Übermittelt vom Bundesministerium für Wirtschaft und Technologie am 13. Juni 2007 gemäß § 2 des Gesetzes über die Zusammenarbeit von Bund und Ländern in Angelegenheiten der Europäischen Union vom 12. März 1993 (BGBl. I S. 313), zuletzt geändert durch das Förderalismusreform-Begleitgesetz vom 5. September 2006 (BGBl. I S. 2098).
Die Kommission der Europäischen Gemeinschaften hat die Vorlage am 8. Juni 2007 dem Bundesrat zugeleitet.
Die Vorlage ist von der Kommission am 8. Juni 2007 dem Generalsekretär/Hohen Vertreter des Rates der Europäischen Union übermittelt worden.
Hinweis: vgl.
Drucksache 762/00 = AE-Nr. 003194,
Drucksache 371/01 = AE-Nr. 011490,
Drucksache 436/01 = AE-Nr. 011733 und
Drucksache 1017/01 = AE-Nr. 013573
Grünbuch über das künftige Gemeinsame Europäische Asylsystem
1. Einleitung
Die Schaffung eines Gemeinsamen Europäischen Asylsystems ist wesentlicher Bestandteil eines Raums der Freiheit, der Sicherheit und des Rechts und erwächst aus der Idee, die Europäische Union zu einem einheitlichen Schutzraum für Flüchtlinge zu machen, gestützt auf die vollständige und uneingeschränkte Anwendung der Genfer Konvention und die humanitären Werte, die allen Mitgliedstaaten gemeinsam sind. Nach dem Aktionsplan zum Haager Programm sollen die Vorschläge für ein Gemeinsames Europäisches Asylsystem bis Ende 2010 verabschiedet werden.
Die Kommission hat sich verpflichtet, dieses ehrgeizige Ziel weiter zu verfolgen. In diesem Sinne wird ein umfassender Konsultationsprozess dazu eingeleitet, welche Form das Gemeinsame Europäische Asylsystem annehmen soll. Mit dem vorliegenden Grünbuch soll ermittelt werden, welche Optionen nach dem geltenden EU-Rechtsrahmen für die Ausgestaltung der zweiten Phase der Errichtung des Gemeinsamen Europäischen Asylsystems möglich sind.
Das Grundkonzept des Gemeinsamen Europäischen Asylsystems, wie im Tampere-Programm definiert und durch das Haager Programm bestätigt, besteht darin, dass ein einheitliches Asylverfahren und ein einheitlicher, unionsweit gültiger Rechtsstatus etabliert werden. Letztendliches Ziel auf EU-Ebene ist es, gleiche Bedingungen für alle zu schaffen und ein System zu errichten, das wirklich schutzbedürftigen Personen in allen Mitgliedstaaten ein gleichwertiges, hohes Schutzniveau garantiert und gleichzeitig denjenigen, die als nicht schutzbedürftig angesehen werden, eine faire und effiziente Behandlung zuteil werden lässt.
Das angestrebte Ziel der ersten Phase bestand darin, die rechtlichen Rahmenbedingungen der Mitgliedstaaten anhand gemeinsamer Mindeststandards zu harmonisieren, die Fairness, Effizienz und Transparenz gewährleisten. In den Jahren 1999-2006 wurden beträchtliche Fortschritte erreicht, insbesondere durch die Annahme der vier wichtigsten Rechtsinstrumente, die den derzeitigen Acquis bilden und die Grundlagen für das Gemeinsame Europäische Asylsystem schaffen1. Die Kommission wird dafür Sorge tragen, dass die bereits verabschiedeten Rechtsinstrumente von den Mitgliedstaaten planmäßig und wirkungsvoll angewandt werden.
Die Bewertung der Instrumente und Initiativen der ersten Phase ist noch im Gange; da aber die Vorschläge für die zweite Phase im Hinblick auf die Verabschiedung im Jahr 2010 rechtzeitig vorgelegt werden müssen, erscheint es unabdingbar, dass bereits jetzt eingehende Überlegungen und Diskussionen über die künftige Ausgestaltung des Gemeinsamen Europäischen Asylsystems beginnen. Da sämtliche bereits verfügbaren Daten zur Durchführung der Instrumente der ersten Phase und der in diesem Zusammenhang ermittelten Defizite bei der Vorbereitung des Grünbuchs gebührend berücksichtigt wurden, ist der Boden für sachlich fundierte Überlegungen und Diskussionen bereitet. Die Ergebnisse dieses breiten Reflektionsprozesses und die Bewertungsergebnisse werden rechtzeitig gebündelt werden, um die Grundlage der in unmittelbarer Zukunft durchzuführenden Arbeiten im Zusammenhang mit der Ausgestaltung des Gemeinsamen Europäischen Asylsystems bis 2010 zu bilden.
Die zweite Phase sollte darauf ausgerichtet sein, unionsweit höhere einheitliche Schutzstandards und ein gleiches Schutzniveau zu erreichen sowie ein hohes Maß an Solidarität zwischen den EU-Mitgliedstaaten sicherzustellen.
Entscheidend in der zweiten Phase ist, dass wir zu einem integrierten, umfassenden Asylkonzept gelangen, das alle Phasen des Asylprozesses einbezieht, angefangen von dem Zeitpunkt, zu dem jemand in der EU um Schutz nachsucht bis zu dem Zeitpunkt, wo eine dauerhafte Lösung für diejenigen gefunden wird, die internationalen Schutz benötigen.
Bei einem solchen Ansatz ist es wichtig,
- (1) die Bedingungen zu verbessern, unter denen Schutz Suchende in der EU ihre Ansprüche effektiv vortragen und geltend machen können und eine angemessene Antwort auf ihre individuellen Bedürfnisse erhalten und
- (2) die Kapazitäten aller am Asylverfahren beteiligten Akteure zu erhöhen, damit sie ihre Aufgabe erfolgreich erledigen und somit die Gesamtqualität dieses Prozesses verbessert werden kann. Ebenso müssen den nationalen Asylbehörden geeignete Instrumente bereitgestellt werden, damit sie Asylströme effizient bewältigen und Betrug und Missbrauch effektiv verhindern können, um so die Integrität und Glaubwürdigkeit des Asylsystems zu wahren.
Werden diese Ziele erreicht, können die bestehenden Lücken in den geltenden Asyl-Rechtsvorschriften geschlossen und eine rechtliche Harmonisierung auf hohem Niveau vorgenommen werden. Auch die Asylpraxis muss im Wege verschiedener Maßnahmen zur Begleitung der praktischen Zusammenarbeit zwischen den Mitgliedstaaten harmonisiert werden.
Darüber hinaus besteht ein dringender Bedarf an mehr Solidarität im Asylbereich um sicherzustellen, dass die Verantwortung für die Bearbeitung von Asylanträgen und die Schutzgewährung in der EU gerecht verteilt werden. Außerdem ist zu sondieren, wie die EU zu einem internationalen Schutzsystem beitragen kann, das leichter zugänglich, ausgewogen und wirkungsvoll ist.
2. Rechtsinstrumente
2.1. Bearbeitung von Asylanträgen
Die Richtlinie 2005/85/EG des Rates ("Asylverfahrensrichtlinie") sieht eher eine Reihe verfahrensrechtlicher Standards als ein "Standardverfahren" vor. In vielerlei Hinsicht gestatten die Bestimmungen der Richtlinie ein hohes Maß an Flexibilität; dies gilt insbesondere für beschleunigte Verfahren, Grenzverfahren und unzulässige Anträge. Eine weitere Rechtsangleichung ist erforderlich, wenn das Ziel des Haager Programms eines unionsweiten einheitlichen Verfahrens erreicht werden soll.
In diesem Zusammenhang sollte besonderes Gewicht darauf gelegt werden, dass die effektive Möglichkeit, Asyl zu beantragen und somit der Zugang zu internationalem Schutz in der EU verbessert wird. Dies könnte eine Stärkung der rechtlichen Garantien erfordern, die für die entscheidende erste Phase der Grenzverfahren und insbesondere den Registrierungsprozess und die Sicherheitsüberprüfung gelten.
Nationale Vorschriften müssen auch in Bezug auf die Aspekte des Asylverfahrens weiter angeglichen werden, die durch die Bestimmungen der ersten Phase nicht - oder nur unzureichend - abgedeckt sind wie Qualität der Entscheidungsprozesse, Würdigung der von den Antragstellern eingereichten Belege und Rechtsbehelfe.
Erforderlich sein könnte auch eine Neubewertung des Inhalts und Mehrwerts bestimmter Verfahrensansätze, die in der ersten Harmonisierungsphase eingeführt wurden wie das Konzept "sicherer Staaten" (sichere Herkunftsländer, sichere Drittstaaten und sichere europäische Drittstaaten).
Greifbare Fortschritte auf dem Wege zu einem gemeinsamen Asylverfahren könnten auch dadurch erreicht werden, dass in das Gemeinsame Europäische Asylsystem ein einheitliches Verfahren für die Bearbeitung von Anträgen auf Zuerkennung der Flüchtlingseigenschaft oder auf subsidiären Schutz als obligatorisches Element aufgenommen wird. Zu beachten wären dabei Aspekte wie Geltungsbereich, Reihenfolge der Prüfung der verschiedenen Schutzgründe, Rechtsbehelfe sowie die notwendige Festlegung von Fristen oder Vorgaben für die Dauer des Asylverfahrens.
Im Haager Programm eine Studie zu den Auswirkungen, der Angemessenheit und der Durchführbarkeit der gemeinsamen Bearbeitung von Asylanträgen gefordert und die gemeinsame Bearbeitung als zusätzliche Möglichkeit zur weiteren Harmonisierung genannt. Bei dem geltenden Rechtsrahmen liegt die Zuständigkeit für die Feststellung von Asylansprüchen bei den einzelnen Mitgliedstaaten. Der Mehrwert, die genauen Modalitäten sowie die praktischen und finanziellen Auswirkungen eines solchen gemeinsamen Bearbeitungsverfahrens, das auf den spezifischen Erfahrungen und Fähigkeiten der Mitgliedstaaten zur Behandlung bestimmter Fälle aufbauen könnte, werden unter Berücksichtigung der Schlussfolgerungen der vorgenannten Studie sorgfältig zu prüfen sein.
- (1) Wie könnte ein einheitliches Asylverfahren erreicht werden? Welche Aspekte kommen für eine weitere Rechtsangleichung in Betracht?
- (2) Wie könnte der Zugang zum Asylverfahren wirkungsvoll verbessert werden? Allgemeiner gesagt, welche Aspekte des Asylverfahrens, so wie es derzeit geregelt ist, könnten in Bezug auf Effizienz und Schutzgarantien verbessert werden?
- (3) Welche verwendeten Begriffe und Verfahrensansätze sollten gegebenenfalls überprüft werden?
- (4) Wie wäre ein verbindliches einheitliches Verfahren zu gestalten?
- (5) Welche Modelle könnten für die gemeinsame Bearbeitung von Asylanträgen in Betracht gezogen werden? Unter welchen Umständen könnten die Mitgliedstaaten ein Verfahren für die gemeinsame Bearbeitung anwenden?
2.2. Aufnahmebedingungen für Asylsuchende
Will man Sekundärbewegungen vermeiden, ist bei den Aufnahmebedingungen für Asylsuchende ein hohes Maß an Harmonisierung geboten. Nach den bereits vorliegenden Informationen zur Umsetzung der Richtlinie 2003/9/EG des Rates ("Richtlinie über Aufnahmebedingungen") wird der erwünschte Harmonisierungseffekt aber dadurch zunichte gemacht, dass mehrere Schlüsselbestimmungen dieser Richtlinie den Mitgliedstaaten einen breiten Ermessensspielraum überlassen.
So gibt es beispielsweise erhebliche Unterschiede beim Zugang von Asylsuchenden zum Arbeitsmarkt: Während in einigen Mitgliedstaaten zahlreiche Voraussetzungen erfüllt sein müssen (z.B. Erlangung einer Arbeitserlaubnis), gestatten einige Mitgliedstaaten den unmittelbaren Zugang, während andere den Zugang auf ein Jahr beschränken. Diese Situation wirft die Frage auf, ob die Voraussetzungen und der Zeitrahmen für den Zugang zum Arbeitsmarkt nicht genauer geregelt werden sollten.
Eng verknüpft mit den vorgenannten Arbeitsmöglichkeiten für Asylbewerber ist die Frage, wie generell angemessene materielle Aufnahmebedingungen sichergestellt werden können. Darüberhinaus wurden grosse Abweichungen hinsichtlich der Standards der Aufnahmebedingungen und des Zugangs zur Gesundheitsversorgung beobachtet.
Gravierende Probleme wurden auch in Bezug auf die Anwendbarkeit dieser Richtlinie auf Gewahrsamszentren sowie in Bezug auf die generelle Anwendung von Gewahrsamsmaßnahmen auf Asylsuchende festgestellt, insofern solche Maßnahmen die tatsächliche Wahrnehmung der durch die Richtlinie garantierten Rechte verhindern.
- (6) In welchen Bereichen sollte der breite Ermessensspielraum, den die geltende Richtlinie bietet, eingeschränkt werden, um wirklich gleiche Bedingungen für die Behandlung von Asylsuchenden zu erreichen, die einem angemessenen Standard entsprechen?
- (7) Sollten insbesondere Form und Niveau der materiellen Aufnahmebedingungen für Asylsuchende weiter harmonisiert werden?
- (8) Sollten nationale Vorschriften für den Zugang zum Arbeitsmarkt weiter angeglichen werden? Wenn ja, in welcher Hinsicht?
- (9) Sollten die Gründe für die Gewahrsamsnahme in Einklang mit der Rechtsprechung des Europäischen Gerichtshof für Menschenrechte klargestellt und die diesbezüglichen Bedingungen sowie die Dauer präziser geregelt werden?
2.3. Gewährung von Schutz
Als Antwort auf den im Haager Programm geforderten einheitlichen Schutz könnten mehrere Optionen in Bezug auf die Kriterien für die Schutzwürdigkeit und den Inhalt des zu gewährenden Schutzstatus ins Auge gefasst werden.
Eine solche Option könnte in der weiteren Harmonisierung der Anerkennungskriterien und einer Klarstellung der Konzepte bestehen, die zur Definition der Schutzgründe herangezogen werden und so die Marge für abweichende Interpretationen und Anwendungen in verschiedenen Mitgliedstaaten, die derzeit nach der Richtlinie 2004/83/EG ("Qualifizierungsrichtlinie") zulässig sind, auf ein Mindestmaß beschränken.
Eine weitere Angleichung der Rechte und Leistungen, die mit der Schutzgewährung verbunden sind (u. a. Aufenthaltserlaubnis, Sozialhilfe und Gesundheitsversorgung, Bildung und Beschäftigung) könnte ebenfalls in Erwägung gezogen werden. Nach den geltenden Rechtsvorschriften erhalten Flüchtlinge und Personen mit subsidiärem Schutzstatus unterschiedliche Rechte und Leistungen; dies stützt sich auf die aus dem geltenden Völkerrecht stammende Unterscheidung zwischen den beiden Gruppen und spiegelt die erheblich voneinander abweichenden Schutzgründe wider. Wird Einheitlichkeit im Sinne eines höheren Maßes an Harmonisierung verstanden, würde diese Option auf einen einheitlichen Status für Flüchtlinge und Begünstigte eines subsidiären Schutzstatus hinauslaufen. Dies würde bedeuten, dass die nach dem geltenden Rechtsrahmen zulässige Flexibilität in Bezug auf Inhalt und Dauer der zu gewährenden Rechte sowie die Möglichkeit, den Zugang zu bestimmten Rechten einzuschränken oder zu verweigern, verringert würde.
Als weitere Option wäre zu überlegen, ob allen Personen, die nach dem geltenden Rechtsrahmen für die Gewährung des Flüchtlingsstatus oder von subsidiärem Schutz in Betracht kommen, ein einziger einheitlicher Status zuerkannt werden könnte, d. h. ein Schutzstatus, der für beide Gruppen eine Reihe einheitlicher Rechte umfasst. Sofern dieselben Rechte unabhängig von den Schutzgründen gewährt werden, würde ein solcher Status die Anreize für Antragsteller mindern, gegen Entscheidungen zur Gewährung subsidiären Schutzes vorzugehen, um den Flüchtlingsstatus zu erlangen.
Ebenso könnten Überlegungen darüber sinnvoll sein, wie der Status von Personengruppen harmonisiert werden kann, die nach der Definition in den Rechtsinstrumenten der ersten Phase nicht für internationalen Schutz in Betracht kommen, aber dennoch aufgrund von Verpflichtungen, die allen Mitgliedstaaten nach Maßgabe internationaler Flüchtlings- oder Menschenrechtsinstrumentarien bzw. der sich aus diesen Instrumentarien ergebenden Grundsätze obliegen, vor Abschiebung geschützt sind. Als Beispiel seien Personen genannt, die aus gesundheitlichen Gründen nicht abgeschoben werden können und unbegleitete Minderjährige. Vorschriften für einen harmonisierten Status solcher Personengruppen müssen sich an der einschlägigen Rechtsprechung des Europäischen Gerichtshofs für Menschenrechte orientieren2.
Das Konzept eines unionsweit gültigen Status fordert auch zu Überlegungen darüber auf, ob auf Gemeinschaftsebene ein Mechanismus für die gegenseitige Anerkennung nationaler Asylentscheidungen geschaffen werden und eine Übertragung der Schutzverantwortung möglich sein soll, wenn sich ein Schutzbegünstigter in einem anderen Mitgliedstaat niederlässt. Die rechtlichen Modalitäten und genauen Voraussetzungen bedürfen einer gründlich Erörterung. Ein solcher Mechanismus könnte sich insbesondere auf die einschlägigen Bestimmungen der Genfer Konvention und das Europäische Übereinkommen über den Übergang der Verantwortung für Flüchtlinge stützen, das im Rahmen des Europarates geschlossen wurde.
- (10) In welchen Bereichen sollte die Rechtsangleichung weiter fortgesetzt oder die Standards angehoben werden:
-
- - den Kriterien für die Schutzgewährung
- - den mit dem Schutzstatus verbundenen Rechten und Leistungen?
- (11) Welche Modelle könnten für die Schaffung eines "einheitlichen Status" ins Auge gefasst werden? Sollte ein einheitlicher Status für Flüchtlinge und ein anderer für Begünstigte des subsidiären Schutzes in Betracht gezogen werden? Wie könnten sie gestaltet sein?
- (12) Wäre ein einziger einheitlicher Status für alle Personen denkbar, die für internationalen Schutz in Betracht kommen? Wie könnte er gestaltet sein?
- (13) Sollten weitere Gruppen nicht abschiebbarer Personen in den Geltungsbereich des Gemeinschaftsrechts aufgenommen werden? Unter welchen Voraussetzungen?
- (14) Sollte ein EU-Mechanismus zur gegenseitigen Anerkennung nationaler Asylentscheidungen geschaffen und die Möglichkeit einer Übertragung der Schutzverantwortung vorgesehen werden? Unter welchen Voraussetzungen könnte dies eine sinnvolle Option sein? Wie könnte dies funktionieren?
2.4. Querschnittsthemen
2.4.1. Angemessene Reaktion auf Situationen besonderer Schutzwürdigkeit
In allen Instrumenten der ersten Phase wird betont, dass die speziellen Erfordernisse besonders schutzbedürftiger Personen berücksichtigt werden müssen. Es hat jedoch den Anschein, dass die von den Mitgliedstaaten angewandten Definitionen und Verfahren zur Ermittlung besonders schutzbedürftiger Asylsuchender gravierende Mängel aufweisen und es den Mitgliedstaaten an den nötigen Ressourcen, Kapazitäten und Fachkenntnissen fehlt, um solchen Erfordernissen angemessen zu begegnen.
Daher erscheint es notwendig, eingehender und ausführlicher vorzuschreiben, wie die speziellen Bedürfnisse der besonders schutzbedürftigen Asylsuchenden in allen Phasen des Asylprozesses ermittelt und behandelt werden sollen. Ein solch umfassender Ansatz würde sich insbesondere darauf konzentrieren, präziser zu regeln, was unter angemessener medizinischer und psychologischer Betreuung und Beratung von traumatisierten Personen, Opfern von Folter und Menschenhandel, geeignete Identifizierung und Behandlung Minderjähriger, insbesondere unbegleiteter Minderjähriger zu verstehen ist; das Gleiche gilt für die Entwicklung geeigneter Befragungstechniken für diese Gruppen, gestützt u.a. auf kulturelle, alters- und geschlechtsspezifische Faktoren interkulturelle Fähigkeiten sowie den Einsatz spezialisierter Befrager und Dolmetscher und die Festlegung detaillierterer Regeln dafür, was bei der Würdigung von Anträgen aufgrund geschlechts- oder kindspezifischer Formen der Verfolgung zu beachten ist.
Darüber hinaus müssen Mittel und Wege gefunden werden, um die nationalen Kapazitäten durch Einbindung aller Akteure zu stärken, die an der Konzeption und Umsetzung von Maßnahmen beteiligt sind, um den speziellen Erfordernissen besonders schutzbedürftiger Gruppen von Asylsuchenden und Flüchtlingen zu begegnen - wie Fachkräfte des Gesundheits- und Bildungswesens, Psychologen, Dolmetscher, Sprachsachverständige, Kulturanthropologen, Rechtsanwälte, Sozialarbeiter und regierungsunabhängige Organisationen. Dazu könnten spezifische EU-weite Schulungsprogramme für solche Fachkräfte, die Errichtung von Mechanismen auf EU-Ebene (einschließlich Datenbanken und sonstige Instrumente für den Informationsaustausch) zur Verbreitung bewährter praktischer Verfahren oder sogar die Festlegung gemeinsamer Standards hinsichtlich der verlangten Qualifikationen und Fähigkeiten und gegebenenfalls ein Monitoringmechanismus gehören, um sicherzustellen, dass besonders schutzbedürftigen Personen qualitativ hochwertige Dienstleistungen angeboten werden.
- (15) Wie könnten die den Mitgliedstaaten auferlegten Identifizierungspflichten so verbessert werden, dass sie den Erfordernissen besonders schutzbedürftiger Asylsuchender Rechnung tragen und auf ihre tatsächlichen Bedürfnisse zugeschnitten sind? In welchen Bereichen sollten Standards weiterentwickelt werden?
- (16) Welche Maßnahmen sollten im Hinblick auf die Stärkung nationaler Kapazitäten für eine effiziente Bewältigung von Situationen besonderer Schutzbedürftigkeit durchgeführt werden?
2.4.2. Integration
Da sich die EU-Politik zunehmend auf die Integration von Drittstaatsangehörigen konzentriert, ist es an der Zeit, generell darüber nachzudenken, wie die Integration von Personen gefördert werden kann, denen internationaler Schutz gewährt wird. Die Ausdehnung der Rechte langfristig aufenthaltsberechtigter Drittstaatsangehöriger auf diese Gruppe, wie im Vorschlag der Kommission zur Änderung der Richtlinie 2003/109/EG ("Richtlinie über langfristig aufenthaltsberechtigte Drittstaatsangehörige") vom 6. Juni 2007 angeregt, wird hierzu einen signifikanten Beitrag leisten.
In diesem Zusammenhang wäre besonders darauf zu achten, dass die in der Qualifizierungsrichtlinie vorgeschriebenen Standards für die Integration von Begünstigten des subsidiären Schutzes und zur Entwicklung von Integrationsprogrammen, um die besonderen Bedürfnisse (beispielsweise in Bezug auf Wohnraumversorgung und Zugang zu Gesundheitsversorgung und Sozialdiensten) und das Potenzial von Begünstigten des internationalen Schutzes zu berücksichtigen, ergänzt werden.
Das Recht zu arbeiten (und diesbezügliche Beschränkungen) sind in diesem Zusammenhang wichtig, da Beschäftigung anerkanntermaßen als integrationsfördernd gilt. Deshalb müssen Mittel und Wege gefunden werden, um das Bewusstsein der Arbeitsmarktakteure für den Wert und potenziellen Beitrag, den Begünstigte des internationalen Schutzes in ihre Organisationen und Unternehmen einbringen können, zu schärfen. Insbesondere sollten auch ihre Arbeitserfahrung, ihre Fähigkeiten und ihr Potenzial ermittelt und ihre Qualifikationen anerkannt werden, denn Begünstigte des internationalen Schutzes sind häufig nicht in der Lage, Nachweise wie Diplome oder sonstige Zeugnisse aus ihren Herkunftsländern beizubringen, die in den Mitgliedstaaten normalerweise als Voraussetzung für eine legale Beschäftigung in bestimmten Bereichen verlangt werden. Der Erwerb interkultureller Fähigkeiten und Kompetenzen sollte nicht nur mit Blick auf die Begünstigten des internationalen Schutzes sondern auch für die mit ihnen arbeitenden Personen unterstützt werden. Darüber hinaus sollten Diversity-Management-Schulungen gefördert werden. Im Hinblick auf einen globalen Ansatz könnte es auch erforderlich sein zu überlegen, ob Asylsuchenden Zugang zu spezifischen ausgewählten Integrationsmaßnahmen und -einrichtungen gewährt werden soll, um u.a. eine schnelle Integration jener zu erleichtern, denen letztlich internationaler Schutz gewährt wird.
- (17) Welche weiteren rechtlichen Maßnahmen könnten getroffen werden, um die Integration von Asylsuchenden und Begünstigten des internationalen Schutzes u. a. in den Arbeitsmarkt zu erleichtern?
2.4.3. Die Instrumente der zweiten Phase müssen umfassend sein
Es wäre auch an der Zeit, über andere Bereiche nachzudenken, die derzeit nicht durch das Gemeinschaftsrecht abgedeckt sind, in denen aber eine Angleichung nationaler Vorschriften einen Mehrwert bringen könnte.
- (18) In welchen anderen Bereichen wäre eine Harmonisierung im Hinblick auf einen wirklich umfassenden Ansatz in der Asylproblematik sinnvoll oder notwendig?
3. Durchführung - Begleitmaßnahmen
Im Haager Programm wurde eine Stärkung der praktischen Zusammenarbeit zwischen den Behörden der Mitgliedstaaten gefordert, um eine stärkere Angleichung der nationalen Vorgehensweisen, eine verbesserte Qualität der Beschlussfassung und mehr Effizienz in der Asylpolitik zu erreichen. Die vielfältigen in der Kommissionsmitteilung "Intensivierung der konkreten Zusammenarbeit" skizzierten Maßnahmen werden derzeit im Rahmen von "Eurasil", einer von der Kommission geleiteten Sachverständigengruppe, durchgeführt.
Da die auf der Grundlage der Ergebnisse dieses Grünbuchs festgelegten Ziele mittel- und langfristig sein werden, ist es wichtig, über die bereits vorgeschlagenen Maßnahmen hinauszugehen und weitere Bereiche zu prüfen, in denen die praktische Zusammenarbeit zwischen den Mitgliedstaaten nutzbringend ausgeweitet werden könnte. Dabei sind auch Wege zur Maximierung der Wirkung dieser Zusammenarbeit in Bezug auf die weitere Angleichung der nationalen Praxis und der Rechtsprechung einzubeziehen, z.B. die Entwicklung gemeinsamer Leitlinien für die Auslegung und Anwendung verschiedener verfahrensrechtlicher und inhaltlicher Aspekte der EU-Asylvorschriften. Um einige Beispiele zu nennen: Ausgehend von der gemeinsamen Einschätzung von Situationen in Herkunftsländern, von bestimmten Arten von Fällen oder bestimmten Aspekten der Asylanträge, die juristisches Fachwissen oder besondere Sachkenntnis erfordern, könnten die Mitgliedstaaten gemeinsame Konzepte für Ausschluss- oder Beendigungsklauseln für bestimmte Fälle, gemeinsame Konzepte für geschlechts- oder kindsspezifische Verfolgung, die Aufdeckung und Verhütung von Betrug oder Missbrauch, die Übersetzung von Dokumenten sowie für Befragungsmethoden und -verfahren annehmen.
Des Weiteren sollte überlegt werden, wie die EU-weite Datenbank für Herkunftsländerinformationen (COI-Portal) weiterentwickelt werden kann, z.B. indem sie mit anderen Zuwanderungs- und Integrations-Datenbanken vernetzt und so ausgestattet wird, dass Informationen zu einer breiten Palette migrationsrelevanter Themen bereitgestellt werden können.
Es könnte auch ein größerer Akzent auf die Erweiterung des Kreises der Personen gelegt werden, die am Austausch bewährter Vorgehensweisen, dem Ausbau der Kapazitäten, Aus- und Weiterbildungsmaßnahmen und der Entwicklung einschlägiger Leitlinien beteiligt sind; darüber hinaus könnte die Einbindung sämtlicher Akteure angestrebt werden, einschließlich Berufungsinstanzen auf Verwaltungs- oder gerichtlicher Ebene, Rechts- und Sprachsachverständige, Beschäftigte im Gesundheits- und Bildungswesen, professionelle Berufsberater, Kulturanthropologen, Bedienstete des Grenzschutzes und der Strafverfolgungsbehörden.
Um mit der raschen Zunahme der praktischen Zusammenarbeit, die unterschiedliche Aspekte des Asylverfahrens umfasst, Schritt zu halten, wird es zunehmend vordringlich, eine angemessene strukturelle Unterstützung für sämtliche relevanten Tätigkeiten sowie ein wirksames und systematisches Follow-up zu gewährleisten, das die Auswertung der Ergebnisse dieser Tätigkeiten ermöglicht.
Die Kommission plant, in diesem Jahr eine Durchführbarkeitsstudie in Auftrag zu geben, in der die verschiedenen Optionen detailliert und umfassend untersucht werden.
Eine der Optionen ist die im Haager Programm vorgesehene Umwandlung der an der praktischen Zusammenarbeit beteiligten Stellen in eine europäische Unterstützungsagentur. Fiele die Wahl auf diese Option, könnte eine solche Agentur sämtliche laufenden Tätigkeiten im Rahmen der praktischen Zusammenarbeit übernehmen und systematisch koordinieren. Zu ihrem Aufgabenbereich könnte es gehören, Schulungen für die am Asylverfahren Beteiligten und strukturelle Unterstützung für Bearbeitungstätigkeiten, die die Mitgliedstaaten künftig vielleicht gemeinsam durchführen werden, bereitzustellen. Sie könnte auch die gemeinsamen Anstrengungen der Mitgliedstaaten unterstützen, deren Asylsysteme und Aufnahmekapazitäten beispielsweise aufgrund ihrer geografischen Lage unter besonderen Druck geraten sind. Sie könnte Teams von Asylfachleuten bilden und leiten, die in denjenigen Mitgliedstaaten eingesetzt werden könnten, in denen die Belastung besonders groß ist. Sie könnte an der Durchführung der regionalen Schutzprogramme und der Koordinierung künftiger politischer Initiativen, z.B. der Wiederansiedlung auf EU-Ebene, beteiligt werden. Sie könnte mit der Kontrolle der Einhaltung der Aufnahmebedingungen für Asylbewerber beauftragt werden.
- (19) In welchen anderen Bereichen könnte die praktische Zusammenarbeit nutzbringend ausgeweitet werden, und wie könnten die Wirkungen maximiert werden? Wie könnten mehr Interessengruppen sinnvoll beteiligt werden? Wie könnten innovative und bewährte Vorgehensweisen im Bereich der praktischen Zusammenarbeit verbreitet und auch in anderen Bereichen angewandt werden?
- (20) Wie könnte die praktische Zusammenarbeit insbesondere dazu beitragen, gemeinsame Vorgehensweisen bei den Konzepten für die geschlechts- oder kinderspezifische Verfolgung, die Anwendung von Ausschlussklauseln oder die Betrugsverhütung zu entwickeln?
- (21) Welche Optionen könnten ins Auge gefasst werden, um eine breite Palette an Tätigkeiten im Rahmen der praktischen Zusammenarbeit strukturell zu unterstützen und ihre Nachhaltigkeit zu gewährleisten? Wäre die Einrichtung einer europäischen Unterstützungsagentur eine wirkungsvolle Option? Wenn ja, welche Aufgaben könnte sie übernehmen?
- (22) Wie wäre eine derartige Agentur im Idealfall operational und institutionell ausgestaltet, damit sie die ihr übertragenen Aufgaben mit Erfolg wahrnehmen kann?
4. Solidarität und Lastenteilung
4.1. Geteilte Verantwortung
Das Dublin-System (Dublin- und EURODAC-Verordnungen) war nicht als Lastenteilungsinstrument konzipiert. Sein vorrangiges Ziel bestand darin, auf der Grundlage gerechter und objektiver Kriterien rasch festzulegen, welcher Mitgliedstaat für die Prüfung eines im Gebiet der EU eingereichten Asylantrags zuständig ist, und Sekundärbewegungen zwischen den Mitgliedstaaten vorzubeugen. Wie der am 6. Juni veröffentlichte Bewertungsbericht gezeigt hat, wurden diese Ziele des Dublin-Systems weitgehend erreicht, obwohl Fragen in Bezug auf die Wirksamkeit des Systems bei der Verringerung von Sekundärbewegungen weiterhin offen bleiben.
Aus dem Bewertungsbericht ging auch hervor, dass die Zahl der Überstellungen an Mitgliedstaaten mit EU-Außengrenzen und an Mitgliedstaaten ohne EU-Außengrenzen ausgewogen war. Dessen ungeachtet kann das Dublin-System für die Mitgliedstaaten, deren Aufnahme- und Absorptionskapazitäten begrenzt sind und die aufgrund ihrer geografischen Lage unter besonderen Migrationsdruck geraten sind, de facto eine zusätzliche Belastung zur Folge haben.
Eine weitere Angleichung der nationalen Asylverfahren, der Rechtsstandards und der Aufnahmebedingungen - wie sie im Gemeinsamen Europäischen Asylsystem vorgesehen ist - muss zwangsläufig zu einer Verringerung derjenigen Sekundärbewegungen der Asylbewerber führen, die sich hauptsächlich aus der Vielfalt der anwendbaren Regeln ergeben; sie könnte somit zu einer gerechteren Verteilung der Asylanträge zwischen den Mitgliedstaaten insgesamt führen.
Allerdings wird auch die Einführung eines gemeinsamen Asylverfahrens und eines einheitlichen Rechtsstatus die Gründe, aus denen Asylbewerber einen Mitgliedstaat attraktiver finden als einen anderen, nicht gänzlich ausrotten können. Auch weiterhin wird ein System, das die Zuständigkeit für die Prüfung eines Asylantrags innerhalb der EU eindeutig zuweist, erforderlich sein, um Phänomene zu vermeiden wie den "Asyltourismus" und die "refugees in orbit", d.h. die Asylbewerber, die zwischen den Mitgliedstaaten hin- und hergeschickt werden.
Des Weiteren sollten Überlegungen zu den Grundsätzen und Zielen des Dublin-Systems angestellt werden, und es sollte geprüft werden, ob das System durch zusätzliche Verfahren ergänzt werden sollte.
Darüber hinaus könnten weitere Faktoren berücksichtigt werden, z.B. die Kapazitäten der Mitgliedstaaten zur Bearbeitung von Asylanträgen und zur Bereitstellung langfristiger Lösungen für anerkannte Flüchtlinge. Diese Überlegungen sind erforderlich, wenn die Anwendung des Systems zu einer ausgewogeneren Verteilung zwischen den Mitgliedstaaten führen soll.
In der Vergangenheit sind Alternativsysteme in Bezug auf die Zuweisung der Zuständigkeit in Erwägung gezogen worden. Dazu gehörte beispielsweise ein System zur Übertragung der Zuständigkeit auf das Land, in dem der Asylantrag eingereicht wurde, das Herkunftsland des Asylbewerbers oder das letzte bekannte Transitland.
Allerdings sollte im Mittelpunkt der Überlegungen die Frage nach der Schaffung "korrektiver" Lastenteilungsmechanismen, die das Dublin-System ergänzen, stehen; dies könnte beispielsweise ein System sein, das die Verteilung der internationalen Schutz genießenden Personen auf die Mitgliedstaaten gewährleistet, nachdem diesen Personen der Schutzstatus zuerkannt wurde. Auch die Wiederansiedlung innerhalb der EU ist eine Option, die weiterverfolgt werden sollte. Eine Ausweitung der Bestimmungen der Richtlinie über die Rechtsstellung der langfristig aufenthaltsberechtigten Drittstaatsangehörigen auf die Personen, die internationalen Schutz genießen, dürfte die Belastung einiger Mitgliedstaaten ebenfalls verringern, da diesen Personen unter bestimmten Bedingungen die Einreise in einen anderen Mitgliedstaat erlaubt wird.
- (23) Sollte das Dublin-System durch Maßnahmen ergänzt werden, die eine faire Lastenteilung ermöglichen?
- (24) Welche anderen Verfahren könnten entwickelt werden, um eine gerechtere Verteilung der Asylbewerber und/oder der Personen, die internationalen Schutz genießen, auf die Mitgliedstaaten zu gewährleisten?
4.2. Finanzielle Solidarität
Es ist zu prüfen, wie die Effizienz des Europäischen Flüchtlingsfonds (EFF) als Instrument zur Unterstützung der Anstrengungen der Mitgliedstaaten zur Durchführung der Asylpolitik der EU weiter maximiert werden kann. Dabei muss im Einzelnen sondiert werden, wie eine stärker zielgerichtete Verwendung der EFF-Mittel gewährleistet werden kann, um die angestrebten Ziele zu ergänzen und voranzutreiben und gleichzeitig als Katalysator zu fungieren, um Unterschiede abzubauen und Standards zu erhöhen.
Um die Wirkung des Fonds zu maximieren, könnten beispielsweise Verfahren zur Konsultation oder zum Informationsaustausch auf nationaler Ebene eingerichtet werden; so könnte eine präzise Analyse der mit Unterstützung des Fonds zu behebenden Mängel erstellt werden. Um Verzettelung und Doppelarbeit zu vermeiden und um Synergien und bewährte Vorgehensweisen zu fördern, könnte auch auf EU-Ebene ein Verfahren zum Informationsaustausch eingerichtet werden, das der Verbreitung von Informationen zu modellhaften Projekten und Programmen dienen könnte.
Allerdings wirft die Einführung eines umfassenden Finanzierungskonzepts neben der Optimierung der bereits existierenden Finanzierungsmöglichkeiten auch die Frage auf, ob es einen Finanzbedarf gibt, der durch die bestehenden Mittel nicht angemessen gedeckt wird. Ein derartiger Bedarf kann beispielsweise entstehen, wenn es integrierte Maßnahmen zur Bewältigung von Situationen besonderer Schutzwürdigkeit im Lauf des Asylverfahrens oder Maßnahmen zur Begleitung der Zusammenarbeit zwischen den Mitgliedstaaten zu finanzieren gilt (von der Finanzierung der Abstellung von Personal nationaler Behörden und gerichtlicher Instanzen oder ihrer Mitarbeit an gemeinsamen Tätigkeiten bis zur Finanzierung der künftigen europäischen Unterstützungsagentur).
- (25) Wie ließen sich die Effizienz, die Komplementarität mit nationalen Ressourcen und der Multiplikatoreffekt des Europäischen Flüchtlingsfonds erhöhen? Wäre die Einrichtung der genannten Verfahren zum Informationsaustausch ein geeignetes Mittel? Welche anderen Maßnahmen kämen in Betracht?
- (26) Ist Ihnen bekannt, dass es einen Finanzierungsbedarf gibt, der durch die bestehenden Fonds nicht angemessen gedeckt wird?
5. Externe Dimension der Asylproblematik
5.1. Unterstützung der Drittländer bei der Erhöhung des Schutzes
Angesichts der Tatsache, dass von den 8,7 Millionen Flüchtlingen weltweit 6,5 Millionen in Entwicklungsländern leben3, muss geprüft werden, wie Drittländer im Zusammenhang mit der Asyl- und Flüchtlingsproblematik unterstützt werden können. In dem Bemühen, den Schutz und das Angebot an nachhaltigen Lösungen für Flüchtlinge in ihren Herkunfts- und Transitregionen zu erhöhen, hat die Kommission das Konzept der regionalen Schutzprogramme der EU als Ergänzung zu den verschiedenen Formen von EU-Hilfsprogrammen für Drittländer im Asylbereich entwickelt. In diesem Zusammenhang sollte angemerkt werden, dass die beiden Pilotprogramme, die in den westlichen Neuen Unabhängigen Staaten und in Tansania gestartet wurden, sich noch in einem sehr frühen Stadium ihrer Durchführung befinden und dass jede künftige Umgestaltung des Konzepts sich auf die Bewertungsergebnisse dieser Programme stützen muss. Wenn ihr Nutzen festgestellt wurde, könnte die Diskussion sich stärker darauf konzentrieren, ihren Mehrwert zu entwickeln und die Nachhaltigkeit ihrer Ergebnisse zu gewährleisten.
Seitdem die Kommission die Bedeutung der Erreichung dauerhafter Lösungen für Flüchtlinge und Asylbewerber für ihre Entwicklungshilfe erkannt hat, hat sie in den letzten Jahren begonnen die Asylproblematik systematisch in ihre Strategien zur Entwicklungszusammenarbeit einzubetten und weist diesem Bereich beträchtliche Finanzmittel aus den einschlägigen externen Hilfsprogrammen zu.
In diesem Zusammenhang ist es wichtig, darüber nachzudenken, mit welcher Art von Maßnahmen die Drittländer am effizientesten bei der Lösung von Flüchtlingsproblemen unterstützt werden können, z.B. wie dem Bedarf von Flüchtlingen und Rückkehrern begegnet und ihr Potenzial, zur Entwicklung der betreffenden Aufnahmeländer beizutragen, genutzt werden kann und wie sich die Kohärenz und Wirksamkeit der Maßnahmen der EU gegenüber den betreffenden Regionen und Drittländern verbessern lassen.
- (27) Wie ließen sich die Wirksamkeit und Nachhaltigkeit der regionalen Schutzprogramme erhöhen, falls sich dies als notwendig erweisen sollte? Sollte das Konzept der regionalen Schutzprogramme weiterentwickelt werden? Wenn ja , wie?
- (28) Wie könnte die EU die Drittländer am besten dabei unterstützen, Lösungen für die Asyl und Flüchtlingsproblematik zu finden ?
- (29) Wie könnten die Gesamtstrategien der Gemeinschaft gegenüber Drittländern in der Flüchtlingshilfe vereinheitlicht und verstärkt werden?
5.2. Wiederansiedlung
Die Wiederansiedlung als Instrument, das Schutz gewährleistet, dauerhafte Lösungen bietet und ein effizientes Verfahren zur Lastenteilung einführt, bildet einen wichtigen Teil der externen Dimension der EU-Asylpolitik. Die Wiederansiedlung von Flüchtlingen im EU-Gebiet spiegelt auch die Verpflichtung der EU wider, internationale Solidarität zu zeigen und die Last der Länder in den Herkunftsregionen zu teilen, in denen die große Mehrheit der Flüchtlinge angesiedelt ist. Um die ehrgeizigen Ziele in Bezug auf die Entwicklung eines EU-Wiederansiedlungsprogramms zu erreichen, ist ein proaktives Vorgehen erforderlich. Die Kommission ist derzeit bemüht, umfassende Finanzhilfe für Wiederansiedlungsmaßnahmen der Mitgliedstaaten bereitzustellen und ein weitreichendes Engagement der EU für die Wiederansiedlung im Rahmen der regionalen Schutzprogramme zu erleichtern.
Sollte dieser Bereich weiterentwickelt werden, könnten unterschiedliche Modelle zur Ermunterung der Mitgliedstaaten in dieser Richtung geprüft werden. Dazu könnte gehören, die Mitgliedstaaten beim Ausbau und der Verstärkung ihrer nationalen Wiederansiedlungsprogramme zu unterstützen und sie zu ermuntern, maßgeblich an der Wiederansiedlungskomponente der regionalen Schutzprogramme mitzuwirken. Es könnte auch nützlich sein, Überlegungen zur Entwicklung eines gemeinsamen Vorgehens in Bezug auf die Möglichkeiten zur Durchführung der Wiederansiedlungsaktivitäten im Zusammenhang mit den regionalen Schutzprogrammen anzustellen, um größere Effizienz, ein höheres Maß an Koordinierung und mehr Größenvorteile zu erreichen. Jeder weitere Schritt in diese Richtung wird selbstverständlich auf den Schlussfolgerungen der Bewertung der regionalen Pilot-Schutzprogramme aufbauen müssen.
Es könnte sich auch lohnen, andere Bereiche - jenseits der regionalen Schutzprogramme - auszuloten, in denen eine kollektive Wiederansiedlungsanstrengung auf EU-Ebene dazu beitragen könnte, im Falle einer länger anhaltenden Flüchtlingspräsenz Lösungen zu finden oder eine wirksame Antwort auf Notsituationen zu liefern.
- (30) Wie ließe sich ein umfangreiches und dauerhaftes Engagement der EU für Wiederansiedlungen erreichen?
- (31) Welche Wege könnten erforscht werden, um zu einem koordinierten Vorgehen in Bezug auf Wiederansiedlungen auf EU-Ebene zu gelangen? Was wäre auf finanzieller, operativer und institutioneller Ebene erforderlich?
- (32) In welchen anderen Situationen könnte ein gemeinsames Engagement der EU für die Wiederansiedlung von Flüchtlingen ins Auge gefasst werden? Unter welchen Bedingungen?
5.3. Steuerung gemischter Migrationsströme an den Außengrenzen
Ein weiteres Kernelement der externen Dimension der Asylproblematik ist die Notwendigkeit der Steuerung gemischter Migrationsströme, d.h. Migrationsströme, die an den Außengrenzen eines Mitgliedstaats ankommen und sowohl illegale Zuwanderer als auch schutzsuchende Personen umfassen. Die Antwort auf diese Herausforderung impliziert einen garantierten und verstärkten Zugang zum Schutz an den Außengrenzen.
Maßnahmen zur Bekämpfung der illegalen Zuwanderung und Schleusung von Migranten sollten so durchgeführt werden, dass die praktische Bedeutung des Asylrechts unberührt bleibt. Die Anstrengungen der Kommission zielen schwerpunktmäßig auf die Bereitstellung operativer und finanzieller Unterstützung für die Mitgliedstaaten, damit diese insbesondere bei Notsituationen aufgrund von Massenzuströmen von Asylsuchenden an ihren Grenzen wirksame schutzbedarfsgerechte Systeme zur Einreisesteuerung einrichten können.
Die Vorschläge sollten in erster Linie auf die Bildung von Teams von Asylfachleuten, die Mitgliedstaaten mit besonders hohem Migrationsdruck vorübergehend bei der ersten Einteilung der Migranten direkt am Ankunftsort helfen könnten und auf die Bereitstellung einer Notfinanzhilfe für diese Mitgliedstaaten abzielen, damit diese in der Lage sind, angemessene Aufnahmebedingungen zu bieten und faire und effiziente Asylverfahren durchzuführen. Sollte die Wahl auf die Option "Errichtung der europäischen Unterstützungsagentur" fallen, könnte diese mit der Koordinierung des Einsatzes der Asylfachleute-Teams betraut werden. Bestehende oder neue Freiwilligenprogramme auf nationaler und europäischer Ebene (insbesondere der Europäische Freiwilligendienst) könnten zur Mobilisierung von Energien, der Erhöhung der Aufnahmekapazitäten und der Stärkung der Solidarität zwischen den Mitgliedstaaten beitragen.
- (33) Welche weiteren Maßnahmen könnten ergriffen werden, um sicherzustellen, dass Schutzverpflichtungen, die sich aus dem EU-Besitzstand und internationalen Flüchtlings- und Menschenrechtsgesetzen ergeben, einen festen Bestandteil des Grenzschutzes an den Außengrenzen bilden? Welche weiteren Maßnahmen könnten ergriffen werden, um sicherzustellen, dass die praktische Durchführung von Maßnahmen zur Bekämpfung der illegalen Zuwanderung nicht den Zugang der Asylbewerber zu Schutzmechanismen beeinträchtigt?
- (34) Wie könnten die Kapazitäten der Mitgliedstaaten zur Einrichtung wirksamer, schutzbedarfsgerechter Einreise-Steuerungssysteme insbesondere bei Massenzuströmen an den Grenzen erhöht werden?
5.4. Die Rolle der EU als "Global Player" in Flüchtlingsfragen
Die Asylsysteme der Mitgliedstaaten werden zunehmend als eine einzige regionale Schutzzone wahrgenommen. Dieser Eindruck wird durch die Schaffung eines einheitlichen Verfahrens und eines einheitlichen Rechtsstatus noch verstärkt werden. Gleichzeitig wachsen mit der zunehmenden Bedeutung der externen Dimension der EU-Asylpolitik auch die Erwartungen in Bezug auf die Rolle der EU als Gebilde von 27 Staaten innerhalb des weltumspannenden Flüchtlingsschutz-Systems. Die EU ist daher zunehmend gefordert, ein gemeinsames Konzept für flüchtlingspolitische Fragen auf internationaler Ebene zu vertreten und gemeinsame Positionen gegenüber internationalen Organisationen zu entwickeln.
- (35) Wie könnte die europäische Asylpolitik zu einer von den EU-Mitgliedstaaten mitgetragenen Politik weiterentwickelt werden, die Flüchtlingsfragen auf internationaler Ebene behandelt? Welche Modelle könnte die EU verwenden, um zu einem "Global Player" in Flüchtlingsfragen zu werden?
6. Schlussfolgerung
Die Kommission hat in diesem Grünbuch versucht, einen Überblick über die Problemstellung zu geben. Sie erwartet nun konstruktive Vorschläge zur Weiterentwicklung dieser Themen.
Im Rahmen des beschriebenen integrierten Ansatzes für die Asylproblematik plant die Kommission, eine breit angelegte Diskussion mit allen Interessenvertretern zu führen. Die EU-Organe, nationale, regionale und kommunale Behörden, Kandidatenländer, Drittstaatspartner, zwischenstaatliche und regierungsunabhängige Organisationen, alle am Asylverfahren beteiligten staatlichen Akteure und privaten Diensteanbieter, Vertreter der Wissenschaft, Sozialpartner, Organisationen der Zivilgesellschaft und Einzelpersonen sind aufgefordert, einen Beitrag zu leisten.
Die Ergebnisse dieser umfangreichen Konsultation werden in die Vorbereitung eines für das erste Quartal 2008 geplanten Strategieplans einfließen, in dem die Kommission aufführen wird, welche Maßnahmen sie zur Schaffung des Gemeinsamen Europäischen Asylsystems annehmen wird; der Plan wird auch einen Zeitrahmen für die Annahme dieser Maßnahmen enthalten.
Um eine für den 18. Oktober 2007 anberaumte öffentliche Anhörung vorzubereiten, bittet die Kommission alle interessierten Kreise, ihre Antworten auf diese Konsultation schriftlich bis zum 31. August 2007 an folgende Anschrift zu senden: Referat "Zuwanderung und Asyl" - "Grünbuch Asylpolitik" Generaldirektion "Justiz, Freiheit und Sicherheit"
Europäische Kommission
B-1049 Brüssel
E-Mail: JLS-asilelivrevert@ec.europa.eu
Alle relevanten Beiträge werden auf der Website "Ihre Stimme in Europa" unter folgender Adresse veröffentlicht: http://europa.eu.int/yourvoice/consultations/index_en.htm
Annex I
Bibliography
I. European Council Conclusions
The Hague Programme: Strengthening Freedom, Security and Justice in the European Union, (OJ C 53, 3.3.2005, p. 1)
The Tampere European Council, 15 and 16 October 1999, Presidency Conclusions, available at the European Council website: http://www.consilium.europa.eu/ueDocs/cms_Data/docs/pressData/en/ec/00200-r1.en9.htm
II. Legislative Instruments
A. Instruments establishing minimum standards
- Council Directive 2005/85/EC of 1 December 2005 on minimum standards on procedures in Member States for granting and withdrawing refugee status (O J L 326, 13.12.2005, p. 13)
- Council Directive 2004/83/EC of 29 April 2004 on minimum standards for the qualification and status of third country nationals or stateless persons as refugees or as persons who otherwise need international protection and the content of the protection granted (OJ L 304, 30.9.2004, p. 12)
- Council Directive 2003/9/EC of 27 January 2003 laying down minimum standards for the reception of asylum seekers (OJ L 31, 6.2.2003, p. 18)
- Council Directive 2001/55/EC of 20 July 2001 on minimum standards for giving temporary protection in the event of a mass influx of displaced persons and on measures promoting a balance of efforts between Member States in receiving such persons and bearing the consequences thereof (OJ L 212, 7.8.2001, p.12)
B. Dublin System
- Commission Regulation (EC) No 1560/2003 of 2 September 2003 laying down detailed rules for the application of Council Regulation (EC) No 343/2003 establishing the criteria and mechanisms for determining the Member State responsible for examining an asylum application lodged in one of the Member States by a thirdcountry national (OJ L 222, 5.9.2003, p. 3)
- Council Regulation (EC) No 343/2003 of 18 February 2003 establishing the criteria and mechanisms for determining the Member State responsible for examining an asylum application lodged in one of the Member States by a thirdcountry national (OJ L 50, 6.2.2003, p.1)
- Council Regulation (EC) No 407/2002 of 28 February 2002 laying down certain rules to implement Regulation (EC) No 2725/2000 concerning the establishment of "EURODAC" for the comparison of fingerprints for the effective application of the Dublin Convention (OJ L 62, 5.3.2002, p. 1)
- Council Regulation (EC) No 2725/2000 of 11 December 2000 concerning the establishment of "EURODAC" for the comparison of fingerprints for the effective application of the Dublin Convention (OJ L 316, 15.12.2000, p. 1)
C. Financial Programmes
- Framework Programme on Solidarity and the Management of Migration Flows for the period 2007-2013 [to be adopted]
- Regulation (EC) No 1905/2006 of the European Parliament and of the Council of 18 December 2006 establishing a financing instrument for development cooperation (OJ L 378, 27.12.2006, p. 41)
- Regulation (EC) No 491/2004 of the European Parliament and of the Council of 10 March 2004 establishing a program for financial and technical assistance to third countries in the areas of migration and asylum (AENEAS) (OJ L 80, 18.3.2004, p. 1)
- Council Decision 2002/463/EC of 13 June 2002 adopting an action program for administrative cooperation in the fields of external borders, visas, asylum and immigration (ARGO program) (OJ L 161, 19.6.2002, p. 11)
- Council Decision 2004/904/EC of 2 December 2004 establishing the European Refugee Fund for the period 2005 to 2010 (OJ L 381, 28.12.2004, p. 52)
- Council Decision 2000/596/EC of 28 September 2000 establishing a European Refugee Fund (OJ L 252, 6.10.2000, p. 12)
D. Legislative Proposals
- Proposal for a Council Directive amending Directive 2003/109/EC to extend its scope to beneficiaries of international protection (COM (2007) 298, 6.6.2007)
E. Other
- Council Decision 2006/688/CE of 5 October 2006 on the establishment of a mutual information mechanism concerning Member States" measures in the areas of asylum and immigration (OJ L 283, 14.10.2006, p. 40)
III. Commission Comunications and Staff Working Documents
- Commission Communication on "Reinforcing the management of the European Union"s Southern Maritime Borders" - COM (2006) 733, 30.11.2006
- Commission Communication on "Strengthened practical cooperation - New structures, new approaches: improving the quality of decision making in the Common European Asylum System" - COM (2006) 67, 17.2.2006
- Commission Communication on "A Strategy on the external dimension of Freedom, Security and Justice" - COM (2005) 491, 12.10.2005
- Commission Communication on "Regional Protection Programmes" - COM (2005) 388, 1.9.2005
- Commission Communication on "A More Efficient Common European Asylum System: The Single Procedure as the Next Step" - COM (2004) 503, 15.7.2004
- Commission Communication on "Improving access to durable solutions" - COM (2004) 410, 4.6.2004
- Commission Communication "Towards more accessible, equitable and managed asylum systems" - COM (2003) 315, 3.3.2003
- Commission Communication on "The common asylum policy and the Agenda for protection" (Second Commission report on the implementation of Communication COM (2000) 755) - COM (2003) 152, 26.3.2003
- Commission Communication on "The common asylum policy, introducing an open coordination method" - First report by the Commission on the application of Communication COM (2000) 755) - COM (2001) 710, 28.11.2001
- Commission Communication "Towards a common asylum procedure and a uniform status, valid throughout the Union for persons granted asylum" - COM (2000) 755, 22.11.2000
- Commission Staff Working Paper, "Revisiting the Dublin Convention: developing Community legislation for determining which Member State is responsible for considering an application for asylum submitted in one of the Member States" - SEC(2000) 522
IV. Studies
- Study on The Transfer of protection status in the EU, against the background of the common European asylum system and the goal of a uniform status, valid throughout the Union, for those granted asylum, Nina M. Lassen, Leise Egesberg, Joanne van Selm, Eleni Tsolakis, Jeroen Doomernik, European Commission, DG Justice and Home Affairs, Brussels 2004, ISBN 92-894-8276-1, available at the following website: http://ec.europa.eu/justice_home/doc_centre/asylum/studies/docs/transfer_protection_status_rev_160904.pdf
- Study on The feasibility of setting up resettlement schemes in EU Member States or at EU level, against the background of the Common European Asylum system and the goal of a common asylum procedure, Erin Patrick, Joanne van Selm, Tamara Woroby, Monica Matts,
- European Commission, DG Justice and Home Affairs, Brussels 2004, ISBN 92-894-6524-7, available at the following website: http://ec.europa.eu/justice_home/doc_centre/asylum/studies/docs/resettlement-studyfull_2003_en.pdf
- Study on the feasibility of processing asylum claims outside the EU against the background of the Common European Asylum System and the goal of a common asylum procedure, Noll Gregor, Jessica Fagerlund and Fabrice Liebaut, European Commission, DG Justice and Home Affairs, Brussels 2003, ISBN 92-894-5163-7, available at the following website: http://ec.europa.eu/justice_home/doc_centre/asylum/studies/asylumstudy_dchr_2002_en.pdf
- Study on the single asylum procedure "onestop shop" against the background of the common European asylum system and the goal of a common asylum procedure, Hailbronner K., European Commission, DG Justice and Home Affairs, Brussels 2003, ISBN 92-894-5256-0, available at the following website: http://ec.europa.eu/justice_home/doc_centre/asylum/studies/docs/study_one_stop_shop_en.pdf
Annex II
Asylum Statistics
First asylum applications in EU 1986-2006

- 1986-2003 = Applications in EU15
- 2004-2006 = Applications in EU25
New asylum applications
Total
| 2002 | 2003 | 2004 | 2005 | 2006 | |
|---|---|---|---|---|---|
| EU27 | 405455 | 337235 | 268565 | 227425 | 181770 |
| Belgium | 18800 | 13585 | 12400 | 12575 | 8870 |
| Bulgaria | 2890 | 1320 | 985 | 700 | 500 |
| Czech Republic | 8485 | 11400 | 5300 | 3590 | 2730 |
| Denmark | 5945 | 4390 | 3235 | 2280 | 1795 |
| Germany | 71125 | 50565 | 35605 | 28915 | 21030 |
| Estonia | 10 | 15 | 10 | 10 | 5 |
| Ireland | 11635 | 7485 | 4265 | 4305 | 4240 |
| Greece | 5665 | 8180 | 4470 | 9050 | 12265 |
| Spain | 6310 | 5765 | 5365 | 5050 | 5295 |
| France | 51085 | 52205 | 50545 | 42580 | 26270 |
| Italy | n.a. | 13705 | 9630 | 9345 | n.a. |
| Cyprus | 950 | 4405 | 9675 | 7715 | 4540 |
| Latvia | 25 | 5 | 5 | 20 | 10 |
| Lithuania | 365 | 395 | 165 | 100 | 150 |
| Luxembourg | 1040 | 1550 | 1575 | 800 | 525 |
| Hungary | 6410 | 2400 | 1600 | 1610 | 2115 |
| Malta* | 350 | 455 | 845 | 1035 | 1065 |
| Netherlands | 18665 | 13400 | 9780 | 12345 | 14465 |
| Austria | 39355 | 32360 | 24635 | 22460 | 13350 |
| Poland | 5170 | 6810 | 7925 | 5240 | 4225 |
| Portugal | 245 | 115 | 115 | 115 | 130 |
| Romania | 1000 | 885 | 545 | 485 | 380 |
| Slovenia | 650 | 1050 | 1090 | 1550 | 500 |
| Slovak Republic | 9745 | 10300 | 11395 | 3550 | 2870 |
| Finland | 3445 | 3090 | 3575 | 3595 | 2275 |
| Sweden | 33015 | 31355 | 23200 | 17570 | 24320 |
| United Kingdom | 103080 | 60045 | 40625 | 30840 | 27850 |
- Remarks:
- 2006 - MT - Jan-Oct only
- Only first applications are recorded
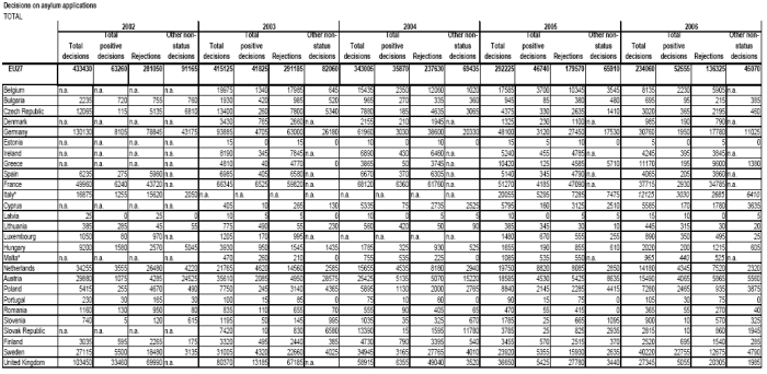
Decisions on asylum applications
Total

- Remarks:2006
- IT - Jan-Sep only
- MT - Jan-Oct only
New asylum applications by citizenship (only data disaggregated by citizenship inlcuded)

- Remarks:2002 - no data disaggregated by citizenship available for DK, FR, IT, NL, PT, FI, SE, CY, CZ, EE, HU, LV, MT, PL, SK, SI, BG
- 2003, 2004, 2006 - no data disaggregated by citizenship available for IT
- 2006 - MT, Jan-Oct 2006

- Remarks:
- Recognition rates are calculated here as the number of positive decisions in the reference yeardivided by the total number of decisions in that year.
Refugee population of UNHCR regions
| UNHCR regions | Population end - 2005 |
|---|---|
| East and Horn of Africa | 772,000 |
| Central Africa and the Great Lakes | 1,193,700 |
| West Africa | 377,200 |
| Southern Africa | 228,600 |
| Total Africa | 2,571,500 |
| cashwaname | 2,725,200 |
| The Americas | 564,300 |
| Asia and Pacific | 825,600 |
| Europe | 1,975,500 |
| Total | 8,662,100 |
- Source: 2005 UNHCR Statistical Yearbook