umwelt-online: DIN 4102 Teil 4 Brandverhalten von Baustoffen und Bauteilen (14)
![]() |
zurück | ![]() |
| 1) | Ersetzbar durch
|
| 2) | Ersetzbar durch Bretter (gespundet) mitd ≥ 21 mm. |
| 3) | Ersetzbar durch Bretter (gespundet) mitd ≥ 27 mm. |
5.5 Feuerwiderstandsklassen von Holzbalken
5.5.1 Anwendungsbereich, Brandbeanspruchung
5.5.1.1 Die Angaben von Abschnitt 5.5 gelten für statisch bestimmt oder unbestimmt gelagerte, freiliegende, auf Biegung oder Biegung mit Längskraft beanspruchte Holzbalken mit Rechteckquerschnitt nach DIN 1052 Teil 1 mindestens der Sortierklasse S 10 bzw. MS 10 nach DIN 4074 Teil 1. Es wird unterschieden zwischen maximal 3seitiger und 4seitiger Brandbeanspruchung.
5.5.1.2 Eine maximal 3seitige Brandbeanspruchung liegt vor, wenn die Oberseite der Balken durch
jeweils mindestens der geforderten Feuerwiderstandsklasse abgedeckt ist.
Eine 4seitige Brandbeanspruchung liegt vor, wenn die Oberseite der Balken andere Abdeckungen - z.B. aus Stahl, Holz und Holzwerkstoffen kleinerer Dicken als jeweils angegeben oder aus Kunststoff - erhält oder freiliegt.
5.5.1.3 Die Angaben gelten außerdem nur für Balken ohne Aussparungen; Zapfen- und Bolzenlöcher gelten nicht als Aussparungen. Wegen Aussparungen (Öffnungen) siehe Abschnitt 5.5.2.5.
5.5.1.4 Die Angaben gelten für Nadelhölzer nach DIN 1052 Teil 1/04.88, Tabelle 1, Zeile 1, sowie für Buche; bei Laubhölzern (außer Buche) mit einer Rohdichteρ > 600 kg/m3 nach Zeile 3 derselben Tabelle dürfen alle Werte der Tabellen 74 bis 83 mit 0,8 multipliziert werden.
5.5.2 Unbekleidete Balken
5.5.2.1 Für unbekleidete Balken F 30-B können in Abhängigkeit von der Spannungsausnutzung bei Verwendung von Vollholz aus Nadelholz die in den Tabellen 74 und 75 und bei Verwendung von Brettschichtholz aus Nadelholz die in den Tabellen 76 bis 79 angegebenen Mindestquerschnittsabmessungen entnommen werden. Für unbekleidete Balken F 60-B aus Brettschichtholz können die entsprechenden Werte den Tabellen 80 bis 83 entnommen werden. 7)
5.5.2.2 Die Kippaussteifung der Balken muss nach der geforderten Feuerwiderstandsklasse ausgeführt werden; andernfalls muss das Seitenverhältnish/b ≤ 3 sein - wegen der Bemessung der Kippsteifen siehe die Tabellen 74 bis 83.
5.5.2.3 Die Auflagertiefe von Balken auf Beton oder auf Mauerwerk muss bei der Feuerwiderstandsklasse F30 ≥ 40 mm und bei der Feuerwiderstandsklasse F 60 ≥ 80 mm betragen. Die Mindestauflagertiefen auf Holzbauteilen sowie die Mindestanforderungen an Verbindungen sind den Angaben nach Abschnitt 5.8 zu entnehmen.
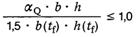
5.5.2.4 Bei Balken, bei denen nach DIN 1052 Teil 1 bei der Bemessung die Schub- bzw. Scherspannung gegenüber dem Nachweis auf Biegung oder Biegung mit Längskraft maßgebend ist, muss die Bedingungsgleichung ( 9) eingehalten werden
![]() |
( 9) |
Wobei:
| αQ | Ausnutzungsgrad der Schub- bzw. Scherspannung nach DIN 1052 Teil 1 und |
| b (tf),h (tf) | Breite bzw. Höhe des Restquerschnitts in Abhängigkeit von der Abbrandgeschwindigkeit (vVollholz = 0,8 mm/min,vBSH = 0,7 mm/min) und Feuerwiderstandsdauertf |
ist.
b (tf) undh (tf) sind bei 4seitiger Brandbeanspruchung 7):
| b (tf) =b - 2v * (tf) | ( 10) |
| h (tf) =h - 2v * (tf) | ( 11) |
Bei 3seitiger Brandbeanspruchung 7) gilt:
| b (tf) siehe Gleichung ( 10) | |
| h (tf) =h -v * (tf) | ( 12) |
5.5.2.5 Die Randbedingungen der Tabellen 76 bis 83 gelten auch für Balken bis zu einem Normalkraftanteil von 20% mit Öffnungen (Durchbrüchen), wenn die Randbedingungen nach Bild 48 eingehalten werden. Die Verstärkungen sind aus Bau- Funiersperrholz aus Buche nach DIN 68705 Teil 5. BFU-BU 100 mit geeigneten Pressvorrichtungen oder mit Nagel- Pressleimung anzubringen.
Die Gesamtverstärkungsdicket in mm (je Seitet/2) muss in Abhängigkeit von der in Durchbruchsmitte vorhandenen SchubspannungτQ in MN/m2 und der Trägerbreiteb in mm
| t ≥ (0,15 + 0,4 *τQ) *b | ( 13) |
betragen, mindestens jedoch 40 mm.
Bild 48: Abmessungen von Öffnungen mit Verstärkungen

lA ≥ h/2;lv undlz ≥;a ≤h;
a1 ≥ 0,25a und ≥h1;hro undhru ≥ 0,3h;
hd ≤ 0,4h;h1 ≥ 0,25hd und ≥ 0,1h;b ≤ 220 mm
5.5.2.6 Für den Gesamtquerschnitt verdübelter Rechteckbalken aus Vollholz gelten die Angaben der Tabellen 74 und 75; hinsichtlich der Dübelverbindungen sind keine Randbedingungen zu beachten, vergleiche Abschnitt 5.8.4.5.
5.5.2.7 Für Balken mit Gerbergelenken gelten die Angaben der Tabellen 74 bis 79; hinsichtlich der Gerbergelenke sind die Randbedingungen von Abschnitt 5.8.10.2 zu beachten.
Tabelle 74: Mindestbreiteb unbekleideter Stützen und Balken aus Vollholz aus Nadelholz mit einem Seitenverhältnish/b = 1,0 und 2,0 und 3seitiger Brandbeanspruchung für F 30-B
| Zeile | Brandbeanspruchung | Statische Beanspruchung | Mindestbreiteb in mm bei einem Seitenverhältnish/b |
||||||||||
| Druck σD|| / zulσK |
Biegung σB / zulσ*B1) |
1,0 | 2,0 | ||||||||||
| und einem Abstützungsabstands bzw. einer Knicklängesk in m |
|||||||||||||
| 2,0 | 3,0 | 4,0 | 5,0 | 6,0 | 2,0 | 3,0 | 4,0 | 5,0 | 6,0 | ||||
| 1 | 3seitig![]() |
1,0 | 0 | 163 | 181 | 194 | 203 | 206 | 151 | 169 | 182 | 190 | 185 |
| 2 | 0,8 | 0 | 144 | 159 | 168 | 171 | 171 | 135 | 149 | 157 | 157 | 157 | |
| 3 | 0,2 | 155 | 171 | 182 | 188 | 188 | 144 | 159 | 168 | 173 | 173 | ||
| 4 | 0,6 | 0 | 127 | 136 | 143 | 143 | 143 | 120 | 130 | 132 | 132 | 132 | |
| 5 | 0,4 | 148 | 160 | 168 | 171 | 171 | 135 | 147 | 154 | 154 | 154 | ||
| 6 | 0,4 | 0 | 110 | 117 | 117 | 117 | 117 | 104 | 110 | 110 | 110 | 110 | |
| 7 | 0,6 | 139 | 148 | 153 | 153 | 153 | 125 | 134 | 137 | 137 | 139 | ||
| 8 | 0,2 | 0 | 91 | 93 | 93 | 93 | 93 | 87 | 88 | 88 | 88 | 88 | |
| 9 | 0,8 | 128 | 133 | 135 | 135 | 135 | 113 | 118 | 122 | 125 | 128 | ||
| 10 | 0 | 0,2 | 80 | 80 | 80 | 80 | 83 | 80 | 80 | 80 | 80 | 83 | |
| 11 | 1,0 | 114 | 114 | 114 | 114 | 114 | 96 | 103 | 109 | 114 | 120 | ||
1) zulσ*B = 1,1 *kB * zulσB mit 1,1 *kB ≤ 1,0
Tabelle 75: Mindestbreiteb unbekleideter Stützen und Balken aus Vollholz aus Nadelholz mit einem Seitenverhältnish/b = 1,0 und 2,0 und 4seitiger Brandbeanspruchung für F 30-B
| Zeile | Brandbeanspruchung | Statische Beanspruchung | Mindestbreiteb in mm bei einem Seitenverhältnish/b |
||||||||||
| Druck σD|| / zulσK |
Biegung σB / zulσ*B1) |
1,0 | 2,0 | ||||||||||
| und einem Abstützungsabstands bzw. einer Knicklängesk in m |
|||||||||||||
| 2,0 | 3,0 | 4,0 | 5,0 | 6,0 | 2,0 | 3,0 | 4,0 | 5,0 | 6,0 | ||||
| 1 | 4seitig![]() |
1,0 | 0 | 187 | 204 | 219 | 229 | 237 | 161 | 179 | 193 | 202 | 204 |
| 2 | 0,8 | 0 | 164 | 179 | 189 | 196 | 196 | 143 | 158 | 167 | 170 | 170 | |
| 3 | 0,2 | 182 | 197 | 209 | 217 | 222 | 154 | 170 | 180 | 187 | 187 | ||
| 4 | 0,6 | 0 | 143 | 155 | 161 | 161 | 161 | 126 | 137 | 142 | 142 | 142 | |
| 5 | 0,4 | 177 | 189 | 198 | 204 | 205 | 146 | 159 | 167 | 169 | 169 | ||
| 6 | 0,4 | 0 | 123 | 131 | 133 | 133 | 133 | 110 | 116 | 116 | 116 | 116 | |
| 7 | 0,6 | 172 | 180 | 186 | 190 | 190 | 138 | 147 | 152 | 152 | 152 | ||
| 8 | 0,2 | 0 | 102 | 105 | 105 | 105 | 105 | 91 | 92 | 92 | 92 | 92 | |
| 9 | 0,8 | 166 | 171 | 174 | 175 | 175 | 127 | 132 | 134 | 135 | 138 | ||
| 10 | 0 | 0,2 | 86 | 86 | 86 | 86 | 87 | 80 | 80 | 80 | 82 | 84 | |
| 11 | 1,0 | 160 | 160 | 160 | 160 | 160 | 113 | 113 | 118 | 123 | 128 | ||
1) zulσ*B = 1,1 *kB * zulσB mit 1,1 *kB ≤ 1,0
Tabelle 76: Mindestbreiteb unbekleideter Stützen und Balken aus Brettschichtholz aus Nadelholz mit einem Seitenverhältnish/b = 1,0 und 2,0 und 3seitiger Brandbeanspruchung für F 30-B
| Zeile | Brandbeanspruchung | Statische Beanspruchung | Mindestbreiteb in mm bei einem Seitenverhältnish/b |
||||||||||
| Druck σD|| / zulσK |
Biegung σB/ zulσ*B1) |
1,0 | 2,0 | ||||||||||
| und einem Abstützungsabstands bzw. einer Knicklängesk in m |
|||||||||||||
| 2,0 | 3,0 | 4,0 | 5,0 | 6,0 | 2,0 | 3,0 | 4,0 | 5,0 | 6,0 | ||||
| 1 | 3seitig![]() |
1,0 | 0 | 148 | 168 | 169 | 169 | 169 | 139 | 158 | 158 | 158 | 158 |
| 2 | 0,8 | 0 | 132 | 146 | 146 | 146 | 146 | 124 | 134 | 134 | 134 | 134 | |
| 3 | 0,2 | 141 | 157 | 157 | 157 | 157 | 132 | 147 | 147 | 147 | 147 | ||
| 4 | 0,6 | 0 | 116 | 119 | 119 | 119 | 119 | 110 | 110 | 110 | 110 | 110 | |
| 5 | 0,4 | 134 | 146 | 146 | 146 | 146 | 124 | 131 | 131 | 131 | 131 | ||
| 6 | 0,4 | 60 | 100 | 100 | 100 | 100 | 100 | 95 | 95 | 95 | 95 | 95 | |
| 7 | 0,6 | 125 | 131 | 131 | 131 | 131 | 114 | 116 | 116 | 116 | 118 | ||
| 8 | 0,2 | 0 | 80 | 80 | 80 | 80 | 83 | 80 | 80 | 80 | 80 | 83 | |
| 9 | 0,8 | 115 | 116 | 116 | 116 | 116 | 102 | 102 | 104 | 108 | 111 | ||
| 10 | 0 | 0,2 | 80 | 80 | 80 | 80 | 83 | 80 | 80 | 80 | 80 | 83 | |
| 11 | 1,0 | 100 | 100 | 100 | 100 | 100 | 84 | 90 | 95 | 100 | 105 | ||
1)zulσ*B = 1,1 *kB * zulσB mit 1,1 *kB ≤ 1,0
Tabelle 77: Mindestbreiteb unbekleideter Stützen und Balken aus Brettschichtholz aus Nadelholz mit einem Seitenverhältnish/b = 4,0 und 6,0 und 3seitiger Brandbeanspruchung für F 30-B
| Zeile | Brandbeanspruchung | Statische Beanspruchung | Mindestbreiteb in mm bei einem Seitenverhältnish/b |
||||||||||
| Druck σD|| / zulσK |
Biegung σB / zulσ*B1) |
1,0 | 2,0 | ||||||||||
| und einem Abstützungsabstands bzw. einer Knicklängesk in m |
|||||||||||||
| 2,0 | 3,0 | 4,0 | 5,0 | 6,0 | 2,0 | 3,0 | 4,0 | 5,0 | 6,0 | ||||
| 1 | dreiseitig
|
1,0 | 0 | 135 | 153 | 153 | 153 | 153 | 134 | 151 | 151 | 151 | 151 |
| 2 | 0,8 | 0 | 121 | 128 | 128 | 128 | 128 | 120 | 126 | 126 | 126 | 126 | |
| 3 | 0,2 | 127 | 142 | 142 | 142 | 142 | 127 | 143 | 143 | 143 | 143 | ||
| 4 | 0,6 | 0 | 107 | 107 | 107 | 107 | 107 | 106 | 106 | 106 | 106 | 106 | |
| 5 | 0,4 | 119 | 128 | 128 | 130 | 134 | 121 | 132 | 135 | 139 | 142 | ||
| 6 | 0,4 | 0 | 92 | 92 | 92 | 92 | 92 | 91 | 91 | 91 | 91 | 91 | |
| 7 | 0,6 | 111 | 117 | 121 | 126 | 132 | 114 | 124 | 132 | 139 | 143 | ||
| 8 | 0,2 | 0 | 80 | 80 | 80 | 80 | 83 | 80 | 80 | 80 | 80 | 83 | |
| 9 | 0,8 | 102 | 109 | 116 | 123 | 130 | 107 | 119 | 130 | 138 | 145 | ||
| 10 | 0 | 0,2 | 80 | 80 | 80 | 80 | 83 | 80 | 80 | 80 | 80 | 83 | |
| 11 | 1 | 92 | 102 | 111 | 120 | 129 | 101 | 115 | 128 | 138 | 146 | ||
1) zulσ*B = 1,1 *kB * zulσB mit 1,1 *kB ≤ 1,0
![]() |
weiter . | ![]() |
(Stand: 01.04.2019)
Alle vollständigen Texte in der aktuellen Fassung im Jahresabonnement
Nutzungsgebühr: ab 105.- € netto
(derzeit ca. 7200 Titel s.Übersicht - keine Unterteilung in Fachbereiche)
Die Zugangskennung wird kurzfristig übermittelt
? Fragen ?
Abonnentenzugang/Volltextversion