Erläuterungen zu 6.22: "Festlegung der zulässigen Stützweiten"
1 Allgemeines
Die Stützweiten in Tabelle Anlage 2 wurden auf der Grundlage der Gleichungen in Anlage 2 ermittelt. Bei der auf die Länge bezogene Masse q wurden die folgenden Daten berücksichtigt:
| Medium | ρM | = | 1000 kg/m3 |
| Rohrwerkstoff | ρR | = | 7900 kg/m3 |
| Wärmedämmung | ρD | = | 120 kg/m3 |
| Blechmantel | ρB ⋅ sB | = | 10 kg/m3 |
Überlappungen und Befestigungsmaterial sind dann berücksichtigt. Die versteifende Wirkung des Blechmantels wurde nicht in Ansatz gebracht, obwohl sie u. U. erheblich sein kann. Zusatzbelastungen F = m ⋅ g sind bei den Stützweiten der Tabelle Anlage 2 nicht berücksichtigt.
1.1 Begrenzung der Durchbiegung - L1
Die Stützweiten L1 wurden nach dem Kriterium "Begrenzung der Durchbiegung" festgelegt. Die Grenzdurchbiegung f wurde dabei im Hinblick auf die Vermeidung möglicher "Pfützenbildung" wie folgt angenommen:
für DN< 50 f = 3 mm
für DN > 50 f = 5 mm
Berechnungsmodell für L1 ist der beiderseits gelenkig gelagerte Einfeldträger (Zeile A in Anlage 2). Für den Elastizitätsmodul wurde ein mittlerer Wert von E ≈ 200 kN/mm2 angenommen.
L1 = 1AF (f, q, m = O, E ⋅ I) = LAF (f, q, E ⋅ I)
1.2 Begrenzung der Spannung - L2 bis L6
Die Stützweiten L2 bis L6 wurden nach dem Kriterium "Begrenzung der Spannung" festgelegt. Bei Einhaltung der Stützweiten L2 bis L6 sind die Spannungen infolge q bei L2 und L5 in der ungestörten Rohrleitung und bei L3, L4 und L6 in einer Rohrleitung mit T-Stück (gepreßt bzw. geschweißt) an der Stelle des maximalen Momentes auf σ = 40 N/mm begrenzt.
1.2.1 Gelenkig gelagerter Einfeldträger - L2 bis L4
Die Stützweiten in Anlage 2 wurden nach der Gleichung für lAS in Anlage 2 Seite 10 ermittelt. Dabei wurde für L2 eine ungestörte Rohrleitung mit einem Spannungserhöhungsfaktor i = 1 angenommen. Für L3 wurde in Feldmitte ein gepreßtes T-Stück nach Anlage 2 mit einem Spannungserhöhungsfaktor i = 0,9/(8,8 ⋅ s/d)2/3 angenommen.
Für L4 wurde in Feldmitte ein geschweißtes T-Stück nach Anlage 2 mit einem Spannungserhöhungsfaktor i = 0,9/(2 ⋅ s/dm)2/3 angenommen.
| L2 | = lAS(σ , q, m = O, W, i = 1) = LAS (σ , q, w, i = I) |
| L3 = | = lAS (σ , q, m = O, W, i = 0,9/8,8 ⋅ s/dm)2/3) = lAS (σ , q, W, i = 0,9/8,8 ⋅ s/dm)2/3) |
| L4 | = lAS (σ , q, m = O, W, i = 0,9/(2 ⋅ s/dm)2/3) = lAS (σ , q, W, i = 0,9/(2 ⋅ s/dm)2/3) |
1.2.2 Kragträger - L5 und L6
Die Kragträgerlängen in Anlage 2 wurden nach der Gleichung für lBS in Anlage 2 ermittelt. Dabei wurde für L5 eine ungestörte Rohrleitung mit i =1 angenommen. Für L6 wurde an der Einspannstelle ein geschweißtes T-Stück nach Anlage 2 mit i = 0,9/(2 ⋅ s/dm)2/3 angenommen.
| L5 | = lBS (σ , q, m = O, W, i = 1) = LBS (σ , q, w, i = I) |
| L6 | = lBS (σ , q, m = O, W, i = 0,9(2 ⋅ s/dm)2/3) = LBS (σ , q, W, i = 0,9(2 ⋅ s/dm)2/3) |
2 Umrechnung der zulässigen Längen aus der Anlage 2
2.1 Andere Lagerungsbedingungen
Die Stützweiten
1 bis
4 gehen von dem Fall des gelenkig gelagerten Einfeldträgers aus. Häufig wird die Annahme eines Mittelfeldes eines Durchlaufträgers realistischer sein. Für diese Lagerungsbedingung können die zulässigen Stützweiten L1 bis L4 wie folgt aus
1 bis
4 abgeleitet werden.
i = 51/4 ⋅ L1 ≈ 1,5 ⋅ L1
j = 1,51/2 ⋅ Lj ≈ 1,225 ⋅ Lj (j = 2, 3 und 4)
2.2 Andere Parameter
Wenn das Trägheitsmoment I* und das Widerstandsmoment W*, die Strecklast q*, der Elastizitätsmodul E*, die Vorgabewerte f* und σ * oder der Spannungserhöhungsfaktor i* nach Anlage 2 Tabelle 3 von den Werten in Anlage 2 wesentlich abweichen, können die zulässigen Stützweiten bzw. Kragträgerlängen aus den Längen der Anlage 2 abgeleitet werden.
Bei Begrenzung der Durchbiegung gilt;

Bei Begrenzung der Spannung gilt:
Formel (j = 2, 3, 4, 5 u. 6)
Entsprechend können bei anderen Lagerungsbedingungen die zulässigen Längen L* aus den Längen L nach Abschnitt 2.1 umgerechnet werden.
3 Zusätzliche Einzellasten
Einzellasten, die zusätzlich zu den in der Anlage 2 angegebenen Streckenlasten in Ansatz zu bringen sind, können in den Fällen L1 bis L6 nach den in Anlage 2 Tafel 2 genannten Gleichungen berücksichtigt werden. Die Stützweiten bzw. Kragträgerlängen können für das Kriterium "Spannungsbegrenzungen" auch mit Hilfe der Anlage 2 und 1.2 ermittelt werden.
Dazu wird die Einzellast mit l* = m/q* in eine äquivalente Länge l* umgerechnet. Dann wird die zutreffende Stützweite bzw. Kragträgerlänge ohne Einzellast aus der Anlage 2 oder nach den zutreffenden Gleichungen der Anlage 2 Seite 10 ermittelt. Abhängig vom Wert y = h/L wird der Wert x = l/L aus Diagramm Anlage 2 abgelesen. Die zulässige Stützweite bei zusätzlicher Berücksichtigung der Einzellast F = m ⋅ g ergibt sich zu
l = x ⋅ L
Weichen die Parameter von denen der in Anlage 2 Seite 11 ff. zugrunde gelegten ab, ist zunächst diese Abweichung nach Abschnitt 2.2 zu berücksichtigen, danach wird nach den Abschnitten 1 und 2 der Einfluß der Einzellast betrachtet.
Beispiel:
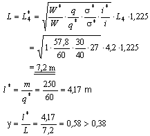
Eine Rohrleitung DN 150 mit s = 7,1 mm ist als Durchlaufträger über mehrere Stützen ausgeführt. Die Metermasse der Rohrleitung mit Füllung beträgt q* = 60 kg/m. In einem Mittelfeld zweigt eine Rohrleitung ab, so daß eine Zusatzmasse m = 250 kg auf dieses Feld wirkt. Das Abzweigformstück sei geschmiedet, so daß i/i* ≈ 2,7 ist. Wegen der hohen Betriebstemperaturen soll die Spannung auf
σ * = 30 N/mm2 begrenzt werden.
Aus der Stützweitentabelle wird bei q = 57,8 [kg/m] eine Stützweite L4 = 4,2 m abgelesen.
Kurve 2 aus Diagramm Anlage 2
Aus Diagramm Anlage 2 wird für y = 0,58 mit Kurve 2 ein Wert x = 0,65 abgelesen.
Die zulässige Stützweite beträgt
l = x ⋅ L = 0,65 . 7,2 =4,7 [m]
Die Durchbiegung kann nach Tabelle 2 Anlage Zeile E mit lEF = l = 4,7 m und q = q* ermittelt werden.
(Stand: 20.08.2018)
Alle vollständigen Texte in der aktuellen Fassung im Jahresabonnement
Nutzungsgebühr: ab 105.- € netto
(derzeit ca. 7200 Titel s.Übersicht - keine Unterteilung in Fachbereiche)
Die Zugangskennung wird kurzfristig übermittelt
? Fragen ?
Abonnentenzugang/Volltextversion