umwelt-online: DIN 4102 Teil 4 Brandverhalten von Baustoffen und Bauteilen (16)
![]() |
zurück | ![]() |
Tabelle 83: Mindestbreiteb unbekleideter Stützen und Balken aus Brettschichtholz aus Nadelholz mit einem Seitenverhältnish/b = 4,0 und 6,0 und 4seitiger Brandbeanspruchung für F 60-B
| Zeile | Brandbeanspruchung | Statische Beanspruchung | Mindestbreiteb in mm bei einem Seitenverhältnish/b |
||||||||||
| Druck σD|| / zulσK |
Biegung σB / zulσ*B1) |
1,0 | 2,0 | ||||||||||
| und einem Abstützungsabstands bzw. einer Knicklängesk in m |
|||||||||||||
| 2,0 | 3,0 | 4,0 | 5,0 | 6,0 | 2,0 | 3,0 | 4,0 | 5,0 | 6,0 | ||||
| 1 | 4seitig![]() |
1,0 | 0 | 213 | 242 | 268 | 290 | 306 | 209 | 238 | 264 | 285 | 300 |
| 2 | 0,8 | 0 | 194 | 220 | 241 | 257 | 258 | 190 | 216 | 237 | 252 | 252 | |
| 3 | 0,2 | 206 | 232 | 255 | 272 | 285 | 202 | 229 | 252 | 270 | 283 | ||
| 4 | 0,6 | 0 | 176 | 198 | 214 | 219 | 219 | 174 | 195 | 211 | 214 | 214 | |
| 5 | 0,4 | 197 | 220 | 239 | 254 | 257 | 194 | 219 | 240 | 256 | 263 | ||
| 6 | 0,4 | 0 | 159 | 176 | 184 | 184 | 184 | 157 | 173 | 181 | 178 | 178 | |
| 7 | 0,6 | 187 | 207 | 223 | 234 | 236 | 187 | 209 | 227 | 242 | 248 | ||
| 8 | 0,2 | 0 | 139 | 149 | 149 | 149 | 149 | 137 | 147 | 147 | 147 | 147 | |
| 9 | 0,8 | 176 | 192 | 205 | 213 | 219 | 179 | 199 | 215 | 228 | 238 | ||
| 10 | 0 | 0,2 | 121 | 127 | 132 | 137 | 141 | 126 | 133 | 140 | 145 | 148 | |
| 11 | 1,0 | 164 | 175 | 186 | 196 | 206 | 171 | 188 | 202 | 217 | 230 | ||
1) zulσ*B = 1,1 *kB * zulσB mit 1,1 *kB ≤ 1,0
5.5.3 Bekleidete Balken
5.5.3.1 Bekleidete Balken müssen unabhängig von der Spannungsausnutzung und der Holzart die in Tabelle 84, Zeile 1.1, angegebenen Bekleidungsdicken besitzen.
5.5.3.2 Die Balken sind vollständig, mit Ausnahme der Auflagerflächen, mit Gipskarton-Feuerschutzplatten (GKF) nach DIN 18180 nach den Angaben der Ausführungszeichnungen in Tabelle 84 zu bekleiden. Bei 2lagiger Bekleidung sind die Stöße zu versetzen. Im übrigen gilt für die Befestigung sowie für die Verspachtelung der Fugen DIN 18181. Bei 4seitiger Bekleidung ist die Oberseite entsprechend der Unterseite zu bekleiden.
Tabelle 84: Bekleidete Balken, Stützen und Zugglieder aus Voll- oder Brettschichtholz
| Zeile | Konstruktionsmerkmale bei | |||
| Balken, Stützen und Zuggliedern (Ausführung bei 3seitiger Bekleidung) | Stützen (Ausführung bei 4seitiger Bekleidung) | |||
![]() |
![]() |
|||
| Feuerwiderstandsklasse- Benennnung | ||||
| F 30-B | F 60-B | |||
| 1 | Mindestdicked der Bekleidung bei | |||
| 1.1 | Balken, Stützen und Zuggliedern (Ausführungs-Schemaskizzen 1 und 2) bei Verwendung von | |||
| 1.1.1 | Gipskarton- Feuerschutzplatten (GKF) nach DIN 18180 | mm | 12,5 | 2 x 12,5 |
| 1.1.2 | Sperrholz nach DIN 68705 Teil 31) | mm | 19 | |
| 1.1.3 | Sperrholz nach DIN 68705 Teil 51) | mm | 15 | |
| 1.1.4 | Spanplatten nach DIN 687631) | mm | 19 | |
| 1.1.5 | gespundeten Brettern aus Nadelholz nach DIN 4072 | mm | 24 | |
| 1.2 | Stützen (Ausführungs-Schemaskizze 3) bei Verwendung von Wandbauplatten aus Gips mit Rohdichten von ≥ 0,6 kg/dm3 | mm | 50 | 50 |
1) Bei Holzwerkstoffplatten der Baustoffklasse B1 darf die Mindestdicke um 10 % verringert werden.
5.5.3.3 Anstelle einer Bekleidung aus Gipskarton-Feuerschutzplatten (siehe Tabelle 84, Zeile 1.1.1) können auch Holzwerkstoffplatten oder gespundete Bretter (siehe Tabelle 84, Zeilen 1.1.2 bis 1.1.5) entsprechend verwendet werden. Diese Bekleidungen sind mit Schrauben oder Nägeln zu befestigen; die Einbindetiefe der Befestigungsmittel muss mindestens 6dn entsprechen. Holzwerkstoffplatten dürfen auch angeleimt werden.
5.5.3.4 Die Abschnitte 5.5.2.2 bis 5.5.2.6 gelten sinngemäß.
5.6 Feuerwiderstandsklassen von Holzstützen
5.6.1 Anwendungsbereich, Brandbeanspruchung
5.6.1.1 Die Angaben von Abschnitt 5.6 gelten für Holzstützen nach DIN 1052 Teil 1 mindestens der Sortierklasse S 10 bzw. MS 10 nach DIN 4074 Teil 1. Es wird unterschieden in
5.6.1.2 Die Angaben gelten für Stützen ohne Aussparungen, Ausfräsungen, Stöße usw.; wegen der Bemessung derartiger Details siehe die Mindestanforderungen an Verbindungen in Abschnitt 5.8 7)
5.6.1.3 Hinsichtlich der Verwendung von Nadel- bzw. Laubhölzern gilt Abschnitt 5.5.1.4 sinngemäß.
5.6.2 Unbekleidete Stützen
5.6.2.1 Für unbekleidete Stützen können in Abhängigkeit von der Spannungsausnutzung bei Verwendung von Brettschichtholz aus Nadelholz die in den Tabellen 76 bis 83 und bei Verwendung von Vollholz aus Nadelholz die in den Tabellen 74 und 75 angegebenen Mindestquerschnittsabmessungen entnommen werden.
5.6.2.2 Bei Stützen, bei denen nach DIN 1052 Teil 1 bei der Bemessung die Schub- bzw. Scherspannung gegenüber dem Nachweis auf Druck mit Biegung maßgebend ist, muss die Bedingungsgleichung gemäß Abschnitt 5.5.2.4 eingehalten werden.
5.6.2.3 Für unbekleidete Stützen aus Brettschichtholz mit Kreuz- oder I-Querschnitt ist der flächengleiche, rechteckförmige Ersatzquerschnitt nach Bild 49 zu bestimmen. Für den Rechteckersatzquerschnitt können in Abhängigkeit von der Spannungsausnutzung die in den Tabellen 76 bis 83 angegebenen Mindestbreiten ermittelt werden. Die Enden der Stützen müssen mit ihrer ganzen Querschnittsfläche kraftschlüssig angeschlossen sein. Die Querschnitte können auch durch Nagel-Pressleimung hergestellt werden.
5.6.3 Bekleidete Stützen
Bekleidete Stützen müssen unabhängig von der Spannungsausnutzung und der Holzart nach den Angaben von Abschnitt 5.5.3 ausgeführt werden; die Mindestdicke der Bekleidung ist aus Tabelle 84 zu entnehmen.
Tabelle 85: Mindestbreiteb unbekleideter Zugglieder
| Zeile | Statische Beanspruchung | Nadelholz | ||||||||||||
![]() |
Vollholz | ![]() |
Brettschichtholz | |||||||||||
| F 30-B | F 30-B | F 60-B | ||||||||||||
| Zug
|
Biegung σB / zulσ*B1) |
Mindestbreiteb in mm Brandbeanspruchung |
||||||||||||
| 3seitig | 4seitig | 3seitig | 4seitig | 3seitig | 4seitig | |||||||||
| Seitenverhältnish/b | Seitenverhältnish/b | Seitenverhältnish/b | ||||||||||||
| 1,0 | 2,0 | 1,0 | 2,0 | 1,0 | 2,0 | 1,0 | 2,0 | 1,0 | 2,0 | 1,0 | 2,0 | |||
| 1 | 1,0 | 0 | 89 | 80 | 110 | 88 | 80 | 80 | 96 | 80 | 149 | 134 | 188 | 149 |
| 2 | 0,8 | 0 | 81 | 80 | 99 | 80 | 80 | 80 | 87 | 80 | 135 | 123 | 168 | 134 |
| 3 | 0,2 | 96 | 97 | 123 | 103 | 84 | 85 | 107 | 90 | 158 | 151 | 208 | 163 | |
| 4 | 0,6 | 0 | 80 | 80 | 89 | 80 | 80 | 80 | 80 | 80 | 123 | 120 | 149 | 122 |
| 5 | 0,4 | 102 | 105 | 133 | 112 | 89 | 92 | 117 | 98 | 167 | 159 | 225 | 173 | |
| 6 | 0,4 | 0 | 80 | 80 | 80 | 80 | 80 | 80 | 80 | 80 | 120 | 120 | 134 | 120 |
| 7 | 0,6 | 106 | 111 | 143 | 118 | 93 | 97 | 125 | 103 | 175 | 166 | 240 | 180 | |
| 8 | 0,2 | 0 | 80 | 80 | 80 | 80 | 80 | 80 | 80 | 80 | 120 | 120 | 120 | 120 |
| 9 | 0,8 | 110 | 116 | 151 | 124 | 96 | 101 | 132 | 108 | 182 | 171 | 254 | 186 | |
| 10 | 0 | 0,2 | 80 | 81 | 87 | 84 | 80 | 80 | 80 | 80 | 121 | 127 | 146 | 131 |
| 11 | 1,0 | 114 | 120 | 160 | 128 | 100 | 105 | 140 | 112 | 189 | 176 | 267 | 192 | |
1) zulσ*B = 1,1 *σB * zulσB mit 1,1 *kB ≤ 1,0
Bild 49: Flächengleicher, rechteckförmiger Ersatzquerschnitt bei BSH- Stützen mit Kreuz- oder I-Querschnitt
5.7 Feuerwiderstandsklassen von Holz-Zuggliedern 7)
5.7.1 Anwendungsbereich, Brandbeanspruchung
5.7.1.1 Die Angaben von Abschnitt 5.7 gelten für 3- oder 4seitig beanspruchte Holz-Zugglieder nach DIN 1052 Teil 1 mit Zuggliedern mindestens der Sortierklasse S 10 bzw. MS 10 nach DIN 4074 Teil 1.
5.7.1.2 Die Angaben gelten für Zugglieder ohne Aussparungen, Ausfräsungen, Stöße, Anschlüsse usw.; wegen der Bemessung derartiger Ausführungen siehe die Mindestanforderungen an Verbindungen in Abschnitt 5.8.
5.7.2 Unbekleidete Zugglieder
5.7.2.1 Unbekleidete Zugglieder müssen in Abhängigkeit von der Spannungsausnutzung die in Tabelle 85 wiedergegebenen Mindestbreiten besitzen.
5.7.2.2 Hinsichtlich der Verwendung von Nadel- bzw. Laubhölzern gilt Abschnitt 5.5.1.4 sinngemäß.
5.7.3 Bekleidete Zugglieder
Bekleidete Zugglieder müssen unabhängig von der Spannungsausnutzung und der Holzart nach den Angaben von Abschnitt 5.5.3 ausgeführt werden; die Mindestdicke der Bekleidung ist aus Tabelle 84 zu entnehmen.
5.8 Feuerwiderstandsklassen von Verbindungen nach DIN 1052 Teil 2 7)
5.8.1 Anwendungsbereich
5.8.1.1 Die Angaben von Abschnitt 5.8 gelten für mechanische Verbindungen zwischen Holzbauteilen nach DIN 1052 Teil 2. Die Angaben gelten nur für den Verbindungs-, Anschluss- oder Stoßbereich. Die anzuschließenden Bauteile sind nach den Abschnitten 5.2 bis 5.7 zu bemessen.
5.8.1.2 Die Angaben gelten für auf Druck, Zug oder Abscheren beanspruchte Verbindungen. Die Angaben gelten nicht für Verbindungen, bei denen die Verbindungsmittel in Axialrichtung beansprucht werden. Sie gelten nur für Verbindungen, bei denen die Kräfte symmetrisch übertragen werden (z.B. nicht für 1 schnittige Verbindungen) - siehe Bild 50.
Bild 50: Senkrecht zur Kraftrichtung symmetrische Verbindung, Darstellung der Stabdübel ohne Überstand
5.8.2 Allgemeine Regeln, Holzabmessungen
5.8.2.1 Sofern im Abschnitt 5.8.2 keine Zusatzangaben gemacht werden, sind für tragende Verbindungen und Verbindungen zur Lagesicherung folgende Holzabmessungen einzuhalten - siehe Bild 51:
Randabstände der Verbindungsmittel vom beanspruchten bzw. unbeanspruchten Rand:
| miner,f =er+cf mm | ( 14) |
Hierin bedeuten:
| er | Randabstand (|| oder ⊥ zur Kraftrichtung) nach DIN 1052 Teil 2 |
| cf | = 10 mm für F 30 |
| cf | = 30 mm für F 60 |
Für Stabdübel und Bolzen mit einem Durchmesser 20 mm genügt für F 30 der Randabstand nach DIN 1052 Teil 2 und für F 60 eine Vergrößerung um ≥ 20 mm.
Für gegenüber Brandeinwirkung geschützte Ränder gelten die Abstände nach DIN 1052 Teil 2.
Seitenholzdicke:
| minas,f = 50 mm für F 30 |
| minas,f = 100 mm für F 60 |
Für Verbindungen, für die nach DIN 1052 Teil 1 Mindest-holzdicken (mina) vorgegeben sind, ist für das Seitenholz zusätzlich einzuhalten:
| minas,f = mina+cf mm | ( 15) |
5.8.2.2 Der Randabstand von Verbindungsmitteln, die zur Befestigung von Decklaschen dienen, muss mindestenscf nach Abschnitt 5.8.2.1 betragen.
Bild 51: Randabstände (e) und Seitenholzdicken (a) nach Abschnitt 5.8.2.1
(Beispiele für die Ausführungen 1 und 2), Darstellung der Stabdübel ohne Überstand
5.8.2.3 Werden Verbindungsmittel durch eingeleimte Holzscheiben, Pfropfen oder Decklaschen nach Bild 52 geschützt, so muss die Dicke der Scheiben, Pfropfen bzw. Laschen mindestenscf nach Abschnitt 5.8.2.1 betragen.
Bild 52: Schutz der Verbindungsmittel
5.8.2.4 Werden innenliegende Stahl- und Stahlblechformteile durch Holz mit der Dickecf nach Abschnitt 5.8.2.1 überdeckt, gelten sie als brandschutztechnisch ausreichend bekleidet (siehe auch Abschnitt 5.8.7).
5.8.2.5 Die Einschlagtiefe von Nägeln zur Befestigung von Decklaschen muss mindestens 6dn betragen. Es ist je 150 cm2 Decklasche ein Befestigungsmittel vorzusehen. Für die Randabstände der zu schützenden Verbindungsmittel gilt Abschnitt 5.8.2.1; Mindestseitenholzdicken dürfen unter Einbeziehung der Scheiben- bzw. Laschendicke nachgewiesen werden.
5.8.2.6 Bei Verbindungen zur Lagesicherung, z.B. bei Auflagern und Kontaktstößen der Feuerwiderstandsklassen F 30 und F 60, sind nur die Holzabmessungen nach Abschnitt 5.8.2.1 nachzuweisen.
5.8.2.7 Wird bei biegebeanspruchten Zangen ein Kippen oder Abwölben der Zangen nicht durch konstruktive Maßnahmen (z.B. durch aufgenagelte Bohlen oder Anordnung von Klemmbolzen) behindert, so sind zum Schutz der Verbindung Futterhölzer nach Bild 53 anzuordnen.
Ein Futterholz ist nicht erforderlich bei einer Beanspruchung von weniger als 0,5 * zul N nach DIN 1052 Teil 1 und bei Verbindungen mit Bolzen und Sondernägeln.
Bild 53: Zangenanschluss (Beispiel mit Futterholz), Darstellung der Stabdübel ohne Überstand, (Nägel: glatte Nägel)
5.8.3 Dübelverbindungen mit Dübeln besonderer Bauart
5.8.3.1 Dübel, die mit ungeschützten Sondernägeln lagegesichert sind, bei Anschlüssen der Feuerwiderstandsklasse F 30:
Es ist keine Lastabminderung erforderlich, wenn die Sondernägel eine Einschlagtiefe ins Mittelholz von mindestens 8dn haben.
5.8.3.2 Dübel mit ungeschützten Schraubenbolzen bzw. Sechskantschrauben oder Sechskantholzschrauben bei Anschlüssen der Feuerwiderstandsklasse F 30:
| N ≤ 0,25 * zulN *as / minas,f ≤ 0,5 * zulN | ( 16) |
ist, wobei
| minas,f | = (minas +cf) die Mindestseitenholzdicke nach Abschnitt 5.8.2.1 und |
| zulN | die nach DIN 1052 Teil 2/04.88, Tabellen 4, 6 und 7, zulässige Belastung je Dübel |
ist.
Bei Anordnung von Klemmbolzen nach DIN 1052 Teil 2/ 04.88, Abschnitt 4.1.3, darf grundsätzlichN = 0,5 * zulN gesetzt werden.
5.8.3.3 Dübel mit Schraubenbolzen bzw. Sechskantschrauben oder Sechskantholzschrauben mit Schutz der Schrauben nach Abschnitt 5.8.2.3 bei Anschlüssen der Feuerwiderstandsklasse F 30 oder F 60:
Die Bedingungen von Abschnitt 5.8.3.2 brauchen nicht eingehalten zu werden.
5.8.3.4 Bei verdübelten Balken der Feuerwiderstandsklassen F 30 und F 60 sind nur die Holzabmessungen nach Abschnitt 5.8.2.1 einzuhalten.
5.8.4 Stabdübel- und Passbolzenverbindungen nach DIN 1052 Teil 2/04.88, Abschnitt 5
5.8.4.1 Ungeschützte Stabdübel bei Anschlüssen der Feuerwiderstandsklasse F 30 - mit innenliegenden Stahlblechen:
Für die Stahlbleche gilt Abschnitt 5.8.7.
Für die BelastungN je Stabdübel ist nachzuweisen, dass
![]() |
( 17) |
ist.
Hierin bedeuten:
| v | Abbrandgeschwindigkeit nach Abschnitt 5.5.2.4 |
![]() |
( 18) |
Wegen der anderen Formelzeichen siehe DIN 1052 Teil 2/04.88, Abschnitt 5.8.
Anmerkung: Bei Verbindungen mit innenliegenden Stahlblechen dürfen die zulässigen Belastungen nach DIN 1052 Teil 2/04.88, Abschnitt 5.10, um 25% erhöht werden. Der weitere Faktor von 1,25 berücksichtigt das unterschiedliche Sicherheitsniveau bei der brandschutztechnischen Bemessung gegenüber einer Bemessung nach DIN 1052 Teil 1.
Es ist keine (weitere) Lastabminderung erforderlich, sofern die folgenden Bedingungen eingehalten werden:
|
|
| lst = 2 *as +am ≥ 120 mm | (Stabdübel ohne Überstand) |
| lst = 2 *as +am + 2 *ü ≥ 200 mm | (Stabdübel mit Überstand) |
| ü ≤ 20mm | |
| Eine Fase von max. 5 mm gilt nicht als Überstand. | |
|
|
| min (dst/ as) = 0,08 (1 + [110 /l`st]4) * (1 -α/ 360) | ( 19) |
| ist, mit | |
| α | Winkel zwischen Kraftangriff und Faserrichtung des Mitten- oder Seitenholzes (α ≤ 90°) und |
| l`st | lst = (Stabdübel ohne Überstand) bzw. 0,6lst (Stabdübel mit Überstand) |
5.8.4.2 Ungeschützte Stabdübel bei Anschlüssen der Feuerwiderstandsklasse F 30 - ohne Stahlbleche:
Für die BelastungN je Stabdübel ist nachzuweisen, dass
| N ≤ 1,25 * zulσI (as - 30 *v) *dst* 1,25 *η* (1 -α/ 360) | ( 20) |
ist (Formelzeichen siehe Abschnitt 5.8.4.1).
Es ist keine (weitere) Lastabminderung erforderlich, sofern die folgenden Bedingungen eingehalten werden:
|
|
| lst = 2 *as +am ≥ 120 mm | (Stabdübel ohne Überstand) |
| lst = 2 *as +am + 2 *ü ≥ 200 mm | (Stabdübel mit Überstand) |
| ü ≤ 20mm | |
| Eine Fase von max. 5 mm am Ende des Stabdübels gilt nicht als Überstand. | |
|
|
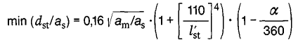
![]() |
( 21) |
| ist, mit | |
| α undl`st wie in Abschnitt 5.8.4.1. | |
5.8.4.3 Fürdst/ as < min (dst/as) ist für ungeschützte Stabdübel die zulässige Belastung je Stabdübel im Verhältnis (dst / as)/min (dst/ as) nach Abschnitt 5.8.4.1 abzumindern.
5.8.4.4 Nach Abschnitt 5.8.2.3 geschützte Stabdübel bei Anschlüssen der Feuerwiderstandsklassen F 30 und F 60:
5.8.4.5 Bei verdübelten Balken der Feuerwiderstandsklassen F 30 und F 60 sind nur die Holzabmessungen nach Abschnitt 5.8.2.1 einzuhalten.
5.8.4.6 Für Passbolzenverbindungen dürfen nur maximal 25 % der entsprechenden zulässigen Stabdübelbelastungen nach den Gleichungen ( 17) und ( 20) angesetzt werden.
5.8.5 Bolzenverbindungen nach DIN 1052 Teil 2/04.88, Abschnitt 5
5.8.5.1 Ungeschützte Bolzen bei Anschlüssen der Feuerwiderstandsklasse F 30:
| N ≤ 0,25 * zulN | ( 22) |
mit zulN nach DIN 1052 Teil 2/04.88, Abschnitt 5.8, ist.
5.8.5.2 Nach Abschnitt 5.8.2.3 geschützte Bolzen bei Anschlüssen der Feuerwiderstandsklassen F 30 und F 60:
Die Bedingungen von Abschnitt 5.8.5.1 brauchen nicht eingehalten zu werden.
5.8.6 Nagelverbindungen nach DIN 1052 Teil 2/04.88, Abschnitte 6 und 7
5.8.6.1 Ungeschützte Nägel bei Anschlüssen der Feuerwiderstandsklasse F 30 - mit innenliegenden Stahlblechen:
Es sind folgende Bedingungen einzuhalten:
5.8.6.2 Ungeschützte Nägel bei Anschlüssen der Feueerwerstandsklasse F 30 - ohne Stahlbleche:
Es sind folgende Bedingungen einzuhalten:
wobei
| min (dn / as) = 0,05 (1 + [110/ ln]4) | ( 23) |
ist.
Fürdn / as < min (dn / as) ist die zulässige Belastung je Nagel im Verhältnis (dn / as)/min (dn / as) abzumindern.
Für Sondernägel genügt es, nur die Bedingung
5.8.6.3 Nach Abschnitt 5.8.2.3 geschützte Nägel bei Anschlüssen der Feuerwiderstandsklassen F 30 und F 60:
Die Bedingungen nach den Abschnitten 5.8.6.1 bzw. 5.8.6.2 brauchen nicht eingehalten zu werden.
5.8.6.4 Für Nagelverbindungen zur Lagesicherung, z.B. bei Auflagern und Kontaktstößen der Feuerwiderstandsklassen F 30 und F 60, ist ergänzend zu Abschnitt 5.8.2.6 eine Einschlagtiefe von 8dn einzuhalten.
5.8.7 Bedingungen für Stahlbleche bei Verbindungen mit innenliegenden Stahlblechen (≥ 2 mm) bei Anschlüssen der Feuerwiderstandsklassen F 30 und F 60
5.8.7.1 Bei Blechen mit ungeschützten Rändern darf folgendes Blechmaß nach Bild 54 nicht unterschritten werden:
| F 30:D = 200 mm |
| F 60:D = 440 mm |
![]() |
weiter . | ![]() |
(Stand: 12.05.2021)
Alle vollständigen Texte in der aktuellen Fassung im Jahresabonnement
Nutzungsgebühr: ab 105.- € netto
(derzeit ca. 7200 Titel s.Übersicht - keine Unterteilung in Fachbereiche)
Die Zugangskennung wird kurzfristig übermittelt
? Fragen ?
Abonnentenzugang/Volltextversion