Für einen individuellen Ausdruck passen Sie bitte dieEinstellungen in der Druckvorschau Ihres Browsers an. Regelwerk |
![]() |
Stand 09/2002
(AllMBl. 2004 S. 441aufgehoben)
Veröffentlichung: (AllMBl. 2004 S. 441)
Mit
DIN 4113-1:1980-05 und
DIN 4113-1/A1
Ersatz für DIN 4113:1958x-02
Vorwort
Diese Norm wurde erarbeitet vom NABau-Arbeitsausschuss 08.07.00 "Aluminiumkonstruktionen - Bemessung und Herstellung", Spiegelausschuss zu CEN/TC 250/SC 9 und CEN/TC 135/WG 11. Der Arbeitsausschuss gehört dem NABau-Fachbereich 08 "Stahlbau, Verbundbau, Aluminiumbau" an.
Änderungen
Gegenüber DIN 4113-2:1958x-02 wurden folgende Änderungen vorgenommen:
Frühere Ausgaben
DIN 4113: 1958x-02
1 Anwendungsbereich
Diese Norm gilt für alle tragenden geschweißten Bauteile aus Aluminium, die durch vorwiegend ruhende Belastung (siehe DIN 1055-3:1971-06, 1.4) beansprucht werden. Hierbei ist in der Regel die Mindestdicke von 2 mm aus schweißtechnischen Gründen einzuhalten; in begründeten Fällen sind Dicken bis 1,2 mm zulässig.
Entwurf, Konstruktion, Berechnung und Herstellung (siehe DIN V 4113-3) geschweißter Aluminiumkonstruktionen erfordern in besonderem Maße Sachkenntnisse und Erfahrungen der damit betrauten Personen und Organisationen.
2 Normative Verweisungen
Diese Norm enthält durch datierte oder undatierte Verweisungen Festlegungen aus anderen Publikationen. Diese normativen Verweisungen sind an den jeweiligen Stellen im Text. zitiert, und die Publikationen sind nachstehend aufgeführt. Bei datierten Verweisungen gehören spätere nderungen oder Überarbeitungen dieser Publikationen nur zu dieser Norm, falls sie durch Änderung oder Überarbeitung eingearbeitet sind. Bei undatierten Verweisungen gilt die letzte Ausgabe der in Bezug genommenen Publikation (einschließlich Änderungen).
| DIN 1055-3:1971-06 | Lastannahmen für Bauten; Verkehrslasten. |
| DIN 4113-1:1980-05 | Aluminiumkonstruktionen unter vorwiegend ruhender Belastung - Berechnung und bauliche Durchbildung. |
| DIN 4113-1/A1:2002-09 | Aluminiumkonstruktionen unter vorwiegend ruhender Belastung - Teil 1: Berechnung und bauliche Durchbildung, Änderung 1. |
| DIN V 4113-3 | Aluminiumkonstruktionen unter vorwiegend ruhender Belastung - Ausführung und Herstellerqualifikation. |
| DIN EN 485-2 | Aluminium und Aluminiumlegierungen - Bänder, Bleche und Platten - Teil 2: Mechanische Eigenschaften; Deutsche Fassung EN 485-2:1994. |
| DIN EN 573-3 | Aluminium und Aluminiumlegierungen - Chemische Zusammensetzung und Form von Halbzeug - Teil 3: Chemische Zusammensetzung; Deutsche Fassung EN 573-3:1994. |
| DIN EN 754-2 | Aluminium und Aluminiumlegierungen - Gezogene Stangen und Rohre - Teil 2: Mechanische Eigenschaften; Deutsche Fassung EN 754-2:1997. |
| DIN EN 755-2 | Aluminium und Aluminiumlegierungen - Stranggepresste Stangen, Rohre und Profile Teil 2: Mechanische Eigenschaften; Deutsche Fassung EN 755-2:1997. |
3 Anforderungen
Für die Anwendung dieser Norm gilt DIN 4113-1/A1:2002-09, Tabelle 1. Ferner ist für die Schweißzusatzstoffe DIN V 4113-3 zu beachten.
4 Lastannahmen
Es gilt DIN 4113-1:1980-05, Abschnitt 4.
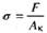
5 Berechnungsgrundsätze
Es gilt DIN 4113-1:1980-05, Abschnitt 5 sinngemäß. Durch die Schweißwärme können Flügelteile aus ausgehärteten oder verfestigten Werkstoffen (siehe Tabelle 1 und für zugehörige Schweißzusätze nach DIN V 4113-3) in der Wärmeeinflusszone (WEZ) neben der Schweißnaht entfestigt werden.
Soweit Konstruktionen und Serienteile auf der Grundlage von Berechnungen in Verbindung mit DIN 4113-1 gefertigt werden und die Beschaffung des Halbzeugs nicht auf der Grundlage von DIN 4113-1/A1:2002-09, 3.1 erfolgt, ist darauf zu achten, dass für die nach DIN-EN-Normen beschafften und verwendeten Halbzeuge die zulässigen Spannungen sowohl für den Grundwerkstoff (siehe DIN 4113-1/A1:2002-09, Tabelle 4 sowie Tabelle 7) als auch für WEZ und Schweißnähte (siehe Tabelle 4 und Tabelle 5) mindestens gleich hoch sind, wie sie der Berechnung zugrunde gelegt wurden. Bei AlMgSi0,5 muss gegebenenfalls auf eine AlMgSi0,5-ähnliche Legierung gewechselt werden (EN AW-6060, EN AW-6063, EN AW 6106). Ist dies nicht der Fall, so muss die Berechnung überprüft werden.
Die Bemessung geschweißter Konstruktionen aus Werkstoffen nach DIN 4113-1:1980-05, Tabelle 1 erfolgt entsprechend der Bemessung der Werkstoffe nach Tabelle 1 dieser Norm. Dabei gilt bezüglich der Streckgrenze der Schweißverbindung und der zulässigen Spannung die Umschlüsselung nach Tabelle 2.
Tabelle 1 - Halbzeuglegierungen für Konstruktionsteile
| Spalte | 1a | 1b | 1c | 1d | 2a | 2b | 2c | 3a | 3b | 3c | 4a | 4b | 4c | 5a | 5b | ||
| Zeile | Werkstoffe, Werkstoffzustände nach | Bänder, Bleche, Planen nach DIN EN 485-2 |
Gezogene Rohre nach DIN EN 754-2 |
Stangen, Rohre, stranggepresste Profile nach DIN EN 755-2 |
Wärmeeinflusszone (WEZ) |
||||||||||||
| DIN EN 573-3 | DIN 1725 | Zustand | Halbzeug | βz N/mm2 |
β0,2 N/mm2 |
Dicke mm |
βz N/mm2 |
β0,2 N/mm2 |
Dicke mm |
βz N/mm2 |
β0,2 N/mm2 |
Dicke mm |
β0,2 WEZf N/mm2 |
β0,2 WEZf N/mm2 |
|||
| 1 | EN AW-6005A En AW-AlSiMg(A) |
AlMgSi0,7 | T6 | - | - | - | - | - | - | 250 | 200 | V ≤ 25 H ≤ 15 |
165 | 115 | |||
| 2a | EN AW-6060 EN AW-AIMgSi |
AlMgSi0,5 | T6 | - | - | - | 215 | 160 | ≤ 20 | 170 | 140 | ≤ 25 | 100 | 60 | |||
| 2b | T66 | - | - | - | - | - | - | 195 | 150 | ≤ 25 | 110 | 65 | |||||
| 3 | EN AW-6061 EN AW AlMg1SiCu |
AlM51S1Cu | T6/ T651 | 290 | 240 | ≤ 100 | 290 | 240 | ≤ 20 | 260 | 240 | ≤ 25 | 175 | 115 | |||
| 4a | EN AW-6063 EN AW-AlMg0,7Si |
T6 | - | - | - | 220 | 190 | ≤ 20 | 195 | 160 | ≤ 25 | 110 | 65 | ||||
| 4b | T66 | - | - | - | 230 | 195 | ≤ 20 | 225 | 180 | ≤ 25 | 130 | 75 | |||||
| 5a | EN AW-6082 EN AW-AlSi1MgMn |
AlMgSi1 | T6/ T651 | 295 | 240 | ≤ 100 | 310 | 240 | ≤ 20 | 290 | 250 | V ≤ 25 H ≤ 15 H ≤ 25a |
185 | 125 | |||
| 5b | T61/ T6151 T5 |
275 | 200 | ≤ 175 | - | - | - | - | - | - | |||||||
| - | - | - | - | - | - | 270 | 230 | ≤ 5 | |||||||||
| 6 | EN AW-6106 EN AW-AlMgSiMn |
T6 | - | - | - | - | - | - | 250 | 200 | ≤ 10 | 160 | 95 | ||||
| 7 | EN AW-7020 EN AW-NZn4,5Mg1 |
AlZn4,5Mg1 | T6/ T651 | 340 | 276 | ≤ 100 | 350 | 280 | ≤ 20 | 350 | 290 | ≤ 40 ≤ 15a |
280 | 205 | |||
| 8 | EN AW-3103 EN AW-AlMn1 |
AlMn1 | H18 | 185 | 165 | ≤ 3 | - | - | - | - | - | 90 | 44 | ||||
| 9a | EN AW-3004 EN AW-AlMn1 Mg1 |
AlMn1Mg1 | H14 /H24 /H34 | 220 | 170 | ≤ 6 | - | - | - | - | - | - | 155 | 75 | |||
| 9b | H16/ H26 /H36 | 240 | 190 | ≤ 4 | - | - | - | - | - | - | |||||||
| 10a | EN AW-3005 EN AW-AlMn1Mg0,5 |
AlMn1Mg0,5 | H16 | 195 | 175 | 54 | - | - | - | - | - | - | 115 | 56 | |||
| 10b | H18/ H28 | 220 | 190 | 53 | - | - | - | - | - | - | |||||||
| 11a | EN AW-5005(A) EN AW-AlMg1 |
AlMg1 | OH111 H112 |
100 | 35 | ≤ 50 | 100 | 40 | ≤ 20 | 100 | 40 | alle | 100 | 35 | |||
| 11b | H12 | 125 | 95 | ≤ 12,5 | - | - | - | - | - | - | 100 | 44 | |||||
| 11c | H22/ H32 | 125 | 80 | ≤ 12,5 | - | - | - | - | - | - | |||||||
| 11d | H14 /H24 /H34 | 145 | 110 | ≤ 12,5 | 140 | 110 | ≤ 5 | - | - | - | |||||||
| 12a | EN AW-5049 EN AW-AlMg2Mn0,8 |
AlMg2Mn0,8 | OH-111 H112 |
190 | 80 | ≤ 80 | - | - | - | - | - | - | 190 | 80 | |||
| 12b | H112 | b | 200 | 120 | 6-25 | ||||||||||||
| 12c | H14 | 240 | 190 | ≤ 25 | - | - | - | - | - | - | 190 | 100 | |||||
| 12d | H24 /H34 | 240 | 160 | ≤ 25 | - | - | - | - | - | - | |||||||
| 13a | EN AW-5083 EN AW- AlMg4,5Mn0,7 |
AlMg4,5Mn | OH111 H112 | P | - | - | - | 270 | 110 | ≤ 20 | 270 | 110 | ≤ 200 | 270 | 110 | ||
| 13b | W | 275 | 125 | ≤ 50/ 40c | - | - | - | - | - | - | 275 | 125 | |||||
| 13c | H12 | 315 | 250 | ≤ 40 | 275 | 140 | |||||||||||
| 13d | H22 /H32/ H116 | d | 305 | 215 | ≤ 40 | 280 | 200 | ≤ 10 | - | - | - | ||||||
| 14a | EN AW-5754 EN AW-AlMg3 |
AlMg3 | OH111 H112 |
190 | 80 | d 80 | 180 | 80 | ≤ 20 | 180 | 80 | ≤ 25 | 180 | 80 | |||
| 14b | H112 | b | 200 | 120 | 6-25 | ||||||||||||
| 14c | H14 | e | 240 | 190 | ≤5 | 240 | 180 | 10 | - | - | - | 180 | 100 | ||||
| 14d | H24 /H34 | 240 | 160 | ≤ 25 | - | - | - | - | - | - | |||||||
| Die angegebenen Werte für Festigkeit und Streckgrenze als Basis für die Festlegung der zulässigen Spannungen des betreffenden Zustandes bzw. der Zustandsgruppe sind die jeweiligen Mindestwehe aus der Bezugsnorm über alle Dicken innerhalb des angegebenen Dickenbereichs. In der Spalte "Stangen, Rohre, stranggepresste Profile" wurden aus DIN EN 755-2 als maximale Werte der Wanddicke die der Halbzeugform Strangpressprofile eingetragen. Diese Werte können und dürfen von den Halbzeugwerken auch für Querschnitte bescheinigt werden, wenn die Querschnitte eigentlich als Rohre oder Stangen einzustufen wären. Soweit Stangen und Rohre in den betreffenden Zuständen nach DIN EN 755-2 die in der obigen Tabelle angegebenen Mindestwerte auch bei größeren Fertigungsdicken erfüllen, dürfen diese Halbzeuge unter Zugrundelegung der für die jeweilige Zeile geltenden zulässigen Spannungen verwendet werden. | |
| V: | gilt für Vollquerschnitte; H: gilt für Hohlquerschnitte; P: Strangpressprodukte; W: Walzprodukte. |
| a | für "echte" Rohre, d.h. Rohr- und Formrohrquerschnitte mit gleichen Wanddicken. |
| b | die erhöhten Werte im Zustand H112 gelten nur für Bleche im angegebenen Dickenbereich. |
| c | 50 mm bei O/H111; 40 mm bei H112; bis 120 mm Dicke gelten die zulässigen Spannungen für Strangpressprodukte. |
| d | gezogene Rohre auch H12. |
| e | gezogene Rohre auch H24, H34. |
| f | Rechnerische Werte zur Festlegung der zulässigen Spannungen. Aus normungssystematischen Gründen bestehen zum Teil Unterschiede zwischen diesen Werten und jenen von DIN V 4113-3. |
Tabelle 2 - Spannungsnachweise für geschweißte Konstruktionen aus Werkstoffen nach DIN 4113-1:1980-05, Tabelle 1 bzw. Tabelle 4
| 1 | 2 | 3 | 4 | 5 | |
| 1 | Werkstoff nach DIN 1725 in Verbindung mit DIN 1745, DIN 1746, DIN 1748 | Zeilen-Nr. von DIN 4113- 1:1980-05, Tabelle 4 | Bemerkung | Als Werte für die zulässigen Spannungen beim Schweißfestigkeitsnachweis gelten jene von | Zuzüglich |
| 2 | AlZn4,5Mg1 F35 | 1 | B, R, P | EN AW-7020 T6 | - |
| 3 | AlMgSi1 F31/F32 | 2 | B, R, P | EN AW-6082 T6 | - |
| 4 | AlMgSi1 F28 | 3 | B, R, P | EN AW-6082 T61 | - |
| 5 | AlMgSi0,5 F22 | 4 | R, P | EN AW-6063 T6 | - |
| 6 | AlMg4,5Mn G31 | 5 | B | EN AW-5083 H22 | - |
| 7 | AlMg4,5Mn F27/W28 | 6a | B | EN AW-5083 O | - |
| 8 | AlMg4,5Mn F27 | 6b | R, P | EN AW-5083 O | 10 % bei WEZ und Stumpfnaht |
| 9 | AlMg2Mn0,8 F24, F25, G24 | 7 | B, R | EN AW-5049 H24 | - |
| 10 | AlMg3 F24, F25, G24 | 7 | B, R | EN AW-5754 H24 | - |
| 11 | AlMg2MnO,8 F20 | 8 | R, P | EN AW-5049 O | 20 % bei WEZ und Stumpfnaht |
| 12 | AlMg3 F18 | 9 | R, P | EN AW-5754 O | - |
| 13 | AlMg2MnO,8 W18, W/F19 | 10 | B, R | EN AW-5049 O | - |
| 14 | AlMg3 W18, W19, F19 | 10 | B, R | EN AW-5754 O | - |
| B: Bleche; R: Rohre; P: Strangpressprofile.
Umschlüsselung gilt nur für Schweißfestigkeitsnachweise. |
|||||
Bei den maßgebenden Querschnittswerten für geschweißte Stöße und Anschlüsse- ist sinngemäß zu DIN 4113-1:1980-05, 5.3 auf die jeweilige Erstreckung der Wärmeeinflusszone (WEZ) zu achten. Ferner ist unter anderem auch bei Druckstäben die Lage von Schweißungen zu beachten.
Beim Bolzenschweißen mit Spitzenzündung braucht eine Wärmeeinflusszone nicht berücksichtigt zu werden.
6 Berechnung von geschweißten Konstruktionsteilen und Schweißverbindungen, zulässige Spannungen
6.1 Allgemeines
Für geschweißte Aluminiumbauteile sind neben den Festlegungen aus DIN 4113-1 für nichtwärmebeeinflusste Bereiche auch Festigkeitsnachweise in der Wärmeeinflusszone (WEZ) und in der Schweißnaht zu führen.
Die zulässigen Schnittgrößen in der WEZ und in den Nähten richten sich danach, wie die Lage der Bruchfuge im Versagensfall zu erwarten ist:
Im Übrigen ist ein Nachweis mit den vollen Querschnittswerten und den Spannungen nach Tabelle 4 und Tabelle 5 erlaubt.
6.2 Wärmeeinflusszonen, Querschnittswerte und Spannungsnachweis
6.2.1 Längsbeanspruchte Stäbe
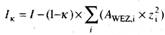
Werden bei aushärtbaren und kaltverfestigten Werkstoffen zur Ermittlung der maßgebenden Querschnittswerte von Druck- und Zugstäben Teilflächen (A -AWEZ) des unbeeinflussten sowie gleichzeitig TeilflächenAWEZ des wärmebeeinflussten Werkstoffes erfasst, so darf Gleichung ( 1) angesetzt werden:
![]() |
( 1) |
Die reduzierte QuerschnittsgrößeAK lautet mit
; Werte nach Tabelle 1 |
( 2) |
![]() |
( 3) |
Dabei ist
| A | die volle Querschnittsfläche, |
| AWEZ, i | die Summe der einzelnen WEZ-Querschnittsflächen. |
Als Wärmeeinflusszone bei geschweißten Konstruktionen ist rechnerisch ein Bereich von 30 mm von Schweißnahtmitte bzw. Nahtwurzelpunk aus nach allen Seiten hin anzusetzen (siehe zum Beispiel Bild 1).
Bild 1 - Beispiele für Wärmeeinflusszonen
Die nach Gleichung ( 1) berechnete Spannung darf die zulässige Werkstoffspannung zul.σ nach DIN 4113-1:1980-05, Tabelle 4 bzw. nach DIN 4113-1/A1:2002-09, Tabelle 4 bzw. Tabelle 5 nicht überschreiten. Für die reduzierten Querschnittswerte darf angenommen werden, dass die Schwerlinienverschiebung infolge der Teilflächenreduktionen vernachlässigbar ist. Wenn im Gesamtquerschnitt und auch in Teilbereichen, wie zum Beispiel im Flansch, das Verhältnis
ist, ist die Verschiebung der Schwerlinie in der Berechnung zu berücksichtigen.
Wird bei einem allgemeinen Spannungsnachweis zul.σWEZ nicht überschritten, so ist eine Abminderung nach Gleichung ( 3) nicht erforderlich.
Die Formänderungen und die statisch unbestimmten Größen dürfen mit den vollen Querschnittswerten berechnet werden.
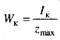
6.2.2 Biegebeanspruchte Stäbe
Setzt sich der maßgebende Querschnitt von Baugliedern, die auf Biegung beansprucht sind, aus unbeeinflusstem und wärmebeeinflusstem Werkstoff zusammen, so dürfen die nachfolgenden Gleichungen benutzt werden.
Biegung:
![]() |
( 4) |
bzw.
![]() |
( 5) |
Die GrößenIK,WK, sind die reduzierten Querschnittswerte, sie ergeben sich mit Gleichung ( 2) zu
![]() |
( 6) |
![]() |
( 7) |
Schub:
![]() |
( 8) |
Zusätzliche Spannungen aus Normalkräften sind nach Gleichung ( 1) zu berücksichtigen.
Die nach Gleichung ( 4) bzw. ( 5) berechnete Spannung darf die zulässige Werkstoffspannung zul.σ nach DIN 4113-1:1980-05, Tabelle 4 bzw. nach DIN 4113-1/A1:2002-09, Tabelle 4 bzw. Tabelle 5 nicht überschreiten.
Die nach Gleichung ( 8) berechnete Schubspannung darf zul.τ für die WEZ bzw. Naht nach den Tabellen 4 und 5 nicht überschreiten.
Es wird für die reduzierten Querschnittswerte angenommen, dass die Schwerlinienverschiebung infolge der Teilflächenreduktionen vernachlässigbar ist.
Wenn im Gesamtquerschnitt und auch in Teilbereichen, wie z.B. im Flansch, das Verhältnis
ist, ist die Verschiebung der Schwerlinie in der Berechnung zu berücksichtigen.
Wird bei einem allgemeinen Spannungsnachweis zul.σWEZ in der WEZ nicht überschritten, so ist eine Abminderung nach Gleichung ( 6) nicht erforderlich.
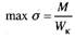
Bei biegesteifen Stäben und bei einfachen oder durchlaufenden Balkenträgern, die gleichzeitig durch die SchnittgrößenN,M undQ beansprucht werden, ist in der Regel auch ein Vergleichsspannungsnachweis zu führen.
![]() |
( 9) |
Diese Spannungen können unter Berücksichtigung der vollen Querschnittswerte errechnet werden.
Es ist jeweils der Maximalwert einer Spannung mit den dazugehörigen Werten der übrigen Spannungen einzusetzen.
Die Vergleichsspannung in der Wärmeeinflusszone darf die Werte nach Tabelle 4 nicht überschreiten. Tritt der Maximalwert der Vergleichsspannung nur in einer Faser auf, dürfen die Werte der Tabelle 4 um 10 % erhöht werden.
Die Formänderungen und auch die statisch unbestimmten Größen dürfen mit den vollen Querschnittswerten berechnet werden.
6.3 Schweißnähte, Querschnittswerte und Spannungsnachweise
6.3.1 Allgemeines
Die hauptsächlichen Schweißnahtformen und die jeweils rechnerischen Schweißnahtdickena sind in Tabelle 3 zusammengestellt.
Die jeweils rechnerische Schweißnahtlänge ergibt sich bei Kehlnähten aus der Länge der Wurzellinie.
6.3.2 Längsbeanspruchte Stäbe
6.3.2.1 Stumpfnähte senkrecht zur Kraftrichtung
Für Stumpfnähte von Stößen und Anschlüssen gilt:
![]() |
( 10) |
Hierbei ist der maßgebende Querschnitt (siehe Tabelle 3, Zeilen 2 bis 5)
![]() |
( 11) |
(Der Index w bedeutet Schweißnaht, er kann weggelassen werden, wenn eine Verwechslung ausgeschlossen ist.)
![]() |
weiter . | ![]() |
(Stand: 19.08.2020)
Alle vollständigen Texte in der aktuellen Fassung im Jahresabonnement
Nutzungsgebühr: ab 105.- € netto
(derzeit ca. 7200 Titel s.Übersicht - keine Unterteilung in Fachbereiche)
Die Zugangskennung wird kurzfristig übermittelt
? Fragen ?
Abonnentenzugang/Volltextversion