Für einen individuellen Ausdruck passen Sie bitte dieEinstellungen in der Druckvorschau Ihres Browsers an. Regelwerk |
RückAbzinsV - Rückstellungsabzinsungsverordnung
Verordnung über die Ermittlung und Bekanntgabe der Sätze zur Abzinsung von Rückstellungen
Vom 18. November 2009
(BGBl I Nr. 75 vom 25.11.2009 S. 3790; 01.08.2013 S. 1330 14; 11.03.2016 S. 396 16)
Gl.-Nr.: 4101-17
Auf Grund des § 253 Absatz 2 Satz 4 und 5 des Handelsgesetzbuchs in der im Bundesgesetzblatt Teil III, Gliederungsnummer 4100-1, veröffentlichten bereinigten Fassung, der durch Artikel 1 Nummer 10 des Gesetzes vom 25. Mai 2009 (BGBl. I S. 1102) neu gefasst worden ist, verordnet das Bundesministerium der Justiz im Benehmen mit der Deutschen Bundesbank:
§ 1 Abzinsung von Rückstellungen
Rückstellungen für Verpflichtungen gemäß § 253 Absatz 2 Satz 1 und 2 des Handelsgesetzbuchs werden auf der Grundlage der Abzinsungszinssätze abgezinst, die von der Deutschen Bundesbank nach Maßgabe dieser Verordnung mit zwei Nachkommastellen ermittelt und bekannt gemacht werden. Die Zinssätze werden aus einer um einen Aufschlag erhöhten Null-Kupon-Euro-Zinsswapkurve ermittelt.
§ 2 Datengrundlage
Die Null-Kupon-Euro-Zinsswapkurve wird auf der Grundlage von Euro-Festzins-Swapsätzen mit den Laufzeiten ein bis zehn Jahre, zwölf, 15, 20, 25, 30, 40 und 50 Jahre berechnet. Die verwendeten Zeitreihen sind veröffentlichte Vortagsendstände für aus einer Reihe von Swap-Anbietern zusammengesetzte beste Geldkurse mit Verzinsung auf der Basis von 30 zu 360 Zinsberechnungstagen. Die Swapsätze für die ganzjährigen Laufzeiten zwischen den genannten Laufzeiten werden interpoliert. Die Berechnung des Aufschlags erfolgt anhand eines breiten Rendite-Indexes für auf Euro lautende Unternehmensanleihen aller Laufzeiten mit einer hochklassigen Bonitätseinstufung. Die Daten können von internationalen Finanzdatenanbietern bezogen werden. Es ist ausreichend, die Daten nur eines Finanzdatenanbieters heranzuziehen.
§ 3 Berechnungsgrundlagen und deren Abkürzungen
Die Zins-Swapsätze mit jährlicher Verzinsung werden wie folgt bezeichnet:
| St | = | Festzins-Swapsatz mit Laufzeitt in Jahren, |
| Nt | = | Null-Kupon-Swapsatz mit Laufzeitt und Zinszahlung erst am Laufzeitende |
| Tti,t2 | = | impliziter Null-Kupon-Termin-Swapsatz mit Laufzeit vont1 bist2. |
§ 4 Umrechnung von Festzins-Swapsätzen in Null-Kupon-Swapsätze
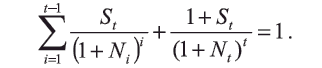
Die Null-Kupon-Swapsätze werden aus den Festzins-Swapsätzen mit Hilfe der Null-Kupon-Anleihen-Entbündelung (Bootstrapping) abgeleitet, und sind dadurch charakterisiert, dass die Fälligkeitstermine im Jahresabstand aufeinanderfolgen und mit den Kuponterminen zusammenfallen. Für den Gegenwartswert eines Festzins-Swaps mit Laufzeitt gilt:

Der Festzins-Swapsatz mit einer Laufzeit von einem Jahr entspricht dem Null-Kupon-Swapsatz mit einer einjährigen Laufzeit; S1 = N1. Die weiteren ganzjährigen Null-Kupon-Swapsätze werden wie folgt schrittweise berechnet:

§ 5 Interpolation fehlender Laufzeiten
(1) Der implizite Termin-Swapsatz aus Null-Kupon-Swapsätzen mit Laufzeitbeginnt über eine Laufzeit von einem Jahr (der Termin-Swapsatz zwischent undt+1) wird wie folgt berechnet:
(2) Für Laufzeiten über zehn Jahre werden nicht alle jährlichen Festzins-Swapsätze verwendet. Die dazwischenliegenden ganzjährigen Laufzeiten werden aus den verwendeten Laufzeiten zwölf, 15, 20, 25, 30, 40 und 50 Jahre abgeleitet. Für die Interpolation wird die Annahme getroffen, dass die Termin-Swapsätze für die dazwischenliegenden Laufzeiten konstant sind. Die fehlenden Null-Kupon-Swapsätze mit Laufzeitt2 werden dann mit der nachstehenden Methode ermittelt.
Der Gegenwartswert eines Festzins-Swaps mit Laufzeitt3 stellt sich wie folgt dar, wobei S1, S2,..., St1 und St3 sowie N1, N2,..., Nt1 bekannt sind,t1 <t2< t3 undt2 -t1> 1 sind:

Annahmegemäß gilt:

Der Termin-Swapsatz (Ttl,t3) wird in der letzten Gleichung, da der Swapsatz mit Laufzeitt3 (St3) und die Null-Kupon-Swapsätze N1 bis Nt1, bekannt sind, mittels eines numerischen Verfahrens (Newton-Verfahren) berechnet. Danach wird der Null-Kupon-Swapsatz mit Laufzeitt2 (Nt2) durch das Einsetzen des Termin-Swapsatzes Ttl,t3 in die folgende Gleichung bestimmt:

§ 6 Berechnung des Aufschlags
Zur Berechnung des Aufschlags wird die Rendite des Unternehmensanleihenindexes über die vergangenen 84 Monatsendstände arithmetisch gemittelt. Weiterhin wird die durchschnittliche Laufzeit der im Index enthaltenen Anleihen über den gleichen Zeitraum berechnet. Für diese durchschnittliche Laufzeit wird der Null-Kupon-Swapsatz ermittelt (bei nicht ganzjährigen Laufzeiten durch lineare Interpolation), auch dieser aus dem arithmetischen Mittel der letzten 84 Monatsendstände der Swapsätze. Dann wird der Abstand zwischen der gemittelten Unternehmensanleihenrendite und dem laufzeitgleichen gemittelten Null-Kupon-Swapsatz berechnet. Dieser Abstand erhöht als Aufschlag die gemittelte Null-Kupon-Euro-Zinsswapkurve über deren gesamte Laufzeit. Dabei sind UZ die Rendite des Unternehmensanleihenindexes,tz die durchschnittliche Laufzeit der Anleihen des Indexes und Ntz
(Stand: 16.06.2018)
Alle vollständigen Texte in der aktuellen Fassung im Jahresabonnement
Nutzungsgebühr: ab 105.- € netto
(derzeit ca. 7200 Titel s.Übersicht - keine Unterteilung in Fachbereiche)
Die Zugangskennung wird kurzfristig übermittelt
? Fragen ?
Abonnentenzugang/Volltextversion