Für einen individuellen Ausdruck passen Sie bitte die
Einstellungen in der Druckvorschau Ihres Browsers an.
Regelwerk

TROS IOS (Inkohärente Optische Strahlung) - Teil: Allgemeines
Technische Regeln zur Arbeitsschutzverordnung zu künstlicher optischer Strahlung *

Vom 19.11.2013
(GMBl. Nr. 65-67 vom 30. Dezember 2013 S. 1302)



vgl. BGI 5006

Die Technischen Regeln zur Arbeitsschutzverordnung zu künstlicher optischer Strahlung (TROS Inkohärente Optische Strahlung) geben den Stand der Technik, Arbeitsmedizin und Arbeitsplatzhygiene sowie sonstige gesicherte arbeitswissenschaftliche Erkenntnisse zum Schutz der Beschäftigten vor Gefährdungen durch inkohärente optische Strahlung wieder.

Sie werden vom Ausschuss für Betriebssicherheit unter Beteiligung des Ausschusses für Arbeitsmedizin ermittelt bzw. angepasst und vom Bundesministerium für Arbeit und Soziales im Gemeinsamen Ministerialblatt bekannt gegeben.

Diese TROS IOS, Teil Allgemeines, konkretisiert im Rahmen ihres Anwendungsbereichs die Anforderungen der Arbeitsschutzverordnung zu künstlicher optischer Strahlung und der Verordnung zur Arbeitsmedizinischen Vorsorge. Bei Einhaltung der Technischen Regeln kann der Arbeitgeber insoweit davon ausgehen, dass die entsprechenden Anforderungen der Verordnungen erfüllt sind. Wählt der Arbeitgeber eine andere Lösung, muss er damit mindestens die gleiche Sicherheit und den gleichen Gesundheitsschutz für die Beschäftigten erreichen.

1 Anwendungsbereich

(1) Diese Technische Regel mit ihren Teilen (Allgemeines, Beurteilung der Gefährdung durch inkohärente optische Strahlung, Messungen und Berechnungen von Expositionen gegenüber inkohärenter optischer Strahlung sowie Maßnahmen zum Schutz vor Gefährdungen durch inkohärente optische Strahlung) dient dem Schutz vor direkten Gefährdungen der Augen und der Haut der Beschäftigten durch inkohärente optische Strahlung künstlicher Quellen am Arbeitsplatz und behandelt auch den Schutz vor Gefährdungen durch indirekte Auswirkungen (z.B. vorübergehende Blendung, Brand- und Explosionsgefahr).

(2) Die TROS IOS gilt für inkohärente optische Strahlung künstlicher Quellen im Wellenlängenbereich zwischen 100 nm und 1 mm.

(3) Der Teil Allgemeines der TROS IOS erläutert den Anwendungsbereich der Arbeitsschutzverordnung zu künstlicher optischer Strahlung ( OStrV) und enthält die wesentlichen Begriffe, die bei der Umsetzung der OStrV hinsichtlich inkohärenter optischer Strahlung relevant sind, sowie Angaben zu tatsächlichen oder möglichen Gefährdungen der Gesundheit und Sicherheit der Beschäftigten durch inkohärente optische Strahlung.

(4) Unabhängig von den in dieser TROS IOS beschriebenen Vorgehensweisen sind vom Arbeitgeber die Beschäftigten oder ihre Interessenvertretung, sofern diese vorhanden ist, aufgrund der einschlägigen Vorschriften zu beteiligen.

2 Verantwortung

(1) Für die Durchführung der Gefährdungsbeurteilung ist der Arbeitgeber verantwortlich. Sofern er nicht selbst über die erforderlichen Kenntnisse verfügt, muss er sich fachkundig beraten lassen (z.B. durch geeignete Fachkräfte für Arbeitssicherheit oder fachkundige Personen nach § 5 OStrV).

(2) Hinsichtlich der Beteiligungsrechte der betrieblichen Interessenvertretung gelten die Bestimmungen des Betriebsverfassungsgesetzes bzw. der jeweiligen Personalvertretungsgesetze.

3 Gliederung der TROS IOS

Die Technische Regel TROS Inkohärente Optische Strahlung gliedert sich in folgende Teile:

  1. Teil Allgemeines
  2. Teil 1: Beurteilung der Gefährdung durch inkohärente optische Strahlung
  3. Teil 2: Messungen und Berechnungen von Expositionen gegenüber inkohärenter optischer Strahlung
  4. Teil 3: Maßnahmen zum Schutz vor Gefährdungen durch inkohärente optische Strahlung

4 Begriffsbestimmungen und Erläuterungen

Es gelten die in § 2 OStrV festgelegten Begriffe. Im Folgenden werden zu wichtigen Begriffen nähere Erläuterungen gegeben (alphabetische Aufzählung).

4.1 Ausmaß

Unter dem Ausmaß ist nach § 2 Absatz 9 OStrV die Höhe der Exposition gegenüber inkohärenter optischer Strahlung zu verstehen. Je nach Wellenlängenbereich und zu vermeidender Wirkung (Schutzziel) wird das Ausmaß durch die Strahlungsgrößen Bestrahlungsstärke, Bestrahlung oder Strahldichte ausgedrückt.

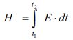
4.2 Bestrahlung H

(1) Die Bestrahlung H (oder Energiedichte) ist das Integral der Bestrahlungsstärke E über die Zeit t. Sie ist gegeben durch folgenden Zusammenhang:

Einheit: J * m-2 (Joule pro Quadratmeter)

(2) Bei Expositionen an Arbeitsplätzen ist über die Expositionsdauer Δt = t2 - t1 zu integrieren.

4.3 Bestrahlungsstärke E

(1) Die Bestrahlungsstärke E (oder Leistungsdichte) ist die auf eine Fläche fallende Strahlungsleistung dP je Flächeneinheit dA. Sie ist gegeben durch folgenden Zusammenhang:

E = dP / dA

(2) Bei homogener Verteilung der Strahlungsleistung gilt:

E = P / A

Einheit: W * m

umwelt-online - Demo-Version


(Stand: 17.02.2020)

Alle vollständigen Texte in der aktuellen Fassung im Jahresabonnement
Nutzungsgebühr: ab 105.- € netto

(derzeit ca. 7200 Titel s.Übersicht - keine Unterteilung in Fachbereiche)

Preise & Bestellung

Die Zugangskennung wird kurzfristig übermittelt

? Fragen ?
Abonnentenzugang/Volltextversion