5.12 |
T2berechnet sich wie folgt (Tabelle A4.6):
| T2 = 10 × 10((α -1,5)/98,5) s = 12,93 s | Gl. 5.13 |
Mit diesen Werten (α > 1,5 mrad und t > T2) berechnet sich der Expositionsgrenzwert nach Tabelle A4.4 wie folgt:
| EEGW = 18 × CE × T2- 0,25 W × m-2 = 79,07 W × m-2 | Gl. 5.14 |
Beim idealen Lambert'schen Strahler (in den Halbraum) errechnet sich die Bestrahlungsstärke in Augenebene im Abstand von r = 1,2 m aus,
|
Gl. 5.15 |
wobei ρ Reflexionsgrad und ε Betrachtungswinkel in Bezug auf die reflektierende Fläche sind. Unter "worst-case"-Bedingungen, d. h. für ρ = 1 (keine Verluste) und ε = 0 (senkrecht zur diffus reflektierenden Oberfläche, cos e = 1), gilt:
|
Gl. 5.16 |
Die Bestrahlungsstärke E = 0,24 W × m-2 im Abstand von 1,2 m liegt damit deutlich unter dem Expositionsgrenzwert EEGW= 79,07 W × m-2 für 100 s und die Reflexionsstelle kann somit sicher für diese Zeit betrachtet werden. Danach bräuchten keine Schutzmaßnahmen ergriffen werden.
Bei der Annahme, es würde nur 10 % der Strahlung nahezu spiegelnd reflektiert und dieser Strahlungsanteil in einem Abstand von 1,2 m aufgrund der Divergenz auf eine Strahlquerschnittsfläche von a = 1,13 × 10-4 m2 aufgeweitet, dann würde sich dort eine Bestrahlungsstärke von
|
Gl. 5.17 |
ergeben. Dieser so berechnete Wert liegt um den Faktor 12,3 oberhalb des Expositionsgrenzwertes. Schutzmaßnahmen wären dann erforderlich.
5.5 Exposition durch Laserstrahlung mit verschiedenen Wellenlängen
Beispiel:
Ein aufgeweiteter Nd:YAG-Laserstrahl (cw) strahlt mit λ1 = 1.064 nm, P1= 1,5 mW und λ2= 532 nm, P2= 0,4 mW, Strahlquerschnitt jeweils 38,5 mm2. Wie hoch sind die Expositionsgrenzwerte für beide Wellenlängen bei einer Bestrahlungsdauer von t1= 2 s und t2= 10 s? Die Winkelausdehnung α ist kleiner als 1,5 mrad ("Punktlichtquelle"). Wird der Expositionsgrenzwert für thermische Netzhautschädigung eingehalten?
Lösung:
Die Expositionsgrenzwerte werden nach Tabellen A4.3 und A4.4 berechnet. Sie hängen von den Parametern CE, CCund t ab.
a) t1= 2 s (Tabelle A4.3)
Für die Wellenlänge λ1 = 1.064 nm gilt der Expositionsgrenzwert
| HEGW,λ1 = 90 × CC × CE × t 0,75 J × m-2 = 151,4 J × m-2 , | Gl. 5.18 |
mit CC = 1 und CE = 1. Damit folgt für den Expositionsgrenzwert, ausgedrückt als Bestrahlungsstärke:
|
Gl. 5.19 |
Die Bestrahlungsstärke des Lasers für die Wellenlänge λ1beträgt:
|
Gl. 5.20 |
Für die Wellenlänge λ2 = 532 nm gilt der Expositionsgrenzwert
| HEGW,λ2 = 18 × CE × t0,75 J × m-2 = 30,3 J × m-2 | Gl. 5.21 |
bzw.
|
Gl. 5.22 |
Der Laser hat bezüglich dieser Wellenlänge eine Bestrahlungsstärke von
|
Gl. 5.23 |
b) t2= 10 s (Tabelle A4.4)
Für die Wellenlänge λ1 = 1.064 nm gilt der Expositionsgrenzwert
| EEGW,λ1= 10 × CA × CC W × m-2 = 50 W × m-2 | Gl. 5.24 |
mit CA = 5 und CC= 1. Für die Wellenlänge λ2= 532 nm gilt der Expositionsgrenzwert:
Überprüfung, ob der Expositionsgrenzwert eingehalten ist: Nach Abschnitt 4.2 muss überprüft werden, ob die Forderung
|
Gl. 5.25 |
gilt. Im Fall der Expositionsdauer t1 = 2 s ergibt sich:
|
Gl. 5.26 |
und im Fall der Expositionsdauer t2 = 10 s erhält man
|
Gl. 5.27 |
Der Expositionsgrenzwert wird bei beiden Expositionsdauern überschritten. Entsprechende Schutzmaßnahmen müssen festgelegt werden.
5.6 Abschätzung der Gefährdung durch einen einfachen Laserscanner
Beispiel:
Laserstrahlung von Scannern bzw. örtlich bewegter Laserstrahlung wird mit einer feststehenden Messblende bewertet. Es ergibt sich dann eine Impulsstrahlung.
| Wellenlänge: | λ = 650 nm |
| Laserleistung: | P = 0,1 W |
| Scanfrequenz: | f = 100 Hz |
| Scanbereich Durchmesser: | dscan = 200 mm |
| Strahldurchmesser: | d = 1 mm |
| Durchmesser der Messblende zur Leistungsmessung (siehe Tabelle 1): | D = 7 mm |
| Expositionsdurchmesser: | a = D + d = 8 mm |
Ein durch einen harmonisch angesteuerten Laserscanner bewegter Laserstrahl überstreicht das Auge. Die für den Betrachter gefährlichste Situation entsteht dann, wenn der Laserstrahl einen Richtungswechsel an den Orten +rscanund -rscanvornimmt (Abbildung 5), da der Laserstrahl in dieser Situation am längsten im Auge verharrt. Gesucht wird die Expositionsdauer Δt, in der ein Betrachter dem Laserstrahl beim Richtungswechsel ausgesetzt wird.
Abb. 5 Scanbereich und zeitlicher Verlauf beim Scannen

Für die Kosinusfunktion im Weg-Zeit Diagramm gilt:
| z = rscan × cos ωt | Gl. 5.28 |
Mit z = rscan- a und der Kreisfrequenz ω = 2π· f, folgt daraus:
| rscan - a = rscan × cos (2π . f × Δt) | Gl. 5.29 |
| 2π × f × Δt = arc cos (rscan-a) / rscan | Gl. 5.30 |
Expositionsdauer Δt der Netzhaut:
![]() |
Gl. 5.31 |
Expositionsgrenzwert im sichtbaren Spektralbereich für Zeiten 1,8 · 10-5 s bis 10 s beträgt (mit CE= 1):
| HEGW = 18 × t0,75 J × m-2 | Gl. 5.32 |
Da der Strahl an den Umkehrpunkten zweimal das Auge überstreicht, ist die Bestrahlungsdauer t = 2 · Δt. Es folgt HEGW= 0,13 J × m-2 und
|
Gl. 5.33 |
Bestrahlungsstärke (Leistungsdichte) E des Laserstrahls beträgt:
|
Gl. 5.34 |
In diesem Bespiel überschreitet die Leistungsdichte des Lasers den Expositionsgrenzwert um das 28-fache. Entsprechende Schutzmaßnahmen müssen festgelegt werden.
5.7 Beispiel zur Bewertung eines Linienlasers
(1) Ein Laser strahlt kontinuierlich mit einer Wellenlänge von λ = 650 nm. Die Laserlinie wird durch eine Zylinderlinse (Stablinse) erzeugt. Es wird davon ausgegangen, dass CE > 1 ist. Der Laser entspricht der Laserklasse 3B gemäß DIN EN 60825-1:2008 [4].
(2) Für eine Gefährdungsbeurteilung sollen zwei Situationen überprüft werden, bei denen die Beschäftigten der Laserstrahlung ausgesetzt sein könnten.
Es wird angenommen, dass der Beschäftigte längere Zeit (3 h täglich) auf die von einer Wand reflektierte Laserlinie im Abstand von 400 mm blickt. Die Ausdehnung der Laserlinie in x-Richtung beträgt 100 mm und in y-Richtung 5 mm.
(3) Vorgehensweise:
Für die Abstände von 80 mm und 400 mm muss CE ermittelt werden. Die Bestimmung von CE erfolgt über die Ermittlung der Winkelausdehnung α, unter der die scheinbare Quelle am Auge erscheint (siehe A2.3). Zur Bestimmung der scheinbaren Quellengröße wird das Auge durch eine Sammellinse und eine CCD-Kamera simuliert (siehe Abbildungen 6a und 6b). Im Prüfaufbau ist für g die Entfernung von 80 mm bzw. 400 mm zwischen der Vorderkante des Linienlasers bis zur Mitte der Sammellinse einzustellen. Die CCD-Kamera ist so zu verschieben, dass die scheinbare Quelle "scharf" abgebildet wird. Anhand des Kamerabildes werden die Größen Bxund Bysowie die Bildweite b bestimmt. Wie im Laserschutz üblich, wird die Bestrahlungsstärke (oder Leistungsdichte) auf 63 % des Maximalwerts reduziert und daraus können Bxund Byermittelt werden (siehe Abbildung 7).
Mittels des Abbildungsmaßstabs g/b kann die scheinbare Quellengröße Gx in x- und Gy in y-Richtung bestimmt werden:
| Gx = Bx × g / b | Gl. 5.35 |
| Gy = By × g / b | Gl. 5.36 |
Aus den nun ermittelten Werten von Gxund Gykönnen αxund αy ermittelt werden:
| αx= Gx / g | Gl. 5.37 |
| αy= Gy / g | Gl. 5.38 |
Abb. 6 Zur Bestimmung der Winkelausdehnung α der scheinbaren Quelle:
a) Winkelausdehnung α am Auge

b) Prüfaufbau

Abb. 7 Die schraffierte Fläche enthält 63 % der Energie der Laserstrahlung

Randbedingungen:
αmin= 1, 5 mrad
αmax= 100 mrad
Aus den beiden Winkelausdehnungen αx und αy ist entsprechend dieser TROS Laserstrahlung ein Mittelwert αm wie folgt zu bilden:
| αm = (αx + αy) / 2 | Gl. 5.39 |
Daraus wird CEberechnet mit:
| CE = αm / αmin | Gl. 5.40 |
Nebenrechnung für g = 80 mm:
Mittels Messungen wurde Bx mit 0,01 mm und Bymit 0,52 mm bestimmt. Der Abbildungsmaßstab g/b beträgt 1,41. Es ergibt sich Gx= 0,014 mm und Gy = 0,733 mm. Mit dem angenommenen Messabstand g von 80 mm folgt:
|
Gl. 5.41 |
Da der minimale Wert für αx1,5 mrad beträgt, wird mit diesem Wert für αx weiter gerechnet.
|
Gl. 5.42 |
|
Gl. 5.43 |
|
Gl. 5.44 |
In diesem Beispiel wurde im Abstand von 80 mm mit der 7-mm-Blende eine Leistung P von 5 mW gemessen. Dieser Wert ist mit dem Grenzwert für die Laserklasse 2 für 0,25 s zu vergleichen.
Er beträgt PEGW = 1 mW · CE = 3,55 mW. Es ergibt sich, dass dieser Wert schon für eine Expositionsdauer von 0,25 s im Abstand von 80 mm überschritten wird.
Nebenrechnung für g = 400 mm:
Mit dem angenommenen Messabstand (Beobachtungsabstand von der Wand) von 400 mm und Gx = 100 mm und Gy = 5 mm folgt:
|
Gl. 5.45 |
|
Gl. 5.46 |
Da αx maximal 100 mrad groß werden kann, wird αx auf 100 mrad festgelegt.
|
Gl. 5.47 |
|
Gl. 5.48 |
Bei der Leistungsüberprüfung im Abstand von g = 400 mm ergibt sich eine Leistung P von 0,35 mW mit der 7-mm-Blende. Für die Bestimmung des Expositionsgrenzwertes muss der Expositionsgrenzwert für 400 nm< λ< 700 nm aus Tabelle A4.4 herangezogen werden:
| EEGW = 18 × CE × T2-0,25 W × m-2 | Gl. 5.49 |
Der Expositionsgrenzwert muss für die Zeit T2 bestimmt werden. Dabei wird davon ausgegangen, dass eine Blickfixierung der Laserstrahlverteilung auch in längeren Zeitabschnitten (hier 3 h) nicht für längere Zeiten als T2 erfolgt, sondern durch Augen- und Kopfbewegungen verhindert wird. T2 entnimmt man aus Tabelle A4.6 für den Fall 1,5 mrad α < 100 mrad und erhält
| Gl. 5.50 |
Damit ergibt sich der Expositionsgrenzwert von EEGW = 275,6 W × m-2, oder, wenn man mit der Fläche a der Messblende von 38,5 × 10-6 m2 multipliziert, P = 10,6 mW. Dieser Expositionsgrenzwert wird also eingehalten. Vorübergehende Blendung ist jedoch möglich und muss speziell betrachtet werden.
6 Literaturhinweise
[1] DIN EN 207:2012-04: Persönlicher Augenschutz - Filter und Augenschutzgeräte gegen Laserstrahlung (Laserschutzbrillen)
[2] DIN EN 208:2010-04: Persönlicher Augenschutz - Augenschutzgeräte für Justierarbeiten an Lasern und Laseraufbauten (Laser-Justierbrillen)
[3] DIN EN 12254:2012-04: Abschirmungen an Laserarbeitsplätzen - Sicherheitstechnische Anforderungen und Prüfung
[4] DIN EN 60825-1:2008-05: Sicherheit von Lasereinrichtungen - Teil 1: Klassifizierung von Anlagen und Anforderungen
[5] DIN EN 60825-4:2011-12: Sicherheit von Lasereinrichtungen - Teil 4: Laserschutzwände
[6] DIN EN 61040:1993-08: Empfänger, Meßgeräte und Anlagen zur Messung von Leistung und Energie von Laserstrahlen
[7] DIN EN ISO 11145:2008-11: Optik und Photonik - Laser und Laseranlagen - Begriffe und Formelzeichen
[8] DIN EN ISO 11146-1:2005-04: Laser und Laseranlagen - Prüfverfahren für Laserstrahlabmessungen, Divergenzwinkel und Beugungsmaßzahlen - Teil 1: Stigmatische und einfach astigmatische Strahlen
[9] DIN EN ISO 11146-2:2005-05: Laser und Laseranlagen - Prüfverfahren für Laserstrahlabmessungen, Divergenzwinkel und Beugungsmaßzahlen - Teil 2: Allgemein astigmatische Strahlen
[10] DIN EN ISO 11554:2008-11: Optik und Photonik - Laser und Laseranlagen - Prüfverfahren für Leistung, Energie und Kenngrößen des Zeitverhaltens von Laserstrahlen
[11] DIN EN 60825 Beiblatt 13:2013-04: Sicherheit von Lasereinrichtungen - Beiblatt 13: Messungen zur Klassifizierung von Lasereinrichtungen
[12] DGUV Information 203-039: Umgang mit Lichtwellenleiter-Kommunikations-Systemen (LWKS)
| Messgrößen und Parameter zur Charakterisierung von Laserstrahlung | Anlage 1 |
Die Beschreibung der Eigenschaften der von Laser-Einrichtungen emittierten Strahlung erfolgt durch Angabe verschiedener Messgrößen bzw. Parameter aus den Tabellen A1, A2 und A3. Die Tabellen enthalten die wesentlichen Messgrößen und Parameter, die bei Berechnungen oder Messungen von Laserstrahlung berücksichtigt werden müssen. Erläuterungen zu diesen Größen sind in Anlage 2 aufgeführt. Umfassendere Auflistungen können je nach Anwendungsfall z.B. DIN EN ISO 11145 [7] oder DIN EN 60825-1 [4] entnommen werden. Für die Erstellung einer Gefährdungsbeurteilung sollte die Anzahl der Messgrößen und Parameter auf das Mindestmaß beschränkt werden, das eine vollständige und sachgerechte Analyse ermöglicht. In der Mehrzahl der Fälle sind als wesentliche Messgrößen die Leistung oder Energie, die Wellenlänge sowie das Strahlprofil des Laserstrahls zu bestimmen.
Tab. A1 Geometrische Größen und Größen zur Laserstrahlcharakterisierung
| Formelzeichen | Bezeichnung | Beschreibung | Einheit |
| α | ebener Winkel, α = k / r | Quotient aus dem vom ebenen Winkel aus einem Kreis herausgeschnittenen Kreisbogen k und dem Radius des Kreises r | rad |
| Ω | Raumwinkel Ω = a / r2 | Quotient der vom räumlichen Winkel aus einer Kugel herausgeschnittenen Oberfläche a und dem Quadrat des Kugelradius | sr |
| A | Strahlquerschnittsfläche | kleinste Fläche, die einen bestimmten Anteil der Strahlungsleistung enthält | m2 |
| d | Strahldurchmesser | Durchmesser des kleinsten Kreises in einer Ebene senkrecht zur Strahlachse, der einen bestimmten Anteil der Strahlungsleistung enthält | m |
| Φ, θ | Strahldivergenz, Divergenzwinkel, Fernfelddivergenzwinkel, Fernfeldöffnungswinkel |
Vollwinkel, der durch das Geradenpaar gebildet wird, das asymptotisch die Einhüllende der zunehmenden Strahlabmessung enthält (wird bezüglich eines vorgegebenen Leistungsanteilsdefiniert) | rad |
| tH | Impulsdauer | Intervall zwischen den Zeitpunkten, bei denen die momentane Leistung 50 % der Spitzenleistung zum ersten und zum letzten Mal erreicht | s |
| F, fP | Impulsfolgefrequenz, Impulswiederholfrequenz |
Anzahl der Laserimpulse je Sekunde bei einem wiederholt gepulsten Laser | Hz |
| λ | Wellenlänge | nm | |
| DlH | wellenlängenbezogene spektrale Bandbreite | maximale Differenz zwischen den Wellenlängen, für die die spektrale Leistungsdichte die Hälfte ihres Maximalwertes erreicht | nm |
Tab. A2 Radiometrische Größen
| Formelzeichen | Bezeichnung | Beschreibung | Einheit |
| P, dP Pm, Pav Ppk |
Strahlungsleistung, P = dQ/dt mittlere Leistung Spitzenleistung |
Energiemenge pro Zeiteinheit zeitlich gemittelte Leistung Maximalwert der Strahlungsleistung (innerhalb eines Laserimpulses) |
W |
| Q, dQ | Strahlungsenergie | J | |
| E, E(t) | Bestrahlungsstärke (Leistungsdichte), E = dP/dA |
die auf eine Fläche einfallende Strahlungsleistung je Flächeneinheit; E und E(t) (zeitlich variierende Bestrahlungsstärke) werden aus Messungen gewonnen oder können vom Hersteller der Laseranlage angegeben werden | W × m-2 |
| H | Bestrahlung (Energiedichte), H = dQ/dA |
zeitliches Integral der Bestrahlungsstärke | J × m-2 |
| t | Zeit, Dauer der Strahlungseinwirkung | s | |
| G | zeitlich integrierte Strahldichte | Integral der Strahldichte über eine bestimmte Expositionsdauer | J × m-2 × sr-1 |
Tab. A3 Laserschutzrelevante Parameter
| Formelzeichen | Bezeichnung | Beschreibung/Bemerkung | Einheit |
| CA, CB, CC | wellenlängenabhängige Wichtungsfaktoren | Wellenlänge in nm einsetzen | - |
| T1 | wellenlängenabhängiger Zeitparameter | zur Auswahl des relevanten Strahlungsgrenzwertes | s |
| αmin | kleinster Grenzwinkel, αmin= 1,5 mrad | oberhalb dieses Grenzwinkels erscheinen Laserstrahlungsquellen als ausgedehnt | rad |
| αmax | größter Grenzwinkel, αmax = 100 mrad | größter anzuwendender Winkel zur Beschreibung ausgedehnter Quellen | rad |
| α | Winkelausdehnung der scheinbaren Quelle | der ebene Winkel unter dem die scheinbare Quelle von einem Raumpunkt aus erscheint | rad |
| CE | Korrekturfaktor für ausgedehnte Quellen | abhängig von der Winkelausdehnung der scheinbaren Quelle | - |
| T2 | Zeitparameter, abhängig von der Winkelausdehnung der scheinbaren Quelle | zur Auswahl des relevanten thermischen Grenzwertes | s |
| γ | Empfangswinkel | derjenige Winkel, innerhalb dessen ein Strahlungsempfänger anspricht | rad |
| CP | CP = N-0,25, Korrekturfaktor für den Fall wiederholt gepulster Laserstrahlung | Reduktionsfaktor für den Einzelimpulsgrenzwert, N ist Anzahl der Impulse | - |
| Tmin | wellenlängenabhängiger Zeitparameter | Zeitdauer, unterhalb derer kürzere Einzelimpulse zu addieren sind | s |
| NOHD | Augensicherheitsabstand (engl.: nominal ocular hazard distance) | Entfernung, in der die Bestrahlungsstärke oder die Bestrahlung gleich dem entsprechenden Expositionsgrenzwert des Auges ist. Die zugrunde gelegte Zeit, z.B. 0,25 s oder 100 s ist in der Regel mit anzugeben. | m |
| ENOHD | erweiterter Augensicherheitsabstand (engl.: enlarged nominal ocular hazard distance) | Wie bei NOHD, aber mit der Berücksichtigung der Beobachtung mit vergrößernden optischen Instrumenten. | m |
| t, Δt | Expositionsdauer | Zeitdauer, die einer Sicherheitsanalyse zugrunde liegt | s |
| Messgrößen und Parameter für die Berechnung oder die Messung von Laserstrahlung | Anlage 2 |
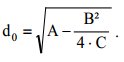
A2.1 Kenngrößen eines (Gauß'schen) Laserstrahls
Zur Charakterisierung eines radialsymmetrischen Laserstrahls, der in seiner Grundmode ein radiales Intensitätsprofil besitzt, das durch eine Gauß'sche Verteilung (Abbildung A2.1) beschrieben werden kann, werden folgende Größen unter Verwendung von Zylinderkoordinaten benötigt:
Abb. A2.1 Propagation eines Gauß´ schen Strahls
A2.1.1 Strahldurchmesser und Divergenz
(1) Für den Gauß´schen Strahl der Wellenlänge λ gilt der fundamentale Zusammenhang zwischen Strahldurchmesser in der Strahltaille do und Strahldivergenz im Fernfeld Φ gemäß Gl. A2.1:
| do × Φ = 4 × λ / π | Gl. A2.1 |
(2) Das heißt, das Strahlparameterprodukt (Produkt aus Strahltaillendurchmesser do und Strahldivergenz im Fernfeld (Fernfelddivergenzwinkel) Φ) hängt nur von der Wellenlänge ab. Eine kleine Strahltaille ist mit einer großen Strahldivergenz verbunden und umgekehrt. Für den Strahldurchmesser d(z) entlang der Ausbreitungsrichtung gilt:
![]() |
Gl. A2.2 |
(3) Der Übergang zwischen Nah- und Fernfeldbereich des Laserstrahls, d. h. zwischen Orten in der Nähe zur Strahltaille und in großem Abstand davon, wird durch die sogenannte Rayleigh-Länge zR beschrieben. Sie ist als derjenige Abstand von der Strahltaille definiert, bei der sich die Strahlquerschnittsfläche verdoppelt bzw. der Strahldurchmesser um den Faktor 20,5 vergrößert hat. Es gilt:
|
Gl. A2.3 |
(4) Für größere Abstände (z >> zR) gilt d(z) = Φ × z.
A2.1.2 Leistungsdichteverteilung
(1) Die radiale Leistungsdichteverteilung des Laserstrahls E(r,z) für den Abstand z von der Strahltaille wird durch die Funktion
| Gl. A2.4 |
beschrieben. Dabei ist E(0,z) die Leistungsdichte (Bestrahlungsstärke) auf der optischen Achse, r die radiale Koordinate und d(z) der Strahldurchmesser an der Stelle z:
![]() |
Gl. A2.5 |
(2) Der Wert der Leistungsdichte (Bestrahlungsstärke) am Ort r = d(z)/2 beträgt:
|
Gl. A2.6 |
Die Leistungsdichte (Bestrahlungsstärke) ist also am Ort des Strahlradius im Vergleich zum Maximalwert auf den 1/e2-Teil abgefallen.
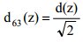
(3) In den sicherheitsrelevanten Normen und Vorschriften wird jedoch eine andere Definition des Strahldurchmessers bzw. des Strahlradius verwendet. Hier bezieht man den Strahldurchmesser d63 auf den Abfall der Leistungsdichte auf den 1/e-Teil des Maximums, sodass man anstatt Gl. A2.4, die Gleichung
| Gl. A2.7 |
zur Berechnung von E(r,z) heranziehen muss.
(4) Daraus folgen die Zusammenhänge zwischen den Strahldurchmessern in den Sicherheitsnormen und anderen Normen der Strahlungsphysik:
| Gl. A2.8 |
Dabei ist d63der Strahldurchmesser, der 63 % der gesamten Strahlungsleistung umfasst. Da die Divergenz des Laserstrahls über den Strahldurchmesser definiert wird, gilt der Zusammenhang aus Gl. A2.8 auch hinsichtlich Angaben bzgl. der Strahldivergenz:
| Gl. A2.9 |
Die Strahldivergenz Φ63in sicherheitsrelevanten Normen ist also über diejenige radiale Strahlenbegrenzung im Fernfeld definiert, für die die Leistungsdichte (Bestrahlungsstärke) auf den 1/e-Teil (ca. 37 %) abgefallen ist, d. h. die Leistungsdichte hat um etwa 63 % abgenommen.
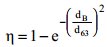
A2.1.3 Leistung durch eine Blende
(1) Berechnungen bezüglich Expositionsgrenzwerten erfordern häufig die Angabe desjenigen Anteils der Gesamtleistung oder -energie, die in einem spezifizierten Abstand durch eine vorgegebene Blende fällt. Für einen Gauß´schen Strahl kann dieser Anteil, der durch eine kreisförmige Blende des Durchmessers dB hindurch tritt, durch den Kopplungsparameter η ausgedrückt werden:
| Gl. A2.10 |
Dabei ist d63der Strahldurchmesser gemessen an den 63 %-Punkten (d. h. 1/e-Punkten) für einen Gauß'schen Strahl im Abstand der Blende.
(2) Der Strahlungsanteil, der durch die Blende hindurch tritt, ist dann
| PB = η × P | Gl. A2.11 |
oder
| QB = η × Q | Gl. A2.12 |
Hierbei sind P die Gesamtleistung und Q die Gesamtenergie.
(3) Es lässt sich derjenige Leistungsanteil berechnen, der durch eine vorgegebene Blende mit dem Durchmesser dB fällt:
![]() |
Gl. A2.13 |
Durch eine Blende mit dem Durchmesser dB = d / 20,5 fällt demnach ein Leistungsanteil von 63 % der Gesamtleistung des Laserstrahls.
A2.2 Größen zur zeitlichen Charakterisierung von Laserstrahlen
(1) In Abbildung A2.2 wird der zeitliche Verlauf der Laserstrahlung für verschiedene Impulsformen dargestellt. Als Impulsbreite gibt man in der Regel die Halbwertsbreite tHan.
(2) Abbildung A2.3 zeigt den zeitlichen Verlauf der Leistung bei einer regelmäßigen Impulsfolge. Die Impulsfolgefrequenz fPwird durch die Zahl der Impulse pro Sekunde gegeben.
A2.3 Winkelausdehnung α einer scheinbaren Quelle
(1) Die durch einen Strahler bzw. eine diffuse Reflexion erzeugte Bildgröße auf der Netzhaut wird durch die Winkelausdehnung α der scheinbaren Quelle bestimmt (Abbildung A2.4). Für kleine Winkel gilt näherungsweise
| α = dQ / r | Gl. A2.14 |
wobei dQden Durchmesser der scheinbaren Quelle und r den Abstand zur scheinbaren Quelle darstellt.
Abb. A2.2 Impulsdauer tH für den Fall eines gaußförmigen, eines Rechteck- und eines unregelmäßigen Impulses

Abb. A2.3 Impulsfolgefrequenz für einen regelmäßig gepulsten Laser mit fP= 8 Hz

Abb. A2.4 Winkelausdehnung α der scheinbaren Quelle

Abb. A2.5 Begrenzung des Empfangswinkels γP durch eine Blende vor der Strahlungsquelle

Abb. A2.6 Begrenzung des Empfangswinkels γP durch eine Blende vor dem Detektor

(2) Jeder Blick in einen kollimierten Strahl oder auf eine Laserstrahlungsquelle, die eine Winkelausdehnung von weniger als αmin= 1,5 mrad besitzt, wird als "direkter Blick in den Strahl" oder "Blick auf eine Punktquelle" bezeichnet. Die beiden Begriffe sind für die Zwecke dieser Betrachtung gleichbedeutend.
(3) Der Übergang zwischen der "Punktquellenbetrachtung" und dem "Blick auf eine ausgedehnte Quelle" wird durch den Minimalwinkel αmin= 1,5 mrad festgelegt.
(4) Bei rechteckigen oder länglichen Quellen mit einer minimalen Ausdehnung dQ1und einer maximalen Ausdehnung dQ2 gilt:
|
Gl. A2.15 |
|
Gl. A2.16 |
Dabei muss beachtet werden, dass der kleinste auftretende Wert α1 auf den Wert αmin= 1,5 mrad gesetzt wird, wenn er kleiner als 1,5 mrad ist. Ebenso wird auch der größte auftretende Wert α2 auf den Wert von αmax= 100 mrad begrenzt, wenn er αmax max überschreitet.
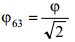
A2.4 Grenz-Empfangswinkel γP bei fotochemischer Gefährdung
Der Grenz-Empfangswinkel γP kann nach Abbildungen A2.5 oder A2.6 festgelegt werden. In Abbildung A2.5 wird der Grenz-Empfangswinkel γPdurch eine Blende vor der Strahlungsquelle begrenzt. Wird die Strahlungsquelle mit einer Linse auf die Detektorfläche abgebildet, kann der Empfangswinkel durch eine Blende vor dem Detektor begrenzt werden (Abbildung A2.6).
A2.5 Augensicherheitsabstand NOHD (Nominal Ocular Hazard Distance)
A2.5.1 Direkter Laserstrahl
(1) Der Augensicherheitsabstand NOHD stellt die Entfernung von einer Laserstrahlungsquelle dar, bei der die Bestrahlungsstärke oder Bestrahlung unter die Expositionsgrenzwerte fällt.
(2) Bei den folgenden Berechnungen muss eine bestimmte Expositionsdauer angenommen werden. Es handelt sich z.B. um den NOHD-Wert bei 10 s oder NOHD-Wert bei 100 s. Bei den Angaben in Datenblättern und den Vergleichen muss diese Zeit berücksichtigt werden.
(3) Für üblicherweise kleine Werte der Strahldivergenz Φ lässt sich die Bestrahlungsstärke E im Fernfeld für den Abstand r (siehe Abbildung A2.7) als
![]() |
Gl. A2.17 |
angeben. Dabei werden d und Φ an den 1/e-Punkten des Strahlungsprofils gemessen, wobei für das Strahlungsprofil eine Gauß´sche Verteilung angenommen wird und es sind:
r - Abstand vom Laserausgang (außerhalb der Ray-leigh-Länge),
P - Laserleistung,
μ - Absorptionskoeffizient und
d - Strahldurchmesser am Laserausgang.
Abb. A2.7 Aufweitung eines Laserstrahls
(4) Der Exponentialfaktor in Gl. A2.17 stellt die durch die Schwächung in der Atmosphäre verursachten Verluste dar und kann vernachlässigt werden, wenn die Sichtweite deutlich größer als der Augensicherheitsabstand ist. Es ergibt sich dann:
|
Gl. A2.18 |
(5) Wenn E durch den Expositionswert EEGWersetzt wird, wird r zum NOHD und die Gleichung kann entsprechend aufgelöst werden:
![]() |
Gl. A2.19 |
(6) Das der Strahldurchmesser d am Laserausgang in der Regel sehr klein bezogen auf das Ergebnis des Wurzelausdrucks ist, kann er für eine einfache Abschätzung zur sicheren Seite hin entfallen.
![]() |
Gl. A2.20 |
(7) Diese Gleichung zeigt, dass bei 100-facher Leistung der NOHD um den Faktor 10 zunimmt, und bei Verringerung der Strahldivergenz um den Faktor 100, erhöht sich auch der NOHD um den Faktor 100.
(8) Wenn die Schwächung durch atmosphärische Absorption berücksichtigt werden soll, kann Gl.A2.17 nicht elementar nach r aufgelöst werden. Die folgende Gleichung gibt jedoch ein Ergebnis wieder, das auf der sicheren Seite liegt:
| NOHDμ = 0,5 × NOHD × (1 + e-μ ×NOHD) | Gl. A2.21 |
Dabei ist NOHDμ der Sicherheitsabstand unter Berücksichtigung von Abschwächung durch die Atmosphäre und NOHD der Abstand in Meter, der sich durch Anwendung von Gl. A2.19 ergibt. Alternativ kann NOHDμ auch iterativ aus Gl. A2.17 ermittelt werden.
(9) Einen zuverlässigen Schätzwert für μ, den Schwächungskoeffizienten durch atmosphärische Absorption, kann man aus folgender Gleichung gewinnen:
![]() |
Gl. A2.22 |
Dabei ist
V - Sichtweite in km,
λ - Wellenlänge in μm (0,4 μm< λ< 2 μm) und
a = 0,585 × V0,33.
A2.5.2 Erweiterter Augensicherheitsabstand ENOHD bei Verwendung optischer Instrumente
(1) Wenn beim Blick in Laserstrahlung im Wellenlängenbereich der Netzhautgefährdung optische Instrumente (Fernrohre, Ferngläser usw.) verwendet werden (Abbildung A2.8), ist es notwendig, den Augensicherheitsabstand NOHD zu vergrößern, um der Zunahme der auf das Auge einwirkenden Strahlung Rechnung zu tragen.
Abb. A2.8 Sammelnde Wirkung eines Fernrohrs
(2) Unter der Bedingung, dass der Durchmesser des Strahlenbündels größer als der Objektivdurchmesser dObjund der Durchmesser der Austrittspupille dAP größer als der Durchmesser der Messblende dMist (dAP > dM), gilt näherungsweise:
| ENOHD = NOHD × M | Gl. A2.23 |
Dabei ist ENOHD erweiterter Augensicherheitsabstand und M die Vergrößerung des Instruments, die sich folgendermaßen berechnet:
|
Gl. A2.24 |
(3) Für den Fall, dass der Durchmesser der Austrittspupille dAPkleiner als der Durchmesser der Messblende dMist (dAP < dM), gilt
| ENOHD = N × G | Gl. A2.25 |
mit
|
Gl. A2.26 |
Wenn daher G kleiner als M ist, wird im Fall von Gleichung A2.23 der ENOHD kleiner.
Hinweis:
Die Bestimmung des NOHD hängt von einer Reihe zusätzlicher Parameter ab:
Beispiel 1:
Ein Laser mit einem Gauß´schen Strahlprofil hat eine Emissionsleistung von P = 4 W, eine Strahldivergenz von Φ = 0,7 mrad und einen Durchmesser des austretenden Strahlenbündels von d = 1 mm. Berechne den Sicherheitsabstand NOHD, wenn der entsprechende Expositionsgrenzwert EEGW = 10 W × m-2 beträgt und eine vernachlässigbare atmosphärische Schwächung angenommen wird.
Lösung:
Die Anwendung von Gl. A2.19 ergibt:
![]() |
Gl. A2.27 |
Beispiel 2:
Dem Laser aus Beispiel 1 wird eine strahlaufweitende Optik vorgesetzt. Diese verringert die Strahldivergenz auf Φ = 0,1 mrad und vergrößert den Durchmesser des Strahlenbündels am Austritt auf d = 7 mm. Berechne den neuen Sicherheitsabstand NOHD.
Lösung:
Der NOHD ist:
![]() |
Gl. A2.28 |
Man beachte die Bedeutung der Strahldivergenz für die Größe des NOHD. Man beachte ferner, dass in diesem Beispiel der Durchmesser d des austretenden Strahlenbündels vernachlässigt werden kann.
Beispiel 3:
Der Laser aus Beispiel 1 wird mit einem Fernglas 8 x 30 beobachtet, es wird also mit einem Fernglas in die Austrittsöffnung des Lasers geblickt. Das Fernglas hat eine achtfache Vergrößerung und einen Objektivdurchmesser von 30 mm. Berechne den erweiterten Augensicherheitsabstand ENOHD.
Lösung:
Bei Anwendung der Gleichung A2.23 und des Vergrößerungsfaktors M ergibt sich:
| ENOHD = 1,018 km × 8 = 8,144 km | Gl. A2.29 |
Bei Anwendung des Vergrößerungsfaktors G ergibt sich für eine Laserwellenlänge von 1.064 nm mit
| ENOHD = 1,018 km × 30 mm / 7 mm = 4,363 km | Gl. A2.30 |
ein deutlich niedrigerer Wert. Dieser Wert darf verwendet werden, da der Durchmesser der Austrittspupille
| dAP = 30 mm / 8 = 3,75 mm | Gl. A2.31 |
kleiner als der der Messblende von dM= 7 mm ist.
A2.6 Emission aus Lichtwellenleitern - Durchmesser des divergenten Strahls
(1) Die Abstrahlung von Lichtwellenleitern wird üblicherweise durch die sogenannte numerische Apertur Na charakterisiert. Diese bezeichnet den Sinus des halben Divergenzwinkels Φ5/2 der Abstrahlcharakteristik, gemessen bei den Punkten mit 5 % der Spitzenbestrahlungsstärke:
|
Gl. A2.32 |
(2) Für einen Strahl mit Gauß'scher Strahlcharakteristik enthält der Strahldurchmesser, der auf den 5 %-Wert der maximalen Bestrahlungsstärke bezogen ist, 95 % der gesamten Leistung oder Energie. Der Strahldurchmesser d95im Abstand a von der Quelle wird berechnet zu
|
Gl. A2.33 |
(3) Wenn der Durchmesser der emittierenden Faser dFin der Größenordnung kleiner als 150 μm ist, kann er in den meisten Fällen vernachlässigt werden. Außerdem wird für Sicherheitsberechnungen der Durchmesser mit 63 % der Gesamtleistung verwendet. Der Umrechnungsfaktor für den Gauß´schen Strahl ist d95/d63= 1,7. Daher ergibt sich der Strahldurchmesser näherungsweise zu:
|
Gl. A2.34 |
(4) Die abstandsabhängige Leistungsdichte (Bestrahlungsstärke) für einen Einmoden-Lichtwellenleiter (SM-LWL, SM von "single-mode") beträgt:
![]() |
Gl. A2.35 |
(5) Ein Einmoden-Lichtwellenleiter ist ein spezieller Fall einer Punktlichtquelle. Die Strahldivergenz eines SM-LWL wird durch den Durchmesser des Modenfeldeswo und die Wellenlänge λ der Quelle bestimmt. Der Strahldurchmesser eines SM-LWL wird im Abstand a angenähert durch:
![]() |
Gl. A2.36 |
| Beschreibung von Messgeräten | Anlage 3 |
A3.1 Detektoren für Laserstrahlung
(1) Messungen der Strahlungsleistung werden meist an Dauerstrichlasern, Messungen der Strahlungsenergie an gepulsten Lasern ausgeführt.
(2) Die am häufigsten eingesetzten Detektoren sind Si-Detektoren im sichtbaren Spektralbereich (fotoelektrischer Effekt), pyroelektrische Empfänger im sichtbaren und infraroten Spektralbereich (hauptsächlich zum Nachweis gepulster oder modulierter Strahlung) und sogenannte Thermosäulen. Die letzteren beiden Detektorarten können in einem großen Spektralbereich eingesetzt werden. Tabelle A3.1 gibt einen groben Überblick über einige Detektorarten und die jeweiligen Haupteinsatzbereiche.
Tab. A3.1 Detektoren zur Leistungs- und Energiemessung
| Detektor | Wellenlängenbereich in μm |
| Photomultiplier | 0,18 - 0,9 |
| Si | 0,2 - 1,1 |
| InGaAs | 0,9 - 1,6 (2,6) |
| PbS | 0,8 - 3,0 |
| InSb | 1 - 5,5 |
| HgCdTe | 2 - 15 |
| Pyroelektrische Empfänger | 0,2 - 20 |
| Thermosäule | 0,2 - 20 |
(3) Empfänger für optische Strahlung müssen für ihre Messaufgabe kalibriert sein.
A3.2 Messverfahren zur Bestimmung der Strahlcharakteristik von Laserstrahlen
(1) In DIN EN ISO 11146 [8, 9] werden drei alternative Prüfverfahren zur Bestimmung der Strahlparameter beschrieben. Es sind die des Verfahrens der variablen Apertur (Abbildung A3.1), die Messung nach dem Prinzip der bewegten Messerschneide (Abbildung A3.2) und das Verfahren des bewegten Schlitzes (Abbildung A3.3).
Abb. A3.1 Prinzip des Verfahrens der variablen Apertur

Abb. A3.2 Prinzip der Methode der bewegten Messerschneide

Abb. A3.3 Prinzip der Methode des bewegten Schlitzes

(2) Es werden dabei jeweils ortsabhängige Messungen des Strahldurchmessers d durchgeführt. Bei der ersten Methode wird d durch Messungen der Laserleistung bei verschiedenen Durchmessern der Blende bestimmt, während er bei den anderen Verfahren aus Leistungsmessungen in Abhängigkeit der transversalen Verschiebung der Schneide oder des Schlitzes erfolgt. Je nach Wahl des Verfahrens müssen bestimmte Randbedingungen eingehalten und Korrekturen vorgenommen werden. Moderne, automatisch arbeitende Systeme mit Bildverarbeitung, die die Messbedingungen der Norm einhalten, sind kommerziell erhältlich.
(3) Die obige Norm sieht bei frei zugänglichen Strahltaillen mindestens zehn Messungen zur Auswertung vor. Dabei sollen etwa die Hälfte in der Nähe der Strahltaille bis zu einem Abstand von plus oder minus einer Rayleigh-Länge zR erfolgen und die andere Hälfte in Abständen größer als zwei Rayleigh-Längen von der Taille (Abbildung A3.4). Ist die Strahltaille nicht zugänglich, muss das Verfahren auf eine künstlich erzeugte Taille angewendet werden.
Abb. A3.4 Bestimmung der Strahlparameter durch ortsabhängige Messung des Strahlquerschnitts

(4) Aus einer parabolischen Anpassung der gemessenen Strahldurchmesser d gemäß
| d2 (z) = a + B × z + C × z2 | Gl. A3.1 |
können dann die Strahlparameter do und Φogewonnen werden. Bei den Größen A, B und C handelt es sich um Fit-Parameter der parabolischen Anpassung.
(5) So ergibt sich der Strahldurchmesser in der Strahltaille dozu
![]() |
Gl. A3.2 |
(6) Die Strahldivergenz (Fernfeldöffnungswinkel, Divergenzwinkel) Φo, insbesondere bei nicht zugänglichen Strahltaillen, kann nach obiger Norm bestimmt werden, indem ein fokussierendes Objekt der Brennweite f in den Strahlengang gebracht wird. Dies führt zur Bildung einer künstlichen Strahltaille. Der Durchmesser dowird nach Gleichung A3.2 bestimmt. Damit kann die Strahldivergenz des freien Laserstrahls berechnet werden:
| Φo= do/ f | Gl. A3.3 |
| Expositionsgrenzwerte | Anlage 4 |
A4.1 Expositionsgrenzwerte für Laserstrahlung
(1) Die biophysikalisch relevanten Expositionswerte für Laserstrahlung lassen sich anhand der nachstehenden Formeln bestimmen. Welche Formel zu verwenden ist, hängt von der Wellenlänge und der Expositionsdauer ab. Die Ergebnisse sind mit den entsprechenden Expositionsgrenzwerten 1) (EGW) der Tabellen A4.3 bis A4.5 zu vergleichen. Für die jeweilige Laserstrahlenquelle können mehrere Expositionsgrenzwerte relevant sein.
(2) Die in den Tabellen A4.3 bis A4.5 als Berechnungsfaktoren verwendeten Koeffizienten sind in Tabelle A4.6, die Korrekturfaktoren für wiederholte Exposition sind in Tabelle A4.7 aufgeführt.
| P | Leistung, ausgedrückt in Watt (W); |
| A | Fläche, ausgedrückt in Quadratmeter (m2); |
| E, E(t) | Bestrahlungsstärke oder Leistungsdichte: die auf eine Fläche einfallende Strahlungsleistung je Flächeneinheit, ausgedrückt in Watt pro Quadratmeter (W × m-2); die Werte E und E(t) werden aus Messungen gewonnen oder können vom Hersteller der Arbeitsmittel angegeben werden; |
| H | Bestrahlung: das Integral der Bestrahlungsstärke über die Zeit, ausgedrückt in Joule pro Quadratmeter (J × m-2); |
| t | Zeit, Expositionsdauer: Δt = t2- t1, ausgedrückt in Sekunden (s); |
| λ | Wellenlänge, ausgedrückt in Nanometern (nm); |
| γ | Empfangswinkel: der ebene Winkel innerhalb dessen ein Empfänger auf optische Strahlung anspricht, auch Gesichtsfeld genannt, ausgedrückt in Milliradiant (mrad); |
| γP | Grenz-Empfangswinkel, ausgedrückt in Milliradiant (mrad); |
| D | Durchmesser der Messblende; die Messblende ist die kreisförmige Fläche mit dem Durchmesser D, über die Bestrahlungsstärke und Bestrahlung gemittelt werden; |
| α | Winkelausdehnung einer Quelle, ausgedrückt in Milliradiant (mrad); |
| L, L(t) | Strahldichte der Quelle, ausgedrückt in Watt pro Quadratmeter pro Steradiant (W × m-2 × sr-1); |
| G | integrierte Strahldichte: das Integral der Strahldichte über eine bestimmte Expositionsdauer, ausgedrückt in Joule pro Quadratmeter pro Steradiant (J × m-2 × sr-1); Strahlungsenergie je Flächeneinheit einer Abstrahlfläche je Einheitsraumwinkel der Emission. |
Tab. A4.1 Zuordnung der Tabellen für die Expositionsgrenzwerte zu den Wellenlängenbereichen
| Wellenlänge λ in nm | Wellenlängenbereich | Betroffenes Organ | Tabelle für die Expositionsgrenzwerte |
| 100 2 - 400 | UV | Auge | A4.3, A4.4 |
| Haut | A4.5 | ||
| 400 - 600 | sichtbar | Auge | A4.4 |
| 400 - 700 | sichtbar | Auge | A4.3, A4.4 |
| Haut | A4.5 | ||
| 700 - 1.400 | IR-A | Auge | A4.3, A4.4 |
| Haut | A4.5 | ||
| 1400-106 | IR-B, IR-C | Auge | A4.3, A4.4 |
| Haut | A4.5 |
Tab. A4.2 Akute und Langzeitwirkungen von Laserstrahlung
| Wellenlänge λ in nm | Wellenlängenbereich | Betroffenes Organ | Schädigung |
| 100 2 - 400 | UV | Auge | Hornhautentzündung Bindehautentzündung Grauer Star |
| Haut | fotosensitive Reaktionen Hautrötung Verstärkte Pigmentierung Beschleunigte Prozesse der Hautalterung Verbrennung der Haut Hautkrebs |
||
| 400 - 600 | sichtbar | Auge | fotochemische Netzhautschädigung |
| 400 - 700 | sichtbar | Auge | Netzhautschädigung |
| Haut | fotosensitive Reaktionen Verbrennung der Haut |
||
| 700 - 1.400 | IR-A | Auge | Grauer Star Verbrennung der Netzhaut |
| Haut | Verbrennung der Haut | ||
| 1.400 - 2.600 | IR-B | Auge | Grauer Star Verbrennung der Hornhaut |
| 2.600 - 106 | IR-C | Auge | Verbrennung der Hornhaut |
| 1.400 - 106 | IR-B, IR-C | Haut | Verbrennung der Haut |
Tab. A4.3 Expositionsgrenzwerte für die Einwirkung von Laserstrahlung auf das Auge, kurze Expositionsdauer (t < 10 s)
|
Wellenlänge λ in nm |
Durchmesser der Messblende D |
Expositionsdauer t in s |
|||||||
| 10-13 - 10-11 | 10-11 - 10-9 | 10-9 - 10-7 | 10-7 - 1,8 .10-5 | 1,8 × 10-5 - 5 .10-5 | 5 × 10-5 - 10-3 | 10-3 - 10 | |||
| UV-C | 100 2 - 280 | 1 mm für t< 0,35 s 3; 1,5 × t0,375 mm für 0,35 s < t < 10 s |
E = 3 × 1010 W × m-2 |
H = 30 J × m-2 |
|||||
| UV-B | 280 - 302 | ||||||||
| 303 | H = 40 J × m-2; für t < 2,6 × 10-9 s | gilt H = 5,6 × 103 × t 0,25 J × m-2 (siehe b) |
|||||||
| 304 | H = 60 J × m-2; für t < 1,3 × 10-8 s | ||||||||
| 305 | H = 100 J × m-2; für t < 1,0 × 10-7 s | ||||||||
| 306 | H = 160 J × m-2; für t < 6,7 × 10-7 s | ||||||||
| 307 | H = 250 J × m-2; für t < 4,0 × 10-6 s | ||||||||
| 308 | H = 400 J × m-2; für t < 2,6 × 10-5 s | ||||||||
| 309 | H = 630 J × m-2; für t < 1,6 × 10-4 s | ||||||||
| 310 | H = 1000 J × m-2; für t < 1,0 × 10-3 s | ||||||||
| 311 | H = 1,6 × 103 J × m-2; für t < 6,7 × 10-3 s | ||||||||
| 312 | H = 2,5 × 103 J × m-2; für t < 4,0 × 10-2 s | ||||||||
| 313 | H = 4,0 × 103 J × m-2; für t < 2,6 × 10-1 s | ||||||||
| 314 | H = 6,3 × 103 J × m-2; für t < 1,6 s | ||||||||
| UV-A | 315 - 400 |
H = 5,6 × 103 × t0,25 J × m-2 |
|||||||
| Sichtbar und IR-A |
400 - 700 |
7 mm |
H = 1,5.10-4 .CE J.m-2 |
H = 2,7.104 .t0,75 .CE J.m-2 |
H = 5.10-3 .CE J.m-2 |
H = 18 .t0,75 .CE J.m-2 |
|||
| 700 - 1.050 | H = 1,5.10-4 .CA.CE J.m-2 |
H = 2,7.104 .t0,75 .Ca.CE J.m-2 |
H = 5.10-3 .CA× CE J.m-2 |
H = 18.t0,75 .CA.CE J.m-2 |
|||||
| 1050 - 1.400 | H = 1,5 .10-3 .CC.CE J.m-2 |
H = 2,7.105 .t0,75 .CC.CE J.m-2 |
H = 5.10-2 .CC× CE J.m-2 |
H = 90.t0,75 .CC× CE J.m-2 |
|||||
| IR-B und IR-C |
1.400 - 1.500 |
Siehe c |
E = 1012 W.m-2 | H = 103 J.m-2 | H = 5,6.103 .t0,25 J.m-2 | ||||
| 1.500 - 1.800 | E = 1013 W.m-2 | H = 104 J.m-2 | |||||||
| 1.800 - 2600 | E = 1012 W.m-2 | H = 103 J.m-2 | H = 5,6.103 .t0,25 J.m-2 | ||||||
| 2.600 - 106 | E = 1011 W.m-2 | H = 103 J.m-2 | H = 5,6 . 103 . t0,25 J . m-2 | ||||||
| a Sind für eine Wellenlänge zwei Expositionsgrenzwerte aufgeführt, so ist unter Einbeziehung der zugeordneten Messverfahren das Ergebnis anzuwenden, welches den strengeren Wert darstellt. Expositionsgrenzwerte für Zeiten unterhalb 10-13 s werden dem jeweiligen Expositionsgrenzwert bei 10-13 s, ausgedrückt in Einheiten der Bestrahlungsstärke, gleichgesetzt. b Die in der Tabelle angegebenen Werte gelten für einzelne Laserimpulse. Bei mehrfachen Laserimpulsen müssen die Laserimpulsdauern, die innerhalb der Expositionsdauer t liegen, addiert werden. Die daraus resultierende Expositionsdauer muss in die Formel H = 5,6 × 103 × t0,25 für t eingesetzt werden. c Wenn 1.400 nm< λ < 105 nm, dann gilt:
Wenn 105 nm< λ < 106 nm, dann ist D = 11 mm. |
|||||||||
Tab. A4.4 Expositionsgrenzwerte für die Exposition des Auges durch Laserstrahlung, lange Expositionsdauer (t>10 s)
| Wellenlänge λ in nm (siehe a) |
Durchmesser der Messblende D | Expositionsdauer t in s | ||||||||
| 10 - 102 | 102 - 104 | 104 - 3 × 104 | ||||||||
| UV-C | 100 2 - 280 | 3,5 |
H = |
30 |
J × m-2 |
|||||
| UV-B | 280 - 302 | 30 | ||||||||
| 303 | 40 | |||||||||
| 304 | 60 | |||||||||
| 305 | 100 | |||||||||
| 306 | 160 | |||||||||
| 307 | 250 | |||||||||
| 308 | 400 | |||||||||
| 309 | 630 | |||||||||
| 310 | 1.000 | |||||||||
| 311 | 1.600 | |||||||||
| 312 | 2.500 | |||||||||
| 313 | 4.000 | |||||||||
| 314 | 6.300 | |||||||||
| UV-A | 315 - 400 | 10.000 | ||||||||
| Sichtbar | 400 - 600 Fotochemische Netzhautschädigung (siehe b) |
7 | H = 100 × CB J m-2 ; γ = 11 mrad (siehe c) |
E = 1 × CB W × m-2; γ = 1,1 × t0,5 mrad (siehe c) |
E = 1 × CB W × m-2; γ = 110 mrad (siehe c) |
|||||
| 400 - 700 Thermische Netzhautschädigung (siehe b) |
|
|||||||||
| IR-A | 700 - 1.400 |
|
||||||||
| IR-B und IR-C |
1.400 - 105 | 3,5 | E = 1.000 W × m-2 | |||||||
| 105- 106 | 11 | |||||||||
| a Sind für eine Wellenlänge zwei Expositionsgrenzwerte aufgeführt, so ist unter Einbeziehung der zugeordneten Messverfahren das Ergebnis anzuwenden, welches den strengeren Wert darstellt.
b Bei kleinen Quellen mit einer Winkelausdehnung α< 1,5 mrad sind statt der beiden Expositionsgrenzwerte E für Wellenlängen von 400 nm bis 600 nm nur die thermischen Expositionsgrenzwerte für 10 s< t < T1und die fotochemischen Expositionsgrenzwerte für längere Zeiten anzuwenden. Zu T1 und T2 siehe Tabelle A4.6. Der Expositionsgrenzwert für fotochemische Netzhautschädigung kann auch als Integral der Strahldichte über die Zeit ausgedrückt werden, wobei für 10 s< t< 10.000 s, G = 106 × CB J × m-2 × sr-1, und für t > 10.000 s, L = 100 × CB W × m-2 × sr-1 gilt. Zur Messung von G und L ist γP als Mittelung des Empfangswinkels zu verwenden. c Für Messungen des Expositionswertes ist γP wie folgt zu berücksichtigen:
|
||||||||||
Tab. A4.5 Expositionsgrenzwerte für die Exposition der Haut durch Laserstrahlung
| Wellenlänge λ in nm (siehe a) |
Durchmesser der Messblende D | Expositionsdauer t in s | ||||||
| < 10-9 | 10-9 - 10-7 | 10-7 - 10-3 | 10-3 - 10 | 10 - 10-3 | 10-3 - 3 × 104 |
|||
| UV (A, B, C) | 100 2 - 400 | 3,5 mm | E = 3 × 1010 W × m-2 | Gleiche Werte wie Expositionsgrenzwerte für das Auge | ||||
| sichtbar und IR-A | 400 - 700 | E = 2 × 1011 W × m-2 | H = 200 × CA J × m-2 | H = 1,1 × 104 × CA × t0,25 J × m-2 | E = 2 × 103 × CA W × m-2 | |||
| 700 - 1.400 | E = 2 × 1011 × CaW × m-2 | |||||||
| IR-B und IR-C | 1.400 - 1.500 | E = 1012 W × m-2 | Gleiche Werte wie Expositionsgrenzwerte für das Auge (siehe b) | |||||
| 1.500 - 1.800 | E = 1013 W × m-2 | |||||||
| 1.800 - 2.600 | E = 1012 W × m-2 | |||||||
| 2.600 - 106 | E = 1011 W × m-2 | |||||||
| a Sind für eine Wellenlänge zwei Expositionsgrenzwerte aufgeführt, so ist unter Einbeziehung der zugeordneten Messverfahren das Ergebnis anzuwenden, welches den strengeren Wert darstellt.
b Für Expositionsdauern t > 10 s gilt:
|
||||||||
Tab. A4.6 Korrekturfaktoren und sonstige Berechnungsparameter
| Parameter | Gültiger Spektralbereich λ in nm | Wert |
| CA |
< 700 |
1 |
|
700 - 1.050 |
100,002 (λ- 700) |
|
|
1.050 - 1.400 |
5 |
|
| CB |
400 - 450 |
1 |
|
450 - 600 |
100,02 (λ - 450) |
|
| CC |
700 - 1.150 |
1 |
|
1.150 - 1.200 |
100,018 (λ - 1150) |
|
|
1.200 - 1.400 |
8 |
|
| T1 |
< 450 |
10 s |
|
450 - 500 |
10 · 100,02 (λ- 450) s |
|
|
> 500 |
100 s |
|
| Parameter | Biologische Wirkung | Wert |
| αmin | alle thermischen Wirkungen | 1,5 mrad |
| Parameter | Winkelausdehnung in mrad | Wert |
| CE |
α< αmin |
1 |
|
αmin < α < 100 |
α / αmin |
|
|
α > 100 |
αmax/ αminbei αmax = 100 mrad |
|
| T2 |
α< 1,5 |
10 s |
|
1,5 < α< 100 |
10 × 10[( α - 1,5) / 98,5]s |
|
|
α > 100 |
100 s |
|
| Parameter | Expositionsdauer t in s | Wert in mrad |
|
|
t< 100 | 11 |
| 100 < t< 104 | 1,1 × t0,5 | |
| t > 104 | 110 | |
Tab. A4.7 Korrektur bei wiederholter Exposition (Impulsfolgen)
| Gültiger Spektralbereich in nm | Tminin s |
| 315 < λ< 400 | 10-9 |
| 400 < λ< 1.050 | 18 × 10-6 |
| 1.050 < λ< 1.400 | 50 × 10-6 |
| 1.400 < λ< 1.500 | 10-3 |
| 1.500 < λ< 1.800 | 101 |
| 1.800 < λ< 2.600 | 10-3 |
| 2.600 < λ< 106 | 10-7 |
(3) Jede der drei folgenden Regeln ist bei allen Expositionen anzuwenden, die bei wiederholt gepulster oder modulierter Laserstrahlung auftreten. Der restriktivste Wert, der sich im Vergleich mit den Strahlungsdaten, ermittelt nach der jeweiligen Messbedingung, ergibt, ist auszuwählen.
(4) Um zu prüfen, ob bei einer vorgegebenen Wiederholfrequenz Impulse zusammen zu fassen sind, kann der zeitliche Abstand ΔT zwischen zwei Impulsen wie folgt aus der Impulswiederholfrequenz fP des Lasers berechnet werden:
| ΔT = 1 / fP | Gl. A4.1 |
(5) Zum Vergleich kann der Wert für Tmin aus Tabelle A4.7 entnommen werden.
Beispiel:
Hat man Impulse mit einer Impulsdauer kleiner als 18 μs (gilt für 400 nm bis 1.050 nm), so können diese zu Impulsen T = 18 μs zusammengefasst werden. Es ergibt sich dann die neue Impulszahl N bei einer Zeitbasis von 100 s (18 μs, 100 s Zeitbasis)
| N = 100s / (18 × 10-6 s) = 5500000. | Gl. A4.2 |
Hinweis 1 6:
Impulse im Sinne dieser Anlage sind Impulse mit den Impulsdauern von< 0,25 s.
Hinweis 2 7:
Die maximale Zeit T, für die die Impulszahl N ermittelt werden muss, ist für
| 315 nm <l< 400 nm: | 30.000 s, oder die anzuwendende Expositionsdauer, falls diese kürzer ist; |
| 400 nm < λ< 1.400 nm: | T2 (Tabelle A4.6) oder die anzuwendende Expositionsdauer, falls diese kürzer ist; |
| λ > 1.400 nm: | 10 s. |
Hinweis 3 8:
Bei sehr großen zu berücksichtigenden Impulszahlen kann es vorkommen, dass der berechnete Expositionsgrenzwert bezogen auf die Impulsspitzenleistung kleiner ist als der Expositionsgrenzwert für kontinuierliche Strahlung. In solchen Fällen gilt der Expositionsgrenzwert für kontinuierliche Strahlung.
A4.2 Vereinfachte Expositionsgrenzwerte zur Auswahl von Laser-Schutz- und -Justierbrillen
Um die Einhaltung der Expositionsgrenzwerte insbesondere für die Bestimmung der Laser-Schutz- und Laser-Justierbrillen schnell überprüfen zu können, kann folgende Tabelle, die zur sicheren Seite hin vereinfachte Grenzwerte benutzt, für viele Fälle verwendet werden.
Tab. A4.8 Vereinfachte maximal zulässige Bestrahlungswerte auf der Hornhaut des Auges
| Wellenlängenbereich in nm | Bestrahlungsstärke E | Bestrahlung H | ||||||
| D * | M ** | M | I ***, R **** | |||||
| Impulsdauer in s | E / W × m-2 | Impulsdauer in s | E / W × m-2 | Impulsdauer in s | H / J × m-2 | Impulsdauer in s | H / J × m-2 | |
| 100< λ < 315 | 30.000 | 0,001 | < 10-9 | 3 × 1010 | - | - | > 10-9 bis 3 × 104 | 30 |
| 315< λ < 1400 | > 5 × 10-4 bis 10 | 10 | - | - | < 10-9 | 1,5 × 10-4 | > 10-9 bis 5 × 104 | 0,005 |
| 1400< λ< 106 | > 0,1 bis 10 | 1.000 | < 10-9 | 1011 | - | - | > 10-9 bis 0,1 | 100 |
|
*) Dauerstrich (konstante Leistung über mindestens 0,25 s) |
||||||||
Hinweis:
In dieser vereinfachten Tabelle wird Strahlung von Impulslasern nur bis 0,1 s als Impulslaserstrahlung betrachtet. Laserstrahlung ab 0,1 s wird als Dauerstrich-Strahlung betrachtet.
______
*) Gemäß § 9 der Arbeitsschutzverordnung zu künstlicher optischer Strahlung ( OStrV) in Verbindung mit § 24 Absatz 5 der Betriebssicherheitsverordnung macht das Bundesministerium für Arbeit und Soziales die anliegenden vom Ausschuss für Betriebssicherheit (ABS) beschlossenen Technischen Regeln für Laserstrahlung bekannt:
1) Grenzwerte für die Einwirkung von Laserstrahlung auf Personen sind als Expositionsgrenzwerte festgelegt.
2) Nach § 2 "Begriffsbestimmungen" der OStrV ist der Wellenlängenbereich der optischen Strahlung auf 100 nm bis 1 mm festgelegt.
3) Der Anfangspunkt der Funktion wurde - zur sicheren Seite hin - von 0,3 s auf 0,35 s verschoben, um eine bessere Anpassung zwischen variabler und fester Messblende zu erreichen. Zur Vereinfachung kann ein Durchmesser der Messblende von 1 mm verwendet werden.
4) Der Anfangspunkt der Funktion wurde - zur sicheren Seite hin - von 0,3 s auf 0,35 s verschoben, um eine bessere Anpassung zwischen variabler und fester Grenzblende zu erreichen.
5) redaktionelle Änderung
6) Die maximale Impulsdauer ist bereits in den Begriffsbestimmungen (Teil " Allgemeines") beschrieben. Bei der Anwendung der Formel ist diese Einschränkung wichtig.
7) Die Zeitobergrenze T ist die Zeit der Einwirkung, ab der die Expositionsgrenzwerte in Leistung bzw. Bestrahlung ausgedrückt werden und sich mit zunehmender Expositionsdauer nicht mehr verschärfen.
8) Dieses Kriterium bewirkt, dass der Expositionsgrenzwert für einen Laserimpuls unter die Leistung fallen würde, die für einen Dauerstrichlaser für die kontinuierliche Strahlung gelten würde.
![]() |
ENDE | ![]() |
(Stand: 04.12.2018)
Alle vollständigen Texte in der aktuellen Fassung im Jahresabonnement
Nutzungsgebühr: ab 105.- € netto
(derzeit ca. 7200 Titel s.Übersicht - keine Unterteilung in Fachbereiche)
Die Zugangskennung wird kurzfristig übermittelt
? Fragen ?
Abonnentenzugang/Volltextversion